# dependencies
library(tidyr)
library(dplyr)
library(purrr)
library(ggplot2)
library(scales)
generate_data <- function(n_per_condition,
mean_control,
mean_intervention,
sd) {
data_control <-
tibble(condition = "control",
score = rnorm(n = n_per_condition, mean = mean_control, sd = sd))
data_intervention <-
tibble(condition = "intervention",
score = rnorm(n = n_per_condition, mean = mean_intervention, sd = sd))
data_combined <- bind_rows(data_control, data_intervention)
return(data_combined)
}
analyse_data <- function(data) {
res_t_test <- t.test(formula = score ~ condition,
data = data,
var.equal = TRUE,
alternative = "two.sided")
res <- tibble(p = res_t_test$p.value)
return(res)
}8 Mapping over functions ✎ Rough draft
8.1 Overview of tutorial
8.1.1 TO-DO
- Fix the outputs so we just call head() and not the full output
- Especially for the nested data
Recall, once again, the five steps of Monte Carlo simulation:
- Design an experiment
- Generate data
- Analyse data
- Repeat this many times
- Summarise over the results
In previous chapters, we have created parameter grid specifications (Step 1; expand_grid()), written data-generation functions (Step 2; generate_data()), and written analysis functions (Step 3; analyse_data()). We have also called generate_data() and analyse_data() together using the pipe, like: generate_data() %>% analyse_data().
The question now is: how do we get that piped workflow to work with the parameter grid? In other words: how do we do this many times (i.e., Step 4) without copy-pasting code?
The answer is: by using the map_*() family of functions to map our parameter grid over the generate/analyse functions. In the tidyverse, this is usually done with the {purrr} package.
By the end of this chapter, you should be able to:
- Use
map()to repeat a simulation many times. - Use
map_dbl()/map_int()/map_chr()to get clean vectors out. - Use
map_dfr()to bind outputs into a tibble. - Use
map2()andpmap()to run functions over many different parameters. - Understand what it means when mapping produces nested data frames (list-columns).
- Use
future_map()/future_pmap()(from{furrr}) when you want to parallelize.
8.2 Recap: generate and analyse functions
First, let’s set up an example that we have used in the previous chapeter: two conditions (control vs intervention) with normally distributed scores (means and SDs that we specify), and a test of differences in group means (i.e., a two-sample t-test).
As we have done before, we can run the functions together using the pipe to get some output.
results <-
generate_data(n_per_condition = 50,
mean_control = 0,
mean_intervention = 0.5,
sd = 1) %>%
analyse_data()
results| p |
|---|
| 0.0001142 |
What if we want to do this whole process many times? We could just copy-paste this 1000 times, run each block of code once, and save each run to a dataframe. But this is not the ideal approach, because:
- It’s slow to write and easy to make mistakes.
- It’s hard to scale from a few iterations to 10,000 iterations.
- It’s hard to turn into a proper experiment (varying the parameters systematically).
So: we need a principled way to repeat the same computation. To do this, we can use the “map()” family of functions in R.
8.3 The core idea of mapping
8.3.1 map() repeats a function over a vector/list
map() takes:
- a vector/list of inputs (.x)
- a function (.f)
and returns a list (i.e., not a tibble) of outputs.
Let’s look at a simple example. Imagine we have a vector of numbers (from 1 to 4) and, for each number, we want to add 10. We can use map() to do this:
numbers <- c(1, 2, 3, 4)
map(.x = numbers,
.f = ~ .x + 10)[[1]]
[1] 11
[[2]]
[1] 12
[[3]]
[1] 13
[[4]]
[1] 14
Notice the output is a list, even though each element is just a number. This is on purpose: returning a list is often seen as a “safe” default, because in real work you might return complicated objects (models, data frames, plots…) and lists handle these diverse objects most effectively, and prevent errors from arising. Of course, remember that in this course we want to return our simulation output as a tibble, not a list. We will get to this in a few sections.
8.3.2 The anonymous-function shorthand: ~
When you look at the example above, you might be wondering: what is the ~ symbol, and what is it doing? This is referred to as the anonymous-function (lambda) shorthand in {purrr} formula syntax. This lets you define a short function within the map() family of functions. In the case above, our function was “add 10 to the input”, where .x stands for the current input.
More concretely, the two lines of code below are equivalent:
Line 1:
map(numbers, function(x) x + 10)[[1]]
[1] 11
[[2]]
[1] 12
[[3]]
[1] 13
[[4]]
[1] 14
Line 2:
map(numbers, ~ .x + 10)[[1]]
[1] 11
[[2]]
[1] 12
[[3]]
[1] 13
[[4]]
[1] 14
You’ll see the ~ .x style constantly in tidyverse simulation code.
8.4 A first simulation with map()
8.4.1 Map over iterations
Ideally, simulations need an iteration index, which tells us what “round” of the simulation a given set of outputs are part of. We can often define these iterations simply, like:
iterations <- 1:10
iterations [1] 1 2 3 4 5 6 7 8 9 10
Now we map over iterations. For now, the iteration number doesn’t do anything - we just need to supply map() with a set of values to run across.
simulation_results_list <-
map(.x = iterations,
.f = ~ {
generate_data(n_per_condition = 50,
mean_control = 0,
mean_intervention = 0.5,
sd = 1) %>%
analyse_data()
})
simulation_results_list[[1]]
# A tibble: 1 × 1
p
<dbl>
1 0.0000144
[[2]]
# A tibble: 1 × 1
p
<dbl>
1 0.00185
[[3]]
# A tibble: 1 × 1
p
<dbl>
1 0.256
[[4]]
# A tibble: 1 × 1
p
<dbl>
1 0.00124
[[5]]
# A tibble: 1 × 1
p
<dbl>
1 0.00446
[[6]]
# A tibble: 1 × 1
p
<dbl>
1 0.241
[[7]]
# A tibble: 1 × 1
p
<dbl>
1 0.00112
[[8]]
# A tibble: 1 × 1
p
<dbl>
1 0.0182
[[9]]
# A tibble: 1 × 1
p
<dbl>
1 0.00109
[[10]]
# A tibble: 1 × 1
p
<dbl>
1 0.0000371
You should see a list of tibbles, each tibble containing one p-value.
If we change the number of iterations, then the number of times map() is called will change:
n_iterations <- 20
iterations <- 1:n_iterations
iterations [1] 1 2 3 4 5 6 7 8 9 10 11 12 13 14 15 16 17 18 19 20
simulation_results_list <-
map(.x = iterations,
.f = ~ {
generate_data(n_per_condition = 50,
mean_control = 0,
mean_intervention = 0.5,
sd = 1) %>%
analyse_data()
})
simulation_results_list[[1]]
# A tibble: 1 × 1
p
<dbl>
1 0.0164
[[2]]
# A tibble: 1 × 1
p
<dbl>
1 0.00480
[[3]]
# A tibble: 1 × 1
p
<dbl>
1 0.200
[[4]]
# A tibble: 1 × 1
p
<dbl>
1 0.0000918
[[5]]
# A tibble: 1 × 1
p
<dbl>
1 0.000000205
[[6]]
# A tibble: 1 × 1
p
<dbl>
1 0.0000232
[[7]]
# A tibble: 1 × 1
p
<dbl>
1 0.0115
[[8]]
# A tibble: 1 × 1
p
<dbl>
1 0.00241
[[9]]
# A tibble: 1 × 1
p
<dbl>
1 0.00204
[[10]]
# A tibble: 1 × 1
p
<dbl>
1 0.0000162
[[11]]
# A tibble: 1 × 1
p
<dbl>
1 0.0725
[[12]]
# A tibble: 1 × 1
p
<dbl>
1 0.0332
[[13]]
# A tibble: 1 × 1
p
<dbl>
1 0.0231
[[14]]
# A tibble: 1 × 1
p
<dbl>
1 0.0493
[[15]]
# A tibble: 1 × 1
p
<dbl>
1 0.0208
[[16]]
# A tibble: 1 × 1
p
<dbl>
1 0.0790
[[17]]
# A tibble: 1 × 1
p
<dbl>
1 0.00661
[[18]]
# A tibble: 1 × 1
p
<dbl>
1 0.0000616
[[19]]
# A tibble: 1 × 1
p
<dbl>
1 0.00155
[[20]]
# A tibble: 1 × 1
p
<dbl>
1 0.000610
8.4.2 Extract one element
Elements from the list output of map() are accessed with [[ ]]. For example, if we want the output of the first iteration, we can do this:
simulation_results_list[[1]]| p |
|---|
| 0.0164349 |
8.5 Turning a list into a tibble
Even though lists are helpful for preventing errors, we ideally would prefer the output to be in a tibble format like we have previously discussed. To get a tibble as output, we can use the map_dfr() function, which returns dataframes as output instead of lists. If each iteration returns a tibble with the same columns (in our case, a single column called p), map_dfr() will map and then bind the outputs together into a single dataframe. We can then simply convert this dataframe back to a tibble.
set.seed(42)
simulation_results <-
map_dfr(.x = iterations,
.f = ~ {
generate_data(n_per_condition = 50,
mean_control = 0,
mean_intervention = 0.5,
sd = 1) %>%
analyse_data()
}) %>%
# convert back to tibble
as_tibble()
simulation_results | p |
|---|
| 0.0029737 |
| 0.0007978 |
| 0.0255875 |
| 0.0001557 |
| 0.0158879 |
| 0.3149819 |
| 0.1153422 |
| 0.0183320 |
| 0.0000150 |
| 0.0002182 |
| 0.0054261 |
| 0.0197717 |
| 0.0283763 |
| 0.0097113 |
| 0.0538560 |
| 0.0020501 |
| 0.0157420 |
| 0.0035298 |
| 0.0025661 |
| 0.0000156 |
As you can see, now simulation_results is a single tibble, not a list.
8.5.1 Add the iteration number
When we look at the nice output above from map_dfr(), we’re missing one important piece of information: the iteration number! As we said above, we ideally want to keep this number so we know what result belongs to what step of the simulation.
We can do this by going back to the original map() function with some small additions. Specifically:
- We create a tibble with a single column, called iteration (or whatever we want), and assign this a vector of values from 1 to the number of iterations we want. For example, if we want 20 iterations:
tibble(iteration = 1:20)| iteration |
|---|
| 1 |
| 2 |
| 3 |
| 4 |
| 5 |
| 6 |
| 7 |
| 8 |
| 9 |
| 10 |
| 11 |
| 12 |
| 13 |
| 14 |
| 15 |
| 16 |
| 17 |
| 18 |
| 19 |
| 20 |
- We mutate a new column into this new tibble, called results (or whatever we want to call it). Then we run
map()within themutate()call using the iteration column and ourgenerate_data()andanalyse_data()functions, like this:
iterations <- 1:20
simulation_results <-
tibble(iteration = iterations) %>%
mutate(results = map(
.x = iteration,
.f = ~ {
generate_data(n_per_condition = 50,
mean_control = 0,
mean_intervention = 0.5,
sd = 1) %>%
analyse_data()
})
)
simulation_results| iteration | results |
|---|---|
| 1 | 0.02959356 |
| 2 | 0.00185507 |
| 3 | 0.004643827 |
| 4 | 0.03549653 |
| 5 | 0.4892311 |
| 6 | 0.009142279 |
| 7 | 0.05966452 |
| 8 | 0.01655122 |
| 9 | 0.005801563 |
| 10 | 0.000256755 |
| 11 | 0.0104157 |
| 12 | 0.01635465 |
| 13 | 0.01848031 |
| 14 | 0.005537285 |
| 15 | 0.005684936 |
| 16 | 0.0228015 |
| 17 | 0.003142272 |
| 18 | 0.001540958 |
| 19 | 0.08811626 |
| 20 | 0.0002433064 |
- Lastly, we can see that the results column contains a tibble per row. We simply need to extract the values from this tibble, which we can do using the
unnest()function. The whole workflow together, then, looks like:
simulation_results <-
tibble(iteration = iterations) %>%
mutate(results = map(
.x = iteration,
.f = ~ {
generate_data(n_per_condition = 50,
mean_control = 0,
mean_intervention = 0.5,
sd = 1) %>%
analyse_data()
})) %>%
unnest(results)
simulation_results| iteration | p |
|---|---|
| 1 | 0.0197662 |
| 2 | 0.0002166 |
| 3 | 0.0022301 |
| 4 | 0.0037534 |
| 5 | 0.0000258 |
| 6 | 0.0523397 |
| 7 | 0.1152882 |
| 8 | 0.3124336 |
| 9 | 0.0384748 |
| 10 | 0.0024443 |
| 11 | 0.0993115 |
| 12 | 0.0023046 |
| 13 | 0.0521973 |
| 14 | 0.0135642 |
| 15 | 0.0009168 |
| 16 | 0.2172348 |
| 17 | 0.0027672 |
| 18 | 0.0090129 |
| 19 | 0.2916117 |
| 20 | 0.0005016 |
This “make a tibble, map into a list-column, then unnest()” pattern is one of the most fundamental and important ways to do tidy simulation.
8.6 Other map_*() variants
There are several different variants of the map() function. You already saw one above: the map_dfr() function, which gave a dataframe as output instead of the list output that map() gives. The other map_*() variants follow a similar pattern - they change the type of output that comes from the map_*() function.
For example, imagine you want one number per iteration, rather than a dataframe or list. You might want a numeric vector of p-values. In this case, we could use map_dbl().
8.6.1 map_dbl() returns a numeric vector
To use map_dbl(), your function must return one numeric value.
iterations <- 1:1000
p_values <-
map_dbl(
.x = iterations,
.f = ~ {
generate_data(n_per_condition = 50,
mean_control = 0,
mean_intervention = 0.5,
sd = 1) %>%
analyse_data() %>%
pull(p)
})
p_values [1] 4.666525e-04 2.012523e-02 4.638533e-02 5.317991e-03 7.688674e-04
[6] 1.344438e-02 1.255989e-02 2.649677e-05 2.466305e-03 2.974570e-04
[11] 5.690345e-03 8.544169e-01 1.833466e-03 4.612120e-01 2.195794e-01
[16] 3.016473e-02 1.018909e-02 1.874567e-02 1.814587e-03 3.548564e-02
[21] 2.377543e-01 5.521642e-04 1.773415e-04 2.090660e-05 1.834746e-03
[26] 1.630593e-01 2.942941e-03 1.025740e-01 1.215219e-02 1.911301e-05
[31] 4.271013e-04 1.915827e-03 6.879278e-05 1.631241e-01 7.654871e-02
[36] 7.278621e-02 1.536246e-03 5.221772e-03 3.743498e-02 5.427426e-01
[41] 9.558830e-04 2.639443e-04 1.770536e-04 1.631261e-02 3.530763e-02
[46] 7.587215e-01 9.257816e-02 1.482285e-03 1.834554e-02 9.971308e-03
[51] 3.037410e-03 1.204419e-01 2.759277e-03 1.139179e-04 1.047270e-02
[56] 1.046784e-03 1.379839e-02 1.359419e-01 6.046638e-05 5.623450e-03
[61] 1.355607e-03 1.469252e-01 4.062115e-03 5.966292e-03 3.141583e-03
[66] 2.693564e-05 3.384890e-02 9.630179e-03 1.847111e-02 1.061410e-01
[71] 1.059602e-01 2.372724e-02 6.004200e-02 2.637462e-04 3.399875e-02
[76] 1.868153e-03 4.569889e-02 8.993814e-03 1.602428e-03 5.981816e-03
[81] 1.141674e-02 1.065612e-01 4.357868e-03 5.009151e-01 1.980014e-02
[86] 7.635621e-03 4.127484e-04 2.561317e-02 3.123059e-02 1.145934e-01
[91] 2.778637e-01 1.233244e-01 8.963531e-03 1.669983e-01 3.145452e-01
[96] 8.679829e-02 3.010300e-02 9.063564e-03 3.909467e-01 8.059614e-02
[101] 4.669900e-02 6.467266e-04 1.779207e-01 1.144619e-01 6.741420e-03
[106] 2.471080e-02 2.892426e-03 1.510166e-02 4.969464e-01 3.291336e-06
[111] 1.091469e-01 3.916981e-02 3.012305e-01 1.415223e-01 2.079289e-01
[116] 1.810891e-01 3.833427e-01 3.018648e-02 5.997560e-03 7.054151e-03
[121] 5.624568e-02 1.160205e-02 4.089332e-04 2.265657e-04 6.236633e-05
[126] 1.222113e-01 1.575624e-03 9.985421e-03 1.294047e-02 2.617027e-01
[131] 3.067044e-03 1.034883e-06 6.818494e-03 5.235144e-02 4.363915e-02
[136] 1.110403e-03 3.328342e-04 2.407932e-04 1.626832e-01 8.403997e-04
[141] 8.741956e-01 3.725461e-04 2.938952e-03 3.416615e-02 9.782377e-03
[146] 9.815601e-04 6.042702e-02 6.062056e-02 7.274024e-03 1.247249e-02
[151] 6.974363e-03 1.843546e-04 5.848055e-04 9.149942e-03 8.694013e-06
[156] 2.012829e-01 1.306352e-01 8.215429e-02 3.300225e-01 6.507556e-05
[161] 4.791601e-05 1.119998e-01 4.335736e-07 7.648566e-03 2.327944e-05
[166] 3.152889e-04 4.462544e-02 6.169020e-01 8.074205e-05 6.517866e-03
[171] 1.976193e-02 8.133722e-02 6.748076e-04 1.050677e-02 3.477516e-01
[176] 4.832936e-05 4.536793e-03 5.027829e-04 9.211695e-02 1.379543e-01
[181] 3.684181e-01 4.282731e-03 9.648937e-04 6.099063e-01 3.753238e-01
[186] 5.055113e-04 3.227473e-04 1.576428e-02 3.776517e-03 5.064594e-02
[191] 3.181467e-04 4.441694e-03 6.844621e-03 4.468365e-01 1.455487e-01
[196] 2.159414e-01 4.192561e-02 2.602880e-01 3.392977e-02 9.505747e-02
[201] 3.486099e-03 1.212636e-01 2.498095e-01 3.823885e-02 2.927931e-01
[206] 1.279297e-02 1.351756e-05 3.265118e-01 2.329183e-01 1.269478e-01
[211] 1.715882e-01 2.330216e-01 4.732274e-03 1.575766e-03 1.075755e-01
[216] 3.545166e-03 7.705247e-02 6.704456e-02 1.529726e-02 1.701595e-02
[221] 5.322658e-04 1.588636e-01 8.081360e-03 8.911265e-01 3.350716e-04
[226] 2.659057e-01 3.065515e-02 2.179633e-05 1.696355e-01 2.219285e-01
[231] 1.396932e-05 2.849390e-02 1.390600e-02 2.526213e-02 3.138925e-03
[236] 8.415230e-04 5.356747e-02 1.612199e-03 2.479104e-01 1.871911e-02
[241] 1.226491e-02 9.267092e-04 1.523577e-06 2.091160e-02 3.067295e-01
[246] 5.054433e-02 1.001426e-02 9.242783e-02 2.947583e-02 7.506686e-03
[251] 4.756387e-02 8.829528e-02 5.468707e-04 8.617094e-03 1.807591e-03
[256] 2.792912e-03 3.148154e-03 1.842672e-02 1.754990e-01 1.590198e-03
[261] 2.469397e-04 2.483365e-03 6.499503e-04 2.726380e-02 8.244573e-01
[266] 1.177633e-01 3.687393e-01 2.851158e-03 7.065510e-03 8.031116e-03
[271] 2.197869e-01 3.046463e-02 4.626245e-01 1.524435e-03 9.128287e-04
[276] 5.152311e-02 8.017618e-02 8.153538e-01 2.411014e-03 1.152437e-02
[281] 8.286833e-02 1.151423e-03 2.555400e-02 4.562290e-04 1.394373e-02
[286] 5.587720e-02 4.017377e-03 9.201265e-02 2.103497e-03 3.273525e-02
[291] 1.039801e-02 4.141150e-04 9.426585e-05 1.571212e-01 6.973980e-02
[296] 1.205929e-04 4.745714e-02 3.433309e-02 1.371251e-02 4.825227e-02
[301] 4.552771e-03 1.014196e-02 5.142125e-05 1.427464e-01 2.256183e-03
[306] 4.125859e-03 5.605544e-02 5.019726e-02 1.187266e-01 1.769173e-03
[311] 1.292404e-01 7.623239e-05 7.236607e-02 9.217424e-02 1.335953e-01
[316] 9.696147e-02 2.211748e-04 9.340378e-03 6.845654e-04 5.201853e-01
[321] 8.275513e-04 1.915509e-01 5.553470e-04 1.174015e-03 1.572668e-02
[326] 1.238102e-02 2.730456e-03 1.860011e-03 3.457861e-01 7.130275e-03
[331] 1.152833e-01 2.603013e-03 2.182446e-01 1.120688e-01 2.765845e-01
[336] 8.390419e-05 1.677412e-01 7.993058e-04 8.594424e-04 7.497707e-04
[341] 1.041506e-02 1.037692e-02 1.418305e-02 2.306536e-02 8.650070e-06
[346] 2.820567e-05 1.726186e-03 3.790407e-03 6.256982e-02 2.838520e-02
[351] 2.731459e-02 4.836634e-02 2.192912e-02 3.689562e-01 4.878476e-02
[356] 4.098774e-02 1.094966e-01 5.442319e-03 7.839990e-02 1.445793e-01
[361] 1.581083e-02 8.266228e-03 1.447403e-01 3.921860e-02 1.596165e-02
[366] 7.935697e-05 1.017031e-01 5.967832e-03 2.066128e-02 3.504886e-02
[371] 5.278621e-03 1.517572e-01 2.478804e-02 1.511277e-03 9.074569e-03
[376] 4.659707e-04 2.781736e-03 3.290541e-02 4.722933e-03 9.064418e-02
[381] 9.724605e-02 1.173014e-03 3.361246e-02 5.352224e-01 3.506202e-03
[386] 7.558638e-03 8.196627e-02 6.803006e-02 1.553188e-02 6.926016e-02
[391] 3.676325e-03 4.761397e-01 3.004081e-02 1.326608e-04 2.705609e-04
[396] 2.031836e-02 2.130037e-02 6.682091e-03 2.491135e-02 1.798774e-02
[401] 4.325692e-04 1.413750e-03 2.919236e-03 3.446332e-04 4.210101e-04
[406] 2.000037e-05 1.779970e-02 7.331548e-04 5.635845e-03 1.367873e-01
[411] 2.962678e-02 1.238849e-01 1.517214e-01 2.044999e-05 1.024948e-02
[416] 4.703661e-03 4.878359e-01 1.449843e-02 3.356549e-06 6.868268e-02
[421] 3.967890e-05 4.117878e-05 3.071309e-06 2.656508e-02 7.671080e-03
[426] 1.089696e-03 2.531642e-01 1.258441e-01 5.119565e-04 5.051716e-01
[431] 4.505750e-04 2.214892e-01 6.179847e-02 2.098055e-03 2.704716e-01
[436] 3.603573e-02 3.343408e-02 1.469055e-01 3.922272e-01 5.347292e-02
[441] 4.306444e-02 2.468807e-01 1.269778e-03 1.291045e-01 8.807760e-03
[446] 4.369998e-02 1.718512e-02 1.325460e-01 1.845836e-02 1.731984e-02
[451] 3.663329e-03 5.819523e-02 1.137205e-01 1.785946e-02 2.159839e-04
[456] 2.996920e-03 1.594698e-01 1.822474e-01 1.090783e-02 5.622185e-02
[461] 2.138500e-02 4.267738e-03 5.473313e-03 1.458733e-01 7.170344e-03
[466] 8.072301e-03 1.953416e-01 1.518488e-02 3.357215e-01 3.513752e-04
[471] 2.305252e-01 7.328304e-03 1.204325e-02 2.193187e-05 5.720590e-02
[476] 6.703660e-02 1.411358e-03 4.706922e-03 5.932812e-05 7.639706e-04
[481] 9.255964e-02 3.286407e-02 1.825410e-01 9.298800e-03 6.245817e-03
[486] 1.342498e-03 9.561971e-03 5.470431e-04 7.719729e-03 8.119442e-02
[491] 6.058563e-04 2.924448e-04 1.434612e-01 3.426956e-02 1.092980e-01
[496] 3.313218e-03 1.390222e-01 6.313951e-05 2.427941e-02 6.879429e-02
[501] 4.257204e-02 1.219628e-01 2.712161e-03 2.773293e-03 4.578624e-05
[506] 2.353801e-01 3.741011e-04 2.721885e-03 1.974931e-03 5.485949e-02
[511] 8.421337e-03 8.259038e-03 1.046169e-04 3.119513e-02 4.671914e-02
[516] 2.564066e-03 2.249201e-02 4.227501e-03 3.394631e-01 3.079470e-04
[521] 1.640894e-02 1.901659e-03 3.611400e-03 3.996744e-01 3.894512e-02
[526] 7.957068e-02 1.847780e-03 2.102832e-04 1.010823e-03 4.656282e-04
[531] 7.794277e-04 1.096533e-01 6.836609e-03 9.630587e-04 2.967425e-03
[536] 3.325412e-03 6.806799e-03 9.601661e-04 1.094263e-01 2.440595e-02
[541] 4.871934e-03 2.414814e-02 2.637546e-02 7.717969e-06 6.851217e-01
[546] 1.485407e-02 4.183556e-01 5.830568e-02 6.934745e-02 2.200224e-02
[551] 1.099129e-03 8.794245e-03 2.109076e-02 1.363216e-03 2.357643e-02
[556] 3.823486e-02 5.900616e-03 1.138644e-02 2.144409e-04 1.240854e-03
[561] 1.709404e-07 1.229089e-01 7.377774e-02 5.877197e-01 2.273116e-03
[566] 7.385524e-02 2.507345e-04 1.349573e-04 9.879248e-05 9.026006e-03
[571] 7.242555e-02 3.379097e-03 2.569610e-04 3.605194e-04 4.017809e-02
[576] 1.067424e-02 6.236215e-02 6.407662e-02 2.494227e-02 3.973438e-01
[581] 2.493151e-03 4.967191e-07 3.519956e-02 8.276517e-03 3.428353e-02
[586] 5.443044e-04 8.096300e-02 1.341145e-02 9.214578e-04 5.811656e-03
[591] 2.986147e-02 6.194083e-03 2.162928e-02 4.215080e-05 6.338607e-03
[596] 9.185005e-04 3.555512e-05 6.533388e-01 2.889042e-02 3.276885e-02
[601] 1.430359e-01 2.355582e-04 1.425002e-03 1.220960e-02 1.660596e-02
[606] 1.241355e-02 7.592368e-03 5.290245e-01 5.323220e-02 1.977762e-01
[611] 1.144834e-01 4.075367e-02 1.246024e-01 4.954340e-02 8.978986e-04
[616] 5.399636e-03 1.712678e-02 3.343796e-02 6.174525e-01 3.069129e-03
[621] 9.261861e-03 1.385493e-04 3.389060e-04 3.144783e-02 2.531504e-02
[626] 4.260136e-02 8.140342e-04 7.472129e-04 3.833783e-03 1.078427e-04
[631] 2.300822e-03 4.954868e-06 3.543609e-02 1.105999e-01 6.453801e-04
[636] 2.339268e-02 4.083626e-06 9.481230e-03 7.569200e-02 3.404302e-05
[641] 1.091606e-02 1.314725e-01 1.209967e-02 2.373967e-02 2.645335e-02
[646] 1.232460e-01 1.966874e-02 2.647056e-05 2.914478e-03 1.795015e-02
[651] 4.806499e-05 4.441438e-01 5.663061e-04 1.551624e-07 7.860286e-04
[656] 4.364087e-03 1.690641e-01 1.644751e-01 5.616775e-06 8.567442e-03
[661] 3.491147e-01 9.768103e-03 3.999422e-03 3.853258e-03 4.695850e-01
[666] 2.551925e-02 1.831129e-02 8.058486e-02 4.482168e-01 4.541158e-02
[671] 2.648301e-01 2.584773e-01 4.284482e-02 2.142144e-01 1.627486e-02
[676] 9.099511e-02 7.133226e-02 5.261065e-07 5.798169e-03 2.076084e-01
[681] 1.371517e-03 1.077274e-02 3.039392e-04 1.693895e-02 6.746897e-04
[686] 4.217998e-03 3.534968e-01 1.639194e-02 9.887329e-04 1.026050e-01
[691] 7.149734e-03 3.158517e-03 1.514375e-03 3.006316e-01 2.508600e-04
[696] 5.283654e-01 1.632971e-04 3.177958e-01 3.188874e-02 3.387779e-01
[701] 7.227857e-02 1.046530e-01 1.541355e-05 7.265299e-04 1.550440e-02
[706] 1.605028e-02 1.576685e-01 9.698183e-01 6.986066e-03 1.483008e-04
[711] 6.354959e-03 1.267450e-01 2.386424e-03 5.432166e-03 3.651963e-04
[716] 2.001217e-03 1.209617e-04 3.586444e-02 7.674233e-05 3.231362e-02
[721] 4.059994e-06 1.449078e-03 4.078291e-02 1.652395e-02 3.306893e-01
[726] 9.463498e-05 1.310258e-04 8.875713e-03 2.496740e-02 1.362217e-03
[731] 9.325438e-03 1.628427e-03 8.246848e-01 8.224375e-01 5.660777e-02
[736] 4.806155e-02 1.021826e-01 5.840248e-03 3.395325e-03 3.180162e-03
[741] 5.996646e-03 3.219922e-04 2.019218e-01 1.945855e-01 2.021297e-03
[746] 3.783443e-02 2.994156e-03 1.308301e-03 4.563221e-03 8.230937e-06
[751] 2.146014e-02 1.904038e-02 3.071676e-06 1.123513e-01 4.816608e-02
[756] 1.048873e-01 1.002372e-02 2.998208e-02 9.920888e-02 2.150093e-02
[761] 1.391056e-01 1.003746e-01 3.410314e-03 6.407914e-03 3.811966e-06
[766] 9.047417e-01 9.863113e-03 2.847298e-03 6.640486e-03 6.632949e-04
[771] 4.531050e-02 1.417665e-03 3.085713e-01 8.100841e-03 5.465166e-02
[776] 3.019805e-01 3.339533e-02 3.380008e-01 5.376706e-02 7.704469e-02
[781] 3.560822e-03 4.122668e-03 1.690780e-04 5.480706e-02 4.489086e-01
[786] 3.658649e-01 7.793026e-02 6.327116e-03 7.980356e-02 3.788703e-01
[791] 4.102283e-05 1.236691e-02 6.258934e-01 5.377373e-01 1.239937e-02
[796] 1.149744e-02 1.064277e-02 1.572937e-03 8.438810e-01 2.290564e-03
[801] 8.425496e-03 7.104277e-01 1.070882e-04 2.963844e-02 2.770285e-01
[806] 1.048182e-02 1.215502e-02 1.255032e-02 3.793713e-03 8.298360e-06
[811] 6.049188e-05 1.709042e-02 3.133467e-03 2.142534e-01 1.153904e-04
[816] 6.639696e-02 3.688777e-02 8.401908e-03 2.388431e-02 8.252971e-05
[821] 4.460784e-06 7.503246e-04 6.564443e-02 5.457656e-03 8.227034e-03
[826] 9.966698e-02 1.020900e-03 4.642136e-03 9.435584e-01 3.203140e-03
[831] 5.383164e-04 2.155370e-02 7.284688e-01 2.461925e-02 9.301567e-02
[836] 7.847592e-02 1.979735e-03 5.168978e-03 2.441413e-03 3.375639e-01
[841] 1.739103e-03 4.423778e-03 3.154545e-01 6.333234e-02 1.798966e-03
[846] 3.383535e-02 3.590826e-02 1.419940e-03 2.832632e-02 5.869603e-06
[851] 2.106491e-03 2.415871e-01 1.481531e-03 1.593689e-01 1.797330e-01
[856] 9.780185e-03 3.172825e-02 2.567284e-02 2.630650e-02 8.413915e-03
[861] 2.299151e-02 3.867529e-03 4.211493e-02 9.022312e-03 6.244896e-02
[866] 9.017403e-03 4.294335e-03 2.291321e-04 2.804536e-02 1.075350e-01
[871] 1.122319e-02 1.949421e-02 8.807731e-02 8.409641e-01 3.303855e-01
[876] 1.967185e-02 7.167426e-03 1.308441e-01 1.809680e-02 2.636749e-01
[881] 3.412860e-04 5.251347e-04 4.410949e-02 1.519833e-01 9.167815e-02
[886] 4.336648e-01 9.464337e-03 1.486106e-03 1.889042e-01 2.225841e-02
[891] 4.475625e-04 2.307720e-02 4.005704e-03 1.168881e-02 7.884024e-04
[896] 2.005362e-02 9.394033e-03 6.439945e-04 4.586697e-02 1.429907e-02
[901] 8.937073e-03 1.343423e-01 5.169611e-02 1.384490e-03 1.198599e-01
[906] 2.704869e-01 5.522357e-05 4.209636e-03 4.511803e-03 8.536671e-02
[911] 1.335683e-04 6.287213e-02 8.684283e-02 9.770677e-03 2.366682e-03
[916] 1.047582e-03 9.605583e-02 1.907607e-01 9.186088e-01 1.246604e-04
[921] 3.004912e-02 2.490270e-02 1.361729e-01 3.155377e-02 5.736676e-02
[926] 2.250401e-01 1.441687e-02 2.805134e-01 1.755897e-02 4.422307e-04
[931] 6.586349e-04 5.336903e-02 4.670337e-02 9.769375e-03 2.067267e-03
[936] 7.414487e-04 1.073982e-03 4.818767e-02 2.472927e-05 2.538248e-01
[941] 2.119280e-04 4.561289e-04 1.789766e-02 2.787010e-02 1.251805e-01
[946] 1.754624e-02 3.970490e-03 2.886213e-03 5.986796e-04 3.053210e-02
[951] 2.667562e-02 1.409960e-01 3.772526e-02 3.954305e-01 8.833157e-04
[956] 1.375227e-01 9.242489e-04 7.454888e-04 1.165888e-02 2.892986e-03
[961] 1.014899e-01 1.758539e-03 1.630944e-01 7.885623e-05 5.585980e-06
[966] 5.815625e-03 1.433193e-02 3.105397e-02 6.486129e-03 1.859486e-01
[971] 7.467830e-04 5.304476e-04 5.380097e-02 1.621474e-04 2.573686e-02
[976] 5.167312e-04 5.824453e-02 7.385131e-08 2.107241e-02 5.544843e-03
[981] 3.778660e-04 1.071321e-04 9.312547e-03 2.610355e-01 1.778563e-02
[986] 1.107218e-02 6.902331e-04 4.713537e-01 1.333704e-03 2.020116e-02
[991] 1.476205e-03 1.298482e-02 2.034386e-03 4.158735e-04 9.492691e-01
[996] 4.538117e-02 2.534481e-01 8.852101e-04 1.398749e-02 2.166040e-03
mean(p_values < .05)[1] 0.692
Now p_values is a plain numeric vector. With this vector, we can do a quick summary, like look at the proportion of p-values less than 0.05:
mean(p_values < .05)[1] 0.692
That number is an estimate of our statistical power under these parameter settings (with potentially lots of error because we only used 10 iterations).
8.7 Null vs alternative using mapping
Let’s examine the distribution of p-values under null vs alternative hypotheses using what we’ve learned from the map() functions.
Let’s say we want to simulate two conditions:
- mean_intervention = 0 (null - there is no true effect)
- mean_intervention = 0.5 (alternative - there is a true effect)
with one of two sample sizes:
- n_per_condition = 20
- n_per_condition = 50
and do 2000 iterations for each combination.
This means we have four combinations in total. We could handle this using map(), defining each of those conditions separately, for example like:
iterations <- 1:100 # lowered for testing; 2000 would be more appropriate
# null results, twenty per group
simulation_results_null_twenty_per_group <-
tibble(iteration = iterations) %>%
mutate(results = map(
.x = iteration,
.f = ~ {
generate_data(n_per_condition = 20,
mean_control = 0,
mean_intervention = 0,
sd = 1) %>%
analyse_data()
})) %>%
unnest(results)
# null results, fifty per group
simulation_results_null_fifty_per_group <-
tibble(iteration = iterations) %>%
mutate(results = map(
.x = iteration,
.f = ~ {
generate_data(n_per_condition = 50,
mean_control = 0,
mean_intervention = 0,
sd = 1) %>%
analyse_data()
})) %>%
unnest(results)
# alternative results, twenty per group
simulation_results_alternative_twenty_per_group <-
tibble(iteration = iterations) %>%
mutate(results = map(
.x = iteration,
.f = ~ {
generate_data(n_per_condition = 20,
mean_control = 0,
mean_intervention = 0.5,
sd = 1) %>%
analyse_data()
})) %>%
unnest(results)
# alternative results, fifty per group
simulation_results_alternative_fifty_per_group <-
tibble(iteration = iterations) %>%
mutate(results = map(
.x = iteration,
.f = ~ {
generate_data(n_per_condition = 50,
mean_control = 0,
mean_intervention = 0.5,
sd = 1) %>%
analyse_data()
})) %>%
unnest(results)
head(simulation_results_null_twenty_per_group)| iteration | p |
|---|---|
| 1 | 0.1453342 |
| 2 | 0.7959616 |
| 3 | 0.4645590 |
| 4 | 0.5696837 |
| 5 | 0.7687247 |
| 6 | 0.7106821 |
head(simulation_results_null_fifty_per_group)| iteration | p |
|---|---|
| 1 | 0.4371779 |
| 2 | 0.5110325 |
| 3 | 0.2279245 |
| 4 | 0.8463326 |
| 5 | 0.7448038 |
| 6 | 0.4176818 |
head(simulation_results_alternative_twenty_per_group)| iteration | p |
|---|---|
| 1 | 0.0195062 |
| 2 | 0.0104987 |
| 3 | 0.1731438 |
| 4 | 0.4204167 |
| 5 | 0.4331122 |
| 6 | 0.0409138 |
head(simulation_results_alternative_fifty_per_group)| iteration | p |
|---|---|
| 1 | 0.0058248 |
| 2 | 0.0142876 |
| 3 | 0.1418534 |
| 4 | 0.3351423 |
| 5 | 0.0292045 |
| 6 | 0.0002249 |
As you can see, this involves copy-pasting, which (as we discussed previously) is something we want to avoid wherever possible.
Our issue is that we have two different parameters (n_per_condition, mean_intervention) that we want to change. To achieve this, we cannot use map(), because map() can only handle one parameter changing at a time (i.e., .x). Instead, we need a map() function that can handle two inputs at once. Fortunately, map2() was made for exactly this purpose! There also exist similar extensions for map2_*() as there are for map_*(), for example map2_dfr() and map2_dbl(): these behave identically to their map_*() equivalents, but just take two inputs instead of one.
8.7.1 Use map2() to map multple parameters at once
Let’s first define our experiment parameters in a tibble. We can do this using expand_grid(), as we learned in the previous chapter.
set.seed(42)
n_iterations <- 100 # lowered for testing; 2000 would be more appropriate
experiment_parameters <- expand_grid(
iteration = 1:n_iterations,
n_per_condition = c(20, 50),
mean_intervention = c(0, 0.5),
mean_control = 0,
sd = 1
)
experiment_parameters| iteration | n_per_condition | mean_intervention | mean_control | sd |
|---|---|---|---|---|
| 1 | 20 | 0.0 | 0 | 1 |
| 1 | 20 | 0.5 | 0 | 1 |
| 1 | 50 | 0.0 | 0 | 1 |
| 1 | 50 | 0.5 | 0 | 1 |
| 2 | 20 | 0.0 | 0 | 1 |
| 2 | 20 | 0.5 | 0 | 1 |
| 2 | 50 | 0.0 | 0 | 1 |
| 2 | 50 | 0.5 | 0 | 1 |
| 3 | 20 | 0.0 | 0 | 1 |
| 3 | 20 | 0.5 | 0 | 1 |
| 3 | 50 | 0.0 | 0 | 1 |
| 3 | 50 | 0.5 | 0 | 1 |
| 4 | 20 | 0.0 | 0 | 1 |
| 4 | 20 | 0.5 | 0 | 1 |
| 4 | 50 | 0.0 | 0 | 1 |
| 4 | 50 | 0.5 | 0 | 1 |
| 5 | 20 | 0.0 | 0 | 1 |
| 5 | 20 | 0.5 | 0 | 1 |
| 5 | 50 | 0.0 | 0 | 1 |
| 5 | 50 | 0.5 | 0 | 1 |
| 6 | 20 | 0.0 | 0 | 1 |
| 6 | 20 | 0.5 | 0 | 1 |
| 6 | 50 | 0.0 | 0 | 1 |
| 6 | 50 | 0.5 | 0 | 1 |
| 7 | 20 | 0.0 | 0 | 1 |
| 7 | 20 | 0.5 | 0 | 1 |
| 7 | 50 | 0.0 | 0 | 1 |
| 7 | 50 | 0.5 | 0 | 1 |
| 8 | 20 | 0.0 | 0 | 1 |
| 8 | 20 | 0.5 | 0 | 1 |
| 8 | 50 | 0.0 | 0 | 1 |
| 8 | 50 | 0.5 | 0 | 1 |
| 9 | 20 | 0.0 | 0 | 1 |
| 9 | 20 | 0.5 | 0 | 1 |
| 9 | 50 | 0.0 | 0 | 1 |
| 9 | 50 | 0.5 | 0 | 1 |
| 10 | 20 | 0.0 | 0 | 1 |
| 10 | 20 | 0.5 | 0 | 1 |
| 10 | 50 | 0.0 | 0 | 1 |
| 10 | 50 | 0.5 | 0 | 1 |
| 11 | 20 | 0.0 | 0 | 1 |
| 11 | 20 | 0.5 | 0 | 1 |
| 11 | 50 | 0.0 | 0 | 1 |
| 11 | 50 | 0.5 | 0 | 1 |
| 12 | 20 | 0.0 | 0 | 1 |
| 12 | 20 | 0.5 | 0 | 1 |
| 12 | 50 | 0.0 | 0 | 1 |
| 12 | 50 | 0.5 | 0 | 1 |
| 13 | 20 | 0.0 | 0 | 1 |
| 13 | 20 | 0.5 | 0 | 1 |
| 13 | 50 | 0.0 | 0 | 1 |
| 13 | 50 | 0.5 | 0 | 1 |
| 14 | 20 | 0.0 | 0 | 1 |
| 14 | 20 | 0.5 | 0 | 1 |
| 14 | 50 | 0.0 | 0 | 1 |
| 14 | 50 | 0.5 | 0 | 1 |
| 15 | 20 | 0.0 | 0 | 1 |
| 15 | 20 | 0.5 | 0 | 1 |
| 15 | 50 | 0.0 | 0 | 1 |
| 15 | 50 | 0.5 | 0 | 1 |
| 16 | 20 | 0.0 | 0 | 1 |
| 16 | 20 | 0.5 | 0 | 1 |
| 16 | 50 | 0.0 | 0 | 1 |
| 16 | 50 | 0.5 | 0 | 1 |
| 17 | 20 | 0.0 | 0 | 1 |
| 17 | 20 | 0.5 | 0 | 1 |
| 17 | 50 | 0.0 | 0 | 1 |
| 17 | 50 | 0.5 | 0 | 1 |
| 18 | 20 | 0.0 | 0 | 1 |
| 18 | 20 | 0.5 | 0 | 1 |
| 18 | 50 | 0.0 | 0 | 1 |
| 18 | 50 | 0.5 | 0 | 1 |
| 19 | 20 | 0.0 | 0 | 1 |
| 19 | 20 | 0.5 | 0 | 1 |
| 19 | 50 | 0.0 | 0 | 1 |
| 19 | 50 | 0.5 | 0 | 1 |
| 20 | 20 | 0.0 | 0 | 1 |
| 20 | 20 | 0.5 | 0 | 1 |
| 20 | 50 | 0.0 | 0 | 1 |
| 20 | 50 | 0.5 | 0 | 1 |
| 21 | 20 | 0.0 | 0 | 1 |
| 21 | 20 | 0.5 | 0 | 1 |
| 21 | 50 | 0.0 | 0 | 1 |
| 21 | 50 | 0.5 | 0 | 1 |
| 22 | 20 | 0.0 | 0 | 1 |
| 22 | 20 | 0.5 | 0 | 1 |
| 22 | 50 | 0.0 | 0 | 1 |
| 22 | 50 | 0.5 | 0 | 1 |
| 23 | 20 | 0.0 | 0 | 1 |
| 23 | 20 | 0.5 | 0 | 1 |
| 23 | 50 | 0.0 | 0 | 1 |
| 23 | 50 | 0.5 | 0 | 1 |
| 24 | 20 | 0.0 | 0 | 1 |
| 24 | 20 | 0.5 | 0 | 1 |
| 24 | 50 | 0.0 | 0 | 1 |
| 24 | 50 | 0.5 | 0 | 1 |
| 25 | 20 | 0.0 | 0 | 1 |
| 25 | 20 | 0.5 | 0 | 1 |
| 25 | 50 | 0.0 | 0 | 1 |
| 25 | 50 | 0.5 | 0 | 1 |
| 26 | 20 | 0.0 | 0 | 1 |
| 26 | 20 | 0.5 | 0 | 1 |
| 26 | 50 | 0.0 | 0 | 1 |
| 26 | 50 | 0.5 | 0 | 1 |
| 27 | 20 | 0.0 | 0 | 1 |
| 27 | 20 | 0.5 | 0 | 1 |
| 27 | 50 | 0.0 | 0 | 1 |
| 27 | 50 | 0.5 | 0 | 1 |
| 28 | 20 | 0.0 | 0 | 1 |
| 28 | 20 | 0.5 | 0 | 1 |
| 28 | 50 | 0.0 | 0 | 1 |
| 28 | 50 | 0.5 | 0 | 1 |
| 29 | 20 | 0.0 | 0 | 1 |
| 29 | 20 | 0.5 | 0 | 1 |
| 29 | 50 | 0.0 | 0 | 1 |
| 29 | 50 | 0.5 | 0 | 1 |
| 30 | 20 | 0.0 | 0 | 1 |
| 30 | 20 | 0.5 | 0 | 1 |
| 30 | 50 | 0.0 | 0 | 1 |
| 30 | 50 | 0.5 | 0 | 1 |
| 31 | 20 | 0.0 | 0 | 1 |
| 31 | 20 | 0.5 | 0 | 1 |
| 31 | 50 | 0.0 | 0 | 1 |
| 31 | 50 | 0.5 | 0 | 1 |
| 32 | 20 | 0.0 | 0 | 1 |
| 32 | 20 | 0.5 | 0 | 1 |
| 32 | 50 | 0.0 | 0 | 1 |
| 32 | 50 | 0.5 | 0 | 1 |
| 33 | 20 | 0.0 | 0 | 1 |
| 33 | 20 | 0.5 | 0 | 1 |
| 33 | 50 | 0.0 | 0 | 1 |
| 33 | 50 | 0.5 | 0 | 1 |
| 34 | 20 | 0.0 | 0 | 1 |
| 34 | 20 | 0.5 | 0 | 1 |
| 34 | 50 | 0.0 | 0 | 1 |
| 34 | 50 | 0.5 | 0 | 1 |
| 35 | 20 | 0.0 | 0 | 1 |
| 35 | 20 | 0.5 | 0 | 1 |
| 35 | 50 | 0.0 | 0 | 1 |
| 35 | 50 | 0.5 | 0 | 1 |
| 36 | 20 | 0.0 | 0 | 1 |
| 36 | 20 | 0.5 | 0 | 1 |
| 36 | 50 | 0.0 | 0 | 1 |
| 36 | 50 | 0.5 | 0 | 1 |
| 37 | 20 | 0.0 | 0 | 1 |
| 37 | 20 | 0.5 | 0 | 1 |
| 37 | 50 | 0.0 | 0 | 1 |
| 37 | 50 | 0.5 | 0 | 1 |
| 38 | 20 | 0.0 | 0 | 1 |
| 38 | 20 | 0.5 | 0 | 1 |
| 38 | 50 | 0.0 | 0 | 1 |
| 38 | 50 | 0.5 | 0 | 1 |
| 39 | 20 | 0.0 | 0 | 1 |
| 39 | 20 | 0.5 | 0 | 1 |
| 39 | 50 | 0.0 | 0 | 1 |
| 39 | 50 | 0.5 | 0 | 1 |
| 40 | 20 | 0.0 | 0 | 1 |
| 40 | 20 | 0.5 | 0 | 1 |
| 40 | 50 | 0.0 | 0 | 1 |
| 40 | 50 | 0.5 | 0 | 1 |
| 41 | 20 | 0.0 | 0 | 1 |
| 41 | 20 | 0.5 | 0 | 1 |
| 41 | 50 | 0.0 | 0 | 1 |
| 41 | 50 | 0.5 | 0 | 1 |
| 42 | 20 | 0.0 | 0 | 1 |
| 42 | 20 | 0.5 | 0 | 1 |
| 42 | 50 | 0.0 | 0 | 1 |
| 42 | 50 | 0.5 | 0 | 1 |
| 43 | 20 | 0.0 | 0 | 1 |
| 43 | 20 | 0.5 | 0 | 1 |
| 43 | 50 | 0.0 | 0 | 1 |
| 43 | 50 | 0.5 | 0 | 1 |
| 44 | 20 | 0.0 | 0 | 1 |
| 44 | 20 | 0.5 | 0 | 1 |
| 44 | 50 | 0.0 | 0 | 1 |
| 44 | 50 | 0.5 | 0 | 1 |
| 45 | 20 | 0.0 | 0 | 1 |
| 45 | 20 | 0.5 | 0 | 1 |
| 45 | 50 | 0.0 | 0 | 1 |
| 45 | 50 | 0.5 | 0 | 1 |
| 46 | 20 | 0.0 | 0 | 1 |
| 46 | 20 | 0.5 | 0 | 1 |
| 46 | 50 | 0.0 | 0 | 1 |
| 46 | 50 | 0.5 | 0 | 1 |
| 47 | 20 | 0.0 | 0 | 1 |
| 47 | 20 | 0.5 | 0 | 1 |
| 47 | 50 | 0.0 | 0 | 1 |
| 47 | 50 | 0.5 | 0 | 1 |
| 48 | 20 | 0.0 | 0 | 1 |
| 48 | 20 | 0.5 | 0 | 1 |
| 48 | 50 | 0.0 | 0 | 1 |
| 48 | 50 | 0.5 | 0 | 1 |
| 49 | 20 | 0.0 | 0 | 1 |
| 49 | 20 | 0.5 | 0 | 1 |
| 49 | 50 | 0.0 | 0 | 1 |
| 49 | 50 | 0.5 | 0 | 1 |
| 50 | 20 | 0.0 | 0 | 1 |
| 50 | 20 | 0.5 | 0 | 1 |
| 50 | 50 | 0.0 | 0 | 1 |
| 50 | 50 | 0.5 | 0 | 1 |
| 51 | 20 | 0.0 | 0 | 1 |
| 51 | 20 | 0.5 | 0 | 1 |
| 51 | 50 | 0.0 | 0 | 1 |
| 51 | 50 | 0.5 | 0 | 1 |
| 52 | 20 | 0.0 | 0 | 1 |
| 52 | 20 | 0.5 | 0 | 1 |
| 52 | 50 | 0.0 | 0 | 1 |
| 52 | 50 | 0.5 | 0 | 1 |
| 53 | 20 | 0.0 | 0 | 1 |
| 53 | 20 | 0.5 | 0 | 1 |
| 53 | 50 | 0.0 | 0 | 1 |
| 53 | 50 | 0.5 | 0 | 1 |
| 54 | 20 | 0.0 | 0 | 1 |
| 54 | 20 | 0.5 | 0 | 1 |
| 54 | 50 | 0.0 | 0 | 1 |
| 54 | 50 | 0.5 | 0 | 1 |
| 55 | 20 | 0.0 | 0 | 1 |
| 55 | 20 | 0.5 | 0 | 1 |
| 55 | 50 | 0.0 | 0 | 1 |
| 55 | 50 | 0.5 | 0 | 1 |
| 56 | 20 | 0.0 | 0 | 1 |
| 56 | 20 | 0.5 | 0 | 1 |
| 56 | 50 | 0.0 | 0 | 1 |
| 56 | 50 | 0.5 | 0 | 1 |
| 57 | 20 | 0.0 | 0 | 1 |
| 57 | 20 | 0.5 | 0 | 1 |
| 57 | 50 | 0.0 | 0 | 1 |
| 57 | 50 | 0.5 | 0 | 1 |
| 58 | 20 | 0.0 | 0 | 1 |
| 58 | 20 | 0.5 | 0 | 1 |
| 58 | 50 | 0.0 | 0 | 1 |
| 58 | 50 | 0.5 | 0 | 1 |
| 59 | 20 | 0.0 | 0 | 1 |
| 59 | 20 | 0.5 | 0 | 1 |
| 59 | 50 | 0.0 | 0 | 1 |
| 59 | 50 | 0.5 | 0 | 1 |
| 60 | 20 | 0.0 | 0 | 1 |
| 60 | 20 | 0.5 | 0 | 1 |
| 60 | 50 | 0.0 | 0 | 1 |
| 60 | 50 | 0.5 | 0 | 1 |
| 61 | 20 | 0.0 | 0 | 1 |
| 61 | 20 | 0.5 | 0 | 1 |
| 61 | 50 | 0.0 | 0 | 1 |
| 61 | 50 | 0.5 | 0 | 1 |
| 62 | 20 | 0.0 | 0 | 1 |
| 62 | 20 | 0.5 | 0 | 1 |
| 62 | 50 | 0.0 | 0 | 1 |
| 62 | 50 | 0.5 | 0 | 1 |
| 63 | 20 | 0.0 | 0 | 1 |
| 63 | 20 | 0.5 | 0 | 1 |
| 63 | 50 | 0.0 | 0 | 1 |
| 63 | 50 | 0.5 | 0 | 1 |
| 64 | 20 | 0.0 | 0 | 1 |
| 64 | 20 | 0.5 | 0 | 1 |
| 64 | 50 | 0.0 | 0 | 1 |
| 64 | 50 | 0.5 | 0 | 1 |
| 65 | 20 | 0.0 | 0 | 1 |
| 65 | 20 | 0.5 | 0 | 1 |
| 65 | 50 | 0.0 | 0 | 1 |
| 65 | 50 | 0.5 | 0 | 1 |
| 66 | 20 | 0.0 | 0 | 1 |
| 66 | 20 | 0.5 | 0 | 1 |
| 66 | 50 | 0.0 | 0 | 1 |
| 66 | 50 | 0.5 | 0 | 1 |
| 67 | 20 | 0.0 | 0 | 1 |
| 67 | 20 | 0.5 | 0 | 1 |
| 67 | 50 | 0.0 | 0 | 1 |
| 67 | 50 | 0.5 | 0 | 1 |
| 68 | 20 | 0.0 | 0 | 1 |
| 68 | 20 | 0.5 | 0 | 1 |
| 68 | 50 | 0.0 | 0 | 1 |
| 68 | 50 | 0.5 | 0 | 1 |
| 69 | 20 | 0.0 | 0 | 1 |
| 69 | 20 | 0.5 | 0 | 1 |
| 69 | 50 | 0.0 | 0 | 1 |
| 69 | 50 | 0.5 | 0 | 1 |
| 70 | 20 | 0.0 | 0 | 1 |
| 70 | 20 | 0.5 | 0 | 1 |
| 70 | 50 | 0.0 | 0 | 1 |
| 70 | 50 | 0.5 | 0 | 1 |
| 71 | 20 | 0.0 | 0 | 1 |
| 71 | 20 | 0.5 | 0 | 1 |
| 71 | 50 | 0.0 | 0 | 1 |
| 71 | 50 | 0.5 | 0 | 1 |
| 72 | 20 | 0.0 | 0 | 1 |
| 72 | 20 | 0.5 | 0 | 1 |
| 72 | 50 | 0.0 | 0 | 1 |
| 72 | 50 | 0.5 | 0 | 1 |
| 73 | 20 | 0.0 | 0 | 1 |
| 73 | 20 | 0.5 | 0 | 1 |
| 73 | 50 | 0.0 | 0 | 1 |
| 73 | 50 | 0.5 | 0 | 1 |
| 74 | 20 | 0.0 | 0 | 1 |
| 74 | 20 | 0.5 | 0 | 1 |
| 74 | 50 | 0.0 | 0 | 1 |
| 74 | 50 | 0.5 | 0 | 1 |
| 75 | 20 | 0.0 | 0 | 1 |
| 75 | 20 | 0.5 | 0 | 1 |
| 75 | 50 | 0.0 | 0 | 1 |
| 75 | 50 | 0.5 | 0 | 1 |
| 76 | 20 | 0.0 | 0 | 1 |
| 76 | 20 | 0.5 | 0 | 1 |
| 76 | 50 | 0.0 | 0 | 1 |
| 76 | 50 | 0.5 | 0 | 1 |
| 77 | 20 | 0.0 | 0 | 1 |
| 77 | 20 | 0.5 | 0 | 1 |
| 77 | 50 | 0.0 | 0 | 1 |
| 77 | 50 | 0.5 | 0 | 1 |
| 78 | 20 | 0.0 | 0 | 1 |
| 78 | 20 | 0.5 | 0 | 1 |
| 78 | 50 | 0.0 | 0 | 1 |
| 78 | 50 | 0.5 | 0 | 1 |
| 79 | 20 | 0.0 | 0 | 1 |
| 79 | 20 | 0.5 | 0 | 1 |
| 79 | 50 | 0.0 | 0 | 1 |
| 79 | 50 | 0.5 | 0 | 1 |
| 80 | 20 | 0.0 | 0 | 1 |
| 80 | 20 | 0.5 | 0 | 1 |
| 80 | 50 | 0.0 | 0 | 1 |
| 80 | 50 | 0.5 | 0 | 1 |
| 81 | 20 | 0.0 | 0 | 1 |
| 81 | 20 | 0.5 | 0 | 1 |
| 81 | 50 | 0.0 | 0 | 1 |
| 81 | 50 | 0.5 | 0 | 1 |
| 82 | 20 | 0.0 | 0 | 1 |
| 82 | 20 | 0.5 | 0 | 1 |
| 82 | 50 | 0.0 | 0 | 1 |
| 82 | 50 | 0.5 | 0 | 1 |
| 83 | 20 | 0.0 | 0 | 1 |
| 83 | 20 | 0.5 | 0 | 1 |
| 83 | 50 | 0.0 | 0 | 1 |
| 83 | 50 | 0.5 | 0 | 1 |
| 84 | 20 | 0.0 | 0 | 1 |
| 84 | 20 | 0.5 | 0 | 1 |
| 84 | 50 | 0.0 | 0 | 1 |
| 84 | 50 | 0.5 | 0 | 1 |
| 85 | 20 | 0.0 | 0 | 1 |
| 85 | 20 | 0.5 | 0 | 1 |
| 85 | 50 | 0.0 | 0 | 1 |
| 85 | 50 | 0.5 | 0 | 1 |
| 86 | 20 | 0.0 | 0 | 1 |
| 86 | 20 | 0.5 | 0 | 1 |
| 86 | 50 | 0.0 | 0 | 1 |
| 86 | 50 | 0.5 | 0 | 1 |
| 87 | 20 | 0.0 | 0 | 1 |
| 87 | 20 | 0.5 | 0 | 1 |
| 87 | 50 | 0.0 | 0 | 1 |
| 87 | 50 | 0.5 | 0 | 1 |
| 88 | 20 | 0.0 | 0 | 1 |
| 88 | 20 | 0.5 | 0 | 1 |
| 88 | 50 | 0.0 | 0 | 1 |
| 88 | 50 | 0.5 | 0 | 1 |
| 89 | 20 | 0.0 | 0 | 1 |
| 89 | 20 | 0.5 | 0 | 1 |
| 89 | 50 | 0.0 | 0 | 1 |
| 89 | 50 | 0.5 | 0 | 1 |
| 90 | 20 | 0.0 | 0 | 1 |
| 90 | 20 | 0.5 | 0 | 1 |
| 90 | 50 | 0.0 | 0 | 1 |
| 90 | 50 | 0.5 | 0 | 1 |
| 91 | 20 | 0.0 | 0 | 1 |
| 91 | 20 | 0.5 | 0 | 1 |
| 91 | 50 | 0.0 | 0 | 1 |
| 91 | 50 | 0.5 | 0 | 1 |
| 92 | 20 | 0.0 | 0 | 1 |
| 92 | 20 | 0.5 | 0 | 1 |
| 92 | 50 | 0.0 | 0 | 1 |
| 92 | 50 | 0.5 | 0 | 1 |
| 93 | 20 | 0.0 | 0 | 1 |
| 93 | 20 | 0.5 | 0 | 1 |
| 93 | 50 | 0.0 | 0 | 1 |
| 93 | 50 | 0.5 | 0 | 1 |
| 94 | 20 | 0.0 | 0 | 1 |
| 94 | 20 | 0.5 | 0 | 1 |
| 94 | 50 | 0.0 | 0 | 1 |
| 94 | 50 | 0.5 | 0 | 1 |
| 95 | 20 | 0.0 | 0 | 1 |
| 95 | 20 | 0.5 | 0 | 1 |
| 95 | 50 | 0.0 | 0 | 1 |
| 95 | 50 | 0.5 | 0 | 1 |
| 96 | 20 | 0.0 | 0 | 1 |
| 96 | 20 | 0.5 | 0 | 1 |
| 96 | 50 | 0.0 | 0 | 1 |
| 96 | 50 | 0.5 | 0 | 1 |
| 97 | 20 | 0.0 | 0 | 1 |
| 97 | 20 | 0.5 | 0 | 1 |
| 97 | 50 | 0.0 | 0 | 1 |
| 97 | 50 | 0.5 | 0 | 1 |
| 98 | 20 | 0.0 | 0 | 1 |
| 98 | 20 | 0.5 | 0 | 1 |
| 98 | 50 | 0.0 | 0 | 1 |
| 98 | 50 | 0.5 | 0 | 1 |
| 99 | 20 | 0.0 | 0 | 1 |
| 99 | 20 | 0.5 | 0 | 1 |
| 99 | 50 | 0.0 | 0 | 1 |
| 99 | 50 | 0.5 | 0 | 1 |
| 100 | 20 | 0.0 | 0 | 1 |
| 100 | 20 | 0.5 | 0 | 1 |
| 100 | 50 | 0.0 | 0 | 1 |
| 100 | 50 | 0.5 | 0 | 1 |
We can double-check our output to make sure we’re covering all parameter combinations we care about. We can do this by calling distinct() on only the columns that we want to vary (and ignore iteration, since this just repeats settings). We can specify .keep_all = TRUE in distinct() to keep all columns for our inspection; by default, distinct() will drop columns that are not mentioned in the distinct() function:
experiment_parameters %>%
distinct(n_per_condition, mean_intervention, .keep_all = TRUE)| iteration | n_per_condition | mean_intervention | mean_control | sd |
|---|---|---|---|---|
| 1 | 20 | 0.0 | 0 | 1 |
| 1 | 20 | 0.5 | 0 | 1 |
| 1 | 50 | 0.0 | 0 | 1 |
| 1 | 50 | 0.5 | 0 | 1 |
We now have our range of experiments defined: 2000 iterations for each combination, with each condition represented (as shown in the double-check above).
We’ll now run all of this over map2(). To do this, we need to specify one input in map2() with the .x argument (just like map()), and another input with the .y argument. We specify the function (generate_data(), in this case) with .f. And somewhat confusingly, all of this becomes the .x input for a call to map(), with .f being our analyse_data() function!
simulation_results <- experiment_parameters %>%
mutate(
results = map(
.x = map2(
.x = n_per_condition,
.y = mean_intervention,
.f = ~ generate_data(
n_per_condition = .x,
mean_control = 0,
mean_intervention = .y,
sd = 1
)
),
.f = analyse_data)
) %>%
unnest(results)
simulation_results| iteration | n_per_condition | mean_intervention | mean_control | sd | p |
|---|---|---|---|---|---|
| 1 | 20 | 0.0 | 0 | 1 | 0.2358691 |
| 1 | 20 | 0.5 | 0 | 1 | 0.0294177 |
| 1 | 50 | 0.0 | 0 | 1 | 0.5452814 |
| 1 | 50 | 0.5 | 0 | 1 | 0.0017509 |
| 2 | 20 | 0.0 | 0 | 1 | 0.9007681 |
| 2 | 20 | 0.5 | 0 | 1 | 0.0294721 |
| 2 | 50 | 0.0 | 0 | 1 | 0.3704400 |
| 2 | 50 | 0.5 | 0 | 1 | 0.0001107 |
| 3 | 20 | 0.0 | 0 | 1 | 0.7474361 |
| 3 | 20 | 0.5 | 0 | 1 | 0.1357919 |
| 3 | 50 | 0.0 | 0 | 1 | 0.8374041 |
| 3 | 50 | 0.5 | 0 | 1 | 0.0098105 |
| 4 | 20 | 0.0 | 0 | 1 | 0.1920760 |
| 4 | 20 | 0.5 | 0 | 1 | 0.9449376 |
| 4 | 50 | 0.0 | 0 | 1 | 0.8354580 |
| 4 | 50 | 0.5 | 0 | 1 | 0.0039881 |
| 5 | 20 | 0.0 | 0 | 1 | 0.8644519 |
| 5 | 20 | 0.5 | 0 | 1 | 0.5870416 |
| 5 | 50 | 0.0 | 0 | 1 | 0.7378746 |
| 5 | 50 | 0.5 | 0 | 1 | 0.0097113 |
| 6 | 20 | 0.0 | 0 | 1 | 0.8227410 |
| 6 | 20 | 0.5 | 0 | 1 | 0.2692114 |
| 6 | 50 | 0.0 | 0 | 1 | 0.8670990 |
| 6 | 50 | 0.5 | 0 | 1 | 0.0017967 |
| 7 | 20 | 0.0 | 0 | 1 | 0.3333495 |
| 7 | 20 | 0.5 | 0 | 1 | 0.1369285 |
| 7 | 50 | 0.0 | 0 | 1 | 0.2588005 |
| 7 | 50 | 0.5 | 0 | 1 | 0.7151300 |
| 8 | 20 | 0.0 | 0 | 1 | 0.1536404 |
| 8 | 20 | 0.5 | 0 | 1 | 0.0009852 |
| 8 | 50 | 0.0 | 0 | 1 | 0.5937310 |
| 8 | 50 | 0.5 | 0 | 1 | 0.2640857 |
| 9 | 20 | 0.0 | 0 | 1 | 0.5677806 |
| 9 | 20 | 0.5 | 0 | 1 | 0.3378214 |
| 9 | 50 | 0.0 | 0 | 1 | 0.1580360 |
| 9 | 50 | 0.5 | 0 | 1 | 0.0298074 |
| 10 | 20 | 0.0 | 0 | 1 | 0.4900970 |
| 10 | 20 | 0.5 | 0 | 1 | 0.0165283 |
| 10 | 50 | 0.0 | 0 | 1 | 0.6881892 |
| 10 | 50 | 0.5 | 0 | 1 | 0.0165512 |
| 11 | 20 | 0.0 | 0 | 1 | 0.1154523 |
| 11 | 20 | 0.5 | 0 | 1 | 0.2368427 |
| 11 | 50 | 0.0 | 0 | 1 | 0.5842912 |
| 11 | 50 | 0.5 | 0 | 1 | 0.0000100 |
| 12 | 20 | 0.0 | 0 | 1 | 0.2443238 |
| 12 | 20 | 0.5 | 0 | 1 | 0.0000759 |
| 12 | 50 | 0.0 | 0 | 1 | 0.5575021 |
| 12 | 50 | 0.5 | 0 | 1 | 0.0478280 |
| 13 | 20 | 0.0 | 0 | 1 | 0.5894240 |
| 13 | 20 | 0.5 | 0 | 1 | 0.1775666 |
| 13 | 50 | 0.0 | 0 | 1 | 0.7172706 |
| 13 | 50 | 0.5 | 0 | 1 | 0.0670089 |
| 14 | 20 | 0.0 | 0 | 1 | 0.6602838 |
| 14 | 20 | 0.5 | 0 | 1 | 0.7688342 |
| 14 | 50 | 0.0 | 0 | 1 | 0.4394668 |
| 14 | 50 | 0.5 | 0 | 1 | 0.0202417 |
| 15 | 20 | 0.0 | 0 | 1 | 0.7780158 |
| 15 | 20 | 0.5 | 0 | 1 | 0.5175163 |
| 15 | 50 | 0.0 | 0 | 1 | 0.9765046 |
| 15 | 50 | 0.5 | 0 | 1 | 0.0002166 |
| 16 | 20 | 0.0 | 0 | 1 | 0.8276490 |
| 16 | 20 | 0.5 | 0 | 1 | 0.0635778 |
| 16 | 50 | 0.0 | 0 | 1 | 0.8839211 |
| 16 | 50 | 0.5 | 0 | 1 | 0.0000208 |
| 17 | 20 | 0.0 | 0 | 1 | 0.0719567 |
| 17 | 20 | 0.5 | 0 | 1 | 0.0486482 |
| 17 | 50 | 0.0 | 0 | 1 | 0.9088703 |
| 17 | 50 | 0.5 | 0 | 1 | 0.1216765 |
| 18 | 20 | 0.0 | 0 | 1 | 0.3088926 |
| 18 | 20 | 0.5 | 0 | 1 | 0.0571228 |
| 18 | 50 | 0.0 | 0 | 1 | 0.2866995 |
| 18 | 50 | 0.5 | 0 | 1 | 0.0215812 |
| 19 | 20 | 0.0 | 0 | 1 | 0.3249244 |
| 19 | 20 | 0.5 | 0 | 1 | 0.2241205 |
| 19 | 50 | 0.0 | 0 | 1 | 0.1086647 |
| 19 | 50 | 0.5 | 0 | 1 | 0.0028416 |
| 20 | 20 | 0.0 | 0 | 1 | 0.0576901 |
| 20 | 20 | 0.5 | 0 | 1 | 0.0267679 |
| 20 | 50 | 0.0 | 0 | 1 | 0.3351980 |
| 20 | 50 | 0.5 | 0 | 1 | 0.2172348 |
| 21 | 20 | 0.0 | 0 | 1 | 0.8529607 |
| 21 | 20 | 0.5 | 0 | 1 | 0.2108827 |
| 21 | 50 | 0.0 | 0 | 1 | 0.4618911 |
| 21 | 50 | 0.5 | 0 | 1 | 0.0032626 |
| 22 | 20 | 0.0 | 0 | 1 | 0.5139865 |
| 22 | 20 | 0.5 | 0 | 1 | 0.2805767 |
| 22 | 50 | 0.0 | 0 | 1 | 0.6795659 |
| 22 | 50 | 0.5 | 0 | 1 | 0.0411128 |
| 23 | 20 | 0.0 | 0 | 1 | 0.2766216 |
| 23 | 20 | 0.5 | 0 | 1 | 0.1725589 |
| 23 | 50 | 0.0 | 0 | 1 | 0.1421826 |
| 23 | 50 | 0.5 | 0 | 1 | 0.0217307 |
| 24 | 20 | 0.0 | 0 | 1 | 0.1041279 |
| 24 | 20 | 0.5 | 0 | 1 | 0.0901368 |
| 24 | 50 | 0.0 | 0 | 1 | 0.2798483 |
| 24 | 50 | 0.5 | 0 | 1 | 0.0329285 |
| 25 | 20 | 0.0 | 0 | 1 | 0.3243980 |
| 25 | 20 | 0.5 | 0 | 1 | 0.2974598 |
| 25 | 50 | 0.0 | 0 | 1 | 0.4814088 |
| 25 | 50 | 0.5 | 0 | 1 | 0.0002975 |
| 26 | 20 | 0.0 | 0 | 1 | 0.9668918 |
| 26 | 20 | 0.5 | 0 | 1 | 0.0182808 |
| 26 | 50 | 0.0 | 0 | 1 | 0.8704508 |
| 26 | 50 | 0.5 | 0 | 1 | 0.0001709 |
| 27 | 20 | 0.0 | 0 | 1 | 0.3985873 |
| 27 | 20 | 0.5 | 0 | 1 | 0.8953540 |
| 27 | 50 | 0.0 | 0 | 1 | 0.2503202 |
| 27 | 50 | 0.5 | 0 | 1 | 0.0000014 |
| 28 | 20 | 0.0 | 0 | 1 | 0.0968678 |
| 28 | 20 | 0.5 | 0 | 1 | 0.2335379 |
| 28 | 50 | 0.0 | 0 | 1 | 0.5935613 |
| 28 | 50 | 0.5 | 0 | 1 | 0.1870497 |
| 29 | 20 | 0.0 | 0 | 1 | 0.5970139 |
| 29 | 20 | 0.5 | 0 | 1 | 0.0087608 |
| 29 | 50 | 0.0 | 0 | 1 | 0.9290751 |
| 29 | 50 | 0.5 | 0 | 1 | 0.0543998 |
| 30 | 20 | 0.0 | 0 | 1 | 0.4615459 |
| 30 | 20 | 0.5 | 0 | 1 | 0.0049776 |
| 30 | 50 | 0.0 | 0 | 1 | 0.2394166 |
| 30 | 50 | 0.5 | 0 | 1 | 0.0000209 |
| 31 | 20 | 0.0 | 0 | 1 | 0.4910720 |
| 31 | 20 | 0.5 | 0 | 1 | 0.2767293 |
| 31 | 50 | 0.0 | 0 | 1 | 0.0696785 |
| 31 | 50 | 0.5 | 0 | 1 | 0.0024224 |
| 32 | 20 | 0.0 | 0 | 1 | 0.8754289 |
| 32 | 20 | 0.5 | 0 | 1 | 0.0407282 |
| 32 | 50 | 0.0 | 0 | 1 | 0.8724720 |
| 32 | 50 | 0.5 | 0 | 1 | 0.0009258 |
| 33 | 20 | 0.0 | 0 | 1 | 0.7593290 |
| 33 | 20 | 0.5 | 0 | 1 | 0.0071306 |
| 33 | 50 | 0.0 | 0 | 1 | 0.2555236 |
| 33 | 50 | 0.5 | 0 | 1 | 0.2461422 |
| 34 | 20 | 0.0 | 0 | 1 | 0.2705090 |
| 34 | 20 | 0.5 | 0 | 1 | 0.0042343 |
| 34 | 50 | 0.0 | 0 | 1 | 0.9951105 |
| 34 | 50 | 0.5 | 0 | 1 | 0.0841026 |
| 35 | 20 | 0.0 | 0 | 1 | 0.4934409 |
| 35 | 20 | 0.5 | 0 | 1 | 0.1545978 |
| 35 | 50 | 0.0 | 0 | 1 | 0.6125453 |
| 35 | 50 | 0.5 | 0 | 1 | 0.0052218 |
| 36 | 20 | 0.0 | 0 | 1 | 0.9232995 |
| 36 | 20 | 0.5 | 0 | 1 | 0.0042587 |
| 36 | 50 | 0.0 | 0 | 1 | 0.4266709 |
| 36 | 50 | 0.5 | 0 | 1 | 0.0002497 |
| 37 | 20 | 0.0 | 0 | 1 | 0.2372722 |
| 37 | 20 | 0.5 | 0 | 1 | 0.0149333 |
| 37 | 50 | 0.0 | 0 | 1 | 0.5467288 |
| 37 | 50 | 0.5 | 0 | 1 | 0.0080117 |
| 38 | 20 | 0.0 | 0 | 1 | 0.9839490 |
| 38 | 20 | 0.5 | 0 | 1 | 0.4816640 |
| 38 | 50 | 0.0 | 0 | 1 | 0.4714254 |
| 38 | 50 | 0.5 | 0 | 1 | 0.0007713 |
| 39 | 20 | 0.0 | 0 | 1 | 0.4485501 |
| 39 | 20 | 0.5 | 0 | 1 | 0.0267495 |
| 39 | 50 | 0.0 | 0 | 1 | 0.5070218 |
| 39 | 50 | 0.5 | 0 | 1 | 0.0075852 |
| 40 | 20 | 0.0 | 0 | 1 | 0.8918099 |
| 40 | 20 | 0.5 | 0 | 1 | 0.5700178 |
| 40 | 50 | 0.0 | 0 | 1 | 0.6610973 |
| 40 | 50 | 0.5 | 0 | 1 | 0.1204419 |
| 41 | 20 | 0.0 | 0 | 1 | 0.8815861 |
| 41 | 20 | 0.5 | 0 | 1 | 0.0397154 |
| 41 | 50 | 0.0 | 0 | 1 | 0.1936021 |
| 41 | 50 | 0.5 | 0 | 1 | 0.0714227 |
| 42 | 20 | 0.0 | 0 | 1 | 0.3725206 |
| 42 | 20 | 0.5 | 0 | 1 | 0.1098875 |
| 42 | 50 | 0.0 | 0 | 1 | 0.9271378 |
| 42 | 50 | 0.5 | 0 | 1 | 0.0217474 |
| 43 | 20 | 0.0 | 0 | 1 | 0.6659532 |
| 43 | 20 | 0.5 | 0 | 1 | 0.1174246 |
| 43 | 50 | 0.0 | 0 | 1 | 0.8531550 |
| 43 | 50 | 0.5 | 0 | 1 | 0.0672954 |
| 44 | 20 | 0.0 | 0 | 1 | 0.5607710 |
| 44 | 20 | 0.5 | 0 | 1 | 0.2172196 |
| 44 | 50 | 0.0 | 0 | 1 | 0.4634918 |
| 44 | 50 | 0.5 | 0 | 1 | 0.0024532 |
| 45 | 20 | 0.0 | 0 | 1 | 0.6703072 |
| 45 | 20 | 0.5 | 0 | 1 | 0.8492234 |
| 45 | 50 | 0.0 | 0 | 1 | 0.7054496 |
| 45 | 50 | 0.5 | 0 | 1 | 0.0000269 |
| 46 | 20 | 0.0 | 0 | 1 | 0.7406881 |
| 46 | 20 | 0.5 | 0 | 1 | 0.0419036 |
| 46 | 50 | 0.0 | 0 | 1 | 0.0959678 |
| 46 | 50 | 0.5 | 0 | 1 | 0.0011498 |
| 47 | 20 | 0.0 | 0 | 1 | 0.5807138 |
| 47 | 20 | 0.5 | 0 | 1 | 0.8872273 |
| 47 | 50 | 0.0 | 0 | 1 | 0.4768787 |
| 47 | 50 | 0.5 | 0 | 1 | 0.0769957 |
| 48 | 20 | 0.0 | 0 | 1 | 0.0567639 |
| 48 | 20 | 0.5 | 0 | 1 | 0.1465805 |
| 48 | 50 | 0.0 | 0 | 1 | 0.1964198 |
| 48 | 50 | 0.5 | 0 | 1 | 0.0403930 |
| 49 | 20 | 0.0 | 0 | 1 | 0.2312164 |
| 49 | 20 | 0.5 | 0 | 1 | 0.0008680 |
| 49 | 50 | 0.0 | 0 | 1 | 0.6831638 |
| 49 | 50 | 0.5 | 0 | 1 | 0.0123895 |
| 50 | 20 | 0.0 | 0 | 1 | 0.4461400 |
| 50 | 20 | 0.5 | 0 | 1 | 0.1342414 |
| 50 | 50 | 0.0 | 0 | 1 | 0.5988310 |
| 50 | 50 | 0.5 | 0 | 1 | 0.0059818 |
| 51 | 20 | 0.0 | 0 | 1 | 0.4766470 |
| 51 | 20 | 0.5 | 0 | 1 | 0.0225638 |
| 51 | 50 | 0.0 | 0 | 1 | 0.1466148 |
| 51 | 50 | 0.5 | 0 | 1 | 0.2888023 |
| 52 | 20 | 0.0 | 0 | 1 | 0.7186221 |
| 52 | 20 | 0.5 | 0 | 1 | 0.0692049 |
| 52 | 50 | 0.0 | 0 | 1 | 0.0410977 |
| 52 | 50 | 0.5 | 0 | 1 | 0.0200227 |
| 53 | 20 | 0.0 | 0 | 1 | 0.0507205 |
| 53 | 20 | 0.5 | 0 | 1 | 0.0123157 |
| 53 | 50 | 0.0 | 0 | 1 | 0.5310912 |
| 53 | 50 | 0.5 | 0 | 1 | 0.0000373 |
| 54 | 20 | 0.0 | 0 | 1 | 0.7879032 |
| 54 | 20 | 0.5 | 0 | 1 | 0.0082047 |
| 54 | 50 | 0.0 | 0 | 1 | 0.8681348 |
| 54 | 50 | 0.5 | 0 | 1 | 0.0391161 |
| 55 | 20 | 0.0 | 0 | 1 | 0.2162667 |
| 55 | 20 | 0.5 | 0 | 1 | 0.0310406 |
| 55 | 50 | 0.0 | 0 | 1 | 0.7335112 |
| 55 | 50 | 0.5 | 0 | 1 | 0.1669983 |
| 56 | 20 | 0.0 | 0 | 1 | 0.7278081 |
| 56 | 20 | 0.5 | 0 | 1 | 0.0967846 |
| 56 | 50 | 0.0 | 0 | 1 | 0.7095597 |
| 56 | 50 | 0.5 | 0 | 1 | 0.0536354 |
| 57 | 20 | 0.0 | 0 | 1 | 0.6696300 |
| 57 | 20 | 0.5 | 0 | 1 | 0.1829540 |
| 57 | 50 | 0.0 | 0 | 1 | 0.9505635 |
| 57 | 50 | 0.5 | 0 | 1 | 0.0000590 |
| 58 | 20 | 0.0 | 0 | 1 | 0.2159070 |
| 58 | 20 | 0.5 | 0 | 1 | 0.0040368 |
| 58 | 50 | 0.0 | 0 | 1 | 0.5592023 |
| 58 | 50 | 0.5 | 0 | 1 | 0.0069458 |
| 59 | 20 | 0.0 | 0 | 1 | 0.4760238 |
| 59 | 20 | 0.5 | 0 | 1 | 0.2711118 |
| 59 | 50 | 0.0 | 0 | 1 | 0.7086696 |
| 59 | 50 | 0.5 | 0 | 1 | 0.0114818 |
| 60 | 20 | 0.0 | 0 | 1 | 0.2336356 |
| 60 | 20 | 0.5 | 0 | 1 | 0.0614009 |
| 60 | 50 | 0.0 | 0 | 1 | 0.5954791 |
| 60 | 50 | 0.5 | 0 | 1 | 0.0151017 |
| 61 | 20 | 0.0 | 0 | 1 | 0.5698490 |
| 61 | 20 | 0.5 | 0 | 1 | 0.0930190 |
| 61 | 50 | 0.0 | 0 | 1 | 0.4691520 |
| 61 | 50 | 0.5 | 0 | 1 | 0.5715771 |
| 62 | 20 | 0.0 | 0 | 1 | 0.3478855 |
| 62 | 20 | 0.5 | 0 | 1 | 0.7637102 |
| 62 | 50 | 0.0 | 0 | 1 | 0.5511863 |
| 62 | 50 | 0.5 | 0 | 1 | 0.2963234 |
| 63 | 20 | 0.0 | 0 | 1 | 0.9061305 |
| 63 | 20 | 0.5 | 0 | 1 | 0.1859281 |
| 63 | 50 | 0.0 | 0 | 1 | 0.5166240 |
| 63 | 50 | 0.5 | 0 | 1 | 0.0006207 |
| 64 | 20 | 0.0 | 0 | 1 | 0.3444249 |
| 64 | 20 | 0.5 | 0 | 1 | 0.0221393 |
| 64 | 50 | 0.0 | 0 | 1 | 0.1345984 |
| 64 | 50 | 0.5 | 0 | 1 | 0.0444748 |
| 65 | 20 | 0.0 | 0 | 1 | 0.8866506 |
| 65 | 20 | 0.5 | 0 | 1 | 0.0019999 |
| 65 | 50 | 0.0 | 0 | 1 | 0.5885960 |
| 65 | 50 | 0.5 | 0 | 1 | 0.0116021 |
| 66 | 20 | 0.0 | 0 | 1 | 0.1134797 |
| 66 | 20 | 0.5 | 0 | 1 | 0.0066662 |
| 66 | 50 | 0.0 | 0 | 1 | 0.1849508 |
| 66 | 50 | 0.5 | 0 | 1 | 0.0056841 |
| 67 | 20 | 0.0 | 0 | 1 | 0.7988240 |
| 67 | 20 | 0.5 | 0 | 1 | 0.7557272 |
| 67 | 50 | 0.0 | 0 | 1 | 0.1023708 |
| 67 | 50 | 0.5 | 0 | 1 | 0.0140864 |
| 68 | 20 | 0.0 | 0 | 1 | 0.1699017 |
| 68 | 20 | 0.5 | 0 | 1 | 0.0162113 |
| 68 | 50 | 0.0 | 0 | 1 | 0.6860811 |
| 68 | 50 | 0.5 | 0 | 1 | 0.0157552 |
| 69 | 20 | 0.0 | 0 | 1 | 0.1795189 |
| 69 | 20 | 0.5 | 0 | 1 | 0.0625229 |
| 69 | 50 | 0.0 | 0 | 1 | 0.3639830 |
| 69 | 50 | 0.5 | 0 | 1 | 0.0829220 |
| 70 | 20 | 0.0 | 0 | 1 | 0.6370330 |
| 70 | 20 | 0.5 | 0 | 1 | 0.1371756 |
| 70 | 50 | 0.0 | 0 | 1 | 0.6521666 |
| 70 | 50 | 0.5 | 0 | 1 | 0.0011104 |
| 71 | 20 | 0.0 | 0 | 1 | 0.8032990 |
| 71 | 20 | 0.5 | 0 | 1 | 0.0059388 |
| 71 | 50 | 0.0 | 0 | 1 | 0.8280619 |
| 71 | 50 | 0.5 | 0 | 1 | 0.0428784 |
| 72 | 20 | 0.0 | 0 | 1 | 0.6685268 |
| 72 | 20 | 0.5 | 0 | 1 | 0.1345009 |
| 72 | 50 | 0.0 | 0 | 1 | 0.1929189 |
| 72 | 50 | 0.5 | 0 | 1 | 0.0655669 |
| 73 | 20 | 0.0 | 0 | 1 | 0.6466580 |
| 73 | 20 | 0.5 | 0 | 1 | 0.0056219 |
| 73 | 50 | 0.0 | 0 | 1 | 0.9098983 |
| 73 | 50 | 0.5 | 0 | 1 | 0.1026206 |
| 74 | 20 | 0.0 | 0 | 1 | 0.1378768 |
| 74 | 20 | 0.5 | 0 | 1 | 0.4157333 |
| 74 | 50 | 0.0 | 0 | 1 | 0.9525954 |
| 74 | 50 | 0.5 | 0 | 1 | 0.0144973 |
| 75 | 20 | 0.0 | 0 | 1 | 0.0841765 |
| 75 | 20 | 0.5 | 0 | 1 | 0.9632743 |
| 75 | 50 | 0.0 | 0 | 1 | 0.5187432 |
| 75 | 50 | 0.5 | 0 | 1 | 0.0124725 |
| 76 | 20 | 0.0 | 0 | 1 | 0.7843097 |
| 76 | 20 | 0.5 | 0 | 1 | 0.0663900 |
| 76 | 50 | 0.0 | 0 | 1 | 0.2283760 |
| 76 | 50 | 0.5 | 0 | 1 | 0.0052533 |
| 77 | 20 | 0.0 | 0 | 1 | 0.2112752 |
| 77 | 20 | 0.5 | 0 | 1 | 0.3583048 |
| 77 | 50 | 0.0 | 0 | 1 | 0.5443692 |
| 77 | 50 | 0.5 | 0 | 1 | 0.0204712 |
| 78 | 20 | 0.0 | 0 | 1 | 0.0385561 |
| 78 | 20 | 0.5 | 0 | 1 | 0.0060373 |
| 78 | 50 | 0.0 | 0 | 1 | 0.9028275 |
| 78 | 50 | 0.5 | 0 | 1 | 0.0002188 |
| 79 | 20 | 0.0 | 0 | 1 | 0.4857599 |
| 79 | 20 | 0.5 | 0 | 1 | 0.1402534 |
| 79 | 50 | 0.0 | 0 | 1 | 0.8858590 |
| 79 | 50 | 0.5 | 0 | 1 | 0.0001198 |
| 80 | 20 | 0.0 | 0 | 1 | 0.8968275 |
| 80 | 20 | 0.5 | 0 | 1 | 0.0046719 |
| 80 | 50 | 0.0 | 0 | 1 | 0.0127453 |
| 80 | 50 | 0.5 | 0 | 1 | 0.0076486 |
| 81 | 20 | 0.0 | 0 | 1 | 0.2939065 |
| 81 | 20 | 0.5 | 0 | 1 | 0.0009980 |
| 81 | 50 | 0.0 | 0 | 1 | 0.7715265 |
| 81 | 50 | 0.5 | 0 | 1 | 0.1662920 |
| 82 | 20 | 0.0 | 0 | 1 | 0.6606865 |
| 82 | 20 | 0.5 | 0 | 1 | 0.2652394 |
| 82 | 50 | 0.0 | 0 | 1 | 0.9995133 |
| 82 | 50 | 0.5 | 0 | 1 | 0.0020131 |
| 83 | 20 | 0.0 | 0 | 1 | 0.3266794 |
| 83 | 20 | 0.5 | 0 | 1 | 0.0295306 |
| 83 | 50 | 0.0 | 0 | 1 | 0.5061239 |
| 83 | 50 | 0.5 | 0 | 1 | 0.0000190 |
| 84 | 20 | 0.0 | 0 | 1 | 0.7800604 |
| 84 | 20 | 0.5 | 0 | 1 | 0.1522274 |
| 84 | 50 | 0.0 | 0 | 1 | 0.1690908 |
| 84 | 50 | 0.5 | 0 | 1 | 0.0211053 |
| 85 | 20 | 0.0 | 0 | 1 | 0.1415474 |
| 85 | 20 | 0.5 | 0 | 1 | 0.9361555 |
| 85 | 50 | 0.0 | 0 | 1 | 0.7435339 |
| 85 | 50 | 0.5 | 0 | 1 | 0.0005028 |
| 86 | 20 | 0.0 | 0 | 1 | 0.4403448 |
| 86 | 20 | 0.5 | 0 | 1 | 0.1977023 |
| 86 | 50 | 0.0 | 0 | 1 | 0.8070495 |
| 86 | 50 | 0.5 | 0 | 1 | 0.0077699 |
| 87 | 20 | 0.0 | 0 | 1 | 0.1026699 |
| 87 | 20 | 0.5 | 0 | 1 | 0.0852096 |
| 87 | 50 | 0.0 | 0 | 1 | 0.8457344 |
| 87 | 50 | 0.5 | 0 | 1 | 0.2507722 |
| 88 | 20 | 0.0 | 0 | 1 | 0.6175980 |
| 88 | 20 | 0.5 | 0 | 1 | 0.5006119 |
| 88 | 50 | 0.0 | 0 | 1 | 0.6016694 |
| 88 | 50 | 0.5 | 0 | 1 | 0.5594158 |
| 89 | 20 | 0.0 | 0 | 1 | 0.0493021 |
| 89 | 20 | 0.5 | 0 | 1 | 0.3537366 |
| 89 | 50 | 0.0 | 0 | 1 | 0.3094948 |
| 89 | 50 | 0.5 | 0 | 1 | 0.0233202 |
| 90 | 20 | 0.0 | 0 | 1 | 0.3035985 |
| 90 | 20 | 0.5 | 0 | 1 | 0.4832392 |
| 90 | 50 | 0.0 | 0 | 1 | 0.1886260 |
| 90 | 50 | 0.5 | 0 | 1 | 0.0044417 |
| 91 | 20 | 0.0 | 0 | 1 | 0.5944677 |
| 91 | 20 | 0.5 | 0 | 1 | 0.5230418 |
| 91 | 50 | 0.0 | 0 | 1 | 0.7154551 |
| 91 | 50 | 0.5 | 0 | 1 | 0.2649247 |
| 92 | 20 | 0.0 | 0 | 1 | 0.3922484 |
| 92 | 20 | 0.5 | 0 | 1 | 0.0419025 |
| 92 | 50 | 0.0 | 0 | 1 | 0.4860405 |
| 92 | 50 | 0.5 | 0 | 1 | 0.0448953 |
| 93 | 20 | 0.0 | 0 | 1 | 0.5633973 |
| 93 | 20 | 0.5 | 0 | 1 | 0.6166280 |
| 93 | 50 | 0.0 | 0 | 1 | 0.7439947 |
| 93 | 50 | 0.5 | 0 | 1 | 0.0111651 |
| 94 | 20 | 0.0 | 0 | 1 | 0.4253425 |
| 94 | 20 | 0.5 | 0 | 1 | 0.1031296 |
| 94 | 50 | 0.0 | 0 | 1 | 0.2828309 |
| 94 | 50 | 0.5 | 0 | 1 | 0.2520964 |
| 95 | 20 | 0.0 | 0 | 1 | 0.3942916 |
| 95 | 20 | 0.5 | 0 | 1 | 0.4631455 |
| 95 | 50 | 0.0 | 0 | 1 | 0.0846897 |
| 95 | 50 | 0.5 | 0 | 1 | 0.0127930 |
| 96 | 20 | 0.0 | 0 | 1 | 0.0170009 |
| 96 | 20 | 0.5 | 0 | 1 | 0.0012785 |
| 96 | 50 | 0.0 | 0 | 1 | 0.8051182 |
| 96 | 50 | 0.5 | 0 | 1 | 0.0042053 |
| 97 | 20 | 0.0 | 0 | 1 | 0.5916170 |
| 97 | 20 | 0.5 | 0 | 1 | 0.0459514 |
| 97 | 50 | 0.0 | 0 | 1 | 0.7380025 |
| 97 | 50 | 0.5 | 0 | 1 | 0.0639752 |
| 98 | 20 | 0.0 | 0 | 1 | 0.4352955 |
| 98 | 20 | 0.5 | 0 | 1 | 0.7454109 |
| 98 | 50 | 0.0 | 0 | 1 | 0.4451010 |
| 98 | 50 | 0.5 | 0 | 1 | 0.0017781 |
| 99 | 20 | 0.0 | 0 | 1 | 0.3819670 |
| 99 | 20 | 0.5 | 0 | 1 | 0.3384431 |
| 99 | 50 | 0.0 | 0 | 1 | 0.2987674 |
| 99 | 50 | 0.5 | 0 | 1 | 0.0000007 |
| 100 | 20 | 0.0 | 0 | 1 | 0.5807145 |
| 100 | 20 | 0.5 | 0 | 1 | 0.0012945 |
| 100 | 50 | 0.0 | 0 | 1 | 0.8478277 |
| 100 | 50 | 0.5 | 0 | 1 | 0.0170159 |
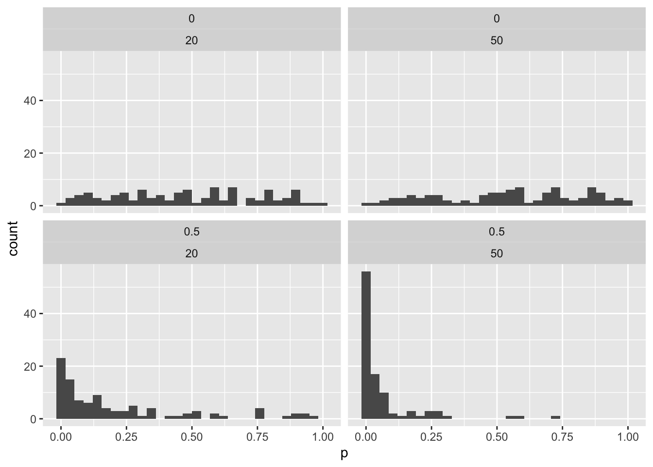
We can now look at the distribution of p-values across sample sizes and values for mean_intervention, for example in a simple histogram:
simulation_results %>%
ggplot() +
aes(x = p) +
geom_histogram() +
facet_wrap(~mean_intervention + n_per_condition)
8.8 Keeping the data
One of the most important things to consider when writing simulations is to make them as reproducible as possible. One way to do this, as we’ve discussed previously, is to use the set.seed() function to ensure that pseudorandomisation occurs in the same manner when another person tries to run our code. But there is one additional thing we can do that can help with reproducibility: storing the data from each simulation run.
In our example above where we looked at the distribution of p-values, for example, our output tibble consists of the following columns: iteration, n_per_condition, mean_intervention, mean_control, sd, and p. The first 5 columns are input parameters, and the last column (p) is our output after the analyse_data() function is run on the data. But we don’t have the data itself: i.e., the tibble created from the generate_data() function. Because of this, we cannot clearly trace each step of the simulation process, and this is not ideal for reproducibility.
The solution, fortunately, is simple: we just modify our workflow to store the generated data in the final simulation data. We do this by adding a mutate() to add the data created for each iteration to our parameters tibble, and only then do we feed this into the analyse_data() function. This is one of the many reasons why making sure the output of generate_data() is a tibble is useful: the contents of a particular row in a tibble can also be tibble, meaning we can store a full set of generated data in a single cell!
Let’s look at how to do this:
simulation_results <- experiment_parameters %>%
mutate(
generated_data = map2(
.x = n_per_condition,
.y = mean_intervention,
.f = ~ generate_data(
n_per_condition = .x,
mean_control = 0,
mean_intervention = .y,
sd = 1
)
),
results = map(
.x = generated_data,
.f = analyse_data)
) %>%
unnest(results)
simulation_results| iteration | n_per_condition | mean_intervention | mean_control | sd | generated_data | p |
|---|---|---|---|---|---|---|
| 1 | 20 | 0.0 | 0 | 1 | control , control , control , control , control , control , control , control , control , control , control , control , control , control , control , control , control , control , control , control , intervention , intervention , intervention , intervention , intervention , intervention , intervention , intervention , intervention , intervention , intervention , intervention , intervention , intervention , intervention , intervention , intervention , intervention , intervention , intervention , -0.133316124481085 , 0.608093303936153 , 1.02327103261519 , 0.00729782166137437, 0.617537943207338 , 0.415037681849784 , -0.177804444748977 , -1.15838408692282 , -0.855158330798654 , -0.110401207780792 , -1.16608754789019 , -0.529493957095775 , 0.392260281625559 , -0.69989121493445 , 0.472018425734758 , -0.266268958771267 , 0.621311922242865 , 2.19267244200329 , 1.78754492027056 , -0.568600054570731 , 0.901827889495843 , 0.198683032280671 , -1.34301209354919 , 0.0278857105752472 , -0.266456356206252 , -0.347014734501982 , -1.10861610026945 , -0.496148474226782 , -0.559206834926941 , -0.886818373158271 , 0.512991051983986 , 1.20859200499327 , 0.662580868860944 , -0.503237339789269 , 1.20630069744954 , -0.171685624092559 , 0.587986539928034 , -0.902600732034582 , -0.318250577034084 , 0.00267394851526233 | 0.4379596 |
| 1 | 20 | 0.5 | 0 | 1 | control , control , control , control , control , control , control , control , control , control , control , control , control , control , control , control , control , control , control , control , intervention , intervention , intervention , intervention , intervention , intervention , intervention , intervention , intervention , intervention , intervention , intervention , intervention , intervention , intervention , intervention , intervention , intervention , intervention , intervention , -0.400916759844904 , -1.46334873835602 , 0.283071133786937 , 0.553008980610279 , -1.16774797091338 , 0.211162992634439 , -1.99156478355437 , -0.550394640970273 , -0.10981695400517 , 0.297435531314194 , -0.137838685491097 , -0.048958462833557 , 0.0789988028905996 , 0.447924999732254 , 0.0781884151671195 , 0.305430329769638 , -0.37050501636639 , 1.86076958153997 , 0.661500265268537 , 1.57319392362954 , 0.814793248206587 , -0.207394506382824 , 0.923997461873364 , 2.03691959083402 , 1.00119576181217 , 1.07360664489811 , 1.67707114817131 , 0.362500638786327 , 0.376637264549193 , -1.17525853115371 , 0.957076895984226 , 1.92107520283407 , -0.0894367737268583, -0.457009513212843 , 2.05726446515212 , 2.22750505810313 , 0.199982056606445 , 0.802385029561278 , 1.788055374582 , 1.47621378351475 | 0.0042041 |
| 1 | 50 | 0.0 | 0 | 1 | control , control , control , control , control , control , control , control , control , control , control , control , control , control , control , control , control , control , control , control , control , control , control , control , control , control , control , control , control , control , control , control , control , control , control , control , control , control , control , control , control , control , control , control , control , control , control , control , control , control , intervention , intervention , intervention , intervention , intervention , intervention , intervention , intervention , intervention , intervention , intervention , intervention , intervention , intervention , intervention , intervention , intervention , intervention , intervention , intervention , intervention , intervention , intervention , intervention , intervention , intervention , intervention , intervention , intervention , intervention , intervention , intervention , intervention , intervention , intervention , intervention , intervention , intervention , intervention , intervention , intervention , intervention , intervention , intervention , intervention , intervention , intervention , intervention , intervention , intervention , -1.18634951934138 , -1.07587118931837 , -1.34070143077128 , 1.09417786539465 , 0.598878973069408 , 1.46207549776059 , 1.08201424327842 , -1.61367729525684 , -1.88311769550403 , 0.159592652898306 , -2.01223624624741 , 0.111787446708427 , -1.8394079682424 , 0.443213769381691 , -1.9137667088009 , 0.367600765899889 , 1.05989360559265 , 0.553699026580303 , 0.622571100193912 , -1.07199086574209 , 0.468027168588629 , -0.248160968926847 , -0.299589491881716 , -0.412800345025606 , 1.13104006158004 , 0.272895312921581 , 0.984143535960722 , -0.919518020678333 , 0.920041595287431 , -0.273965884889297 , -0.0127624701081794, -0.404700816619243 , -1.35073314358825 , -0.0827694992180868, 0.0371222436120315 , 0.198299074681131 , 0.901849629750756 , 0.536450345435822 , 1.83626879031759 , 0.734432247436766 , -1.52284567412316 , -0.973214873218126 , -0.270367661530313 , 1.81336176035034 , -0.619119003368185 , 2.13783724532131 , 2.14825463994525 , 0.198078037929255 , -1.13520655674105 , 0.809892843727516 , -0.19188957518527 , 0.211493589373114 , -0.684416037340842 , -0.500783280067682 , -1.45981403542643 , 1.05132928152896 , -0.332832364203943 , -1.87231235927544 , -0.0936575836763887, -0.797062537414438 , 2.04435076016562 , 0.637456467709891 , -1.13805904833463 , -2.71645263814848 , 0.318809199743623 , 0.355083567844685 , -0.357183912389841 , 0.50768805638193 , -1.32009317194319 , 0.026126621515726 , -1.12869698303316 , -1.05516337633199 , -0.847786474216876 , 1.84611214313598 , -1.42505463713713 , -0.438675112399414 , -1.48348781484433 , 0.0355000697525065 , -0.317130718762438 , 0.41377348876037 , -0.847607688688655 , -0.819661006096155 , -0.464473644675149 , 0.476007431141941 , 0.140979510112146 , -1.34453951735917 , -1.40886652145055 , -1.77649330601961 , 0.690543386917581 , -2.04657396512124 , 0.724205410244109 , -0.335402575363953 , 0.324662589793166 , -1.80367463555495 , 1.45087607811115 , 1.9704342785995 , -0.448822712656649 , 1.47137905291517 , -0.0789282352933467, -1.02524285111709 | 0.1435767 |
| 1 | 50 | 0.5 | 0 | 1 | control , control , control , control , control , control , control , control , control , control , control , control , control , control , control , control , control , control , control , control , control , control , control , control , control , control , control , control , control , control , control , control , control , control , control , control , control , control , control , control , control , control , control , control , control , control , control , control , control , control , intervention , intervention , intervention , intervention , intervention , intervention , intervention , intervention , intervention , intervention , intervention , intervention , intervention , intervention , intervention , intervention , intervention , intervention , intervention , intervention , intervention , intervention , intervention , intervention , intervention , intervention , intervention , intervention , intervention , intervention , intervention , intervention , intervention , intervention , intervention , intervention , intervention , intervention , intervention , intervention , intervention , intervention , intervention , intervention , intervention , intervention , intervention , intervention , intervention , intervention , -0.213173572628093 , 1.26057575730384 , -0.307120336597728 , 1.23219206395176 , -1.97007566323875 , 0.308574505044779 , 1.84066098742969 , 0.572436018295655 , 0.437063866018015 , 0.94934293533307 , 0.117046577666058 , -1.71777433643915 , -0.277170537545545 , 1.11319479268148 , 0.689410801408087 , -1.09642161812315 , -0.481125597904774 , 0.506025201082834 , -1.5458174974913 , -1.3484274452955 , -0.289092742981673 , -0.0255974392978256, 0.29702545643702 , 0.158882418113094 , -1.91816975417095 , 0.734287408397984 , 0.0327999097961187 , 0.320778005498228 , -1.3780298494436 , 2.05715277792517 , -0.430779279044358 , 0.730669289628093 , -0.434124416056624 , -1.29116368778958 , -1.44822946726867 , 0.146309747615568 , 0.866413312863227 , -1.30098763335786 , -0.104972253263471 , -1.12733013208907 , 0.905670971049217 , 0.462223751224212 , -0.419368829784747 , 1.86974923045413 , -1.56742917655641 , 0.0457205633195998 , 1.48507180029246 , 0.690158587180742 , -0.62880033163234 , -0.403608685129918 , 0.846182873509541 , 1.94681448796005 , 2.41413996737094 , 0.900451960595081 , 0.400243729396696 , -0.172088373639134 , 2.07561939665636 , 0.0561828801189351 , 0.405458420820961 , -0.144908218909388 , -1.11435265024295 , 1.57141338743116 , 0.426730282230417 , -0.215942331269637 , 0.319998968048962 , -0.464780891154157 , 1.95608726006407 , 3.24415264892777 , -0.968664986671013 , 0.555334702201004 , 1.5407249094876 , 0.786123711182676 , 0.276389287376249 , 0.945066804004282 , 2.73805226852961 , 0.205927139249794 , 0.705186552134591 , 0.113874463834593 , -0.452740902420944 , 0.763104733914399 , 0.653706008061055 , 0.661734285881554 , 0.330550009139451 , -1.09439934975592 , 1.14696505628957 , 0.831677160392074 , 2.60260855662836 , -0.436790105916933 , 2.42387682324321 , 1.8266613911358 , -0.667180788787538 , 0.15531326348048 , 0.726636947539876 , 0.0878585125357143 , -2.49635484305249 , 1.91878435451988 , 1.1277626568158 , 0.367297469597037 , 0.846115592741722 , -1.50767038829076 | 0.0031457 |
| 2 | 20 | 0.0 | 0 | 1 | control , control , control , control , control , control , control , control , control , control , control , control , control , control , control , control , control , control , control , control , intervention , intervention , intervention , intervention , intervention , intervention , intervention , intervention , intervention , intervention , intervention , intervention , intervention , intervention , intervention , intervention , intervention , intervention , intervention , intervention , 0.0704788521744526 , 1.62996688700632 , 0.588445307287263 , -1.18376845031137 , -0.974156971580564 , -0.392919035865706 , -1.07050136886472 , 0.279524114518122 , 1.59837957324306 , -0.395937361274577 , -0.718672568867574 , 1.06499034229628 , -0.0580309836202195, 0.30741334405005 , 0.545862724696245 , 0.0857522765730818 , 1.91420918193407 , -0.715250031342013 , 0.663221561926705 , 0.419188704860096 , -0.956458255163805 , 0.605485896513976 , 1.4041881832702 , -1.33406069364509 , 2.10441343440699 , -1.21810896242629 , 0.361842287148203 , 0.156928547272276 , -0.510195370750656 , -0.437655160098555 , 0.717500861636896 , -0.229416796388184 , -0.473951818103326 , 0.44273716589346 , 0.226758469730912 , 1.41262776994666 , -0.120552678390861 , 0.87000802907465 , 0.540064767741855 , 2.48807583969354 | 0.6983035 |
| 2 | 20 | 0.5 | 0 | 1 | control , control , control , control , control , control , control , control , control , control , control , control , control , control , control , control , control , control , control , control , intervention , intervention , intervention , intervention , intervention , intervention , intervention , intervention , intervention , intervention , intervention , intervention , intervention , intervention , intervention , intervention , intervention , intervention , intervention , intervention , 0.0726422592943946 , -0.777453589743648 , -0.555517439996059 , -0.406135762050836 , 2.79181556751852 , 1.2775282491939 , -1.18785830493792 , -0.553812536588922 , -0.614825637542381 , 1.78254270553033 , 0.558169712373252 , 0.786308116283098 , 0.490927798084722 , 1.69505963690893 , 0.0547138430962845 , -0.0176617425625548, -0.425365513734695 , 0.520078464015483 , 0.346603013582161 , 0.977616372326006 , 0.295063805702697 , -0.25222333394157 , -0.615467793312252 , 0.651285399025124 , 0.671396272115214 , 1.46707351289583 , 0.983764804005528 , 2.84481402598835 , 1.49059856460677 , -0.22400587015141 , -0.764299596496946 , -0.567539087015105 , 0.494318212367879 , 0.886870816682434 , -0.0841033600230766, 2.11015451041927 , 1.94753756000905 , 1.23148289591485 , -0.419571935290858 , 1.46673539449512 | 0.2934664 |
| 2 | 50 | 0.0 | 0 | 1 | control , control , control , control , control , control , control , control , control , control , control , control , control , control , control , control , control , control , control , control , control , control , control , control , control , control , control , control , control , control , control , control , control , control , control , control , control , control , control , control , control , control , control , control , control , control , control , control , control , control , intervention , intervention , intervention , intervention , intervention , intervention , intervention , intervention , intervention , intervention , intervention , intervention , intervention , intervention , intervention , intervention , intervention , intervention , intervention , intervention , intervention , intervention , intervention , intervention , intervention , intervention , intervention , intervention , intervention , intervention , intervention , intervention , intervention , intervention , intervention , intervention , intervention , intervention , intervention , intervention , intervention , intervention , intervention , intervention , intervention , intervention , intervention , intervention , intervention , intervention , -0.83620669123177 , 1.38208084645039 , 0.941658998550145 , -0.132408602347797 , -0.427429926530503 , 2.80838432821853 , -0.962998713977938 , -1.37300875263704 , 0.511235746901666 , -1.1663951581328 , -0.193640014367222 , -2.13968099614749 , -1.458228705478 , -1.14746928789165 , 0.374340904448197 , -0.698933852231187 , -1.52502162887372 , -0.887939596057515 , 0.255716894832591 , 0.698756312927194 , -0.36894777676189 , -0.950713890136829 , -0.909654847827481 , 0.0881898598792411 , 0.250320957289506 , -1.24317562642837 , -0.881016548614761 , -0.579680847349152 , 0.753600424215074 , 0.833290162121596 , -0.689990348756777 , -0.220069275685619 , 0.600813675819154 , 1.85233053633781 , -0.572714096723209 , -0.655681367282227 , 0.323415617927558 , -0.481258720928336 , 0.576129396638851 , -1.48772822078178 , 0.774981767429681 , 1.48397632016266 , -0.831926853536429 , -1.47975309012575 , 0.310678802254544 , -0.767500179214071 , -0.409757769636625 , -0.122112717237079 , -2.39191157448669 , 1.54517511284843 , -1.80233852560892 , 1.11654025413955 , -0.311544729726205 , 0.816462317650664 , -0.435779976088465 , -0.0308888544783272, -0.198386234699212 , 0.859704464212154 , -1.06681333255552 , -0.563358388001076 , -0.109366378394796 , 1.62200599368786 , 0.597908286697004 , -0.587776000506124 , 0.154088057701501 , 0.625731124810755 , -0.596261964147232 , -0.348285766414808 , 0.357008669435806 , -0.299229963108925 , -0.108468327910892 , -0.283877511814852 , -0.438214208553891 , 1.14102520639266 , -0.537705290804139 , 0.152450844589806 , 1.08393018975093 , -0.0669021201061919, -0.173631612872382 , -0.447098996676293 , -0.135238510670675 , -2.56484763466647 , -0.30284643627043 , -0.364924672782789 , -0.409344418192517 , -0.850911532654713 , 0.958721541318625 , -0.257492897999785 , 0.126700963339427 , -0.389423697227149 , 0.0627427401976472 , 1.72208311127058 , 2.68390468445105 , -1.1888184446662 , 1.0452750216615 , -0.172008457225975 , 0.0111509246274562 , 1.46763566007091 , -0.638581928878275 , -0.673100907430936 | 0.2285010 |
| 2 | 50 | 0.5 | 0 | 1 | control , control , control , control , control , control , control , control , control , control , control , control , control , control , control , control , control , control , control , control , control , control , control , control , control , control , control , control , control , control , control , control , control , control , control , control , control , control , control , control , control , control , control , control , control , control , control , control , control , control , intervention , intervention , intervention , intervention , intervention , intervention , intervention , intervention , intervention , intervention , intervention , intervention , intervention , intervention , intervention , intervention , intervention , intervention , intervention , intervention , intervention , intervention , intervention , intervention , intervention , intervention , intervention , intervention , intervention , intervention , intervention , intervention , intervention , intervention , intervention , intervention , intervention , intervention , intervention , intervention , intervention , intervention , intervention , intervention , intervention , intervention , intervention , intervention , intervention , intervention , -1.02211244033405 , -1.5943909338006 , 0.204034045145694 , 1.25730854716942 , -0.137628293765197 , -0.219401223659274 , -1.02100409026886 , -1.30155670103866 , 0.0550174744007092 , -0.591565670401448 , -1.04362528369891 , 0.0575296536783844 , 0.376792941432342 , -0.0113905414954704, 0.784335094467438 , 0.341855420624389 , 0.199005976152832 , 0.816119200085803 , 1.43468697643177 , -0.776774236122097 , -1.40075240997172 , 0.418033843896112 , 0.385684682198733 , -0.951600532321517 , -0.380897867873104 , 1.44677652500407 , 0.0205785408182595 , 3.44160994236126 , 0.196754333760102 , -0.219610156012691 , 0.142174291171863 , 0.582749974424973 , -1.69725025860103 , 2.44557350812698 , 0.635244893761666 , -1.31065884165493 , 0.473839144028471 , -0.0449048331555553, -0.495158746005056 , 0.0554701779748488 , 0.599239710046367 , -0.0906646760649615, 0.366263189249407 , -1.44620259249643 , 1.47204422458909 , -0.186625100472358 , 0.550002349054128 , -0.101465975773757 , 1.02313216569383 , 2.44668809101326 , 0.716111510891334 , 0.00602583499053461, 0.379805341032716 , 2.45118368033887 , -0.242986403938853 , 0.905880694983696 , 0.880600776380471 , 2.2480444384495 , 0.15601383099051 , -1.04170676340483 , 1.25215610543239 , 0.68024639103179 , 2.97653504333483 , -0.0317520412369432, 1.75406067848396 , 0.761333953818913 , -0.192593355611018 , -0.573988235207412 , -1.03977436952163 , -2.05684696372573 , 1.50127237145411 , 0.837258889295583 , 1.9925688385524 , 1.87267217425491 , -1.4020425372623 , 1.25186708698205 , 1.35681800918839 , 2.90465170646099 , -0.252086864590041 , 2.23693206017783 , -0.313771781901982 , -0.0400127617697187, -0.178057667085163 , -0.341557622884828 , -0.0447700731153137, 1.51599883962153 , 0.95629428880567 , 1.07873836602399 , 0.988915014062469 , 0.658996606908 , 1.67062174304233 , -0.684560695409257 , 2.73065944595059 , 0.191431120658323 , -1.08783082922526 , 1.82241262502926 , 1.83116454820123 , -0.63657698593823 , 0.976219647585917 , 1.17377841844928 | 0.0124787 |
| 3 | 20 | 0.0 | 0 | 1 | control , control , control , control , control , control , control , control , control , control , control , control , control , control , control , control , control , control , control , control , intervention , intervention , intervention , intervention , intervention , intervention , intervention , intervention , intervention , intervention , intervention , intervention , intervention , intervention , intervention , intervention , intervention , intervention , intervention , intervention , -0.469560705110504 , 0.983591628076874 , 0.70873269040503 , 1.30987885977939 , 2.22040019720697 , -1.99782702508729 , -1.38364404076986 , -0.361784845688497 , -1.30500915221871 , 0.0343734220869925 , 1.02154926421348 , -0.00884782117113675, -0.345882588465042 , -2.12230714415921 , 0.944032020162573 , 0.923580649187689 , 0.812427299036938 , -0.0136410208615666 , -0.186933364838039 , -3.24388449911508 , 0.592090261127433 , 0.489982709975131 , -1.35063032786061 , -0.534300319406323 , 0.539006983540864 , 0.0113124975646007 , -1.83042761118584 , -0.911798083338191 , 0.605240863915547 , -0.954707176552801 , 0.157636493300908 , 0.825417576716258 , -1.00722734842834 , 1.11765187829277 , 0.9787503199172 , -0.0576383770504772 , -0.135896618189516 , 0.018449226430093 , 0.928556529341076 , -1.0021470272876 | 0.8938751 |
| 3 | 20 | 0.5 | 0 | 1 | control , control , control , control , control , control , control , control , control , control , control , control , control , control , control , control , control , control , control , control , intervention , intervention , intervention , intervention , intervention , intervention , intervention , intervention , intervention , intervention , intervention , intervention , intervention , intervention , intervention , intervention , intervention , intervention , intervention , intervention , -0.876122299788315 , -0.145205533824362 , -0.028256672418052 , -0.312357062615301 , 0.264077901474744 , 0.00583963342540545, 0.0554961908776058 , 0.352196384019282 , -1.32723210513539 , -0.497235260834101 , -0.478193088278941 , -1.30059413303575 , -0.461627512271372 , -0.509770312756902 , 0.0880550622662939 , -0.633236203844032 , -0.0893282176058181, 0.018506190781959 , 1.05483233539648 , -0.771031649721817 , 0.522401718535686 , 1.11443458272053 , -0.135115139365496 , 4.21912657258707 , -0.0673729277607189, 1.70128422467199 , 0.124947250144979 , 0.563461434399444 , 0.170298687411059 , 0.257433962851092 , -1.13286988897482 , 1.70311902558616 , 1.49659367978967 , 1.35826301024937 , -0.5133264023818 , 0.473254212502909 , 1.24380362747201 , 2.18749428603303 , 1.45929801450557 , 0.368700387022831 | 0.0003289 |
| 3 | 50 | 0.0 | 0 | 1 | control , control , control , control , control , control , control , control , control , control , control , control , control , control , control , control , control , control , control , control , control , control , control , control , control , control , control , control , control , control , control , control , control , control , control , control , control , control , control , control , control , control , control , control , control , control , control , control , control , control , intervention , intervention , intervention , intervention , intervention , intervention , intervention , intervention , intervention , intervention , intervention , intervention , intervention , intervention , intervention , intervention , intervention , intervention , intervention , intervention , intervention , intervention , intervention , intervention , intervention , intervention , intervention , intervention , intervention , intervention , intervention , intervention , intervention , intervention , intervention , intervention , intervention , intervention , intervention , intervention , intervention , intervention , intervention , intervention , intervention , intervention , intervention , intervention , intervention , intervention , 0.662911885747415 , 0.0736322366625252 , -0.477645659254422 , 0.133772149004427 , -0.886490434886886 , -0.445732530530803 , 0.585899792896782 , 1.36585214316372 , -1.01415618522352 , -0.798125651049341 , 1.59744889957488 , -2.19303463643047 , 0.647363895169895 , 0.0377516418661507 , 0.569113626508728 , 0.994695369186919 , -0.724553006479551 , 2.20370986547703 , 0.207817399484067 , 1.39901379075757 , -0.886568052052629 , -0.260385783987193 , -1.27507222312084 , 0.290297818001153 , -0.203041128207207 , 0.82008799489964 , 0.183982635220885 , 0.626282201467448 , -0.250096237753382 , 0.0527886315699463 , 1.64471453695667 , -1.62491235506907 , 1.89602329393263 , 1.33301861822926 , 0.268450360517311 , -2.28678193627722 , 1.75975423419682 , -0.536557893913587 , -1.13894876159628 , 0.126229060569011 , -0.401065223204169 , 1.87363797126298 , -0.978476625534845 , -0.29645620021122 , -1.36776817351033 , -0.611101679991599 , 0.768302997451586 , -0.908475547499191 , 1.35462762363738 , -1.22233669783664 , 1.18633305788881 , -0.798984006397906 , -1.06702059788164 , -1.26222279987633 , 1.33119073509604 , -1.62239271246172 , 0.136476627616491 , -0.522538594370098 , -0.111319530679016 , -2.06938040235965 , 0.277642805882375 , -0.899358251044206 , -1.3457235105647 , -2.03363973260359 , 0.592363821370612 , 0.146140754120257 , 0.174071313666683 , 1.25627634642734 , -0.571844813259788 , -0.414975439256565 , -1.22461049422515 , -1.7658870227796 , -0.230315023605926 , -0.912685083290537 , -0.429196665227827 , -1.09326977668855 , 0.864883980452805 , 0.64086416157565 , 0.21135856357753 , -0.909965349365316 , 1.50134867877421 , -1.14279718286889 , -1.90641052751812 , 0.924529316826266 , 0.876061363939613 , -0.982454522225284 , 0.677943954158465 , -0.289890001713811 , 0.678154191096922 , 0.725320150079732 , 1.18049747997999 , -0.155558702126056 , -0.0164778826078499 , -0.206440760497002 , -0.00507644499687595, -0.757891014675139 , 0.98225707610992 , 0.477325813306149 , -1.85976041766016 , 1.47973607390462 | 0.2196592 |
| 3 | 50 | 0.5 | 0 | 1 | control , control , control , control , control , control , control , control , control , control , control , control , control , control , control , control , control , control , control , control , control , control , control , control , control , control , control , control , control , control , control , control , control , control , control , control , control , control , control , control , control , control , control , control , control , control , control , control , control , control , intervention , intervention , intervention , intervention , intervention , intervention , intervention , intervention , intervention , intervention , intervention , intervention , intervention , intervention , intervention , intervention , intervention , intervention , intervention , intervention , intervention , intervention , intervention , intervention , intervention , intervention , intervention , intervention , intervention , intervention , intervention , intervention , intervention , intervention , intervention , intervention , intervention , intervention , intervention , intervention , intervention , intervention , intervention , intervention , intervention , intervention , intervention , intervention , intervention , intervention , -0.580663719844695 , -0.148034917408959 , -2.13559863322547 , 0.0619925257201153 , -1.05311258948564 , 0.246015563072457 , 0.627143477681346 , -0.35408977166982 , -0.92702621971368 , 1.89734564317706 , 0.629685575834286 , -0.910467194080346 , -0.424954755852728 , -0.646967351467031 , -0.983058462411251 , -0.285854136451545 , 0.035422362994245 , 1.08660814347146 , 2.57797644785786 , 0.041292450812895 , -0.551565574784255 , -0.309546184835916 , 2.22482304824861 , 1.65174582449695 , -0.735901032318232 , 0.592653964696872 , 0.58556624578912 , 0.24064939802169 , 1.14734477264906 , 1.42996752224419 , 0.0625229850013103 , -0.723439103587286 , 0.551882887577419 , 0.340865820310286 , -0.998221385267358 , 0.513745085050491 , 0.979198682994361 , 0.527889799038102 , -0.474633172488152 , 0.357853083280174 , -1.12538703206236 , -1.11047435566913 , -0.0695422301928398, 0.381752791061436 , 0.0651668018674986 , 0.576695862299783 , -0.448353070596086 , 1.15473076682744 , 0.00711777890267859, -0.838848470713135 , 2.79238021942943 , 3.24759888885956 , 0.229350869551533 , -0.0142176867095055, 0.681249250536135 , 0.978963515366614 , 0.354248809896646 , 1.33056032383838 , -1.27266028398286 , 0.733670706426957 , 1.23161793719667 , -0.128470200630557 , 2.12966524795176 , -1.2585208903789 , -0.550237019715088 , 1.43982477118827 , 1.24191373298677 , 0.216067537337621 , 0.167783270923724 , 1.59772488135077 , 0.501264643584007 , 0.536936754607591 , -0.264016314485209 , 0.236399105926804 , 0.916482652587981 , 1.49711399980241 , -0.531858611683582 , 0.25063579641416 , 1.08039471334804 , 0.685681775519946 , 1.78572712586463 , -0.0988593374258314, 0.594138723355271 , -0.0791748444754038, 1.794491271351 , -0.685369439155527 , 1.27731608457115 , 1.49245896785957 , -1.52519530117714 , 0.665358348184664 , -0.197864147711235 , -0.669208173202017 , 0.813381748730112 , 0.395156189453611 , 0.206951578309808 , 1.13517795947946 , 0.499715534148645 , 1.04734337577334 , -1.50678961197136 , 1.88520371615971 | 0.0154315 |
| 4 | 20 | 0.0 | 0 | 1 | control , control , control , control , control , control , control , control , control , control , control , control , control , control , control , control , control , control , control , control , intervention , intervention , intervention , intervention , intervention , intervention , intervention , intervention , intervention , intervention , intervention , intervention , intervention , intervention , intervention , intervention , intervention , intervention , intervention , intervention , -0.291588770480143, 0.239823581273875 , 0.464742609150603 , -0.33722572077736 , -0.85379513989039 , 0.901967217299076 , 1.02590305019606 , 0.775593170983654 , 0.17833579085991 , -1.21259455572196 , -1.69622279569628 , -0.073036052344962, -1.00107174996614 , 0.700670004833606 , -1.10314410012173 , -1.01557712281558 , 0.708887631319218 , 0.0886175556342485, -1.23203125619732 , 0.965838453779563 , -0.784482350847156, 0.781534884861268 , -0.438800338404007, -1.00888767860398 , -0.838933821475734, 0.752768518240233 , -1.7650935554222 , 0.0704038854969644, -0.56864850440591 , 0.43862931278074 , -0.258691116319985, 0.194625689358311 , -1.93995911674043 , 0.186483973030824 , -0.898589480004806, 1.68153848876775 , -1.65847155673744 , 0.721024843059471 , -0.186196563508731, 0.824096360901155 | 0.7418726 |
| 4 | 20 | 0.5 | 0 | 1 | control , control , control , control , control , control , control , control , control , control , control , control , control , control , control , control , control , control , control , control , intervention , intervention , intervention , intervention , intervention , intervention , intervention , intervention , intervention , intervention , intervention , intervention , intervention , intervention , intervention , intervention , intervention , intervention , intervention , intervention , 0.165459240343344 , -0.871788097678253 , 0.334517171113368 , 0.816457202716551 , -1.19252479968461 , 0.714008797293701 , -0.661107324455466 , -1.48113779913306 , -0.755812700580684 , -1.49468358719425 , 0.914403932584182 , 0.0113426034727836 , -0.166647130152114 , -0.440515903620873 , 1.07589219117522 , 0.130144007245123 , -1.42314556028019 , 0.841518956730568 , 0.164196278871083 , -0.224101148642141 , 0.414236784557007 , 0.731687754979434 , -0.336390147597961 , 1.71610371731488 , 1.5091662757849 , -0.896914736694378 , 2.33067747523219 , 1.59747298021796 , 0.967529164613812 , -0.0305114574713703, 1.83184302305312 , 0.936251164503286 , 2.02984751197 , -0.632092925492815 , -0.908225601396714 , 1.01962247485073 , -1.5692608099551 , -0.255146834519893 , 0.404863106410697 , -0.53218630480657 | 0.0330798 |
| 4 | 50 | 0.0 | 0 | 1 | control , control , control , control , control , control , control , control , control , control , control , control , control , control , control , control , control , control , control , control , control , control , control , control , control , control , control , control , control , control , control , control , control , control , control , control , control , control , control , control , control , control , control , control , control , control , control , control , control , control , intervention , intervention , intervention , intervention , intervention , intervention , intervention , intervention , intervention , intervention , intervention , intervention , intervention , intervention , intervention , intervention , intervention , intervention , intervention , intervention , intervention , intervention , intervention , intervention , intervention , intervention , intervention , intervention , intervention , intervention , intervention , intervention , intervention , intervention , intervention , intervention , intervention , intervention , intervention , intervention , intervention , intervention , intervention , intervention , intervention , intervention , intervention , intervention , intervention , intervention , -0.524816638892415 , 0.990116905743539 , 0.269771385042806 , 1.13548231756358 , 0.822028824839388 , 0.630926251933641 , 2.57338435074789 , 0.185820533864325 , 2.50299400097678 , -0.67096502826339 , -1.09848940217663 , 1.17175769209047 , -0.190203736748403 , -0.217930091997821 , 0.553358817874808 , -0.101132146680501 , -0.799840055249138 , -1.55006841696774 , 1.17037702009173 , 0.013604544967947 , -0.195617096065646 , -0.530601942994865 , 0.575351812086421 , -0.996628663487115 , 0.337402865133154 , 0.0666444101581702 , 0.526638437427436 , 0.543067968080748 , 1.06450013405643 , 0.194516279084884 , -0.269813201050377 , 0.161233173003247 , -0.0874917060921737, -0.0871303714851402, 0.501696648402888 , -0.291994743860671 , 0.114844380461622 , 2.00084985894477 , 0.51199399402884 , -0.797417809459324 , -0.923533064904628 , -1.44597299954802 , -0.237184567827427 , -0.400778513966698 , -0.408128681663918 , 0.563590529854953 , 1.00237820174897 , 0.0525531092437285 , 0.229877279119283 , -0.0572115319797353, 0.75742083039143 , 0.821552007093456 , 0.0231370284114836 , -0.136197666410607 , -2.25233315362752 , -0.529388388575376 , -2.50259881740705 , 0.871616894177898 , -0.395970779694708 , -0.342171651190686 , -2.10128561050192 , -0.396169422729021 , -0.165562228996143 , -0.469271867763123 , -0.336799320867914 , 0.32565914749956 , 0.200015354520668 , 0.803601662348142 , -0.252672461802976 , 0.332922796395908 , -1.25927458165209 , -1.2994616028526 , -1.63976187536007 , -0.528117800594284 , 0.902622920916041 , 2.96451944468315 , 1.16675943804749 , 2.13390652027862 , 0.227804493469735 , -0.711975027114028 , 1.38347921049206 , 0.480329786605249 , 0.445613747035921 , 0.673605168161608 , 0.0486515907208836 , -0.506354392072123 , 0.62707673043715 , 0.433357660937862 , 1.17014680657843 , -0.42865206194094 , 0.554901430887267 , 0.813241488079194 , -0.0187909637307486, -1.24365584854441 , -1.26278097715986 , -0.172354164230312 , -0.940928693424978 , -1.0751697499593 , -1.10093289637987 , -1.13621465186639 | 0.1629131 |
| 4 | 50 | 0.5 | 0 | 1 | control , control , control , control , control , control , control , control , control , control , control , control , control , control , control , control , control , control , control , control , control , control , control , control , control , control , control , control , control , control , control , control , control , control , control , control , control , control , control , control , control , control , control , control , control , control , control , control , control , control , intervention , intervention , intervention , intervention , intervention , intervention , intervention , intervention , intervention , intervention , intervention , intervention , intervention , intervention , intervention , intervention , intervention , intervention , intervention , intervention , intervention , intervention , intervention , intervention , intervention , intervention , intervention , intervention , intervention , intervention , intervention , intervention , intervention , intervention , intervention , intervention , intervention , intervention , intervention , intervention , intervention , intervention , intervention , intervention , intervention , intervention , intervention , intervention , intervention , intervention , -0.53225210824242 , -1.99766927339959 , -1.52847959611511 , -0.727724428847524 , -1.11532138683517 , -0.829711218030163 , -1.26268482619518 , 1.84231903318034 , 1.72238194335829 , -1.91211553642779 , -0.360885182628237 , -0.933012872605719 , -1.0761298309009 , -1.68075590787383 , 0.262171288258028 , -0.032345187299154 , 0.212732451433874 , -1.66620637968491 , -0.417487405241925 , 0.256663007239229 , -1.70726979377726 , -0.886068634267045 , 0.303476125463563 , -0.545880650555393 , -0.402043166543441 , 0.0647841264218775 , -2.00908080156577 , 1.03976959711977 , -0.383440398334126 , 0.387877984719204 , 0.410375712181018 , 0.235270274871059 , -0.472388878736574 , -1.16680973850047 , -0.0834010837270343, 0.414666420508285 , -0.791011445970853 , 0.250593825131792 , 0.201594778611658 , 0.193582202795177 , -0.344165199675766 , -0.154688888304104 , 0.635373747303775 , 0.417329587737183 , -0.615978120734314 , -1.29818868947105 , 0.346458573026134 , 1.88202231964822 , -0.477711024882638 , -1.05394410002956 , -0.193905858012282 , -0.45958132013749 , -0.330060741682499 , 0.126768424202899 , 2.13982337731643 , -0.617429641758932 , -0.151479828331773 , -0.198273745914848 , 0.3615987226953 , 2.34141061357516 , 1.77872978776848 , 0.97719074796003 , 1.7767739212667 , 1.30506487923815 , 0.85614186617012 , 1.83921636586058 , -0.221354479616661 , 0.655372626684673 , 0.403305542125551 , 1.59280661761813 , -1.5720843101752 , 1.16642085448807 , 2.20512884218115 , 2.61615804417673 , -0.361564169534619 , 1.17293434313828 , -0.608388581454517 , 1.24483818025951 , 0.265414684560142 , -1.19614878366439 , 2.25668123279998 , 0.321898933462763 , 1.96705628869665 , -1.63918724629264 , 0.567928994167663 , -0.928504790909976 , 0.509170517098792 , 1.399334456177 , 0.952820300105916 , -1.22809084298729 , 1.6710082742891 , 2.47596251267048 , 0.831348350067611 , 1.24942753271852 , -0.308246031847833 , 2.66532663842686 , 1.42000715895546 , 1.05205652628618 , 1.20604288001003 , 0.281359188579642 | 0.0000017 |
| 5 | 20 | 0.0 | 0 | 1 | control , control , control , control , control , control , control , control , control , control , control , control , control , control , control , control , control , control , control , control , intervention , intervention , intervention , intervention , intervention , intervention , intervention , intervention , intervention , intervention , intervention , intervention , intervention , intervention , intervention , intervention , intervention , intervention , intervention , intervention , -0.598081602957478 , -0.841585485534268 , 0.131558966771471 , 0.927578328898858 , 1.61048503316759 , 0.133737922858214 , 0.843176415927113 , -0.415840646432364 , 2.40847744580527 , -0.710680322360504 , -0.72639934800118 , -0.959608722959471 , -0.167135654539979 , 0.41944928599047 , -0.297091028176706 , -1.63650215925633 , -0.90571176344695 , 1.22966380491573 , -1.04460882955912 , 0.722294377019204 , 0.00181506524477509, -1.79531942972404 , -0.105200658099498 , -1.32659908392063 , 0.0495496799402953 , 0.171582308940462 , 0.0976735215306083 , -0.64850206218897 , -0.861887426610753 , -0.296936228729732 , 0.638283156642732 , 0.987079804526385 , -0.647426617863726 , -1.24059161333238 , -0.905532790709225 , -0.279843973305759 , 0.800154944031892 , 0.785224731150099 , -0.381938331886383 , -1.4838793449314 | 0.2662404 |
| 5 | 20 | 0.5 | 0 | 1 | control , control , control , control , control , control , control , control , control , control , control , control , control , control , control , control , control , control , control , control , intervention , intervention , intervention , intervention , intervention , intervention , intervention , intervention , intervention , intervention , intervention , intervention , intervention , intervention , intervention , intervention , intervention , intervention , intervention , intervention , 1.53565977973182 , 0.786563668676337 , 2.01416380487154 , 1.08083695013023 , -0.761313052862207 , 1.22354373573044 , 0.322329326388016 , -1.88537232200993 , 0.461088888544694 , 0.880269132856725 , -0.884052458784238 , 0.0344117775818469 , 1.67785318105332 , 0.0389839004708406 , -1.34876926780789 , -0.900268111200204 , -0.0951320025710401, 0.559007437663797 , 0.371522403700414 , -0.408634579461957 , -0.0619785500935934, 2.73979423039502 , 1.58577860311408 , 0.596668716575569 , -0.90000857478887 , -2.21704338357016 , 1.56669506565495 , 1.11503888714987 , 0.627852708349623 , 0.837900623327577 , -0.152083484407492 , -0.348243520065872 , 0.624858185834552 , 0.105573484486545 , -0.168307926008555 , 0.713752704490242 , 0.239763819708152 , 0.876339668827532 , 0.662567454392604 , -1.07323413211163 | 0.6916103 |
| 5 | 50 | 0.0 | 0 | 1 | control , control , control , control , control , control , control , control , control , control , control , control , control , control , control , control , control , control , control , control , control , control , control , control , control , control , control , control , control , control , control , control , control , control , control , control , control , control , control , control , control , control , control , control , control , control , control , control , control , control , intervention , intervention , intervention , intervention , intervention , intervention , intervention , intervention , intervention , intervention , intervention , intervention , intervention , intervention , intervention , intervention , intervention , intervention , intervention , intervention , intervention , intervention , intervention , intervention , intervention , intervention , intervention , intervention , intervention , intervention , intervention , intervention , intervention , intervention , intervention , intervention , intervention , intervention , intervention , intervention , intervention , intervention , intervention , intervention , intervention , intervention , intervention , intervention , intervention , intervention , -0.328833114977224 , 0.0938768539982004 , -1.85821585563269 , 1.547509791659 , -0.278843898593042 , 6.74780860349975e-05, 0.255653464834799 , -1.56970749419925 , -0.306892085709703 , -0.260255446556405 , -2.52532632733914 , 0.18316704715866 , 0.042395581309559 , 0.926312468254839 , -1.6080070841055 , -1.28957902315769 , 0.754213523473641 , -0.974059358560969 , 2.45546880175531 , 0.690619126730525 , 0.443465672714836 , 0.155585249905097 , -0.76288494694274 , 0.789693667252044 , -0.655949195286862 , 0.153326667310981 , 1.0644928650209 , -0.681782041907695 , -1.09854384046456 , 1.03981941415015 , -0.417967182945958 , 0.68779039650427 , 0.547010503290556 , 0.810817429265816 , -1.18798427160635 , -1.25700116987555 , -0.815988839569997 , 1.79166579852122 , 1.48657165393539 , -0.482493196136174 , -0.238147490112794 , 0.825000745665817 , 0.22433920589545 , -1.8537717284221 , -0.965870529910837 , 0.701578179009188 , -0.0789412176631603 , -0.962986785846896 , -0.373440069410311 , -1.76322599113266 , -1.08840607548979 , 0.424312571830327 , 0.712730601014589 , -2.265602349268 , 0.524725152485635 , -0.874658640861646 , -0.434089411179946 , -0.0224311100303025 , 0.0418649015685145 , -0.520596897256084 , -0.207307650357131 , 0.290381320832132 , 0.913864758454754 , 1.22222156381692 , 1.91865036499966 , -1.77236526314901 , -0.425073292960659 , 0.110676833993289 , 0.405105399308893 , -1.88302104666844 , -0.87438447867488 , -1.6349141321041 , -1.85658004149741 , 0.536692322387266 , 1.68451473962404 , 0.465167243515564 , -0.150924720584434 , 0.0295090557436458 , -1.4240593210561 , -0.286149374652222 , 1.88085459434238 , -0.934793251672581 , -1.42785368681033 , -1.48231534881882 , -0.354537881707043 , -0.172838274917101 , 1.11067302575274 , -0.386636652091281 , -0.591722236330365 , 1.96516518401487 , 1.05747908742842 , -2.1895186669673 , 0.849002116517551 , -0.28758980165821 , 1.60316234058461 , 0.209456807524795 , 1.01763232853208 , -0.83095316158204 , -0.316669584900298 , 0.751123517749946 | 0.8562089 |
| 5 | 50 | 0.5 | 0 | 1 | control , control , control , control , control , control , control , control , control , control , control , control , control , control , control , control , control , control , control , control , control , control , control , control , control , control , control , control , control , control , control , control , control , control , control , control , control , control , control , control , control , control , control , control , control , control , control , control , control , control , intervention , intervention , intervention , intervention , intervention , intervention , intervention , intervention , intervention , intervention , intervention , intervention , intervention , intervention , intervention , intervention , intervention , intervention , intervention , intervention , intervention , intervention , intervention , intervention , intervention , intervention , intervention , intervention , intervention , intervention , intervention , intervention , intervention , intervention , intervention , intervention , intervention , intervention , intervention , intervention , intervention , intervention , intervention , intervention , intervention , intervention , intervention , intervention , intervention , intervention , -1.27637594446641 , 1.27823751179778 , 0.431059288732207 , -0.34633880765614 , -0.211949807040068 , -0.17783469344373 , 0.753930632765544 , -1.62489503538169 , 0.783919140855723 , 1.30383170500101 , 2.12891594162657 , 0.390487570254326 , 1.78930170056264 , 0.671897244973547 , -0.539698822171648 , -0.257616264319545 , -0.830178274379508 , -0.183377355779923 , 0.488509654477366 , 0.352980865432028 , 0.0902586539937979 , -0.553241207473641 , -0.549472931889206 , -0.227470281366663 , -0.2532570708884 , 0.0093431717649508 , -1.13504537483662 , 0.767494266182411 , 0.944026125207132 , -0.222006330396267 , -0.0178365257530754 , 1.96702823217661 , -0.755053735110972 , -1.48344474870807 , 1.05832023470304 , -0.00486093963997722, 1.21835866143283 , 0.2503436907617 , -0.932636478256106 , 1.59976473534153 , -0.458050492848502 , -1.00874491489303 , 0.67182278726202 , -1.88052606165106 , -0.487830361469576 , -0.115930451447759 , -1.21492218446512 , -0.269384879416837 , -0.9433828159275 , 1.16154815898897 , -0.0575992990821814 , -0.474637449870526 , -0.707843353639491 , 0.257989553004358 , 0.584034877604057 , 1.03573955470885 , 1.36215669746455 , 1.11930607289957 , 0.0128590457670301 , 1.22753425513517 , 0.681655948127629 , -0.904546789146979 , -1.07089183846603 , 0.800356405598511 , -0.508030190077302 , -0.398916549129918 , 1.88235177059079 , -1.06973579134064 , -0.299944328235245 , 0.51063870113702 , -0.668089079292572 , 1.24625213309368 , 1.2345152005768 , -0.535419136991643 , 0.425552232049617 , 1.27508862357611 , 0.817908536103062 , 0.655799172257894 , -0.0666526278320538 , 0.742563431264487 , 1.47098013180306 , 0.709473332499169 , -0.287283356369815 , -1.2317471190369 , 1.92728553733128 , 2.46785361255131 , 0.12427559712789 , 0.66451205397198 , 0.160534291283711 , 2.33357939771105 , -0.792216938567654 , -0.134161423664927 , -0.307417007535392 , 1.42141383281126 , 1.33497869859107 , 1.25475861907553 , 0.64807608856134 , 1.13152639667008 , 0.629215721823917 , 0.652146252323275 | 0.0252621 |
| 6 | 20 | 0.0 | 0 | 1 | control , control , control , control , control , control , control , control , control , control , control , control , control , control , control , control , control , control , control , control , intervention , intervention , intervention , intervention , intervention , intervention , intervention , intervention , intervention , intervention , intervention , intervention , intervention , intervention , intervention , intervention , intervention , intervention , intervention , intervention , 0.437805548591258 , 0.0325205635941583 , 0.475436769365105 , -0.588423320433174 , -1.39569921937526 , -1.57200597439692 , -0.0471842740173357, 0.491939979448966 , 0.655744743745919 , -0.463688273287529 , -0.686071853169635 , 0.0528590694061984 , -1.60318038811291 , -1.28140211625243 , -0.312568108291701 , -0.108972985329938 , -0.210666402707187 , -0.678956719069749 , -0.305191120590276 , -0.62977965070666 , 0.825223924604075 , 0.271098227544215 , 0.612513661943604 , -1.23961503675449 , 0.769939999713149 , 1.08947821366638 , 0.477941736781395 , 2.14152457424503 , -0.278956348812613 , 0.925918581000329 , -0.306362185711708 , 0.240412396402693 , 0.978515716026651 , -1.21977066809483 , -0.183119563612957 , 0.0153010089812265 , -0.954564696580375 , 0.48915032658041 , -0.875345479214028 , -0.685370204335746 | 0.0360878 |
| 6 | 20 | 0.5 | 0 | 1 | control , control , control , control , control , control , control , control , control , control , control , control , control , control , control , control , control , control , control , control , intervention , intervention , intervention , intervention , intervention , intervention , intervention , intervention , intervention , intervention , intervention , intervention , intervention , intervention , intervention , intervention , intervention , intervention , intervention , intervention , -1.61333929408421 , -0.0520364028855266 , 0.596404432768378 , 0.0887110244427345 , -1.93695579908814 , -0.668072234178937 , -0.409812779374527 , -0.0837249894452162 , 0.00756282671772697 , 0.0412530283071404 , 0.263646099031222 , 1.74668712413838 , -1.1384569601673 , -0.496062412622324 , -1.22447680596762 , -0.576634454380639 , -0.393361550241917 , 1.10006012106967 , -0.00625395350364834, -1.01522681218947 , 1.4442027984009 , -0.284948066761062 , -0.471068243052875 , 0.606864077434528 , 0.060421902799827 , 0.678038800579975 , 0.1711510479547 , -1.50795741570172 , 0.269073893583337 , 2.37108832006562 , 1.8215046872669 , -0.0796495015686899 , 0.331062677893158 , 0.771929167260613 , 0.154569922916041 , -0.713393762077102 , -0.160226686723357 , 1.52471765321799 , 0.387094944311142 , -1.17054442174857 | 0.0469374 |
| 6 | 50 | 0.0 | 0 | 1 | control , control , control , control , control , control , control , control , control , control , control , control , control , control , control , control , control , control , control , control , control , control , control , control , control , control , control , control , control , control , control , control , control , control , control , control , control , control , control , control , control , control , control , control , control , control , control , control , control , control , intervention , intervention , intervention , intervention , intervention , intervention , intervention , intervention , intervention , intervention , intervention , intervention , intervention , intervention , intervention , intervention , intervention , intervention , intervention , intervention , intervention , intervention , intervention , intervention , intervention , intervention , intervention , intervention , intervention , intervention , intervention , intervention , intervention , intervention , intervention , intervention , intervention , intervention , intervention , intervention , intervention , intervention , intervention , intervention , intervention , intervention , intervention , intervention , intervention , intervention , -0.496044075065729 , 0.43046975266401 , -1.32758739013046 , 0.312724086841271 , -1.23889522646701 , 0.40734441460077 , -0.144387331119151 , 1.44626500547789 , 1.12642196337751 , -0.822258253960925 , 1.17471552259784 , 0.372013801923482 , -0.0916881448588606, 0.446221075717852 , -1.00901346700571 , -0.780249590119225 , -1.49451273849272 , -0.487862109896596 , 0.266756354197678 , -0.0741103045315226, -0.280894706829864 , -0.505690110045982 , 0.64504387997637 , -0.570672555262792 , -1.37990797101241 , -0.989804258335585 , -1.05964942684229 , 0.587751104328898 , 0.175761790721709 , 0.0807504964113937 , 1.64109094144602 , -0.290124109845821 , 0.769218699938565 , 2.00313306006994 , 0.188542016647391 , -0.191497306580297 , -0.583721819460135 , -0.38171007743577 , -0.120222512465107 , -0.0806884711627612, -0.22003520380018 , -1.19256270060862 , -0.412487405279371 , 1.66088253388805 , -1.57864904729716 , -0.474581826492615 , -0.428289946615602 , -1.25659277156649 , 0.219971284169441 , -1.39251102794866 , 0.205944821731431 , 1.15800039664746 , -1.29978136943934 , -0.354370130040799 , 0.605575812192743 , 0.544459480892418 , -0.982856034573541 , -0.758502102162372 , -0.226521480808106 , -0.224033321241249 , 0.644058998847663 , 0.103115699193728 , 0.928364264760753 , 0.218518614844757 , 1.06267088670172 , -1.58060197774857 , -0.179506930390289 , 1.32958964436281 , 0.679732891228354 , 0.355618111485747 , 0.371072787728001 , 1.43269997641212 , -0.0339847777911447, -2.37167712122728 , 0.0273788124098959 , -0.274981059331164 , -0.173458400476893 , -0.353749383238097 , -1.02126204499473 , 2.68251268708677 , -0.41531233586989 , 1.00409714880068 , -0.280660975293296 , -0.143153416497911 , -1.23734806939613 , 0.681356841045509 , 0.218749686149654 , 1.23242668695725 , -0.784324698916195 , -0.463945385502735 , 0.413353387963934 , 0.720940542505956 , 0.159918885483864 , 0.177983877945605 , 2.62345767594634 , 0.786825533577432 , 0.0701152450747574 , 0.170628165195338 , -0.281932993869695 , -1.54655162565905 | 0.1579444 |
| 6 | 50 | 0.5 | 0 | 1 | control , control , control , control , control , control , control , control , control , control , control , control , control , control , control , control , control , control , control , control , control , control , control , control , control , control , control , control , control , control , control , control , control , control , control , control , control , control , control , control , control , control , control , control , control , control , control , control , control , control , intervention , intervention , intervention , intervention , intervention , intervention , intervention , intervention , intervention , intervention , intervention , intervention , intervention , intervention , intervention , intervention , intervention , intervention , intervention , intervention , intervention , intervention , intervention , intervention , intervention , intervention , intervention , intervention , intervention , intervention , intervention , intervention , intervention , intervention , intervention , intervention , intervention , intervention , intervention , intervention , intervention , intervention , intervention , intervention , intervention , intervention , intervention , intervention , intervention , intervention , 0.703448916307613 , -1.13862084825719 , 0.688522727872279 , 0.678283544200624 , -0.744781421045221 , -0.903409976595065 , 2.4187970996144 , 0.636879096667095 , -0.736111290878835 , 1.75659479461941 , -0.385315784872568 , 0.323927424814315 , 0.273907570571207 , -0.521598908159295 , 0.0326359252834955 , -0.246307745976436 , -1.49150403407914 , 0.334604328481041 , -0.279418823009031 , -0.576650000847316 , -1.6079828777116 , 0.313977304571113 , 0.0466100836362368 , 1.9724959032946 , 1.53232462239294 , -0.54567658299109 , -0.987244313128695 , -0.566709226429601 , -0.834996242045285 , -0.368356873211352 , 1.77760847157865 , -1.26110927668727 , 0.839400090751336 , 0.0863785239534475 , -0.433165783272982 , 0.51572315165968 , -0.633798586751642 , -1.12623463767529 , 1.61156674907455 , -1.34612466622157 , -0.320356158838191 , 1.13322394074591 , 0.686053374845806 , 0.267834402714112 , -0.61764251556166 , -0.0615386176777875, 1.10213627879904 , 0.628513240355949 , 0.745153770270115 , 0.476392540662752 , 1.84420048751992 , 1.8260068274853 , -0.364832161909472 , -0.0510123785438407, 1.21406936509828 , 0.2159219750733 , 0.505373639134736 , 0.448693037720521 , -1.28977728030439 , 1.25158076844039 , 1.45806481045615 , 0.365545277847243 , 0.440241422993455 , 1.10165742561773 , 0.289713288362891 , 2.33643498737808 , -0.198098885528342 , -0.395538453554857 , -0.276764957108654 , 1.52188150450082 , 1.4413485630185 , 1.33104768189909 , 0.062959353776038 , 0.460100090907575 , 1.43443289944992 , 1.08655890583472 , 1.21244586758977 , 2.56424608728751 , 1.49941230159622 , -0.247421610272009 , 1.11410812726581 , 0.799588432134665 , 0.775760585102603 , -0.781106070419229 , 0.859648004466947 , 1.17050397182173 , 0.375148894288383 , 0.541500015288497 , 1.10933368276735 , 0.380035728462491 , 1.29541408036692 , 0.796798392104762 , 1.52925488434454 , -0.802484710641824 , -2.16712460856466 , -1.42788642043036 , 0.0120629131926072 , -1.20473339778229 , 0.262360637614849 , -0.646020576607855 | 0.0190049 |
| 7 | 20 | 0.0 | 0 | 1 | control , control , control , control , control , control , control , control , control , control , control , control , control , control , control , control , control , control , control , control , intervention , intervention , intervention , intervention , intervention , intervention , intervention , intervention , intervention , intervention , intervention , intervention , intervention , intervention , intervention , intervention , intervention , intervention , intervention , intervention , -0.639009883405766 , -0.0351349124158511, -0.753679000359437 , 0.341034691891991 , 0.322946531538937 , -0.115849905175458 , -0.894347073364917 , -0.596905312568321 , 1.71657503378773 , -0.152244651945918 , -0.46224213397078 , 0.613833808304592 , 1.12850166980752 , -0.724915761402704 , -0.227420212250807 , -0.864652158067575 , -1.81405676931757 , 0.970424907132311 , 1.29810338876982 , 0.0287219483539147 , 0.497116685598783 , -1.1777893848166 , 1.55933747984091 , -0.136756665450897 , -0.706318334348446 , 0.555297963557046 , -0.878720829990486 , 0.368675381532705 , -0.781125748882049 , -0.607663489317509 , 0.478047095556947 , 1.06887075139557 , 1.21509101911706 , 0.486871741011674 , 0.932361369574446 , -1.04405597894361 , 0.79582297997148 , 0.00237272284336258, 0.0947084207385966 , -0.105661963517038 | 0.5146518 |
| 7 | 20 | 0.5 | 0 | 1 | control , control , control , control , control , control , control , control , control , control , control , control , control , control , control , control , control , control , control , control , intervention , intervention , intervention , intervention , intervention , intervention , intervention , intervention , intervention , intervention , intervention , intervention , intervention , intervention , intervention , intervention , intervention , intervention , intervention , intervention , -2.39385601945001 , 0.126096460244141 , 2.25514444910697 , 0.714550682508308 , 0.828694128219353 , -1.67691430958547 , -0.327739741278343 , -0.375134024168563 , -0.723559005058066 , 0.0777030318611971 , -0.536493667341285 , -0.789099618471261 , -0.0269186238059121, -0.377941484469699 , -1.1391842439399 , -0.992304506683217 , 2.20058296219336 , 1.45906606424964 , -1.17365454275232 , 0.615722826747426 , 0.285412929978267 , 1.60143398054931 , -0.787644057853524 , -0.4937609640617 , 1.6141372817194 , 0.0967716420416965 , 1.83135254613804 , -0.656994669192095 , 0.493806793109648 , 0.19315906994476 , -0.777901322006446 , 2.18146684926818 , 1.03732324367659 , -0.183079330298235 , -1.41651058008085 , 0.267079158075395 , 1.15555683514937 , 0.107247749945461 , 0.0365531905177427 , 0.81843773423832 | 0.1706756 |
| 7 | 50 | 0.0 | 0 | 1 | control , control , control , control , control , control , control , control , control , control , control , control , control , control , control , control , control , control , control , control , control , control , control , control , control , control , control , control , control , control , control , control , control , control , control , control , control , control , control , control , control , control , control , control , control , control , control , control , control , control , intervention , intervention , intervention , intervention , intervention , intervention , intervention , intervention , intervention , intervention , intervention , intervention , intervention , intervention , intervention , intervention , intervention , intervention , intervention , intervention , intervention , intervention , intervention , intervention , intervention , intervention , intervention , intervention , intervention , intervention , intervention , intervention , intervention , intervention , intervention , intervention , intervention , intervention , intervention , intervention , intervention , intervention , intervention , intervention , intervention , intervention , intervention , intervention , intervention , intervention , 1.36577445278025 , 1.04039779585234 , -0.23460736770141 , 1.76477459984576 , -0.299192431992998 , 2.03254621864608 , -1.20131086837894 , 0.458353658507144 , -0.738566147937618 , -0.794280915811121 , -1.4543652190672 , 0.51565407995712 , 1.06772506589013 , -0.812622546904523 , 0.74069833890898 , 0.849630674612858 , -0.781824768674737 , 0.12422815960792 , 0.276408090295766 , -0.0821205486714373 , 0.857719909028096 , 1.71311420052277 , 0.718306204518643 , -0.563232885246328 , -1.468968790455 , 1.928517734919 , -0.480098203090773 , -0.664429468703658 , -0.103289681745588 , -0.0467661639196378 , -1.6965396472777 , 0.483125169206758 , 0.850836454702753 , -0.355993141143587 , 0.295588567617917 , 0.881731250520134 , 0.0331872015918157 , 2.15655854712289 , 0.376030460485492 , -0.0693874175158878 , 1.46947833851443 , 0.135002544003238 , -0.286740979936382 , -1.60677135146008 , 0.745953458622853 , -1.0054595045623 , 1.20719205706878 , -0.719017928428082 , 0.542961372610743 , -0.218903921543898 , -0.0875039914654541 , 1.38546208345678 , -0.597447093128828 , -0.175673902856628 , -0.0564714364675769 , -0.00413520470808601, -1.05741164459618 , 0.295059067563324 , 1.61962003467657 , 2.02224971780703 , 1.47673201888867 , 0.567196297529732 , 0.207021898241472 , 0.212495284731997 , 0.898405165004287 , 0.0291694940287083 , 0.884195588730708 , 1.30987130203073 , 0.231685414264505 , -0.180934720478728 , -0.846201419116411 , 1.05221735811494 , -0.64549206197233 , 2.90636828174617 , 0.811004431977879 , -2.14833158037936 , 0.322541277004705 , -1.08885135847756 , 1.99857658439285 , 0.769174857920025 , 0.148082933024949 , -0.861645050815053 , -1.38782637081329 , 0.66196587477701 , -1.28941460898194 , -0.0946327705979418 , -0.487826597355043 , 1.68342606005628 , -1.82328226304116 , 0.616714466503047 , -0.515321098433028 , -0.718929684108779 , -0.150726869422926 , 0.842844396916242 , 0.253046433779248 , 0.608316767668786 , 1.43059185551038 , -0.349940456074179 , 1.30734350188296 , -0.468590063500346 | 0.8000430 |
| 7 | 50 | 0.5 | 0 | 1 | control , control , control , control , control , control , control , control , control , control , control , control , control , control , control , control , control , control , control , control , control , control , control , control , control , control , control , control , control , control , control , control , control , control , control , control , control , control , control , control , control , control , control , control , control , control , control , control , control , control , intervention , intervention , intervention , intervention , intervention , intervention , intervention , intervention , intervention , intervention , intervention , intervention , intervention , intervention , intervention , intervention , intervention , intervention , intervention , intervention , intervention , intervention , intervention , intervention , intervention , intervention , intervention , intervention , intervention , intervention , intervention , intervention , intervention , intervention , intervention , intervention , intervention , intervention , intervention , intervention , intervention , intervention , intervention , intervention , intervention , intervention , intervention , intervention , intervention , intervention , -0.0509736431435344, 0.827536928023759 , -0.930870432475008 , -0.0512380955212511, 0.0461390779914857 , 1.75411523870116 , 0.644562798228458 , -0.676097335094366 , -0.856522572091766 , 2.12776610573323 , -0.371169513654321 , -0.764102772810773 , -0.712120953664329 , 1.08073655784592 , -0.297737433625625 , 0.82912840485206 , -0.250652844220285 , -0.557183846322224 , 0.478523995384293 , -1.87046623382789 , -1.6191625021296 , 0.856929018784852 , -1.31171570337004 , -0.843030670803104 , 0.88852391086674 , -1.52310564900452 , -1.53656243890472 , 1.09997475424212 , 1.30027271680304 , -1.87123729309154 , 0.537801797706678 , 1.42018892870224 , 1.31453114150056 , -1.87099975483749 , 0.365257105886878 , -0.411033439362791 , -0.822007131750299 , -0.83159887362761 , -0.925508640960555 , -0.105067803420551 , 0.233159898287125 , -0.630841071249087 , 0.59251960697606 , -0.112642974675702 , -0.672326976686418 , 0.194208391869589 , -1.15667067996152 , 0.684357672673067 , -0.122183086088901 , -0.62686750196088 , 1.08480107270542 , -0.71008204750625 , -0.126850724354403 , 0.851700173834103 , 0.0438513654932302 , -0.732202632120441 , 1.49726552285538 , 2.50820063776116 , 0.587850095469436 , 2.0554193228932 , 1.06280840533425 , 0.0508151338433627 , -0.0640182131616709, 0.87317128294531 , -0.683514735367263 , 0.862432871028536 , -0.741585319629392 , 2.73805764528462 , 0.591257515837719 , -0.18269180695908 , -0.0300953038234187, 0.953210031932971 , 0.46235639712489 , 0.7472477763862 , 0.206245979794111 , 0.222249024428199 , 1.75328832432395 , 0.552293247913039 , 0.981770853108007 , -0.89479379142525 , 1.03622384906493 , -0.623321679434061 , 0.117547923800799 , 0.615132620997279 , 0.028814261488516 , 1.57782103665086 , -0.208805628050762 , 0.854486720696681 , 0.263908164575101 , 1.80145575985283 , 1.28007559784749 , 0.406952075427198 , -0.800147483642076 , 0.0666175618093452 , -0.766766647498381 , 0.384243601620832 , 2.26418538018165 , 0.140615265376935 , 1.1923286542621 , 1.24739639701948 | 0.0004214 |
| 8 | 20 | 0.0 | 0 | 1 | control , control , control , control , control , control , control , control , control , control , control , control , control , control , control , control , control , control , control , control , intervention , intervention , intervention , intervention , intervention , intervention , intervention , intervention , intervention , intervention , intervention , intervention , intervention , intervention , intervention , intervention , intervention , intervention , intervention , intervention , 0.533001258242812 , -1.51418168405694 , 0.567106283310074 , 0.347421128196576 , -0.121613923202862 , -1.01340221951778 , 0.81914551965976 , -0.993459869524043 , 0.238690637458327 , -1.11237332811614 , -0.404774536365125 , -2.38799931526599 , -0.663904164845829 , 1.42089504070522 , 1.04229687646276 , -0.629992043129252 , 2.36263872219957 , -1.17355785773895 , 0.34659269921014 , 0.55716007061972 , -1.58996414869868 , 0.611302218974637 , 1.22642292290052 , 1.41012998018929 , 2.14582827450321 , -0.409841077060847 , 0.696464601532784 , 0.671918078502257 , 0.820674560366608 , -0.939255630823028 , 2.06566018148949 , -0.123975520918581 , -1.49786927367111 , -0.17200357024369 , 0.548242719630656 , -1.19893229365344 , 2.00965940489641 , -0.929599852775896 , -3.57351710832292 , -0.0899761453377271 | 0.6744940 |
| 8 | 20 | 0.5 | 0 | 1 | control , control , control , control , control , control , control , control , control , control , control , control , control , control , control , control , control , control , control , control , intervention , intervention , intervention , intervention , intervention , intervention , intervention , intervention , intervention , intervention , intervention , intervention , intervention , intervention , intervention , intervention , intervention , intervention , intervention , intervention , 0.680923388499665 , 1.01349637056344 , -0.00910522348471467, 0.560053416450838 , -1.47854111008637 , 0.952096836670342 , 0.707116035680672 , 1.13934734486139 , 0.979187411952049 , 0.376236300050678 , -0.562983933099005 , 0.474398492151819 , -0.0450625680938509 , 1.43778797071468 , 1.77138550145983 , 0.736175421250015 , -0.576376892218993 , 0.807737294891566 , 0.318648658129987 , 0.552211544261036 , 0.339910026065092 , -2.21331849140649 , 1.18643509627608 , 0.866587726977827 , -0.119049979527847 , 1.11595602902422 , 1.48720522295768 , -0.41875822530335 , -0.96917548498895 , 0.767067130075094 , -0.0359901161413071 , 0.153324525743179 , -0.378397009047763 , 0.63767941555986 , -0.821680154315939 , 2.46533896355158 , -0.176215854768772 , -0.228255410292059 , -0.551418451655371 , -0.578076473605485 | 0.2066573 |
| 8 | 50 | 0.0 | 0 | 1 | control , control , control , control , control , control , control , control , control , control , control , control , control , control , control , control , control , control , control , control , control , control , control , control , control , control , control , control , control , control , control , control , control , control , control , control , control , control , control , control , control , control , control , control , control , control , control , control , control , control , intervention , intervention , intervention , intervention , intervention , intervention , intervention , intervention , intervention , intervention , intervention , intervention , intervention , intervention , intervention , intervention , intervention , intervention , intervention , intervention , intervention , intervention , intervention , intervention , intervention , intervention , intervention , intervention , intervention , intervention , intervention , intervention , intervention , intervention , intervention , intervention , intervention , intervention , intervention , intervention , intervention , intervention , intervention , intervention , intervention , intervention , intervention , intervention , intervention , intervention , -2.07310226691053 , 0.44657647452068 , 1.39986008689098 , -0.112497587382037 , -1.23898248847872 , 0.890776747573737 , 1.15127061578754 , 0.913075607912926 , 1.42528798778656 , -1.40447552576725 , -0.790461065951494 , 1.48813179907837 , -0.029047038465304 , -0.374856067005966 , 0.131313849496486 , 2.13555607314328 , -2.46197319432648 , 0.418010023767585 , -0.168467467623993 , -0.371662523954952 , 0.826863474788451 , 0.832323692968937 , 1.13190154893439 , -0.364679875562258 , 2.17865976255361 , 2.60870116286661 , -0.647153348466346 , 0.432724352433137 , -0.728105854947357 , -0.118732533966119 , -0.532733490266075 , 1.94390082254256 , -0.276656086893485 , 0.333604084491574 , -0.730118468768273 , -0.467243997336402 , -0.239372183751059 , -1.27352405349305 , -0.299109531843883 , 0.998609102455553 , -0.372738894248674 , -1.44906901970247 , -0.107297282157769 , -0.660544920837799 , -1.15163957797531 , -0.294780282270769 , -0.719335979585101 , -0.108474805788509 , 0.174579748627187 , 0.68056378815514 , 1.4386982018907 , -0.232702998042765 , 2.16551311687416 , -0.351016285966104 , -1.3097258280603 , -0.869186857623583 , 0.888012309908854 , 0.299287800044804 , 0.629386999430449 , 1.16747181080864 , -0.577248977341861 , 1.58291899011742 , 0.946159266908703 , -0.0917981934379854, -0.374698243971198 , -0.132050013342059 , -0.779984211955232 , -0.732541647011953 , 1.53501076810282 , 0.0454229553778587 , 0.727914881437788 , 1.32487395969839 , 1.24355846480023 , -0.0368603264056427, -1.2519373004859 , 0.637877438743363 , -1.06817263311969 , 0.496570988150368 , -2.02603628083609 , 1.83384531237745 , 1.35083045943505 , 1.51897270407382 , 1.59972156883363 , -1.46496240127243 , -1.01172477260547 , 0.528403186938529 , -0.171412737576864 , -0.515072737776956 , 0.20750718556817 , 1.01815770836721 , 0.0255355860439235 , -0.370824536552163 , -0.361058110520472 , 1.30453285936219 , -0.789867685072951 , -0.369728900210124 , -0.0378188655119366, -3.03099287533883 , 0.792013835233903 , 0.788947199673207 | 0.6340221 |
| 8 | 50 | 0.5 | 0 | 1 | control , control , control , control , control , control , control , control , control , control , control , control , control , control , control , control , control , control , control , control , control , control , control , control , control , control , control , control , control , control , control , control , control , control , control , control , control , control , control , control , control , control , control , control , control , control , control , control , control , control , intervention , intervention , intervention , intervention , intervention , intervention , intervention , intervention , intervention , intervention , intervention , intervention , intervention , intervention , intervention , intervention , intervention , intervention , intervention , intervention , intervention , intervention , intervention , intervention , intervention , intervention , intervention , intervention , intervention , intervention , intervention , intervention , intervention , intervention , intervention , intervention , intervention , intervention , intervention , intervention , intervention , intervention , intervention , intervention , intervention , intervention , intervention , intervention , intervention , intervention , 0.604223663366774 , -1.2894333590397 , 0.0904209624302862 , -0.909716380960231 , -0.371603543917704 , -0.208343743482884 , -0.728685268273915 , -2.76360940927777 , 0.921934101963064 , -0.0882470842494136, -2.03474620487032 , -0.377035418936845 , 0.739912144423461 , 1.17228907293343 , 0.00154144290451526, 1.28606664612704 , -1.58068757587677 , 3.23582379552659 , -0.727134039916022 , -0.89873184429073 , 0.787051234675089 , 0.270256158484342 , 2.20128924643189 , -0.273710759664399 , -0.0873382563560925, 1.5168703797733 , 2.42727793939571 , 1.61831336175576 , -0.0535563922913487, 3.31404750722927 , -0.577452299162573 , 0.663784528110407 , -2.50780527400787 , 0.728592360544572 , 1.49530860731129 , 1.5862677755289 , -0.328157583518764 , 1.27465151803528 , 1.98769355615324 , -2.01200837517211 , 1.66582406918882 , 0.339918551362722 , -0.10029227548825 , 1.14926555311289 , -0.176107342126362 , 0.277475793106061 , -1.00920807388035 , 0.755995700649092 , 0.311735436603035 , -0.914463680859314 , 2.36321740899053 , 0.897060738546694 , 0.153882349097366 , 1.74334152805877 , -2.79946825376962 , 1.78833727411003 , 1.29096050643282 , 1.1957559271272 , 0.161845349400009 , -1.50593058569877 , -0.616754262825142 , 0.50840140059328 , 0.824043001070216 , -0.0756391903241073, 0.141166994956886 , 0.856898705920152 , 0.183528476522198 , 1.05585580060981 , -0.619866638452122 , 0.230207788982831 , 0.635383405433827 , 0.41822831031736 , -0.891600582865802 , -1.79483703949001 , 1.48230210495998 , 1.691630554594 , -1.01775823339098 , 0.847915182532354 , -0.111229522363374 , -0.0155533494290889, 1.26013659147615 , 1.49154422229832 , 0.981013146617287 , 0.913004626315933 , 2.18510405340361 , 0.758124017231613 , 1.3470878210888 , -0.706073471489841 , 0.407217307316362 , 1.03715420774611 , -0.563362816782808 , 0.644337736765177 , -0.0953529117625304, 0.795133492692161 , 0.328226373738545 , -0.15922256138715 , -1.99044204592429 , 1.48917462001715 , 0.704073570262973 , 0.64037954062781 | 0.5052518 |
| 9 | 20 | 0.0 | 0 | 1 | control , control , control , control , control , control , control , control , control , control , control , control , control , control , control , control , control , control , control , control , intervention , intervention , intervention , intervention , intervention , intervention , intervention , intervention , intervention , intervention , intervention , intervention , intervention , intervention , intervention , intervention , intervention , intervention , intervention , intervention , 0.275643320639006 , -1.47945568682506 , 0.55376567657207 , -0.183401239546576 , 0.254260291877515 , -1.46895609397277 , 0.260876216160771 , -0.996536704280423 , -0.758410860972869 , -1.69557804649346 , -0.726890181359346 , -0.194155742128797 , 0.343637513077365 , -0.411033453713773 , -0.129101974626679 , -0.442638742400372 , -0.0286767084401359, -1.03146528177496 , 0.884817159193771 , -1.06122172177102 , -1.21768829301497 , -1.28891043038676 , 0.309777727348001 , 1.35576649591413 , 2.13192996588079 , -1.08857942827789 , 1.02966538740059 , -0.241293608068915 , 1.96604275273678 , 0.990901274511088 , 1.87122711144114 , -0.714326301899384 , 0.190847377323107 , -0.252058062043213 , 0.244464777450384 , 0.482022002117986 , -0.205522619933445 , -0.822128113656315 , -0.208449703188095 , -0.429193718356479 | 0.0414647 |
| 9 | 20 | 0.5 | 0 | 1 | control , control , control , control , control , control , control , control , control , control , control , control , control , control , control , control , control , control , control , control , intervention , intervention , intervention , intervention , intervention , intervention , intervention , intervention , intervention , intervention , intervention , intervention , intervention , intervention , intervention , intervention , intervention , intervention , intervention , intervention , -0.771443322841913 , 1.37121216006633 , 0.954952270447427 , 0.0863044876612609 , 0.14568559621774 , 1.28022343937631 , 0.037511488415182 , 1.27736308750971 , 0.0711602320508348 , 3.59137029148371 , -1.07512758292902 , 1.31126081046109 , 1.7314611047252 , 3.16413766948027 , 1.12226103603124 , 1.36840156304908 , -1.15846307779709 , 1.27159044967336 , 0.0641488541241091 , 0.0790231392392415 , 0.0718238474955591 , 0.476212838694293 , 0.511071632949169 , 0.818551741183905 , 0.224379501284504 , 1.84623513823647 , -0.452093775968609 , 0.462806522323943 , -0.101797217249039 , 0.418433178616384 , 0.702415336473021 , 3.24878903275661 , 2.45905633995621 , 1.01635617829965 , 0.23780788795351 , 1.01182541393079 , -0.376105074227781 , 2.47711717695719 , -0.696521136978775 , 0.00981663028330088 | 0.8308589 |
| 9 | 50 | 0.0 | 0 | 1 | control , control , control , control , control , control , control , control , control , control , control , control , control , control , control , control , control , control , control , control , control , control , control , control , control , control , control , control , control , control , control , control , control , control , control , control , control , control , control , control , control , control , control , control , control , control , control , control , control , control , intervention , intervention , intervention , intervention , intervention , intervention , intervention , intervention , intervention , intervention , intervention , intervention , intervention , intervention , intervention , intervention , intervention , intervention , intervention , intervention , intervention , intervention , intervention , intervention , intervention , intervention , intervention , intervention , intervention , intervention , intervention , intervention , intervention , intervention , intervention , intervention , intervention , intervention , intervention , intervention , intervention , intervention , intervention , intervention , intervention , intervention , intervention , intervention , intervention , intervention , -1.81138051406075 , -0.476441172546268 , 0.516075744085409 , -1.06730563675053 , -0.661656883833296 , 1.05944310090244 , 0.0414186032651779 , 0.267017293150005 , -1.14003600437834 , -0.556629340160741 , 0.533062574794834 , -0.147657897854287 , -1.78594707192129 , -0.926122654509599 , -0.400125642113831 , -1.34782923603751 , -2.0971726021367 , -0.15441486383093 , 0.155692217559299 , 0.799296902704747 , 0.083281631119607 , -0.417626563245368 , 0.465503610425168 , 0.393628652585075 , 1.90147981345154 , 0.0591602440382472 , -0.790397579366308 , 0.37018039308507 , -0.840929717874747 , -1.13455513540837 , 0.616516736799468 , 1.15879535156527 , 2.21816484427476 , -0.914838231758115 , -0.877980034815917 , -1.57865073856105 , 0.140868119012308 , -1.31958495773153 , 0.194264935329583 , 0.289086630002456 , -0.961498412547266 , -0.524638079351605 , 1.42196643450559 , 0.654022751694833 , -0.0808479048490144, 0.775762794519651 , 0.795144069254336 , -1.28329891653525 , 0.421581719322244 , -0.335265192076597 , -0.674205492162553 , -0.526691434942618 , -0.520256838758835 , -0.140227424556887 , -0.663648233745758 , 1.2099187510954 , 0.243059409070569 , 0.197820803035673 , 0.290344833828609 , -3.04156919382481 , 0.300066850249857 , 1.18215526051107 , -0.0281097541801517, -1.5961621874826 , -0.533895632403894 , 0.244438904055982 , -1.35779512761228 , -0.474670050058811 , 1.18244033035755 , -1.20424116507715 , -1.06262894866004 , -0.672519922727736 , -1.41216930028237 , 0.568750414033829 , -0.349937431864369 , 0.611541894273371 , -1.03886655788023 , 1.75940216025563 , -0.221645675915867 , 0.540357561237926 , 0.312282054225526 , 0.103921060739878 , 0.148184779791263 , 0.877926617415957 , 1.16535070940436 , -1.03724996748749 , -0.260718659621536 , 1.97166041070708 , 0.375373238448965 , -0.352610229864996 , -1.09216164946046 , 0.380991713434794 , 1.22605578873721 , -0.614322050853447 , -0.227149737987527 , 0.562351757614224 , 0.415571938642895 , 0.949732615411591 , 1.43409881678642 , -0.108587155631094 | 0.4438724 |
| 9 | 50 | 0.5 | 0 | 1 | control , control , control , control , control , control , control , control , control , control , control , control , control , control , control , control , control , control , control , control , control , control , control , control , control , control , control , control , control , control , control , control , control , control , control , control , control , control , control , control , control , control , control , control , control , control , control , control , control , control , intervention , intervention , intervention , intervention , intervention , intervention , intervention , intervention , intervention , intervention , intervention , intervention , intervention , intervention , intervention , intervention , intervention , intervention , intervention , intervention , intervention , intervention , intervention , intervention , intervention , intervention , intervention , intervention , intervention , intervention , intervention , intervention , intervention , intervention , intervention , intervention , intervention , intervention , intervention , intervention , intervention , intervention , intervention , intervention , intervention , intervention , intervention , intervention , intervention , intervention , -0.566880291909419 , -0.717211891115295 , 1.42650563764103 , 0.226805360829604 , 0.995421117139847 , 0.479267064771614 , -0.322252979997412 , -0.219841765480094 , -1.68144793103834 , 0.0934634928993033 , -0.543406240884956 , -0.213063249777958 , 0.0820580585147163 , -0.770623554194489 , -0.393306239210328 , 1.00842054056864 , 0.877039693674633 , 1.06211806507845 , 0.619002288104727 , 0.932017999704741 , 0.616560625346598 , -0.0157484316606065, 1.62455402343386 , 0.541475917055934 , 1.10638479223919 , 0.216400177520991 , 1.09926381282237 , 1.44117026002024 , 0.561179293129128 , -2.04372916266915 , 0.0652889435102062 , -0.625348788952682 , 0.319532302334568 , 0.426562055905844 , -0.608879880408229 , 0.789028833673168 , -0.546766708884882 , -1.07762985610008 , -0.50048783562985 , 0.548066126005175 , -2.97724032358761 , 0.821125290878537 , -0.198052782021223 , -1.28941191324158 , -1.50662118802275 , -1.34308456414139 , -0.519434257104395 , 1.73890341784656 , -0.0957324360123431, -0.147318850180608 , 1.54551361362736 , 1.23893975967455 , 0.577068102788217 , -0.657701869267509 , 1.16073470491007 , -0.214823015312363 , 2.94954501657271 , 0.723416961447257 , 0.551978948616282 , 0.693294051605249 , 0.86334327774409 , 0.833144006776466 , -0.811129996767398 , 0.837947622102571 , -0.0231791506508788, -0.811712819059072 , 1.61667473512461 , 0.362721370200344 , 0.223688114679367 , 2.59150137517465 , -1.29539459496823 , 0.582080401952724 , 1.89743364198414 , 0.975752231147651 , 1.17978018128268 , 1.73189284686666 , 1.16244797186394 , 0.132946845894108 , 0.878270222235706 , -1.25141620528583 , -1.20245106030625 , 1.19855436808822 , -0.977717801386066 , 1.50910370028252 , 1.37165422259857 , -0.841223044232158 , 0.790197108972261 , -0.94600045917807 , -0.0253859890886958, 2.40440682988752 , 0.225714721842946 , 2.8841251047063 , 1.20488052128391 , -0.561913152622903 , -1.0923748418282 , 0.617907105559822 , -0.706875383743122 , 2.18543199878072 , 0.0493627458537305 , 0.276606783073425 | 0.0092365 |
| 10 | 20 | 0.0 | 0 | 1 | control , control , control , control , control , control , control , control , control , control , control , control , control , control , control , control , control , control , control , control , intervention , intervention , intervention , intervention , intervention , intervention , intervention , intervention , intervention , intervention , intervention , intervention , intervention , intervention , intervention , intervention , intervention , intervention , intervention , intervention , 0.0966966296882979, 0.949765023895471 , 0.91199954489984 , 0.381163764591876 , 0.0375508464919318, -0.49780371694577 , 0.100164630255524 , 0.808690290365326 , 0.37597843774621 , -1.4270995565906 , -1.0343496173492 , -1.28663558681379 , 0.670450699862299 , 0.966281692057741 , -1.34466866249462 , 0.278940647491939 , 0.934441849895441 , -0.15886433400262 , 0.329134818263073 , 0.283677263137259 , 3.28341509702138 , -0.53483167693832 , 0.381715364426829 , 0.751132413916507 , 0.597915074377803 , 0.914190283470795 , 0.472582012185472 , 0.69045957548619 , 0.885256124893736 , -0.995056978348821, -0.693310152965141, 0.936142693125199 , 0.749669525688893 , -0.361101794705661, -0.289512104905007, -0.929190485346005, 0.752639450311463 , -0.105186019728837, 1.16480249305388 , -0.87881290068316 | 0.3474497 |
| 10 | 20 | 0.5 | 0 | 1 | control , control , control , control , control , control , control , control , control , control , control , control , control , control , control , control , control , control , control , control , intervention , intervention , intervention , intervention , intervention , intervention , intervention , intervention , intervention , intervention , intervention , intervention , intervention , intervention , intervention , intervention , intervention , intervention , intervention , intervention , -0.546206629779283 , -0.503909296518596 , 1.6905692195299 , -0.362793709116905 , -0.0165959552914061, -0.245707252571732 , -0.0728228161865709, -0.0211629850403977, -0.454280127127809 , -0.373311446195116 , 0.40494567161766 , -0.337343787310257 , -0.0606510931585737, 0.362487101202904 , -0.080815747894392 , -1.25504563603304 , 0.677130352836648 , 0.558000134251809 , 0.392013264318831 , -0.31628837953069 , -0.212197098140322 , -0.506217766012615 , 1.52109251706315 , 1.17189810691656 , -0.357710580629625 , 0.574902966520629 , 0.247238596372417 , -0.115537138969781 , 0.0565124839070506 , 1.07122289065385 , -1.30254762772921 , 0.269774879691871 , 0.717183993634792 , 1.7913519494625 , 1.90136463052587 , 1.00679984257102 , 1.89981163006393 , -0.143429778158578 , -1.02936883110201 , 1.46247727273327 | 0.0440946 |
| 10 | 50 | 0.0 | 0 | 1 | control , control , control , control , control , control , control , control , control , control , control , control , control , control , control , control , control , control , control , control , control , control , control , control , control , control , control , control , control , control , control , control , control , control , control , control , control , control , control , control , control , control , control , control , control , control , control , control , control , control , intervention , intervention , intervention , intervention , intervention , intervention , intervention , intervention , intervention , intervention , intervention , intervention , intervention , intervention , intervention , intervention , intervention , intervention , intervention , intervention , intervention , intervention , intervention , intervention , intervention , intervention , intervention , intervention , intervention , intervention , intervention , intervention , intervention , intervention , intervention , intervention , intervention , intervention , intervention , intervention , intervention , intervention , intervention , intervention , intervention , intervention , intervention , intervention , intervention , intervention , -0.818976366360012 , 0.837965867137913 , 0.538820830957489 , 0.0762145917031412 , -0.891470826377846 , -0.633956505371805 , 0.853983375274517 , -0.616349258638499 , -0.918574082714835 , 1.80888272394249 , -0.167821975287032 , 0.301764913229796 , -0.979537146603637 , 1.44367616936548 , 0.473977378182928 , -0.740630499339768 , -0.671474525161949 , -1.17789405785542 , 1.20964577340688 , -0.0334000053201777 , 0.394768367066201 , 1.17957988767476 , 0.713889128478658 , 0.215209030711798 , 0.395520381327908 , 0.248532964871744 , -0.682587029062366 , -0.410707174024349 , 0.00176235026296654 , -0.403152438313353 , 0.60171763359419 , -0.229787562833622 , -0.557920575458048 , -0.813334420999897 , -0.620048387815463 , -0.650102284659719 , 0.293617090507272 , -1.28098045342341 , 0.438876863372968 , 1.53774274132435 , -1.87069702167555 , -0.102172356965385 , 0.594077818631893 , -0.4892879065249 , 0.365161688965205 , -0.188789813981286 , 1.08699436679029 , -0.860825804603754 , -1.0544332481594 , 0.656156852351477 , 0.528003619366996 , -0.684525427670838 , -1.15639539253155 , 0.818745271642628 , 0.350302450616708 , -1.30843894385167 , 2.11841124050392 , 0.130045231019112 , -0.000227177141743944, 0.217766285196303 , 0.857361613536009 , -0.993541886030633 , 0.0166547204964672 , -1.33997969473491 , -0.729139203867285 , -0.818203345286774 , -0.82092919573083 , 0.060603125650724 , 1.47828151804216 , -1.67546183387877 , -0.180892390733374 , 1.93046914859107 , 0.44883851390994 , 2.14761625169863 , 1.04140919725799 , -0.763417860759349 , 0.118298728491041 , -0.796146545097868 , -1.02138896985152 , 0.817249796039037 , 1.18242073223562 , -1.33513242723502 , -2.17677758672292 , -2.41721088751054 , -0.195745463001792 , -0.000598165460072443, 0.216123196971821 , 0.0965052038042543 , -0.273907071905123 , 0.929029589466325 , -0.293590187140761 , -0.0363466438482825 , 0.0345971841638161 , 0.642069010913795 , 0.914976433227382 , -0.70735447611584 , -0.0826397952894794 , 0.398804309560099 , -0.205210402114533 , -0.132278460420637 | 0.9081560 |
| 10 | 50 | 0.5 | 0 | 1 | control , control , control , control , control , control , control , control , control , control , control , control , control , control , control , control , control , control , control , control , control , control , control , control , control , control , control , control , control , control , control , control , control , control , control , control , control , control , control , control , control , control , control , control , control , control , control , control , control , control , intervention , intervention , intervention , intervention , intervention , intervention , intervention , intervention , intervention , intervention , intervention , intervention , intervention , intervention , intervention , intervention , intervention , intervention , intervention , intervention , intervention , intervention , intervention , intervention , intervention , intervention , intervention , intervention , intervention , intervention , intervention , intervention , intervention , intervention , intervention , intervention , intervention , intervention , intervention , intervention , intervention , intervention , intervention , intervention , intervention , intervention , intervention , intervention , intervention , intervention , -0.217539869109758 , -0.36313136901999 , -0.579198692294621 , -1.07099196226225 , -1.21950191860828 , -0.855208303606438 , -0.873119774405399 , 0.0775729436891668 , 0.343969120296602 , 0.0297698249226796 , 1.63813211738001 , -0.0133222965090186, 0.890290990032178 , 1.99982374345893 , 0.830871098486015 , -0.575831377950658 , 0.547582169007753 , -0.369248068271401 , 0.582188210055372 , -1.24069009833174 , 0.0176039323679689 , 0.19312664156455 , 0.0564108783138403 , 0.0683648042361866 , -0.212049679761739 , 0.965829360140121 , 0.760986400530455 , 0.624368067332384 , 0.71363628881557 , 1.02636197307171 , 0.202192846245798 , 0.162493305000707 , -0.548060471421229 , 1.58048135032033 , 2.03191337904178 , 1.14354079648333 , 0.126479605741684 , 0.0230062120838119 , 0.564969704651607 , 0.170006777983827 , 0.288201443528383 , 0.790753377785958 , 1.00843128266432 , 0.85698884316057 , -1.0995594431707 , 0.674185027296334 , -2.01020829085028 , -0.0708670882521547, -2.27927188506233 , 0.620053557674538 , 0.656841120283801 , 1.73404058121023 , -1.84309175986125 , 0.618550193531321 , 0.988005442266883 , -0.605614949411093 , 0.547407461905772 , -0.50914295395985 , 1.40623857223561 , 1.65120474517782 , 0.888170778585643 , 0.917819544613585 , 0.673679264807532 , 0.313911661251822 , -0.285805056140188 , 1.08164479025036 , -0.217760842743702 , -0.354537529484498 , 0.804950469079146 , -0.36627041763405 , 0.28580912552996 , 3.37393450781042 , 0.897564250734885 , -1.85534400215018 , -0.617523703653271 , -0.930962876793468 , 1.02509855986582 , 0.99202781415909 , -0.680764075560075 , 0.879676820474966 , -0.933232702138362 , 0.361658984112172 , 1.61945133507519 , 1.42855010342128 , -0.260730868429916 , 2.92431976349943 , 0.241748244755125 , 0.894113388544235 , 0.514816260622133 , 1.06809199060785 , 0.999378924911297 , -0.415197997433506 , 0.622721609123438 , 2.17657784354335 , 0.56829239185323 , 1.24549953118551 , 0.723733251510192 , 0.562731856414064 , -1.69283566595572 , 0.650169600134636 | 0.0924278 |
| 11 | 20 | 0.0 | 0 | 1 | control , control , control , control , control , control , control , control , control , control , control , control , control , control , control , control , control , control , control , control , intervention , intervention , intervention , intervention , intervention , intervention , intervention , intervention , intervention , intervention , intervention , intervention , intervention , intervention , intervention , intervention , intervention , intervention , intervention , intervention , -0.994085503893204 , 0.247544718592541 , 0.1376558421127 , 0.0991225245901024 , 0.509508688254623 , -0.762663112983435 , -0.0695352434685065, 0.403831996207205 , 0.112669162535682 , 1.14951644413153 , -0.490018964760989 , 0.0666944725780256 , -0.568353124692163 , -1.4440746320586 , -0.687679848207868 , -2.29529855374285 , -0.970058625624381 , 0.774256893794599 , -1.51076290427148 , -0.875633064170267 , 0.237294289069047 , -0.963500404006052 , 0.161215548379543 , -0.329755075684262 , -1.01757370135675 , -0.282882651006041 , 1.23367512268048 , 0.111963018823204 , 1.15615208956911 , -0.318122693931655 , 0.758316558030641 , 1.53657204570047 , 0.680689479227286 , 0.891776596754711 , 0.192530726111356 , 1.23564963771819 , -0.842972792660454 , 0.390828940018091 , 0.403888712914946 , -0.261671490176828 | 0.0222747 |
| 11 | 20 | 0.5 | 0 | 1 | control , control , control , control , control , control , control , control , control , control , control , control , control , control , control , control , control , control , control , control , intervention , intervention , intervention , intervention , intervention , intervention , intervention , intervention , intervention , intervention , intervention , intervention , intervention , intervention , intervention , intervention , intervention , intervention , intervention , intervention , -0.214363760950399, 0.495009702436979 , 0.749054903414294 , -1.15243951955513 , 0.383997043907802 , -0.257926592807192, 1.70466495303315 , 1.80788285149633 , -0.485584851328968, 1.34653028958175 , 0.377705560311435 , 2.27476342618998 , -0.202747878102304, -0.453350211842668, 0.641363805589433 , -0.707355749007607, 0.0126272193027806, -0.342634973602879, 1.20463584687036 , -0.576293648985211, 0.460343730878901 , 0.438255686222146 , 1.17627774551705 , 0.854813264835153 , 1.55639796739005 , 1.08744109816072 , -0.294749916184244, 2.64198401244035 , 1.45598358927795 , -1.40634911367826 , -0.250022529147323, 1.79899989487405 , -0.730685146028986, 1.21501086795581 , -1.57092513070207 , 0.851638934061335 , 2.09401933274369 , -0.111501940001164, 1.97022333195366 , 0.52734494943156 | 0.2866310 |
| 11 | 50 | 0.0 | 0 | 1 | control , control , control , control , control , control , control , control , control , control , control , control , control , control , control , control , control , control , control , control , control , control , control , control , control , control , control , control , control , control , control , control , control , control , control , control , control , control , control , control , control , control , control , control , control , control , control , control , control , control , intervention , intervention , intervention , intervention , intervention , intervention , intervention , intervention , intervention , intervention , intervention , intervention , intervention , intervention , intervention , intervention , intervention , intervention , intervention , intervention , intervention , intervention , intervention , intervention , intervention , intervention , intervention , intervention , intervention , intervention , intervention , intervention , intervention , intervention , intervention , intervention , intervention , intervention , intervention , intervention , intervention , intervention , intervention , intervention , intervention , intervention , intervention , intervention , intervention , intervention , -1.09948645373659 , 0.757451903369274 , -0.208551814173524 , 1.12080354214255 , -0.253597972441082 , -1.83866557770374 , -0.116053016729223 , 0.294153614319252 , -0.555072047198108 , 0.251559745538446 , -0.720174625524463 , 0.891401672178859 , -1.61564605528489 , -1.24622936158503 , -0.97310625101294 , -2.15591992601072 , 0.129609147552418 , 0.383484409169755 , -0.0160847060123767, -0.503538736479309 , -1.47658581211906 , -0.652841034647647 , 2.04896760682107 , 1.66314370446916 , -0.323585403340276 , -0.517998960186441 , 2.23909610468306 , -0.532134479577567 , 0.492332041128805 , -1.00393120112739 , 0.516379898777469 , 0.431926202792776 , -0.471329362406034 , 0.696065585259685 , 0.770751486667176 , -0.419493740419156 , 1.33137638349749 , -0.948411114185463 , -1.11299768778001 , -2.20629314716782 , 0.78672583004921 , 0.458273308831083 , -1.07087215967276 , -0.336263603085751 , -2.62647811392237 , -0.909683016825851 , 0.548035492214828 , 0.389942970276346 , 0.209473932876735 , -0.391760319944145 , -0.70269981397812 , 0.228736365826765 , -0.671148723908419 , 0.274346492997905 , -1.17367235692696 , 0.593354032524673 , 0.0946535119115134 , -2.7198298969221 , 0.13492472559126 , 1.70808878548039 , 0.939184026984851 , -0.332708523298186 , -1.04140988491505 , -0.450200489473983 , -0.341675325953346 , -0.609382109444277 , 0.487667047420815 , -1.72326336865194 , 1.27505096343046 , -1.4236342291267 , -0.219497434927684 , 0.0248810445297249 , 1.47395875043947 , 0.533714720523258 , 1.01242141653968 , -1.6191066150403 , -1.59119564676294 , 0.0737836236818239 , 1.5686949651304 , -0.277561666374276 , 0.960138597425584 , -0.432333858525879 , 0.624696936492576 , 0.41308683513187 , 1.96325019497809 , 0.420180502332122 , 0.0693775425306479 , 0.668301170615501 , 0.0955575575539537 , -0.487939933096254 , -1.63843290195424 , -0.138788699689965 , -0.925059658041087 , -1.26596144822232 , 0.182585932409404 , 1.11344908413391 , 0.190781078997026 , 0.142498646638858 , 0.0292541800966997 , -0.842830458925056 | 0.5208440 |
| 11 | 50 | 0.5 | 0 | 1 | control , control , control , control , control , control , control , control , control , control , control , control , control , control , control , control , control , control , control , control , control , control , control , control , control , control , control , control , control , control , control , control , control , control , control , control , control , control , control , control , control , control , control , control , control , control , control , control , control , control , intervention , intervention , intervention , intervention , intervention , intervention , intervention , intervention , intervention , intervention , intervention , intervention , intervention , intervention , intervention , intervention , intervention , intervention , intervention , intervention , intervention , intervention , intervention , intervention , intervention , intervention , intervention , intervention , intervention , intervention , intervention , intervention , intervention , intervention , intervention , intervention , intervention , intervention , intervention , intervention , intervention , intervention , intervention , intervention , intervention , intervention , intervention , intervention , intervention , intervention , -0.752085764504755 , 0.431751081444053 , -0.156863636402473 , -0.919215974914642 , -2.2259255612865 , 0.575700595183289 , -0.351002763426756 , 2.3804837999469 , -0.373783625978098 , -1.81884690970188 , -1.11012239300979 , -0.372772595457661 , -0.088207736821115 , 2.04406612395041 , -0.713500014522579 , -0.0279635616204208 , -1.19207574412303 , -1.96287839622077 , 0.0956223279689747 , 0.695090655880814 , -1.50725242376457 , -0.55081859010635 , 0.726345341622128 , 0.360512122524038 , -1.33872752900232 , 1.4840726870273 , -0.95363484496218 , -1.35024625825197 , 1.4940335308266 , 0.95083859755857 , 0.911298159522881 , -0.0267612538400024 , 1.03134506265892 , -0.156182429468097 , -0.262526627346592 , 1.8576626462485 , -1.66418995575777 , -1.15905018261029 , -2.2374411962052 , -0.949605327135644 , 1.47398461014351 , -0.208718532542987 , -0.299984070029695 , -0.676335393589139 , 2.06321976454107 , -0.0302051092085206 , 0.969603393576935 , -0.169246580717267 , 1.86740789417931 , 1.73064391732401 , -0.111378260548032 , 1.71454952329034 , 2.27882667231348 , 1.28740922636307 , 0.934237118457725 , 2.47285327006851 , 1.34422461227031 , -0.237742717296107 , 0.183422304688127 , -0.54506991484435 , -1.79821829759344 , -0.586231006001758 , 1.3923209919722 , -0.00841934702113878, 1.11983529024142 , 0.957205409458963 , 1.14834638205393 , 1.77189996647402 , 0.0968193350367719 , -0.398258386964464 , 0.468872124794319 , 1.70421069932567 , 0.146927229661955 , 0.94196350983854 , 0.357727078936291 , 0.415600783338255 , 0.219539908446314 , 2.88368714581809 , -0.953731627927669 , -0.894632598326597 , 0.320782470792261 , 0.106191363815611 , 2.00212636699828 , 0.47771856678845 , 0.064040143219418 , 0.120043815883204 , 0.85103425192728 , 1.17592345802872 , 1.57809985622929 , 0.607608501525388 , 0.864460094552506 , 0.466056865645277 , 1.73412868461526 , 0.0234265206305517 , 1.14783089151051 , -0.590748652124946 , -0.434718835763352 , 0.107765548885597 , -0.759281926209858 , 0.256231416264022 | 0.0055500 |
| 12 | 20 | 0.0 | 0 | 1 | control , control , control , control , control , control , control , control , control , control , control , control , control , control , control , control , control , control , control , control , intervention , intervention , intervention , intervention , intervention , intervention , intervention , intervention , intervention , intervention , intervention , intervention , intervention , intervention , intervention , intervention , intervention , intervention , intervention , intervention , -0.909754533264 , -0.101847346481203, 0.834758020972556 , 0.288926920889209 , -0.46193683898603 , 1.28071865605459 , -1.08308907620323 , 0.539251588964469 , 0.992084667523085 , -0.309225933000729, 1.14253269396641 , 0.609281456799998 , 1.3675704424458 , -1.11298285910789 , 0.936455326216232 , 1.7841796431902 , 0.491449533808493 , 0.365714520854396 , -1.9380155447309 , -2.28976404210442 , -0.924281508603822, -0.306935439818156, -0.870640054904896, -0.784851559760851, -1.41009360545118 , -0.468206714379693, -1.05591576353147 , -0.154630491570064, -0.077448573233206, 1.43110557114711 , -0.278606853822934, 1.30819214698891 , 0.958191331832576 , -0.485880773068855, -0.174695759658976, 1.86553658512636 , 0.0724912431009731, 1.24374365142401 , 1.2856165544168 , -0.221806014394272 | 0.8241914 |
| 12 | 20 | 0.5 | 0 | 1 | control , control , control , control , control , control , control , control , control , control , control , control , control , control , control , control , control , control , control , control , intervention , intervention , intervention , intervention , intervention , intervention , intervention , intervention , intervention , intervention , intervention , intervention , intervention , intervention , intervention , intervention , intervention , intervention , intervention , intervention , -0.761864104819141 , -1.40088511908882 , 0.406739697676773 , -0.865032708020426 , 0.834708921693566 , -1.30683229125968 , -1.11577930181964 , -1.13065234935576 , 1.59400423019239 , 1.23897848511385 , -0.481684248925649 , -0.558383254886897 , -0.299828832152555 , -0.464065448789085 , -1.34838408165217 , -0.741850076473841 , -0.261637815254011 , -0.487688635002503 , -1.45697134432005 , 0.0278249463739459 , 0.439392320201821 , 0.188549935959934 , 2.37850127234281 , 1.77605945723831 , 1.05140193398024 , 0.675024425943184 , 1.24632084308245 , -0.403250887546287 , 1.890561147469 , 1.23776723653859 , 0.673118654361317 , 0.197304447085764 , 1.00556896825613 , 0.29727397009385 , -0.62039240195683 , -1.02954836730274 , -0.0682879057765676, 0.240145020589303 , -0.554829767104436 , 1.3332405918794 | 0.0007619 |
| 12 | 50 | 0.0 | 0 | 1 | control , control , control , control , control , control , control , control , control , control , control , control , control , control , control , control , control , control , control , control , control , control , control , control , control , control , control , control , control , control , control , control , control , control , control , control , control , control , control , control , control , control , control , control , control , control , control , control , control , control , intervention , intervention , intervention , intervention , intervention , intervention , intervention , intervention , intervention , intervention , intervention , intervention , intervention , intervention , intervention , intervention , intervention , intervention , intervention , intervention , intervention , intervention , intervention , intervention , intervention , intervention , intervention , intervention , intervention , intervention , intervention , intervention , intervention , intervention , intervention , intervention , intervention , intervention , intervention , intervention , intervention , intervention , intervention , intervention , intervention , intervention , intervention , intervention , intervention , intervention , -0.79251096468288 , 0.102623662431204 , -1.71748817795752 , -1.89630332847457 , 0.135604115592221 , -0.888170806630027 , 0.465260313564743 , -1.61668326089843 , -0.481980860887029 , -0.72982070487823 , -0.476264491968591 , -1.31686230766117 , 0.108137287966374 , 1.36899942394911 , -1.05972684772798 , -0.759509626188609 , 1.50555069094512 , 1.76330030632595 , 0.635171036472767 , -0.949734043783256 , -0.541796399423443 , -0.327961061272869 , -0.621722720490507 , -0.961723128162588 , 1.72379911914157 , -0.40808037214846 , 0.637609963725225 , -1.24614630354655 , 2.50250261660081 , 0.446063085439019 , 0.428895764075089 , 0.957711602237547 , -0.929453596180752 , -0.0346598053598621, 0.633137205634296 , -0.555670462993417 , -2.14853297332193 , 0.620414452033148 , -0.796912361670877 , 0.523342586704524 , 0.54256662509673 , -0.642762358131076 , 0.372104855159409 , 0.581568459353365 , 0.245799007291131 , -1.4630922721002 , 2.42912786723829 , -1.30601864878674 , -0.965762000236059 , -0.427762418011557 , -1.41709386971831 , -1.64600171543922 , -0.42984808064068 , -1.66570803825829 , -0.190956959806227 , -0.170135688933008 , -0.766119859809251 , 0.266884866364358 , 0.463587179189569 , 0.520611437457456 , -0.564180291255773 , -1.28967247635976 , 0.340470480547364 , -0.293401663423733 , -0.494110483452871 , -1.16576183527239 , -0.52554027586757 , -1.07002982764923 , -1.70169599144338 , -2.23231132826105 , -0.194888957481248 , 0.327675448699416 , 0.207916778466622 , -0.251830729096141 , -0.0294696241323667, 0.0782697688931341 , 1.77632116616971 , 1.20162596191353 , -0.562203912950076 , 0.355646944028495 , 0.851938338180421 , 0.45254338591458 , 0.41069981680601 , -0.773419625894773 , 0.570926292116917 , -1.57436125347983 , 0.13198410376227 , 0.764988992911579 , 0.787489012327935 , 0.090422630012636 , -0.922814840209312 , -0.287248122743859 , -0.367847340593889 , 1.10569815166501 , -0.143163959141117 , -1.14793266765569 , 2.3986795017112 , -0.594063829959281 , 2.36755891097371 , 0.407799167696902 | 0.9428420 |
| 12 | 50 | 0.5 | 0 | 1 | control , control , control , control , control , control , control , control , control , control , control , control , control , control , control , control , control , control , control , control , control , control , control , control , control , control , control , control , control , control , control , control , control , control , control , control , control , control , control , control , control , control , control , control , control , control , control , control , control , control , intervention , intervention , intervention , intervention , intervention , intervention , intervention , intervention , intervention , intervention , intervention , intervention , intervention , intervention , intervention , intervention , intervention , intervention , intervention , intervention , intervention , intervention , intervention , intervention , intervention , intervention , intervention , intervention , intervention , intervention , intervention , intervention , intervention , intervention , intervention , intervention , intervention , intervention , intervention , intervention , intervention , intervention , intervention , intervention , intervention , intervention , intervention , intervention , intervention , intervention , 1.01147239819539 , 0.250392232098109 , -0.223734687494173 , 0.726264607220192 , 0.0324571368257041 , -1.1055868185776 , 0.954922122738853 , 0.65682802529 , -2.22354174939644 , -0.150140137987119 , -1.63516278274947 , -1.15738210733614 , -0.194399195654122 , -0.0389497124199611, 0.230127582446955 , -1.36917968238256 , 0.0409015235638565 , 1.89152313401223 , -0.50428945646612 , 1.35540115318355 , -1.29881725174047 , -0.591144419963917 , -0.609581972863302 , -0.605390018847926 , 1.94413034368079 , 0.534311982461612 , -2.2910752450636 , 0.490183913662883 , 0.423483117087027 , 0.244877265129398 , -0.374797917514089 , 0.324273323075842 , 1.38355511028267 , -0.0388642446456285, -0.567760672998837 , 0.107372655548365 , 0.236581097150812 , -1.47318526067201 , 0.0493490743472024 , 1.81307924834736 , 1.14981292170017 , 1.58399083177615 , -2.25123964114196 , 0.826471234419899 , 0.113537893537165 , 0.693408855709326 , 0.0526389199065527 , 2.23606383944775 , 0.922817807668971 , -0.215488798715889 , -0.255607789614447 , -0.423071698626602 , -0.16122603640809 , 0.671906951555586 , 0.751358621311366 , 1.84452408281922 , 0.792306596133951 , 0.815970178500372 , -0.497013637923253 , -1.38372339225704 , 1.19112108231909 , 2.26966217185233 , 2.07285389072344 , 0.812011318699177 , -0.846881561276081 , 0.333364329816407 , -0.687911175739998 , -1.07165006926152 , 1.2111783251888 , 0.558603811289904 , -0.0220789257120063, 0.647937572231179 , 1.20184741421101 , 0.450764876926023 , 0.881061808658235 , 0.595150600150536 , 0.774020722706327 , 3.20175893048551 , 0.824794096903303 , -2.10802461845044 , 0.611337859434924 , 1.83901616918401 , -0.424990848226605 , 1.52756665637164 , 0.0185597788022008 , 0.687932967830767 , -0.2414738658293 , 2.3542611099555 , 0.666239001995337 , 1.7140838551928 , 1.07033164345622 , -0.208633501166331 , 2.09437134722296 , -0.142996192743042 , 0.646124594687869 , 1.58820049926524 , -0.0698135058251994, 1.83997293194964 , 0.306655115728825 , 2.20966287807482 | 0.0074638 |
| 13 | 20 | 0.0 | 0 | 1 | control , control , control , control , control , control , control , control , control , control , control , control , control , control , control , control , control , control , control , control , intervention , intervention , intervention , intervention , intervention , intervention , intervention , intervention , intervention , intervention , intervention , intervention , intervention , intervention , intervention , intervention , intervention , intervention , intervention , intervention , 0.553662104639366 , -1.04249410957161 , -0.274227753406709 , 0.617644195346927 , -1.80055889958259 , 1.58595604065393 , 1.26645421347372 , 0.173036461879404 , -1.46162719674157 , 1.398892790146 , -0.0401959419047893 , -0.294809593407898 , -1.355314660359 , -0.52752942422751 , 0.78756452674065 , 1.6581682738947 , -0.899998455429281 , -0.584326974763996 , 0.812386454235778 , -0.679549309939422 , 1.22989820261971 , 2.2109103130997 , 0.467173826423049 , 0.0959107825790709 , 1.09852502939067 , -0.916839984367209 , -0.421437988968939 , 0.741563562024788 , -0.307617479902656 , 0.791859450423808 , 0.255155866321976 , 2.05825477505693 , 0.202277337846692 , -0.390025667895695 , 0.106463880097511 , -0.806206158650523 , -0.00125347289321542, 0.539973949966086 , -0.788326917481065 , 0.762210077493023 | 0.2573312 |
| 13 | 20 | 0.5 | 0 | 1 | control , control , control , control , control , control , control , control , control , control , control , control , control , control , control , control , control , control , control , control , intervention , intervention , intervention , intervention , intervention , intervention , intervention , intervention , intervention , intervention , intervention , intervention , intervention , intervention , intervention , intervention , intervention , intervention , intervention , intervention , 1.54965143377858 , 1.10620494052165 , -0.899952789368445 , -1.05985268002872 , 1.81595484771615 , -1.03324946397665 , 0.758058642235199 , -0.367008524464767 , 0.44541355233787 , 0.135720682905792 , 1.53223953356395 , -2.26105601372195 , -0.0725029938033098, -0.161734559665276 , 0.242383934693453 , -0.826094139657342 , -0.603088055248812 , 0.157109046240861 , 0.104488883323489 , -1.13235150773551 , -0.884827654759769 , -0.179373860210229 , 0.953305664432417 , 2.13726169670278 , -1.54490854172687 , 1.25828817395922 , 2.56481722970595 , -0.399275765059744 , 1.01556149952036 , 1.54345824711232 , -0.0203376365887267, -0.353059333132064 , 2.20464345688774 , -1.13860701144954 , 0.0613480688108607 , -0.839039992872399 , 1.4621874439219 , -0.476997824872344 , 1.78914176585507 , 0.51833573153081 | 0.1633072 |
| 13 | 50 | 0.0 | 0 | 1 | control , control , control , control , control , control , control , control , control , control , control , control , control , control , control , control , control , control , control , control , control , control , control , control , control , control , control , control , control , control , control , control , control , control , control , control , control , control , control , control , control , control , control , control , control , control , control , control , control , control , intervention , intervention , intervention , intervention , intervention , intervention , intervention , intervention , intervention , intervention , intervention , intervention , intervention , intervention , intervention , intervention , intervention , intervention , intervention , intervention , intervention , intervention , intervention , intervention , intervention , intervention , intervention , intervention , intervention , intervention , intervention , intervention , intervention , intervention , intervention , intervention , intervention , intervention , intervention , intervention , intervention , intervention , intervention , intervention , intervention , intervention , intervention , intervention , intervention , intervention , -0.278170520281134 , -0.941070736371925 , 0.424005843582463 , 0.358668285618942 , 0.0343023162130787 , -1.73914839244265 , -0.651951025452677 , 0.79408939647361 , -0.399413269695647 , 0.743752981080539 , 1.22387713743322 , -0.7031530056629 , 0.279487984514289 , 0.78469403815806 , -0.0313654133393346, -0.740985445464653 , 0.251733954162177 , -0.674183691971497 , -0.309952642977634 , 0.374884253301391 , 0.901271872930135 , 0.885707987393559 , 0.601759784921704 , -0.802672351919748 , -0.288755838935716 , -0.336849336556643 , 0.54469385190354 , 0.44333558427132 , -0.700670558573974 , 0.403162769566909 , -0.0402925170212969, 2.50717065201054 , 0.705722868176344 , -1.13648135133179 , -2.12139871609139 , -0.432105096963697 , -0.0890455211104873, 0.547071932863506 , 1.24263704090989 , 1.48575617369228 , -0.47337162208358 , 1.32466525450878 , 1.65166059080074 , -0.0752974904339713, 0.143406600897643 , -0.607758013906942 , -1.70885610480221 , 1.86833075636595 , -1.51025649736609 , 0.214292625831272 , 0.712975006354115 , -0.205517070160858 , 0.302720407520058 , -1.10515448709567 , -0.900289130635461 , -0.158263792276417 , 0.90160867385537 , -1.21067126058763 , 1.49463721393347 , -0.455474083008495 , -2.78259062061742 , 1.5653655978029 , 1.21280256922253 , -0.648657107022855 , 1.73774061140024 , -1.34908971791402 , 0.00371938245382804, -0.480737369084645 , -0.496456813394848 , -0.14373724097927 , 1.10662897714558 , -0.590147362349657 , 0.355673489561639 , 0.187073432206443 , -0.440901838772921 , 0.913650384162356 , -0.0622855267689438, -0.151235067517009 , 1.33260810810909 , 0.593044657412703 , 0.530838793005521 , -0.545900933598259 , -1.55553138305014 , 0.295907894229574 , 0.386769686615433 , 0.00822842292036546, -0.594958165470192 , 0.800708422359992 , -0.830348430784477 , 0.144361769899443 , -0.62862110398722 , 0.570458845742354 , 0.238989809218011 , -0.198544951767757 , 0.0285050383379428 , -0.824551464095875 , 0.443861254884219 , 0.830112728996494 , 0.870051282761148 , -0.491634959817182 | 0.7255183 |
| 13 | 50 | 0.5 | 0 | 1 | control , control , control , control , control , control , control , control , control , control , control , control , control , control , control , control , control , control , control , control , control , control , control , control , control , control , control , control , control , control , control , control , control , control , control , control , control , control , control , control , control , control , control , control , control , control , control , control , control , control , intervention , intervention , intervention , intervention , intervention , intervention , intervention , intervention , intervention , intervention , intervention , intervention , intervention , intervention , intervention , intervention , intervention , intervention , intervention , intervention , intervention , intervention , intervention , intervention , intervention , intervention , intervention , intervention , intervention , intervention , intervention , intervention , intervention , intervention , intervention , intervention , intervention , intervention , intervention , intervention , intervention , intervention , intervention , intervention , intervention , intervention , intervention , intervention , intervention , intervention , -0.198896157720101 , 1.4273750834014 , 0.701563976001929 , -0.0563110873066286, 0.443866899710568 , -1.32926616121601 , 0.957023031655365 , 0.0265221983354633 , 0.878575668008052 , 0.627985320119444 , -1.14104078706769 , 0.470415621630364 , 1.57738509429989 , 0.801950558827321 , -1.41688121755131 , -0.099375965768071 , -0.733619547616392 , -0.80165025766069 , -0.123320553663914 , 0.582323668982747 , -0.525540215314732 , -0.80188164339874 , 0.247463780352947 , -1.26071263348297 , 1.03263696214336 , 1.25169549075617 , -2.32990879845529 , 0.330675886109321 , 0.0585407393425273 , 0.988678193129079 , 1.01147073919738 , -1.32108804169199 , -1.82748519484759 , 0.685445719328477 , 0.664154176964466 , -0.209228539272766 , 0.649486450864875 , 0.541358313041677 , -0.0533973083841372, 1.59736199369641 , 1.53632198537978 , 0.175845898102109 , -1.17838603537859 , 0.532906033436489 , 1.84124674169301 , 0.472024516317024 , -0.47908323392835 , -0.595176663106811 , 0.219029266959855 , 1.70624088700745 , 0.782370641265024 , -0.417973918927578 , 0.420304750785039 , 0.699246302070162 , 1.82365933026518 , 0.318401664885254 , 1.70854942885141 , 0.904209762108761 , 0.768141700569906 , 2.15553970170613 , 0.912013266155214 , 2.20301755798242 , 0.386931127010623 , -0.171861800376465 , -0.406657995652631 , 0.904594031269333 , -0.535307322475687 , 0.130618821751354 , 0.414470007669613 , 0.150626851952014 , 2.9122635145795 , 0.793464342986345 , 0.692672196975321 , 1.99479486881272 , -1.34814066233222 , 1.42615819104966 , 1.17832524159916 , 1.20134290690718 , -0.109282705494839 , 0.409361218233882 , -0.79649126585835 , -0.0270062374725752, 0.471256732365433 , 0.324003372956553 , 0.227083111522019 , 1.18497594038864 , -1.82075087177215 , -0.0643189898894806, 0.366050667746339 , 1.13983795637554 , 0.68340744098865 , 0.717567721906712 , 0.0653633861111275 , 0.186291800536424 , -0.0497308345320482, 2.19383400065945 , 1.59592069637532 , 1.73475123293939 , 0.724618367570057 , -1.30444452493255 | 0.0231571 |
| 14 | 20 | 0.0 | 0 | 1 | control , control , control , control , control , control , control , control , control , control , control , control , control , control , control , control , control , control , control , control , intervention , intervention , intervention , intervention , intervention , intervention , intervention , intervention , intervention , intervention , intervention , intervention , intervention , intervention , intervention , intervention , intervention , intervention , intervention , intervention , 1.6092893002402 , 0.846578763615226 , -0.628620234059152 , -1.77386978774146 , 1.21373020224739 , -0.19766877004237 , 0.718453372525926 , 0.140142406534975 , -0.901142348368963 , -0.193145248146279 , -0.909279948237238 , 1.67147647941664 , -1.59330600558202 , 1.13253348092513 , -0.771983789826032 , 0.0194396178743312 , -0.467303089117583 , 1.06781365739114 , 0.666848644945634 , 0.412077126126583 , -0.0766496489073618, -0.153406746623078 , 1.52477597414745 , -0.492310958488256 , -0.168799237580082 , 0.103588779339938 , -0.869500853408054 , 1.31240232134444 , 0.392625632110659 , -0.206014644263477 , 0.611221259817915 , -1.58456524493274 , 2.02739299325737 , -0.500524718649529 , 0.577032657276165 , 1.38652396041715 , -0.411790279564493 , 0.664900852656525 , -0.372767279309633 , 1.12391608953898 | 0.6449948 |
| 14 | 20 | 0.5 | 0 | 1 | control , control , control , control , control , control , control , control , control , control , control , control , control , control , control , control , control , control , control , control , intervention , intervention , intervention , intervention , intervention , intervention , intervention , intervention , intervention , intervention , intervention , intervention , intervention , intervention , intervention , intervention , intervention , intervention , intervention , intervention , -0.388940292015394 , -3.30422502827508 , 0.95875803179598 , 0.949912342258258 , 1.33216929674144 , 0.131315340871849 , 0.337825040281226 , 1.03730330579915 , -0.469992701562671 , 0.06066279000427 , 0.220181594075066 , -0.123898352821422 , -0.0520101332862862, -0.586043406925568 , 1.58612392688153 , -0.132136191318064 , -0.399832653744516 , 0.531197337851345 , -0.457325288713767 , -1.088618890128 , 0.816370165764659 , 0.612961578761304 , -0.169200537689964 , 0.580120987963289 , 0.183050169464023 , -0.450138415701053 , -1.29654276030612 , -1.05572156664321 , -0.626140234174165 , 0.128190819683623 , -0.512754045193853 , 0.131968269021648 , 0.460841787060966 , -0.332175403291393 , 2.91989040366325 , 2.54756993652778 , 0.743240222714595 , -0.766599123063604 , 0.743361809967909 , -0.479183494073332 | 0.5492396 |
| 14 | 50 | 0.0 | 0 | 1 | control , control , control , control , control , control , control , control , control , control , control , control , control , control , control , control , control , control , control , control , control , control , control , control , control , control , control , control , control , control , control , control , control , control , control , control , control , control , control , control , control , control , control , control , control , control , control , control , control , control , intervention , intervention , intervention , intervention , intervention , intervention , intervention , intervention , intervention , intervention , intervention , intervention , intervention , intervention , intervention , intervention , intervention , intervention , intervention , intervention , intervention , intervention , intervention , intervention , intervention , intervention , intervention , intervention , intervention , intervention , intervention , intervention , intervention , intervention , intervention , intervention , intervention , intervention , intervention , intervention , intervention , intervention , intervention , intervention , intervention , intervention , intervention , intervention , intervention , intervention , 1.26732082726808 , 0.646609087170647 , 0.472944722328521 , 1.71398932909106 , 0.756902933200889 , 1.07767279582088 , -0.426703955552161 , 1.42835669431524 , -0.541361186846933 , -0.287148718829003 , 1.60759144085293 , -1.38164510484942 , 0.856009203266734 , 0.133117265462055 , -1.30714415724246 , 0.583895793527218 , -1.23717252840469 , 0.00412915360989419, 1.95590843989554 , 0.520601370550577 , 1.15114963142737 , -0.595453232033247 , -0.839460646950962 , -0.0235109045291486, -0.278105738726259 , -0.273126269897512 , 1.51143503767393 , 0.587520550700677 , 0.450577712244649 , 0.979176380516941 , -0.185137848535693 , -1.98240585610755 , -0.039384313215702 , -0.674424143236652 , 0.579939513632351 , 0.0475519694073213 , 0.774869159725316 , -1.16294360389618 , 0.258589515658784 , -0.295485398444267 , -0.443485690507042 , 0.202246679064413 , 0.249516315721685 , 0.874124918476372 , 2.90218092419932 , -0.0276575957746742, -0.705235067548245 , -0.330143285142787 , -0.203458792121266 , 1.70677993380811 , 0.152997343882655 , -0.432900999924537 , 0.529831072003214 , 0.898300217695278 , -1.82516310299834 , -0.225223142293952 , -1.01993959834195 , 1.26740432384629 , -0.953398100216956 , 1.44525686155315 , 0.75564766449136 , 0.446663148848022 , 0.468804492523131 , 0.943363707608031 , 1.99150478984707 , 0.30403839261135 , -1.04982250684116 , 0.0245692644125582 , 2.04288870754015 , -0.285313521578842 , -0.392714870564533 , -2.51822680328335 , 0.0561748460178815 , 0.0454570229517227 , -1.52051575748481 , 0.237285340340323 , 2.08493996782485 , 1.25599409039486 , -0.0245662733205926, -1.27678279155285 , 1.2454764995236 , 1.73955720073122 , 1.39374358326422 , -0.196425714198287 , -0.912191904786046 , 0.0206998898699333 , -0.246521680481366 , 1.5474884882703 , -0.0348993158525191, -0.73480330878462 , 0.778756334308558 , -0.378630090908444 , 0.368733806416032 , 0.275568428235114 , -1.02646163784405 , -0.889770427834943 , 0.0989630467881854 , -1.10679352394248 , -1.63650049227048 , -0.586567960746552 | 0.3822177 |
| 14 | 50 | 0.5 | 0 | 1 | control , control , control , control , control , control , control , control , control , control , control , control , control , control , control , control , control , control , control , control , control , control , control , control , control , control , control , control , control , control , control , control , control , control , control , control , control , control , control , control , control , control , control , control , control , control , control , control , control , control , intervention , intervention , intervention , intervention , intervention , intervention , intervention , intervention , intervention , intervention , intervention , intervention , intervention , intervention , intervention , intervention , intervention , intervention , intervention , intervention , intervention , intervention , intervention , intervention , intervention , intervention , intervention , intervention , intervention , intervention , intervention , intervention , intervention , intervention , intervention , intervention , intervention , intervention , intervention , intervention , intervention , intervention , intervention , intervention , intervention , intervention , intervention , intervention , intervention , intervention , 1.12585936587841 , 1.49213652277051 , -0.215164465305654 , 1.48331202783433 , 0.973685936175395 , -0.850566035916498 , 0.0480387456801076 , 0.91060288477293 , 0.819862315844706 , -1.88350062729924 , -2.19581916460799 , 0.777435798129011 , -0.953457858201281 , 0.317617976737953 , -0.859567588741719 , 1.86733870464348 , 0.638521129559705 , -0.268852065954172 , -0.112433531914625 , 1.06939647964063 , -0.706209407407525 , 0.0866952277673961 , 1.19389413360734 , -0.023750062378838 , 2.10166198620101 , 1.19658890722322 , 0.0622946181689863 , 1.63971291883527 , -0.24457309071769 , -0.0703900047139631, 0.662837350462641 , 0.741355168184615 , 0.0167875187291031 , 1.40754146534396 , -0.904329340590871 , 0.568928206396851 , -1.7681803818419 , 0.788056397864375 , 0.208666725721996 , -2.54258048811925 , 0.236123799945126 , -0.055089517756217 , -1.08825536650639 , -0.668922434207444 , 0.773157418017543 , 0.557707327047449 , -0.298698047258441 , 0.645137436328193 , 0.0784973556099186 , 0.433807913744933 , 0.502503434346001 , 0.966872395968757 , 0.52382910536149 , 1.6885777309583 , -0.12433994556091 , 1.07873697856723 , -1.88155528892024 , 0.788428750665237 , 0.985267124974121 , 1.2598523389959 , -0.999437331054401 , 0.31812349893754 , 2.25192179945554 , 1.07730041640384 , -0.707017287211972 , 1.15580985600224 , -1.5549896337672 , 0.233539253542677 , 0.765485123582318 , 0.018485578224965 , -1.29974782905809 , 0.134147876963292 , 0.526952889896923 , 0.523054179805204 , 1.1194230767712 , -0.268828392446013 , -0.354017857012549 , 1.0042335160897 , 1.46702467722671 , 1.76657773175166 , 0.368137825296946 , -1.2648446892277 , 1.05355401059621 , 0.381715373980781 , -0.626648007326624 , -2.05273575437335 , 0.688403294324003 , 2.40248239901715 , 1.29941659783816 , 0.377516422846388 , 0.893536534381351 , 0.847800382117714 , 1.18859115456313 , -0.830621083468977 , 0.32620746048238 , 1.11093105874435 , 1.39528590920292 , 2.06779532001452 , -0.409733516661957 , -1.41353483815926 | 0.2694162 |
| 15 | 20 | 0.0 | 0 | 1 | control , control , control , control , control , control , control , control , control , control , control , control , control , control , control , control , control , control , control , control , intervention , intervention , intervention , intervention , intervention , intervention , intervention , intervention , intervention , intervention , intervention , intervention , intervention , intervention , intervention , intervention , intervention , intervention , intervention , intervention , -0.477436073865739 , -0.803548266449517 , 1.22459203725763 , -0.54074863868242 , -1.02126154924823 , 0.282989766586812 , 0.0656041252001715 , -0.271883553733311 , 0.63807108583387 , 1.14525237836264 , -0.900325759401709 , -0.600376900620376 , 1.03006114835202 , 0.382797689764924 , -0.128058752879542 , -0.0675707011590194, 1.07376758804997 , -0.209480520861126 , 0.62623534647775 , -0.95159594438999 , -0.466651423689906 , -1.25706276073257 , -1.20877378622527 , -0.488461076728806 , -1.60675302957328 , -0.329982995743668 , -0.927635895656729 , 0.269992066351771 , -0.30580636139445 , -0.319376330278587 , 0.641942293028769 , -0.481261993263193 , 0.0669467918969586 , 0.263904223018215 , 1.64473951691987 , -1.23961142755166 , -0.049362088618112 , -0.670292847331013 , -0.384376797086945 , 1.85000589945657 | 0.2957228 |
| 15 | 20 | 0.5 | 0 | 1 | control , control , control , control , control , control , control , control , control , control , control , control , control , control , control , control , control , control , control , control , intervention , intervention , intervention , intervention , intervention , intervention , intervention , intervention , intervention , intervention , intervention , intervention , intervention , intervention , intervention , intervention , intervention , intervention , intervention , intervention , 0.508793538239082 , -2.03818632725395 , -0.710053477179233, -1.16837475262378 , -2.88724220634994 , 1.30125887956683 , -2.00904653041511 , 0.604856696322504 , -0.808356838054404, 1.89004567668064 , -0.125720238476641, 1.7542207145052 , 0.601850117004687 , -0.40308036073104 , 0.583744941129856 , 0.807511620783361 , 0.653869030612674 , -0.835544828727752, 0.923429119191318 , 1.54394520609884 , -1.22032584946973 , -0.469500168749575, 1.37042389310758 , 2.34603276734789 , -0.100077504167905, 1.72465169482317 , 0.564490715257414 , 1.30443950639365 , 1.10688837729313 , 1.01931019083907 , 0.653228248499737 , 0.886055942704084 , 1.73551814238376 , -0.221477581126473, -1.70105200640431 , -0.352970344881401, 1.4092791547025 , 0.786273568569755 , -1.40091190251158 , -0.258127373799768 | 0.2568035 |
| 15 | 50 | 0.0 | 0 | 1 | control , control , control , control , control , control , control , control , control , control , control , control , control , control , control , control , control , control , control , control , control , control , control , control , control , control , control , control , control , control , control , control , control , control , control , control , control , control , control , control , control , control , control , control , control , control , control , control , control , control , intervention , intervention , intervention , intervention , intervention , intervention , intervention , intervention , intervention , intervention , intervention , intervention , intervention , intervention , intervention , intervention , intervention , intervention , intervention , intervention , intervention , intervention , intervention , intervention , intervention , intervention , intervention , intervention , intervention , intervention , intervention , intervention , intervention , intervention , intervention , intervention , intervention , intervention , intervention , intervention , intervention , intervention , intervention , intervention , intervention , intervention , intervention , intervention , intervention , intervention , 0.310283478337 , -0.221039909093397 , -0.0575249689294181, -0.461591991350532 , -0.0293723557010742, 0.867390266414341 , 0.00224826715638662, 0.181477801252892 , 0.423294758060887 , -0.92959837603645 , -0.225039245438416 , -0.956564815747155 , -0.0992613947700366, -0.404066529039993 , 0.475436124948262 , -1.2900044793804 , -1.03386707544105 , -1.37328144956316 , -0.695437062591631 , -0.352333917556514 , -1.14206773747006 , -0.486042325565338 , 0.785109975538855 , -1.78782975885114 , -0.390233020222085 , 0.342676188267236 , -0.357216198164732 , -0.342126953542729 , 1.57084801367605 , -0.250502984559162 , -1.15753424652847 , -1.27301880817449 , -1.80765040331453 , -0.0404590941368166, -0.0455007211809935, -0.432790750025259 , 0.824411340667817 , 0.78219638609469 , 0.531311972063466 , -2.2111404909911 , 0.714983556972682 , 0.989737995652784 , 0.215775241987359 , -0.782538233925047 , 0.0431573267926608 , -1.85661356850236 , -0.0613393010171009, 1.22279593731561 , -0.0252428699745843, -0.778539285167669 , 0.884165710633382 , 0.126056320609863 , 0.80286253355776 , -1.03660281010662 , -1.16011445064833 , -0.705122459983534 , -0.337152025981171 , -1.15704355483305 , -1.84416981662347 , -1.25410701693313 , 0.336040071955208 , -1.2208684962305 , -1.54405171732199 , 0.343226004509732 , 0.488531402430736 , -0.771389447693787 , -1.38496985497173 , 0.372013065912735 , -1.23333576878541 , 0.96191298860057 , 0.351541706905699 , 0.947715215158598 , -0.0485782661210362, -1.22271196156629 , 0.771603521670208 , -0.656933891583082 , 1.06016479606833 , 0.580239700829023 , 0.500424326605459 , 0.517770837335372 , 0.348966182100121 , -0.351678412874594 , 1.51381213322579 , -0.0842057749226494, -0.850147047468799 , 0.683201842076176 , -0.738694562981667 , -0.634135368833073 , 0.886150231315045 , 0.0796962728666555 , -1.85745014448609 , 0.431831790499782 , -0.165639751972637 , 0.541954133171297 , -0.668581167845561 , 0.541510356197405 , 1.10868584081106 , 1.59688845475768 , -1.47422515966054 , 1.58722577003284 | 0.3148889 |
| 15 | 50 | 0.5 | 0 | 1 | control , control , control , control , control , control , control , control , control , control , control , control , control , control , control , control , control , control , control , control , control , control , control , control , control , control , control , control , control , control , control , control , control , control , control , control , control , control , control , control , control , control , control , control , control , control , control , control , control , control , intervention , intervention , intervention , intervention , intervention , intervention , intervention , intervention , intervention , intervention , intervention , intervention , intervention , intervention , intervention , intervention , intervention , intervention , intervention , intervention , intervention , intervention , intervention , intervention , intervention , intervention , intervention , intervention , intervention , intervention , intervention , intervention , intervention , intervention , intervention , intervention , intervention , intervention , intervention , intervention , intervention , intervention , intervention , intervention , intervention , intervention , intervention , intervention , intervention , intervention , 1.52061754756054 , -0.169164001176988 , -0.922638834746553 , -0.0108046690409009 , 0.366764330562125 , -0.610949481209495 , -0.386498317041831 , -2.72040916080668 , -0.999462693629828 , 1.85601205614444 , -1.45182443432913 , -2.36664824315916 , -0.0250373370755264 , -0.241289919637099 , -1.41352929130909 , 1.11359722228243 , 0.772439572235319 , -0.429172231143828 , -1.9556622272471 , -0.550757038488732 , -0.593917581481346 , -1.26163354614133 , -0.824953752926207 , -0.0193220689341492 , 0.656352611508217 , 0.120237563393943 , 1.42575653674406 , -0.626025322975496 , 0.10332142341216 , -0.755806759430633 , -1.30284468609967 , 0.304005136196914 , 0.476044090079764 , 0.819520410746105 , -0.504674036082103 , 0.0584820678030943 , 0.524226336638663 , -0.177183432290115 , 0.434455227139699 , 1.28312035758341 , 0.483108771973721 , -1.02031294894571 , -1.23498137117906 , 1.01003331333747 , -0.0234623114258126 , 0.214669668872711 , -0.50845943122504 , 0.295715814656918 , 2.01477084159407 , 1.07599607201774 , -0.519705760616094 , 2.62407034755844 , 0.640541343681521 , -0.150852499462964 , -0.531660623311844 , -0.425311503199194 , -0.144113638639484 , -0.196709500337261 , -1.68014611578537 , 1.39941620880722 , -0.832535213328652 , 0.825059347893835 , -0.196172182222586 , 1.07817877690043 , 0.503721109718631 , -0.00101196335291753, -0.393087555108586 , -0.703843126624747 , 2.11962104785892 , 1.97492187257567 , 2.26992430543698 , -0.686857686806836 , -0.0376520664998239 , -0.803926633354712 , 2.03138651656591 , -0.342048221501917 , 0.734074099503636 , 0.717376513933222 , 1.15054467897723 , -0.460370849915486 , 1.81591098612712 , 1.69761024764642 , 0.669858217746088 , 0.0927296599198545 , 1.51570164170111 , 1.17806452206042 , -0.251840155271819 , 0.342071084785364 , 2.53879839727726 , -0.123297048310759 , 1.57225448593511 , 1.14742984558946 , 1.3795907379844 , -1.05785170807798 , 0.0198794848441996 , 0.107361491993229 , 1.45869595446591 , 0.700995441133968 , 0.727417391521768 , 0.1803523599272 | 0.0024834 |
| 16 | 20 | 0.0 | 0 | 1 | control , control , control , control , control , control , control , control , control , control , control , control , control , control , control , control , control , control , control , control , intervention , intervention , intervention , intervention , intervention , intervention , intervention , intervention , intervention , intervention , intervention , intervention , intervention , intervention , intervention , intervention , intervention , intervention , intervention , intervention , -0.783713370835144 , 0.490272841178907 , -1.11160140835902 , -1.28390074404418 , -0.376200272356903 , 0.416131231953548 , 0.540046408858171 , -0.141155468440181 , -1.04882456337194 , -0.905599422197129 , 0.593768332793202 , -0.701970248833359 , 0.276210504426897 , 2.36067863226094 , 1.13859511825962 , 0.0271033904138779 , -0.743256922391301 , 0.246574299873575 , -1.20686420977836 , -0.514628856576209 , 0.531714114925826 , 0.482849646497861 , -0.0550062650766497, -0.32995664942416 , 0.256676497760522 , -2.36938070702485 , 1.55303871849276 , -0.0782836545593045, -1.14397255549263 , 1.85790125397766 , 1.55291769571078 , 0.980024476442863 , -0.638395350810186 , 0.792523549526627 , -0.501883847744573 , 0.561887923858245 , 0.642043105072236 , -1.7995081485583 , 0.576261218353731 , 0.355494512503519 | 0.3528934 |
| 16 | 20 | 0.5 | 0 | 1 | control , control , control , control , control , control , control , control , control , control , control , control , control , control , control , control , control , control , control , control , intervention , intervention , intervention , intervention , intervention , intervention , intervention , intervention , intervention , intervention , intervention , intervention , intervention , intervention , intervention , intervention , intervention , intervention , intervention , intervention , -1.05021011255135 , -1.41816131399466 , -1.19163158336876 , 1.05317944406011 , 0.914079872734922 , 0.308005145473072 , 0.897882322480863 , -0.624505913273237 , 0.0800591477574362 , 0.629522046367796 , -0.159107891385255 , -0.34195860598809 , 1.15076454030675 , 2.14368586005486 , -0.484451986306853 , -0.531419019630687 , 1.30235228830877 , 0.1785624293581 , 0.158103287652822 , -2.13180549559395 , 0.667172712636316 , 1.70946846462183 , 0.967952085329354 , 1.20436812195777 , 1.59829084068802 , 0.811475767660761 , 1.1249568585886 , 0.169591938366496 , 2.3117159807507 , 1.09273500560853 , -0.583860169596106 , 1.48101724681128 , 0.843105428809803 , -0.228905335771914 , -0.0499304045770146, -0.518893707464141 , 1.3818806589596 , 0.261945822580188 , -0.90447083829596 , 1.7871334426964 | 0.0260417 |
| 16 | 50 | 0.0 | 0 | 1 | control , control , control , control , control , control , control , control , control , control , control , control , control , control , control , control , control , control , control , control , control , control , control , control , control , control , control , control , control , control , control , control , control , control , control , control , control , control , control , control , control , control , control , control , control , control , control , control , control , control , intervention , intervention , intervention , intervention , intervention , intervention , intervention , intervention , intervention , intervention , intervention , intervention , intervention , intervention , intervention , intervention , intervention , intervention , intervention , intervention , intervention , intervention , intervention , intervention , intervention , intervention , intervention , intervention , intervention , intervention , intervention , intervention , intervention , intervention , intervention , intervention , intervention , intervention , intervention , intervention , intervention , intervention , intervention , intervention , intervention , intervention , intervention , intervention , intervention , intervention , 1.8690930243834 , 0.440243259678563 , -0.684282310550355 , 1.24286713498594 , -0.323091357341212 , 0.0995695947266935 , -0.462073198508546 , -1.22169205793655 , 0.197010601941637 , 1.4125212291655 , -2.01593291281697 , -1.07981397595383 , 0.48127239596785 , -0.993786877076128 , 0.199678864405753 , 0.89756072849622 , -0.246473490698331 , 1.95584341811224 , 1.03713616653342 , 0.899804194260067 , -0.160722918459146 , 1.41097380322925 , 0.0589950438355422 , 0.630451773690344 , 0.212123272398947 , 0.919281719198529 , 1.2945678258123 , -1.04400461259529 , 0.120572650112031 , -0.0352950413531042 , -1.36281569321115 , -0.250159608833298 , 0.642645046541952 , 1.21645869404707 , -0.523578609970812 , 0.599475376674049 , 0.0240136193718467 , -0.81902215567984 , 1.9424027598941 , 1.28047386979629 , -0.345535532536379 , 0.0846003412456416 , -0.583170302402565 , -1.01083697546893 , 0.636353603878429 , 1.22200643411993 , 2.04690878861444 , -1.63530283434609 , -1.45746350094788 , 1.00870832314765 , -1.02099228431178 , -1.00570264177524 , -0.488203556134542 , 0.839441151880301 , 0.475615734880786 , 0.00672234174307603 , 0.103166565502903 , -0.620182656928663 , 0.588255883458017 , -0.118667715315953 , 0.33619809667955 , 0.126016657509494 , -1.37178871202368 , -1.26196583391806 , 1.53816165473008 , 1.18208012476795 , 0.408070228866119 , 0.067188309139318 , 0.159387911084105 , -0.272092954132023 , -2.15160370080306 , 1.91723103972278 , 0.704107912422628 , -0.780567236584973 , 0.411090871707042 , 0.625332815001741 , -0.2608072597514 , -0.839924923412319 , 2.13228538276537 , -0.522439978628125 , 0.658583485351003 , 0.896222019392223 , -0.989847143467303 , -0.0897481966781487 , -0.569737067416465 , -0.067678493968393 , 1.00028653961582 , 0.856921481048071 , -1.81882037162196 , -0.262121776986056 , -0.459925206764464 , 0.620418093183535 , 0.348556355130309 , -0.971205543098652 , -0.00841555176038645, -0.412405735369814 , 0.837923405452162 , 0.00100315135619605 , -1.1531755063543 , -0.944034459548014 | 0.2356693 |
| 16 | 50 | 0.5 | 0 | 1 | control , control , control , control , control , control , control , control , control , control , control , control , control , control , control , control , control , control , control , control , control , control , control , control , control , control , control , control , control , control , control , control , control , control , control , control , control , control , control , control , control , control , control , control , control , control , control , control , control , control , intervention , intervention , intervention , intervention , intervention , intervention , intervention , intervention , intervention , intervention , intervention , intervention , intervention , intervention , intervention , intervention , intervention , intervention , intervention , intervention , intervention , intervention , intervention , intervention , intervention , intervention , intervention , intervention , intervention , intervention , intervention , intervention , intervention , intervention , intervention , intervention , intervention , intervention , intervention , intervention , intervention , intervention , intervention , intervention , intervention , intervention , intervention , intervention , intervention , intervention , -0.760843225943835 , -0.348671965325424 , 2.52009122592927 , 0.0217236677974746 , 0.801325134176584 , -0.0303018141013634 , 0.575596122885681 , 0.445401367834349 , 0.213509458282853 , 0.120695132445478 , -1.1529303559282 , -0.147804296002995 , -0.433994954245021 , 0.212105489207147 , -0.442928303622882 , 1.34851401730568 , 0.201581779618582 , 0.321839093692715 , -1.40280929198332 , 0.697633600551593 , 1.22085357069541 , 0.0777226679727888 , -0.572643322084066 , 1.36689413057873 , -1.21425560025922 , 1.10125174013091 , -0.125845550625395 , -0.493752377240451 , -0.799469013146824 , 0.0969546835546425 , 1.2351264592594 , -0.49517365929485 , 0.667068390999257 , 1.26258652585005 , 0.154655946202496 , 0.603421218817281 , 0.38722647879841 , -0.196425430460055 , -0.712994312829778 , 0.869990862882749 , 0.891502863015675 , 0.906852298490801 , -1.42477104143988 , -1.25829677670484 , 0.228360297118808 , 0.36624919726877 , 0.300025428607042 , -0.000580885043016441, 1.58146724293554 , 0.144554248528939 , 2.00494436154554 , 0.476806166293012 , -0.644875894479569 , 0.38810331833253 , -0.754854307658235 , 1.84300954415419 , -1.12426838276193 , 1.34407492169709 , 0.702525385908102 , 2.16285868651186 , 0.664753298308796 , 1.78025193911543 , -1.11553535616906 , 0.961900554663504 , 0.609073579618798 , 1.85773719763541 , 2.05587841474016 , 1.51440679176041 , 1.06137790166251 , 0.281768779935413 , -0.463599721875554 , 0.645229218973439 , -1.03324765780626 , -0.280484864780053 , -1.19081002526205 , -0.404486686659745 , 0.935212664335172 , 1.40630225901576 , 0.00491165838411661 , 0.645735931937695 , 0.931774140618868 , 1.43077246757066 , 0.838085419574011 , 0.552045172707198 , 0.0186006046260515 , -1.24988112971468 , -0.150151952730778 , 1.29423078394146 , -0.00450435788561909 , 0.00723593284714363 , 0.309708016849419 , -0.903200108633764 , 1.0671895148846 , -1.18328921663626 , 1.33322850727507 , 0.633915823258656 , 0.560123000343831 , 1.44401505880128 , 1.53909005163376 , 0.294973762127432 | 0.0764136 |
| 17 | 20 | 0.0 | 0 | 1 | control , control , control , control , control , control , control , control , control , control , control , control , control , control , control , control , control , control , control , control , intervention , intervention , intervention , intervention , intervention , intervention , intervention , intervention , intervention , intervention , intervention , intervention , intervention , intervention , intervention , intervention , intervention , intervention , intervention , intervention , 0.0594919819604892 , -0.00503223249217074, -0.189537995299494 , -1.8007817434122 , -2.81878105992125 , -0.459963868657407 , -1.38031306666706 , -2.20768405138827 , -1.58664619923733 , 0.725643092205703 , 1.06523174319173 , 0.126703741427029 , 0.117453432124089 , 1.51169932236155 , 0.892268143322885 , 0.29779801535631 , -0.506797350670042 , 0.0260206605093975 , 1.0000994752302 , 0.460295746302298 , 0.753087023813902 , 0.203529142313465 , 1.28558628624303 , 0.183259539216678 , -0.40190185459437 , -0.855787545193996 , -0.0373412590348885 , 1.09472167002974 , 1.07663475661654 , -1.14000979804805 , -2.1245377231176 , -0.460780850970378 , 1.53726954732128 , 0.676663201328773 , 0.38709653661144 , -1.52639461786997 , 0.800332094338144 , 0.588760858085193 , 0.0113738816008311 , 0.295570437830643 | 0.3069115 |
| 17 | 20 | 0.5 | 0 | 1 | control , control , control , control , control , control , control , control , control , control , control , control , control , control , control , control , control , control , control , control , intervention , intervention , intervention , intervention , intervention , intervention , intervention , intervention , intervention , intervention , intervention , intervention , intervention , intervention , intervention , intervention , intervention , intervention , intervention , intervention , 0.272073324279185 , 0.6465190089413 , 1.89811504910193 , -0.531051790392999 , -0.51737261839574 , 0.732986025020524 , -1.01738726696149 , 1.30086926536539 , -0.770476064394686 , 0.10380737307531 , -1.1890738800378 , -0.73959237124717 , 0.513721254406138 , -0.667625275694706 , 1.06862651963983 , 0.13543912652627 , 1.64164318379107 , 0.684942495449324 , -0.163899813412229 , 0.0682937695874708 , 0.00825096696341149, 0.917457151677825 , 2.23612039012304 , -0.104030863332494 , 1.98732075159981 , -0.360749356737954 , 0.6390136240749 , -0.153094689954293 , 2.21131759589994 , 1.3983134860752 , -0.0918694231546696, 0.648010165261802 , 0.338332189943324 , 0.806984523515007 , 0.578593331456373 , -0.182681833643975 , 0.55130452338641 , 0.0283487513339858 , 0.899905959095509 , 1.69769447191836 | 0.0579073 |
| 17 | 50 | 0.0 | 0 | 1 | control , control , control , control , control , control , control , control , control , control , control , control , control , control , control , control , control , control , control , control , control , control , control , control , control , control , control , control , control , control , control , control , control , control , control , control , control , control , control , control , control , control , control , control , control , control , control , control , control , control , intervention , intervention , intervention , intervention , intervention , intervention , intervention , intervention , intervention , intervention , intervention , intervention , intervention , intervention , intervention , intervention , intervention , intervention , intervention , intervention , intervention , intervention , intervention , intervention , intervention , intervention , intervention , intervention , intervention , intervention , intervention , intervention , intervention , intervention , intervention , intervention , intervention , intervention , intervention , intervention , intervention , intervention , intervention , intervention , intervention , intervention , intervention , intervention , intervention , intervention , -0.654204813424578 , -0.666294589277683 , -1.87694006315812 , 1.18300596340389 , -0.441423500772546 , -0.392717807017971 , 1.35996497014269 , -0.642643356876384 , -1.11505498514191 , 0.780505478007735 , 0.826783340450906 , -0.332566222922648 , -1.3044309648719 , 0.735701180336285 , 0.9159545678139 , -0.806975921926519 , 1.66749393091832 , 0.110800286187373 , -0.646135244022922 , -0.983416185683895 , 0.849297762337358 , -0.141033153958062 , -0.111260841352745 , 0.64287367024694 , -0.692378200754576 , -0.218845761116577 , -0.0430330988968433, 1.12161228703487 , 1.11743264657953 , 1.14471655572297 , -0.462450769825291 , -3.13923338075008 , 0.265296284500912 , -0.16594626598589 , -1.09957198409037 , 1.54106421193851 , 0.97396795429148 , -0.324500927033458 , -0.07690622913079 , 0.0908373057769336 , 0.244606664128703 , 1.37947142632395 , 0.641329729663248 , 2.21112619841972 , 0.760522944856372 , 0.443729883865584 , -0.583386973353928 , -0.468488849342886 , -0.571586312564953 , 1.15089758704988 , -0.278108222149662 , -1.67361040005317 , 0.202244417682081 , -1.12266164129307 , 0.97994719548698 , -1.16638089829697 , -0.39845639070994 , -0.161638323156205 , 1.6819216121357 , 0.377255433877958 , 0.66640008649619 , -0.97111123863163 , 0.802799055231947 , -0.26783301859016 , -1.02666245375087 , 0.912893927339062 , -0.764534893708305 , 1.2522710903042 , 1.83885121876689 , 2.17151255717039 , -0.711158817737277 , -1.04509731125218 , -0.275606242479882 , 0.248917667304986 , 0.497689087883998 , 1.48850769950121 , 1.52021744709167 , 0.540223673055034 , -0.645894424903506 , 2.38798618203708 , 0.517969841491708 , -0.925520259677104 , -0.739370751752644 , 1.17232628363552 , -3.62294142890911 , -0.15284256976911 , -1.2191792672184 , 0.498875873618899 , -0.463596533402411 , -0.540189167412477 , -0.170764864053825 , 0.455781550437031 , 1.61506170680226 , -1.8060722858779 , -0.204724512869313 , 1.05960922628029 , 0.939089117686177 , -1.8970659755639 , 0.850263121397265 , -0.0530701864546919 | 0.8677298 |
| 17 | 50 | 0.5 | 0 | 1 | control , control , control , control , control , control , control , control , control , control , control , control , control , control , control , control , control , control , control , control , control , control , control , control , control , control , control , control , control , control , control , control , control , control , control , control , control , control , control , control , control , control , control , control , control , control , control , control , control , control , intervention , intervention , intervention , intervention , intervention , intervention , intervention , intervention , intervention , intervention , intervention , intervention , intervention , intervention , intervention , intervention , intervention , intervention , intervention , intervention , intervention , intervention , intervention , intervention , intervention , intervention , intervention , intervention , intervention , intervention , intervention , intervention , intervention , intervention , intervention , intervention , intervention , intervention , intervention , intervention , intervention , intervention , intervention , intervention , intervention , intervention , intervention , intervention , intervention , intervention , -0.165724526054046 , -0.189335569827699 , -0.198311358109354 , -3.08151706980227 , -0.0892052337363235, 2.08351552501306 , -0.204240471784537 , -1.82445142381712 , 0.33010725495222 , 0.421358120981532 , 1.45050796875619 , -1.59077556433547 , -0.611159070960187 , -0.413888602907339 , 0.461669275611188 , -0.987126889001773 , -0.34743908057486 , -0.257656103927738 , -0.73290829058005 , 0.546826249586663 , 0.019545611463597 , 0.598572502683554 , -1.47578279500964 , -1.18608663644259 , -1.11923346606541 , -0.84272758826844 , 0.969800285228448 , -0.488327081853758 , 0.635029364736183 , -0.988307099234512 , 0.743908068612069 , -1.5166162380557 , -0.0925199646185519, -1.42317627519142 , 1.81056276872538 , 1.73091241436609 , 1.26883198166095 , -0.370318431630036 , 0.859890949715998 , -2.3830482089673 , -0.0758514036476192, -0.878972070957858 , -0.668196786820187 , 1.8351145025056 , -1.02952714988559 , -2.4800581331822 , 1.21350338041274 , -1.13100421658661 , -0.0147037980729853, 0.957037918459132 , 0.462233897119739 , 0.125638237769989 , -0.392731116540258 , -0.755134726520489 , 1.22935447352542 , 0.23631233715875 , -1.42601755983638 , 1.52276435307682 , 0.052236206896662 , 0.624763854791973 , -0.784461401289744 , 1.27266127553667 , -1.77192238752856 , 1.86764011165469 , 1.86706888274334 , 0.936234956305839 , 2.43455545325431 , 1.55508522402619 , -0.164883782641998 , 1.12974012234441 , 0.348329628433042 , -0.0207968704212896, -0.900156394494386 , -0.356985141313864 , 2.29406420276878 , -0.9745743317185 , -0.452493779257627 , 1.32292559509777 , 0.749325978662629 , 1.62029276825256 , 1.58103776151296 , -2.63449842988791 , 0.839284179572165 , 0.133348928473316 , -1.53013053102476 , 0.360891496743307 , 1.52183365884462 , -0.805165239970871 , -1.40380563952878 , 0.761757859087213 , 0.692110057089704 , -0.0882112367288853, -1.95257509645026 , 1.73338269361412 , -0.547358643319706 , -0.625690556890022 , -1.05120000669619 , -0.586752632830094 , 0.687274331986584 , 1.1484467643318 | 0.0548555 |
| 18 | 20 | 0.0 | 0 | 1 | control , control , control , control , control , control , control , control , control , control , control , control , control , control , control , control , control , control , control , control , intervention , intervention , intervention , intervention , intervention , intervention , intervention , intervention , intervention , intervention , intervention , intervention , intervention , intervention , intervention , intervention , intervention , intervention , intervention , intervention , 0.376740083643906 , -0.414246344683958 , 0.882705912529579 , -0.114737042135079 , -1.08772935363896 , 1.19261052923714 , -0.956108642232728 , 0.743219330374132 , 1.1002434889989 , -0.505570014799844 , 0.751467610367295 , -1.10481135069106 , -0.626440286893044 , 0.78558231982393 , -1.60791535019185 , -1.0759445973994 , 1.22754799922583 , -0.460571792118662 , 0.871896569628056 , -0.492556820118327 , 0.0524410771494406 , 0.378258281746677 , 0.0763114329191867 , -0.918253407204307 , 0.769066782329805 , -1.10659973990755 , -0.0922646607220858, 1.47683726657805 , 1.61662303477203 , 0.148281962427203 , 1.69917433584033 , 0.766979072434325 , 1.35587669461474 , 0.189268436805138 , -0.624995826240496 , 0.10635811524047 , -1.31816167804709 , 0.986928680456947 , -0.658909449859705 , 0.0617003875417508 | 0.3449994 |
| 18 | 20 | 0.5 | 0 | 1 | control , control , control , control , control , control , control , control , control , control , control , control , control , control , control , control , control , control , control , control , intervention , intervention , intervention , intervention , intervention , intervention , intervention , intervention , intervention , intervention , intervention , intervention , intervention , intervention , intervention , intervention , intervention , intervention , intervention , intervention , -1.00683483132554 , -0.96666692069344 , 0.132432004280925 , 1.694456103153 , -0.625655533627569, 0.400416397039428 , -2.0282545208744 , 1.6964968699733 , -0.484112444762918, -0.120268623655153, 0.894470067348062 , 0.203889681346017 , -1.0702261650833 , 0.105059585353471 , 1.14188089419118 , -2.31380549481711 , 0.1568477419526 , 2.51039440663471 , 0.453587645096531 , 0.0182499589878514, 1.50347983287856 , 1.75748358359614 , -0.739659624322848, 1.70396880188483 , -0.897553971679767, 0.267252339035539 , 1.654496882296 , 0.326342313852044 , -0.381244214673923, -0.323193970092684, 1.42620792864706 , 0.969569980045315 , 1.27081946817764 , 0.626988667267002 , 0.398373232045986 , 0.150860902597244 , 0.303449073778397 , 0.775278774671148 , 1.22699718849181 , 0.0640299704677931 | 0.0923311 |
| 18 | 50 | 0.0 | 0 | 1 | control , control , control , control , control , control , control , control , control , control , control , control , control , control , control , control , control , control , control , control , control , control , control , control , control , control , control , control , control , control , control , control , control , control , control , control , control , control , control , control , control , control , control , control , control , control , control , control , control , control , intervention , intervention , intervention , intervention , intervention , intervention , intervention , intervention , intervention , intervention , intervention , intervention , intervention , intervention , intervention , intervention , intervention , intervention , intervention , intervention , intervention , intervention , intervention , intervention , intervention , intervention , intervention , intervention , intervention , intervention , intervention , intervention , intervention , intervention , intervention , intervention , intervention , intervention , intervention , intervention , intervention , intervention , intervention , intervention , intervention , intervention , intervention , intervention , intervention , intervention , 0.346884033367781 , -0.0514345964287205, -0.383342619037627 , -0.506726233649328 , -0.372635306517006 , -0.402748302098285 , -0.0879618925699864, 1.21306085830979 , 1.55685486074618 , 0.448198333342724 , 1.70277676978098 , -1.05519638313399 , -0.389883096664381 , -1.11458190512244 , 0.515682691802238 , -0.218562715484139 , -1.44663678303294 , 0.49776380344074 , 0.015885206586645 , 1.03204878374488 , -0.815226164805564 , -0.673522279801287 , -0.984073126714706 , -1.02966017441691 , -0.946454961169054 , 0.284426888541681 , 1.00684106746579 , 2.43683460662472 , 0.0669969295012962 , 0.828702380698713 , 0.804251546309267 , 0.02939823399976 , -1.50657792716636 , 0.249619424800109 , 1.43455918126814 , 0.47269098103342 , -0.301424602821969 , -0.082183956611697 , 1.11955814781442 , -0.38629794197414 , 1.27674261842858 , -2.31005287737037 , -0.166063702388971 , 0.00827335171358145, 0.319737441868041 , 0.583096553370625 , -1.26486408949507 , 1.20139278733396 , 1.30853298350463 , 0.187683306684874 , 0.33087966720201 , 0.0318260404879557 , 0.307195931599533 , 1.57542103877074 , -0.140748982239262 , -0.802465206101333 , 2.04270676042365 , 0.566472994461825 , 1.51371885374178 , -1.24684544656219 , 1.81329576132139 , 1.31742279950257 , 0.487080450208902 , -0.928929021858325 , 1.29582347298395 , 0.57707025578541 , 1.32685182968951 , 0.9817389035919 , -0.687811044419388 , 0.0466340890161863 , 0.0550502687199259 , -0.568180620700635 , 1.57958845619487 , 0.203342315047933 , -0.0883380503772 , -0.217020322977306 , 0.90346911057489 , -0.385663995508875 , -1.11294018731916 , -1.03163059890056 , 0.0584470349977497 , 0.799147672864774 , -0.200297381104788 , -0.356379373755161 , -0.508656100037546 , -0.0794902291058143, -1.71817520100665 , -0.775599189643475 , 0.435883248868806 , -0.509072879661875 , 0.557621829649263 , -0.661392178933373 , -0.284387769962847 , -1.2887384557166 , 0.627775228507703 , 0.299673362187865 , -0.801877451288734 , 0.205345762139089 , 0.963153888186299 , -1.00847701655338 | 0.9100215 |
| 18 | 50 | 0.5 | 0 | 1 | control , control , control , control , control , control , control , control , control , control , control , control , control , control , control , control , control , control , control , control , control , control , control , control , control , control , control , control , control , control , control , control , control , control , control , control , control , control , control , control , control , control , control , control , control , control , control , control , control , control , intervention , intervention , intervention , intervention , intervention , intervention , intervention , intervention , intervention , intervention , intervention , intervention , intervention , intervention , intervention , intervention , intervention , intervention , intervention , intervention , intervention , intervention , intervention , intervention , intervention , intervention , intervention , intervention , intervention , intervention , intervention , intervention , intervention , intervention , intervention , intervention , intervention , intervention , intervention , intervention , intervention , intervention , intervention , intervention , intervention , intervention , intervention , intervention , intervention , intervention , -0.245876713500265 , 0.0080282902229587 , 0.43742084544707 , -0.0233848030280785, 0.733899150838075 , -1.29887547958382 , -0.125309372780549 , -0.284265385315012 , 0.299070385102341 , -0.941964725594079 , 1.01695609390522 , 0.657994229601109 , -1.078437706395 , -2.05526039578691 , -0.11820407655163 , 1.18992136482187 , 1.01096288815885 , -0.079062369950511 , 1.29263477755713 , 0.157355829896209 , -0.126829914723709 , 1.51567003541738 , 0.796311873598377 , 0.156697927364953 , -0.71670767943411 , -0.540946431461575 , -0.334889971888435 , -0.654835455017843 , -0.714005230138527 , -0.488544500590259 , 1.53171909595024 , 0.960584626940268 , -0.609675839640611 , -1.21816422907422 , 0.0698993872468596 , -0.828379621694499 , 2.57996490799181 , -1.35166253421933 , -0.238328036249252 , -1.71825028673068 , -1.4081699464647 , 0.602728950323983 , 0.0883469795421068 , 0.0459954688526731 , 0.537413062021283 , 0.536988460580754 , -0.776747418674154 , 0.223114717894579 , -0.246797319706086 , 0.597442554550721 , 1.1838106010568 , -0.2123433956131 , 0.34487290742668 , 0.393967864576133 , 0.998962251517943 , 0.521356146456716 , -1.20107190453502 , 0.713428415035602 , 0.761589108837377 , -0.359060105755213 , 0.649594595004748 , 0.623028393814984 , 0.129193231880056 , -2.02748576044048 , 0.528026876914484 , 0.421989613125905 , -1.21174948808277 , 0.581127119394903 , 0.357547479334155 , 0.646246160789292 , 1.32872284826421 , -0.0317364261276765, 0.950538511436799 , -0.786050987191917 , 0.588574337092634 , 2.71583418602773 , 0.778604106091415 , -1.1007042736186 , 1.13094551714957 , 1.43574276776398 , 2.23928857939729 , 0.458920298664217 , -0.640421458647143 , 2.60316915648463 , -0.132306998650552 , 0.419402506463458 , 0.943902209934204 , 0.545854853059793 , 1.1269526892547 , 0.560959879334383 , 0.931737467465131 , 1.07718492507346 , 1.33480960619426 , 0.403638019979619 , 1.04636803383382 , -0.810909930811242 , -0.787025550149158 , 1.1359270144614 , -0.638846944204399 , 1.64163403272369 | 0.0072866 |
| 19 | 20 | 0.0 | 0 | 1 | control , control , control , control , control , control , control , control , control , control , control , control , control , control , control , control , control , control , control , control , intervention , intervention , intervention , intervention , intervention , intervention , intervention , intervention , intervention , intervention , intervention , intervention , intervention , intervention , intervention , intervention , intervention , intervention , intervention , intervention , -1.86359040621604 , 1.07895241226475 , 1.86903201805899 , 0.270866754048855 , 0.772209173353413 , -0.0499538863013677 , 1.00507136649591 , -0.00723836337892423, 0.158220573218776 , -1.20118232041447 , -1.48007650298475 , 1.84072083765741 , 1.63900386686438 , 0.393027474737459 , -2.8305572725473 , 0.623335837770722 , 1.28604123362535 , -0.258607384469167 , 0.382781425812751 , -0.104463528479846 , 1.02073775796031 , -1.18229925410242 , 0.196064670655437 , 0.751160725811656 , -0.254559241305125 , -0.385872069284728 , 2.43717240133157 , 0.193997525361395 , -1.90201841331427 , -2.73300111288653 , 0.237273686988916 , 0.341971886974004 , 0.373633979348645 , -0.741339342236916 , 0.0490753790283146 , -0.427998200390597 , 0.758821664963123 , -0.799196569968688 , -0.487574849726901 , -2.1290038950088 | 0.2902293 |
| 19 | 20 | 0.5 | 0 | 1 | control , control , control , control , control , control , control , control , control , control , control , control , control , control , control , control , control , control , control , control , intervention , intervention , intervention , intervention , intervention , intervention , intervention , intervention , intervention , intervention , intervention , intervention , intervention , intervention , intervention , intervention , intervention , intervention , intervention , intervention , -0.0638124637311685, 0.307881194481584 , 0.778970862883454 , -1.45503285047685 , 1.51112991659699 , -1.23250258041427 , 0.244160139248173 , 1.09125068883194 , -0.251662203764793 , 0.368340435199163 , 0.75684149566374 , 0.433056824650084 , -0.570174097973471 , -1.02697415389508 , -0.144341145865925 , -1.82485242602645 , -0.464821133032259 , -3.65031037144017 , 1.4624828536207 , -0.936292219412687 , -0.426735349986761 , 0.171735214938072 , 0.331453014320844 , 3.45599953769803 , 0.269941099178045 , 1.02746224194935 , 0.596043025857738 , -0.687196710673034 , 0.00147429227684048, -1.06805668916263 , 0.79350131332984 , 0.447852719138361 , 1.46832638840606 , 0.935073998906048 , 1.70844041185071 , 1.39360530229441 , -0.0373738482923881, -0.45704386802117 , 1.10879772729032 , 1.02598240920117 | 0.0243621 |
| 19 | 50 | 0.0 | 0 | 1 | control , control , control , control , control , control , control , control , control , control , control , control , control , control , control , control , control , control , control , control , control , control , control , control , control , control , control , control , control , control , control , control , control , control , control , control , control , control , control , control , control , control , control , control , control , control , control , control , control , control , intervention , intervention , intervention , intervention , intervention , intervention , intervention , intervention , intervention , intervention , intervention , intervention , intervention , intervention , intervention , intervention , intervention , intervention , intervention , intervention , intervention , intervention , intervention , intervention , intervention , intervention , intervention , intervention , intervention , intervention , intervention , intervention , intervention , intervention , intervention , intervention , intervention , intervention , intervention , intervention , intervention , intervention , intervention , intervention , intervention , intervention , intervention , intervention , intervention , intervention , -0.130031754170407 , -0.666181061697959 , 0.11435202952303 , -0.688597097164501 , 0.349782975338234 , 1.30231703051424 , 0.3921992602968 , -0.397711197056801 , 0.419205281362865 , 1.36421772349795 , 2.04608163801378 , -1.35341711956568 , -0.941196895544491 , -0.842809678935952 , 0.458962985442713 , -0.701198107812173 , -2.12450339350191 , -1.18460158643889 , 1.21778589566295 , -0.318179705667811 , -1.09011801068876 , -1.27714455238624 , -1.43270280990897 , 1.27743052788034 , 0.598448951443105 , 0.176610903206762 , 0.862979665765615 , 0.860484323820982 , -0.742460101812826 , -0.941177684924907 , -0.0985322241224153, -0.370011877578541 , -1.43365767458783 , -0.631866859693024 , 1.35359732071826 , 0.416469537007868 , -1.00899147376912 , 0.59781495880115 , 0.0142682488266822 , -1.13049364107773 , 0.805012739610909 , -0.970224000266907 , -0.164625715456302 , 0.400289663302511 , -0.144878858700027 , 2.15808433686439 , 1.09422592870588 , -0.0783560454857817, 0.590100497157943 , -0.719715322655758 , 0.39829912315225 , 0.194946589867246 , -0.641927847389335 , 1.57780971208052 , 0.803398572647282 , -0.0446925266970544, 0.324176680682098 , -0.327367547660186 , -1.52122105750722 , 0.07431215625974 , -1.78519842669243 , -0.956987104662945 , -1.9142092948983 , 0.865709085874601 , -1.34387594295753 , 0.0614644087269827 , -0.776468070342161 , 0.655239712611323 , 1.23491703287972 , -0.515026661146234 , 0.238338908284093 , -1.51470633217013 , -0.643863069425824 , 0.446613026681373 , -0.0206871081375739, -0.476231543697679 , 2.7401755838874 , 0.129216491759298 , -1.88663074265208 , -0.267642300080747 , 0.335496128854044 , -0.987964683014469 , 0.486516986009998 , -0.605268493876899 , -1.26489710620962 , 1.48888668037684 , -0.133816261783316 , -0.129844617645021 , -0.380422786258368 , -1.33817841226507 , -0.323281873536881 , -1.03348219318706 , 1.00701018804775 , 0.193285681920915 , 0.383736555206408 , 0.66500208328813 , 0.469971088277851 , -1.99662553664679 , -1.14155611985718 , 0.42816610922635 | 0.5390401 |
| 19 | 50 | 0.5 | 0 | 1 | control , control , control , control , control , control , control , control , control , control , control , control , control , control , control , control , control , control , control , control , control , control , control , control , control , control , control , control , control , control , control , control , control , control , control , control , control , control , control , control , control , control , control , control , control , control , control , control , control , control , intervention , intervention , intervention , intervention , intervention , intervention , intervention , intervention , intervention , intervention , intervention , intervention , intervention , intervention , intervention , intervention , intervention , intervention , intervention , intervention , intervention , intervention , intervention , intervention , intervention , intervention , intervention , intervention , intervention , intervention , intervention , intervention , intervention , intervention , intervention , intervention , intervention , intervention , intervention , intervention , intervention , intervention , intervention , intervention , intervention , intervention , intervention , intervention , intervention , intervention , -0.725975087018542 , 2.27157493956073 , -0.258489365728677 , -0.685257009795219 , 0.552937594598486 , 1.17768161759688 , 0.471763450378934 , -0.170120342874568 , 0.915104853916984 , 0.245741731870475 , 0.422878303227371 , 0.573008528234493 , 0.218693581986558 , 1.20744494047211 , 2.05840076670087 , -0.847203805737211 , 1.79375459694342 , -1.97808458951451 , 1.71479123704528 , -0.0461948706654367 , -0.376064490916756 , 1.60630723970656 , -0.632732099846954 , 0.949863792512143 , -1.94420060389362 , 0.128990011627389 , 0.635419828271676 , 0.209491205029703 , 0.655256457501536 , -0.0194367269795235 , -0.520153233708482 , -0.506077484196975 , -0.323391237816857 , -0.830084682079339 , -0.74853434299551 , 0.412911352068419 , 0.432169647754725 , -0.873828704319418 , -0.536464619564885 , 1.37479940090702 , -0.537322006761405 , 2.04906559308349 , -1.70202993312595 , 0.944057951715248 , -2.11980482031634 , 0.347606814458855 , 0.255660639200923 , -0.398988842288185 , -0.541822692225691 , -0.83168864718399 , -1.21606515669627 , 2.32399397476348 , 1.86629564793925 , -0.116864462159269 , -0.504064084268512 , -0.48232336160161 , -0.285270140651482 , 0.412687092797766 , -1.01935165044473 , -0.506762020751359 , 2.07652763915672 , 1.09686485911837 , -0.179130703656322 , -0.608220695065296 , -0.0835438836352848 , -0.428769622651534 , 0.100840189999673 , 0.595061754373207 , 0.172974662411511 , 0.450306591744173 , -0.38055013159462 , 1.02865398506479 , 1.10532866863956 , -0.680698010232774 , 1.6019468931776 , -0.2645752429522 , -0.757315272537949 , 1.00323354055798 , 0.346331200019595 , 1.47641727660961 , 0.0127936018295761 , 1.49568192160095 , -2.10773330672229 , 0.522135423347176 , 0.306788627939681 , 1.64875327649631 , 0.288920160372658 , 1.11911387354216 , 1.6930401407163 , 1.46633691679325 , -0.846495643213376 , -0.649803978641232 , 0.638051417158658 , 0.676080914865688 , -0.327652752208577 , -0.00599653067185746 , 0.502538241135803 , 1.76351053375785 , -4.01421466647012e-05, 0.49507419952456 | 0.2589891 |
| 20 | 20 | 0.0 | 0 | 1 | control , control , control , control , control , control , control , control , control , control , control , control , control , control , control , control , control , control , control , control , intervention , intervention , intervention , intervention , intervention , intervention , intervention , intervention , intervention , intervention , intervention , intervention , intervention , intervention , intervention , intervention , intervention , intervention , intervention , intervention , -1.04368050068407 , 2.16081534361409 , -0.175087409021608 , -0.803189891886044 , 0.45367622967726 , -0.257254258575162 , -0.75446618409105 , 0.860588726060024 , -0.134560483894947 , 0.700694570317949 , -1.28345926018092 , 1.30808997851814 , 0.145005425918907 , 0.833864515167648 , 1.57193975978021 , 0.686422635380057 , 0.331847565813321 , -0.690937123546116 , 0.138159385368262 , -2.22942355230739 , -0.134604728808735 , -0.654816803920754 , -1.64926090308756 , 2.05651503315233 , 0.621245182559784 , -1.65625844653596 , -0.0638244301940097, 0.995230250236017 , -0.561640099035424 , 0.405684254707036 , -0.348454534792214 , -1.41984002844187 , -0.982552727155463 , 0.669974276905452 , 0.424036903786281 , -0.406945009013812 , 0.636416393447594 , 0.590342691944566 , -0.941184918423451 , 0.599682250327274 | 0.5718205 |
| 20 | 20 | 0.5 | 0 | 1 | control , control , control , control , control , control , control , control , control , control , control , control , control , control , control , control , control , control , control , control , intervention , intervention , intervention , intervention , intervention , intervention , intervention , intervention , intervention , intervention , intervention , intervention , intervention , intervention , intervention , intervention , intervention , intervention , intervention , intervention , -0.0659515483975413, 1.07999090414254 , 0.341976589204838 , 0.428603200365406 , -0.437973063003025 , 1.10667342587828 , -0.95316443991393 , 0.318521379907441 , 1.16714913879484 , -0.104370954675759 , -0.407943728600159 , 0.375584214552941 , 0.387160776954109 , 1.44844027206054 , 0.422251465571584 , -0.158798950449748 , 0.242758685074926 , -0.621230839051045 , -0.404624168399489 , -0.142334590905533 , -0.534910789139693 , 0.124969066479159 , 1.65254677780001 , -1.27361308624862 , 2.95852135813551 , -0.327367745378753 , 0.661657290755141 , 0.740912887893746 , 0.495257560830878 , 0.420901752410092 , 1.93149783179112 , 2.20285584977428 , 0.508075668205744 , 0.601540875372716 , 1.14529175397455 , 1.14496278629383 , 2.01254723931796 , -0.684921608167251 , 0.0981392127119375 , -0.786121645491832 | 0.1216414 |
| 20 | 50 | 0.0 | 0 | 1 | control , control , control , control , control , control , control , control , control , control , control , control , control , control , control , control , control , control , control , control , control , control , control , control , control , control , control , control , control , control , control , control , control , control , control , control , control , control , control , control , control , control , control , control , control , control , control , control , control , control , intervention , intervention , intervention , intervention , intervention , intervention , intervention , intervention , intervention , intervention , intervention , intervention , intervention , intervention , intervention , intervention , intervention , intervention , intervention , intervention , intervention , intervention , intervention , intervention , intervention , intervention , intervention , intervention , intervention , intervention , intervention , intervention , intervention , intervention , intervention , intervention , intervention , intervention , intervention , intervention , intervention , intervention , intervention , intervention , intervention , intervention , intervention , intervention , intervention , intervention , -1.67871775987779 , -0.340156130427232 , -0.846456417526926 , 0.123748375952404 , -1.35344211820123 , 0.46085838812058 , 0.960669960024506 , -1.01207685499904 , 0.230737398556074 , -0.648208385564324 , -0.0604676735125181, 0.0226570576351945 , 0.266234663970531 , 1.58033122890626 , 1.51182577909836 , -2.78747783305917 , 1.00959382681936 , 1.33219375490686 , -0.93849533039541 , 1.80473874868482 , -0.91836594006638 , -0.629283502454776 , -0.254708406657446 , -0.332441239900355 , 1.3445354430865 , -0.587043881976251 , -0.876002656152294 , -0.439160108410074 , -0.608808997598866 , -0.815551268452734 , 0.109485272437277 , -0.5308479083183 , 0.20764235001769 , 0.0476111814740278 , 0.163735002547099 , -0.420188422752044 , -0.538011425752882 , -1.06105899114724 , -0.0366225324806047, -0.386354305058048 , 1.73932378205706 , -1.31062631264446 , -0.937929363209969 , 0.0361612742685853 , 0.678060062836384 , 0.938239162123081 , -1.81923151684556 , -0.160987711112455 , 0.178653931070221 , 0.194313685202849 , 0.927818116393403 , 0.00915254173890739, 0.189295632225597 , -0.376316059270026 , 0.349688837328356 , -0.758440970996109 , -0.800682305548421 , 1.42999754858846 , -1.48093955473019 , 1.73231424291316 , 0.416676209942508 , -0.777188699444738 , 2.05109942285653 , -0.166840731493571 , 0.0426658232158355 , -0.748182626939002 , 1.92453108305053 , -0.527829082701009 , -0.76830409862621 , 0.115964580336513 , -0.335792629184288 , 0.895487759399823 , -0.723083192001244 , 0.0931051742899057 , -0.488835663908454 , 1.60406650942487 , -0.129649850492293 , 0.702585861321016 , -0.855104450005415 , 0.209488817672079 , -0.227008584908719 , -1.11168696084359 , 2.05337455314908 , -0.431211259516636 , 2.14900401172345 , 0.315347310814108 , -0.176696915776243 , -0.741234091012151 , 1.2302277043815 , 0.71376616393595 , -2.43665223121751 , -1.7483750970636 , 1.26260857968206 , 0.693125710630744 , 0.0488417784499768 , -2.02429028381178 , -0.852587857961242 , 1.23629557174487 , -0.618882679916367 , -0.721797045928387 | 0.3393459 |
| 20 | 50 | 0.5 | 0 | 1 | control , control , control , control , control , control , control , control , control , control , control , control , control , control , control , control , control , control , control , control , control , control , control , control , control , control , control , control , control , control , control , control , control , control , control , control , control , control , control , control , control , control , control , control , control , control , control , control , control , control , intervention , intervention , intervention , intervention , intervention , intervention , intervention , intervention , intervention , intervention , intervention , intervention , intervention , intervention , intervention , intervention , intervention , intervention , intervention , intervention , intervention , intervention , intervention , intervention , intervention , intervention , intervention , intervention , intervention , intervention , intervention , intervention , intervention , intervention , intervention , intervention , intervention , intervention , intervention , intervention , intervention , intervention , intervention , intervention , intervention , intervention , intervention , intervention , intervention , intervention , -0.328659269227677 , 0.281235695094136 , -1.18747861606358 , -1.35547838947141 , -1.80836515824833 , -0.232444738779461 , -0.464784170098043 , -0.0945869026981782, -1.68701773266124 , 0.0359020499628279 , -0.322169451961308 , 0.633533228470599 , -0.127915459308712 , 0.861586686255706 , 0.932406852024014 , -0.181883671054878 , -0.93427590747022 , -0.645484599691968 , 0.642000969824088 , -0.457877190950178 , 0.840625188050668 , -0.7683391721873 , 0.0788891258680773 , -1.54070039924052 , 0.769078447568344 , 2.12580133969524 , -0.981807861705306 , -1.20656903919956 , -1.35603473983 , 0.806877271860142 , 1.04260758584266 , -1.24870987369209 , -1.00178327085163 , -0.448754419113203 , -0.228396274995054 , 0.5606832165384 , 1.26217272774861 , 0.290558113373172 , 0.0821514767432651 , -0.514580044418115 , 0.594956844562149 , 0.433708508738176 , -0.223275854397209 , 0.529766826854826 , 0.541700108740861 , -0.895729884326048 , -1.2156417262129 , 1.0332707955309 , 0.472626160483034 , 0.268279028647814 , -0.474876883732251 , 0.946374977638886 , 1.43921317970931 , 1.51726702668277 , 0.65803464222643 , -0.683723910801584 , 0.320674226366839 , 1.42856171934764 , -0.0259164404261447, -0.979964405092777 , 1.56785036077226 , -2.71390831335756 , 0.477700338664556 , 2.49868452531477 , 1.06844046787189 , 0.507202929576739 , 1.38006466670012 , 0.947420062425818 , 0.959157797785963 , -0.302665430169749 , -0.323292171376633 , -0.58979711393574 , -0.409809255870114 , -1.02152064997239 , -0.482425301122204 , 0.485934905264101 , 0.64326658347803 , -1.64366763493566 , -0.520665158276282 , 0.71086983305201 , 1.43429910231991 , -0.134880962740344 , 0.69512256176055 , 1.13239147740379 , 0.54875097638001 , 1.29284573692117 , -0.32413498966093 , 1.14395553898158 , -0.200355427264879 , -1.71760065915328 , 1.04783510122625 , 0.5536240885372 , -0.88301585931852 , -1.80067827127271 , 1.2943078029707 , 0.119876338928682 , -0.501310547132006 , 0.369804494229964 , 1.73623576406283 , -0.387660439506401 | 0.0515231 |
| 21 | 20 | 0.0 | 0 | 1 | control , control , control , control , control , control , control , control , control , control , control , control , control , control , control , control , control , control , control , control , intervention , intervention , intervention , intervention , intervention , intervention , intervention , intervention , intervention , intervention , intervention , intervention , intervention , intervention , intervention , intervention , intervention , intervention , intervention , intervention , -0.840263630581078 , 0.116386721721693 , 0.696662933017665 , 1.60392117425022 , -0.247450740040878 , -2.70442737651394 , -0.815967549625924 , 0.124607762428319 , 0.314786211080398 , 0.351053579468077 , -1.2821232295141 , -0.827130887506778 , 1.1502589478602 , -0.275518734742188 , -0.266701804944551 , -0.639133297336398 , 0.866349853066931 , -1.47604209344216 , -0.866959648471732 , 0.471220487177038 , 1.22530317347958 , -0.0629580784112583, 0.175601442715212 , -1.12281049968932 , -0.307968960560985 , -0.295679710385314 , 0.219508221172613 , -1.88552009017826 , 1.58564157363708 , 1.22394915558363 , 0.085266223298561 , 0.732352236042165 , -0.816256064109551 , 0.217208044916796 , -1.10640283229038 , 0.335646611803128 , 0.733080788708864 , -0.149718563697816 , 0.0553078678671505 , 0.537854677180565 | 0.3216074 |
| 21 | 20 | 0.5 | 0 | 1 | control , control , control , control , control , control , control , control , control , control , control , control , control , control , control , control , control , control , control , control , intervention , intervention , intervention , intervention , intervention , intervention , intervention , intervention , intervention , intervention , intervention , intervention , intervention , intervention , intervention , intervention , intervention , intervention , intervention , intervention , -1.3531171161618 , -0.0674150166553861, -0.473565050225012 , 1.24309872944234 , 1.64066686591985 , -1.20284510979247 , 0.225737125425312 , 1.24980048430728 , 0.175271014469419 , 1.33912810261746 , 0.500858619257675 , 0.847940892630175 , 0.981385869577035 , -0.06821411338761 , -0.769666947521238 , 0.321877031192942 , -2.63996960145406 , -0.560750555775301 , 0.321421602555338 , 0.625477036594475 , 0.505121496125096 , -1.00408619010675 , 1.92118005548408 , -1.39599396885206 , -0.274021057659098 , 1.02838902484797 , 0.7565992539343 , -0.995019204212274 , 1.10590639612232 , -0.145569225799051 , -1.32998648975738 , 1.90675689700103 , -0.899056723879712 , 0.252912193628228 , 0.37371453182047 , -0.817546797982692 , 0.559217175416678 , 1.41483916012218 , 0.285863277236995 , 0.381415411033771 | 0.8451977 |
| 21 | 50 | 0.0 | 0 | 1 | control , control , control , control , control , control , control , control , control , control , control , control , control , control , control , control , control , control , control , control , control , control , control , control , control , control , control , control , control , control , control , control , control , control , control , control , control , control , control , control , control , control , control , control , control , control , control , control , control , control , intervention , intervention , intervention , intervention , intervention , intervention , intervention , intervention , intervention , intervention , intervention , intervention , intervention , intervention , intervention , intervention , intervention , intervention , intervention , intervention , intervention , intervention , intervention , intervention , intervention , intervention , intervention , intervention , intervention , intervention , intervention , intervention , intervention , intervention , intervention , intervention , intervention , intervention , intervention , intervention , intervention , intervention , intervention , intervention , intervention , intervention , intervention , intervention , intervention , intervention , 0.327329609501821 , -0.0310463494407329, -0.48602756255892 , 0.563987803004712 , -0.540503744450627 , 0.10791681885514 , 0.849944600262483 , 2.34018340106162 , 1.53723817367278 , -1.27751730115062 , 1.63222463110234 , -0.946675296358727 , -0.590908268276757 , -0.409403708924197 , -0.851753689841951 , -0.595549299740182 , -1.38666106819965 , -0.224852968532137 , -0.457804453375264 , -0.701123936027923 , -0.524849382667975 , 0.00252161087403151, -0.656666205525023 , 1.49677961972448 , 0.707320519484292 , 0.514962683927357 , 0.639574490096472 , 0.470754153724032 , -0.558826541482081 , 0.86281322007577 , -0.719796515959402 , 1.39889076873728 , -1.2657900176529 , 0.929180010513525 , 0.727050792104018 , 2.23513659050723 , -1.08454739806237 , -0.242456887868243 , 0.764293803429898 , 2.0820244691676 , 1.17215671070813 , 0.546618207282647 , -0.439591185666023 , 0.431893185492837 , 0.286581916296155 , 0.0470569941573016 , -1.01666311221423 , 1.45474825276084 , -0.468225048739757 , 0.403376627142605 , -0.276165840051511 , -0.272732784108602 , -0.85788874731507 , 0.662154831758135 , 0.316048527423905 , -0.106075139731481 , -0.0936508727609773, 0.308126731328163 , -0.178560475415663 , -0.767521085348568 , 0.238581612477655 , 1.13212245910918 , 0.929825021651399 , 0.934888625537369 , 0.698085727665336 , 0.086933989061902 , 2.8628554811209 , -0.453537501373513 , 0.336584502089226 , 2.30925862198707 , -1.20587103143085 , -0.966493180533892 , 0.241165011173837 , -0.0854046929300102, 0.652148075600318 , 0.329969033128772 , -0.425713042242398 , 0.126782689397003 , -0.256416091245719 , -0.523224823995244 , -1.29510653008182 , -0.528258405245181 , -0.155081387783377 , 0.576128590788867 , -2.15665312130224 , 1.14639552181183 , 0.610918980067373 , -0.0484327221865984, 0.906191695050953 , -0.589860920174932 , 0.264896285280789 , -0.173764986205007 , -1.15299767385908 , 0.457765578704645 , 0.168278688772182 , -0.595170308190383 , 0.112339904961799 , -0.0177535967642637, -1.57037949138479 , 0.866187816859508 | 0.4796769 |
| 21 | 50 | 0.5 | 0 | 1 | control , control , control , control , control , control , control , control , control , control , control , control , control , control , control , control , control , control , control , control , control , control , control , control , control , control , control , control , control , control , control , control , control , control , control , control , control , control , control , control , control , control , control , control , control , control , control , control , control , control , intervention , intervention , intervention , intervention , intervention , intervention , intervention , intervention , intervention , intervention , intervention , intervention , intervention , intervention , intervention , intervention , intervention , intervention , intervention , intervention , intervention , intervention , intervention , intervention , intervention , intervention , intervention , intervention , intervention , intervention , intervention , intervention , intervention , intervention , intervention , intervention , intervention , intervention , intervention , intervention , intervention , intervention , intervention , intervention , intervention , intervention , intervention , intervention , intervention , intervention , -0.280383000969488 , -0.729143243781068 , 0.85235622033386 , 0.390326404724164 , -0.366544401467764 , -0.652901454766472 , 0.084945470390618 , -1.15233654055888 , 1.27700245144053 , -0.332962757936204 , 2.00281065527823 , 0.986313929921058 , -0.467752838045055 , -0.339787709899434 , -1.10386780538058 , -0.192103860019147 , 0.811963051830147 , 1.66706967631686 , -1.64061729102752 , -0.446730422622078 , -0.784493836834179 , 0.0508136103958458 , 0.4315037494808 , -0.0815363741334362 , -2.15266383882131 , 1.01489820841727 , -5.22224013967221e-05, 0.131262738847363 , -0.844280204646229 , -0.491129006975906 , -1.27563752970275 , 1.67317898517412 , -2.01988323579559 , -0.99769005937424 , 1.08399521515603 , 0.530564016397666 , 1.48544348984454 , -1.08079028353682 , -0.253635112538751 , -0.40876320755882 , 1.51132728169573 , 0.685508364622954 , -1.87779747075431 , -0.762001116987129 , -1.12606648890883 , 1.62769897134864 , -1.02400318224014 , 1.08614383222518 , -0.0496357828298642 , -1.97201520366492 , -0.488183773930557 , -0.0687077308711758 , 1.54083386286456 , -0.304702272769481 , 1.18919636208649 , 0.15330553475499 , -1.62812395532857 , 0.403905032540823 , 1.43011082216622 , -0.777653648261562 , -1.30119229826853 , 2.05048430646844 , 0.468379022402997 , -0.566299614545862 , 0.574703137351894 , 0.710482956379796 , -1.27410061746228 , 0.415368348961507 , -0.737372860837664 , 0.218568775067975 , 2.01669510913679 , 0.258020241143118 , 0.643877575089135 , 1.79241834687854 , 1.51311535666476 , 0.78398630686288 , 2.16677581580026 , 0.379411556662594 , 0.131444104061015 , -0.392061589485923 , -1.6143735824213 , -0.128827690132202 , -0.245287395686766 , 1.28130714723615 , -0.0755526246901042 , 0.182730816038937 , 0.968879761289462 , 0.627511045198235 , 1.88728486927908 , 1.24852963192957 , 0.565526230357247 , -0.105048470118657 , 0.45737477855342 , 0.13779370076764 , 0.473398780987117 , -0.038258470447219 , 1.07798281429537 , -0.572124807093713 , -0.91404731597908 , -1.60502998494273 | 0.0493714 |
| 22 | 20 | 0.0 | 0 | 1 | control , control , control , control , control , control , control , control , control , control , control , control , control , control , control , control , control , control , control , control , intervention , intervention , intervention , intervention , intervention , intervention , intervention , intervention , intervention , intervention , intervention , intervention , intervention , intervention , intervention , intervention , intervention , intervention , intervention , intervention , -0.321400869264409 , 0.841137780275021 , 0.739252231601694 , 0.342170560125512 , -1.67058730231084 , -0.977979292450241 , -2.06327821960643 , 0.325652645315517 , -2.13660543045314 , 0.637177658079112 , -0.0188104095232187, -0.582175158318158 , 0.743259426003209 , 1.17153787829426 , -1.09107600441836 , 0.262136240017057 , 0.821386534891212 , 0.0886547720217613 , 0.49267483252247 , -1.96796921170918 , 0.690734638339106 , 0.361567101164289 , 1.48035979717714 , -0.196851525633192 , -0.872836899294647 , -1.35339385774633 , 0.677550160002933 , -0.392482983828339 , 0.695614630302728 , 0.290616242099934 , 0.696454881214833 , -1.4476774239421 , 0.357889438867934 , -0.22110543587611 , 0.729427825479163 , -0.417787031643676 , -0.178146043461542 , -2.16863664949406 , -1.21505743744681 , 1.22145285003652 | 0.6337074 |
| 22 | 20 | 0.5 | 0 | 1 | control , control , control , control , control , control , control , control , control , control , control , control , control , control , control , control , control , control , control , control , intervention , intervention , intervention , intervention , intervention , intervention , intervention , intervention , intervention , intervention , intervention , intervention , intervention , intervention , intervention , intervention , intervention , intervention , intervention , intervention , -1.21508199726242 , -0.447314225407758, 0.727481552209677 , -0.837574793824138, 0.645026754519131 , -0.234219414112997, -1.20969888717161 , -0.606170160464033, -0.320197176577172, 0.330312990799486 , -0.338237832721449, 0.772690258384501 , -0.498115328458745, 0.776964234236227 , 1.02506292035367 , 1.48975159232899 , 0.903580111786797 , -0.498164363761011, 0.284450326047975 , -1.23538165462582 , 0.236887172707006 , 1.28528874217701 , 1.77168900384297 , -0.605616420327952, 0.672219784083219 , -0.790011432129599, 0.371079936758582 , -0.362693024631971, 0.888677299374666 , -0.440259188077691, 0.865245812746885 , 1.23865551014394 , 1.55734218939171 , 0.668435820188584 , 1.49771980150511 , 0.688086405701935 , -1.6046828348607 , 1.33643251954175 , 2.64330523398625 , 1.93542424121306 | 0.0212584 |
| 22 | 50 | 0.0 | 0 | 1 | control , control , control , control , control , control , control , control , control , control , control , control , control , control , control , control , control , control , control , control , control , control , control , control , control , control , control , control , control , control , control , control , control , control , control , control , control , control , control , control , control , control , control , control , control , control , control , control , control , control , intervention , intervention , intervention , intervention , intervention , intervention , intervention , intervention , intervention , intervention , intervention , intervention , intervention , intervention , intervention , intervention , intervention , intervention , intervention , intervention , intervention , intervention , intervention , intervention , intervention , intervention , intervention , intervention , intervention , intervention , intervention , intervention , intervention , intervention , intervention , intervention , intervention , intervention , intervention , intervention , intervention , intervention , intervention , intervention , intervention , intervention , intervention , intervention , intervention , intervention , -0.817289563108394 , 0.261988719114972 , -0.271240957916286 , -1.31271099034849 , 1.39054356954644 , -1.52207541803282 , -1.63938239540236 , -0.763915855071416 , 1.77682746698362 , -0.272647306672547 , -2.18357702960308 , -1.21978002730505 , -1.19077137494033 , 0.597402167512556 , 0.50096511696037 , 0.466297123388777 , 0.131583779612026 , -0.198374175697071 , -0.732664151697935 , -0.881446873135073 , 1.22200376087662 , 0.330281116270288 , 0.365784205477394 , -1.24783939764125 , -2.66129807428199 , -0.6408554014139 , 0.200882985279211 , 0.718810237660126 , 0.753827301986124 , 1.64435643066823 , -0.0598029686766096, -0.821811183848503 , -0.879580972903899 , 0.822896756045246 , 0.753913978847068 , 1.1644954638911 , -0.833337058325366 , -0.327113049951198 , 1.08033530887676 , -2.17881129807429 , -0.59096048393669 , -1.42515274126209 , 0.337272919742904 , -0.204192227638807 , 0.222928735637091 , 0.886353731954632 , -2.72911023374098 , 0.218961253311171 , -0.674376284465206 , -0.859997195352191 , -1.27266618929023 , 0.08917520758394 , -0.377998971222338 , 1.66137302062294 , -0.61654987862486 , 0.908863650881789 , 0.173761003339786 , -0.454642281753554 , 0.527753660673437 , 1.20152453533479 , 1.42324184857596 , -1.07042271950585 , 0.825539913006501 , 0.687824528742743 , -0.511445083051816 , 0.472112490668593 , -0.405369487391581 , -0.431475064351271 , 1.4183227431899 , 0.444828033254127 , 0.760862395317247 , 1.61143868485707 , -1.04107559832154 , -0.722358454190581 , 0.941927984750152 , -0.21841932558269 , 0.314469083225276 , 1.05692012318053 , -0.0637323520608357, 0.494501876883292 , -0.755254243786599 , 0.908584609696919 , -0.199693872626206 , -0.0355281821035825, 1.53059385793352 , -0.682616751178559 , 1.02611964658924 , 0.390454761155408 , -1.03056146949305 , 0.577998633630256 , 0.233611619145762 , 1.3291636665584 , 0.76819661301729 , 0.148480758067361 , 0.947570536012821 , 0.246258681498402 , 0.916337019242624 , -0.845349176547562 , -0.691457400303047 , 1.3968963599322 | 0.0052561 |
| 22 | 50 | 0.5 | 0 | 1 | control , control , control , control , control , control , control , control , control , control , control , control , control , control , control , control , control , control , control , control , control , control , control , control , control , control , control , control , control , control , control , control , control , control , control , control , control , control , control , control , control , control , control , control , control , control , control , control , control , control , intervention , intervention , intervention , intervention , intervention , intervention , intervention , intervention , intervention , intervention , intervention , intervention , intervention , intervention , intervention , intervention , intervention , intervention , intervention , intervention , intervention , intervention , intervention , intervention , intervention , intervention , intervention , intervention , intervention , intervention , intervention , intervention , intervention , intervention , intervention , intervention , intervention , intervention , intervention , intervention , intervention , intervention , intervention , intervention , intervention , intervention , intervention , intervention , intervention , intervention , 0.0142609256855434 , 1.03633742997009 , -1.52396719021588 , 0.796962070802972 , 0.0631357269570084 , 0.6564480174286 , -0.736708710256761 , -0.8533767423823 , -1.96891822146586 , -0.626447098166263 , 0.380693086932473 , -3.34821270323514 , 0.533017286974313 , -0.325499625717701 , 0.553997973252991 , 1.18380372799642 , 0.335917168007454 , -0.0110071483225244 , 0.463275719261703 , 1.78115039395412 , -1.24517692348067 , -1.12912738513982 , -0.249936651784342 , -0.9936601176326 , 1.13615038843339 , 0.650801692091964 , -1.27028207957713 , -0.250463030245042 , -0.687623212257258 , -0.843543538693765 , 0.626873123114039 , -0.0563557167909785 , -0.00640404415684923, 0.844213358230718 , -0.811592433694477 , -1.18889976576978 , 0.497007755276126 , 0.359061706231433 , 0.237797424928268 , -1.8976606886604 , -1.20878200308312 , -1.77016527409699 , 1.23276618102596 , 0.345730666718366 , 0.664149780566189 , 0.147774053680672 , 1.34651816525203 , -1.47098277027235 , 0.687627628079009 , -0.346990688525185 , 0.923596432246489 , -1.76016855459585 , -0.0494221394788811 , -0.284449435457066 , 2.63997349473882 , 0.583388880264556 , -1.34109982879344 , 0.856819304249115 , 0.0515870328711757 , 0.275050703335815 , -2.44490654663337 , 0.478303127078177 , 1.66142883271053 , -0.223204439798219 , 1.46218264079363 , 0.0785259750999688 , 0.225227859026633 , -0.408654763490205 , 0.578270058623639 , -0.105359102573829 , 0.210032925064876 , -0.817331723364589 , -0.954803420289434 , 1.34858594420073 , 0.353850686085692 , 0.0913704118124461 , 0.207957204744631 , -0.01800920392315 , 1.11915150468253 , -0.698433480027932 , 1.16666979762444 , -1.19621245846907 , 1.71547273118632 , 0.920074506815912 , -0.193360257779131 , 0.905839492273077 , 0.858682141967614 , 1.59466258273045 , 1.55428059127117 , 3.445622098955 , 1.83601094528294 , 0.972168394476908 , -0.414112601674085 , -2.11530525782314 , 2.08048103449657 , -0.442639973202342 , -1.3166913966356 , 0.338041131057208 , -0.642694063886445 , -0.0223522784981804 | 0.0373768 |
| 23 | 20 | 0.0 | 0 | 1 | control , control , control , control , control , control , control , control , control , control , control , control , control , control , control , control , control , control , control , control , intervention , intervention , intervention , intervention , intervention , intervention , intervention , intervention , intervention , intervention , intervention , intervention , intervention , intervention , intervention , intervention , intervention , intervention , intervention , intervention , 0.201857104461291 , 1.50821908287246 , 1.13436442054727 , 2.0033484522304 , 0.168994946689576 , 0.585957866185937 , 1.52795375206931 , -0.297122276523164 , 1.57178367441054 , 0.454838198977953 , 0.701233515562368 , 0.784990653622693 , -1.23782824394395 , 1.81266140613894 , -0.142067838221428 , 0.315181535735824 , -0.087268929321852 , -0.0994276557886941 , 0.706873643023727 , 0.798468998302463 , -0.437658573840789 , -0.509197961404523 , 0.0971152062225843 , -0.277345354582055 , 0.281828619417758 , -0.00762552758772354, -1.63365263341151 , -0.625838885759595 , 0.859669641533823 , 0.0927581569745396 , -0.417350732487559 , 0.58228867989728 , -0.0190938085672937 , 0.160508753448116 , 0.689750355605989 , 0.0832226291347904 , 0.305928382048048 , -1.29886422722984 , -0.0618530441780043 , -0.969104638445808 | 0.0017892 |
| 23 | 20 | 0.5 | 0 | 1 | control , control , control , control , control , control , control , control , control , control , control , control , control , control , control , control , control , control , control , control , intervention , intervention , intervention , intervention , intervention , intervention , intervention , intervention , intervention , intervention , intervention , intervention , intervention , intervention , intervention , intervention , intervention , intervention , intervention , intervention , 0.516716050244025 , 1.56690239521933 , -0.440664080637331, 0.199479533557283 , 0.111334551674238 , 0.636401874655093 , -0.927178313325427, -0.199312458437132, -0.591602176047418, 0.695417457135716 , -2.36634767098505 , -0.876253627183752, -0.141151575770108, -0.946666450461111, -0.661823326698554, 0.778979384803403 , 1.39762112814229 , 1.00558560305882 , -0.7172826352613 , -1.42920086011867 , 0.670447644038912 , 0.168930397577792 , 0.5392874366799 , -0.456391868758635, -0.49941245651821 , 0.132299635135838 , 0.793394328065773 , 0.703602338632704 , 1.790879555775 , 0.224242917676095 , 0.329621837973024 , -0.104515081480977, 0.747779190230763 , -0.7427502237222 , 1.20039414962978 , 0.219830083306002 , 1.94920341346171 , 0.675933116045348 , 0.796531081240909 , -0.514785667980455 | 0.0513015 |
| 23 | 50 | 0.0 | 0 | 1 | control , control , control , control , control , control , control , control , control , control , control , control , control , control , control , control , control , control , control , control , control , control , control , control , control , control , control , control , control , control , control , control , control , control , control , control , control , control , control , control , control , control , control , control , control , control , control , control , control , control , intervention , intervention , intervention , intervention , intervention , intervention , intervention , intervention , intervention , intervention , intervention , intervention , intervention , intervention , intervention , intervention , intervention , intervention , intervention , intervention , intervention , intervention , intervention , intervention , intervention , intervention , intervention , intervention , intervention , intervention , intervention , intervention , intervention , intervention , intervention , intervention , intervention , intervention , intervention , intervention , intervention , intervention , intervention , intervention , intervention , intervention , intervention , intervention , intervention , intervention , 0.217481690978571 , -1.87961147051105 , -0.917159770131414 , 0.323523386070751 , -0.993947979807775 , 0.484878593864432 , -2.17747550931965 , 1.01095069630461 , 1.27464786987473 , 0.521575537373376 , -2.24255650671607 , -1.02881447057301 , 1.28313150505246 , 1.64623849353061 , -0.847445276879356 , 0.12617955106966 , -0.956652834146838 , -1.66231555897905 , -0.466038209867142 , 1.35764640754031 , 0.663129247621153 , 0.625941152447734 , -2.28777727179023 , -1.14756716277847 , -0.755111231459662 , -0.062897960689113 , 1.55009203828191 , -0.717523394976444 , -1.19396886700494 , -1.62345767493306 , 0.198162366593386 , -3.47858528489119 , -0.563096875716282 , 0.554180684920408 , -1.22566644075518 , 1.21228879902283 , -0.923979619605203 , -1.360634688881 , 0.751315450301219 , 0.375950378540435 , 1.91969429329417 , -0.874755101907192 , 2.12928823260119 , 0.64126073713156 , 0.112706139406565 , -0.991942424260125 , -0.941231639294919 , 0.0913529336654473 , 1.42546746813962 , -0.46463976128846 , -0.16544553835332 , -0.102938587248865 , 0.600050902351203 , -0.614756619742608 , -0.802650508644937 , 1.29789356418691 , 2.78422405305173 , -0.280092113952255 , 0.298733041778952 , -0.0559013780922834, 0.58882946644609 , -1.7515020186167 , 0.444558892908323 , -0.823714101101886 , 0.119939891991207 , -1.86054038933365 , -1.31672591950614 , 1.23761170616422 , -1.02005661533285 , 0.720771075034664 , -1.72808493486904 , 0.507686557494212 , 0.219529916882423 , -0.995660552244331 , 0.0207293210742409 , 0.248911686965289 , -0.850778810717818 , -1.78462781149454 , -0.758455778036649 , 0.41235213890896 , -0.376863850120472 , 0.470510065119516 , 0.941143271904325 , 0.523368913498291 , -1.54689099538543 , -0.214166738594171 , -0.957807293272141 , -3.11580857553489 , 0.426309627452146 , 0.710149053339857 , -1.59673348529599 , -1.09138121153382 , 1.08513487477739 , -0.40646779599965 , 1.04524529374413 , 1.16366565242673 , -0.489918838758426 , 2.92686617112437 , -0.481002292679989 , 0.487694145699374 | 0.6528729 |
| 23 | 50 | 0.5 | 0 | 1 | control , control , control , control , control , control , control , control , control , control , control , control , control , control , control , control , control , control , control , control , control , control , control , control , control , control , control , control , control , control , control , control , control , control , control , control , control , control , control , control , control , control , control , control , control , control , control , control , control , control , intervention , intervention , intervention , intervention , intervention , intervention , intervention , intervention , intervention , intervention , intervention , intervention , intervention , intervention , intervention , intervention , intervention , intervention , intervention , intervention , intervention , intervention , intervention , intervention , intervention , intervention , intervention , intervention , intervention , intervention , intervention , intervention , intervention , intervention , intervention , intervention , intervention , intervention , intervention , intervention , intervention , intervention , intervention , intervention , intervention , intervention , intervention , intervention , intervention , intervention , 1.00107486754924 , -1.44419775181663 , -0.563918936145798 , -2.13832807790359 , -0.803478938186192 , -0.494045610893931 , 0.293199999845051 , 1.47922861081688 , -0.778471110125768 , -1.53492737134557 , 0.901249675400557 , 0.659624434312521 , 0.182580822487954 , -1.32412879635119 , 1.64300776660925 , 0.299057999567144 , -2.09740663626405 , -0.51861422822922 , 0.501257327789885 , 0.208281219605755 , 2.18008077773188 , -0.65493596957391 , -0.210290132738363 , -1.87719132358346 , -0.44348934112471 , 2.5943668634269 , 0.37973165430258 , -0.789698983152948 , 0.762776033796465 , -1.98894361286602 , 0.0619363246312329 , 0.91247569927878 , 0.749538683536845 , 0.531602367867132 , 1.0311037999541 , 2.89602340447884 , 0.114287543389282 , -0.42479437621042 , 1.24485624874173 , -0.640014185256863 , -0.998596250077648 , 0.322474121317886 , -0.934933745774555 , 0.636077522786804 , -2.28826878318712 , -0.160590961793863 , 1.29682880556893 , -0.392402283460105 , 0.161936065170843 , -1.10576284749475 , -0.376750523465579 , 1.51366991532419 , -0.994516329195479 , -0.444208787826698 , 1.01109108703319 , 1.97229824900295 , -0.752205171991713 , 0.733802268028815 , -0.00624056112569238, 2.02999336625963 , 0.0797696081393067 , -1.41769867351073 , 0.238255642871945 , 0.0699458550846672 , 0.536889131860147 , 0.00348964983866318 , 0.238097866347952 , 1.28677915635715 , 1.75774173630692 , -0.353562987463846 , 1.88114866940536 , 0.506204581347441 , 2.06687168211238 , -1.5655027873418 , 0.677183127990206 , -0.306104750241564 , 0.620908322085575 , -0.340808611683937 , 1.04389981146255 , -0.490895638888213 , -0.0815500317346739 , -0.0597617919506812 , 0.814589754574844 , 1.34753012760523 , 1.14351128613748 , 1.01561347037751 , 0.281282181769726 , 0.455513985079595 , 0.684712768778512 , 1.0797656967119 , 1.45931203958356 , -1.18869542763365 , 2.38186691047038 , -0.497798201384924 , 1.36159414367193 , -0.398632782781393 , 0.654706428806435 , 0.497523063392415 , 1.00522915139886 , -1.16086749874645 | 0.0321753 |
| 24 | 20 | 0.0 | 0 | 1 | control , control , control , control , control , control , control , control , control , control , control , control , control , control , control , control , control , control , control , control , intervention , intervention , intervention , intervention , intervention , intervention , intervention , intervention , intervention , intervention , intervention , intervention , intervention , intervention , intervention , intervention , intervention , intervention , intervention , intervention , -0.840884383966213 , -0.120402595643458 , 0.752265193860274 , -1.15935764329833 , -0.931375828887003 , 0.118885007746288 , -1.33796239725147 , 1.38058125476159 , -0.0580735622198245, 0.341777688506274 , -0.388453902491833 , -0.636374691499695 , 0.145444459703732 , 0.00985719775072804, 0.431318171320851 , 0.353241360039792 , 0.132139592886067 , -1.07113888456494 , -0.0778953719074172, 2.28392242393128 , -0.455622403633195 , 1.03986698386018 , -1.01955220095708 , -1.54473552526261 , 1.07792426485275 , -0.13419998005706 , 0.0978750715453282 , -2.42911796995702 , 0.735362795055248 , -1.31949099544223 , -1.02845885416796 , -0.36600534028827 , -1.01575708567929 , 0.235367238501121 , 0.230114065667725 , -0.880113433493613 , -1.92656839892916 , -1.03313557451019 , 0.605949205198944 , -0.172574870051983 | 0.1490575 |
| 24 | 20 | 0.5 | 0 | 1 | control , control , control , control , control , control , control , control , control , control , control , control , control , control , control , control , control , control , control , control , intervention , intervention , intervention , intervention , intervention , intervention , intervention , intervention , intervention , intervention , intervention , intervention , intervention , intervention , intervention , intervention , intervention , intervention , intervention , intervention , -0.0520188507198856, -0.168841997615029 , -0.378439857681065 , 0.0841954567674745 , 1.0046902405999 , 1.45752745284943 , 0.120272777129 , 0.264797261632167 , -1.39896429752749 , 0.4475018954236 , 0.24678435720288 , -0.0190793710354176, -0.0649832885747105, 0.697053790227407 , 0.130483170803222 , -1.45144681237657 , 1.82526715962444 , -1.6144742722662 , 0.302512759466811 , 0.383066220693433 , 1.1301156386236 , 1.4110891391998 , 1.01532069104229 , 0.496391859651285 , 1.11767232879745 , -0.127918177491094 , 0.105952567733959 , 1.36172521506465 , 0.575116654298808 , 1.01143328897261 , 0.984442190557492 , 0.982853339071722 , -0.132478741246635 , 0.162265184302068 , 0.471721397737934 , 1.04892151582417 , -0.454969035814004 , 0.0228186521876046 , -0.122900567087535 , 0.472105974030571 | 0.0426037 |
| 24 | 50 | 0.0 | 0 | 1 | control , control , control , control , control , control , control , control , control , control , control , control , control , control , control , control , control , control , control , control , control , control , control , control , control , control , control , control , control , control , control , control , control , control , control , control , control , control , control , control , control , control , control , control , control , control , control , control , control , control , intervention , intervention , intervention , intervention , intervention , intervention , intervention , intervention , intervention , intervention , intervention , intervention , intervention , intervention , intervention , intervention , intervention , intervention , intervention , intervention , intervention , intervention , intervention , intervention , intervention , intervention , intervention , intervention , intervention , intervention , intervention , intervention , intervention , intervention , intervention , intervention , intervention , intervention , intervention , intervention , intervention , intervention , intervention , intervention , intervention , intervention , intervention , intervention , intervention , intervention , -1.36362403415977 , 0.0230091683441772 , 2.2000920541289 , 0.593505120903708 , 0.0985813900494475 , 1.52606923454618 , -3.22948084174941 , -1.36722917182929 , 0.799390976620829 , -0.243077025678276 , 1.0052166483696 , 0.260643857095607 , -1.47818071638044 , 0.063099633417092 , 1.29659205785498 , -2.76359389308385 , 2.03214445782888 , -0.444996630261851 , -1.12498504351728 , -0.169081159359388 , 0.0462703803728742 , -0.571718714776693 , 1.50626387352621 , 2.04295511565066 , -0.190751160476647 , 1.02547638616946 , 0.869985956967647 , 0.310776539266025 , -1.11791443163135 , -1.05914272273453 , -1.029308708058 , -0.281000466475421 , -1.47217136528102 , 0.453308686215583 , -0.259186211205127 , -0.510374408997085 , -3.364307299603 , -1.0794294731281 , -0.100373273590366 , -0.713255471107557 , 0.923784614822432 , -0.416540985452959 , 0.482311446364172 , -0.750934300026535 , 1.15953368006933 , 0.610970834720422 , 0.6496399063363 , -1.63974797653895 , -0.458080460365335 , -1.42883400721427 , 1.58735583322776 , 1.65717641682838 , 0.807974061329625 , 0.446006567980875 , -0.978090321452949 , -0.697647752136173 , -0.362862359941709 , -1.69012370130927 , -1.93024460583957 , 0.00637623746050748, -0.703675739476508 , 0.630842380307782 , -0.180630741550278 , -0.13572479706932 , 0.522228905038501 , -0.429143988157793 , 1.22719128767449 , 1.6720153104975 , -0.830589742660452 , 0.32454693233776 , 0.155783718472619 , 0.300813092889185 , -0.228812011507161 , 1.01204785265765 , -0.86120600545547 , 1.92491319183057 , 1.53261004044344 , 1.07965050546484 , 2.03897377331873 , -0.356955857235997 , 1.42001256382292 , 1.05700646806856 , 0.688505755996337 , -0.157770051129543 , 0.932771096480178 , -0.67486508880999 , -0.864469247023676 , 0.673723912397735 , 1.39225928988954 , 1.95726088414967 , -0.208464319394881 , -1.38963067256444 , 0.347511258438245 , 0.134964430643254 , -0.653011739240308 , -0.435134041189088 , 0.509915309601094 , -0.878149822164442 , -1.16181965740379 , 0.182903866309116 | 0.0946821 |
| 24 | 50 | 0.5 | 0 | 1 | control , control , control , control , control , control , control , control , control , control , control , control , control , control , control , control , control , control , control , control , control , control , control , control , control , control , control , control , control , control , control , control , control , control , control , control , control , control , control , control , control , control , control , control , control , control , control , control , control , control , intervention , intervention , intervention , intervention , intervention , intervention , intervention , intervention , intervention , intervention , intervention , intervention , intervention , intervention , intervention , intervention , intervention , intervention , intervention , intervention , intervention , intervention , intervention , intervention , intervention , intervention , intervention , intervention , intervention , intervention , intervention , intervention , intervention , intervention , intervention , intervention , intervention , intervention , intervention , intervention , intervention , intervention , intervention , intervention , intervention , intervention , intervention , intervention , intervention , intervention , 1.28819778656747 , -0.317315354333547 , -2.39107658763214 , 0.609740352005352 , -2.48101902026256 , -1.46899324656117 , 0.708172333300769 , -0.530394685731493 , 0.337188336907773 , -0.650619322066052 , -0.489435498439186 , 1.14079268093086 , 1.4793703062409 , -0.0699245778891875, 0.119373136455311 , -1.62234180445145 , -1.11303696984141 , 1.19228529117923 , 1.1176063157649 , 0.185100216908983 , 0.638078950034145 , -1.47403147843216 , 0.506480822013748 , 0.680088205612237 , 0.723876463087016 , -1.95859135932843 , 0.730861008859807 , 0.481222291519374 , 0.317056525315037 , 0.458522035506276 , -0.753606455257695 , -0.350685227934139 , 0.324809507986528 , -0.11143307736825 , -0.187084818443523 , 0.766131985356589 , 0.0416778011280514 , -1.60369365800623 , 0.178646627922272 , -0.996764078429585 , 0.805137431945352 , -0.349693599073594 , 1.37566355366305 , 0.508889420670745 , 0.059257667852696 , 2.02988969759772 , -1.13610463637646 , 1.67900051663254 , 1.02541914844167 , -0.318083515184052 , 0.0590894624391544 , 1.25223762542664 , 1.04732241079213 , 2.49209572313293 , -0.656948380335963 , 0.173074927011626 , -0.189411726330344 , 2.1278533613331 , 0.572307629160529 , 0.785791125862387 , 2.59672602423866 , -1.01578289161675 , 0.236575764391052 , 0.254207426595169 , -1.621909895573 , 0.219491167286592 , 0.291849042493551 , 1.02969085348086 , 0.268928661207324 , -0.6116869663204 , 1.2263767217595 , 1.08957292527191 , 0.998237613309235 , 1.36624469803766 , 0.455493274929948 , 1.52352531875871 , 2.46982726283885 , 0.31553385993452 , -1.4149545672488 , 0.982572846750786 , 2.78122536605951 , 0.733284163600145 , -0.91332654001085 , 0.184462897791427 , -0.7222926743859 , 1.67248811564098 , -0.23339277700957 , 0.939351731441818 , 1.25654660719776 , 1.22250850967211 , 1.50090386393914 , 0.25874886608967 , -0.0204654169631363, -0.765046034633222 , -0.264513877848845 , -0.0992717788394332, 1.53165886324131 , 0.967147702795282 , 2.20635036307421 , 0.361165549076624 | 0.0052649 |
| 25 | 20 | 0.0 | 0 | 1 | control , control , control , control , control , control , control , control , control , control , control , control , control , control , control , control , control , control , control , control , intervention , intervention , intervention , intervention , intervention , intervention , intervention , intervention , intervention , intervention , intervention , intervention , intervention , intervention , intervention , intervention , intervention , intervention , intervention , intervention , -0.134489498901617, 1.627334904462 , -0.101442089093901, -0.273718846037563, -1.92755177354895 , 0.348618876822047 , -0.918341427999034, -0.714349625507451, 0.0927775579284161, 0.175799174276113 , -0.092068672381382, 0.211743395120718 , 0.37279619049129 , 0.523861254249497 , -0.990706284380127, 0.145608845729394 , 1.00763409460908 , 0.676946836031746 , -0.720187622676005, -0.198313618998249, -1.7990233264954 , -0.439488095137639, -1.53981323492323 , -0.440615803173466, 0.382271025491273 , -0.783212928976074, 0.992312559068417 , -0.629728950623967, 0.480959973959935 , -0.12289414400027 , -0.795166492995207, -0.224147011303164, 1.07010198137134 , 1.00718608744496 , 0.513477684576336 , 0.0198758977261527, -0.166338735591159, -1.24121721728228 , 0.322873430347231 , -2.18673733091871 | 0.3915108 |
| 25 | 20 | 0.5 | 0 | 1 | control , control , control , control , control , control , control , control , control , control , control , control , control , control , control , control , control , control , control , control , intervention , intervention , intervention , intervention , intervention , intervention , intervention , intervention , intervention , intervention , intervention , intervention , intervention , intervention , intervention , intervention , intervention , intervention , intervention , intervention , -0.0606229759530343, -0.0101340132622981, -0.194144208517594 , -0.307252240180168 , -0.920577450967995 , -0.267446488913769 , -1.01054265658229 , 2.16348233808923 , -1.09015409877838 , -1.0458712813499 , 0.439108899158597 , 1.77241780475981 , -1.01036508371259 , 0.572322585458479 , 0.946040588921786 , -0.171042367950422 , -0.992188361743038 , -1.18448210436741 , -1.0247475236066 , 0.0652679990195013 , -0.442974317703197 , -1.49477688708849 , 0.143897622350041 , 0.431476751378058 , 0.0799506121187692 , 0.338708959535544 , 1.33189223368705 , -0.285329098909439 , 0.00610267028346334, -0.277307470663968 , 1.24956227494116 , 0.20981520526524 , 0.00573832121778645, -0.585311156004691 , -0.101407714020349 , -0.697202356128784 , 1.49076926803461 , 1.37942315160452 , 0.444397140103684 , -0.21018220448515 | 0.2543363 |
| 25 | 50 | 0.0 | 0 | 1 | control , control , control , control , control , control , control , control , control , control , control , control , control , control , control , control , control , control , control , control , control , control , control , control , control , control , control , control , control , control , control , control , control , control , control , control , control , control , control , control , control , control , control , control , control , control , control , control , control , control , intervention , intervention , intervention , intervention , intervention , intervention , intervention , intervention , intervention , intervention , intervention , intervention , intervention , intervention , intervention , intervention , intervention , intervention , intervention , intervention , intervention , intervention , intervention , intervention , intervention , intervention , intervention , intervention , intervention , intervention , intervention , intervention , intervention , intervention , intervention , intervention , intervention , intervention , intervention , intervention , intervention , intervention , intervention , intervention , intervention , intervention , intervention , intervention , intervention , intervention , -0.516045911478011 , -0.420740913998162 , -0.00695232781702243, 0.277388940873311 , 0.673403099264889 , 1.4191259125318 , 1.09339426128523 , -0.637111778126014 , -0.0989814158232929 , -0.778686138923752 , -0.419483528725551 , -1.46975834140411 , -0.991299955058166 , -0.0872593900985519 , 0.574596802569773 , -0.31465993428486 , 1.61681756380701 , -1.03213688550592 , -0.121535968540849 , -0.587726224435337 , 0.88360848761531 , -1.03728285279163 , 0.0103057318071246 , 2.68094456674559 , -0.735679351153977 , 1.57665082109413 , -2.16817214956559 , 0.559065821023996 , -2.67331790158847 , 0.462046732790855 , 1.30908472754609 , -1.0888092766992 , -0.466547782685172 , -0.385988879435513 , -0.686207975414098 , -0.51831772957252 , -0.393085492427481 , 1.15620379640588 , 0.897442332883716 , -0.778285249948965 , -0.59299726120331 , -0.5443899297782 , 0.0408887014801234 , 1.53300757637151 , 0.253712522315677 , -0.940113888652167 , 0.621489220115998 , 1.27940818315207 , -0.637572293669432 , -0.556196460866865 , -0.429903845301163 , -1.27439125726199 , 0.791537570917201 , 2.15282187869939 , -0.25368414453856 , -0.933774977982354 , -0.607508995604932 , 0.663517639586549 , -0.655037538913481 , -0.614559841846122 , 1.36551567048402 , -0.794816707063846 , -0.550576183427837 , 0.559695902849482 , -1.19960327893125 , 0.0672459917627109 , 0.679008982693708 , -0.444991561621003 , 1.13349225660533 , 0.66284792716341 , -0.689237072300769 , 0.672228192138592 , 1.36423218329378 , -1.30321612806639 , -1.40554176707911 , 0.601159057779477 , 2.22613572329386 , 0.769267133183884 , -1.44634590184115 , 0.642529427757261 , 0.382551993620819 , -0.082505048933996 , -0.399613286331568 , -0.144966201104008 , 0.43917593607204 , 0.18770458309251 , 0.202750554087019 , 0.347599728233266 , 0.409587946671937 , 0.896264762036809 , 2.61589031484618 , -0.323137201749613 , -0.287475138854675 , -0.282645523628511 , 0.345503796614258 , -0.941737100951657 , -1.13164716852869 , -0.57357498623234 , 0.846795235168324 , -0.906024306845072 | 0.5360952 |
| 25 | 50 | 0.5 | 0 | 1 | control , control , control , control , control , control , control , control , control , control , control , control , control , control , control , control , control , control , control , control , control , control , control , control , control , control , control , control , control , control , control , control , control , control , control , control , control , control , control , control , control , control , control , control , control , control , control , control , control , control , intervention , intervention , intervention , intervention , intervention , intervention , intervention , intervention , intervention , intervention , intervention , intervention , intervention , intervention , intervention , intervention , intervention , intervention , intervention , intervention , intervention , intervention , intervention , intervention , intervention , intervention , intervention , intervention , intervention , intervention , intervention , intervention , intervention , intervention , intervention , intervention , intervention , intervention , intervention , intervention , intervention , intervention , intervention , intervention , intervention , intervention , intervention , intervention , intervention , intervention , -1.67330082332417 , -1.34816996204938 , 0.685274354989806 , -1.79278146337446 , -1.44353246054336 , 0.527259344595397 , 1.85121548422602 , 0.261518722001241 , -0.539548435557802 , 0.48615166950119 , -0.29416384922628 , 0.161520737050015 , -0.729260995011126 , -0.258364404194804 , 0.203336026919861 , -0.6310683807421 , -0.661292951399154 , -0.503441531151974 , 1.4912489555853 , 1.30136161586602 , 0.218793024779949 , 1.16497249616972 , 1.5041202872598 , 1.04578057165527 , -0.414696883284115 , -1.78634152017476 , 0.802937940516179 , 0.097700240031618 , 0.286717679527784 , 0.587431294037521 , -0.223069774340822 , 0.969283235786341 , -0.115262033434428 , -1.07106608979341 , -0.140569821126161 , -1.02230177816224 , -2.11625351609632 , 1.43864299210075 , 0.667016714576908 , -0.404824858834281 , -0.197433134774637 , -1.92744111506384 , 0.414363976314111 , -0.111099311431347 , 2.01178441705029 , 1.23660770630048 , -0.327761818221105 , -0.0307424076752768, 0.299296888017314 , -0.302245622354188 , 0.143436777434763 , -0.280261951131441 , 0.140597207403393 , 1.00489294587478 , 0.132913416510237 , -1.28718284474075 , -0.310332665240919 , 0.877113779376534 , 2.89155056948173 , 1.58010386766822 , 1.50712872938715 , 1.64237292462798 , 0.637713662856825 , 1.34350823866607 , 2.12176259557605 , 1.26885606192277 , 0.564773001903902 , 1.093777114892 , -0.0888802791175013, -0.568649154341482 , 0.27469203300368 , -0.169687470149021 , 2.3917372169026 , -0.843977883071528 , -0.486654078909694 , 1.26905323829616 , 1.67088554499446 , -0.443900352221787 , 0.288347965550248 , -0.25719335568309 , 1.56725209436575 , 0.460615964673241 , 1.28964899816662 , 1.54617604161821 , -1.55274464071526 , -0.760935645765717 , 0.184386501165684 , -0.264332326413619 , 0.609501102983372 , -0.331785093900629 , 1.27754303568571 , 1.01575854744948 , 1.17506950979568 , 0.6244604244898 , 1.30469178735272 , -2.31180960135532 , 0.642349978427906 , -1.47469185467132 , -0.363300295579991 , -0.57099975782696 | 0.0327353 |
| 26 | 20 | 0.0 | 0 | 1 | control , control , control , control , control , control , control , control , control , control , control , control , control , control , control , control , control , control , control , control , intervention , intervention , intervention , intervention , intervention , intervention , intervention , intervention , intervention , intervention , intervention , intervention , intervention , intervention , intervention , intervention , intervention , intervention , intervention , intervention , -0.913684901380976, 1.71432636889212 , 0.879781085517846 , 1.17164004569887 , -0.227072635451084, -1.17979767025307 , 0.940339669354717 , -1.61949192748519 , -0.121784187580724, -0.153525139641741, 0.332497758818865 , -1.22150114908379 , 1.25000399926431 , -1.62117588407796 , 0.825812220801858 , -1.25806181503285 , 0.880563964873444 , -0.121304023882947, -0.501159757869578, 1.31375427432837 , 0.406148739906789 , 0.194385502780093 , -0.730307361269508, -0.879084729646746, -1.94307800829189 , 0.399261640574831 , 0.141378166829811 , 0.764731975639215 , 0.491754202025215 , -0.619980631673155, -1.47183660788722 , 0.330654205733157 , -0.180159266919594, -0.36144853252925 , -0.216551611995601, -0.24866415372771 , -0.748082249740773, 0.639208690406727 , 1.26666360323677 , -3.09979678272096 | 0.3509554 |
| 26 | 20 | 0.5 | 0 | 1 | control , control , control , control , control , control , control , control , control , control , control , control , control , control , control , control , control , control , control , control , intervention , intervention , intervention , intervention , intervention , intervention , intervention , intervention , intervention , intervention , intervention , intervention , intervention , intervention , intervention , intervention , intervention , intervention , intervention , intervention , -1.51441780146228 , -0.779208836908887 , -0.250026031192138 , -1.16845465091918 , -0.488754505263434 , -0.749712343569253 , 0.500485716663179 , -0.137164225929123 , 3.04862505014227 , -0.0154263613189789 , -0.842364340470982 , 0.894034057761651 , -1.48229077153501 , 1.92389935677948 , -0.365746391531529 , -1.03805482696927 , -0.121280376184967 , 0.238630716098982 , -0.173856414766489 , -0.546468526805764 , 1.32866855319744 , -0.829523658525912 , 0.791640253187498 , -0.00629301109660119, -0.799310360576935 , 0.667002418114911 , 0.87401425858855 , 1.97056539533432 , 0.62887714912823 , 1.71019082970129 , -0.36082598783829 , -2.5485567520984 , 1.12716871403469 , 1.10377967487197 , 0.48247130489902 , -1.35897890315399 , 1.47424350971513 , 0.469645735816806 , 1.23950695079382 , 1.69396932140839 | 0.0835169 |
| 26 | 50 | 0.0 | 0 | 1 | control , control , control , control , control , control , control , control , control , control , control , control , control , control , control , control , control , control , control , control , control , control , control , control , control , control , control , control , control , control , control , control , control , control , control , control , control , control , control , control , control , control , control , control , control , control , control , control , control , control , intervention , intervention , intervention , intervention , intervention , intervention , intervention , intervention , intervention , intervention , intervention , intervention , intervention , intervention , intervention , intervention , intervention , intervention , intervention , intervention , intervention , intervention , intervention , intervention , intervention , intervention , intervention , intervention , intervention , intervention , intervention , intervention , intervention , intervention , intervention , intervention , intervention , intervention , intervention , intervention , intervention , intervention , intervention , intervention , intervention , intervention , intervention , intervention , intervention , intervention , -2.32591835012827 , 0.397111993663507 , 0.8259603397086 , -0.19027545705597 , 0.510250602888034 , 0.24843160855236 , 0.44661854814636 , -0.603623942824314 , -0.531251856881157 , -1.35985507383222 , -0.519782344205668 , 0.755468053073771 , -0.100913689817028 , 1.26568146884925 , -1.37465283395955 , -1.76042981565761 , 0.513518550793655 , 0.68626411335174 , 1.72147409833574 , -0.848208391642979 , 2.24938318628197 , -1.15512244788838 , 0.526646335484341 , -1.01566759868913 , 1.39035192689622 , -0.850252877205263 , 0.547950078103539 , 0.114941287385844 , -0.628453406251338 , 0.844073800250288 , 0.107191041561387 , 0.9843435122801 , -0.101103354907197 , -1.36440870525604 , -0.78846299920112 , 1.14845789646281 , 1.5504759412912 , -0.481272324017365 , -0.157556820058223 , 0.10843566738911 , -0.0335042185323999, -1.8195656616085 , -0.202802673109364 , -0.265920486543743 , 1.21280766690001 , -0.485616764249376 , 0.179570435472524 , -2.00976183017881 , 1.62602435465414 , 0.557469809164202 , -0.968976417671775 , -0.295095904579235 , -0.260860940578353 , 0.198341974611212 , 1.37417560722392 , -1.13126385768612 , 0.131704298419309 , 0.56693261809889 , -2.47361995422035 , 0.652723621522552 , 1.40710553266794 , 0.367881651350715 , 0.314388155832637 , -0.293232430132848 , 0.240120153559113 , 1.82021819097847 , -1.14398332805275 , 0.36589502150535 , -1.63651852236405 , 0.209211320741078 , 1.31218851418519 , 0.812222969130813 , -1.40835565525186 , 1.50936892149676 , 1.31021350361148 , 0.38482953191711 , -0.932035042053569 , -0.344868855196456 , -1.38916103862069 , -0.472930324915413 , 0.769684057995644 , 0.926463266565704 , 0.47480567151836 , 0.747384144465751 , 1.73080570835552 , 1.57130575699436 , 1.05054633038954 , 0.694060720326922 , 1.24954748187928 , -0.148819356979176 , 0.810812909867191 , 0.776380312820311 , -0.691934618771133 , 0.207912173403105 , 0.648864451030687 , -2.01368379232897 , -0.386478597476545 , -1.46002852401815 , 1.80902238169932 , 0.468175105459692 | 0.3434307 |
| 26 | 50 | 0.5 | 0 | 1 | control , control , control , control , control , control , control , control , control , control , control , control , control , control , control , control , control , control , control , control , control , control , control , control , control , control , control , control , control , control , control , control , control , control , control , control , control , control , control , control , control , control , control , control , control , control , control , control , control , control , intervention , intervention , intervention , intervention , intervention , intervention , intervention , intervention , intervention , intervention , intervention , intervention , intervention , intervention , intervention , intervention , intervention , intervention , intervention , intervention , intervention , intervention , intervention , intervention , intervention , intervention , intervention , intervention , intervention , intervention , intervention , intervention , intervention , intervention , intervention , intervention , intervention , intervention , intervention , intervention , intervention , intervention , intervention , intervention , intervention , intervention , intervention , intervention , intervention , intervention , 2.96543352479017 , 0.0813942371824635 , -0.190725290580248 , -1.48899677575248 , 0.804973631710669 , -0.310975843230405 , -0.423040094123031 , 0.285083782708282 , -0.582039797871475 , -2.17413256905445 , 0.244068111756935 , 1.55414904975285 , 1.40121714592619 , 0.121253472248202 , 0.332170089710356 , -0.401309710966401 , 0.242526908825129 , 0.532132162754833 , -0.0895819595574066, 1.60476937261018 , -0.344925327787801 , 0.128279850258764 , 0.961614797915395 , -2.26164367769714 , -0.210675065003571 , -0.172478210537992 , 0.988990903505766 , -0.804648680551797 , -0.326401631813357 , -0.780363171572187 , 0.0173750895436471 , 1.53659275026521 , -1.13786213956701 , -0.197134311870766 , 1.76084544065584 , -0.426031605946689 , -1.38675384969192 , 0.442398762994156 , -0.254131414689452 , -0.956067695516721 , 1.27814974343534 , 0.622329305518515 , 1.30374063142588 , -0.143971898700058 , 0.32301908365509 , 1.54391118328093 , -0.558129017264107 , 0.670850703235532 , -0.445435321972315 , 0.589800448475553 , 0.988871090715591 , 0.209748092679765 , 1.39401992873866 , 1.61434422873206 , 0.877337985299083 , 1.22362773851021 , -0.354622048785712 , 0.712066520925457 , -0.355000621868979 , 0.427436466037883 , -0.636056563071761 , 0.639207316842442 , 0.0774786168637446 , -0.865812336522286 , 0.914873761871799 , -0.89493649480633 , -1.08802854289881 , 0.710119659312208 , -1.62250784812898 , 0.694529473126698 , 1.66049524097379 , 1.32436685501138 , 1.19085347067157 , -1.32894142955733 , 1.3838990643834 , 0.53992971325003 , 0.512970198861134 , 1.94409221198281 , -0.472726058057447 , 0.120652244581344 , 1.55807496765694 , 0.107105360207485 , 1.83932553354985 , 0.435702964692313 , 0.183239924321039 , 1.27152641080957 , 0.6525904563155 , 0.428535884284072 , 0.690911705694202 , -0.974930442703719 , -0.277544854543717 , 0.5320231009985 , 0.795014731848501 , 1.3193108605741 , -0.958268465321528 , 2.26732150460172 , 1.7048208670165 , 0.264178603925121 , -2.21489879358449 , 1.11283358216957 | 0.1141383 |
| 27 | 20 | 0.0 | 0 | 1 | control , control , control , control , control , control , control , control , control , control , control , control , control , control , control , control , control , control , control , control , intervention , intervention , intervention , intervention , intervention , intervention , intervention , intervention , intervention , intervention , intervention , intervention , intervention , intervention , intervention , intervention , intervention , intervention , intervention , intervention , -1.31417732245588 , -0.0738747714531479, -0.344351415896663 , 0.968084816012075 , 0.289170323409209 , -1.20563650554326 , -0.210723143280974 , 0.200152849981185 , 2.72601788298954 , 1.07118641254685 , 1.08584630343215 , 0.358541787316304 , 0.165075874623376 , 1.05026930831107 , 0.0887350169039215 , -0.166153412291754 , 0.128179969612066 , 1.8717199434502 , 0.896948038004935 , 0.875180779787553 , 1.0273730344244 , 0.585917591825876 , -0.257070448205499 , -0.689234587497759 , -1.02305755225731 , 0.308834979821939 , 0.580578334594731 , 1.3897689228109 , 0.0923434468447571 , -0.515598323529368 , 0.67664379665859 , 1.12484569897115 , -1.2882039641312 , 0.322133540154954 , -1.29455893182214 , 0.981101972012355 , -0.416228502790485 , -1.64109219794734 , -0.592054911312898 , -0.672687982340038 | 0.1024043 |
| 27 | 20 | 0.5 | 0 | 1 | control , control , control , control , control , control , control , control , control , control , control , control , control , control , control , control , control , control , control , control , intervention , intervention , intervention , intervention , intervention , intervention , intervention , intervention , intervention , intervention , intervention , intervention , intervention , intervention , intervention , intervention , intervention , intervention , intervention , intervention , 0.49429141178764 , -0.498744844645407 , 0.709140788761444 , -1.36559253404547 , -1.75013559825641 , 1.94734616520422 , 0.613769670435051 , -0.60651465076965 , -0.43632066398053 , 1.69373629201528 , 1.57298652132614 , -1.16246882140842 , 0.298351735928507 , 1.10800998895936 , 0.0190313033012693 , -0.0566150599106511, 0.600288758660007 , 1.53309661928634 , 1.50291183601585 , -0.309982845256953 , 0.61525702907963 , 0.69722071355379 , 0.404546492542628 , 1.79758845029515 , 1.10694349986315 , 0.509738063112698 , -0.383376811384954 , 1.52589692888223 , 0.657221291386923 , -0.464253733115622 , 0.308049746788919 , 2.14790697287016 , 1.72513332467511 , -0.352477189681641 , -0.516957209349942 , 1.02219119495692 , 0.681148865014495 , 0.986545191928488 , 1.45290322006555 , -2.30829478829392 | 0.3967593 |
| 27 | 50 | 0.0 | 0 | 1 | control , control , control , control , control , control , control , control , control , control , control , control , control , control , control , control , control , control , control , control , control , control , control , control , control , control , control , control , control , control , control , control , control , control , control , control , control , control , control , control , control , control , control , control , control , control , control , control , control , control , intervention , intervention , intervention , intervention , intervention , intervention , intervention , intervention , intervention , intervention , intervention , intervention , intervention , intervention , intervention , intervention , intervention , intervention , intervention , intervention , intervention , intervention , intervention , intervention , intervention , intervention , intervention , intervention , intervention , intervention , intervention , intervention , intervention , intervention , intervention , intervention , intervention , intervention , intervention , intervention , intervention , intervention , intervention , intervention , intervention , intervention , intervention , intervention , intervention , intervention , -0.103070843745497 , 0.151498419199455 , 0.656377644124057 , 0.658101868501075 , 1.84686813902744 , -0.43568680215003 , 1.15138210561673 , 0.189320854871678 , 0.363084912195727 , 0.994094792014508 , 0.246304228446337 , 0.0187600343597348 , -1.24100058993119 , -0.526702095811522 , -1.26171772073404 , 0.159602167437832 , -0.0894866664080305, 0.73769920523527 , -1.29413029534271 , -1.5479916557519 , -2.48573471422831 , 0.391059614248544 , -0.457812223196841 , -0.380921002054601 , 0.997512174049381 , 0.863103470467566 , -1.04446927182413 , 1.14490553102108 , -2.31703772221892 , 0.307445879820918 , 0.722307839707229 , -0.359337309929946 , -1.19554183586228 , 0.346395164152342 , -0.197522933016036 , -2.10707470580238 , 0.249585989659771 , 0.771988390233192 , -0.209908704355798 , -0.5771563636633 , -0.0595344955909068, 0.416371779149647 , -0.908093549708475 , 0.925113153194266 , 0.995108931118277 , 1.44617439235316 , 0.993447336225071 , 0.532350818769801 , 0.138302635387255 , 1.49601578374715 , -1.05751741038849 , -0.139119161262757 , 0.599111060030726 , 1.43390954238161 , 0.135162739127165 , 0.471492494203066 , -0.865787347112038 , 0.575924318648344 , 0.663992838947312 , -0.46225549423579 , 0.146879029647283 , -1.05403533323921 , -0.270115308737804 , 1.24979445397716 , -0.720102653962246 , 0.99404833451156 , -0.709724556644872 , -0.299558466343911 , -0.414827837387663 , -0.089743112185396 , 0.559156305153524 , -1.88046492079664 , -1.13713985241142 , -0.927511868288037 , 0.0753058894609874 , 0.519151190864126 , 1.08129971716608 , 2.22346853031174 , 0.431581166665265 , -2.62320192097737 , 0.627983043497159 , 2.06023841275469 , -1.1058315331499 , -0.658481028294986 , 0.0665847409917633 , -1.03547451921446 , 0.640492892480835 , 0.849204068410891 , 0.494940845729973 , 1.31021215347203 , 0.243345565436444 , -1.61162148934564 , -0.687716920066824 , 0.290970307079186 , 1.26607604166991 , 0.836489013813288 , -0.305056356279918 , -1.29948400315574 , 0.731449460674434 , 0.0635733327019101 | 0.9857801 |
| 27 | 50 | 0.5 | 0 | 1 | control , control , control , control , control , control , control , control , control , control , control , control , control , control , control , control , control , control , control , control , control , control , control , control , control , control , control , control , control , control , control , control , control , control , control , control , control , control , control , control , control , control , control , control , control , control , control , control , control , control , intervention , intervention , intervention , intervention , intervention , intervention , intervention , intervention , intervention , intervention , intervention , intervention , intervention , intervention , intervention , intervention , intervention , intervention , intervention , intervention , intervention , intervention , intervention , intervention , intervention , intervention , intervention , intervention , intervention , intervention , intervention , intervention , intervention , intervention , intervention , intervention , intervention , intervention , intervention , intervention , intervention , intervention , intervention , intervention , intervention , intervention , intervention , intervention , intervention , intervention , -0.19780494609796 , -1.23109329154033 , 1.13682480674498 , 0.287649166424168 , 0.40762706545549 , 1.74189033015302 , 1.96414537357208 , -0.343384982475703 , 0.104084506547519 , -0.346223154274254 , 2.24198651084035 , 1.14622677341121 , 1.16611132938508 , -2.27807644839147 , -0.0396534328721162, -1.07384115370406 , -1.26266873941241 , 0.0655456496484563 , -0.0293897245622241, 1.7155283013009 , -0.38124396412913 , 1.19559130295502 , 0.380974635535961 , 1.00256064754395 , -1.95470042262577 , 0.373544643909177 , 0.449994149821924 , 0.0886646768577125 , 1.62700903067687 , 0.518834048059494 , -1.2120989829561 , 0.785557800289056 , -2.15791496210661 , -0.980060045691283 , -1.01288630881043 , -0.871259669402375 , 0.395582482756083 , -2.58070992603463 , 0.247648898658129 , 1.90093399120777 , -0.570217258709746 , 0.926734191763502 , 0.252046357232384 , -0.343910358548672 , -0.631337148456488 , -0.203311634053345 , 0.186268349716683 , -1.43108134609634 , -1.35921739251788 , -1.00768332852735 , 0.726661075303841 , -1.63703107940791 , -0.89512493893971 , -0.536721817996346 , 0.0535995637131971 , 0.184147414750175 , -1.20181244922111 , 1.86998026093654 , -0.364957604261449 , 0.340601617309167 , 1.41453987336778 , 0.122055886540679 , -0.529129408578174 , 0.280797886098826 , 1.14560714597043 , 1.23915350632892 , -0.147496865091163 , 0.886307836998951 , 0.103283601478113 , 0.591074744229228 , 2.20442303894005 , -0.305393772927559 , 0.648641920446108 , 0.644999770251799 , 0.168557601094731 , 2.04371406036723 , -0.275902486699156 , 0.953155064732572 , 0.587469811405711 , -2.00355518810337 , 1.04986308888021 , 0.995705528601591 , 0.417000156602794 , 0.645675173195691 , -1.22383897554794 , 0.854748171224731 , 2.18161938622576 , 0.697057307945002 , 1.19315295854251 , 1.57741806313326 , 1.78977142030636 , 0.373208900532126 , 1.15423129024501 , 0.370669726651384 , 0.770835542473946 , 0.076485935529535 , 0.806990635439051 , 1.83266982775044 , -1.05331395628642 , 0.63666414867609 | 0.0223999 |
| 28 | 20 | 0.0 | 0 | 1 | control , control , control , control , control , control , control , control , control , control , control , control , control , control , control , control , control , control , control , control , intervention , intervention , intervention , intervention , intervention , intervention , intervention , intervention , intervention , intervention , intervention , intervention , intervention , intervention , intervention , intervention , intervention , intervention , intervention , intervention , -0.200697417409921 , 0.887892435772585 , -0.372209867822698 , 1.12060092755644 , -0.307840489402699 , 1.37623071877661 , -0.335884107472461 , 0.858854793185897 , 1.45727019260464 , -2.61926468115094 , -0.4013780435439 , -0.16933339880179 , -0.24443799534279 , -1.05109142695919 , -0.5361271208013 , 1.86763915328348 , 0.378020478809781 , 0.979333343023273 , -0.0357095359090321, -0.525761257042923 , 1.59018085502928 , -0.0712395635787652, 0.142455937453185 , -0.212213786151387 , 1.17610043122426 , -0.84739441340707 , -0.407462271673788 , -0.644880396087797 , 0.737293574297503 , -0.219400131275446 , 1.07001293163356 , -0.259159898170769 , -0.0616374334195125, 0.14059342573044 , 1.39582710455555 , -1.74277022759359 , 1.51355938304881 , -0.928242064659014 , -0.787844908193463 , -0.238883013583007 | 0.8999124 |
| 28 | 20 | 0.5 | 0 | 1 | control , control , control , control , control , control , control , control , control , control , control , control , control , control , control , control , control , control , control , control , intervention , intervention , intervention , intervention , intervention , intervention , intervention , intervention , intervention , intervention , intervention , intervention , intervention , intervention , intervention , intervention , intervention , intervention , intervention , intervention , 0.160428769282456 , 1.60558149310212 , -0.72138774140903 , -0.147523360222645 , -0.417191621679693 , -0.0523872573377294, -0.0088042762218566, -0.850626788099093 , 1.10069403734865 , 0.842421228154146 , -0.696230526060311 , -1.10474750319086 , -0.446975719544613 , 0.494410165790206 , 0.280252201938689 , 1.34560322037663 , 0.07341225812566 , 1.31400024324958 , 1.27946145289059 , -0.460540864788261 , 1.99134302781558 , -0.818309739481466 , 0.669841812999827 , 1.26951568950133 , 0.918518724719477 , 0.693958123429437 , 0.51621585223512 , 0.428520510056245 , -0.154248239747956 , -0.324980640131978 , 0.764144692335232 , -0.100852151773676 , 0.527440500963364 , -0.0917863667178994, -1.42741371346439 , -0.353445545021685 , 0.979582619659825 , 0.993186518644279 , -0.0443980345036739, 2.19837299613473 | 0.3554909 |
| 28 | 50 | 0.0 | 0 | 1 | control , control , control , control , control , control , control , control , control , control , control , control , control , control , control , control , control , control , control , control , control , control , control , control , control , control , control , control , control , control , control , control , control , control , control , control , control , control , control , control , control , control , control , control , control , control , control , control , control , control , intervention , intervention , intervention , intervention , intervention , intervention , intervention , intervention , intervention , intervention , intervention , intervention , intervention , intervention , intervention , intervention , intervention , intervention , intervention , intervention , intervention , intervention , intervention , intervention , intervention , intervention , intervention , intervention , intervention , intervention , intervention , intervention , intervention , intervention , intervention , intervention , intervention , intervention , intervention , intervention , intervention , intervention , intervention , intervention , intervention , intervention , intervention , intervention , intervention , intervention , 0.440097515339946 , -0.626562137983632 , 0.749395347068632 , 0.534987978023593 , 1.32163189365682 , 2.04847507490197 , -0.160849758956311 , -1.30754259851942 , -0.292518773569746 , -0.0619112266283346 , 0.555839950199662 , -0.298628363233529 , -0.745839600730319 , -0.311430964337707 , -1.26812953108352 , -0.469195499533174 , -1.21412976841062 , 0.406390544424458 , -0.28051008421999 , 0.72809807856823 , 0.623984620346378 , -0.020498869188961 , 0.714401507789748 , -1.89831911640058 , 0.695059321545231 , 1.57730800634964 , -0.942898041833695 , 1.30890726474636 , 0.104706016492703 , -0.350702276978749 , -0.00586497495267778, -1.45715341369472 , -0.939597270343058 , 1.57010632750323 , 0.0367795226875052 , -0.491922864589175 , -0.505038388200903 , -0.359238346342413 , 0.874824461053026 , -0.582757265486967 , -0.2129053182568 , 0.127025333232875 , -0.574098538184412 , 1.15957950331737 , 1.30869469809035 , -0.027275803292572 , -0.452460463376815 , 0.263958406914018 , 0.228870250635408 , -0.00139656539358981, 0.930662728025687 , -0.18784909129735 , 1.05502202099834 , -0.20214704479754 , 1.11485897337486 , -0.994852899705198 , -2.02464246412618 , -0.215175729647781 , -1.4021705261432 , 0.341301140475707 , -1.19409024602773 , -0.54525645307272 , 0.81491677741659 , 0.0409301638232351 , 0.847715480607759 , 2.81313507040444 , 0.288709333561632 , 1.19408208627322 , 0.810313143843982 , 0.886849437639333 , -1.82915425339385 , 1.11837278314859 , -0.349905874373499 , -0.736342818570482 , -0.756591760156449 , -0.385132894456704 , -0.212445682099114 , 0.218978079150558 , -1.21987158767397 , 0.370726614307423 , 0.360274392017117 , 0.55210735789531 , -0.381268356517258 , 0.881655961502574 , 0.143376435762354 , 0.541052010096344 , -2.00249070406343 , -0.755380703529078 , 2.25225765710858 , -0.861137986839178 , -0.942307824070709 , 0.0590967448909255 , 1.53134102342873 , 0.966969364519273 , 0.444743061320064 , 0.791887539305339 , 0.368853008727862 , 0.0502273105537872 , -0.236166518255389 , -0.928635959956714 | 0.8386383 |
| 28 | 50 | 0.5 | 0 | 1 | control , control , control , control , control , control , control , control , control , control , control , control , control , control , control , control , control , control , control , control , control , control , control , control , control , control , control , control , control , control , control , control , control , control , control , control , control , control , control , control , control , control , control , control , control , control , control , control , control , control , intervention , intervention , intervention , intervention , intervention , intervention , intervention , intervention , intervention , intervention , intervention , intervention , intervention , intervention , intervention , intervention , intervention , intervention , intervention , intervention , intervention , intervention , intervention , intervention , intervention , intervention , intervention , intervention , intervention , intervention , intervention , intervention , intervention , intervention , intervention , intervention , intervention , intervention , intervention , intervention , intervention , intervention , intervention , intervention , intervention , intervention , intervention , intervention , intervention , intervention , -0.0748299410236519 , -1.0091765146066 , -1.75713390278387 , 0.0756059289398839 , 0.26054333618716 , -0.414376574824568 , -0.748874836413899 , -0.694794767669436 , -1.44957893612012 , 1.20883959016867 , -0.810219669825467 , -1.9053282425632 , 0.771043812744537 , -0.974420377345202 , 0.502870538337799 , 2.04840177146027 , -1.35229517680128 , -0.978862038172417 , 1.17996609971169 , -1.47295785795478 , -0.676725781402169 , -0.763229377046201 , -1.373788563759 , 0.734300714692542 , 1.49953660577613 , -0.333549117367911 , 2.07987547053962 , 1.060430317041 , -0.388406613119771 , 0.761425998379748 , -0.0719534211894413 , -0.0877767060539242 , 0.250422852241017 , 0.388969245780212 , -0.812454572300481 , -1.28717112283083 , 1.19094980623523 , -1.20832386816263 , -0.355058334426377 , -0.607256284163839 , -0.0202198919316047 , 0.890944108234758 , -0.976758965864205 , 0.0149833892023967 , 0.420832256346649 , 0.790854363892705 , 0.678894809267271 , -0.0642293697084299 , 0.312247319831856 , -0.385248217417008 , -0.55482808983695 , -0.726206229873988 , -0.310888638053338 , 0.0279630104156923 , 2.0570070953614 , 0.534512171644211 , 0.430845757579015 , -0.256697287454248 , 1.77164340175134 , -0.124111462884907 , 1.52425041189791 , -0.00277638709255879, -1.76792301115091 , 0.718461956999673 , 0.370639088397807 , 0.729275117814969 , 0.42161904926826 , 1.23982606257598 , 0.907765116782081 , 1.48430593958778 , 0.43010052374115 , 1.61780774951091 , -1.1240916615743 , -0.136337261622916 , 1.26259462917808 , 0.655562925967846 , -0.362863233696102 , -1.04549883139566 , 1.22080341770432 , 2.39685388599422 , -0.237480032692653 , -0.378091273809515 , 0.477878848353348 , 0.046047124319537 , 1.30070778286415 , 1.09802280867782 , 0.894061399106304 , 1.40956931203611 , 1.16398536790446 , 1.84352673487734 , 1.99488034330995 , -1.26107074494608 , -0.0563552951448208 , -0.702288969359236 , -0.931657373133715 , 1.0874320391431 , 2.1746127360827 , 1.2543879576119 , 1.41994542220002 , -0.455729997373757 | 0.0019114 |
| 29 | 20 | 0.0 | 0 | 1 | control , control , control , control , control , control , control , control , control , control , control , control , control , control , control , control , control , control , control , control , intervention , intervention , intervention , intervention , intervention , intervention , intervention , intervention , intervention , intervention , intervention , intervention , intervention , intervention , intervention , intervention , intervention , intervention , intervention , intervention , -0.754937411899442 , 0.179028740106097 , -0.250640259408127 , 0.258062637026929 , 0.102445457355831 , -0.279017776530623 , -0.86676752091603 , -0.770921975815581 , 0.280993674757224 , 0.2458080718949 , 1.54690312998248 , 1.26971706811642 , -0.831263526090177 , -1.32696450488999 , -0.909001274023957 , -0.459871288884127 , 1.4729684378409 , -1.10998837521328 , -0.0297474854091367, -0.914660976690139 , 1.11898485908284 , 0.129057661908205 , 0.352769817075136 , 1.81664848563352 , -0.353957823979401 , 0.878376992471723 , -0.744439818496245 , -0.539693070130647 , -0.678561545338503 , -0.515668352947144 , 0.227332989695209 , 0.820685558689096 , 0.023454688165613 , -0.369829702654593 , -0.768410567196289 , 0.464939481049539 , -0.793486933840102 , -0.561253783019908 , -0.39903839833898 , -1.04223796017591 | 0.6655259 |
| 29 | 20 | 0.5 | 0 | 1 | control , control , control , control , control , control , control , control , control , control , control , control , control , control , control , control , control , control , control , control , intervention , intervention , intervention , intervention , intervention , intervention , intervention , intervention , intervention , intervention , intervention , intervention , intervention , intervention , intervention , intervention , intervention , intervention , intervention , intervention , 1.35926027853792 , -0.452392307659607 , 3.5078600583375 , -1.13889098194232 , -0.876710999241433 , -0.439687611899527 , 1.12771766446066 , -0.706955276552511 , 1.52376580836814 , -1.38671637197021 , -2.12240588132538 , 0.902499439600474 , 1.08866809742419 , 1.08980233334484 , -0.600000942336169 , -0.849706090201643 , 0.851755594692369 , 1.3927854314176 , -1.47957626821346 , 0.997042541206332 , 0.327606355159024 , 0.683399255013064 , 0.158131951860366 , -0.022144222943922 , 0.438133454221428 , 1.94204215328183 , 1.26376855879233 , 0.585892563598078 , -0.289077228065052 , 1.12583648545026 , 0.795568279781652 , 0.663774953331632 , -1.71807642468939 , -1.05761984818685 , -0.0451176992223629, -0.254070927525306 , 0.158915577200185 , 1.31064575752011 , -0.119488860036147 , 1.79347086431069 | 0.5947155 |
| 29 | 50 | 0.0 | 0 | 1 | control , control , control , control , control , control , control , control , control , control , control , control , control , control , control , control , control , control , control , control , control , control , control , control , control , control , control , control , control , control , control , control , control , control , control , control , control , control , control , control , control , control , control , control , control , control , control , control , control , control , intervention , intervention , intervention , intervention , intervention , intervention , intervention , intervention , intervention , intervention , intervention , intervention , intervention , intervention , intervention , intervention , intervention , intervention , intervention , intervention , intervention , intervention , intervention , intervention , intervention , intervention , intervention , intervention , intervention , intervention , intervention , intervention , intervention , intervention , intervention , intervention , intervention , intervention , intervention , intervention , intervention , intervention , intervention , intervention , intervention , intervention , intervention , intervention , intervention , intervention , 0.297460550324157 , -2.01069509808773 , -0.242840747463325 , -1.77042936666099 , 0.296144542805373 , 0.905642850549087 , 1.59682271718153 , -1.38423019825033 , 0.282301016114482 , 0.87870031770671 , 1.05446582345971 , -0.177330131926744 , 0.095527462979485 , -1.05555904607654 , 0.126550166752309 , 1.04148372138558 , -0.176825494838787 , -0.413991714443165 , 0.468738617259768 , 0.896739497250163 , 0.69815005555861 , 0.598524928731759 , -1.11769203613971 , 1.9091519039799 , -0.533818055610379 , 0.0249207831247643 , -1.15115757919587 , 1.13088262503387 , -1.10423098926081 , -0.142841965708438 , 1.12661718249796 , -0.522628495412151 , 1.32142321630362 , -2.92697703812076 , -1.33729043770658 , -1.02663545395184 , -1.48509141807205 , 0.73977327845232 , 0.30252712149846 , -1.53423672522944 , 0.015858678702213 , -0.673553688261601 , -0.766743701916937 , -0.380622623624348 , -0.828472535759433 , 0.510832726083807 , -0.551374950091068 , -0.925513777614694 , 0.0907183967969411 , 1.22130701894906 , -0.334095921236484 , 0.615795024397977 , 1.03039398456071 , -0.0292932585954748, -0.647628422059779 , -0.507296607786885 , 0.367990199082457 , 0.976156332792713 , -0.126669982120585 , -1.90819818081989 , 0.749507724582141 , 0.978307061620798 , 0.740920771656373 , 2.21751551559281 , 0.644987830280554 , -0.454883564980918 , -0.190640082513857 , 0.936664835701013 , 0.00433177760468904, 0.551997610532741 , -0.215917168358349 , 0.404606461936386 , -1.29457645692268 , -0.830307820427973 , 1.07858474824084 , -0.0572060529889476, -2.37846961500263 , -1.43527214373908 , -0.796285489960199 , 1.13089486633394 , -1.20849401752128 , -1.29092133221352 , -0.71661864399232 , 0.0131962597793129 , -1.84978777929003 , -0.153525017401119 , 0.671464797012212 , 1.09592291415893 , -0.902315368725852 , 1.19132053986571 , 0.740553642983303 , -0.49887861944293 , 0.607975368821792 , -1.2216850636429 , -0.24217027351845 , -0.314968598843101 , -0.97313197825498 , -0.174924798491072 , -2.15453978345602 , 2.00216887382726 | 0.8124230 |
| 29 | 50 | 0.5 | 0 | 1 | control , control , control , control , control , control , control , control , control , control , control , control , control , control , control , control , control , control , control , control , control , control , control , control , control , control , control , control , control , control , control , control , control , control , control , control , control , control , control , control , control , control , control , control , control , control , control , control , control , control , intervention , intervention , intervention , intervention , intervention , intervention , intervention , intervention , intervention , intervention , intervention , intervention , intervention , intervention , intervention , intervention , intervention , intervention , intervention , intervention , intervention , intervention , intervention , intervention , intervention , intervention , intervention , intervention , intervention , intervention , intervention , intervention , intervention , intervention , intervention , intervention , intervention , intervention , intervention , intervention , intervention , intervention , intervention , intervention , intervention , intervention , intervention , intervention , intervention , intervention , 0.36580920975337 , 0.875627314337531 , 0.799080159554938 , -0.221821986384724 , 0.0578035401279026 , -1.15352596416867 , 0.567852372467509 , 0.600592848692618 , 0.601232931827659 , 1.55226438097541 , 0.834430325777984 , 0.55423624336212 , 0.270062209470092 , -0.0577886732422035 , 1.53476660480415 , 1.23355658154215 , 1.18304890120379 , -0.227195773592315 , -0.706291408953637 , 0.0634250940297736 , 0.948106732028903 , 0.158553965267613 , -0.794692078702427 , 1.07974649171208 , 0.484140861705162 , -0.00642313981013339, 0.842997316290622 , 0.0436040521828353 , -0.240383930297936 , 0.317937897216709 , -1.01010122459917 , 0.394642153867556 , 0.128934289917491 , -0.0890091553254843 , 0.501811669368853 , 1.51300454460283 , 1.54992273011666 , -0.202663024921697 , 0.245615459510814 , 1.16514853360729 , -0.0104628290981499 , 0.248145119507142 , 0.158551616279539 , -0.82133241648751 , -0.360398921796176 , 1.40961944802215 , -1.39936972333826 , 0.535823237113489 , 1.93735154143852 , 0.914310960394911 , 0.203177232807716 , -1.06536883995649 , 0.701224023887365 , -0.962629995879893 , 0.770256723082542 , 1.79091705808981 , -1.38089362350079 , 1.58474783521863 , 0.0991668564001777 , -0.218219850749507 , -1.09624237644849 , 0.875435895140086 , 0.721039658809983 , 1.11891426340075 , 0.53584451490435 , 0.940718398563654 , 0.900516653929634 , 2.06503433246123 , 1.91431048413646 , -0.0457001079294623 , 2.39004638772486 , -0.679432058694488 , 0.103679630449242 , 0.298305759721321 , 0.528757796307905 , 1.60382914627363 , 2.31028190551962 , 0.374524977505684 , 0.529700238175211 , -0.321308766214668 , 1.38713272407851 , 0.975251731171705 , 0.0434134555703569 , 0.964689248787399 , 1.27024560366569 , 0.909587598955997 , -0.454846044487915 , -0.466239948286178 , -1.24609453225706 , 0.593427112276943 , 0.397720882517345 , -0.274857743233427 , -0.975254647068729 , 0.845491708630695 , 0.686606517098439 , 1.23370797005566 , 1.10053884203965 , 2.25840904136173 , 0.205644431028925 , -0.801118283526925 | 0.4305710 |
| 30 | 20 | 0.0 | 0 | 1 | control , control , control , control , control , control , control , control , control , control , control , control , control , control , control , control , control , control , control , control , intervention , intervention , intervention , intervention , intervention , intervention , intervention , intervention , intervention , intervention , intervention , intervention , intervention , intervention , intervention , intervention , intervention , intervention , intervention , intervention , -0.00630274442264254, 0.226821979734454 , 0.226023395726999 , -0.798722162056 , 0.180539193955572 , -1.09056404316634 , 0.0632481034026914 , -0.11152998709333 , -0.61639228083795 , 0.237572309693377 , -0.406632784974907 , 0.20775403413709 , 0.381664122352781 , 1.62502305869841 , -0.15497553636992 , -1.12406593622496 , 0.220248818170925 , -0.280428287857722 , -0.405437242414975 , -1.47645556571305 , -0.00781020699575919, 0.80499030115055 , -0.159352585094358 , -1.26772156707077 , -1.25332698893914 , 1.66577336560091 , -1.87208647178898 , 1.76940638248802 , 0.439586684318433 , -2.40528201161137 , -1.11020859571416 , -0.744598758441733 , -0.443402956349142 , 0.317551086958774 , 0.127920081481932 , -1.36211100038432 , 0.380584662362627 , 0.39278155486671 , -0.285622267990473 , -0.659287281072021 | 0.6558602 |
| 30 | 20 | 0.5 | 0 | 1 | control , control , control , control , control , control , control , control , control , control , control , control , control , control , control , control , control , control , control , control , intervention , intervention , intervention , intervention , intervention , intervention , intervention , intervention , intervention , intervention , intervention , intervention , intervention , intervention , intervention , intervention , intervention , intervention , intervention , intervention , -0.0812130171431905, -1.08286093722946 , -1.12075896502378 , 0.566306988062044 , -0.834228066576662 , 1.2144117398061 , -0.289980499584137 , -0.230202415761582 , -1.23789108506932 , -2.00910183320486 , 0.724461155218101 , -0.800870973258419 , -0.318141272314827 , -0.940124249657374 , 0.258770978634357 , -0.377540164069876 , 0.116360752967713 , 0.0803111473043291 , -1.41397856453373 , 0.536972821448935 , 1.22045963534677 , 0.768296720215368 , 1.11484398741591 , 3.11127101382468 , -0.556423766855952 , -0.376377278594355 , 0.672696605437139 , 1.04487608643309 , 0.618788427395944 , 1.9955036732363 , 1.15233587129423 , 2.88378279985166 , -0.664123503689692 , 0.218027499447186 , -1.25051612879313 , -0.39122298761263 , 1.15593506301583 , 1.83917690994708 , 0.965106829663967 , -1.26097341505833 | 0.0022631 |
| 30 | 50 | 0.0 | 0 | 1 | control , control , control , control , control , control , control , control , control , control , control , control , control , control , control , control , control , control , control , control , control , control , control , control , control , control , control , control , control , control , control , control , control , control , control , control , control , control , control , control , control , control , control , control , control , control , control , control , control , control , intervention , intervention , intervention , intervention , intervention , intervention , intervention , intervention , intervention , intervention , intervention , intervention , intervention , intervention , intervention , intervention , intervention , intervention , intervention , intervention , intervention , intervention , intervention , intervention , intervention , intervention , intervention , intervention , intervention , intervention , intervention , intervention , intervention , intervention , intervention , intervention , intervention , intervention , intervention , intervention , intervention , intervention , intervention , intervention , intervention , intervention , intervention , intervention , intervention , intervention , 1.01409241927989 , -1.40958569729348 , 0.444918286433478 , 0.0621544791279843 , -0.426751671022102 , -2.00978067456642 , 0.091917225241063 , 1.18958071942062 , 0.563231841502907 , 0.838622842679623 , 0.824973026128951 , -1.13805622722313 , -1.94476058660216 , -0.0477207440541837 , 0.213677233493771 , -0.801284731562826 , 1.11761502446855 , -0.942451220861822 , -1.98587358372023 , -0.65597521771236 , -1.00186740897627 , 0.725285232408655 , -0.0333720749219752 , -1.22424629711928 , -0.486855106731097 , 0.67029916678976 , -1.01692032308612 , 0.464475996902026 , -0.0396125839986096 , 1.05170784598595 , 0.121438759872536 , -1.99497030054309 , -0.712061758751805 , -0.58167071172582 , -1.83719775130378 , -0.556500143574741 , 1.42758242292649 , -0.0384295625503345 , 1.71128825794886 , -0.663699412754432 , -0.157795369766841 , -0.891889615015078 , 1.12085594957065 , 0.845588829923238 , -1.5801800844822 , 0.0154145781213231 , -0.685986294796332 , -0.463371076702718 , 1.30655252225412 , -0.410970239844168 , -1.22013878217599 , 1.25136065039075 , -0.371703193122182 , 0.018520948466613 , 0.93158372962538 , -0.0921424443761044 , -1.09804142983856 , 0.106720568419579 , -0.823321504515714 , -0.00729356607888987, -0.595818367820969 , 0.67826747351016 , 0.470977313353312 , -0.367199636816017 , 0.95257896637895 , 1.72286306574518 , 2.280442730826 , 2.26445911976801 , -1.08056568510907 , 0.884130169412208 , 0.162169530626255 , 0.493672225138549 , -0.200266002429716 , 0.072877921168725 , -0.666234556545662 , 1.39867335186158 , -1.11300698334884 , 0.133939780263521 , 1.49860079630402 , -0.61012996923372 , 0.724336309242242 , -1.11335217316125 , 0.718692093590212 , 1.34754917251725 , 1.06531453522708 , 0.440745248886632 , 2.68905592347711 , -0.293227793522914 , 1.10736149480567 , 0.38177914335713 , 0.984866228066423 , -0.22463941257091 , 0.129681817096209 , -1.23870120375372 , -0.977718464426146 , -2.23135625330956 , -0.629868108041435 , -0.0649234365639396 , -0.165841486859048 , -1.38706697634465 | 0.0768883 |
| 30 | 50 | 0.5 | 0 | 1 | control , control , control , control , control , control , control , control , control , control , control , control , control , control , control , control , control , control , control , control , control , control , control , control , control , control , control , control , control , control , control , control , control , control , control , control , control , control , control , control , control , control , control , control , control , control , control , control , control , control , intervention , intervention , intervention , intervention , intervention , intervention , intervention , intervention , intervention , intervention , intervention , intervention , intervention , intervention , intervention , intervention , intervention , intervention , intervention , intervention , intervention , intervention , intervention , intervention , intervention , intervention , intervention , intervention , intervention , intervention , intervention , intervention , intervention , intervention , intervention , intervention , intervention , intervention , intervention , intervention , intervention , intervention , intervention , intervention , intervention , intervention , intervention , intervention , intervention , intervention , -0.0929383803449017, 0.0363182324711321 , 1.73803427654655 , 1.12080040678533 , -0.995241907929609 , -0.170554008639422 , 1.42857656819594 , -1.21030359305478 , 0.651082026579407 , 1.78152219247344 , -1.80285869768393 , 0.132382210286375 , 2.12363986507073 , -0.590995025692298 , 1.63740400230268 , -0.172722301809993 , -0.27501616906878 , -1.02430490177989 , 0.983128799507414 , -1.56645093127722 , -1.50924049465127 , 1.29027031582215 , -1.37027738025873 , -1.78550603079357 , -0.588370665987982 , 1.62350969106592 , 0.771610343457244 , 1.35981522832424 , 0.431169969648819 , 0.212922817231165 , -0.998680880899185 , 0.568207080547237 , -1.83127689977844 , 0.674575977503614 , -0.0795969138050282, 0.532579995558736 , -1.74584828503964 , 0.00395415082017106, 0.412575362250202 , 1.20191072229189 , 0.420087599877012 , 1.15982746048601 , 0.584358525152415 , 0.155176847859099 , 0.0178742891343868 , -1.59126529012948 , 1.4265591926965 , 1.72436793900918 , -0.69055068292624 , 0.200979073943896 , -0.324952617795595 , -0.809588674327181 , 1.85801011770059 , -0.011016452875695 , 0.223672269072743 , 1.12729231236204 , 1.47190477765297 , 0.298672178748811 , 0.473386122077392 , 0.623224577987179 , 0.471528831647637 , 0.344290680733804 , 1.5267332924825 , 0.500171327148741 , 0.0454483178453505 , -0.322657139041909 , 0.181082736885086 , 1.63060087477037 , -1.12692695910594 , 1.76770417166671 , 0.332053493013408 , 0.77577706728362 , 0.745660774790452 , 1.40201066118746 , 0.234164051785661 , 0.169276843645952 , 0.479976986072917 , -0.848642624043095 , -0.843685566708068 , 0.332219793778706 , -1.11155687696835 , -1.08104886221074 , 0.205038698654138 , 1.39711602310541 , 0.0938145091572278 , 0.953850013690251 , 0.485614760035249 , -1.95572266801529 , 0.350014310885408 , 1.44742878546946 , 0.403270436642357 , 1.41095675170532 , 0.861520893378885 , 1.17145490631062 , 0.348719107804225 , 0.186869768304764 , 0.446781127973315 , -0.806778010485112 , 0.977720156700943 , 2.9016756520505 | 0.1427464 |
| 31 | 20 | 0.0 | 0 | 1 | control , control , control , control , control , control , control , control , control , control , control , control , control , control , control , control , control , control , control , control , intervention , intervention , intervention , intervention , intervention , intervention , intervention , intervention , intervention , intervention , intervention , intervention , intervention , intervention , intervention , intervention , intervention , intervention , intervention , intervention , -0.218295650745681 , 0.136837963248303 , 0.720146332942872 , -0.144280269651062 , -0.0592473649769675, -0.63805653603818 , -0.471184228726527 , 0.914625665702866 , 0.623101168782461 , 0.969843618863767 , -0.820795159760127 , -0.316129141875671 , 0.705163626115155 , -0.585617020093259 , -0.750510874115593 , -0.788780488896177 , 0.392214301139618 , 0.364404916062565 , 0.236737741309902 , 0.287375057508324 , -0.202333842525915 , -0.486544241636021 , 0.287379809157592 , 0.962232131261616 , 0.672061848445782 , -0.0384226419296478, -1.58772469793906 , 1.53462728593104 , 2.07332548387495 , -2.19513729814656 , -0.189057655493717 , -0.685429662915493 , -0.0535329476553121, 0.308986346763926 , 1.92055959925651 , -2.19822878851916 , -0.633506304504959 , 0.309315379040459 , 1.5436607565091 , -1.49683305229545 | 0.9092459 |
| 31 | 20 | 0.5 | 0 | 1 | control , control , control , control , control , control , control , control , control , control , control , control , control , control , control , control , control , control , control , control , intervention , intervention , intervention , intervention , intervention , intervention , intervention , intervention , intervention , intervention , intervention , intervention , intervention , intervention , intervention , intervention , intervention , intervention , intervention , intervention , -1.17080481443462 , -1.0599711276379 , 0.262615695006909 , -0.284096776409834, -1.13600030422998 , 0.104470541797824 , -0.21272111995278 , -1.71070047862558 , -1.19542747742157 , 2.18248322268528 , 0.557310465041995 , 0.410318754637226 , -1.15066890065527 , -0.551973057486042, -0.484890132395617, 1.5547020212893 , 1.25056325239671 , 1.86632746581873 , -1.28349720323912 , -1.1390763284206 , 1.15894139488454 , 0.423919059113007 , 0.384321985817241 , 0.693273517990678 , 0.829102040764664 , 0.551867739430536 , -0.579485530671271, 1.22518566931093 , 1.06064385406716 , 1.09311846408309 , 0.202904048536503 , -0.523477590220725, 1.77442888624516 , 0.442667649470242 , -0.24911204485072 , 0.0261015584751214, -2.14008506581293 , 0.124503797467776 , 1.99899696333179 , 1.45669971764097 | 0.0556944 |
| 31 | 50 | 0.0 | 0 | 1 | control , control , control , control , control , control , control , control , control , control , control , control , control , control , control , control , control , control , control , control , control , control , control , control , control , control , control , control , control , control , control , control , control , control , control , control , control , control , control , control , control , control , control , control , control , control , control , control , control , control , intervention , intervention , intervention , intervention , intervention , intervention , intervention , intervention , intervention , intervention , intervention , intervention , intervention , intervention , intervention , intervention , intervention , intervention , intervention , intervention , intervention , intervention , intervention , intervention , intervention , intervention , intervention , intervention , intervention , intervention , intervention , intervention , intervention , intervention , intervention , intervention , intervention , intervention , intervention , intervention , intervention , intervention , intervention , intervention , intervention , intervention , intervention , intervention , intervention , intervention , 1.15632780720497 , -1.43928690685964 , 0.12728209490844 , 0.290822013232263 , 0.063632020230726 , -0.344325589029475 , -0.43530701469158 , 0.0780802158777689 , -0.329156206271269 , -1.2463236282221 , 0.182300732897815 , 1.92289538111469 , 0.654225073355713 , 0.280182086854436 , 0.485520117030103 , -0.578884096525763 , 1.44913820393062 , 1.71297607349965 , -0.168649301086849 , -2.16071166097362 , -0.312102751419563 , 1.06186611289332 , 1.21039343882758 , 0.548522620158594 , 1.33350973128927 , -1.16645990840552 , -1.50889146004306 , -0.22775593782897 , 0.191610394005981 , -0.0040850210772061, -2.68169675396303 , -0.14739172241132 , 0.31712172973531 , 1.34362795300785 , 0.159601399327609 , -0.0165905330597014, -0.280588226119204 , -1.48138552871246 , 0.00111628769537244, -1.57227627656114 , -1.30007128358793 , 0.839663420392258 , -0.673818781695177 , 0.958015867548155 , 0.361658424572544 , -1.01614778933864 , -1.66700626407185 , 1.63602418166261 , -1.95211235907585 , 1.29449798320207 , 0.640172733731953 , -1.09249651105534 , -0.0776275689191909, -0.888928071970934 , -0.352464660326201 , 0.960781333247891 , 0.0540403172836138 , 0.548341993025734 , -0.106744876461963 , 0.0812964345213638 , -0.0968841998964586, -1.42375500038229 , 0.149084773136777 , 0.657164282185273 , -1.22277800007833 , -1.20963456597937 , 2.42749066266953 , 0.239111515821746 , 0.435288501833061 , -1.62918964426547 , 1.32969538799953 , -0.709677323754387 , -1.70827433139187 , -0.858021646551659 , 1.56050818767603 , 1.7880166660726 , 0.0893755593063139 , -0.0529707807510314, -1.48633628389214 , 1.66892341336715 , -1.08540902016243 , -0.918185596205486 , 1.25444115997879 , -0.21089319427928 , 0.732292800001409 , -0.437581627013916 , 1.19114863122314 , -0.60727043840387 , -0.568476316318357 , 2.41725040943636 , -1.45013557871862 , 1.76433831716602 , -0.0396623990798171, -0.148289103919464 , -0.125876519978201 , -0.927701398869348 , -0.603385024207079 , 0.27121701304572 , -0.763162953665765 , -1.04322639968764 | 0.8918156 |
| 31 | 50 | 0.5 | 0 | 1 | control , control , control , control , control , control , control , control , control , control , control , control , control , control , control , control , control , control , control , control , control , control , control , control , control , control , control , control , control , control , control , control , control , control , control , control , control , control , control , control , control , control , control , control , control , control , control , control , control , control , intervention , intervention , intervention , intervention , intervention , intervention , intervention , intervention , intervention , intervention , intervention , intervention , intervention , intervention , intervention , intervention , intervention , intervention , intervention , intervention , intervention , intervention , intervention , intervention , intervention , intervention , intervention , intervention , intervention , intervention , intervention , intervention , intervention , intervention , intervention , intervention , intervention , intervention , intervention , intervention , intervention , intervention , intervention , intervention , intervention , intervention , intervention , intervention , intervention , intervention , 0.435643426900937 , 0.178427113669301 , -0.699929387312342 , -0.890409857415009 , 1.33456441185609 , -0.518425011600347 , -1.24264982065928 , 0.224333646619015 , -0.800448498103775 , 1.60888945368114 , 0.805635859963166 , -0.35675607108444 , 1.76748467018494 , -0.0407948753694363, 0.0574851652329474 , -1.41170558381825 , 1.56534335271192 , -0.878730355716278 , -0.875335107397901 , -0.902705378706838 , -1.33190785665095 , 0.892108245717148 , 0.590742026260684 , 1.92583038813669 , -1.92956053697134 , 1.42652607445102 , 0.432243673084719 , -1.15163428420308 , -0.291309831154494 , 0.229492236298032 , 0.161487599342973 , -1.81622882139708 , 0.36987275952391 , 2.38773937937167 , -0.798165568219609 , -1.26412629909328 , -0.874615614018826 , 0.267484644274345 , 0.863422512095919 , 0.553948213622583 , -0.961712580323546 , -0.628626297132205 , 0.342527053509319 , 0.814681407639282 , -0.941987800066915 , -0.683219447468657 , 0.437465234205446 , 0.161827532640387 , 0.102882523590455 , -1.04190530686786 , -0.535649425740522 , 1.77216723290517 , 0.934034607934697 , 0.71029601829212 , 0.461358326119582 , 0.631406207970564 , 1.60462082938034 , -0.702389153026331 , 1.27765064312136 , -0.41562325860747 , 1.21191307557595 , -0.220334525248268 , 1.92428279400887 , 0.233597804397935 , 0.383997815974471 , 0.0668166212803774 , 1.89858724547242 , 1.19501013919099 , 3.05284860610353 , 1.85818449762413 , 2.38519579419709 , 1.43034781200836 , 1.07450311930952 , 1.38059604477385 , -0.129238192358483 , 0.0184151073013905 , -0.492739460535732 , -0.311595076581851 , -0.412054202842025 , -0.0493783954252209, 0.393487873730674 , 1.60659986354707 , 1.51712679855066 , 2.24715082527437 , 0.451655336759017 , 0.990967251229974 , 0.824679244721601 , 1.6081550125014 , 0.524480065365345 , -0.731194762973019 , -0.0470367571746232, 0.944266307304201 , 0.299172574832033 , 0.859645502136699 , 0.562516611966069 , -0.569267656969583 , 0.852820361206878 , 1.36338815466782 , -0.430481740079577 , 3.06678231109298 | 0.0000741 |
| 32 | 20 | 0.0 | 0 | 1 | control , control , control , control , control , control , control , control , control , control , control , control , control , control , control , control , control , control , control , control , intervention , intervention , intervention , intervention , intervention , intervention , intervention , intervention , intervention , intervention , intervention , intervention , intervention , intervention , intervention , intervention , intervention , intervention , intervention , intervention , -1.86259771042905 , 1.08265691198165 , 0.834547970546275 , -0.303000637630216, -0.895338198547354, -1.51164174821068 , 0.567978244258977 , 0.605357970179986 , -0.733739151534951, -0.323171927940149, -1.70326599557993 , -1.78915596938651 , -0.895005128326725, 1.62768657499621 , 2.4096229287207 , 0.185234013525766 , -1.44462849529604 , 0.56152280355017 , -1.56665615381797 , 0.0168012462292667, 0.661055848053526 , 1.88359412420544 , -1.10598612373368 , 0.608007980315318 , 0.735744392756339 , -0.687059787521856, -2.23765293128737 , 1.02909277446698 , -2.3518385849399 , -1.13485330252659 , -0.791264109786502, -1.69206623672466 , 0.333492459021523 , 1.11099943109258 , 0.414821630264614 , 0.0915856872007559, 0.182830299592816 , -0.249439485784919, 0.155408917144027 , -0.393844799384848 | 0.8211620 |
| 32 | 20 | 0.5 | 0 | 1 | control , control , control , control , control , control , control , control , control , control , control , control , control , control , control , control , control , control , control , control , intervention , intervention , intervention , intervention , intervention , intervention , intervention , intervention , intervention , intervention , intervention , intervention , intervention , intervention , intervention , intervention , intervention , intervention , intervention , intervention , 0.0758195978844725 , 0.499947345954065 , 1.1845067701441 , -1.6907482531329 , -0.341385711751217 , -1.2488096871541 , -0.46172424196186 , -0.0624864064632584 , 1.01265082312142 , 0.156508424044464 , 0.413578837914455 , 0.90825365560726 , 1.3189470112468 , 0.111631104274254 , 0.181741175013007 , 0.159484803670755 , 2.15543789902931 , 0.113092523952646 , 0.192320422405065 , -1.59892407987023 , 1.36219052092982 , 1.13170641574577 , 0.307982280846929 , 1.62648422376701 , 3.06148603944865 , 1.71363797707945 , 1.01731697821119 , 0.403950669508919 , 0.753336717985805 , 0.206107280389537 , -0.24551490917866 , 0.304958864762069 , -0.926162494928926 , -0.00403561998331092, 0.851724791678003 , 1.87286075888491 , 1.4964332020189 , 1.59895070546723 , -0.221328535174139 , 0.026657677922848 | 0.0322048 |
| 32 | 50 | 0.0 | 0 | 1 | control , control , control , control , control , control , control , control , control , control , control , control , control , control , control , control , control , control , control , control , control , control , control , control , control , control , control , control , control , control , control , control , control , control , control , control , control , control , control , control , control , control , control , control , control , control , control , control , control , control , intervention , intervention , intervention , intervention , intervention , intervention , intervention , intervention , intervention , intervention , intervention , intervention , intervention , intervention , intervention , intervention , intervention , intervention , intervention , intervention , intervention , intervention , intervention , intervention , intervention , intervention , intervention , intervention , intervention , intervention , intervention , intervention , intervention , intervention , intervention , intervention , intervention , intervention , intervention , intervention , intervention , intervention , intervention , intervention , intervention , intervention , intervention , intervention , intervention , intervention , 0.642149040641651 , 0.246807594498258 , -0.139421004210104 , -1.84645171073411 , -0.234177281847067 , 0.513771998150707 , 0.63058981617513 , 0.505015749429012 , 0.767573340054948 , -0.971699556394795 , -0.893798483601819 , -1.08267225569024 , -0.315663312589886 , 1.23353479526496 , 0.535807669761119 , 0.960612046101436 , -0.470351067701406 , 1.18982363102386 , -0.487452599535213 , -0.777100863734926 , -0.445357688467827 , -1.51313166202022 , -0.61222826036458 , 0.944842502531493 , 0.225781319987696 , 1.19371909032516 , 1.04422582042543 , 1.87860703494468 , 0.684112926168147 , -0.0290702582503953, -1.26414796239529 , -0.41883609407507 , -0.146458577113777 , -1.77790267573674 , 0.666350066885673 , 3.21106980267136 , 0.176641218099905 , -1.40227161126459 , -0.30928785243723 , -0.395721828752531 , -0.293876844651947 , -0.930591201458928 , 1.38057034018839 , 0.35817008288403 , -1.32871477775426 , -0.206455809361427 , 1.60163078429817 , 0.708347075740296 , 0.834832207242834 , -1.54621925120612 , -0.412489345711621 , 0.271052816254575 , 1.23749874022534 , 0.538054454390009 , 0.43905356269067 , 1.26314725091322 , 0.440699206795674 , 0.287074396322514 , -0.852090072770799 , 0.185590460680512 , 0.930942246298401 , -0.110045892637772 , -0.698859427070139 , -0.283306438835145 , 1.709537385795 , -1.35368647572181 , 2.89623196070436 , -2.09311956404263 , -0.102232790563872 , -1.07864287838339 , 1.37266459717601 , -0.416875566012444 , 1.53922447378657 , 1.16617695988111 , 0.151951377633079 , -1.09039392133364 , 0.934325705928461 , -1.28664348907298 , 1.07582142850707 , 1.35367244353865 , 0.76485539351475 , -0.357111700629374 , -0.464386855571451 , 0.521113701173128 , -0.536406358043096 , 0.0961010719006087 , 0.48012741519411 , -2.14206207238129 , 1.03691250991586 , 0.585392618567789 , 0.588441494569926 , 0.723989770233168 , 1.92403668472701 , -1.03325769870997 , -0.675507052275177 , 0.893956651886283 , 0.20276124225755 , -1.05432522911883 , 1.2779079536398 , -0.0484530999408348 | 0.4143749 |
| 32 | 50 | 0.5 | 0 | 1 | control , control , control , control , control , control , control , control , control , control , control , control , control , control , control , control , control , control , control , control , control , control , control , control , control , control , control , control , control , control , control , control , control , control , control , control , control , control , control , control , control , control , control , control , control , control , control , control , control , control , intervention , intervention , intervention , intervention , intervention , intervention , intervention , intervention , intervention , intervention , intervention , intervention , intervention , intervention , intervention , intervention , intervention , intervention , intervention , intervention , intervention , intervention , intervention , intervention , intervention , intervention , intervention , intervention , intervention , intervention , intervention , intervention , intervention , intervention , intervention , intervention , intervention , intervention , intervention , intervention , intervention , intervention , intervention , intervention , intervention , intervention , intervention , intervention , intervention , intervention , 2.86187800803433 , -1.03821260760619 , -0.212790009190013 , 1.08789909186567 , 1.29184572830529 , -1.4372426341517 , -0.687554231665178 , -1.29299102050925 , 0.285280744762161 , -0.86402245674543 , 0.776449931512217 , -0.662537667747275 , 0.317358348341261 , 0.594176171434135 , -0.26551585100763 , 0.534244509156953 , -0.1670322809238 , -0.83232821805199 , 0.967596923698187 , -0.716729153184624 , 1.61737283519966 , 1.72260120608749 , -1.0864987292622 , -0.157056471752044 , -0.470667931678746 , -1.32639873660334 , 0.369358016899833 , 1.56339563051907 , 0.06007267907353 , -2.01233230457684 , 0.219117791922734 , 0.327421264031091 , 1.12097251571556 , -2.15727405645895 , 2.50269831899826 , -0.786352881771038 , -1.34498136208664 , -0.822272128972745 , -0.324184550077456 , -1.45466300721847 , 0.930685855925218 , 1.42513688426593 , -2.47584766750133 , -1.48390540885527 , -0.245065223813676 , 0.621047606466367 , 2.0051320951766 , 0.677408434994111 , -1.63034136391 , -1.47980469253446 , 1.18511910526662 , -0.063339763688894 , 0.706396606692959 , -0.0170206570910691, -0.796830301658444 , 0.956018136051109 , 0.731634202498564 , -0.0274497220860659, 0.26925684398857 , -0.245997680208059 , 1.60106696740663 , 1.20953373547878 , 1.18700918905323 , -0.678897131613313 , -0.404983953167194 , 1.02963725826069 , -0.535543860485963 , 0.435729793559631 , 0.38563956141984 , -0.177308845502736 , 1.55287139716006 , -0.4750241328869 , 1.34699563836323 , 2.29115392742647 , -1.38414884954201 , -0.436409857824736 , 1.51472679854328 , 0.00449929703311031, 1.41630964906457 , -0.936804511375181 , 1.27359377864033 , 1.48927886752832 , 0.472646174110963 , -0.582524240850512 , 0.515310364374855 , 1.90603205507922 , 0.404298102858443 , -0.92946143157435 , 0.642754378865492 , -0.508492690508775 , 1.09363116626934 , 0.126199391432336 , -0.901085874813145 , 0.123938603590927 , 0.129862458786136 , 0.702021055837471 , 1.07420352441216 , 0.432946845771462 , -0.0101643664726319, 0.361966232742575 | 0.0325145 |
| 33 | 20 | 0.0 | 0 | 1 | control , control , control , control , control , control , control , control , control , control , control , control , control , control , control , control , control , control , control , control , intervention , intervention , intervention , intervention , intervention , intervention , intervention , intervention , intervention , intervention , intervention , intervention , intervention , intervention , intervention , intervention , intervention , intervention , intervention , intervention , 0.0450261963816871 , 1.8668146673723 , 0.309437436418065 , 0.603717450126453 , -0.657092903415058 , 0.253757129299742 , 0.13058343459878 , -0.757975769452563 , 0.205910912170606 , -0.0857777216440691, -1.34212781574686 , -0.363228334426474 , 0.355630509818944 , 1.64909185646372 , 0.524773218933117 , 0.400431099131916 , -1.22556154527155 , 0.712643872740161 , -0.936608679379599 , -0.312614304359918 , -1.65539184663715 , 1.78822023295064 , -0.20184390819982 , 0.443819573008529 , 1.01279214275937 , 0.72708811394732 , -1.08353660958114 , -1.11298934289111 , 0.712732044479156 , 0.685694649320382 , -0.237767976510141 , 0.730889249007858 , -0.468218080783048 , -0.514272157897022 , 1.04745033729152 , 0.358548717564973 , 0.904579910204507 , -0.26979963039122 , -0.0570681263204425, -2.11146914283322 | 0.9076158 |
| 33 | 20 | 0.5 | 0 | 1 | control , control , control , control , control , control , control , control , control , control , control , control , control , control , control , control , control , control , control , control , intervention , intervention , intervention , intervention , intervention , intervention , intervention , intervention , intervention , intervention , intervention , intervention , intervention , intervention , intervention , intervention , intervention , intervention , intervention , intervention , -0.437684168104899, 0.76471721503873 , 0.266597108894812 , 2.34999636954047 , -0.391819251551504, 2.87990159229317 , -0.463220490959581, 1.69408692250764 , -0.225297622040058, 0.901435040329229 , -0.90490183227527 , -1.14308107224432 , 0.393716552784517 , -0.192755191861426, 0.719514389220459 , 1.78287917409221 , -0.55653051583133 , 0.409969555752288 , 1.82916758306269 , 0.382814486710866 , -1.23270177325082 , 1.20048713612768 , -0.960730720309468, 0.208576939330378 , 0.411340296012195 , 0.844788393675776 , 1.08254346777702 , 2.56376429377558 , 1.48821648604141 , 0.599281080650171 , 0.335189004972501 , 0.510458778927602 , 0.335936020089882 , 2.16381796017646 , -1.43314545966599 , 1.52061832948245 , 1.80103235596507 , -0.82810460350752 , 0.574357622501551 , -0.978969733012942 | 0.9836424 |
| 33 | 50 | 0.0 | 0 | 1 | control , control , control , control , control , control , control , control , control , control , control , control , control , control , control , control , control , control , control , control , control , control , control , control , control , control , control , control , control , control , control , control , control , control , control , control , control , control , control , control , control , control , control , control , control , control , control , control , control , control , intervention , intervention , intervention , intervention , intervention , intervention , intervention , intervention , intervention , intervention , intervention , intervention , intervention , intervention , intervention , intervention , intervention , intervention , intervention , intervention , intervention , intervention , intervention , intervention , intervention , intervention , intervention , intervention , intervention , intervention , intervention , intervention , intervention , intervention , intervention , intervention , intervention , intervention , intervention , intervention , intervention , intervention , intervention , intervention , intervention , intervention , intervention , intervention , intervention , intervention , -0.492555434543564 , 0.478732418894533 , 1.67084546557009 , -0.54840507904365 , 0.540023296870563 , 0.989768068776617 , -0.491002117202613 , -0.99793999823158 , 1.21418247784233 , 1.46367099074521 , 0.431264566004501 , 1.10134969310027 , -0.812993945591062 , 0.51828787206562 , -0.286738837250269 , -1.54304027739835 , -0.581998904485443 , -0.965131829526873 , -0.237873266851184 , 0.0979165171117762 , 0.655356758067878 , -1.00961005875859 , -1.35551466915653 , 1.81228973717934 , 0.560294177940506 , 0.58835101639079 , 2.28281077978741 , -0.996691988609802 , -1.20603599998675 , -0.0250010215701891, 0.226179614737336 , -1.04255171810714 , -0.716701261636116 , 0.185358482738041 , 0.625606396412938 , 1.14398227854783 , 0.374162456563541 , 1.41522547008659 , 0.0791476750180653 , 0.0127156474416002 , -1.34101490928339 , -1.33313320038263 , 0.852615595477605 , -0.0844653285942563, 0.797707222910211 , 0.997988092987244 , 0.200401779805561 , 0.73491840220028 , 2.65455186575117 , -0.343381235788301 , -1.70848465188901 , -0.282396234418437 , -0.0473971642743355, 0.737113559540321 , 0.554651919501474 , -0.520082649718765 , 0.66477404134584 , 2.15028146696022 , -0.2166376436938 , -0.609920334513959 , -0.509005936222956 , -0.0543548513926595, -1.67879668985485 , -0.397003288702002 , 0.0354875681629903 , -0.557277511555747 , 0.00739657625062679, -0.350619784784151 , -0.844380404461712 , 1.22929127204195 , 0.768726512914706 , 0.516905771232981 , 0.339557386887093 , 0.872131085623523 , 0.0973795519798158 , -1.61776045919763 , 0.0954402943616069 , -0.811603803045479 , 0.460187380781074 , -0.28736192152129 , -1.3850411019986 , -1.70685737241584 , 1.4724103576141 , -1.32065044227581 , -0.444050892060905 , 1.16858514676861 , -0.205643761055486 , 0.87020614398745 , 0.808636535092432 , -1.67972351303348 , 0.387176153958521 , -0.778708845288814 , -0.469807007175805 , 1.23868715968728 , 0.508208028541892 , 0.616609284222289 , -1.26608412683688 , -0.94794030042105 , 0.344170929959267 , -0.86923114811338 | 0.1493141 |
| 33 | 50 | 0.5 | 0 | 1 | control , control , control , control , control , control , control , control , control , control , control , control , control , control , control , control , control , control , control , control , control , control , control , control , control , control , control , control , control , control , control , control , control , control , control , control , control , control , control , control , control , control , control , control , control , control , control , control , control , control , intervention , intervention , intervention , intervention , intervention , intervention , intervention , intervention , intervention , intervention , intervention , intervention , intervention , intervention , intervention , intervention , intervention , intervention , intervention , intervention , intervention , intervention , intervention , intervention , intervention , intervention , intervention , intervention , intervention , intervention , intervention , intervention , intervention , intervention , intervention , intervention , intervention , intervention , intervention , intervention , intervention , intervention , intervention , intervention , intervention , intervention , intervention , intervention , intervention , intervention , 1.78742806794713 , -0.113135709123116 , 0.842965488985447 , -1.40127401355221 , -0.0437580382614019, -0.219272332249212 , -0.840760721067558 , -1.87918692954786 , 0.73251498134247 , -0.30652543949573 , 1.7143559531964 , 2.06352923556287 , 0.100803123167044 , -0.166092201202869 , 0.0557405877145382 , -1.09886073173143 , 0.596218511352597 , -1.05559145031573 , -0.0704446496952226, -1.10678395646368 , -0.964260751181964 , 1.43745914549324 , 0.0146275808704239 , -0.372095465847645 , 1.09586025678526 , -2.89077431746459 , -0.815078837804247 , 0.71066913823226 , 0.433428406363462 , 1.72740659841933 , 1.17821371723604 , 0.154447571132434 , -0.27954511655891 , 1.61554688721411 , 0.0916580130551986 , 0.29568363615342 , 2.37662745233528 , 0.531509794540993 , 0.461670921312639 , 1.01139817180723 , 0.237313414202137 , -0.282933505941664 , 0.501423069354803 , 1.52465812814973 , -0.322640620229377 , -0.285890898123901 , -0.0703709287758735, 0.503956869281154 , -1.03456430605278 , -0.575634833401036 , 2.62663191217624 , -0.152376472133718 , 1.47603871709085 , 1.15187791209383 , 0.824301913059481 , -0.151894183690802 , 0.0247677426958094 , -1.12508834325744 , -1.15973352264438 , 0.789549250573899 , -0.406309352220606 , -0.193802303566245 , -2.0093657640263 , 2.11736946741023 , 0.808447937925041 , 0.85806648764643 , 1.00743301842826 , 0.356905386647859 , 1.55977510858188 , 0.317131951520526 , 0.337845595744916 , 0.814479637608737 , -0.249015162673573 , -0.308184746128112 , -2.10269790389594 , 1.44165205046757 , -0.659010293779247 , 0.450058069218617 , 1.66946903569317 , 1.26843263535458 , 2.75263616810696 , 2.60414751078526 , 2.07661321323541 , 0.715425442604465 , 0.494670659210991 , -1.19856604915583 , 1.10952505312116 , 0.98853928272446 , -1.47822617015159 , 0.402227514964413 , 1.03261231144684 , 1.1042911152931 , 0.895989897682498 , -0.29037121185399 , 2.71322211616535 , 1.38148482888935 , 0.554110936345304 , 1.00450384253714 , -1.0838267288045 , -0.691777422726117 | 0.0929146 |
| 34 | 20 | 0.0 | 0 | 1 | control , control , control , control , control , control , control , control , control , control , control , control , control , control , control , control , control , control , control , control , intervention , intervention , intervention , intervention , intervention , intervention , intervention , intervention , intervention , intervention , intervention , intervention , intervention , intervention , intervention , intervention , intervention , intervention , intervention , intervention , -1.1714673393836 , 0.921491435563803 , 0.370834288509122 , -0.521754871014955 , -1.01170953795884 , -0.0179913738162722 , 2.31240887688429 , 0.531139980454807 , -0.138411926840023 , 0.401247529276477 , -1.63029941370242 , 0.133931394035273 , 1.4158212949129 , -0.353843809592618 , 0.562151571709559 , 0.317983099037078 , -0.0967196926188136 , -1.58790619751495 , 0.0936251966751371 , 0.385465254282209 , -0.00725006609098068, -1.25395597675891 , 0.228612021470021 , -0.688803989441864 , -1.67690842694208 , -0.279814339782132 , 1.46992713565929 , 0.738004897217561 , 1.49812526758629 , 0.0442414196925534 , 0.00585778431424211 , -0.0690644028654796 , -1.06156353642716 , 0.0248278023536814 , 0.102623398258749 , -1.77367901279132 , -0.823823507855011 , 0.836644533565591 , -0.136237031645879 , -0.925299797324067 | 0.4344937 |
| 34 | 20 | 0.5 | 0 | 1 | control , control , control , control , control , control , control , control , control , control , control , control , control , control , control , control , control , control , control , control , intervention , intervention , intervention , intervention , intervention , intervention , intervention , intervention , intervention , intervention , intervention , intervention , intervention , intervention , intervention , intervention , intervention , intervention , intervention , intervention , -0.933270218854693 , 0.0539062019052239 , 1.21792683467607 , 2.67978444348527 , -1.56729746776783 , 1.10831995409303 , 0.00561377398353457, -0.619635888769367 , 0.957034443990281 , 0.25773819943201 , 1.50651550795205 , -0.748378746736829 , 1.31664143973983 , -0.299749259723455 , -0.40894765544331 , -1.32569143220652 , -0.451032071770051 , -0.0687172201470151, 0.172940034012227 , -0.270334084751741 , -0.316923806429857 , 0.727102013543379 , 0.312729299858783 , 1.43723275237125 , 0.206971297078889 , 0.535581831011384 , 0.630365360096972 , 0.811378668123852 , -0.7419026726886 , -0.82399708421801 , 0.58120169139904 , 1.29717184905439 , 0.521064093095802 , -1.01864969016767 , -0.231702595739515 , -0.55197586114058 , 2.44554351380974 , 2.09609009979559 , 1.04786753058548 , -0.179947023429742 | 0.3322756 |
| 34 | 50 | 0.0 | 0 | 1 | control , control , control , control , control , control , control , control , control , control , control , control , control , control , control , control , control , control , control , control , control , control , control , control , control , control , control , control , control , control , control , control , control , control , control , control , control , control , control , control , control , control , control , control , control , control , control , control , control , control , intervention , intervention , intervention , intervention , intervention , intervention , intervention , intervention , intervention , intervention , intervention , intervention , intervention , intervention , intervention , intervention , intervention , intervention , intervention , intervention , intervention , intervention , intervention , intervention , intervention , intervention , intervention , intervention , intervention , intervention , intervention , intervention , intervention , intervention , intervention , intervention , intervention , intervention , intervention , intervention , intervention , intervention , intervention , intervention , intervention , intervention , intervention , intervention , intervention , intervention , -0.143232201206513 , -0.525916043095057 , -0.280291349504757 , 1.69903307866153 , -0.875300027539786 , -0.965076736908253 , -0.970525671196644 , -0.223159328830079 , -0.0316629442834137, -0.164181484724063 , 0.445861272067127 , 0.444399019738022 , -0.461008239612783 , 0.389905505907311 , 1.65064466686895 , -1.68072713170502 , -0.866435613178558 , -0.184037946483731 , 0.310586167544323 , -1.38108268557479 , -0.626499989231321 , 0.641473279738884 , -0.438494491060152 , -1.63416910540336 , -0.639748928778447 , 1.04924641893612 , 0.615486970785551 , -0.514176736203116 , 1.35351774424722 , 0.596503250022263 , -0.240033526230025 , -0.671685394141537 , -1.09364188152656 , -0.536292272457482 , 0.745791151455865 , -2.68870986414657 , 3.35322540441926 , -1.43139363659403 , -0.496450846273775 , -0.78304578354819 , -0.920635867815049 , -1.653642799056 , 0.25233260736188 , 0.53299324689232 , -0.413609656506296 , -1.50655498313042 , -0.398181582353948 , 1.38339844480532 , -0.534925553826584 , 0.308292299127011 , -0.419516283371724 , 1.38634002531594 , 0.91479904020415 , 0.0862089895920093 , -0.703113633805805 , -1.2284505114674 , 1.14037753530163 , -1.40798486848791 , -0.511109585129621 , 0.310047434462937 , -1.28963560635284 , 1.52882071736541 , 0.745761575716599 , -0.69698093063743 , -1.88897087189675 , -1.72899185767608 , 1.03273409601205 , -0.0290650007959298, 0.252564966363218 , -1.12001823323862 , 1.86362265600697 , -1.86606155188902 , 0.824863955063821 , 0.408601482087729 , 0.876654734930492 , -1.68814443822696 , -0.41939449027779 , 0.559194565357852 , -0.0380784851943504, -1.90866101557277 , 0.572870474385344 , 0.624433713801772 , -0.393373465285483 , 0.28329028559046 , 0.0906963956549467 , -0.311094994661823 , 0.26315898549354 , 2.67319936481472 , 0.753964669257164 , -0.622965726285531 , 0.0644062283643886 , -0.750745953108236 , -0.518619251482281 , 1.55192163128311 , 1.35517438638276 , -1.43966101397545 , 1.55336403635496 , -0.186910485800973 , -0.376641787928099 , 0.774824265362101 | 0.2983383 |
| 34 | 50 | 0.5 | 0 | 1 | control , control , control , control , control , control , control , control , control , control , control , control , control , control , control , control , control , control , control , control , control , control , control , control , control , control , control , control , control , control , control , control , control , control , control , control , control , control , control , control , control , control , control , control , control , control , control , control , control , control , intervention , intervention , intervention , intervention , intervention , intervention , intervention , intervention , intervention , intervention , intervention , intervention , intervention , intervention , intervention , intervention , intervention , intervention , intervention , intervention , intervention , intervention , intervention , intervention , intervention , intervention , intervention , intervention , intervention , intervention , intervention , intervention , intervention , intervention , intervention , intervention , intervention , intervention , intervention , intervention , intervention , intervention , intervention , intervention , intervention , intervention , intervention , intervention , intervention , intervention , 0.897945175377874 , 0.627761979024359 , 0.623725391459249 , -0.250444121308787 , 1.84030712986086 , 0.544903115522234 , -0.106131874911276 , -0.701125222910133 , 0.810713679473989 , 0.215521309214346 , -0.910308803820344 , 0.701722191329399 , -0.672533044249851 , -1.82498837461042 , -1.34029282491711 , 0.17536907122192 , -0.640323129416097 , -1.06005714328268 , 0.7275513838279 , 1.21941462857125 , -0.74450133719817 , 0.363481919436358 , -0.769894050740632 , 2.52058890337021 , 0.94874553429532 , -1.86876584814925 , 1.27717827548928 , 0.802801289496241 , 0.202098021105075 , -2.24052432200707 , -0.430865833724752 , 0.219112441140541 , -0.712666776097625 , 1.40175150401734 , -0.240673609482061 , -1.62666604116724 , -0.319690265221297 , 0.15440072739696 , -0.256762499598639 , 1.12642127099005 , 1.30553908695073 , 0.0897760821837418 , -1.86303126406538 , 1.3205920309119 , 0.0395625665348856 , -1.15074110330698 , 1.02036002544579 , 0.298539251629329 , -0.511999200066223 , 0.4537553676287 , 1.253180769101 , -0.621734354008824 , -0.754623403113835 , 0.99923980649542 , -0.699320243055841 , 2.49069370701358 , 1.91446939302977 , -0.503454930925379 , -0.61602843966972 , -1.03019633931405 , 2.14007058346475 , -0.669069823675492 , 0.905831303984677 , 2.61993717697733 , 0.831934832265978 , -0.973104653254004 , -0.856102540173104 , 1.07225957869266 , -0.585363669892474 , 0.889993312895519 , 0.685251511010626 , 0.244125298342279 , 0.3770521851841 , -0.664041635402395 , 0.649748294558957 , 0.443214199586797 , -0.463730036126531 , 0.0495225154153196 , 1.21480860138497 , 2.65761060026215 , -0.0342919402918737, 0.169478292037938 , 1.0287375608672 , 1.97220055466627 , 0.167473415225474 , 1.26098886108278 , -0.059171884731387 , 0.512958623297951 , 0.893384038455624 , -0.355560334151714 , -0.665087258554802 , -0.968653282211659 , 0.660110138355435 , 2.11413674871516 , 1.1369038585078 , -0.743830380033902 , 1.52037692832898 , 1.58267622708815 , -0.786931863536982 , 0.252639965504557 | 0.0481182 |
| 35 | 20 | 0.0 | 0 | 1 | control , control , control , control , control , control , control , control , control , control , control , control , control , control , control , control , control , control , control , control , intervention , intervention , intervention , intervention , intervention , intervention , intervention , intervention , intervention , intervention , intervention , intervention , intervention , intervention , intervention , intervention , intervention , intervention , intervention , intervention , 0.917035305390469 , -0.174357138085621 , -0.693242224917868 , 2.8146702969738 , -0.131668183713991 , 0.88993929555896 , -1.21059225748222 , 1.22031538374462 , -2.35113391256204 , 0.410824161178288 , -0.323532242215779 , 0.664288417429579 , 1.00413387129467 , -0.550327831438883 , -0.818671120724558 , 0.144945318796843 , 0.183242437786594 , -0.105496397301537 , 0.756966667787552 , -0.0567677739005761, -1.95508294881955 , 1.06210819900691 , 0.0369705656999473 , -1.10026828649504 , -0.28085094925486 , 0.673853598673818 , -1.56170122426955 , -0.668960193789742 , 0.499124745000435 , 0.505909019848137 , 0.956512001408176 , -0.13987261471074 , -0.465945849073629 , 1.5426386791184 , 0.826486090565183 , 0.555609459275031 , -1.03003782405653 , -0.771468952422355 , -0.320508576101751 , -0.775461376578418 | 0.4354462 |
| 35 | 20 | 0.5 | 0 | 1 | control , control , control , control , control , control , control , control , control , control , control , control , control , control , control , control , control , control , control , control , intervention , intervention , intervention , intervention , intervention , intervention , intervention , intervention , intervention , intervention , intervention , intervention , intervention , intervention , intervention , intervention , intervention , intervention , intervention , intervention , 1.63075351919208 , -1.60036614732442 , -1.1766718537352 , 0.678640156977962 , 0.215254403626349 , -2.12300003453853 , -0.234188668030033 , -0.438802954071873 , -0.229925301654232 , -1.21223450031829 , -0.854621990602773 , 1.13273549377578 , 0.891732424980471 , 1.05672559319198 , 1.10116944733118 , -0.244420155867596 , -0.626014047217864 , 0.783418662481821 , -0.0385747358040288, 0.334689437035554 , -0.842919013457324 , -0.665290117582641 , 1.84244801595878 , 0.836283799098751 , 1.35637998570238 , 0.771767056142269 , -0.646088606738739 , -0.224571536974236 , 0.877605601862997 , 0.500055260162354 , -1.93630770605502 , 0.51358544792671 , 0.61541494409715 , -0.520807660986413 , -1.10069804694726 , -0.25132463494166 , -0.132163858894813 , -0.307079139541252 , -0.385033713153141 , 1.1375377128274 | 0.7005659 |
| 35 | 50 | 0.0 | 0 | 1 | control , control , control , control , control , control , control , control , control , control , control , control , control , control , control , control , control , control , control , control , control , control , control , control , control , control , control , control , control , control , control , control , control , control , control , control , control , control , control , control , control , control , control , control , control , control , control , control , control , control , intervention , intervention , intervention , intervention , intervention , intervention , intervention , intervention , intervention , intervention , intervention , intervention , intervention , intervention , intervention , intervention , intervention , intervention , intervention , intervention , intervention , intervention , intervention , intervention , intervention , intervention , intervention , intervention , intervention , intervention , intervention , intervention , intervention , intervention , intervention , intervention , intervention , intervention , intervention , intervention , intervention , intervention , intervention , intervention , intervention , intervention , intervention , intervention , intervention , intervention , 0.172176054960658 , 0.262968515729287 , 0.942557051824666 , 0.319128549250799 , -0.188917710435876 , 0.445449406222874 , -1.0655805239567 , 0.153171205188663 , 0.92644844509816 , -1.13673946938744 , 0.538227863976306 , -1.67311102686291 , -0.785786267518832 , 0.502865858807779 , -0.769794412529409 , 1.59515417801987 , -1.0200719592734 , -0.864272287064366 , 0.473363624044802 , 0.953159020305573 , -0.164609307365707 , 0.840201716853477 , 0.0164120004926513 , -1.26764580611725 , -0.0752586938968429 , 2.09379881504232 , 0.183992886899026 , -0.487865934478173 , 1.3141474187092 , 1.27884592162373 , 0.494750570298623 , 0.109070507024491 , -1.85537458389967 , 0.200551149018526 , 0.208426054837898 , 0.943942334174255 , -0.223194671599213 , -2.22435330263619 , -0.482284508340406 , 0.805932126310377 , -0.00308618335154477, 0.599113023634482 , 1.42669800020795 , 0.0659085909671961 , -0.516054717502771 , -1.07832151528995 , 0.126729664721133 , -0.0234802715870343 , -1.39696031512797 , 0.0689749147905751 , -0.371648638360393 , 0.472510977330232 , -0.0262736429480254 , -0.116816140442046 , 1.00852585445881 , 0.381587065027912 , 0.642213405881812 , 0.507999888862935 , 1.8206881730451 , -0.784751263816523 , -2.40874211374349 , -0.0471295606004027 , -0.79320616814434 , -0.412421266918119 , 0.979807250600754 , 1.03409526767863 , 0.441497814897782 , 0.252708089671896 , -0.227891871563188 , -0.945802312843558 , -0.498736693151218 , 1.69464827066198 , 0.475472539745541 , -0.202469815733998 , 0.80261456151185 , -0.261673497954173 , -0.408531477885682 , -0.945663922810904 , 2.90735182215793 , -0.241219035880846 , 0.755125310935191 , 0.356056139158083 , 0.817038364497074 , -1.15309375909012 , 0.981197917865483 , -0.352549043003747 , -0.842926712211801 , 0.624182899905748 , 0.528213831549103 , -0.540711162603783 , -0.116606588116948 , -0.452582874069057 , 0.675403997977394 , 0.402369455145724 , 0.282739645153484 , -0.903902871070619 , 1.10657540544071 , 1.52622146239648 , 0.792715092688706 , 2.14498203378804 | 0.2561431 |
| 35 | 50 | 0.5 | 0 | 1 | control , control , control , control , control , control , control , control , control , control , control , control , control , control , control , control , control , control , control , control , control , control , control , control , control , control , control , control , control , control , control , control , control , control , control , control , control , control , control , control , control , control , control , control , control , control , control , control , control , control , intervention , intervention , intervention , intervention , intervention , intervention , intervention , intervention , intervention , intervention , intervention , intervention , intervention , intervention , intervention , intervention , intervention , intervention , intervention , intervention , intervention , intervention , intervention , intervention , intervention , intervention , intervention , intervention , intervention , intervention , intervention , intervention , intervention , intervention , intervention , intervention , intervention , intervention , intervention , intervention , intervention , intervention , intervention , intervention , intervention , intervention , intervention , intervention , intervention , intervention , 0.375966859193761 , 0.258616955422254 , -1.22365452324084 , -0.496684554238447 , 2.8175418704652 , -0.396736569053924 , -0.423077741965559 , 0.00923360640051993, -0.981003021069265 , -1.00039490646023 , -2.00569060914671 , -0.317708169794158 , -0.0176404715611598, 0.765599375657767 , -1.56956204773048 , 0.0771599314573132 , -0.862692598199844 , -1.24450672940491 , -1.61469896472046 , 0.0703838883614346 , -1.0926181847463 , 0.447850369498462 , 0.600802508981466 , 0.892103645321208 , -1.11830156579499 , -0.36505632436304 , 0.554303974081726 , -0.900946164682195 , 0.712428898164535 , -0.128048225999988 , -0.715594569738409 , -0.549291230632182 , 1.4543975109385 , 0.39587242566499 , -0.913375591154921 , 0.210800834423642 , -0.0985737291002679, 1.57705689453314 , 0.682869369154526 , 0.63910637997611 , 1.12003783083093 , 0.181169310394512 , 0.899503514068871 , 0.462973139762834 , 0.554326312439094 , -1.01065638207646 , 0.172098919014648 , 0.323926978563343 , 1.13853310841244 , 1.0189205621512 , -1.06242017944674 , 1.2367326834431 , -0.323996917119474 , -0.555643495407652 , 0.126098200342547 , 0.736422428428155 , 1.31599359296185 , 1.38128122777145 , 0.762084719648431 , 0.611411710203238 , 1.32663356076978 , 0.775823023587961 , 0.834456985278834 , 0.828196833418306 , 0.564217385028741 , 0.724698622878618 , -1.17113392491315 , 1.34561987598997 , 0.336537622078158 , -0.673356037100956 , 0.843874302715228 , 0.374623544882084 , 1.04686487445291 , -0.588176759734961 , -0.523630678313878 , 0.763367529908711 , 0.078750263541072 , 1.60596605327584 , 0.258692594208313 , 0.869781257355431 , -0.898504186764042 , -1.63060256783757 , -0.404373922246344 , 0.976891051334926 , 2.11261413591789 , 0.252794828912334 , 0.982736343276964 , -0.120188338280228 , 1.25316891449638 , 1.04521337932951 , 0.65160303996302 , 3.57493097585744 , -0.146477904206124 , 0.377320970276298 , -0.816926727519185 , -1.00057619571426 , 0.870251237631005 , 1.11998370251634 , 0.578388610224956 , 1.87525582909449 | 0.0093404 |
| 36 | 20 | 0.0 | 0 | 1 | control , control , control , control , control , control , control , control , control , control , control , control , control , control , control , control , control , control , control , control , intervention , intervention , intervention , intervention , intervention , intervention , intervention , intervention , intervention , intervention , intervention , intervention , intervention , intervention , intervention , intervention , intervention , intervention , intervention , intervention , -1.39639438849318 , -0.0584825885550484, -1.25177598224855 , -1.77510650682552 , 0.388164522765992 , -0.721866117908354 , 1.3327507505016 , -0.409274778657523 , -0.7255315018257 , 0.67094910609212 , 0.155568646393026 , 0.906913689370323 , 0.374432498356962 , -0.376411576937816 , -0.868441288965664 , 0.122197877489169 , 0.264174998641832 , 0.48256440109346 , -0.549348908201415 , 0.640190343064193 , 0.358570537276409 , 0.335320827826828 , -1.51471569701767 , 0.188376476122839 , -0.731270648720219 , 1.43049980772176 , 0.77832200313851 , 0.944851664999162 , -0.051657661088701 , -1.28963679385591 , 0.608653851624831 , -0.820035874191805 , 0.160327023874138 , -1.4354920083061 , 0.0674144209269958 , -1.17882361442529 , -1.12155779222687 , -2.54043507217951 , 0.963001300408848 , -1.28504914428056 | 0.5802595 |
| 36 | 20 | 0.5 | 0 | 1 | control , control , control , control , control , control , control , control , control , control , control , control , control , control , control , control , control , control , control , control , intervention , intervention , intervention , intervention , intervention , intervention , intervention , intervention , intervention , intervention , intervention , intervention , intervention , intervention , intervention , intervention , intervention , intervention , intervention , intervention , -0.767533162554046 , -0.385082925022947 , -1.39217889268095 , 1.20617845821787 , -0.198383627905062 , 0.569998109232475 , 0.287457923527894 , -0.447627239052557 , 0.507242898048242 , 0.613468871892235 , -0.24351155769865 , 0.367022601616408 , 0.545666899299902 , -0.62611664549803 , -0.773223972934595 , -0.0892262853547281, 0.314909460074719 , -0.0746418674421943, -0.19988615916444 , 0.0264441446936597 , -0.43382156644363 , 1.91958672210519 , -0.390542113925322 , -0.186190670535864 , 2.42493799891494 , -0.368661993026422 , -1.34265944364953 , 0.708709839910567 , 0.679348484078038 , -0.489408575111594 , -1.13374636526398 , -0.332153617137284 , 0.509148005515895 , 0.273444072931085 , 0.322703629463949 , 1.34456219684447 , 0.911514762092396 , -0.0352873573871566, -0.367463616867654 , 0.315810781405679 | 0.3164386 |
| 36 | 50 | 0.0 | 0 | 1 | control , control , control , control , control , control , control , control , control , control , control , control , control , control , control , control , control , control , control , control , control , control , control , control , control , control , control , control , control , control , control , control , control , control , control , control , control , control , control , control , control , control , control , control , control , control , control , control , control , control , intervention , intervention , intervention , intervention , intervention , intervention , intervention , intervention , intervention , intervention , intervention , intervention , intervention , intervention , intervention , intervention , intervention , intervention , intervention , intervention , intervention , intervention , intervention , intervention , intervention , intervention , intervention , intervention , intervention , intervention , intervention , intervention , intervention , intervention , intervention , intervention , intervention , intervention , intervention , intervention , intervention , intervention , intervention , intervention , intervention , intervention , intervention , intervention , intervention , intervention , 0.0317790288336035 , 0.0392790916171821 , 0.977640408474678 , 0.0461077287302284 , 0.723811651046132 , -0.932803350149266 , 1.64328112555016 , -0.408367302698081 , 1.02332158655771 , 0.0987822214941637 , -2.02369174118753 , -0.750638632452486 , 1.6617077312039 , 0.16446821453241 , 0.296727460064332 , -1.17471389609099 , 0.24441268973959 , -0.0188481262299409 , 1.39526207836812 , 0.692090753841609 , -0.0612987869639485 , -0.125425648849088 , -1.36841765725479 , 0.35961174784468 , -0.125078291879454 , 1.92561822722322 , 1.149273325573 , -0.598898828790245 , -0.399557894216855 , -0.498030254358345 , -0.244564478750899 , 2.079025845678 , 0.0122407766222143 , -0.26608537118901 , -0.308838947964866 , 0.824181683932792 , -1.63723473363006 , 0.00363210399040496 , 1.72911500853343 , 0.42411600237081 , 0.61260474123168 , -0.928497104314046 , -2.33789521485315 , 0.134863858476113 , 1.86683520174979 , 1.71168001454975 , -0.846838719497393 , 0.83822302223052 , 1.13560989142748 , 0.83281976523895 , 0.697100626096601 , 1.18162659263178 , -0.709913300039162 , 0.424883880544375 , 0.186926466260052 , 2.19962057605044 , 0.622993632909903 , -1.6772094513364 , 0.690163374144964 , 0.628021740850408 , 0.384825111519062 , -0.201343905108626 , 2.21412116226121 , -1.04247110951459 , 1.5901433041786 , -0.00954830624322626, 0.808657604655653 , -0.238595206975887 , 1.2991204865425 , 0.0521748535697243 , -1.32652232139795 , -0.373820682092433 , 1.48750386132723 , -2.2168337400187 , -1.13976821826996 , -1.73012142219415 , -0.216306977994784 , 0.371448291767536 , 0.388279786399051 , -0.522082097493805 , -2.09839203730864 , -0.693262209733658 , 0.35748434384395 , -0.454661200603135 , -0.434528337949546 , 0.312115420364884 , 2.85681800894593 , 0.726308757734682 , -0.585891870670321 , 0.0298423354862525 , -0.752816467600957 , 0.887471498619422 , -0.882984598628116 , -1.71454753827495 , 0.289827193060906 , 1.50326424915368 , 0.347932043621098 , -0.97102793320491 , 0.0328324091287251 , 0.0650918363521257 | 0.5129954 |
| 36 | 50 | 0.5 | 0 | 1 | control , control , control , control , control , control , control , control , control , control , control , control , control , control , control , control , control , control , control , control , control , control , control , control , control , control , control , control , control , control , control , control , control , control , control , control , control , control , control , control , control , control , control , control , control , control , control , control , control , control , intervention , intervention , intervention , intervention , intervention , intervention , intervention , intervention , intervention , intervention , intervention , intervention , intervention , intervention , intervention , intervention , intervention , intervention , intervention , intervention , intervention , intervention , intervention , intervention , intervention , intervention , intervention , intervention , intervention , intervention , intervention , intervention , intervention , intervention , intervention , intervention , intervention , intervention , intervention , intervention , intervention , intervention , intervention , intervention , intervention , intervention , intervention , intervention , intervention , intervention , -0.0951002250152378, 0.177802795705636 , -0.4537574197783 , 1.60526342332797 , 2.13580865510298 , -1.64807449129114 , 1.19875211963482 , 0.012745419782643 , -1.22779909070041 , -0.484278850377273 , 1.65928210069637 , -2.34912462142439 , -0.220100411869403 , 1.0511329728079 , -0.823759613130685 , 0.731988199596251 , 0.929520558650101 , 0.409785386261612 , 0.70335222307443 , 0.153988633363813 , -0.438208964578685 , 0.687237116234145 , 0.440956534991136 , -0.229646383195811 , -0.676923246055115 , -0.703807739235361 , 0.242329689489087 , -1.22955016243387 , 1.06031368196227 , 0.103719120086706 , 0.208791356249706 , 0.328588956216939 , 0.720920477079779 , -0.702127650646595 , -0.402512651945762 , -1.47360050252246 , -1.56629570079667 , -1.1119054841028 , 1.08992527859403 , -0.120995346977005 , -0.166923012179538 , -0.12008646330275 , 1.60456832850429 , -0.611109356307316 , -0.946318128365256 , 0.542854393100262 , -0.508390718123496 , -0.526653914875416 , 0.113892738135741 , -0.443382446569816 , -0.320760043073673 , 0.198495590219421 , 0.631260910656648 , 1.28371892270446 , 0.0336854360448373 , -0.102968587370818 , 1.47582254916971 , 1.20637817908275 , 0.0976711743227037 , 0.736571938995825 , 0.888681249276078 , 0.7583975177328 , 1.84156594062798 , -1.02754072774324 , 1.02554596447994 , 1.04029475314672 , 0.185434116152882 , -0.0548205014355625, 1.35765968552365 , 1.67797517039001 , 2.31417740430985 , 1.96545683704524 , 3.45745236743669 , 1.2312451970855 , 0.249833010121656 , 1.41696578071265 , -0.680364077979738 , 1.83054520229707 , 0.350620397953041 , 2.00889534393594 , 2.11171391706055 , 0.992118468424182 , 0.486087910100946 , -0.760658084328365 , -0.9531219337081 , -0.31374844255021 , 0.616656811201391 , 0.275423793998464 , -0.363385800469882 , -0.112348644384886 , -0.810912260932697 , -1.37628326922851 , 0.603410257274588 , 0.683409134184801 , 1.99814922753454 , 0.113649471238167 , 1.00137393145739 , 1.41475062270566 , 2.71486628377215 , 0.107384697732092 | 0.0003152 |
| 37 | 20 | 0.0 | 0 | 1 | control , control , control , control , control , control , control , control , control , control , control , control , control , control , control , control , control , control , control , control , intervention , intervention , intervention , intervention , intervention , intervention , intervention , intervention , intervention , intervention , intervention , intervention , intervention , intervention , intervention , intervention , intervention , intervention , intervention , intervention , -0.728710554032188 , 0.99304727612698 , -0.233833523662724 , 0.265726056202472 , -0.249953181602611 , -1.37108938018059 , 0.0272963632407012 , -0.542448256350274 , 0.982161279970965 , -1.68494693706684 , -1.21412900622113 , -0.991064427295776 , -1.14191902885075 , 0.112279378964917 , 0.656846753227703 , -0.234643069273031 , -0.0287102544717659, 0.742776687238453 , 2.75744085804467 , 0.87816488669615 , -2.6574189881451 , -0.630915290049236 , -0.959613911755267 , -0.906379606403549 , 3.20835444013057 , 1.20486363902571 , -1.23827380124198 , -0.52946821364179 , -0.617186248149452 , 2.21282985234303 , 1.91855649934474 , -1.69174622851579 , -1.60734061743115 , 2.07316420240834 , 0.923127813365775 , -1.19206671667385 , 0.165034010061219 , -0.587395838034588 , -0.274208049928683 , -1.60359845995687 | 0.8331358 |
| 37 | 20 | 0.5 | 0 | 1 | control , control , control , control , control , control , control , control , control , control , control , control , control , control , control , control , control , control , control , control , intervention , intervention , intervention , intervention , intervention , intervention , intervention , intervention , intervention , intervention , intervention , intervention , intervention , intervention , intervention , intervention , intervention , intervention , intervention , intervention , -0.179397584964926 , 0.508516149578645 , -0.0169984234839612, 1.05098738716749 , -0.373580484416052 , 0.502985464182007 , 0.815294231700047 , 0.138454156907688 , -1.1434098419811 , 1.83204301499497 , -0.572707193921327 , 2.2234061645382 , -0.159583724800388 , -0.238229461336544 , -1.460939266323 , 0.64914918692726 , -0.526462775336937 , 0.179209089425458 , 0.465964442268289 , 1.14558391322549 , 0.636059142721626 , -1.24743601677522 , 1.36498356395791 , -1.2099111893084 , 1.17964634027811 , 1.21490518821435 , -0.0710401302817862, 0.533745749114804 , -0.709333242853854 , 0.531457165829147 , 1.06000400001867 , 4.37632412184069 , -0.633298601181467 , -0.973795361249636 , -1.11518537141003 , 2.25602702893388 , 0.60448282223867 , -0.121051732937228 , -1.13520607071774 , 1.70582015976822 | 0.6541600 |
| 37 | 50 | 0.0 | 0 | 1 | control , control , control , control , control , control , control , control , control , control , control , control , control , control , control , control , control , control , control , control , control , control , control , control , control , control , control , control , control , control , control , control , control , control , control , control , control , control , control , control , control , control , control , control , control , control , control , control , control , control , intervention , intervention , intervention , intervention , intervention , intervention , intervention , intervention , intervention , intervention , intervention , intervention , intervention , intervention , intervention , intervention , intervention , intervention , intervention , intervention , intervention , intervention , intervention , intervention , intervention , intervention , intervention , intervention , intervention , intervention , intervention , intervention , intervention , intervention , intervention , intervention , intervention , intervention , intervention , intervention , intervention , intervention , intervention , intervention , intervention , intervention , intervention , intervention , intervention , intervention , 1.1519495358884 , -0.17453144601278 , -0.191079049574177 , 1.03679555347506 , -3.09298530723127 , 1.28970800879303 , -1.5676144362889 , -0.732992522411501 , -1.74366949837845 , 0.250910966995969 , 0.779391555913067 , -1.05279021478237 , -0.460738095686257 , -1.25003404706407 , -1.13999986175232 , 0.693434560615112 , 0.60822134319623 , 0.474506384044517 , -0.67899350927011 , 0.403854001915936 , 0.12434189491634 , -0.634580481044497 , -0.585521482787375 , -0.32999460201545 , 0.880740563946262 , -1.7993593816135 , 1.80229341618538 , -0.109739933200413 , -0.289992168880676 , 0.22733130847521 , -0.324534906146488 , -1.96849053305465 , 0.297635507851689 , 0.190861706285189 , -1.83007808176238 , 0.831753923717357 , -0.425888905345002 , -0.938396219538535 , 1.02929042424696 , -1.3912176920958 , -1.20968734251165 , -0.042400756606129 , -0.106414098574014 , -2.04776544115052 , 0.733396140806533 , 1.73568622035535 , -0.70183436759699 , 0.947132910675892 , 0.328852091866277 , -1.91798809934544 , -0.708861303659466 , 0.53009623179315 , 0.811012292503904 , 0.995063339680031 , 2.10600738025501 , -1.62870814551459 , -1.43486484657526 , 0.399187212627189 , 0.38899295929791 , -0.40836825554649 , 0.743344968581777 , -0.379937650096383 , 0.185951444247323 , 1.22880777257502 , 1.03793654957953 , 0.25647362524284 , -2.73844848848797 , -0.882297876868215 , 1.61253230777018 , -0.0471495374095718, 1.98209485658561 , -1.43247006016586 , 1.30447640049253 , 0.232202788058083 , -1.21116070890933 , 1.38186213390643 , -0.979247795943296 , -0.218158445342687 , -2.12851618648375 , 0.312953765917366 , -0.411194396903754 , -1.19959349355461 , -0.080950393531125 , 1.49800360471859 , 0.0847437681406623 , -2.07347592290231 , 2.11260989978227 , -0.681314827331758 , -0.639636713305907 , -0.16816103604639 , 2.41704880327417 , -1.45144584097621 , 0.759150526173961 , 0.869569805737131 , -0.491832785168064 , 0.0640917953571376 , -0.599274921940939 , 0.31228365963004 , 1.4038006030442 , 0.921522728182605 | 0.1412521 |
| 37 | 50 | 0.5 | 0 | 1 | control , control , control , control , control , control , control , control , control , control , control , control , control , control , control , control , control , control , control , control , control , control , control , control , control , control , control , control , control , control , control , control , control , control , control , control , control , control , control , control , control , control , control , control , control , control , control , control , control , control , intervention , intervention , intervention , intervention , intervention , intervention , intervention , intervention , intervention , intervention , intervention , intervention , intervention , intervention , intervention , intervention , intervention , intervention , intervention , intervention , intervention , intervention , intervention , intervention , intervention , intervention , intervention , intervention , intervention , intervention , intervention , intervention , intervention , intervention , intervention , intervention , intervention , intervention , intervention , intervention , intervention , intervention , intervention , intervention , intervention , intervention , intervention , intervention , intervention , intervention , -0.405472146873491 , 1.94239558887186 , -0.853221877159963 , 0.365625713848769 , 1.06355658302823 , 1.90468646996503 , -0.779090061115307 , 1.10935990261228 , -0.0919491883186422, 1.44470492367426 , -0.169073210250009 , -0.72039564480371 , 1.32413432763276 , -1.84240427347794 , -0.126980075605117 , 2.20758814363501 , 1.10199236242135 , 0.602865362934942 , -1.0271780185106 , 1.73672066970038 , -1.08227203123848 , -2.69933375841992 , 2.98838690336229 , 0.2686303187442 , 1.16736513084011 , 0.610091647576696 , -0.828093265553259 , 0.613940789448285 , -0.257117599662203 , -0.0850916505943356, 1.01414548009214 , -0.685721901904183 , 0.753804011753134 , -0.786988441290249 , 1.20930702390451 , -0.766455501601584 , 1.86169779774186 , 0.168019362020083 , -0.837923054047334 , -0.684735409819691 , 0.0232486122588584 , 0.715868483236011 , -2.05849578415677 , 0.622471606416064 , 0.126738867071694 , 0.113510280115666 , 0.54888490871108 , 0.961377333547327 , -0.719348602703774 , -0.245314717769767 , 1.46327096703455 , 1.13915413494882 , 1.42068193075315 , 0.170364557777565 , -0.568211898265162 , 1.05931722252803 , 0.564981966376538 , -1.11860018174024 , -0.0419362651608181, 2.31425104540305 , -0.591137970402288 , 2.77300999695275 , 0.313766751295948 , 0.905247469357767 , -0.872298884156459 , -0.457864121124968 , 0.53789714685867 , -1.6217037679742 , 1.65639703014215 , -0.0106673854633964, -0.264163995573065 , 1.56091282435801 , -0.843040776851254 , 0.403625636136611 , -0.654939943183017 , -0.27663154841649 , 0.383423548606351 , 0.106684059104223 , 1.43780122962236 , -0.268148571718153 , 1.83171915964979 , -0.562744967932103 , -0.717757897111107 , 1.3446029546459 , 0.503273447645268 , -1.16281342421343 , 0.698272286867951 , 0.608637603231563 , 0.366354871704919 , 1.50833504202896 , -0.49740031652212 , -1.40395904740589 , -1.79963340107843 , 0.0566926908184463 , 1.74626689415492 , 0.439969632124954 , 2.4237246345415 , 2.6758159821332 , 0.428024768786238 , 0.561431242392442 | 0.4352209 |
| 38 | 20 | 0.0 | 0 | 1 | control , control , control , control , control , control , control , control , control , control , control , control , control , control , control , control , control , control , control , control , intervention , intervention , intervention , intervention , intervention , intervention , intervention , intervention , intervention , intervention , intervention , intervention , intervention , intervention , intervention , intervention , intervention , intervention , intervention , intervention , 0.559752586358798 , -0.265913825506448 , -0.639383322341211 , 1.93605208497596 , 0.82541178473458 , -0.0549228237284651, 1.59452593058669 , 0.487651798620864 , -1.26777529371874 , 0.895124472995718 , -0.528463756359346 , 0.682772345596414 , -0.561161240438096 , -0.5567975365867 , -1.55829401337185 , 0.938747014275698 , 0.974447316728905 , 0.548856494441624 , 0.060498157072879 , -0.884774259208137 , 1.27241677999941 , 0.411509226179815 , -0.672677374560155 , -1.48491417369335 , 0.238048579305588 , 1.60567287544842 , -1.38042419732312 , 0.425047545789257 , -0.472450020084594 , -1.20505589041276 , 1.58388235847269 , -0.104533502294656 , -1.58002178699329 , -0.155447575974583 , 0.521853361327711 , 0.692155703022864 , -0.146409715892984 , 1.11556111829821 , 0.412758562037272 , 0.534099594794553 | 0.7961994 |
| 38 | 20 | 0.5 | 0 | 1 | control , control , control , control , control , control , control , control , control , control , control , control , control , control , control , control , control , control , control , control , intervention , intervention , intervention , intervention , intervention , intervention , intervention , intervention , intervention , intervention , intervention , intervention , intervention , intervention , intervention , intervention , intervention , intervention , intervention , intervention , 0.554206431946969 , -0.625339835076058 , -1.03479933205515 , -0.455473701019944 , 1.3817650050056 , 0.368229554043195 , 0.964667223547821 , -0.275804221699053 , 0.373077604901622 , 0.781347281432722 , -1.45994362506325 , 0.201473766409036 , 2.07764703075258 , -1.03367905113613 , 1.27314324751457 , -0.596422119030654 , 1.37947033030447 , 0.377012324157058 , 0.428496533714509 , -0.0473495711202931, 0.547814597297177 , 1.73812264819809 , 1.01736122194989 , 1.33704335754152 , -1.36809563947646 , 1.31735054396683 , 1.2424471369596 , -0.51821256207391 , -1.07270855713814 , 1.60923353556607 , 0.263306660516109 , -0.44113705213562 , 0.104689526664312 , -1.88018761657022 , 0.643350997073829 , 1.31282433942935 , 1.97265465416561 , 2.2442633209174 , -1.10423845877469 , -0.302416398207886 | 0.5579991 |
| 38 | 50 | 0.0 | 0 | 1 | control , control , control , control , control , control , control , control , control , control , control , control , control , control , control , control , control , control , control , control , control , control , control , control , control , control , control , control , control , control , control , control , control , control , control , control , control , control , control , control , control , control , control , control , control , control , control , control , control , control , intervention , intervention , intervention , intervention , intervention , intervention , intervention , intervention , intervention , intervention , intervention , intervention , intervention , intervention , intervention , intervention , intervention , intervention , intervention , intervention , intervention , intervention , intervention , intervention , intervention , intervention , intervention , intervention , intervention , intervention , intervention , intervention , intervention , intervention , intervention , intervention , intervention , intervention , intervention , intervention , intervention , intervention , intervention , intervention , intervention , intervention , intervention , intervention , intervention , intervention , -2.14983891012686 , 0.972509015919567 , 1.47368358824752 , -0.691921622086426 , -1.10362220360244 , 0.58360825520211 , -1.00189010156111 , -0.584477776382084 , 0.0695627653158951 , 0.423487238482144 , 0.435822758563689 , -0.362297698132783 , -1.47788611543771 , -1.63136124567173 , -2.33420273535848 , 1.43150871148981 , -0.832667969284301 , -0.951902424210737 , -0.296940007313593 , 0.0203534661574426 , -0.911284616760194 , 2.82142423130073 , 0.287317953299348 , -0.510188156820932 , 0.495651891145105 , 2.09088117694052 , 0.221979800989636 , 1.46696860194913 , 1.66028287437922 , -1.05674372656922 , 1.80540788760008 , 1.88841683648451 , -1.38527024626899 , 1.11853606323558 , -1.33326541904261 , 0.0234955830588741 , -0.869345478123909 , -0.821017275510883 , 0.011999831383792 , 2.12399347328552 , 0.970343442980614 , -0.581028142375502 , -1.05515304442811 , -0.184138867158786 , 0.625478094172974 , 1.87750222864594 , -0.41644757393333 , -1.2076988571214 , -1.0667464455316 , 1.85311840603183 , 1.01390650773989 , -0.823278235174418 , 0.0181242844791639 , -0.945368275549509 , 1.17951341183525 , 0.174369512151143 , -0.604257120971982 , -0.216612151729473 , -0.724549631446163 , 1.28700201104928 , -0.303122280036038 , 0.177704722587296 , 0.523678878740649 , 3.01327593172299 , 0.183162154289859 , -2.09656626253052 , -0.461648428301918 , -0.0500318132050878, 0.685062889128465 , -1.7866548255759 , 0.0175643752165609 , 0.532636088420264 , -0.468426208754159 , -0.575300005021383 , -2.59010258997235 , 0.783624019678688 , -0.977848539805742 , -1.39860975331583 , 1.23804629513138 , -1.47219317656029 , 1.44446066844558 , -0.785071062488502 , 0.625062181960984 , -0.814708593095832 , 1.04288468024838 , 0.443855933433117 , -1.58102501307958 , -1.52455027572257 , 0.857639332726764 , 0.626007531376322 , 1.68127035248382 , 0.69280709882872 , -0.0483604342775995, -2.43677908458253 , 0.818208431318718 , 0.655036026201663 , -0.748737813677704 , -1.4330120131016 , 0.435403338710159 , 1.28147554937675 | 0.6546018 |
| 38 | 50 | 0.5 | 0 | 1 | control , control , control , control , control , control , control , control , control , control , control , control , control , control , control , control , control , control , control , control , control , control , control , control , control , control , control , control , control , control , control , control , control , control , control , control , control , control , control , control , control , control , control , control , control , control , control , control , control , control , intervention , intervention , intervention , intervention , intervention , intervention , intervention , intervention , intervention , intervention , intervention , intervention , intervention , intervention , intervention , intervention , intervention , intervention , intervention , intervention , intervention , intervention , intervention , intervention , intervention , intervention , intervention , intervention , intervention , intervention , intervention , intervention , intervention , intervention , intervention , intervention , intervention , intervention , intervention , intervention , intervention , intervention , intervention , intervention , intervention , intervention , intervention , intervention , intervention , intervention , 0.260545443146963 , 0.105574959165272 , -1.55266425666615 , -0.965489973678972 , 0.346212330952402 , -1.53235386504674 , 0.956183843722281 , 0.344873167992384 , 0.176017179446316 , -0.204074478563771 , 0.226886293841046 , -0.498788412063179 , 1.05395797281075 , 0.0390563979418742 , -2.69481491751773 , 0.0600999416012006 , 1.3524005029767 , -0.969427820748912 , -0.652492087924811 , 0.0346135558643158 , 0.904024473924675 , -1.1887477392973 , -1.00805163714744 , -1.36601114649355 , 1.82185653956359 , -1.67000803276531 , 0.98239276046948 , -0.891868254517283 , 0.477220937094168 , -2.10534464419551 , 0.620063926725703 , -0.443451285544682 , 1.11071901705769 , -0.819040625006718 , -0.459846044864854 , -0.214167206294349 , -0.0649944788175575, -0.0467240357685638, 1.83096779009144 , 0.530758364740871 , -0.975154554014127 , -0.715942092390389 , -0.310357626750696 , -1.03513915218672 , -0.375536534445627 , -0.633006836855393 , -0.115041496862209 , 0.991362497404674 , 0.833130180350123 , 0.0129164996633328 , 1.18432061521294 , -0.819356259038052 , -0.27626499701913 , 2.00277994399971 , 0.494451701972268 , 1.54547657993608 , 2.67493847409519 , 1.25030918737184 , -0.0447046625519144, 0.343997868680054 , 1.36261930104847 , 1.49503756929199 , 1.23987389117871 , 1.87692390384548 , 0.200513333990807 , 0.212676158067252 , 1.07282249780496 , 0.262127003133713 , 0.727245983437655 , 2.36432078641988 , -0.471602544667475 , -0.715486281283576 , -0.795836057653645 , 0.251329339649135 , -0.817467551998627 , 0.422474972859589 , 1.46110409230189 , 1.08965684403301 , 0.158460402814243 , 0.681234450943088 , -0.0590741239188546, 0.544949832943428 , 2.90888000974304 , -0.816557166574639 , 0.352542916273213 , 0.132048154230131 , -0.0646455659796553, 0.318489260465086 , 2.02460603076956 , -0.747058461938356 , -1.1573070147275 , -0.687378413892319 , -0.297328686880112 , -1.50279579108407 , 0.423371744043549 , -0.183418117628919 , -0.348773233576934 , 0.122056025779144 , -0.510692418046354 , 0.965772734276834 | 0.0030106 |
| 39 | 20 | 0.0 | 0 | 1 | control , control , control , control , control , control , control , control , control , control , control , control , control , control , control , control , control , control , control , control , intervention , intervention , intervention , intervention , intervention , intervention , intervention , intervention , intervention , intervention , intervention , intervention , intervention , intervention , intervention , intervention , intervention , intervention , intervention , intervention , -1.02193957682148 , 0.511103346576945 , 0.154942450313628 , -1.43429181946069 , 1.89709676380256 , 0.327030800378899 , -0.0586229591366047, 1.03572881737665 , 1.19593015736894 , -1.14333602268265 , -3.18731376341747 , 1.52173914247074 , -0.218177714407162 , 1.84626106066589 , -1.35918379942168 , 0.223465903054095 , -0.580931953922256 , 0.564593150949833 , 0.395967772532275 , 0.577547424154725 , -1.53770009529728 , -2.68697420846812 , 0.568252856047621 , -0.0622767507578232, 0.284180275028428 , 1.16792050520429 , 1.04023876090211 , 0.732286676516777 , -1.58579840390524 , 0.0630170570591786 , 1.08760994870354 , 0.385482596824334 , 0.27636756084184 , -1.02456903551099 , 0.121482638844001 , 0.0667258889669255 , 0.3905881409581 , 0.646969600630868 , 1.70023554724433 , -0.0414139027615356 | 0.9627293 |
| 39 | 20 | 0.5 | 0 | 1 | control , control , control , control , control , control , control , control , control , control , control , control , control , control , control , control , control , control , control , control , intervention , intervention , intervention , intervention , intervention , intervention , intervention , intervention , intervention , intervention , intervention , intervention , intervention , intervention , intervention , intervention , intervention , intervention , intervention , intervention , 0.0804046086109716, 0.722442422015132 , -0.325592051580926, 1.77972723195535 , -0.882693608179418, -1.89516308836295 , -0.595506420405957, -0.840090132789704, -0.454287482692309, 0.72522666427089 , -0.376542120491959, 0.678102581228835 , 0.35932660474612 , 1.84593023068761 , 0.285480667591842 , -0.327345369394911, 0.846560652230235 , 0.0696932762633946, -0.843834476084288, -0.326691793614367, 1.8547462417943 , 0.716043316441701 , 1.76311104174445 , 0.126392232496663 , -0.126459664693881, -1.41984436348736 , 2.03911074420943 , -0.593756323617185, -1.03802091980823 , 1.71182081216758 , 0.914803040480023 , -0.719539423585189, 1.61130056532364 , 0.476506641666921 , 1.60958954382614 , 1.03541759064055 , 0.356128311882967 , 1.00676473318099 , 2.53640187537703 , -0.230034942109113 | 0.0494832 |
| 39 | 50 | 0.0 | 0 | 1 | control , control , control , control , control , control , control , control , control , control , control , control , control , control , control , control , control , control , control , control , control , control , control , control , control , control , control , control , control , control , control , control , control , control , control , control , control , control , control , control , control , control , control , control , control , control , control , control , control , control , intervention , intervention , intervention , intervention , intervention , intervention , intervention , intervention , intervention , intervention , intervention , intervention , intervention , intervention , intervention , intervention , intervention , intervention , intervention , intervention , intervention , intervention , intervention , intervention , intervention , intervention , intervention , intervention , intervention , intervention , intervention , intervention , intervention , intervention , intervention , intervention , intervention , intervention , intervention , intervention , intervention , intervention , intervention , intervention , intervention , intervention , intervention , intervention , intervention , intervention , -0.610910077054494 , -1.62773782338776 , 0.62375374502009 , 0.901078647132702 , -0.420175628218638 , 0.791872630975743 , -0.0254646638190358, -0.446561855958934 , 1.57501575443968 , 0.0891516310736388 , -2.681546557859 , -2.59292333676155 , 0.239091334400015 , -0.31715807390332 , 0.888606444923318 , 0.762904173929782 , 0.536094162653265 , -0.318300723655075 , 0.943583526003394 , 0.577585444887303 , -0.305301305030803 , -1.88057147229187 , 1.02694704411137 , 0.420581106966108 , 0.943598911129859 , -1.66541039604742 , -0.295243388824936 , -0.221037258900216 , -0.58004073862125 , 0.271702537094094 , 2.01431114381545 , -0.496473690244527 , 0.543781616638987 , 1.95986303023895 , 0.382263336943953 , 1.46084103909433 , 0.76759521557693 , 0.512912550235835 , 2.49022498055345 , -0.158669009934556 , 1.54380038167264 , -1.34785584444305 , 1.13677997386644 , 1.20704040718485 , -0.578032053200004 , -0.981958986860748 , 0.685384003323738 , 0.0647679862232789 , 0.323185847084822 , -1.75911648625476 , -1.63193396293683 , -0.861676845898793 , 0.461234414546402 , 1.41696107474964 , 0.817075904787585 , -0.0780329095026817, 0.733516006621777 , -0.402506008994587 , 1.25070495574381 , -0.0797190926071961, 0.108393422320722 , -0.128658464687891 , 0.538825392707926 , 0.533311659867832 , 0.213929323306546 , -1.4349336551463 , -0.0639759176599806, 0.220019365534766 , -0.696821158186622 , -1.33751109631845 , 0.730158056716355 , -0.0401612306080687, -0.0994784342247062, 0.320560218578972 , -0.595127012889563 , 0.704421312717605 , -1.013659540637 , -0.817312984449548 , 0.192559599410896 , -0.568845117123125 , 0.503145895026343 , -0.380698618511259 , 0.414921926415128 , 0.485510719984816 , -1.98437562764798 , -0.343553099709655 , -0.285002582951928 , -0.684610337986476 , 0.272787927905356 , 0.559888411819089 , 0.222600169161132 , 1.44008590457847 , 1.77969872260671 , -0.444920905524972 , 0.790555611709283 , 0.526878883319955 , 0.728977440404692 , 1.1338533545387 , 1.6221603099367 , -0.686728033530019 | 0.8164855 |
| 39 | 50 | 0.5 | 0 | 1 | control , control , control , control , control , control , control , control , control , control , control , control , control , control , control , control , control , control , control , control , control , control , control , control , control , control , control , control , control , control , control , control , control , control , control , control , control , control , control , control , control , control , control , control , control , control , control , control , control , control , intervention , intervention , intervention , intervention , intervention , intervention , intervention , intervention , intervention , intervention , intervention , intervention , intervention , intervention , intervention , intervention , intervention , intervention , intervention , intervention , intervention , intervention , intervention , intervention , intervention , intervention , intervention , intervention , intervention , intervention , intervention , intervention , intervention , intervention , intervention , intervention , intervention , intervention , intervention , intervention , intervention , intervention , intervention , intervention , intervention , intervention , intervention , intervention , intervention , intervention , 1.56930302254301 , 1.15689759216073 , 0.262694345809959 , 1.08820953265657 , -1.21128946146046 , -0.126269976420831 , -0.275944885345292 , -0.105631854548464 , -0.812678232719369 , -0.664552313680212 , 0.860449685047399 , -0.633363957911846 , 0.669751667744741 , 0.0851901397055524 , 0.306294941593146 , 0.498623559919539 , 1.87019180439477 , 0.863454672602077 , 0.370858009805856 , -0.327667969301574 , -0.142348876944566 , -0.365391361084646 , -0.645301490453652 , -1.59703005749717 , 2.0663424497087 , -0.269255621087815 , 0.618977761611073 , 0.559292211729973 , 0.634025735173936 , -1.42416460256437 , -0.42717221417504 , 1.71871994095968 , 0.294965597551112 , -0.336054565415205 , -0.713726672205578 , -0.37038395678918 , 0.0414041082789182 , 0.423319838359723 , 0.565917458356173 , 1.41599936402393 , -1.53663676230321 , 0.580651839507336 , -0.937102944706967 , 0.0756316071224988 , -1.32737812157804 , 0.51805572669506 , -0.794536302697694 , -0.640662533439652 , -0.183816788191225 , -0.236566248020078 , 0.112622233783184 , 0.911007751572958 , 1.5062451698308 , -0.0518825872050256 , 0.16207657613585 , 1.06695970927486 , 1.69584086191678 , 0.42999182325811 , 1.37917461454962 , 0.271904996178477 , 1.62334075428098 , -0.0984454172746975 , 1.33488467696507 , 0.307262557843232 , 1.12008197299912 , -0.323756427056176 , -0.398877477848183 , 1.19100548072473 , 0.369823275883407 , -0.536861572745956 , 0.108380667567922 , -0.771112886716629 , 0.538767710400641 , -0.938596270892853 , -1.22902743728597 , 1.90375043999946 , -0.00839909632962677, 0.911850213122623 , -1.97466512784489 , 0.241504041199595 , -1.09796934620627 , -0.621466608151256 , -0.80311305101591 , 0.135251538612155 , -0.267309296062139 , 0.164169304912348 , -0.607068207767468 , 0.0974114510287507 , 0.786022435721454 , 0.829651625174907 , -0.254827189726899 , -0.941735731801933 , 0.75005069736458 , -0.501197496364704 , 1.48682523447528 , 1.29130914432918 , 2.68519390342027 , -1.42648535142344 , 2.1403383475662 , -0.55680177812043 | 0.2389284 |
| 40 | 20 | 0.0 | 0 | 1 | control , control , control , control , control , control , control , control , control , control , control , control , control , control , control , control , control , control , control , control , intervention , intervention , intervention , intervention , intervention , intervention , intervention , intervention , intervention , intervention , intervention , intervention , intervention , intervention , intervention , intervention , intervention , intervention , intervention , intervention , -0.0986298839387962, -2.15372756156881 , 1.07862862636024 , -0.667020102155858 , 1.59116795592535 , 0.400164441172134 , 0.585453039734671 , 0.96152285600596 , -0.87252220007178 , -0.392878914058221 , -0.501549368265513 , -0.928328501254649 , -1.08907945411332 , 0.966474054188689 , -1.11987002818096 , -0.391126172404375 , -0.296511079560677 , -0.515814673711209 , -0.892138644132796 , -0.354795879721853 , 0.602275160871067 , -0.534765339029497 , 0.356909703311269 , 2.35116890637819 , 0.881510206315447 , 0.493431146347649 , -0.0085311200429903, -1.43370102057139 , 0.609085807375983 , -0.648778101281015 , 1.1791026553644 , -1.02846943683518 , -1.22605030481184 , -0.667829343492611 , 0.0897094282179163 , 0.310130068514273 , 0.200415135619647 , 3.00874095856721 , 1.48322499794974 , 0.851697237773162 | 0.0838601 |
| 40 | 20 | 0.5 | 0 | 1 | control , control , control , control , control , control , control , control , control , control , control , control , control , control , control , control , control , control , control , control , intervention , intervention , intervention , intervention , intervention , intervention , intervention , intervention , intervention , intervention , intervention , intervention , intervention , intervention , intervention , intervention , intervention , intervention , intervention , intervention , 0.146045518940181 , -0.807335591653441 , 1.28710678846749 , -0.0865431830793693, -1.84083743085214 , -1.02557497484063 , -0.820515192897053 , 1.11012557739808 , -0.0868939173451276, 0.959548488385054 , -2.49085859000692 , -0.883807079214053 , 0.45872291691498 , -0.528974243080325 , -0.608123376433755 , -0.799508139946883 , -0.0525574474039638, 0.0240967442194745 , -3.50380030720751 , 0.442624377957936 , 0.828379237103698 , 2.26249428146184 , -0.293450218162023 , -0.0448050637545876, 1.30018586253475 , -0.1524141061829 , 0.0384682060786673 , 1.43042589924422 , 1.47285163699427 , 0.554412923032389 , 0.262763155558032 , -0.0166487208600352, 1.18065909042888 , -0.401757389886168 , -0.274118157082571 , -1.32645408669345 , 0.603452449024593 , 1.40859753260163 , 2.26225352831529 , -0.134930649275767 | 0.0051948 |
| 40 | 50 | 0.0 | 0 | 1 | control , control , control , control , control , control , control , control , control , control , control , control , control , control , control , control , control , control , control , control , control , control , control , control , control , control , control , control , control , control , control , control , control , control , control , control , control , control , control , control , control , control , control , control , control , control , control , control , control , control , intervention , intervention , intervention , intervention , intervention , intervention , intervention , intervention , intervention , intervention , intervention , intervention , intervention , intervention , intervention , intervention , intervention , intervention , intervention , intervention , intervention , intervention , intervention , intervention , intervention , intervention , intervention , intervention , intervention , intervention , intervention , intervention , intervention , intervention , intervention , intervention , intervention , intervention , intervention , intervention , intervention , intervention , intervention , intervention , intervention , intervention , intervention , intervention , intervention , intervention , 0.170618294964015 , 0.301282234506845 , 1.0195888513363 , 1.75090529166781 , 0.390616970436786 , -0.602835582188759 , 0.450590023315983 , -0.601569347695712 , -0.11455124396604 , 0.382390547049967 , 1.27867647100861 , 0.0379706712791306 , -1.79629553395297 , -0.600041453146968 , 0.129466489284604 , -0.688442031508386 , 1.16644921402649 , 1.46825475942685 , 2.47120513129317 , 0.52226039850637 , 1.56433139614759 , 0.902833560648899 , -0.965981494672707 , -0.323639030472682 , 0.163113782783894 , 0.886059554650321 , -0.377017426755759 , -0.148990222630683 , 1.20039495352014 , 0.518412401530541 , -0.284221605405262 , 0.41156108186069 , -0.431122888816418 , -0.591758625991258 , -0.783693749866618 , -0.19251035937285 , -0.336905805289441 , 0.1670045409852 , -0.278597235379632 , 0.353224413589202 , -0.439837449992699 , 0.612412817872517 , -0.673062903589214 , 0.315376628008653 , 0.449553996735556 , -0.731194967426185 , -0.529088826145653 , -0.420185242582896 , -1.97294089857767 , 0.386125979904075 , -0.217883876731385 , 1.27812666677242 , -0.0937792978495387 , 0.322059744606964 , -0.138646629519577 , 0.0931238700275361 , -0.300213217974326 , -1.90064701942928 , 0.357561317695196 , -0.476608623879828 , -1.10696179266051 , -0.93868917981669 , -0.841601353731197 , -0.77409662537404 , -0.00503667483157215, -1.65020256921476 , 0.0549533044937458 , 1.06697782256517 , -1.13682913999224 , -0.0998630324798123 , 0.370964046813886 , 0.309716961800853 , 0.36981717706966 , -0.497403614984562 , -1.79187423281424 , 0.883915853662997 , 0.169024483429523 , -0.0405848359442021 , -0.888482129289612 , -0.880229914324695 , 0.0374623275803904 , 0.699013797096035 , 0.621805060979142 , 0.462566695129205 , -1.66012314647246 , -0.617191616374323 , 1.14357339430059 , -0.212328314770538 , 0.334542715547674 , 0.313937570207925 , -1.16780203028995 , 1.6573492701307 , 0.719128804532313 , -0.449616287923453 , 0.308500311702135 , 0.292645141556128 , -1.03666680088793 , -0.308880624626595 , 1.17032162913708 , 0.0996810850827111 | 0.1665534 |
| 40 | 50 | 0.5 | 0 | 1 | control , control , control , control , control , control , control , control , control , control , control , control , control , control , control , control , control , control , control , control , control , control , control , control , control , control , control , control , control , control , control , control , control , control , control , control , control , control , control , control , control , control , control , control , control , control , control , control , control , control , intervention , intervention , intervention , intervention , intervention , intervention , intervention , intervention , intervention , intervention , intervention , intervention , intervention , intervention , intervention , intervention , intervention , intervention , intervention , intervention , intervention , intervention , intervention , intervention , intervention , intervention , intervention , intervention , intervention , intervention , intervention , intervention , intervention , intervention , intervention , intervention , intervention , intervention , intervention , intervention , intervention , intervention , intervention , intervention , intervention , intervention , intervention , intervention , intervention , intervention , 1.28366108981888 , 1.06293900884502 , 0.6902163571109 , -0.965981837409574 , -0.668135437133193 , -0.242344857916779 , -1.13104582428234 , 0.643315331040307 , 1.28669223303417 , -1.22490252911299 , -1.34287122616502 , 0.158240022009839 , 0.870645340738899 , -0.0840649663560727, 0.491982600374915 , -0.739885141944675 , 1.13334492790495 , 0.242120019403643 , 0.0612625506845395 , -0.410565318782327 , -1.20428604407905 , 1.17621234650833 , 0.769013458102745 , 0.80318315782023 , -0.491467149293007 , -0.632026528341745 , -1.33034912311613 , -0.418034053841618 , -0.404424485435091 , 1.46673767679716 , 0.446301964504591 , 1.61497454345751 , -1.51347398142109 , 0.571859312236365 , 0.842486010954633 , -0.157158453159978 , 0.0207644898452473 , 0.257651092629607 , -0.467146687185798 , -0.0469925507351986, -1.46310357593528 , 1.57714765916715 , -1.53982848323881 , -0.208406096678036 , -1.99015461132219 , -0.306898072507773 , -0.943685428287511 , -1.19314035521798 , 1.45311932417645 , 1.74588945517088 , 0.457316413794097 , 0.418673192885743 , 1.01481143278865 , -0.610229779982727 , 1.67125839600613 , -1.30823636265263 , 0.464757998872345 , 0.188004247346333 , -0.584118023778274 , 1.74585950902254 , 0.709961153864993 , 0.538936171414045 , 0.366259058512989 , 1.58982217277708 , -0.254204111941074 , -0.0971486719798782, 1.34754303471275 , 0.585799986896814 , 0.643796291390612 , 0.133870391080884 , -0.553930559532678 , 1.2491449972537 , 0.140457842316958 , 1.94163309973291 , -0.536566585858227 , 2.18739155779891 , 1.80352424671624 , 0.790871013641816 , -0.913254131314506 , 1.34023397263593 , 2.14132458037292 , -0.0531514733926355, 2.43019736102063 , 1.2954749757503 , 0.344863251228151 , 0.00605520007599031, -0.0514925779271046, -1.42475571047048 , 1.12795926620007 , -0.515531363487797 , 0.276823234542478 , 1.37810864790387 , -0.0195358576739035, 1.48841623501917 , 0.180805098334387 , 0.61897240553914 , -0.162158983750363 , 1.19676278263644 , 0.719860709560617 , 1.73509853929538 | 0.0026030 |
| 41 | 20 | 0.0 | 0 | 1 | control , control , control , control , control , control , control , control , control , control , control , control , control , control , control , control , control , control , control , control , intervention , intervention , intervention , intervention , intervention , intervention , intervention , intervention , intervention , intervention , intervention , intervention , intervention , intervention , intervention , intervention , intervention , intervention , intervention , intervention , -1.09938555463733 , 0.551702870534679 , 0.190850153797681 , -0.325219524137045, -2.09287931194366 , -1.99060003613528 , -1.96835562243976 , 1.52256261613476 , 0.29915195099163 , 0.341200324213902 , -0.924899963806176, -0.569773482969233, -0.243311525286977, 1.16208134523177 , -1.15997962806677 , -1.04771967430816 , -0.445411772556107, 1.4134292804939 , 1.16554408102532 , 0.380848843959594 , -1.37781414762064 , 1.15952196685044 , 0.0740985000336465, -0.10699373000974 , 0.908601861147525 , 0.884465009518317 , 1.76689992669692 , 1.90386214304779 , 0.126335968589075 , -1.1410583590022 , -0.53879465512759 , 0.261009827037844 , -0.142319745056165, 2.20164034609987 , -0.139044751844474, 0.156383533733264 , 1.75284885887477 , 0.863623745491462 , 0.896172897167171 , -1.00512595391435 | 0.0577330 |
| 41 | 20 | 0.5 | 0 | 1 | control , control , control , control , control , control , control , control , control , control , control , control , control , control , control , control , control , control , control , control , intervention , intervention , intervention , intervention , intervention , intervention , intervention , intervention , intervention , intervention , intervention , intervention , intervention , intervention , intervention , intervention , intervention , intervention , intervention , intervention , 0.811015893079442 , -0.238997572836208 , 0.455820235093589 , -0.653302682469139 , 1.18515083019904 , 0.491736411814294 , -1.15375083865953 , 0.329960485593638 , -0.39013399867792 , -0.5039202375499 , 0.222206041477484 , 0.253173475152301 , 0.290566787333727 , 0.0337534081661614 , 0.0924297772505858 , -0.58528317637945 , 0.272441849699063 , 0.545057390692819 , 0.169846762713786 , 0.312642833282658 , -0.776256776533616 , -0.553293893948325 , -0.503771795641919 , 0.230668686087649 , 0.047368294015207 , -0.561488562363351 , 0.6593309059605 , 1.20608603981844 , 0.249636909489759 , -0.232735447446897 , 0.04942376743888 , -2.08004831089214 , -0.219322047268582 , 1.93916933349539 , 0.504102012005193 , 1.26230710279767 , -0.0129972041161975, -0.616373564808611 , -0.662210624827426 , -0.421171506520332 | 0.6010632 |
| 41 | 50 | 0.0 | 0 | 1 | control , control , control , control , control , control , control , control , control , control , control , control , control , control , control , control , control , control , control , control , control , control , control , control , control , control , control , control , control , control , control , control , control , control , control , control , control , control , control , control , control , control , control , control , control , control , control , control , control , control , intervention , intervention , intervention , intervention , intervention , intervention , intervention , intervention , intervention , intervention , intervention , intervention , intervention , intervention , intervention , intervention , intervention , intervention , intervention , intervention , intervention , intervention , intervention , intervention , intervention , intervention , intervention , intervention , intervention , intervention , intervention , intervention , intervention , intervention , intervention , intervention , intervention , intervention , intervention , intervention , intervention , intervention , intervention , intervention , intervention , intervention , intervention , intervention , intervention , intervention , 2.10226021466528 , -1.11856096842243 , -0.680108156112009 , 1.2842429108936 , 0.597108678925971 , -0.581132215851485 , 0.49169325024679 , 0.848071602970146 , -0.702520922384355 , -0.0827045377615699 , -0.827562043865303 , 0.0432089154686122 , 1.46687118188063 , -1.53657122598734 , 0.695368627576486 , 0.487796326142356 , 0.512803888048847 , -0.182280273589649 , -1.8534854448544 , -0.977727163375271 , 0.601247208079743 , -0.0787785584979282 , 1.48694241313493 , -0.323124035834687 , 1.66825515562665 , -0.00187461009218856, -0.439543178206578 , 1.43031811194372 , 0.869554321425241 , -1.24260837631316 , 1.37879434370336 , -1.22441190215928 , 0.343995028694113 , 1.63976153586981 , 0.947406974934118 , -0.714835493223243 , -1.73569038156138 , 1.13157340837942 , 0.0355390547130691 , 1.32796077327889 , 0.312349923736763 , 1.13312037308364 , -0.83874171200715 , -1.25787476138644 , 0.378052046844396 , 1.10937642745988 , 1.46802036691717 , 1.02687036974657 , -1.27409812883081 , 0.420026160378578 , -1.49430818934872 , -0.985988535045686 , 0.828552733125082 , 0.634182380018765 , -0.358828511105301 , -0.0163079841070712 , 0.503846809852728 , -0.897940203117886 , -1.5389898757029 , 0.0353125114328796 , -1.21091119150577 , 2.34128726980294 , -0.382807498849718 , 0.905722136661354 , 0.775257282653664 , 0.645660691630805 , -0.752952288244416 , 0.0674493620549343 , -0.349619045746409 , -1.22827415269634 , 1.46686436127821 , -1.1422302752847 , -0.329567500088451 , 1.49609487743402 , 0.819906645505607 , -0.580236004740544 , -0.0666155826353984 , 1.57532072418608 , 0.466289880780861 , -1.31411074520808 , -0.172550632217621 , 0.404262990745889 , 1.84073992019262 , -0.00374205585814813, -0.458854890324916 , 0.380702018759268 , 0.95359480022765 , -0.0912992937098607 , -0.802458941542032 , -0.662829587047347 , -0.541558278107841 , 0.476845618240871 , 1.02813054717432 , -0.443802778971633 , 0.82377279080278 , 0.0490168404049192 , -1.50077272105051 , 1.90267155822815 , -1.24378142705783 , 0.566021007463531 | 0.4779701 |
| 41 | 50 | 0.5 | 0 | 1 | control , control , control , control , control , control , control , control , control , control , control , control , control , control , control , control , control , control , control , control , control , control , control , control , control , control , control , control , control , control , control , control , control , control , control , control , control , control , control , control , control , control , control , control , control , control , control , control , control , control , intervention , intervention , intervention , intervention , intervention , intervention , intervention , intervention , intervention , intervention , intervention , intervention , intervention , intervention , intervention , intervention , intervention , intervention , intervention , intervention , intervention , intervention , intervention , intervention , intervention , intervention , intervention , intervention , intervention , intervention , intervention , intervention , intervention , intervention , intervention , intervention , intervention , intervention , intervention , intervention , intervention , intervention , intervention , intervention , intervention , intervention , intervention , intervention , intervention , intervention , 0.952112344108046 , -0.228666827020148 , 0.955182675620723 , -0.265862440707885 , -0.856602626520836 , -1.65613507361333 , -1.1028001417711 , -1.27003601221665 , -0.478778367256579 , -0.249182057659951 , 1.64824359316299 , -0.387649377527043 , 0.475078202717985 , -1.62872148313688 , 0.843698581870823 , 0.120853587149271 , -0.809710906316719 , -0.706561420420841 , -1.56067629275755 , -0.563266003670878 , -0.169643394500148 , 1.257911469977 , 0.0363033388044954 , 0.225320066109291 , 0.0677182326009418 , 1.50486304688463 , 1.71467832342571 , 1.13251409664706 , -0.916496807356648 , -0.195206540017264 , 0.227000089418356 , -0.622429357275055 , 0.0982212986346485 , 1.00708817563311 , 1.22778493921937 , 2.68365862115792 , 0.676980390795132 , 1.50478464895451 , 0.066666164448439 , -0.708505469702363 , 0.868054487659135 , 0.205158167548047 , -0.409983865417968 , 1.24704404707608 , 0.957341061789987 , 1.67077543074248 , 0.705452120658522 , -0.591771711039629 , -0.57457208943714 , -0.547949301252146 , 0.516865325637203 , 0.603982842606313 , -1.6045083241385 , 0.217510261977183 , -1.61432088589515 , -0.142934828205133 , 0.329896614022954 , 0.834491481412776 , 1.0876187123607 , 0.0619961897747026 , -1.37068200410994 , 0.967373334383082 , 0.222418748106253 , -0.69225995063479 , -0.137099972662281 , 0.37244101022097 , -0.09555735688662 , -1.12517514857502 , -1.16632904180578 , 0.190104965763298 , 0.477917407573735 , -0.0126963586743594, 1.91649213173161 , 0.666771680663212 , 0.175656695210377 , -1.42959809400671 , -0.0162592637326601, 0.535149200447906 , -0.249710787099066 , -0.500902491044244 , 2.05172725012942 , -0.268735971089605 , -0.742871814286199 , -0.668532088916772 , 0.413013807671138 , -0.0675564902814089, -1.43275631586207 , -0.860359794063283 , 0.548258547050292 , -0.564650207419169 , 1.40996147001872 , -0.394047676023915 , 0.643634514086887 , 2.41017401563519 , 1.3233190091056 , 0.710488252585272 , -0.419602996355123 , 0.253718754845061 , 0.0861662248357052 , 1.05553641877147 | 0.7483038 |
| 42 | 20 | 0.0 | 0 | 1 | control , control , control , control , control , control , control , control , control , control , control , control , control , control , control , control , control , control , control , control , intervention , intervention , intervention , intervention , intervention , intervention , intervention , intervention , intervention , intervention , intervention , intervention , intervention , intervention , intervention , intervention , intervention , intervention , intervention , intervention , 1.0442277977742 , 0.335874346522856 , -1.28502918856707 , -0.412887888019221 , -1.16890503911423 , 0.226962354060357 , -1.34286467726378 , 0.351028812680172 , -1.09805912507413 , 2.69244505328221 , 0.578566359552547 , 0.547361555744456 , -1.01658709364117 , -2.08677001032448 , 1.43173670875754 , -0.85320777168842 , -1.22307262844659 , -0.000738818150698042, -0.521820881818106 , -0.250464335353585 , -0.208895889258498 , -0.412777227930394 , -1.17392192717562 , 0.852387080344464 , -0.147767549419105 , 0.315162290896747 , -1.31497611042717 , 0.370173991225038 , 0.650093596128536 , -0.145685568169727 , 0.459970665703753 , -0.157854269110616 , -0.113814799777333 , -0.267469015086213 , -0.125556291675759 , -1.21519868902002 , 0.509100274603621 , 1.4534212318829 , 0.817113672649713 , 0.355618148379401 | 0.4537869 |
| 42 | 20 | 0.5 | 0 | 1 | control , control , control , control , control , control , control , control , control , control , control , control , control , control , control , control , control , control , control , control , intervention , intervention , intervention , intervention , intervention , intervention , intervention , intervention , intervention , intervention , intervention , intervention , intervention , intervention , intervention , intervention , intervention , intervention , intervention , intervention , -1.27622163504715 , 0.521447596043747 , 0.195016211645092 , 0.29779851295719 , -0.164261787020836 , -1.0495222024871 , -0.50673444871647 , -0.712160868618431 , 0.377085443710545 , 0.906567079971289 , -0.14448598639876 , 0.471876309656345 , 0.907691274083479 , -0.42407046889327 , -0.334237049115137 , -2.07788933205087 , 0.0162293434299519 , -0.0982381291144904, -0.835945894841283 , -0.913661007470847 , -1.75592509509904 , 0.793148868930021 , 0.988857680275387 , 2.14059247016895 , 0.259309252482563 , 2.39116488415214 , 0.158172844508474 , -1.05965806556087 , -0.0913423601641927, 0.243251277138019 , 1.02024466878667 , -2.01106101654607 , 0.691842633582996 , 0.451631910616242 , 0.399850624271535 , -0.409701805592007 , -0.338176063932845 , 2.45640155817659 , 0.0508919175619106 , 2.65407345267361 | 0.0446239 |
| 42 | 50 | 0.0 | 0 | 1 | control , control , control , control , control , control , control , control , control , control , control , control , control , control , control , control , control , control , control , control , control , control , control , control , control , control , control , control , control , control , control , control , control , control , control , control , control , control , control , control , control , control , control , control , control , control , control , control , control , control , intervention , intervention , intervention , intervention , intervention , intervention , intervention , intervention , intervention , intervention , intervention , intervention , intervention , intervention , intervention , intervention , intervention , intervention , intervention , intervention , intervention , intervention , intervention , intervention , intervention , intervention , intervention , intervention , intervention , intervention , intervention , intervention , intervention , intervention , intervention , intervention , intervention , intervention , intervention , intervention , intervention , intervention , intervention , intervention , intervention , intervention , intervention , intervention , intervention , intervention , 0.509372797186118 , 1.42131218073857 , 1.17699321772489 , -0.528185921598174 , 0.743703927780513 , -2.23814576744985 , -0.274520996829356 , -0.313783274251351 , -1.10408397942936 , 1.20140645862365 , -0.00782529531761834, 0.846788841679575 , 1.85269188940071 , 0.376196525674381 , -0.0452161536211559 , 0.0755476969280281 , 0.15353644503419 , 1.1516825315628 , 0.679595295745939 , -0.42047639449226 , 0.672531323869172 , 0.351763230987453 , 1.79328894382833 , -1.93493220760741 , -1.10966116990145 , 0.505275350224545 , 0.161090241569295 , 0.480154971101999 , 1.59008200190598 , 1.34132177650552 , 0.168750804066315 , -0.972103754987438 , -0.301964513402024 , 0.42422952064222 , 0.36330858562978 , -0.133991605863834 , -0.0897477950837204 , -0.682143116738301 , 1.26503930511878 , -0.618776857738594 , 0.178282215439879 , -0.946755127702953 , -0.644201533529509 , -0.0978602119707488 , 0.883824487330718 , 0.0834497793656822 , 1.91425870050772 , 0.105813480597712 , -0.552049435038138 , -0.898510537484536 , -0.0678512538535586 , 0.556482552643639 , 0.058295662533949 , -1.17490854710182 , 0.92431784241962 , 1.01802953324715 , 0.914488233344267 , -0.513744809151885 , -0.55738246894671 , -0.55833979713081 , 1.12402703460869 , 0.057400499758832 , -0.792793516372281 , 1.97524009684047 , -1.6789041285813 , -0.462916985185802 , -0.192156307387159 , 0.369627749990274 , 0.0635212627036711 , 0.28781636843306 , 0.349387011414742 , 1.33353307164784 , -0.960630528365961 , -0.118414028473772 , -0.644644841175301 , 1.42578836667553 , -0.9396244201611 , 1.00757681954492 , 0.64137498464105 , 0.630453933709813 , 0.879786507516385 , 0.352260131621631 , 0.0425053209714396 , -2.49002535927817 , 0.676886468302265 , -0.462904693348068 , -0.850295311873598 , -0.552683022355769 , -0.627265580799832 , 0.232205283219326 , 0.501831602271386 , -0.238600394937188 , 0.440415521780002 , 1.69204325022715 , 0.807308079166762 , -1.47889589146913 , -1.1849347795766 , -0.25963071540644 , 0.353374671314509 , -0.489344946831319 | 0.4348623 |
| 42 | 50 | 0.5 | 0 | 1 | control , control , control , control , control , control , control , control , control , control , control , control , control , control , control , control , control , control , control , control , control , control , control , control , control , control , control , control , control , control , control , control , control , control , control , control , control , control , control , control , control , control , control , control , control , control , control , control , control , control , intervention , intervention , intervention , intervention , intervention , intervention , intervention , intervention , intervention , intervention , intervention , intervention , intervention , intervention , intervention , intervention , intervention , intervention , intervention , intervention , intervention , intervention , intervention , intervention , intervention , intervention , intervention , intervention , intervention , intervention , intervention , intervention , intervention , intervention , intervention , intervention , intervention , intervention , intervention , intervention , intervention , intervention , intervention , intervention , intervention , intervention , intervention , intervention , intervention , intervention , -0.473464163693176 , 0.745117763751997 , 0.447653312836 , -0.606405160828599 , 0.813768902757842 , -1.83600379439037 , -0.492978897472023 , -0.12862748920714 , 1.08148595419867 , -0.879102419447636 , 0.98994403811027 , -0.114430085998259 , -0.465832170836699 , 0.103836642863561 , -0.0415956239155645 , 0.0660614495969442 , 0.121324100024622 , -0.764197121768985 , 0.53626554838288 , -0.116753850149008 , -2.20666873793388 , 0.582544671276428 , -0.648797721956066 , 0.290012445486395 , -9.28546025932426e-05, -0.00735023509185773 , 1.77424691716012 , -0.860630006981429 , -0.974235600920027 , -0.996933210931677 , -2.35580422471103 , 0.264322477565624 , -2.2637240098173 , -0.132263386188922 , -0.923407842989835 , -0.510598030954408 , 0.0584352744036942 , -0.903829082323422 , 0.192886078837997 , -0.758716921715268 , -1.27790207314016 , 2.01582788375053 , -1.58846128601482 , 0.342635700288585 , -1.91499264932054 , -0.0920149716146498 , 0.555278641998953 , 0.920819361581404 , 1.33428832648923 , -0.48686124675137 , 1.61420353557871 , -0.536108642045807 , 0.129795412048201 , 0.729246340317121 , -0.320739621824324 , -0.543535189119533 , -0.738323478694157 , 1.16093005542339 , 0.519064645038822 , 0.822660346916584 , 1.58994899981457 , -0.317706039454289 , 2.11285182517532 , -0.355483959755365 , 0.85186830378358 , 0.448997950810294 , 1.24520961337764 , -0.815193444501643 , 0.154644556415817 , 1.10200127578772 , 0.529259532148344 , 1.43402277805877 , 0.454982574457297 , 1.47710073438733 , -0.696495990986496 , -0.210844103358393 , -0.593003318369115 , -0.0158667333975193 , -0.154819966128671 , 0.272823896847774 , 1.601114991692 , 0.513411584372914 , 0.478930757772912 , -2.17118884655844 , 1.0016500743375 , 0.575564983000196 , -1.14044556445592 , -0.492266695803552 , 0.015469281280705 , 1.00858899242631 , 1.61016507119743 , -0.634701897057972 , 0.591440118953547 , -0.417396360327339 , 0.967122647825154 , -1.48914700706029 , -0.302552136555274 , 1.34038130093075 , 0.748802068124856 , 1.02141712325628 | 0.0041453 |
| 43 | 20 | 0.0 | 0 | 1 | control , control , control , control , control , control , control , control , control , control , control , control , control , control , control , control , control , control , control , control , intervention , intervention , intervention , intervention , intervention , intervention , intervention , intervention , intervention , intervention , intervention , intervention , intervention , intervention , intervention , intervention , intervention , intervention , intervention , intervention , 1.66036056581112 , -0.909400420024828, -0.628996052847025, -0.33723900705929 , 0.727853591569835 , 0.0948730922201143, -0.876687106629042, -0.224476551404815, 0.274992131856225 , -1.14828158872542 , -0.370596244914646, -0.90667675800724 , -0.434604360326827, 0.818306868812058 , 0.683629977751701 , 0.385343434243984 , 0.15896841143048 , -0.695312045604182, -1.25720970226153 , -0.112622459645571, 0.0820905257813314, 0.776648045167556 , 2.08975302622635 , 0.203311586017849 , 0.906836560440572 , 0.309772078344626 , 1.45027896092286 , -1.02842569388712 , -0.383265342742772, 0.0175649140669524, 0.153134085780314 , 2.02811449613264 , 0.668610186945613 , -0.837695664294613, -0.265467422574521, -0.872359401461519, 1.52591985950995 , 1.61322167684981 , 0.113873922755573 , -2.46034439021354 | 0.1405204 |
| 43 | 20 | 0.5 | 0 | 1 | control , control , control , control , control , control , control , control , control , control , control , control , control , control , control , control , control , control , control , control , intervention , intervention , intervention , intervention , intervention , intervention , intervention , intervention , intervention , intervention , intervention , intervention , intervention , intervention , intervention , intervention , intervention , intervention , intervention , intervention , -0.00667288699532087, -0.159320870701213 , 1.08696579890832 , -1.00160428160149 , -0.706447688246137 , -0.670639201554045 , 0.272571588069587 , 2.2876546342212 , -1.7775362266582 , -0.389660097697159 , -0.00175514392280199, -2.46087195418626 , -1.72890739100723 , -1.92440292145225 , -0.343302338473039 , -0.349514042242825 , 0.419205631623396 , 0.275857877225244 , -1.84425475754052 , 0.832558567021325 , 0.0381114580470785 , 0.743150061336383 , 0.349288086350428 , 0.341208273599474 , 0.804450871443133 , 0.201246235494586 , -0.901567041608201 , -0.525166293346103 , 0.172881913657777 , 2.29449431306848 , 1.17191892302569 , -0.0319050997741475 , -0.694526749602377 , -0.292932592307101 , 0.929441661146965 , 1.42515725716277 , -0.931638782211045 , 0.703720294016093 , 0.779202658060974 , 2.43814995712368 | 0.0139386 |
| 43 | 50 | 0.0 | 0 | 1 | control , control , control , control , control , control , control , control , control , control , control , control , control , control , control , control , control , control , control , control , control , control , control , control , control , control , control , control , control , control , control , control , control , control , control , control , control , control , control , control , control , control , control , control , control , control , control , control , control , control , intervention , intervention , intervention , intervention , intervention , intervention , intervention , intervention , intervention , intervention , intervention , intervention , intervention , intervention , intervention , intervention , intervention , intervention , intervention , intervention , intervention , intervention , intervention , intervention , intervention , intervention , intervention , intervention , intervention , intervention , intervention , intervention , intervention , intervention , intervention , intervention , intervention , intervention , intervention , intervention , intervention , intervention , intervention , intervention , intervention , intervention , intervention , intervention , intervention , intervention , -0.449206775570696 , -2.17082800448604 , 0.0219090790499098 , 0.236810851583097 , 0.339755497765361 , -0.536205237946203 , -1.59429041600653 , 0.0749555170086955 , -0.267837977063903 , 0.691453989924613 , 2.7168140139455 , -0.632623953578113 , -0.0977669565368514, 0.702479983910067 , -0.85462246463207 , 0.239298954050955 , 0.626642074463979 , -0.0307662857925967, -0.544145226112212 , -0.965310477594443 , -1.7559706640205 , -2.47465041666689 , 0.0592392560631994 , 0.24680494520521 , 0.320099194573463 , 0.0222009874440584 , -0.505851325856393 , 0.169458410017844 , 0.85614054168084 , -1.21687928031291 , 0.0366224838311341 , 1.73198202789015 , 0.383536266840286 , -0.158338508886807 , -0.670258720964798 , 0.939761791609504 , 0.309437157057124 , -0.715402128402171 , -1.00729029194638 , 0.0866906518794319 , 1.44528815216266 , -0.241096334433505 , 2.00900251911921 , -1.35947374840626 , -0.105676906549655 , -0.884719908719549 , -0.380914989802318 , 1.0594142390002 , -0.540912864513795 , -0.261062617316233 , -0.540478471964434 , -0.339613681999067 , 1.22596706139842 , -0.782597548335745 , -1.75637815866966 , -0.577268593857814 , 0.475277553543042 , 1.751563843421 , -1.22410678138449 , 0.232863437927528 , 0.871354170412126 , 0.608947373892851 , 0.416852614293512 , -0.445349497985096 , 0.0748756900086218 , 0.00826107013182581, -0.43558570584176 , 0.0628404355695445 , -0.841084896969495 , -0.0962841337459363, 0.734424578262847 , -2.13503884742519 , 0.70833415948873 , -0.486648520070089 , 0.280358309396049 , 1.34592447529379 , -1.10280535482426 , -1.38314749645682 , -1.26805200723927 , -2.13263468433818 , 0.187975878818721 , 0.754545933125078 , -0.405992599557416 , -0.715471992743189 , -0.647500483020948 , -1.02367409323471 , -0.191217212729144 , 0.282636551977787 , -1.07907420347371 , -1.14705236472251 , 2.04933093630944 , 0.374066196582117 , -1.15472609336506 , 0.260373368127999 , 0.844103687629926 , -0.17655034686659 , -0.703917168918258 , 2.49448505867808 , 0.0374797586251243 , 0.0787629664166432 | 0.8764815 |
| 43 | 50 | 0.5 | 0 | 1 | control , control , control , control , control , control , control , control , control , control , control , control , control , control , control , control , control , control , control , control , control , control , control , control , control , control , control , control , control , control , control , control , control , control , control , control , control , control , control , control , control , control , control , control , control , control , control , control , control , control , intervention , intervention , intervention , intervention , intervention , intervention , intervention , intervention , intervention , intervention , intervention , intervention , intervention , intervention , intervention , intervention , intervention , intervention , intervention , intervention , intervention , intervention , intervention , intervention , intervention , intervention , intervention , intervention , intervention , intervention , intervention , intervention , intervention , intervention , intervention , intervention , intervention , intervention , intervention , intervention , intervention , intervention , intervention , intervention , intervention , intervention , intervention , intervention , intervention , intervention , -0.664499147394322 , -0.74806031926009 , 0.0674225391520869 , -0.0152517763912788, 0.933293899415642 , 1.16285183904454 , -0.514338631856036 , -0.62213778506861 , -0.646487282806534 , 0.569383112518603 , 0.136403704577619 , -1.78884489376683 , -1.26000180968226 , 0.686554369984923 , 0.914434898450504 , 0.585232327334669 , 0.00818430654742714, 0.397830821559598 , 1.07205310936799 , -0.937414459247105 , -0.669869330685749 , 0.562598745501576 , -1.10637345616046 , -0.550382690941521 , -0.0161127364622182, 0.979767704989189 , 0.379006198268202 , 0.949280563471551 , 1.24300747509911 , -0.642775201087234 , -1.24271389687614 , -1.30375391034116 , -1.09788790639261 , 0.240933173810194 , -0.472831053973066 , 0.319256956264617 , -0.629273433676432 , -1.41390398140748 , 0.272734732710974 , -0.602508949599268 , -1.55406850105524 , 0.0629177919631052 , 1.44974111753413 , 0.851557326093785 , 0.241480955277635 , 1.04011344825686 , -0.0398056357386534, -0.17921583815862 , -0.654821282944251 , 0.365691683208423 , 0.237184692698561 , 1.92271383019302 , 1.75234102013451 , 0.387071356967076 , 0.687709097665496 , 1.65860197230025 , 0.133756979973193 , -0.279763593251826 , 0.675374710758084 , 2.04552062120833 , 0.764115307469345 , -0.564550087629425 , 1.09728155484804 , 0.869733585905464 , 0.686671084518248 , -0.43758328402322 , -0.155097862427375 , 1.9591536608606 , -0.205266512469676 , 1.49447300041463 , 1.79720656118104 , 0.72821057303142 , -1.43389335883251 , -0.80779584169685 , -0.570789150502639 , 0.38136516196202 , 1.65567630071743 , 1.54456930151063 , -0.501337956824335 , 1.21345261986875 , 1.21379939959896 , -0.565162615298755 , 1.15458302448461 , 1.58066583469927 , 0.782265801143096 , 1.51352599770185 , -0.54904983729322 , -1.07571716266987 , 1.62185360984043 , 0.0917306746869299 , -0.834197928074987 , 0.486315887440718 , 1.75139133473261 , 0.404562966052685 , 0.292990856793865 , 0.885790289635825 , -0.284200006787036 , 1.25431522667306 , 1.27887141770449 , 1.5943628913113 | 0.0001247 |
| 44 | 20 | 0.0 | 0 | 1 | control , control , control , control , control , control , control , control , control , control , control , control , control , control , control , control , control , control , control , control , intervention , intervention , intervention , intervention , intervention , intervention , intervention , intervention , intervention , intervention , intervention , intervention , intervention , intervention , intervention , intervention , intervention , intervention , intervention , intervention , -0.789010593555639, -1.49897463538956 , 0.907995059253081 , 0.937994065846698 , 0.928359693580286 , 0.386890382755722 , 1.74654733587163 , 0.670427863865693 , -0.47418291833647 , -0.916896568663651, -0.182332958054285, 0.302611503846367 , -0.968390939299062, 0.659504907688841 , -1.41798177706227 , 0.89422995159453 , 0.38140880712794 , 0.453727711562387 , 0.0997264296564319, -0.105591142059593, 1.14609010234847 , -1.37414989292346 , -0.561768828271183, 1.90921813989921 , -0.190350831834346, -0.20720806539021 , -0.201672878324973, 0.551677671574246 , 1.81288931746086 , 1.58349974997284 , 1.972624305608 , -0.318587912162671, 1.74638706420894 , 0.0265685559672666, -0.149798162005905, -0.72326889586037 , 0.294789235666225 , -0.724047829434545, -0.793164371739832, -0.138536674485833 | 0.5531451 |
| 44 | 20 | 0.5 | 0 | 1 | control , control , control , control , control , control , control , control , control , control , control , control , control , control , control , control , control , control , control , control , intervention , intervention , intervention , intervention , intervention , intervention , intervention , intervention , intervention , intervention , intervention , intervention , intervention , intervention , intervention , intervention , intervention , intervention , intervention , intervention , -0.124928152411503, 0.203113364088732 , 1.81488775885477 , -0.809161387099579, 0.220685247990691 , -1.11366643109612 , -1.22642225172527 , 0.407885738154448 , 1.93165086621208 , -0.951337304513132, -1.11046568696812 , -0.535209184324812, 0.650535171982865 , -1.46807545827909 , -1.16988131537049 , 0.797957081865134 , 1.02850048560408 , -0.262894961256066, 0.140122435705817 , -0.140889773137357, 0.728419763786644 , -1.32092364307226 , -0.474998523854243, -0.13308953681143 , 1.12319251225467 , 0.53793712739453 , 0.583102184491497 , 1.34445115997421 , 0.330519311552592 , 2.09200761788813 , -0.347028751996774, 0.51517202404865 , 0.325673347520679 , 1.10810030188949 , 2.02296714425692 , 1.02062940743611 , 0.943612305991362 , -0.81150896625612 , 0.410521436930998 , 1.42909473166534 | 0.0329527 |
| 44 | 50 | 0.0 | 0 | 1 | control , control , control , control , control , control , control , control , control , control , control , control , control , control , control , control , control , control , control , control , control , control , control , control , control , control , control , control , control , control , control , control , control , control , control , control , control , control , control , control , control , control , control , control , control , control , control , control , control , control , intervention , intervention , intervention , intervention , intervention , intervention , intervention , intervention , intervention , intervention , intervention , intervention , intervention , intervention , intervention , intervention , intervention , intervention , intervention , intervention , intervention , intervention , intervention , intervention , intervention , intervention , intervention , intervention , intervention , intervention , intervention , intervention , intervention , intervention , intervention , intervention , intervention , intervention , intervention , intervention , intervention , intervention , intervention , intervention , intervention , intervention , intervention , intervention , intervention , intervention , -0.812290307930619 , -1.59699131828881 , -0.4448692420319 , -0.300657882439473 , 2.09197194510802 , -1.29696446606483 , 1.91371538475886 , -0.886373336300043 , 0.47777476355123 , -0.0442227245047574, -0.992625876089536 , -1.21124851731699 , -0.0737607652367085, -0.125428810058408 , 0.711057554649558 , 0.167847609396324 , -0.607139647827302 , -1.37083050238818 , 0.97960734473788 , -0.770295208504545 , -0.0617951701448436, -1.50008106111497 , 0.86344431804279 , 1.36348526729609 , 0.873836555083477 , 0.0140736051314752 , -0.130613832541879 , 1.14710522445476 , 0.847322405105595 , 1.33522395564444 , -0.605936706801854 , 0.77153438859447 , 0.0614331642769786 , 1.97968497718729 , 0.687746661638004 , 0.287414208964807 , 0.101337984202755 , 0.689033179473592 , 0.195333445939022 , 0.75301599023427 , 1.30684861773999 , 1.44316679063597 , -0.753915152250301 , 1.29160810160122 , -0.810730266805801 , -0.218745520118455 , 0.054431554748756 , -0.0160057909576171, -1.29875517094829 , 0.508810533326287 , -1.21712389475271 , -0.31135841314089 , 0.574724256727811 , -0.413164975350827 , -0.629280643579417 , -0.932494739580956 , 0.0788896221601551 , -1.2655917630774 , 1.25763890866963 , 0.226600977418547 , -0.728176632185171 , 0.31967622214631 , -0.974530872547542 , 0.00748698763631277, 0.0430309752023577 , -1.27867397774594 , 1.18689038000462 , 0.573358535119068 , 1.24729871339145 , 1.6077387883595 , -2.37390974575283 , 0.767798052716322 , -0.359138171139543 , 0.224599716082883 , -0.845411979328399 , -0.901415468169562 , 0.990403320609624 , 0.435006308235859 , -2.11504726077766 , 0.388817286730717 , -0.733353809280759 , 0.0058342960941635 , -0.844251832304487 , -1.43808921393186 , -0.381856256591947 , -0.950901819672312 , 1.03356705502194 , 0.565042292695005 , 1.08030201324879 , 0.254142135136128 , 0.708824508790978 , 0.622423622319726 , 1.82593409331173 , -1.53123011539072 , -0.0444265089077929, 0.966407392574815 , 0.201977607959197 , 2.45606978161373 , 0.204630398340977 , -0.0269355380620848 | 0.4517480 |
| 44 | 50 | 0.5 | 0 | 1 | control , control , control , control , control , control , control , control , control , control , control , control , control , control , control , control , control , control , control , control , control , control , control , control , control , control , control , control , control , control , control , control , control , control , control , control , control , control , control , control , control , control , control , control , control , control , control , control , control , control , intervention , intervention , intervention , intervention , intervention , intervention , intervention , intervention , intervention , intervention , intervention , intervention , intervention , intervention , intervention , intervention , intervention , intervention , intervention , intervention , intervention , intervention , intervention , intervention , intervention , intervention , intervention , intervention , intervention , intervention , intervention , intervention , intervention , intervention , intervention , intervention , intervention , intervention , intervention , intervention , intervention , intervention , intervention , intervention , intervention , intervention , intervention , intervention , intervention , intervention , 0.432392010501056 , -0.867772513918021 , 0.530849863567624 , 0.940874615071528 , 0.167828248654914 , 1.30026856773096 , -1.08110765521491 , 0.565754471680056 , 0.91569404617182 , -0.531129306534187 , -0.385432848673555 , -1.06930264306133 , -0.568605083933908 , -0.713561547444221 , 1.06192062193238 , -0.227084099962702 , -0.419205845728942 , 1.81498245182652 , -1.5368647378423 , -0.582839787401358 , -1.12865409681376 , 0.804112823100873 , -0.19464989255783 , -0.447360928005841 , 0.518524610379732 , -0.716964066211159 , 0.371863189261623 , 0.400183485334574 , 0.883658628921027 , 0.41968121653716 , -0.0726420392201075, 1.52155350540101 , 0.478872110275155 , -0.0710238064726975, -0.323674374273302 , 0.940771122230103 , -0.831076362467721 , 1.62217956360487 , -1.21905733679385 , -0.336213411375779 , -0.926554334792535 , 0.452656490714928 , -0.771497917616657 , -0.188667291459695 , -0.546218926371414 , 0.250012727718952 , -0.406085452093426 , 0.528278652310918 , 1.40738469042116 , 0.136612613859557 , 0.70257735296588 , -0.712316004743222 , 0.443664329887947 , 2.55615618408312 , -0.233006693680287 , -1.12059607422367 , -0.232065052829534 , 0.331503890823649 , -0.29266252379332 , 2.38952082959709 , 0.647164421450754 , 1.21399976327522 , 2.35367958621326 , 1.74911372544679 , -0.851515596118156 , 2.81533888290261 , -1.06472394118543 , -0.123267596528557 , 0.834283356324209 , 0.919826012958623 , 0.298616545649243 , -0.287075221337701 , 0.764267330642591 , 0.19894774598966 , 0.765858237469683 , 0.893339110423021 , -0.520238673851881 , -0.324938535653371 , 2.20844349056077 , 0.359360148878239 , -0.799010701044583 , 0.876649157871072 , 0.401584213570612 , 1.64362842679652 , 1.29138895860917 , -0.03309551574801 , 1.76522906866181 , -0.291670072233256 , 4.0582993354654 , 2.83415076883877 , -0.939757872506171 , 1.40413121950061 , 1.42659660438978 , -0.41952035748939 , -0.094362095025455 , 1.36803922608524 , 0.469790217606805 , 1.1413592585759 , -0.937942770994055 , 0.646581867786921 | 0.0034853 |
| 45 | 20 | 0.0 | 0 | 1 | control , control , control , control , control , control , control , control , control , control , control , control , control , control , control , control , control , control , control , control , intervention , intervention , intervention , intervention , intervention , intervention , intervention , intervention , intervention , intervention , intervention , intervention , intervention , intervention , intervention , intervention , intervention , intervention , intervention , intervention , 0.975283071719574 , 0.75258109389097 , 0.256177272749186 , -0.850690216385623 , -2.61692945422018 , -0.698549336885664 , -0.662497303359807 , 0.371010152404359 , 0.251887603117283 , 1.40690522026499 , -0.0394045125594764, 0.0554927462566105 , -0.622317278134967 , 0.980546741225459 , 0.756739370337461 , 0.695442486492409 , 0.751829329590187 , 0.288716923261126 , 0.0240844205632377 , -0.321888228625444 , -0.859300598029916 , -1.09778761664725 , 0.0260831305246432 , -0.428271951095254 , 1.11983013440925 , -0.196264201563646 , -1.04077081680006 , -0.596407714343845 , -1.26370005776984 , -0.768266701528573 , 0.142102999399202 , -1.2518544462869 , -0.113965536937003 , -0.677542490004916 , 0.962368066572514 , 1.63496760301271 , -0.566864564796691 , -2.1018278884343 , -1.68634636092726 , -0.70326576844349 | 0.0590119 |
| 45 | 20 | 0.5 | 0 | 1 | control , control , control , control , control , control , control , control , control , control , control , control , control , control , control , control , control , control , control , control , intervention , intervention , intervention , intervention , intervention , intervention , intervention , intervention , intervention , intervention , intervention , intervention , intervention , intervention , intervention , intervention , intervention , intervention , intervention , intervention , 1.00902974210412 , -0.249054063783084 , -0.475244789166613 , -0.689238588512808 , 0.246253925830195 , 0.0830706442060386 , 0.962618451288986 , -0.104286195811719 , -1.37009155589891 , 1.36512530046225 , 1.07907307569788 , -0.052902466559066 , -0.471498251538889 , 0.899711188779886 , -0.0449568682050266, -0.631781221027477 , 1.7223130701306 , -1.0721040753614 , 0.30519652072093 , -0.815637912101969 , -0.91505771916282 , 2.09178331189341 , 1.28350106603718 , 0.943779325995248 , 1.01494621306641 , -0.830013929925969 , 0.754023498471431 , 1.85985719824638 , 0.408936753940961 , 1.49155946960881 , 1.15763249720578 , -0.934931504267981 , -0.0500262998186618, 1.97346434834589 , 1.66648545991656 , -0.084233458279802 , 0.558798122035103 , -0.0214039216766286, 0.527088429255476 , 0.541503605842609 | 0.0450627 |
| 45 | 50 | 0.0 | 0 | 1 | control , control , control , control , control , control , control , control , control , control , control , control , control , control , control , control , control , control , control , control , control , control , control , control , control , control , control , control , control , control , control , control , control , control , control , control , control , control , control , control , control , control , control , control , control , control , control , control , control , control , intervention , intervention , intervention , intervention , intervention , intervention , intervention , intervention , intervention , intervention , intervention , intervention , intervention , intervention , intervention , intervention , intervention , intervention , intervention , intervention , intervention , intervention , intervention , intervention , intervention , intervention , intervention , intervention , intervention , intervention , intervention , intervention , intervention , intervention , intervention , intervention , intervention , intervention , intervention , intervention , intervention , intervention , intervention , intervention , intervention , intervention , intervention , intervention , intervention , intervention , -0.928650043935138 , -0.188233307194201 , -2.06804730701679 , 1.21171676597237 , -0.576744538998743 , -0.867903735236814 , 1.73839920758694 , -0.829934694209296 , 0.833989507082032 , -0.507683742207464 , 1.06279631498682 , -2.20311655889071 , -0.373609599778987 , 0.193556469235124 , -0.0894964594573491 , 1.12405697223875 , 2.00334221150097 , 0.313710818631406 , 2.47962885769968 , 0.261219488171321 , 0.240569590849862 , 1.07253047416898 , -0.848187826613154 , 0.217776811365475 , -2.14292464634224 , -1.27826743174223 , -1.14706899833296 , -0.510031986448571 , 0.206928731996523 , -0.342243673123219 , -1.32788001191617 , -0.389818880107947 , 0.121454749746169 , 1.34053683674114 , -0.837370655997567 , -0.249922483795336 , -1.30021066848462 , 0.216385216922549 , 0.781386066328747 , -2.00154591220758 , -2.58517042847104 , 0.584526633047963 , -0.782514792208809 , -0.12416345222686 , 2.35388835744886 , -1.23948313079836 , -0.827105582650515 , -1.49429900840798 , -2.68266954643945 , -0.792388297688761 , 0.453958956433531 , 1.1262723893997 , 0.326403895524666 , -0.460178517769932 , 0.399567077341818 , 0.586721411083979 , 0.561743045770558 , 0.120648104111403 , -0.53696566634054 , 1.17595590633283 , 0.106414500352283 , -0.000579090622688256, -0.715307734314176 , 0.665205791348723 , 1.02491312678012 , 0.2449856113287 , -0.33967492561496 , 0.642599839127845 , -0.0723009553928058 , 1.04857194402666 , 1.3809580051432 , -0.579351276427314 , 0.0828928632043296 , -1.07219152513833 , -1.54669648714939 , 0.462450774700237 , 0.346980827197903 , 0.437610934407204 , 0.220951835306962 , -0.468355253162164 , 1.4484696039303 , -0.961313195873315 , 1.17054499610544 , 0.988834948043459 , 1.24172584409552 , -0.59106510895091 , -0.987556920713108 , -0.167976162190895 , 0.998698186963389 , -0.147336499799262 , 0.513823439539958 , 1.28793457246132 , 0.679003822373719 , -1.14686693057168 , 0.455179770140564 , -0.123206965406837 , 0.881603311463827 , -1.1289265031419 , -0.0294021159066797 , -0.470302487368472 | 0.0276614 |
| 45 | 50 | 0.5 | 0 | 1 | control , control , control , control , control , control , control , control , control , control , control , control , control , control , control , control , control , control , control , control , control , control , control , control , control , control , control , control , control , control , control , control , control , control , control , control , control , control , control , control , control , control , control , control , control , control , control , control , control , control , intervention , intervention , intervention , intervention , intervention , intervention , intervention , intervention , intervention , intervention , intervention , intervention , intervention , intervention , intervention , intervention , intervention , intervention , intervention , intervention , intervention , intervention , intervention , intervention , intervention , intervention , intervention , intervention , intervention , intervention , intervention , intervention , intervention , intervention , intervention , intervention , intervention , intervention , intervention , intervention , intervention , intervention , intervention , intervention , intervention , intervention , intervention , intervention , intervention , intervention , 1.35918764414079 , 0.923934201054867 , -1.31956462269324 , 1.01587467717503 , -1.29198120007146 , -0.0130929274460786, -0.440422198251359 , -0.765996175057702 , -0.347949031728153 , -0.602832702243112 , 0.00772338778301603, 0.0920864135704964 , -1.1067489797011 , -0.373891721688348 , 0.757684366651002 , -0.180551284394115 , 0.814453649764764 , -0.718302799638505 , 1.72631598301954 , 0.0184776506678927 , -0.539330489925823 , -1.44076346411892 , -0.621283212422154 , 0.597104359424969 , -0.486312414585438 , 0.521588841399635 , 0.618543513993073 , -1.0157594340896 , -0.465690031067941 , -0.795460909050859 , 0.827439548967968 , -0.247723227757897 , 0.0917313470357483 , 1.99187609915657 , -0.98150971024117 , 0.458584480767422 , -0.26314858272691 , -0.728658751158749 , 0.251295444598769 , -0.891742236391384 , -1.57051193936444 , -0.457971712794086 , -0.0908941918393497, -0.493891618362373 , 0.720574130363755 , 1.00645723075298 , 0.782248317255192 , -1.31758918960371 , -1.05441226869034 , -0.326638396989429 , 0.901525756966634 , 0.969815711341119 , 0.149991628515119 , 1.15122430028874 , 0.373426366878241 , -0.548559943722759 , 0.755544354117746 , 0.33588110647066 , 0.300779340550994 , 0.921783465579898 , -0.959791781794521 , 0.694868640447456 , -0.49512173652968 , 0.0559949797249416 , 1.60515031569832 , 1.3640255444963 , 1.87110077774209 , -1.14613771836391 , -0.588383682774805 , -0.0579975461017561, 0.348931995573089 , 0.739225787040918 , 1.70404344858641 , 1.30571987508521 , 0.745492913694452 , 1.09973886221106 , 0.497443918355926 , 0.394636990804171 , 0.250101614870387 , -0.155987040608258 , 0.874897072675735 , 1.35779536235555 , 2.12136796403607 , 0.628525746188379 , 1.53082306636148 , 1.23336584891714 , 0.728274227757449 , 1.50013441177132 , 0.165207505662289 , -0.619250552972329 , -0.13549050223698 , -0.804440594035779 , 0.552948692194151 , 1.38711830470568 , 0.60807951335775 , 0.49347572469198 , 1.08144243967587 , -0.707602114079866 , 1.73389686525694 , 1.35889101432337 | 0.0000282 |
| 46 | 20 | 0.0 | 0 | 1 | control , control , control , control , control , control , control , control , control , control , control , control , control , control , control , control , control , control , control , control , intervention , intervention , intervention , intervention , intervention , intervention , intervention , intervention , intervention , intervention , intervention , intervention , intervention , intervention , intervention , intervention , intervention , intervention , intervention , intervention , -0.384456417988636 , -1.75983166474544 , 0.550936148132203 , -1.06971440618193 , -0.707793619806885 , 0.623338417333553 , -0.0945680893176594, -1.51496120040029 , 0.473744426674273 , -0.424324215244312 , 1.34042992189108 , -0.148892820274891 , 0.915384901919504 , -0.474884154075731 , 0.387623853326763 , 0.587318670334426 , -1.1237770299479 , 0.403565123810822 , -0.423244507811278 , -1.6701488728612 , -0.706635231814717 , -0.212069798954292 , -0.0182870820410413, -0.157146278848542 , 0.0363559407363707 , 1.29470842156664 , 0.179916667110856 , -0.861349449771886 , 1.00074243099607 , 0.500962383063087 , 1.36891453726989 , 0.349695570870531 , 1.80312287156061 , 1.34144703814137 , -0.964235083167799 , 0.0862194857760116 , 0.0937415530977696 , 0.8701542626333 , 0.839327439658386 , -0.786497125740365 | 0.0569664 |
| 46 | 20 | 0.5 | 0 | 1 | control , control , control , control , control , control , control , control , control , control , control , control , control , control , control , control , control , control , control , control , intervention , intervention , intervention , intervention , intervention , intervention , intervention , intervention , intervention , intervention , intervention , intervention , intervention , intervention , intervention , intervention , intervention , intervention , intervention , intervention , -1.24361796674584 , 0.43658631002683 , -0.115212133648035, 1.25407036501083 , 1.06598857457337 , 0.375432515952605 , 0.12394207238655 , 0.260688536662462 , 1.16566358360638 , -2.24446523194981 , -0.482034282271582, 0.271536085753495 , 0.581921192490566 , 0.696876598693745 , -0.534307089135217, -0.624570244221781, 0.841696190476565 , 1.48717681702307 , -1.37108141852754 , -2.11820870411557 , -0.174144381551553, 2.91235052170405 , 1.09661762993907 , 1.48609713243584 , 1.35072660230934 , -0.874528887114613, 0.961071474367143 , 0.546476417329157 , 1.27827156447959 , 0.324381779411033 , 0.785098798065813 , 0.463250154946968 , 1.60631834955931 , -0.916130170132407, -0.268372873936058, 1.03559631127441 , 1.61592904151694 , 0.100394824548159 , 0.977205806443046 , 0.401688956422922 | 0.0238466 |
| 46 | 50 | 0.0 | 0 | 1 | control , control , control , control , control , control , control , control , control , control , control , control , control , control , control , control , control , control , control , control , control , control , control , control , control , control , control , control , control , control , control , control , control , control , control , control , control , control , control , control , control , control , control , control , control , control , control , control , control , control , intervention , intervention , intervention , intervention , intervention , intervention , intervention , intervention , intervention , intervention , intervention , intervention , intervention , intervention , intervention , intervention , intervention , intervention , intervention , intervention , intervention , intervention , intervention , intervention , intervention , intervention , intervention , intervention , intervention , intervention , intervention , intervention , intervention , intervention , intervention , intervention , intervention , intervention , intervention , intervention , intervention , intervention , intervention , intervention , intervention , intervention , intervention , intervention , intervention , intervention , 0.228772521291114 , 0.929514795659966 , -0.656063703561311 , -1.92951431328096 , -0.0487315980914103, 1.04790951173534 , 0.221186957624514 , 0.692849884154062 , -0.482213168723872 , -1.16359609626465 , 2.03544120564058 , -0.519396067344784 , 0.347404718559663 , 0.191590324830053 , -0.154456768359076 , 0.0873333884898897 , 0.877229100829388 , 0.722774957098121 , 1.61554773553239 , 0.131126198498805 , -2.12170450783626 , -0.241399926362597 , 1.21391701732533 , 1.11904229924222 , 1.32388030274141 , 1.50040962862349 , 0.00624329279415561, -0.545282560158312 , -0.259543139516286 , -0.504431246994855 , 0.978816485622846 , -3.04917102788389 , 1.21786430190548 , 0.0762180271297166 , 1.64673520588571 , 0.911980491123585 , -1.16056653914444 , 1.73047113769899 , -0.232665459721507 , 0.365284747828338 , -0.066066350951664 , 0.664037667235497 , 0.325502839875157 , 0.0636916102889829 , -0.95489401536285 , 1.93065845935286 , -0.768827268079958 , 1.77658473923003 , -0.989153439889119 , -0.50468233535485 , -2.43793551197874 , -0.447731272040283 , -0.556583691745649 , -0.874669385540861 , -0.433593107475521 , -1.65169773807453 , 1.29284146090091 , 0.588154007382926 , -0.247174429543 , -0.0901614460044089, -0.267989377161785 , -0.819912089887844 , -1.35168703448828 , 0.935058165925441 , -1.13130484586326 , -0.520539234296101 , -0.510674634683518 , -1.69500026078313 , -0.580285434381259 , 0.455097374488927 , -1.85704618917616 , 0.171490671443584 , -0.786127639897846 , 1.16220480130835 , 2.27611684363043 , 1.09048946070668 , 0.553686943350087 , -0.0584321948097341, -1.26054063968741 , 1.03173417709673 , -1.24147080238936 , 0.0476107568275193 , 0.944453603223943 , 0.296920987730439 , 2.13259462520611 , 1.39842058003713 , -0.901984258619292 , 1.07794750194895 , 0.0970461996300174 , 0.0962322715549343 , 0.845196095524161 , -1.57409972657961 , -1.07578236033897 , -0.172634866849004 , -0.0962007463207802, -0.954343159692448 , 0.00187155842424535, -0.519754788081175 , 1.18907221974066 , 1.33485076577019 | 0.1711718 |
| 46 | 50 | 0.5 | 0 | 1 | control , control , control , control , control , control , control , control , control , control , control , control , control , control , control , control , control , control , control , control , control , control , control , control , control , control , control , control , control , control , control , control , control , control , control , control , control , control , control , control , control , control , control , control , control , control , control , control , control , control , intervention , intervention , intervention , intervention , intervention , intervention , intervention , intervention , intervention , intervention , intervention , intervention , intervention , intervention , intervention , intervention , intervention , intervention , intervention , intervention , intervention , intervention , intervention , intervention , intervention , intervention , intervention , intervention , intervention , intervention , intervention , intervention , intervention , intervention , intervention , intervention , intervention , intervention , intervention , intervention , intervention , intervention , intervention , intervention , intervention , intervention , intervention , intervention , intervention , intervention , -0.608074178994595 , -1.67369376375581 , -1.40344221074462 , 0.34571110237952 , 1.1545098902822 , -0.695232099331696 , 0.56710819427356 , -0.466731799860115 , -0.409385849273014 , -0.123077384157066 , 0.160373790879789 , 0.598243513752984 , -0.755675627695925 , -0.412842534621627 , 0.365932654237515 , -0.0587395572260071, -1.20223605070338 , 2.40952247923113 , -0.724050605777621 , -0.262830054881113 , -1.27060598656649 , 0.622012626366713 , 0.242816410812484 , -0.179229909806068 , -2.03672677700252 , -0.994070670386757 , -0.056431853599854 , 0.172516144608466 , 0.42696459159372 , -0.207166397510721 , 0.805567937808643 , -0.545419939761864 , -0.974541505919001 , 0.104834123320255 , 0.772213124145383 , 1.11321779932592 , -1.66638700217739 , -1.0192590503829 , 1.97055487077916 , 1.3155948952531 , -0.808675928333375 , -0.116742364183645 , -1.14207542249142 , -0.270224776179698 , -0.386393276264285 , -0.373817367798131 , -1.03722166129784 , 0.571629249353019 , 0.826405473497905 , 1.00882388166354 , 1.65065798898747 , 0.765984871356295 , 1.13396519676568 , 0.77654534321103 , -0.163019984663846 , -1.03507317611626 , 0.889197208960508 , -0.349957971858984 , -0.434685958623583 , -0.640051726719266 , 0.690585911741429 , 0.389606709024742 , 1.76424955798509 , 1.14330800217355 , 0.595767096604686 , 0.184950780149339 , 0.184894312744077 , 1.92911651758269 , 1.20145967797937 , -0.393093876854523 , 0.979503163675713 , 1.09821305458455 , -0.60275982235606 , -0.502581493580541 , -0.405258138686607 , 3.560068795612 , -0.24934795337676 , 2.62538190410753 , 0.830720453909587 , 0.224383372127817 , 0.317167706739224 , -0.196289250187621 , -1.02781427381447 , 0.312689513863597 , 1.0420136868595 , -0.756995852630541 , 0.412968202601731 , -1.65705025612265 , 0.516966594216238 , -0.285211780494855 , 1.31179537489006 , 0.882486808883435 , 1.35974574001368 , -0.715539105873921 , -0.052965359400956 , -0.40854732962165 , -0.237148994079005 , 2.43889013876777 , -0.521106006789067 , 0.384415794585427 | 0.0061320 |
| 47 | 20 | 0.0 | 0 | 1 | control , control , control , control , control , control , control , control , control , control , control , control , control , control , control , control , control , control , control , control , intervention , intervention , intervention , intervention , intervention , intervention , intervention , intervention , intervention , intervention , intervention , intervention , intervention , intervention , intervention , intervention , intervention , intervention , intervention , intervention , 0.641737052583729 , -0.516542399882164 , -1.0580069750193 , -0.595059638004973 , -0.732167605873691 , -0.552623783587272 , -0.765233118035905 , 0.497195857585271 , -0.829735340908506 , 0.717876871132193 , -0.912245152610176 , -0.216530773195174 , -0.681393234803774 , -0.970683426899212 , -0.356890274041477 , -0.0100260966566659, 0.485868007540987 , 1.28553258986326 , -0.461181771645265 , -0.918177821227807 , -0.541556424039823 , 2.6254972496099 , 1.95789436742479 , -0.965529190650064 , -0.549446263667908 , 0.189470533700863 , -0.526622932437953 , 0.900744492436212 , -0.967066193787214 , 1.26231407854447 , 0.836389677601791 , 0.338255211247277 , -0.590465480056044 , 0.874601775994887 , 0.465368972973256 , 0.929337292542753 , 0.0751618073925684 , -0.201974386271342 , -1.23506035762643 , -1.50717459129923 | 0.1100320 |
| 47 | 20 | 0.5 | 0 | 1 | control , control , control , control , control , control , control , control , control , control , control , control , control , control , control , control , control , control , control , control , intervention , intervention , intervention , intervention , intervention , intervention , intervention , intervention , intervention , intervention , intervention , intervention , intervention , intervention , intervention , intervention , intervention , intervention , intervention , intervention , 1.37237375556412 , 0.880688760214422 , -1.95030215610916 , 2.05852737941671 , 1.76299060988209 , -0.545965799943504 , 0.722935395036526 , 0.839989462591927 , -0.0121622563636515, 1.04069400869822 , 0.0669719548157729 , -0.996076847630815 , -0.737817924276578 , -0.462722321940866 , -0.385590920587746 , 0.65419544677174 , 1.05022213903192 , 2.2314775599139 , 0.00617059499104103, -1.41245015938386 , 1.36064829359506 , 0.0215953242931441 , -0.280551758490861 , -0.4286378069284 , -1.04248218729923 , 1.69420320956711 , 0.17173961708646 , 1.41408128984588 , -1.08971522620646 , 2.5210133551386 , 1.60906962810331 , -0.3145977513396 , 2.17266331428414 , 0.338983819896293 , 0.416070698473382 , 0.72908364245483 , -1.11050610028128 , -1.047646226423 , 1.01132794782003 , -0.307638500050191 | 0.8193261 |
| 47 | 50 | 0.0 | 0 | 1 | control , control , control , control , control , control , control , control , control , control , control , control , control , control , control , control , control , control , control , control , control , control , control , control , control , control , control , control , control , control , control , control , control , control , control , control , control , control , control , control , control , control , control , control , control , control , control , control , control , control , intervention , intervention , intervention , intervention , intervention , intervention , intervention , intervention , intervention , intervention , intervention , intervention , intervention , intervention , intervention , intervention , intervention , intervention , intervention , intervention , intervention , intervention , intervention , intervention , intervention , intervention , intervention , intervention , intervention , intervention , intervention , intervention , intervention , intervention , intervention , intervention , intervention , intervention , intervention , intervention , intervention , intervention , intervention , intervention , intervention , intervention , intervention , intervention , intervention , intervention , 0.890041680054388 , 0.901309346374531 , 0.153574241624677 , 0.770842564266748 , 0.605342135291882 , -0.442019227543948 , 1.19249791304081 , 0.582636841774353 , 0.148927028085544 , 1.13136020916769 , 1.25300144081849 , -0.72211732078236 , 0.296439613588871 , 0.15258717268035 , -0.776401969522988 , 0.0536221487713468 , 0.926340847377533 , 0.800910569037722 , 0.969828379830819 , -0.463960291269721 , 0.0708357526172642 , 0.567847466210374 , 0.98971938085502 , -0.91894235919176 , -0.347213572791353 , 0.0192630409057158 , 0.608392658579037 , -1.52100844318153 , -0.681530317550706 , -0.820370464799855 , 0.518276822563413 , 0.117972717876877 , 0.551129814939757 , 1.78718824290032 , -1.10780739934055 , -0.295741221829275 , -1.90461967224013 , 0.484241362389511 , 1.35425602487265 , -0.0371764950534672, -0.309705969526186 , 1.2824146072853 , 1.03623835835493 , -0.230635889849657 , 1.12101812344937 , -1.41585907411769 , -0.10971822399178 , 2.83799169310969 , -0.0557865639353741, -0.750448410666086 , -0.559088727675197 , -1.61461374611587 , 0.82519344775995 , 1.52991903724147 , -0.7889745085815 , 0.54127514207154 , -0.311935790246348 , 2.82778842806752 , -0.260444839155702 , 0.816397404193842 , -3.53377280143759 , -0.580573210588028 , 0.659213925158253 , -0.289336502435386 , -0.523456566211486 , -0.301191352828665 , -0.840570910699987 , -0.118889363957278 , 0.72334877717225 , 0.649976912701712 , -0.308152039661631 , 1.4420373341118 , 0.670905064213967 , -1.17706221109617 , -0.154555242690641 , -0.300133775691979 , 3.04001997802265 , -0.145802990068405 , 1.55502900324022 , 0.725753508208587 , -0.233129365615944 , 0.800610369539604 , -2.16998757343761 , 1.93373442794516 , 0.606798153524064 , -0.30136095719539 , -0.441031557678183 , 0.475324760061985 , -0.71646329600578 , -0.685371099817284 , -0.0104301800718123, -1.01115731780306 , 0.330338059321994 , -0.126449464822969 , 2.30115222505662 , -1.06866572418969 , 0.848654330684588 , -0.853710294869794 , 1.41119629407418 , -0.633865602195017 | 0.5337589 |
| 47 | 50 | 0.5 | 0 | 1 | control , control , control , control , control , control , control , control , control , control , control , control , control , control , control , control , control , control , control , control , control , control , control , control , control , control , control , control , control , control , control , control , control , control , control , control , control , control , control , control , control , control , control , control , control , control , control , control , control , control , intervention , intervention , intervention , intervention , intervention , intervention , intervention , intervention , intervention , intervention , intervention , intervention , intervention , intervention , intervention , intervention , intervention , intervention , intervention , intervention , intervention , intervention , intervention , intervention , intervention , intervention , intervention , intervention , intervention , intervention , intervention , intervention , intervention , intervention , intervention , intervention , intervention , intervention , intervention , intervention , intervention , intervention , intervention , intervention , intervention , intervention , intervention , intervention , intervention , intervention , 2.44494037272092 , -1.25380313098301 , -0.37221593060252 , 0.325662383155362 , 0.549070051360018 , -0.944915958746961 , 0.177999051212537 , -0.0201658315027104, 0.403733429714865 , 0.94558041194576 , 1.03125218687108 , 0.568943324869039 , -0.743769247209868 , -1.85878109645258 , -1.23677488126861 , 0.8555397232356 , 0.287867976094991 , 0.39828555708387 , 0.117167697968077 , 0.768581360713515 , 0.37723899013784 , 0.892356388823184 , -0.72740943676059 , 1.55997840348867 , 1.45233668046679 , -0.297454633519457 , -0.244724800456457 , -0.0802064025101983, -0.567738175787942 , 1.77061083557226 , -1.33101208218674 , 0.967700368347782 , -1.17729970494383 , -0.532541912244695 , 0.983211721792093 , -0.556077094295387 , -0.824840694601881 , 0.281552934115138 , -0.22671344950346 , 1.20098756289916 , -0.472826008377739 , -0.740174615208208 , 0.958098376373159 , -1.74073597268093 , 2.93895469630539 , -0.0650903174288142, -1.43881514945818 , 0.322819427838523 , 0.671844717325477 , -0.653583157245497 , -0.674198006605673 , 0.335488692473141 , 0.106804947533667 , 0.537559615083797 , -0.032775276967724 , 0.571078229844204 , 3.57807983205993 , 0.0551443793730496 , 3.55250947827842 , 1.75987438205652 , -0.158102953347361 , -1.00900152587776 , -0.655580989306281 , -0.0809230422116258, 0.805913665586589 , 1.86542328170953 , -0.953116191773584 , 0.606939058438523 , 1.56213369590166 , 2.33677016131544 , -2.18609200351016 , 1.26680510134565 , 0.389186725349123 , 0.286417077336129 , 1.32659913117319 , 0.287246700135735 , 1.58981945924111 , 2.28526240566209 , 0.779202695216571 , 1.22186987799365 , 0.562843567837688 , -0.0893604564907253, 0.64127941194493 , -1.09228457418408 , 2.26019988372816 , 1.2399199497048 , 0.903216686677834 , -0.232625487385589 , 0.622166226656252 , 0.142903421320057 , -0.275861471279911 , -1.07683404949933 , -2.29945958292815 , 1.50488503810783 , 0.649685371568248 , 0.640276800937824 , 1.77786193216446 , 0.86036541717402 , 1.96007600356731 , 0.880810549219994 | 0.0238033 |
| 48 | 20 | 0.0 | 0 | 1 | control , control , control , control , control , control , control , control , control , control , control , control , control , control , control , control , control , control , control , control , intervention , intervention , intervention , intervention , intervention , intervention , intervention , intervention , intervention , intervention , intervention , intervention , intervention , intervention , intervention , intervention , intervention , intervention , intervention , intervention , 0.7723731606641 , 0.0538906519456469 , 1.66086051468414 , -0.53154238941327 , 1.46811722741364 , -0.418288144873522 , 1.53141265693595 , -1.49320101218769 , -0.344444593470043 , 1.55413067052516 , -0.450098219412218 , 1.03769838353548 , -0.598033507173622 , 1.31116839996703 , 0.687097636178878 , 0.477762520322312 , 0.869369315619839 , 0.393544437135874 , -0.58815775610312 , 0.796218063204741 , -1.1971890455967 , 0.523732503222995 , -1.78223669078988 , -1.81193048691781 , -0.00770194577366607, 0.584058898216228 , 0.0250484701398727 , 1.09769613648981 , 1.52387130072199 , -0.0849457917937395 , 0.587933401330206 , -0.520310695729403 , -0.556562354034562 , -0.650678694648001 , 0.68047751827391 , -0.057827331422155 , -1.22519686420084 , -0.657865566276263 , -0.366298955584756 , -0.43028583777212 | 0.0342385 |
| 48 | 20 | 0.5 | 0 | 1 | control , control , control , control , control , control , control , control , control , control , control , control , control , control , control , control , control , control , control , control , intervention , intervention , intervention , intervention , intervention , intervention , intervention , intervention , intervention , intervention , intervention , intervention , intervention , intervention , intervention , intervention , intervention , intervention , intervention , intervention , -0.6962524505534 , -0.602218148872094 , 0.522976107377271 , -0.48209518507061 , 1.24152161888474 , -0.206271392973525 , -1.31340717400193 , 1.39941488352367 , -0.721701620320177 , -0.130315322771304 , 0.387933241972388 , -0.0320369544002878 , -0.166246079783174 , -0.448349854401154 , -2.09467883192007 , -0.108165247864558 , 0.897532701937261 , 0.00672157326853234 , -0.00874201968158556, -0.09986642837696 , 2.57947996391947 , 0.999373123321405 , -0.276988793499317 , -1.30415294230115 , 0.737858701554067 , 0.950339676866522 , 1.15986446725489 , -0.563419076068228 , -0.164650330175036 , -1.64559815135644 , -1.04839031815638 , 0.109472540083976 , -0.211742990617912 , 2.44470214648803 , 0.901410735843875 , 0.202658844638597 , 0.535645348109907 , 0.0544564635538896 , 0.565980674766204 , 0.899180805913736 | 0.1211518 |
| 48 | 50 | 0.0 | 0 | 1 | control , control , control , control , control , control , control , control , control , control , control , control , control , control , control , control , control , control , control , control , control , control , control , control , control , control , control , control , control , control , control , control , control , control , control , control , control , control , control , control , control , control , control , control , control , control , control , control , control , control , intervention , intervention , intervention , intervention , intervention , intervention , intervention , intervention , intervention , intervention , intervention , intervention , intervention , intervention , intervention , intervention , intervention , intervention , intervention , intervention , intervention , intervention , intervention , intervention , intervention , intervention , intervention , intervention , intervention , intervention , intervention , intervention , intervention , intervention , intervention , intervention , intervention , intervention , intervention , intervention , intervention , intervention , intervention , intervention , intervention , intervention , intervention , intervention , intervention , intervention , -0.915635643274474 , -0.263512316373735 , 1.28031389220311 , -1.68588324275454 , -0.0443467425025962, -0.367221560656192 , -1.06053372609631 , 1.28384916905334 , -1.65457002714076 , -0.829530662861795 , -1.03444112995692 , -0.281873863436696 , -2.01988982139217 , -0.452202540329053 , 0.895475770397328 , -1.02522227077222 , 0.557066838120752 , 0.226833852051326 , -0.0119648358638042, 0.484182498501954 , -0.939430448824083 , -1.85927075088714 , -1.97194358122908 , -1.64398181250826 , -0.146410092944474 , -1.36134265333348 , 0.646427186856922 , 1.82601181155249 , 0.562480682962477 , 0.181635938926328 , -0.356359280514058 , -1.10926337242219 , -0.282556087806383 , 0.953182943694385 , -1.79660436187973 , 0.784067760106404 , -0.889231006450081 , -1.10461957764348 , -0.398797527864892 , -1.85012572425155 , 0.172366929792186 , 0.405190919601541 , -1.41648767050935 , 1.16677151163553 , 1.6618579102107 , 0.0334330749327184 , -0.372846124000517 , -0.32603367070857 , -1.19271116535565 , 0.106766476231259 , -0.713962632218679 , 3.62605613844166 , 0.995475424905778 , -0.80010543120225 , -1.24440125458628 , 0.560159178365769 , 0.274869741563026 , -1.22293781878639 , -0.236166279924801 , 1.46150967110465 , 1.37213968833906 , 0.818123583016422 , 0.357614981161696 , 0.826427538213363 , -0.21500452101178 , 0.53632345174605 , 0.451487172602307 , -0.197738539991964 , 1.4522922922319 , 0.141606582637009 , 1.17308230292908 , 0.449424508556715 , -0.2231281305098 , -1.08856915946978 , -0.316676231476776 , -2.10950173434017 , -0.77647861389603 , 0.306452544490045 , -1.58279649564638 , -0.739299214264615 , 2.20417529255076 , -0.0853670323687759, 0.327134561009238 , -0.29540670215808 , -0.0198818638510356, 2.29168035917966 , 1.24715365997488 , 0.28737854270829 , 0.99057219147318 , 0.573248865384016 , -0.789378746437029 , 0.460212716798897 , -1.18489283574908 , 1.15503336054694 , -0.509584379471328 , -0.604718742493304 , 0.240051195978974 , 0.731177562976582 , 0.961526431803132 , 0.825185596428458 | 0.0052188 |
| 48 | 50 | 0.5 | 0 | 1 | control , control , control , control , control , control , control , control , control , control , control , control , control , control , control , control , control , control , control , control , control , control , control , control , control , control , control , control , control , control , control , control , control , control , control , control , control , control , control , control , control , control , control , control , control , control , control , control , control , control , intervention , intervention , intervention , intervention , intervention , intervention , intervention , intervention , intervention , intervention , intervention , intervention , intervention , intervention , intervention , intervention , intervention , intervention , intervention , intervention , intervention , intervention , intervention , intervention , intervention , intervention , intervention , intervention , intervention , intervention , intervention , intervention , intervention , intervention , intervention , intervention , intervention , intervention , intervention , intervention , intervention , intervention , intervention , intervention , intervention , intervention , intervention , intervention , intervention , intervention , -0.761757465770253 , 0.26610601528278 , 0.464673632612942 , 0.388461461547649 , -0.891918107546253 , -0.388362307871289 , -0.262212629458477 , 1.53353322544013 , 0.0107770083534816 , 1.24551233578033 , -0.254839863778424 , -2.01279024301463 , 1.58485348943519 , -0.131583040138707 , -0.0658015567247826, 0.31059879530641 , -0.205463746508292 , -0.395851834081605 , -0.369385139250245 , 1.42666168555552 , -0.82716923674599 , 0.156394464173722 , 0.57788599947511 , 0.151440467988248 , -0.43673673271754 , 0.406458730156719 , 0.497156665585285 , -0.855178363653086 , -0.464738585239113 , 0.81068943887655 , -0.0820601751814228, -0.349274435075453 , -0.173907845499235 , 0.642410871703877 , -1.26014690696979 , 0.0337587781385953 , -1.23796854370335 , 0.316059327221529 , -0.22370653455756 , 0.850429313826586 , 0.592524903855792 , -0.473139053624262 , -0.955556725968872 , -1.2397500220042 , -1.11924318374992 , 0.670427750408481 , 1.10428799566966 , -0.945515968609398 , -0.336307419080888 , 0.962907659535098 , 0.126896260896099 , 0.295238153720435 , -0.733938327642602 , -0.171465438549661 , -0.668482619318634 , -0.568493815423087 , 0.0792986165131742 , 1.34176266555865 , 0.832116547544546 , 1.52132769119133 , -0.0063721209990174, 0.972958387379126 , -2.34645523176773 , 1.0432919800313 , 0.910044766708349 , 1.87059103999734 , 1.03980476160586 , -2.51146524285064 , 0.696920255559927 , 1.4916199036165 , -0.446886940140745 , 0.337474814127552 , -0.304560880549216 , 0.895792361752441 , 0.5791542037384 , -0.430588111939637 , -0.869727630135654 , -0.506383190619364 , 0.787452004652682 , 0.244369592420613 , -1.09250521341862 , 0.427652322694648 , 1.19103554532629 , 0.724955613346972 , -0.686983660463941 , 0.531486525177662 , -0.109358271975695 , 1.06234202210917 , 0.48416405538065 , 1.70229733275473 , 0.915604547618068 , -1.04173283447166 , -0.306727461636968 , 2.10606133581839 , -0.181572455539816 , 0.841761270177393 , 1.70120404119764 , 0.296146060861427 , -2.14700107573734 , 0.636140231976886 | 0.1235826 |
| 49 | 20 | 0.0 | 0 | 1 | control , control , control , control , control , control , control , control , control , control , control , control , control , control , control , control , control , control , control , control , intervention , intervention , intervention , intervention , intervention , intervention , intervention , intervention , intervention , intervention , intervention , intervention , intervention , intervention , intervention , intervention , intervention , intervention , intervention , intervention , 0.426932630808117 , -0.073031970311653 , 0.656148495705075 , 0.434115830224595 , -0.69603965477058 , 0.836293439455442 , -1.7197285983515 , -0.935890133744141 , -0.653389681646372 , 1.36544483915377 , 0.446842847108881 , -2.20185336360433 , -0.154531351204769 , -1.25770930397599 , 0.00501703578993373, -0.751610024257305 , 0.232870494751849 , -1.50451254362665 , -1.25913702216084 , 0.321817000643726 , 0.207815575127292 , 1.83532621080071 , 0.320229767930594 , 0.517982053910376 , -0.287430211081227 , -2.19979562148899 , -1.16098015474543 , 0.546885245789697 , -0.73986161062459 , -1.41634435917121 , -1.7628031419345 , 0.314342162511185 , 0.677209206037748 , -0.656984238182494 , -0.0434797182081639, -0.370920820352454 , 0.964245597216786 , -0.365264812608525 , -0.345029389693123 , -1.75498682037624 | 0.9034584 |
| 49 | 20 | 0.5 | 0 | 1 | control , control , control , control , control , control , control , control , control , control , control , control , control , control , control , control , control , control , control , control , intervention , intervention , intervention , intervention , intervention , intervention , intervention , intervention , intervention , intervention , intervention , intervention , intervention , intervention , intervention , intervention , intervention , intervention , intervention , intervention , -0.118391932146581 , -1.77339629640609 , 0.355157923982811 , -0.275874898829918 , 0.520943016122958 , -0.428015893884885 , -0.106881329589194 , 1.20328112321184 , -1.12867622017118 , -0.375863912532703 , -1.65376039855494 , 1.31836672397346 , -0.668317478845401 , -0.224638420418249 , 1.54693600716265 , 0.248098840912483 , 0.661147799842556 , -0.816494611286592 , -1.00045369371459 , -0.230385653467407 , 1.9848892621715 , -1.01008240034309 , 1.00094810053603 , 0.352392831920751 , 0.267963310088358 , -0.509778890923414 , 1.23778155997423 , 1.38249194225583 , 0.915982512240568 , 1.05568892629884 , 3.14563757498174 , -0.42538326005284 , -0.431724631142186 , 1.60360376322324 , -0.0467386405358955, 1.21115781850003 , 2.12114564790749 , 1.90417862681827 , 0.568134099093387 , 0.757072998027366 | 0.0025062 |
| 49 | 50 | 0.0 | 0 | 1 | control , control , control , control , control , control , control , control , control , control , control , control , control , control , control , control , control , control , control , control , control , control , control , control , control , control , control , control , control , control , control , control , control , control , control , control , control , control , control , control , control , control , control , control , control , control , control , control , control , control , intervention , intervention , intervention , intervention , intervention , intervention , intervention , intervention , intervention , intervention , intervention , intervention , intervention , intervention , intervention , intervention , intervention , intervention , intervention , intervention , intervention , intervention , intervention , intervention , intervention , intervention , intervention , intervention , intervention , intervention , intervention , intervention , intervention , intervention , intervention , intervention , intervention , intervention , intervention , intervention , intervention , intervention , intervention , intervention , intervention , intervention , intervention , intervention , intervention , intervention , -1.04692609065542 , 0.74368849893361 , 1.57987326187575 , -0.886762530644637 , -1.11612222649683 , -0.949796907379078 , 0.349076075931182 , -0.718718446777001 , 0.00299230592164242, 0.571957744021805 , 1.17768773468994 , 0.782149826442095 , -1.37331672332283 , 1.46197584044461 , -0.137293919086822 , -0.824121521155447 , -0.307250173275721 , 2.18592073395879 , -0.133834065326942 , -0.498113304340862 , 0.378704509128977 , -0.205359825516952 , 0.598324638170923 , 0.765252029280269 , -2.38799014376734 , 0.796631977706268 , -0.0786689985919949, -0.0203110250714914, 1.71864408009948 , -1.80135537824109 , -0.807517636125763 , 0.280863755277483 , -0.429993386057052 , 1.58676562875951 , 0.91999721861218 , -0.551822988602622 , 0.124122797150273 , 1.02195862731047 , -0.972107700409481 , 1.36912575250679 , -1.64733826126031 , 0.370639044092307 , -0.321254872770901 , -1.8727274674215 , 0.355022213379945 , 0.954782359460452 , -0.234334455699502 , 0.526744207917689 , 0.414780523421325 , 0.109264186946819 , -0.402648430042361 , -1.28360967838304 , 0.253051444156073 , 1.30358069057165 , 0.158003339933957 , 0.127324435336575 , 0.00251500742028001, 0.937123290420337 , -1.66616559894937 , 0.264846245156267 , -1.23918197502189 , -0.940002777861353 , -0.1079352839304 , 0.147610336897438 , 1.20936374150966 , 0.543899480841256 , -0.522623211828616 , 1.3351162820748 , -0.241156221226535 , -0.445761875031508 , 0.952790719265374 , 0.618332777050923 , 0.17077815462973 , 0.302371346027203 , -0.0698630608993636, 0.601261777502012 , 1.56571940786615 , 0.609942884557373 , -1.51494127108443 , -0.938031186637584 , 0.889274600432874 , -0.729494460091306 , 1.06057760248696 , 0.175998593874453 , 1.53684975946353 , 0.553630749699887 , 0.921200937038979 , 0.855386524562284 , 0.319954087004238 , -0.258565936047282 , 1.14092132058768 , -0.312246752526843 , -1.97006584708384 , -0.32523760534297 , 0.336054710470882 , -1.11725070859889 , 0.932956099139146 , 0.883255285250868 , 1.03507166113394 , -0.637068544903894 | 0.5832358 |
| 49 | 50 | 0.5 | 0 | 1 | control , control , control , control , control , control , control , control , control , control , control , control , control , control , control , control , control , control , control , control , control , control , control , control , control , control , control , control , control , control , control , control , control , control , control , control , control , control , control , control , control , control , control , control , control , control , control , control , control , control , intervention , intervention , intervention , intervention , intervention , intervention , intervention , intervention , intervention , intervention , intervention , intervention , intervention , intervention , intervention , intervention , intervention , intervention , intervention , intervention , intervention , intervention , intervention , intervention , intervention , intervention , intervention , intervention , intervention , intervention , intervention , intervention , intervention , intervention , intervention , intervention , intervention , intervention , intervention , intervention , intervention , intervention , intervention , intervention , intervention , intervention , intervention , intervention , intervention , intervention , -0.213744056182262 , -0.314701790970759 , -0.0981720547707763, -1.15676215733496 , 1.10760993612296 , -0.641003730207948 , -0.12668874319404 , -0.481915921104561 , 0.447807574897605 , -1.08576375171858 , 1.4765935771765 , 0.449660757910171 , -0.784001007931748 , 1.33074373257953 , 1.84060191457433 , -0.88177113675742 , 0.712268434521108 , 0.0020850848611158 , -0.3237917740877 , -0.233171128385737 , 0.86802278408739 , 0.353503421906827 , 1.92067796282898 , 0.583963408733257 , 0.572331852539313 , -0.27317791089493 , -0.589727263652606 , -1.68322823165154 , -0.203208619417139 , -0.362862453943944 , -1.06449361106573 , -1.9106109759331 , -0.512537778007631 , 0.419723519129641 , -0.871482869072111 , -0.347741581777958 , 0.606143783590316 , 0.680826953596982 , -0.712370469774306 , 0.768183091522848 , 1.03942669550889 , -1.60167865216821 , -1.4809616017241 , 1.95804623203139 , -1.18510743064046 , -0.483263847769276 , 0.557492264161026 , -0.23461007445689 , 0.318068263045969 , -1.5975333178531 , 0.143911224524873 , -0.906681295931831 , 0.615046264993273 , 0.572914620858918 , -0.438765024759083 , 0.492343590644644 , 2.27188969748091 , 1.00036120267143 , 0.874277136637421 , 2.18674167593083 , 0.54101405530552 , 1.99192502312551 , 1.81834077037714 , 1.54732233209282 , 1.81853294076847 , 0.0187416807132519 , 0.731862752458493 , 0.87734774164407 , 2.24133704689211 , -0.748993389265284 , 0.0897434056164629 , 0.742597492634083 , -0.622083084764162 , 0.572481238818659 , 0.802883361610374 , 0.977359303601063 , -0.890055506878381 , -0.712787850024739 , 0.0308793786172549 , -0.17526495951312 , 0.260178216131423 , 1.55466105960065 , -0.172491168464461 , 1.02068735777079 , 0.309194667794474 , -1.08155690016653 , -0.126053064301333 , -0.0588853598410466, -0.595778238486764 , 0.757942581848726 , 0.76122098218751 , -0.757324133599631 , -0.215038874517786 , 0.25493647006401 , 0.549814118672515 , -0.0181795306429605, 0.18135685233837 , 1.29606437056919 , 1.07452113113302 , 0.895155732027996 | 0.0031035 |
| 50 | 20 | 0.0 | 0 | 1 | control , control , control , control , control , control , control , control , control , control , control , control , control , control , control , control , control , control , control , control , intervention , intervention , intervention , intervention , intervention , intervention , intervention , intervention , intervention , intervention , intervention , intervention , intervention , intervention , intervention , intervention , intervention , intervention , intervention , intervention , 0.718359305643184 , -0.339096391107731 , -0.928948484324986 , -0.503985894529679 , -0.843254743099428 , 1.56812186598172 , -0.957424128187104 , -0.515298877064406 , 1.32690200705788 , 0.336181467275033 , -0.88267921884727 , 0.140969432844744 , -0.700670725330788 , -0.556459617426804 , -1.68764831078228 , 0.790551156930008 , -0.33763230285929 , -0.671277414388179 , 0.839271710975123 , 1.93754242841538 , -0.801216856731538 , -0.0500782043064601, -1.0471022475947 , -0.771986013851103 , -0.61967639081078 , 2.77172956510321 , 0.32261441040364 , 1.41389893741986 , 0.152184653363557 , 0.0530053475149151 , -0.840626803352323 , -0.162258260671928 , -0.327992488304583 , -0.0871514395117354, 0.53691502963754 , -1.74980142247684 , -1.57506436720027 , 0.761622416380843 , -1.61499174309307 , 1.13626100284556 | 0.8527443 |
| 50 | 20 | 0.5 | 0 | 1 | control , control , control , control , control , control , control , control , control , control , control , control , control , control , control , control , control , control , control , control , intervention , intervention , intervention , intervention , intervention , intervention , intervention , intervention , intervention , intervention , intervention , intervention , intervention , intervention , intervention , intervention , intervention , intervention , intervention , intervention , -1.47369978453325 , -1.67223157127098 , -0.186666086762359 , 1.13665310611516 , -1.21422063945412 , -0.0317044182089829, -0.707026344930964 , 0.055924851971466 , 2.77592578485641 , -0.570712945289171 , 0.0995271888086484 , 0.663128597976134 , -0.322475196910228 , -0.0135994003011924, 0.877018936094933 , 1.7984687944993 , -0.8258871666709 , -0.148114888137979 , 0.749885160668514 , -1.342787633544 , 1.02810749183843 , 0.464358546594714 , 0.856568435567399 , 0.751083177160048 , 0.409434574396091 , -0.12040051415363 , -0.850114783472863 , 1.42714530254345 , 0.590186833093271 , 1.39795413989282 , 0.418625879327579 , 0.327258255849881 , 0.548871637649109 , 0.696735088946746 , -1.33607088730222 , 1.07601241860008 , 0.501440142896306 , 0.98071260140159 , 0.659912534744639 , 2.26897661345168 | 0.0479010 |
| 50 | 50 | 0.0 | 0 | 1 | control , control , control , control , control , control , control , control , control , control , control , control , control , control , control , control , control , control , control , control , control , control , control , control , control , control , control , control , control , control , control , control , control , control , control , control , control , control , control , control , control , control , control , control , control , control , control , control , control , control , intervention , intervention , intervention , intervention , intervention , intervention , intervention , intervention , intervention , intervention , intervention , intervention , intervention , intervention , intervention , intervention , intervention , intervention , intervention , intervention , intervention , intervention , intervention , intervention , intervention , intervention , intervention , intervention , intervention , intervention , intervention , intervention , intervention , intervention , intervention , intervention , intervention , intervention , intervention , intervention , intervention , intervention , intervention , intervention , intervention , intervention , intervention , intervention , intervention , intervention , 0.82741058562135 , 0.0485970369056634 , -0.424489435265714 , 0.288629884143198 , 0.666354038161132 , 1.10595246032436 , -2.15006726057798 , 0.544740983271058 , 0.319907193829653 , 0.921510400645763 , -1.66434468850523 , -0.756283953434994 , 0.0317229774114534 , -2.26807659798491 , -0.842548141686698 , -0.558532695819213 , 1.08242782247999 , 0.397559063282317 , -0.14652852541448 , -0.40924389252268 , 0.5604158844012 , 0.00508798129898713 , -1.50809117923454 , -1.46230391269046 , 1.98148839156763 , -1.34322624208058 , 0.221456569968348 , 1.46354884285459 , -0.0203573174313421 , 0.246293987120369 , -0.641349412078267 , 0.840842651086033 , 3.46267750344011 , 0.824383318973248 , -0.423117972099737 , -1.86396447552045 , -1.10579377765606 , 0.64460996370735 , -0.265876082552246 , 0.136170066228492 , -0.318395768526868 , 1.3820904277311 , -2.26781967070017 , 0.744247799755837 , 0.749892379392501 , -0.242951715752136 , 1.08652630418854 , 1.07086767546934 , 0.213197461145857 , 0.136032914820425 , -0.912914150941201 , -0.290425291721897 , 1.02836781663623 , -0.00105781571839582, 0.575745808997558 , -0.0589334199627306 , -0.0205299240393196 , 0.487784330302696 , -0.651000628832902 , -0.926813155690516 , -1.31400395803164 , 0.825469422870768 , 1.06573364922521 , 0.71278468889236 , 0.632924309347312 , -1.04695257320543 , -0.0960100591627131 , -2.29157978186717 , -0.102010032318661 , 0.198191252770787 , 0.529658962617229 , 2.80611425488326 , -1.00267537902242 , -0.432426287608679 , -0.509417504507338 , 0.269201747313104 , 0.521146149444774 , -1.8544827365624 , 0.313877531526157 , 1.21079666092848 , -1.1545499907702 , -1.4583250532332 , -0.361039682209142 , 0.262572085111798 , 1.0731157306021 , -0.88731339484336 , 0.737606714698602 , -0.801044381956245 , -0.939163930581323 , 1.29233639999518 , 0.663896106894889 , 0.417145738909696 , -1.6071731535328 , -0.125555740420204 , -1.56314937057419 , 0.0351088434373421 , -1.15865443480113 , 0.996899695214772 , 0.795751099999235 , -0.739960029739143 | 0.5608413 |
| 50 | 50 | 0.5 | 0 | 1 | control , control , control , control , control , control , control , control , control , control , control , control , control , control , control , control , control , control , control , control , control , control , control , control , control , control , control , control , control , control , control , control , control , control , control , control , control , control , control , control , control , control , control , control , control , control , control , control , control , control , intervention , intervention , intervention , intervention , intervention , intervention , intervention , intervention , intervention , intervention , intervention , intervention , intervention , intervention , intervention , intervention , intervention , intervention , intervention , intervention , intervention , intervention , intervention , intervention , intervention , intervention , intervention , intervention , intervention , intervention , intervention , intervention , intervention , intervention , intervention , intervention , intervention , intervention , intervention , intervention , intervention , intervention , intervention , intervention , intervention , intervention , intervention , intervention , intervention , intervention , -1.30681099854364 , 1.15648670569466 , 0.33070915852683 , 1.75888487225119 , 0.19054794319649 , -0.0883050445880523, 0.0742749464257843 , 1.18432426979869 , -1.61360113045038 , 1.06063501066149 , 0.280873027892299 , -0.41291854950221 , -0.0126612942357575, -1.00259266421946 , 0.150049920079826 , -1.54007284980632 , 0.72246490161025 , 0.936463287279606 , 1.47192394667584 , 1.17266537220086 , 1.37145575295411 , 0.189342067757476 , -0.098103812668902 , -1.12107703612628 , 0.123620863364939 , 0.635505708332871 , 2.67440248463656 , 0.233986515877556 , -1.95274288619196 , 0.194577590819294 , 2.45882398483318 , -1.17941441079864 , 0.366145372663598 , -0.285339850021757 , 0.0889711565166443 , 0.215876557126002 , -0.290020481487879 , -1.16720887712204 , -0.319125117980874 , 0.915910922219887 , -0.314960416366292 , -0.324835986560826 , -0.778229305978183 , -2.02685902077711 , 0.839955200172356 , -0.377736129774545 , 0.0283062294104984 , 0.274480461059292 , -1.76168912392425 , 0.104001936249008 , 0.421653919483372 , -1.13575992973342 , -1.07875836646293 , 0.0079606247535296 , 2.01536268164114 , -1.5680996411762 , 2.017876154532 , 2.44285544535264 , 1.98807493145248 , 0.96306376366994 , 1.32110035356684 , 0.845977503596391 , 0.443687377437878 , 0.236552014047199 , -1.35088767877001 , -0.139278543703966 , -1.26874312358418 , 0.748585697692022 , -0.35011931103432 , 0.635582367956089 , 0.892527845892668 , -0.756478787243602 , 0.593798684094246 , 0.00865583888588711, -0.626171259475613 , -0.262884692621875 , 1.14263378727559 , 1.6906882568306 , 0.1057675121168 , 0.290650417971578 , 0.552247753189076 , 0.534345589268719 , 0.60517723927746 , 0.497210279350701 , -0.0707782795774997, -1.50705509896627 , 0.149190152931148 , 0.276701526455135 , 0.921267864433172 , 0.845080335892844 , 0.11054337740423 , 0.941301980810046 , 0.341607551898243 , 0.269866650674138 , -0.18467057254378 , 1.28056958245804 , 0.486944789641045 , 0.0530545037935433 , 0.0541761525740464 , 1.26084909416379 | 0.1445793 |
| 51 | 20 | 0.0 | 0 | 1 | control , control , control , control , control , control , control , control , control , control , control , control , control , control , control , control , control , control , control , control , intervention , intervention , intervention , intervention , intervention , intervention , intervention , intervention , intervention , intervention , intervention , intervention , intervention , intervention , intervention , intervention , intervention , intervention , intervention , intervention , -0.235314080425939 , 0.163826560802354 , 0.36161596131643 , 0.296773257590396 , -2.58142147231753 , -1.06130180134604 , -0.934554592533228 , 1.12299339523143 , -0.617440219211828 , -0.591557437965582 , 0.150841490567807 , 0.895275285635598 , 0.923732928814702 , -0.463736773380221 , 0.278612797409424 , -0.91700217613478 , 1.30590652278441 , 0.0646789549845343 , -0.101026578622792 , 0.600021722766303 , -0.291728345144218 , -0.289582112021552 , -1.31861046218602 , 1.29790407269562 , -1.07688187604009 , 0.38808854394553 , 1.05689875977487 , 0.500183061014808 , -0.309042921743387 , -0.830992621859506 , -0.198797413948041 , -0.0976618795841345, -0.690474595108485 , -1.87890157044742 , -0.580873511284285 , 1.14942281153013 , 0.325426373547336 , 0.478340893226144 , 0.326768871097612 , 0.140173625601992 | 0.9193553 |
| 51 | 20 | 0.5 | 0 | 1 | control , control , control , control , control , control , control , control , control , control , control , control , control , control , control , control , control , control , control , control , intervention , intervention , intervention , intervention , intervention , intervention , intervention , intervention , intervention , intervention , intervention , intervention , intervention , intervention , intervention , intervention , intervention , intervention , intervention , intervention , 0.802460906354623 , 2.04064005824531 , 0.145733316815666 , 0.936497713566956 , -0.0374861793494947, 1.0314600234213 , 0.457672086600727 , -1.57370546062498 , -0.0275369959699863, 0.261507799939794 , -0.22536821892163 , -1.10401837627421 , -0.41726246637332 , 0.613450717946818 , -0.5912535756676 , -0.115191160086038 , -0.27361507157864 , 1.5023159555551 , -1.71506093747315 , 1.8178994891768 , 0.886863508823644 , 0.260698111219848 , 1.2678633751886 , 1.05832357269597 , 0.459426205241469 , 0.0694265982610565 , 1.00336048366704 , 1.76862499690604 , 2.18519303618362 , 2.80267476442934 , 1.09279144647216 , 0.171279539774865 , -0.292171653524247 , 1.2477040668142 , 0.321032320515047 , -0.279160405118386 , -1.86736667379574 , -0.695047226711783 , 1.51090546451221 , 3.53516358880187 | 0.0769094 |
| 51 | 50 | 0.0 | 0 | 1 | control , control , control , control , control , control , control , control , control , control , control , control , control , control , control , control , control , control , control , control , control , control , control , control , control , control , control , control , control , control , control , control , control , control , control , control , control , control , control , control , control , control , control , control , control , control , control , control , control , control , intervention , intervention , intervention , intervention , intervention , intervention , intervention , intervention , intervention , intervention , intervention , intervention , intervention , intervention , intervention , intervention , intervention , intervention , intervention , intervention , intervention , intervention , intervention , intervention , intervention , intervention , intervention , intervention , intervention , intervention , intervention , intervention , intervention , intervention , intervention , intervention , intervention , intervention , intervention , intervention , intervention , intervention , intervention , intervention , intervention , intervention , intervention , intervention , intervention , intervention , 0.691453100924859 , 0.524394674726138 , 0.0215000094887111, 1.8290939487646 , -1.68259393617869 , -1.79587441668167 , 1.0908703986785 , -0.823319835933694, 0.105774002114033 , 0.336752022011247 , -1.37415015101406 , -0.354800331593315, -0.556440739706448, -1.58731163011693 , -0.335705879836463, -0.641450890837442, -0.523103214789191, -0.399566019541715, 0.311964520741507 , -0.425600885975551, -0.551985641092182, 0.280681155463938 , -1.50396019282527 , -0.311547152622636, 0.18441234797231 , 0.569121326688675 , -0.102693428791976, 0.072670274157903 , -0.368044710089738, -1.19503333229379 , -1.99435510861547 , 0.802217749080868 , -2.10473969756684 , 1.08978710170578 , 1.50004383100731 , -0.842080061793832, 0.928936300787901 , -0.40451351028602 , 0.181570582770855 , -0.429072125219885, -1.88302230456204 , 0.17815344293485 , -1.09875640942484 , -0.599565206805923, -0.838280380059321, 1.55797028704876 , 0.135742774995949 , 1.45953156673738 , -0.652460775963306, 2.45563521059773 , 1.94838654068184 , 0.226121767860255 , 0.217406896600395 , -0.461321177885189, 0.302447238296341 , -0.570937098782942, -0.658325751453275, 0.414093617025654 , 1.84639345884963 , -0.535612773650119, -0.803740215793852, 0.481926342375297 , 0.244206170636666 , 1.23371611759959 , -1.87810436599563 , -1.13197487544144 , 1.09624816086544 , -0.376734860513326, -0.463438040727753, -0.639260489997909, -1.26194252273348 , 1.21992275200429 , 0.0128264441625307, -0.884621107621974, 0.156934190764435 , 0.258625454588853 , 0.601803808429371 , 0.108275239649004 , -0.562820349073412, 0.553975928732066 , 0.278556734877384 , 0.299542545922789 , -0.168588642232561, 1.14393330067428 , 0.79354047609542 , 3.397894412583 , 0.469897016918548 , -0.811894040755188, 0.0141005948740722, -0.111136403692561, -0.742463823872494, 0.192397764497921 , -0.439209469378109, -0.620527451552027, -0.676931121622715, -1.05159698028114 , -1.13689858420824 , 1.02876971681467 , 1.52006808746629 , 0.461860944294513 | 0.1753121 |
| 51 | 50 | 0.5 | 0 | 1 | control , control , control , control , control , control , control , control , control , control , control , control , control , control , control , control , control , control , control , control , control , control , control , control , control , control , control , control , control , control , control , control , control , control , control , control , control , control , control , control , control , control , control , control , control , control , control , control , control , control , intervention , intervention , intervention , intervention , intervention , intervention , intervention , intervention , intervention , intervention , intervention , intervention , intervention , intervention , intervention , intervention , intervention , intervention , intervention , intervention , intervention , intervention , intervention , intervention , intervention , intervention , intervention , intervention , intervention , intervention , intervention , intervention , intervention , intervention , intervention , intervention , intervention , intervention , intervention , intervention , intervention , intervention , intervention , intervention , intervention , intervention , intervention , intervention , intervention , intervention , -1.38181979214351 , -0.656075601942812 , -2.26478118886098 , -0.807706251716477 , 1.44942064428498 , 0.902393116673853 , -1.89454914985674 , -0.40189717712534 , 0.455440385289282 , -1.32837634322913 , -0.627690475417488 , 1.18298259927749 , 0.41904604245174 , 0.507208646498931 , 1.29200690778062 , -0.418327025026175 , -2.09410635488264 , 0.631314740929549 , 0.522500361632651 , 0.695039540457274 , 1.19118203543308 , -0.0941846690954734, 1.23175608558236 , 0.0129495436241441 , -0.249518067791629 , 1.39081627814651 , -1.03689434219316 , 0.957338373436552 , -0.385954364743799 , 0.34595702273338 , -0.0484697876873387, -1.09076595708834 , 0.938748851279978 , 0.526125781199164 , 1.4370399836682 , 0.0611425984292516 , 0.143530681487176 , -0.69757846737278 , -2.43021639188174 , 0.983885038059455 , 2.06736566247634 , 0.145393489795717 , -0.33090182404908 , -0.446488869188345 , 2.21844546958485 , 0.861257562676847 , -0.510578988980407 , 0.136706955342547 , 0.888886208169776 , 0.595108384667177 , 0.757392848021766 , 0.574624228519221 , -0.288222622537689 , 1.29863234026328 , -0.0696754694287042, 2.43763870858739 , -0.42489540855215 , 0.636427590302002 , 0.216745607056338 , 0.327134741343091 , 0.72753644467616 , -0.157363530717998 , 0.20190111255872 , 0.673723654116856 , -1.50322804206461 , 1.45881108290269 , 1.71166675159613 , 0.867933091114133 , -0.505507292234284 , 0.500513765257552 , -0.229888882715687 , -0.28158410341121 , 0.371886139447272 , 0.69092133237931 , 0.662942105336835 , 0.162560432202884 , -0.576500796267002 , -0.657008018012851 , -0.444769780032801 , 1.9659922066112 , -0.833047278486546 , -0.129625542412615 , 0.504296531379042 , 0.465617309013174 , 0.535963931341604 , 0.196521437886079 , -2.07053392549073 , 0.325655583616701 , 0.832662533597935 , -0.0323210030531575, 1.18463169980559 , -0.0197400232602502, 0.184964617259652 , -0.184234265881494 , 1.08206745730404 , 0.366522413563121 , -1.26768653571607 , 1.56644765064465 , 1.51925316292684 , 1.67272001531736 | 0.2237814 |
| 52 | 20 | 0.0 | 0 | 1 | control , control , control , control , control , control , control , control , control , control , control , control , control , control , control , control , control , control , control , control , intervention , intervention , intervention , intervention , intervention , intervention , intervention , intervention , intervention , intervention , intervention , intervention , intervention , intervention , intervention , intervention , intervention , intervention , intervention , intervention , -0.517490206936696 , 1.10624448739644 , -0.596386851129548 , 0.350093605843834 , -0.0529915195990725 , 0.359968641994152 , 1.30858662554654 , 0.594469355120251 , 1.28710135134573 , 0.347681544179724 , 0.769963067220238 , 1.48753052332129 , 1.05232292940076 , 0.647303154439801 , 0.11213479835645 , -1.75420928555158 , 0.711144437332091 , -1.28389315113677 , 0.0098173095660467 , -1.48388220200351 , 1.81338764689908 , 0.612959567054314 , 1.54064370509529 , 0.802758823742755 , 0.697253627797444 , 1.81228763318216 , -1.87445033016704 , -1.1535307860974 , 1.11372617598705 , -0.509509867071263 , -0.881041473875598 , 0.955529680543831 , -0.0870156581953776 , -0.477921421250323 , 1.18222900314302 , -0.791262903109513 , -0.248402941221195 , -1.7996226946403 , -1.83624077366952 , -0.00150045696968771 | 0.6018446 |
| 52 | 20 | 0.5 | 0 | 1 | control , control , control , control , control , control , control , control , control , control , control , control , control , control , control , control , control , control , control , control , intervention , intervention , intervention , intervention , intervention , intervention , intervention , intervention , intervention , intervention , intervention , intervention , intervention , intervention , intervention , intervention , intervention , intervention , intervention , intervention , -0.932911424333575 , -2.19111564926795 , 0.0334496221945129 , 2.31212535301934 , 1.26896067133969 , -1.07698654103552 , 0.73671576803564 , 0.445369243484008 , 1.12956513296301 , -0.421374190229213 , 0.0499081360824902 , -2.56928429643506 , -0.728007769352416 , 0.537716429200332 , 0.904137181944297 , 0.540032691734463 , -0.362585414801886 , 0.182342326046678 , -0.073005755823929 , -1.20197767478235 , 0.879967272817376 , -0.196609498186136 , -0.464145478012711 , -0.716544828656201 , 0.445660222099378 , -0.0326888974981243, -0.654174659283843 , -1.68351957586374 , 0.908571223663358 , 3.08504844466565 , 1.55656276019051 , -1.55288995977874 , 0.345561788283257 , 0.720704558816047 , 0.976824549941547 , 1.99259257545627 , 0.337699186631883 , 0.164685996993845 , 1.23142080559918 , -0.137583779666853 | 0.2458341 |
| 52 | 50 | 0.0 | 0 | 1 | control , control , control , control , control , control , control , control , control , control , control , control , control , control , control , control , control , control , control , control , control , control , control , control , control , control , control , control , control , control , control , control , control , control , control , control , control , control , control , control , control , control , control , control , control , control , control , control , control , control , intervention , intervention , intervention , intervention , intervention , intervention , intervention , intervention , intervention , intervention , intervention , intervention , intervention , intervention , intervention , intervention , intervention , intervention , intervention , intervention , intervention , intervention , intervention , intervention , intervention , intervention , intervention , intervention , intervention , intervention , intervention , intervention , intervention , intervention , intervention , intervention , intervention , intervention , intervention , intervention , intervention , intervention , intervention , intervention , intervention , intervention , intervention , intervention , intervention , intervention , -0.792834191090426 , 1.01464306862851 , -0.8346631843724 , -0.962670370948553 , -1.1205980531962 , 0.382448432872797 , 1.00407061647885 , -1.49937151721409 , -0.254470250433144 , -1.24009292866836 , -0.0501016465797391, 0.422805321339376 , 0.0255199726395209 , 0.837011998950397 , -1.98418433566245 , 0.143363555807451 , -0.415856319786545 , 0.2625878872103 , 0.236258457559624 , -0.149534014544097 , 0.217673241779661 , 0.721665714510796 , -0.902240606484849 , -0.25080715983734 , 0.279227320389278 , -1.02422347369332 , 0.165368556667857 , -0.0407834810406034, -0.287762848693349 , -1.59097361389378 , -1.07412525630142 , 1.94330847890871 , 0.358734005649039 , -2.1354882034112 , -0.602049910510615 , -0.116826772833473 , 0.746835949892225 , 0.597545559081414 , 0.899581295734118 , -0.464267590895386 , -0.672701387318497 , -0.396358803023227 , -0.0761420420005426, -0.0516693812299579, -0.130016951555478 , -0.69215381901991 , -1.8346365218864 , -0.778134545909467 , 0.615009449506176 , -0.0358597082843505, 0.0336534014039723 , -0.0108939119245714, 1.20740928372145 , 0.373436791240648 , -0.980424221429651 , 0.964476670920104 , -0.0245896731835032, -0.876396525893944 , -0.016168335291936 , -1.42788955167055 , -0.521861035501809 , 1.08926034310531 , -1.18176673178362 , 0.293701824634493 , -0.26929803912212 , -0.214836166332562 , 2.21642898934976 , 0.00630031206588609, -0.115179425929879 , -0.0244800310849582, -0.814970030587812 , 0.631154192162913 , 1.25720337675015 , -0.317358110997438 , -0.45062676602692 , 0.689407759763839 , -0.197538871833569 , 0.100063556567605 , 1.34590904941986 , -0.465753972951768 , 0.451389752467986 , -0.630655137835189 , -0.973705940894 , -0.774014020231082 , -1.73230846381778 , -2.20573347990173 , 1.60585608274029 , 0.105365511752098 , -1.31456126656891 , 0.270413071797542 , 0.00539326553094289, -0.553102926113639 , -1.46888361659601 , 2.52808360923932 , 0.321906026937607 , -0.453967790037224 , -0.727715775163357 , -0.430197884574083 , 0.0471454811697498 , -0.205853007236203 | 0.3884289 |
| 52 | 50 | 0.5 | 0 | 1 | control , control , control , control , control , control , control , control , control , control , control , control , control , control , control , control , control , control , control , control , control , control , control , control , control , control , control , control , control , control , control , control , control , control , control , control , control , control , control , control , control , control , control , control , control , control , control , control , control , control , intervention , intervention , intervention , intervention , intervention , intervention , intervention , intervention , intervention , intervention , intervention , intervention , intervention , intervention , intervention , intervention , intervention , intervention , intervention , intervention , intervention , intervention , intervention , intervention , intervention , intervention , intervention , intervention , intervention , intervention , intervention , intervention , intervention , intervention , intervention , intervention , intervention , intervention , intervention , intervention , intervention , intervention , intervention , intervention , intervention , intervention , intervention , intervention , intervention , intervention , 0.323994615031771 , 0.466033579977689 , -1.09767128339087 , -1.443329076296 , 0.844253947283684 , -0.773967806942011 , -1.00120893988335 , -1.11089826973182 , -0.645586475011505 , -0.467599286945316 , 0.913708451859115 , -0.655819657598302 , 0.0764031813315549 , -0.139928176192541 , 2.69796154743019 , 0.592279510981608 , 0.389970792566086 , 0.422837378699111 , -0.733243842805316 , -1.31593911028948 , -0.796827558537318 , -0.00210692174881854, 0.188837150582453 , -1.99562521244903 , -1.26905193693838 , 0.524303787413071 , -1.07000421853708 , -0.545354449030912 , -0.180222113604022 , -0.384345770978099 , 0.983877644566304 , -0.0459188884135282 , -1.26891228964029 , -1.63992049042851 , -0.715240719046533 , -0.481675715964573 , 1.55941712528359 , -0.728848035978802 , 0.57074426571411 , 2.4074336482183 , 0.310372680960279 , -0.0958500248596321 , -0.270361707794615 , -0.843880428290598 , -0.123491259190578 , 0.529766934753538 , 0.0667170004150406 , -1.37630970918844 , 0.720915311543494 , 1.17797991278136 , -0.382308761259 , -0.0586218745217123 , 0.0885925292049888 , -0.578803671912412 , 1.73926465723914 , -2.73266101345556 , 1.15493762182921 , 0.454273544170322 , -1.53013467427414 , 0.960518653060586 , -0.20026803853336 , -0.199062508547439 , 0.551713135552427 , 0.601875948883752 , 1.91185541065393 , 1.22581957065521 , 0.911823882702096 , 0.863837305251003 , -1.07273946377036 , -0.22128802556365 , 1.29877031759525 , 2.48973863973223 , -1.93710500483134 , 2.29331775099834 , -0.948486567575745 , -0.169161297716575 , -1.70565245170756 , 1.42293927493692 , 0.0615480900898238 , 0.323441392216469 , 1.67092821046056 , -0.147301687349537 , -0.393636115448268 , 0.062895395918639 , 2.18187574238233 , 0.352565116916133 , 0.578011985707177 , -1.17026217397854 , -0.652485867799831 , 0.749830716428692 , 1.81323588868704 , 1.52699558062125 , 2.79388944409604 , 1.30306814572128 , 1.01055875904654 , 0.447959765161671 , 0.785031460778665 , 1.72088876888706 , 1.63545853176505 , -0.349861976069722 | 0.0071838 |
| 53 | 20 | 0.0 | 0 | 1 | control , control , control , control , control , control , control , control , control , control , control , control , control , control , control , control , control , control , control , control , intervention , intervention , intervention , intervention , intervention , intervention , intervention , intervention , intervention , intervention , intervention , intervention , intervention , intervention , intervention , intervention , intervention , intervention , intervention , intervention , -1.50244127016586 , -0.22378981293534 , 0.735514364867931 , 0.658901967945644 , -2.73208648241178 , -1.84395153055699 , 1.6474854563055 , 0.906047251715119 , 0.961243502432789 , 1.59068418122444 , -0.544146253512185, 0.0358040600554976, -1.01932917230705 , 0.249219300710966 , 0.341343532619729 , -0.512618562254159, -0.504709295311776, 2.48342188179048 , -1.5629974822793 , 0.541554492463664 , -1.00661867742961 , 0.532155465155779 , 1.60658589094061 , -1.16823883429749 , 0.972961560687731 , -0.1807763772021 , -1.38517577971678 , 0.261177696158732 , -0.370283525930698, 1.50109997600851 , 0.433718780040236 , 1.48428759102938 , 0.518290487069533 , -0.322235056005113, 2.16007547084599 , -0.399997708809969, 0.220819135096624 , 0.631957000178632 , -0.437963374346137, -1.25108422702414 | 0.5821689 |
| 53 | 20 | 0.5 | 0 | 1 | control , control , control , control , control , control , control , control , control , control , control , control , control , control , control , control , control , control , control , control , intervention , intervention , intervention , intervention , intervention , intervention , intervention , intervention , intervention , intervention , intervention , intervention , intervention , intervention , intervention , intervention , intervention , intervention , intervention , intervention , 2.1931249075427 , -2.46082856917554 , 1.16187058374459 , -0.0121912110428687, 0.614634748074538 , 1.173137704373 , 0.257631985932743 , -1.93322854928527 , -0.73449016618807 , -0.788905756373525 , -0.775940979988916 , 1.53011255414865 , -2.22134668173848 , -0.230961386933892 , -0.836041050144963 , -0.841701810882928 , -1.55604291287629 , 1.48012166828606 , 1.24905661622371 , 1.12156398944774 , 1.53290118608338 , 2.02613015848143 , -0.243473138997635 , 1.3331676093107 , 1.51945869364686 , 0.156495136209336 , 0.571840682756216 , 2.37565849666646 , -0.532418274796524 , 0.583885492539851 , 1.80488665119734 , 0.0562885544230496 , -0.347719236365226 , -0.403033008415946 , -0.459850237935744 , -1.83111279837502 , 0.727606762960619 , 0.221109915633451 , 0.70084652258836 , 1.35744762742943 | 0.1065274 |
| 53 | 50 | 0.0 | 0 | 1 | control , control , control , control , control , control , control , control , control , control , control , control , control , control , control , control , control , control , control , control , control , control , control , control , control , control , control , control , control , control , control , control , control , control , control , control , control , control , control , control , control , control , control , control , control , control , control , control , control , control , intervention , intervention , intervention , intervention , intervention , intervention , intervention , intervention , intervention , intervention , intervention , intervention , intervention , intervention , intervention , intervention , intervention , intervention , intervention , intervention , intervention , intervention , intervention , intervention , intervention , intervention , intervention , intervention , intervention , intervention , intervention , intervention , intervention , intervention , intervention , intervention , intervention , intervention , intervention , intervention , intervention , intervention , intervention , intervention , intervention , intervention , intervention , intervention , intervention , intervention , 0.0234543900544971 , -0.720875198169294 , -0.731986797700289 , 0.776027860840712 , -0.398775140790587 , 0.8386516720802 , -0.180726852418497 , -0.911233191601308 , 2.64420690630191 , 0.501366962552582 , 1.1390937619589 , 0.123918281635483 , 0.645619394219155 , -0.736793967545317 , 0.764075685659916 , -0.751664407800441 , -0.0352374617196122, -0.279696346185892 , 1.46039890764995 , -1.54881938453929 , -1.18434760767963 , -2.27977090687797 , -0.352137438012592 , -0.304111536127283 , -0.589672464505893 , -1.07147615893307 , 0.911949865550064 , -0.751181785722757 , -0.973235638868534 , -0.826972220383474 , 0.487660184971571 , 0.391823277967324 , -0.387811575380067 , 0.0329305215315403 , 0.20559013542414 , 0.304568432751055 , -0.13219187781737 , 1.85753045813973 , 0.807449735288222 , -0.245048531745348 , -0.14574740287314 , 0.834734091735873 , -0.0299980670684545, 0.100815955772539 , 0.991243991214922 , -0.205484785097882 , -1.16349982950032 , -0.221992060837593 , -0.774728511309427 , 0.24681086167324 , -1.22769349611644 , -0.463357986064791 , 0.978838093357408 , -1.03387103385765 , -1.15842997223347 , 0.415232004925505 , -0.517031063856379 , 0.189420422928772 , 0.132714836968599 , -0.53249386041874 , -0.866882487544376 , -0.624004401636974 , -0.705908018862983 , 0.485233289955564 , -0.741099010108002 , -0.519403133631798 , -1.44242293249143 , -0.120658299501577 , 0.127694318027049 , -0.522451197946258 , -0.51320354543664 , 0.447121529678159 , 1.40094397282875 , 1.3019779483925 , -0.475005178477186 , 0.690542261143861 , 0.123771117098439 , -0.245468098873779 , -1.16646134879017 , 1.33913885207366 , -0.561750278803139 , 0.492100594393027 , 1.15144910337224 , -1.87563811808145 , -0.680349075390179 , 1.45453444754803 , -0.797080270845947 , 1.3814871399396 , 0.515707047101903 , -1.23608159682684 , 1.7192246611094 , 0.486816472814022 , -0.658976321668392 , 0.149271708184657 , 0.0474579226071673 , -0.0912477413322824, -0.939150672882827 , -0.101654055667317 , -0.112634186444365 , 0.295303827485625 | 0.7517700 |
| 53 | 50 | 0.5 | 0 | 1 | control , control , control , control , control , control , control , control , control , control , control , control , control , control , control , control , control , control , control , control , control , control , control , control , control , control , control , control , control , control , control , control , control , control , control , control , control , control , control , control , control , control , control , control , control , control , control , control , control , control , intervention , intervention , intervention , intervention , intervention , intervention , intervention , intervention , intervention , intervention , intervention , intervention , intervention , intervention , intervention , intervention , intervention , intervention , intervention , intervention , intervention , intervention , intervention , intervention , intervention , intervention , intervention , intervention , intervention , intervention , intervention , intervention , intervention , intervention , intervention , intervention , intervention , intervention , intervention , intervention , intervention , intervention , intervention , intervention , intervention , intervention , intervention , intervention , intervention , intervention , 0.182538686376882 , -1.51168643551331 , -0.773729700303806 , -1.76004256075711 , 0.477358581083581 , -0.382376678252078 , 0.332716260424263 , 1.62877219568858 , -1.22050479981024 , 0.628578551816998 , 0.787273934302934 , -0.172166938759974 , -0.318515602349928 , 0.925973362720754 , 0.091998596971544 , -0.216201199757609 , -0.417103391809606 , -1.21895723767153 , 0.951846299622933 , 1.43048394898333 , -0.103388005564846 , -1.08679699585654 , 0.091515349229119 , 1.34825559620751 , 0.311342944811293 , -0.0349587109870295, 0.244418599450396 , -1.68949043211186 , -0.560976296160708 , 0.466013871801012 , -0.48976747878541 , 1.28772573612008 , -2.10754161543525 , -1.73900482986731 , -0.907880944786332 , -0.0548788447801825, -0.508809375312767 , 0.139770090019508 , 0.929659609551153 , 0.182874284442846 , 0.660528096943241 , -2.39706438775794 , 0.174374907554954 , -1.91949704546242 , 0.638151366156189 , 0.815576537764097 , 0.059471363916457 , 1.14058514329635 , -0.366399181905092 , 0.397402614469165 , 2.22742576868568 , -0.555810926513319 , 0.2587141281268 , -0.146021371430622 , 0.557902483327584 , 0.445661300761136 , 0.543477293937294 , 0.366371322274369 , 0.483232596795288 , 1.02874530875624 , 0.401030876498479 , -0.365085789469699 , -0.769348199969744 , 1.07565964026781 , -0.0264095916808416, 0.479151637130462 , -0.951087680080832 , -1.02403496395708 , -0.0254822260630733, -0.297701389090502 , -0.384918396639241 , 2.23886543556866 , -0.362491728706504 , -0.25457505289314 , -0.633970677900828 , 0.876202684936415 , 1.01964634220584 , -0.0206542779352487, 0.818767094750096 , 0.621312591614586 , 1.8474522746321 , 1.03776585929977 , 2.09826628247429 , 0.829089085156222 , 0.0843940538944114 , -0.755018664358356 , 1.44183370262334 , 1.39292275948544 , 3.38664614563472 , 1.78996634083022 , 0.925360878729307 , -0.406718697628695 , 0.309223175144029 , 1.39658361995545 , -1.20112727177936 , -0.587853412175826 , 1.05118850861361 , 1.63549380654155 , 0.0153938019751974 , 0.58488790790621 | 0.0026494 |
| 54 | 20 | 0.0 | 0 | 1 | control , control , control , control , control , control , control , control , control , control , control , control , control , control , control , control , control , control , control , control , intervention , intervention , intervention , intervention , intervention , intervention , intervention , intervention , intervention , intervention , intervention , intervention , intervention , intervention , intervention , intervention , intervention , intervention , intervention , intervention , 1.25811712981307 , -0.582479350996994 , -0.195304317266477 , -0.626230702103591 , 0.564957720541345 , -0.381464097323152 , -0.635876918026109 , -0.634351832628176 , -0.249421110037927 , -0.622304188202848 , -1.53523676855989 , 1.04012144340873 , 1.01006167374963 , 0.0894779008936541 , -1.21209929202655 , 0.754499581876907 , 0.201877153230471 , 1.79267635436625 , 0.146659694818301 , 0.722885160252852 , -0.489569529930625 , -1.3964628559537 , -1.78373143541628 , -0.411132633098432 , 1.65200838017498 , -1.85398582540454 , 0.554290954611282 , 0.0987766943911142 , -1.86127949192001 , 0.0465874240050736 , -0.137265915986112 , 0.851515121121875 , -0.60813040905557 , -0.0567089667922106, -1.07157147498735 , 1.2289848895492 , -1.50265501926854 , -0.103443376079219 , -0.436543853471832 , -1.19743212403935 | 0.1244926 |
| 54 | 20 | 0.5 | 0 | 1 | control , control , control , control , control , control , control , control , control , control , control , control , control , control , control , control , control , control , control , control , intervention , intervention , intervention , intervention , intervention , intervention , intervention , intervention , intervention , intervention , intervention , intervention , intervention , intervention , intervention , intervention , intervention , intervention , intervention , intervention , -0.101085799388088 , 0.563772613481247 , -1.83010674393895 , -0.289423039862016 , -0.0198801380156962 , -0.464595239814697 , 1.04518666327487 , 0.360228198319364 , -0.620217203311551 , -0.244084516700473 , 0.0973430039312204 , 2.88177266418238 , 0.816924021103751 , 0.810361219468555 , 1.11101362295786 , -0.281328580860343 , -0.374040689591606 , -1.60303178210626 , -0.618735381951925 , -0.0432045880802112 , 0.249824120190974 , 0.235951183752354 , 1.48840586971435 , -1.02927115088917 , 0.271235158000423 , 1.13939576561122 , -0.657997217295408 , 1.89538791220394 , 0.033362171306318 , -0.318387183093378 , 1.90339910571806 , -0.385061272663982 , 0.667602611912044 , 1.9459936587499 , 0.837199110038406 , 0.348352377721438 , 0.61692700101799 , -0.00324811876065023, 0.200554391909688 , -0.230972171903043 | 0.1857194 |
| 54 | 50 | 0.0 | 0 | 1 | control , control , control , control , control , control , control , control , control , control , control , control , control , control , control , control , control , control , control , control , control , control , control , control , control , control , control , control , control , control , control , control , control , control , control , control , control , control , control , control , control , control , control , control , control , control , control , control , control , control , intervention , intervention , intervention , intervention , intervention , intervention , intervention , intervention , intervention , intervention , intervention , intervention , intervention , intervention , intervention , intervention , intervention , intervention , intervention , intervention , intervention , intervention , intervention , intervention , intervention , intervention , intervention , intervention , intervention , intervention , intervention , intervention , intervention , intervention , intervention , intervention , intervention , intervention , intervention , intervention , intervention , intervention , intervention , intervention , intervention , intervention , intervention , intervention , intervention , intervention , -1.3679148492313 , 0.122544502266807 , -1.03244802539046 , -0.770684218846308 , -0.00629002004479006, -0.234841999182623 , 1.03804773272462 , -1.18020013215442 , 1.31194470288986 , 0.0397396632584453 , 1.03352734258893 , 1.24628756496261 , 0.941402868165334 , -1.13050372319882 , 1.14156713951708 , 1.17277353768236 , 0.113724796504035 , 0.609313232545455 , -0.55197868274784 , -0.853198413983902 , 1.1706535772114 , -1.12676265599071 , -0.240273500294497 , -1.02660214409495 , 0.422934666051361 , -0.541191943120941 , 0.450056214138622 , -0.624323393949079 , -0.387607060393247 , -0.149613268698118 , 1.0058749492668 , -1.23757921643013 , -0.591780673385524 , -2.37686217036817 , -0.390478847376458 , 1.12047434970163 , -1.1276598246579 , 0.269826261195164 , -0.88246188300216 , -0.497633639581735 , -0.708855681063217 , -0.35926099988295 , 2.42571671699958 , -0.122789469376439 , 0.532815676711675 , 0.378208032147581 , -2.13772268246431 , -1.75586114936865 , 0.0833574700044898 , -1.66137437309852 , 0.73819432011565 , -0.605563179733046 , 1.00803621383105 , 0.48792384523117 , -0.149526201081617 , 1.6994185475555 , 0.497202264897055 , 0.772377940327741 , 0.679174857763285 , 0.417150093345767 , -1.84339403913324 , 1.49321531853964 , 1.26222276312501 , -0.592068343650017 , -0.457883166308101 , 0.891547212079811 , -1.35819300250836 , -0.421960500556516 , 0.139924780293688 , 1.20423067796985 , -0.170783919818961 , -0.782745491504257 , -1.12033113509796 , 0.159195164495585 , -1.93428371298066 , -0.404366992031659 , 1.52649534807809 , -0.64902148373483 , 1.76427869561909 , -1.19905146959497 , -0.315359263871707 , 0.28220348911542 , -2.78788218209143 , -0.85943207114644 , 0.63747309876487 , 0.172646264368752 , -2.4589128872976 , -0.450061403213321 , -0.29937065212445 , 0.110770856302771 , -0.103602500047975 , -1.8117922281439 , 0.890106821865317 , 0.881662556372358 , 1.74235332055723 , -0.196281309148562 , -1.08313559932346 , -0.0426699959165507 , 0.672960470434708 , 0.656738548670374 | 0.4966550 |
| 54 | 50 | 0.5 | 0 | 1 | control , control , control , control , control , control , control , control , control , control , control , control , control , control , control , control , control , control , control , control , control , control , control , control , control , control , control , control , control , control , control , control , control , control , control , control , control , control , control , control , control , control , control , control , control , control , control , control , control , control , intervention , intervention , intervention , intervention , intervention , intervention , intervention , intervention , intervention , intervention , intervention , intervention , intervention , intervention , intervention , intervention , intervention , intervention , intervention , intervention , intervention , intervention , intervention , intervention , intervention , intervention , intervention , intervention , intervention , intervention , intervention , intervention , intervention , intervention , intervention , intervention , intervention , intervention , intervention , intervention , intervention , intervention , intervention , intervention , intervention , intervention , intervention , intervention , intervention , intervention , -0.896970483166588 , -0.209686990878116 , 1.45103305023072 , -0.432967760382775 , 1.45143673189075 , 1.53294766816426 , 0.794184626155194 , 0.260323576326282 , 1.15434840713801 , 0.85204034481358 , 0.661987963647259 , -1.24209430012016 , -0.296991552854013 , -0.600441133313852 , -0.715000557040184 , -0.241469891719597 , -0.175543987666436 , 1.44259363479925 , -0.623617079771147 , 0.153305292676805 , 0.960891598659456 , -0.101357078165628 , 0.627365400147827 , -1.15785349465338 , -0.161908377545157 , -2.06281551170075 , 0.0395793745937987 , -0.205275212044406 , 2.04621965770964 , -0.888355602381235 , -0.85650024883169 , 0.241638935560705 , 0.658589559463833 , 0.979725074550897 , 1.37888092557719 , -1.12435250161848 , 0.695932941620864 , 0.229300477814844 , 1.27999054574779 , 0.656056934832217 , 0.648474549984835 , 0.209607789557453 , -0.165145769613282 , -1.10982171046089 , -0.348463739227429 , -0.601115673821892 , 0.0506737795268151 , -0.353249666038071 , -0.176792216838684 , 0.566621441989824 , 1.61653744806821 , 1.30240696165369 , -0.273803754862008 , 0.383512238843216 , 0.335187434453553 , -0.106686387421334 , 2.19695302171414 , 1.21109805631073 , 1.25200817373734 , 0.792448508588864 , 2.49636439759812 , 1.01672494631125 , -1.38137521913827 , -0.521798532018663 , 1.46182189590746 , -0.629021905616723 , -0.683823211315243 , 0.126843722072472 , 1.404991044908 , 0.494947225012328 , 1.75312973217429 , 1.16171045149672 , 1.91147002269724 , 1.01067014124673 , -2.18917070511112 , 2.43049201571274 , -1.51755376119863 , 0.0413347788938594 , -0.948360819249396 , -0.256589791511638 , 1.13400796163439 , -0.297933083072 , 1.47572045412845 , -0.0400685706890707, 0.199425120429356 , -0.446990880171407 , 1.75203346117007 , -0.141401158390468 , 0.628099721518977 , 1.74560696595189 , 1.31067357619402 , -0.66707409277638 , 0.64406914596296 , 0.520113635301229 , -0.358502692299857 , 1.87986097830628 , 1.52648687626046 , -1.46771767934192 , 0.901343298693052 , 2.47585852290454 | 0.0293014 |
| 55 | 20 | 0.0 | 0 | 1 | control , control , control , control , control , control , control , control , control , control , control , control , control , control , control , control , control , control , control , control , intervention , intervention , intervention , intervention , intervention , intervention , intervention , intervention , intervention , intervention , intervention , intervention , intervention , intervention , intervention , intervention , intervention , intervention , intervention , intervention , -0.0371300595487312, -0.166033175093982 , 1.1987464417237 , 0.697572053698779 , 0.960130756219307 , 0.703164131928261 , 1.35748857480954 , 0.762218703086007 , 0.745914469029593 , -1.10804811889254 , -1.30183236907442 , -0.138176574771844 , -0.274053875433146 , 1.31179970999112 , -0.701712375544192 , -1.3909067839602 , -0.625033487694824 , -0.923324585215604 , 0.870471233733541 , 1.8258779123894 , 0.824921933897658 , 2.81379346160357 , -1.40949539014109 , -1.08146559585587 , -0.2438441217384 , 0.233340634592049 , 0.130090690177494 , 0.71293592247924 , 0.470695017401012 , 0.171725065293624 , -0.233525129293609 , -0.18874400897585 , 1.21159827244083 , 0.559050185757812 , 0.402036219231789 , -0.991226488142555 , -0.383651874230644 , -0.589875409642582 , 0.415405470142403 , 0.980520238732693 | 0.9951276 |
| 55 | 20 | 0.5 | 0 | 1 | control , control , control , control , control , control , control , control , control , control , control , control , control , control , control , control , control , control , control , control , intervention , intervention , intervention , intervention , intervention , intervention , intervention , intervention , intervention , intervention , intervention , intervention , intervention , intervention , intervention , intervention , intervention , intervention , intervention , intervention , -0.992652774961765, 0.595496404346753 , -0.348313039223521, -0.547383108888784, -0.753706125490373, 0.797254633120752 , 0.537063668328134 , 0.341462615168045 , -0.508022305053887, 0.155198958259656 , 0.27392197808317 , -1.3970360664775 , 0.617362202258618 , 2.07643583199669 , 0.487070690419589 , 0.526556727119307 , -0.321802780793463, 1.01542822136981 , -0.408541111877334, 0.0431492698111519, 0.134640564811787 , 1.10769615934834 , 0.66354548075608 , -1.30720756794003 , 0.925103147855102 , 0.140506908897385 , 0.124516680765436 , -0.379027359606658, -0.732624501420804, -1.43527375714375 , 1.22121978336671 , 0.312184863848826 , 0.218709056067993 , 0.93411644628747 , 0.257215556106818 , -0.623871586232749, 1.9400989322993 , 1.0017983390126 , 0.484237724935237 , -0.852497321703584 | 0.7161600 |
| 55 | 50 | 0.0 | 0 | 1 | control , control , control , control , control , control , control , control , control , control , control , control , control , control , control , control , control , control , control , control , control , control , control , control , control , control , control , control , control , control , control , control , control , control , control , control , control , control , control , control , control , control , control , control , control , control , control , control , control , control , intervention , intervention , intervention , intervention , intervention , intervention , intervention , intervention , intervention , intervention , intervention , intervention , intervention , intervention , intervention , intervention , intervention , intervention , intervention , intervention , intervention , intervention , intervention , intervention , intervention , intervention , intervention , intervention , intervention , intervention , intervention , intervention , intervention , intervention , intervention , intervention , intervention , intervention , intervention , intervention , intervention , intervention , intervention , intervention , intervention , intervention , intervention , intervention , intervention , intervention , -0.473160486391118 , 0.952651441889853 , 0.2645112589282 , -0.840004442486568 , 0.217541020798774 , -0.568341910485473 , 1.10713071358313 , 1.59761279448223 , 1.74047107036843 , -0.0805539915685711, -1.1699540599866 , 0.166826072024489 , 2.76111594527367 , 1.71837067417814 , -1.19883061851476 , -0.598515834146282 , -1.71982664855206 , 1.15866805198221 , -0.600803100856559 , -0.0545668905848427, 0.295336278926327 , -2.12392114642364 , -1.24070097613773 , -1.13077972138002 , 1.11824442659444 , 1.74427605069017 , -1.48652336677829 , -0.508760467722543 , 1.22414755763439 , 0.988315189448998 , 0.806124546519562 , -2.62493911723958 , -0.0107086309270061, 0.579577152514261 , -0.0885091694000216, -1.18283690603681 , -1.2047896106276 , 1.04463472224917 , -0.940545468298107 , 0.567001762524147 , -1.13682420913845 , -0.150569634312812 , -0.722095477968455 , 1.08610447567341 , 0.448985145371319 , -0.536409349887682 , 0.148838886330566 , -2.14035349061834 , -0.291500894631556 , -0.708912085583814 , -0.415368631501693 , 1.64595773998464 , 0.50136586452994 , 0.113324628846696 , 0.0619727835722226 , -0.30393207894793 , 0.0331966592095394 , 0.34923502118789 , -1.84858315922921 , 0.0996991576136432 , 0.58811296524973 , -0.0112944394476833, -0.419968509721045 , 0.653235328437697 , -0.207168747985084 , -0.854553830866638 , 0.978439328176427 , -1.16267730100849 , -1.37166303353725 , -1.27428760462232 , -2.25089608967675 , 0.267005649082052 , -1.15642017630977 , -0.0805258523058922, 1.84164378111221 , 0.243343707344195 , -0.113758740549586 , 1.76395161427977 , -0.115457109215493 , -0.0995404830005449, 0.519471513661071 , -0.0690904621947959, -0.0274239858446367, 0.579589619003871 , 0.856937368861198 , 1.81426754162217 , -0.573243884911914 , -0.534868295097864 , -0.193206608344281 , 0.162825041408602 , -0.609806267469041 , -0.0436810552566526, 0.0987739833152288 , -1.38991065502442 , -1.39468376054539 , 0.0195213932622792 , -0.924872904370671 , -0.811890839754815 , -0.267036309964633 , -0.0218682678041694 | 0.8798732 |
| 55 | 50 | 0.5 | 0 | 1 | control , control , control , control , control , control , control , control , control , control , control , control , control , control , control , control , control , control , control , control , control , control , control , control , control , control , control , control , control , control , control , control , control , control , control , control , control , control , control , control , control , control , control , control , control , control , control , control , control , control , intervention , intervention , intervention , intervention , intervention , intervention , intervention , intervention , intervention , intervention , intervention , intervention , intervention , intervention , intervention , intervention , intervention , intervention , intervention , intervention , intervention , intervention , intervention , intervention , intervention , intervention , intervention , intervention , intervention , intervention , intervention , intervention , intervention , intervention , intervention , intervention , intervention , intervention , intervention , intervention , intervention , intervention , intervention , intervention , intervention , intervention , intervention , intervention , intervention , intervention , -1.92972364593133 , -1.65158310682613 , -0.864332010454532 , 0.108059958141208 , -1.44604143191538 , -0.0883034947422366 , 0.312938557942188 , 0.944287594319745 , 0.158180334740734 , -0.300581529588665 , 0.144122549056346 , 0.364112950207868 , -1.14556790422327 , 2.23896040482135 , 0.0238775843353302 , -0.437238563642767 , 0.328882533451239 , -0.561752626656186 , -0.838186253108716 , 2.03828447328632 , 0.288510268947546 , -0.124771291967986 , 0.124516300335395 , -0.44458678303323 , -1.4736985346251 , 0.900921880055527 , -0.000347387491823241, 0.467853121193923 , 0.348467407451788 , 1.84874692018716 , -0.941851661076873 , -0.0868030298882392 , 0.115281326445822 , -1.9288557845853 , -1.54727946578797 , 0.712145919349267 , 2.70052634084696 , 1.90232275594664 , 1.35101148310568 , -0.433293482217679 , -0.476628499758293 , -0.719360881713671 , 1.54816217721379 , 0.256178251381144 , 0.703234829985959 , -1.41796058378795 , 1.31023943658098 , 0.153889232091807 , 1.54158182558351 , 0.259715696893203 , 1.38937404751751 , -0.291134047276257 , -0.435906932159899 , 0.0794376552809997 , 0.331810686547944 , 0.145046885605348 , 2.30410843291389 , 0.427333752071925 , 0.735728175229668 , 1.11565732780706 , 1.66576958230782 , 1.94833929798993 , -1.20304946615058 , 0.141374907924599 , 0.751231642443311 , 0.625561714358008 , 0.13482194173748 , 1.07717058723269 , 1.11981062452661 , -0.0942754464537701 , 0.849300743722214 , -0.259493611695587 , 2.54959460512841 , 0.632231203257177 , 0.452129288122339 , -0.138687221366506 , 0.906881281176843 , 1.8326574492624 , 0.486743738571563 , -0.0560460964266598 , 1.4867797272773 , 1.27452737672789 , -0.0424804806065404 , 1.36328117596823 , 0.835788092347407 , -0.0390654821452141 , -0.0787776254741703 , 2.48481442151434 , 0.517738827470386 , 1.57418087789145 , 2.7244335405024 , 2.02114086131953 , 0.561602549837377 , -0.307167329933742 , 0.361461537738708 , 0.929260753600926 , -0.390619565015756 , 0.454119728393409 , 1.67593289931842 , 0.198846680122799 | 0.0015113 |
| 56 | 20 | 0.0 | 0 | 1 | control , control , control , control , control , control , control , control , control , control , control , control , control , control , control , control , control , control , control , control , intervention , intervention , intervention , intervention , intervention , intervention , intervention , intervention , intervention , intervention , intervention , intervention , intervention , intervention , intervention , intervention , intervention , intervention , intervention , intervention , 0.657723675262551 , -0.591673127994905, 1.84554180144498 , -0.275403655893923, -1.48656216933229 , 2.05843148501588 , -0.747059484980786, 0.209184061575726 , 0.304400616789539 , -1.22296837323853 , 0.0695131078266905, -0.532892427232984, 0.444981570787158 , -0.559293500849682, -0.938763654982029, 0.553236613324853 , -0.729722936583147, 0.607271044847047 , -1.38372244766793 , 3.04931700813843 , 0.23455362385104 , -1.40070932994318 , 1.05672173240967 , -0.552857318361006, -0.329846961918695, -0.803825771841791, 0.246107730674286 , 0.881421523532634 , -1.13662528824301 , 1.28736180764529 , 0.601011941936231 , 0.436458026866365 , -2.28201547686409 , -0.833307417782435, -1.52412575995094 , 0.70677084244169 , -1.03365523629905 , -0.969103042792842, -1.29300882112202 , 0.527809794971754 | 0.2882562 |
| 56 | 20 | 0.5 | 0 | 1 | control , control , control , control , control , control , control , control , control , control , control , control , control , control , control , control , control , control , control , control , intervention , intervention , intervention , intervention , intervention , intervention , intervention , intervention , intervention , intervention , intervention , intervention , intervention , intervention , intervention , intervention , intervention , intervention , intervention , intervention , -0.0689705582521628, -0.0627547971148309, -0.331440534008744 , -0.195235134395697 , 0.991439815575095 , 0.747850041531326 , 0.445001501433396 , 0.17872310076593 , 0.39623524901112 , -2.21614821206005 , -0.666229238949299 , -0.281012818406729 , 0.840504383146614 , 0.200484460491172 , 2.14526545039558 , -1.79869137786264 , 1.7238437749481 , 0.531257203238365 , 0.818348772594544 , 1.13279087715842 , 0.00458678792724798, -0.15175828945049 , -1.28202449576833 , -0.797803955817812 , 1.11655228616992 , 1.23295030837525 , -1.52867752951929 , 1.33369398024669 , 3.11753783369566 , -0.127076033441508 , 0.0606473206166784 , 0.139170082143856 , 2.51260144105847 , 0.573398995225192 , -0.402003733722599 , 1.17608159169725 , 1.11375773751631 , 1.22619348976036 , 0.533841770768031 , 1.36369234938922 | 0.3429184 |
| 56 | 50 | 0.0 | 0 | 1 | control , control , control , control , control , control , control , control , control , control , control , control , control , control , control , control , control , control , control , control , control , control , control , control , control , control , control , control , control , control , control , control , control , control , control , control , control , control , control , control , control , control , control , control , control , control , control , control , control , control , intervention , intervention , intervention , intervention , intervention , intervention , intervention , intervention , intervention , intervention , intervention , intervention , intervention , intervention , intervention , intervention , intervention , intervention , intervention , intervention , intervention , intervention , intervention , intervention , intervention , intervention , intervention , intervention , intervention , intervention , intervention , intervention , intervention , intervention , intervention , intervention , intervention , intervention , intervention , intervention , intervention , intervention , intervention , intervention , intervention , intervention , intervention , intervention , intervention , intervention , -0.415508914373272 , 0.217078244405954 , -1.15620112463938 , 0.000483872163084453, 0.336386189992458 , 0.175590499138197 , -0.872782685622336 , 0.838316197137902 , 0.542602728572218 , -2.04889147435946 , -1.1159813287791 , -0.831498142952748 , -0.695035250762396 , 1.54545037312435 , -0.871892424826426 , -1.49174826897626 , 0.40572336592775 , -2.75288015330246 , 0.0327761115835243 , 2.07744452219729 , -0.449476509001224 , 0.025350047810394 , 0.0751206438720528 , -1.75009020684314 , -0.620729685955782 , -0.152759550057349 , -0.518387816954641 , -0.580621525471931 , 1.33555181946066 , -2.21516878429491 , -0.569213451570412 , 1.43221387685619 , 0.320036835376878 , 1.17136322473583 , 1.13417545845531 , -0.776243566703466 , -1.22239604496462 , 0.384533303501088 , -1.53422386151204 , -1.15841604795704 , -0.445185960155922 , 1.18700460907457 , -0.0943052653420039 , -1.61765717965926 , -0.677611332491958 , 0.251922352045087 , 1.8068867824226 , 0.911250491670878 , -1.83461145202444 , -0.855468961160068 , 0.0967608650094007 , -0.108463084960887 , -0.122172192154791 , 1.00296202503067 , 1.05527781949935 , 0.251281188258331 , -0.631037646244314 , -0.758767261774078 , -0.891795058141593 , -1.19746866509685 , 1.44899553270342 , 1.1473999095675 , 0.20355925713088 , 0.385766053013899 , 1.51554612298331 , -0.0926700853532354 , 0.701318449430905 , -0.268488560514044 , -1.95383000918093 , -0.635081652864959 , 0.415271139263723 , -0.574798240001786 , 0.268032651402605 , 0.445892560880228 , 1.59883500271629 , -0.746145800009386 , 0.79290883027694 , 0.263319604870754 , -0.692379362520424 , -0.716917856475051 , 0.00571048304627744 , 0.0679238147897378 , 1.74250759702528 , -0.407877324844816 , 0.900523379062736 , -1.75799821202269 , 1.08348807763723 , 1.30946295760847 , -0.0328065450033057 , -1.10722233258129 , -1.57062870267351 , 1.88511756424655 , 0.535238973453371 , 0.0319718602815207 , 1.78840250631821 , 1.03982056548568 , 0.95291749920925 , -0.900256957357623 , -1.38431346970613 , 0.806816661267376 | 0.0535060 |
| 56 | 50 | 0.5 | 0 | 1 | control , control , control , control , control , control , control , control , control , control , control , control , control , control , control , control , control , control , control , control , control , control , control , control , control , control , control , control , control , control , control , control , control , control , control , control , control , control , control , control , control , control , control , control , control , control , control , control , control , control , intervention , intervention , intervention , intervention , intervention , intervention , intervention , intervention , intervention , intervention , intervention , intervention , intervention , intervention , intervention , intervention , intervention , intervention , intervention , intervention , intervention , intervention , intervention , intervention , intervention , intervention , intervention , intervention , intervention , intervention , intervention , intervention , intervention , intervention , intervention , intervention , intervention , intervention , intervention , intervention , intervention , intervention , intervention , intervention , intervention , intervention , intervention , intervention , intervention , intervention , -0.800686121568304 , 0.881098074141762 , 0.0976931743500525 , 0.579710238094389 , -0.842647945227906 , 0.609692701847954 , -1.14417617512129 , 0.589935688535898 , 0.216686642569704 , -1.73535828532165 , -1.25057481014846 , 0.350919104053146 , -1.67082202287812 , 0.585199956751109 , 0.317857437503009 , 0.696738319352886 , -0.704300147227783 , 0.895182270366986 , 0.176201856631807 , 1.39803907792552 , -0.752131413621086 , 0.909727917975696 , 1.68618092111307 , 0.0496443255452498 , 0.673321893807083 , -1.20285162994354 , -2.26970295713911 , -0.287644021689715 , 1.58207981963548 , 0.0988028739483696 , 0.0174947188491211 , -0.941327227599268 , -0.191487454969709 , -0.279942102506127 , 0.977576164319906 , -1.13175770704829 , -0.523459000495825 , -0.197824311970668 , -0.415260428854509 , 0.634006515437376 , -0.0229567838798271, 0.19798036974244 , -1.23733899960262 , 0.988368625780875 , 0.372106754083231 , 0.121627783679438 , 1.13765181664967 , -0.395908072065807 , 0.167791442826866 , -0.671084898222272 , -0.39003123526551 , 0.41501170805886 , -1.59228037572435 , -0.604573891607588 , -0.824950635861752 , 0.271164924883674 , 1.32332847922808 , -0.704737169130791 , 1.08322579392078 , -1.42306812099045 , 1.19916677227066 , 0.997094691555668 , 0.848479304677071 , -0.0271923793327902, 1.21576955238548 , -0.819062038541317 , -0.231641750793523 , 0.391096929944915 , 2.60778794552847 , 2.25562840500679 , -1.36326379174888 , 1.17924659494964 , -1.44770694739163 , 0.847246086918465 , 0.293786620958499 , -0.500408838241638 , 2.47540288550779 , 0.446799587482967 , 0.610827049300894 , 2.05805749423579 , 2.08625988824685 , 0.982509202620723 , -1.15107783289382 , -0.429473528415628 , 0.599260191465263 , 2.15879868081522 , -0.398406069354879 , -0.696588062760379 , 1.31823094521228 , -1.25584701241849 , 1.13495452822486 , -0.804011614844337 , 2.2354271626519 , 1.31683378706628 , 1.64033267015453 , 0.678377112031008 , -1.45115696153085 , -0.328888060222013 , 1.38569540453128 , 0.209661915954522 | 0.0424053 |
| 57 | 20 | 0.0 | 0 | 1 | control , control , control , control , control , control , control , control , control , control , control , control , control , control , control , control , control , control , control , control , intervention , intervention , intervention , intervention , intervention , intervention , intervention , intervention , intervention , intervention , intervention , intervention , intervention , intervention , intervention , intervention , intervention , intervention , intervention , intervention , -0.22444546717693 , 0.565127501841056 , -0.108362946034647 , 0.211951946263248 , 1.03392557917628 , 0.068317250833764 , 0.384989522754025 , -0.774469034064531 , -0.392945232819544 , 1.25493099858264 , 0.267779031963001 , 1.46699350280983 , 0.619286167506133 , 1.11175868679353 , 0.540657339224838 , -0.3740699280036 , 0.283316868983123 , -0.884037295357877 , 0.335075082042702 , -2.31981955621797 , -0.314854767345439 , 0.381610066163324 , -0.0152787866525564 , -0.00467493938923784, 0.208103628689742 , 1.92437816376545 , -0.506463417536312 , 0.0715300335223169 , 0.546386911803546 , -0.111019698293698 , 0.375860312927205 , 0.9426736525937 , 0.280901306469654 , -0.351429218559144 , 1.64006693896485 , 0.315366907588775 , 0.768022297699665 , 0.249070638604068 , -0.183345487938489 , 0.560655334465995 | 0.4393391 |
| 57 | 20 | 0.5 | 0 | 1 | control , control , control , control , control , control , control , control , control , control , control , control , control , control , control , control , control , control , control , control , intervention , intervention , intervention , intervention , intervention , intervention , intervention , intervention , intervention , intervention , intervention , intervention , intervention , intervention , intervention , intervention , intervention , intervention , intervention , intervention , -0.933199401095397 , -0.275054069425214 , -0.866028762713595 , -0.164453210588383 , 0.308831000030202 , 1.15160845821496 , 0.193081980915191 , 0.526370690810026 , 1.77937847403556 , -0.142618972802558 , -0.298626263233361 , -0.922040245803501 , -0.166601309041009 , 1.33857919655125 , -0.636713599402403 , -1.49412031881595 , 2.05941382350985 , -1.44677713285841 , 1.75299763644003 , 0.444579575490614 , -0.0414486174659374, 1.36535250324838 , -0.347161680706605 , -0.326087538867936 , -1.40241106087039 , -1.54504826664293 , 1.47017967139876 , 0.542300734147528 , 0.457808097772941 , 0.765230981458534 , 2.13686139327947 , -0.363780030054697 , 0.660433788416961 , 0.701945379584408 , 0.968429534957187 , 0.36048110227996 , -0.199592112637492 , -0.167015030649283 , -0.2176383303697 , -0.235981715774394 | 0.7054219 |
| 57 | 50 | 0.0 | 0 | 1 | control , control , control , control , control , control , control , control , control , control , control , control , control , control , control , control , control , control , control , control , control , control , control , control , control , control , control , control , control , control , control , control , control , control , control , control , control , control , control , control , control , control , control , control , control , control , control , control , control , control , intervention , intervention , intervention , intervention , intervention , intervention , intervention , intervention , intervention , intervention , intervention , intervention , intervention , intervention , intervention , intervention , intervention , intervention , intervention , intervention , intervention , intervention , intervention , intervention , intervention , intervention , intervention , intervention , intervention , intervention , intervention , intervention , intervention , intervention , intervention , intervention , intervention , intervention , intervention , intervention , intervention , intervention , intervention , intervention , intervention , intervention , intervention , intervention , intervention , intervention , 0.0368990163426257 , 1.27062502661292 , 0.192121561931805 , -1.59595949561184 , 0.0934442442336329 , -0.0474695342162864, 0.0800922898840991 , 0.305220297151454 , -0.663499688971232 , 0.177752578807873 , -2.88932797136199 , 1.37097239558287 , 0.806054019872939 , 1.30258403066248 , -0.154067520940404 , 0.0257719939773193 , 1.18746654106178 , 1.57799091909474 , 0.203981025467855 , -0.809960053140405 , -0.928326852466304 , -0.12470129313546 , 0.419493503546499 , 0.225659821961825 , 0.442577891258683 , 1.07547009829687 , -0.731607410308215 , -0.375170086030385 , -0.500511816661504 , -0.326804544928265 , -0.0750580905251165, 0.980009995290936 , 0.256919128209994 , -0.587622752690402 , -0.420430183799597 , 1.94336830920091 , -1.12165672780044 , -1.581084387219 , 0.462226478834379 , -0.353982948922839 , 0.722109349331062 , 1.05179170781488 , -0.647727903725385 , -1.19220231950989 , 0.508134125261776 , 0.0650711580493761 , 1.2523972875138 , 0.0229159069075205 , -0.187132683141311 , 1.28690777582883 , 1.59418803637293 , -0.418024248197842 , 0.866506260555414 , -0.993416333889087 , -1.72492745220396 , 0.206149926440016 , -1.74359923116437 , -0.0188678558619739, -0.370806904084561 , 0.683798583809062 , -0.112533189794314 , -0.894637141016558 , 0.58306298860187 , 2.29396931595938 , -0.167640286852482 , 1.46821683180014 , -0.21100946782595 , -0.0613155818934437, 1.65693397624098 , -0.801112488702369 , -0.0272145765536945, 0.386444419806025 , -1.67990282350851 , 0.0646812451905355 , 0.262058891064315 , -0.012827112632549 , -0.375811598679258 , 1.33571219564634 , -1.67140540985568 , 0.260352266513979 , -1.09330435274433 , 0.350911546684265 , 0.538097398335904 , 0.923817693097503 , 0.159302496061339 , -1.97781059951905 , 0.222582856427035 , -0.323675639436382 , 1.63763492469617 , 0.759319397246233 , 0.0917974808666757 , 0.0214640295345083 , -0.76426581541945 , 0.140645978095046 , 0.669533405949108 , 1.92199387798305 , 0.69115820157532 , 0.731090715529518 , 2.30542345149861 , -0.736141429039522 | 0.7890454 |
| 57 | 50 | 0.5 | 0 | 1 | control , control , control , control , control , control , control , control , control , control , control , control , control , control , control , control , control , control , control , control , control , control , control , control , control , control , control , control , control , control , control , control , control , control , control , control , control , control , control , control , control , control , control , control , control , control , control , control , control , control , intervention , intervention , intervention , intervention , intervention , intervention , intervention , intervention , intervention , intervention , intervention , intervention , intervention , intervention , intervention , intervention , intervention , intervention , intervention , intervention , intervention , intervention , intervention , intervention , intervention , intervention , intervention , intervention , intervention , intervention , intervention , intervention , intervention , intervention , intervention , intervention , intervention , intervention , intervention , intervention , intervention , intervention , intervention , intervention , intervention , intervention , intervention , intervention , intervention , intervention , 1.84786877946826 , 1.97862319916437 , 0.218337486212388 , 1.68963932300922 , -0.317658974291311 , -1.45924410138529 , -2.06564819077991 , 1.693409591314 , 0.177218429256367 , 0.650869395667449 , 0.00107148746291747, 2.14227460613053 , -1.26752728190923 , 0.548178893095749 , -0.537022602293014 , -0.121298588743333 , 0.541880917923917 , -0.271610677336504 , 0.445294440418612 , 1.20105166979174 , 0.653282296327331 , -0.619806483826892 , -1.71979502317074 , -0.634045079532874 , 0.934452582837173 , -0.344044001745843 , -1.86713116205916 , 0.22397038300018 , -0.645412647512664 , 0.377884921226997 , -1.03357816219122 , 1.16584745885924 , 0.446938025787761 , -0.773892786754941 , -0.846174944829437 , 0.517087361373166 , -0.132541849443342 , 1.37626298304908 , 0.654401959552117 , -0.839628688792022 , 0.0818352019594148 , 1.19629488374731 , -1.7293283060186 , -0.180293985692196 , -0.323088622833514 , 0.246945293377934 , 2.42137691483847 , -1.13254380408898 , 1.56157753772524 , 0.753351720391756 , -1.03098892527237 , 0.511668892177711 , 1.57327387327017 , -1.09060751212086 , 2.09311977579464 , -0.539041292683819 , 0.943111301074134 , 1.14594611070656 , -0.079573613884395 , 1.11412353250263 , 2.60236032867267 , 0.652474079777229 , 1.49794184297519 , 0.28714976178276 , 1.93265922858587 , 0.864488557956822 , 0.27464231590124 , -0.238254742718648 , 1.35192732205521 , 0.718592954793132 , 1.73966658024118 , 0.233676033160524 , 3.46292716866631 , -1.0907600754682 , 2.1212081423583 , 1.28810549071815 , 0.742586548046505 , 0.00569875741683712, 0.9336095815405 , 1.45567364432904 , -2.55470335581865 , 0.978753379137129 , 0.216336514839274 , 0.57290767290819 , -0.583174226682984 , 0.466047727263192 , 1.49037856219232 , 1.20016662103488 , 1.00316109444541 , 0.655796296700098 , 0.407363967667389 , 1.85539538783339 , 0.778479330535982 , 0.101260746275149 , -0.0446333062214868, 1.45479233441988 , 1.15809688802247 , 0.979198497551015 , -0.29162881433719 , -0.0685530971461779 | 0.0093419 |
| 58 | 20 | 0.0 | 0 | 1 | control , control , control , control , control , control , control , control , control , control , control , control , control , control , control , control , control , control , control , control , intervention , intervention , intervention , intervention , intervention , intervention , intervention , intervention , intervention , intervention , intervention , intervention , intervention , intervention , intervention , intervention , intervention , intervention , intervention , intervention , -0.243861835810417 , 0.146993288935687 , -0.550659191763549 , 0.371226623647897 , 0.882846447674344 , -0.218209370440042 , -1.43054218160592 , -0.699264733088933 , -0.338241912286924 , 0.935149846188224 , 0.364011659148625 , 0.0202664647043447 , -0.624801706364816 , -0.99280832225883 , -0.746165928661739 , -0.263763208693802 , 0.31747394194099 , 0.183840465898377 , -1.21007489728466 , 1.22802562297329 , 1.33206848325648 , -0.885783291515781 , -0.725984533905835 , -0.0289102327673049, -0.595977051774593 , 1.31729324043956 , 0.866741291132316 , 0.796011451006822 , 0.664729560335428 , 0.706188317841513 , 0.415393836138381 , 0.171538821161948 , 1.50332281380546 , -0.650873704792853 , -0.350372583899975 , -0.308920454635318 , 1.46874733438264 , 0.523602766716897 , -1.06645535349581 , -0.30895545706019 | 0.1237483 |
| 58 | 20 | 0.5 | 0 | 1 | control , control , control , control , control , control , control , control , control , control , control , control , control , control , control , control , control , control , control , control , intervention , intervention , intervention , intervention , intervention , intervention , intervention , intervention , intervention , intervention , intervention , intervention , intervention , intervention , intervention , intervention , intervention , intervention , intervention , intervention , 2.14817420416753 , 1.57949760992847 , -1.38102124463034 , -0.161243185177919, 1.34822074398298 , 0.440137193015912 , 0.756377867122109 , -0.119182688843176, 1.18470059089572 , 0.340948678679625 , 0.803034377786271 , -0.723776114084625, -0.846319027858703, -0.631284622619561, -0.598503212403216, 1.79310219956149 , 0.289504697451852 , -0.247427898714676, -1.35736192613102 , 0.480931130061584 , 0.891217731431098 , 1.21438376099249 , -0.51298006148029 , 0.313011800800836 , 2.31699660102944 , 1.78063536832968 , -0.235299667717541, 0.697657716491797 , 1.51341567488039 , 2.04746678022334 , 0.453188350082183 , 0.658508230708255 , 0.643324006865518 , 0.893647541375951 , 1.02435466956901 , -0.186575127581533, -0.979356087312599, 2.35527838042415 , -0.053166259382446, 0.31215217019634 | 0.1117936 |
| 58 | 50 | 0.0 | 0 | 1 | control , control , control , control , control , control , control , control , control , control , control , control , control , control , control , control , control , control , control , control , control , control , control , control , control , control , control , control , control , control , control , control , control , control , control , control , control , control , control , control , control , control , control , control , control , control , control , control , control , control , intervention , intervention , intervention , intervention , intervention , intervention , intervention , intervention , intervention , intervention , intervention , intervention , intervention , intervention , intervention , intervention , intervention , intervention , intervention , intervention , intervention , intervention , intervention , intervention , intervention , intervention , intervention , intervention , intervention , intervention , intervention , intervention , intervention , intervention , intervention , intervention , intervention , intervention , intervention , intervention , intervention , intervention , intervention , intervention , intervention , intervention , intervention , intervention , intervention , intervention , -0.369899455937082 , 0.65238988370691 , 0.406294480736129 , -1.3612245155277 , -0.254823533592077 , -1.38166581580504 , 1.49121038982082 , 0.912852970394347 , 0.241357124906809 , 0.220026040055623 , -1.85190641091029 , 1.86007380674949 , -0.192987014234362 , 0.912509302891638 , 0.270110107028732 , 1.18523544904893 , -0.929320149754629 , 0.389443726777316 , 0.589215762347864 , 1.07434235192189 , -0.180090389279566 , -0.488641308588522 , 0.783401837518571 , 0.372531847284489 , 1.80080236595458 , 0.307992208593855 , -0.710411751170271 , 1.08904312607888 , 1.4322828060817 , 1.23694690365221 , -0.686747755313243 , -0.328093446113567 , 0.188588516693819 , 0.116471313392759 , 0.38377358944869 , -0.535232805052221 , -1.30230756651286 , 0.219049392294682 , -1.63565220667372 , 0.555211265569817 , -1.60986623984946 , -0.0495590740244254, 0.399332702587811 , 1.39529295539973 , 0.917209889734786 , -1.42823966490159 , -0.0428688703622078, -0.0506521971234779, -1.67742220810105 , 0.48992814963408 , -1.45374021380546 , -0.0419439789592473, 0.795568016429717 , -0.694522027935544 , -0.512761576559728 , -0.933429068417923 , 0.251042550206775 , -0.690249891521192 , 0.97392874279216 , -0.301144154957035 , 1.32967497673357 , 0.109498206396961 , 0.562259307989789 , -0.0734052563471318, 1.73274517364791 , -2.08790460756273 , -1.14177734491903 , 0.98836429688676 , -1.36559237222279 , -1.41911841769127 , 0.962002856763312 , 0.229739023332335 , 0.873129951538707 , 0.181934589510102 , -1.71511580708544 , 0.228079154455853 , 0.207445591004001 , 0.957147702649516 , -1.75791006664565 , -0.380025923177187 , -1.48375426793385 , 0.0328164248685019 , 1.82104641319002 , -1.48753497073709 , -0.505320278274044 , -0.0467568924278362, 0.570001010769979 , -0.733019353392304 , -0.425971832076134 , -1.23040222768327 , 1.12095019786731 , -1.20399218924804 , 0.213828211541797 , -0.643066785987758 , -1.08325733144191 , 0.33030192266221 , 0.466221881386299 , 0.022648153994733 , 0.97014074040479 , -2.16784406895135 | 0.1438710 |
| 58 | 50 | 0.5 | 0 | 1 | control , control , control , control , control , control , control , control , control , control , control , control , control , control , control , control , control , control , control , control , control , control , control , control , control , control , control , control , control , control , control , control , control , control , control , control , control , control , control , control , control , control , control , control , control , control , control , control , control , control , intervention , intervention , intervention , intervention , intervention , intervention , intervention , intervention , intervention , intervention , intervention , intervention , intervention , intervention , intervention , intervention , intervention , intervention , intervention , intervention , intervention , intervention , intervention , intervention , intervention , intervention , intervention , intervention , intervention , intervention , intervention , intervention , intervention , intervention , intervention , intervention , intervention , intervention , intervention , intervention , intervention , intervention , intervention , intervention , intervention , intervention , intervention , intervention , intervention , intervention , -0.915081926541315 , -0.584577835108527 , 1.08654760133817 , 0.330715936818822 , -0.471679161298946 , 0.833812298249022 , 0.448732072579464 , -0.824148885856764 , -0.249947290284891 , 1.4118718945692 , 0.507764330343279 , 1.49641013770097 , -0.225535447670494 , 0.577412151896066 , 1.29869062765155 , 0.309001855869707 , -1.19275226536564 , 0.0994872419401309 , -0.691455163843723 , -0.472010333594203 , 0.643864497820103 , 1.44468645058278 , 1.80766803732845 , -0.791363478664136 , -0.010347797990221 , 0.240228598771888 , 0.732854245833479 , -0.132917073633222 , 0.350627587126265 , -0.338160178377003 , 0.440445821442048 , -0.299186518383692 , -0.60104265833718 , 1.17585522076418 , -0.0876230200341275, -0.609538277083307 , -0.965589966026636 , -0.207916478522233 , 0.933366760593193 , -0.685537239838178 , 0.162317378047491 , -0.576903861860706 , 0.815437881464675 , -1.18068450916167 , -1.16172631369553 , -0.920372886642304 , -1.97900536913296 , 0.432992800263028 , 0.484409519093489 , 0.0359359720101542 , 0.388035914676276 , -0.101592151350911 , 0.10681720052886 , 1.11863647868475 , 1.87202036226028 , 0.299240311095084 , -0.756301349027673 , -0.877541599140444 , 0.952259980312853 , 1.55471637056768 , 1.62723277688786 , 0.602787913350246 , -0.788614812459407 , 0.308520108604967 , 0.161749716098786 , 0.533500112511701 , -1.10968256144525 , -0.246751108806856 , 0.366429923498925 , -0.456731258804372 , 0.58526270897475 , 2.10119078339427 , 0.150885059193802 , 1.38796699098008 , -0.423104312878397 , 1.23251612471227 , 0.99106813712823 , 0.634633371764173 , 0.777643622024851 , 2.25831043474341 , -1.45282172576057 , 0.461111655850913 , 0.00115391979760759, 0.472114388632354 , 1.9582115925035 , 0.96980087507306 , 0.092170035739342 , 1.87384523494202 , -0.263676696282409 , 0.00641792523945073, 1.77691216776054 , 0.877631114101664 , -0.301575590995512 , -0.830329928031208 , 2.08009469138629 , 0.866388888718422 , -0.935564234461383 , 0.20331525324901 , 0.30769092338053 , 0.374760708364391 | 0.0143325 |
| 59 | 20 | 0.0 | 0 | 1 | control , control , control , control , control , control , control , control , control , control , control , control , control , control , control , control , control , control , control , control , intervention , intervention , intervention , intervention , intervention , intervention , intervention , intervention , intervention , intervention , intervention , intervention , intervention , intervention , intervention , intervention , intervention , intervention , intervention , intervention , 0.502811463932585 , -1.08252588632742 , -0.203293382396194 , 0.65893325456474 , -0.192836819128797 , -0.294425536282941 , 0.978953691827663 , 0.517208360146206 , -0.455236799978513 , -0.0754508779963888, -0.691229337160068 , -0.08781393052872 , -0.33412671611252 , -0.212443667614106 , -0.0550624147542818, 0.291688723698692 , 0.258879928452384 , -1.6011786669906 , -2.16094061275871 , 1.71436657705876 , 0.634086543972429 , 0.434254954855933 , 0.929101975546916 , -1.06807523687317 , 0.966154102949978 , -1.61976900984657 , 0.135574819502832 , 0.7774066547046 , -1.2195646211011 , -0.935389707668958 , -1.75071357399054 , 0.629341673705444 , -0.258940176197505 , -0.0250610858132917, -1.07075273308295 , -0.775771501464265 , 1.0913884639804 , -0.680644908129662 , 0.883379521353916 , -0.198569837522616 | 0.9164066 |
| 59 | 20 | 0.5 | 0 | 1 | control , control , control , control , control , control , control , control , control , control , control , control , control , control , control , control , control , control , control , control , intervention , intervention , intervention , intervention , intervention , intervention , intervention , intervention , intervention , intervention , intervention , intervention , intervention , intervention , intervention , intervention , intervention , intervention , intervention , intervention , -0.378935956518312 , 1.19877267394444 , 0.623594353497734 , 0.740903202996396 , 0.89385153885101 , 0.802470420589678 , 1.23445000669325 , -1.26802955235523 , -1.88738111706752 , -0.578347184690953 , 0.339872736020644 , 0.710065051657484 , 0.240821274975143 , 0.308949674359904 , -0.897181152818527 , -0.857692769483725 , 1.28038737332208 , -0.730827854588063 , -1.32018169061997 , -0.192201232043271 , 0.841880215298959 , -0.130142357938607 , 1.14466876677907 , 1.4267660839488 , 2.2929556402778 , 1.85874096860579 , 1.95830298107108 , 0.205194350905028 , 1.3201113345926 , 0.482716318507569 , 2.09303775578571 , 0.78241564038264 , 2.36851495379889 , 1.02359978369087 , -1.75556584875986 , 0.929179054742854 , -0.0769678266960241, -0.379621633826618 , 1.42872488938091 , -1.17533406846376 | 0.0174246 |
| 59 | 50 | 0.0 | 0 | 1 | control , control , control , control , control , control , control , control , control , control , control , control , control , control , control , control , control , control , control , control , control , control , control , control , control , control , control , control , control , control , control , control , control , control , control , control , control , control , control , control , control , control , control , control , control , control , control , control , control , control , intervention , intervention , intervention , intervention , intervention , intervention , intervention , intervention , intervention , intervention , intervention , intervention , intervention , intervention , intervention , intervention , intervention , intervention , intervention , intervention , intervention , intervention , intervention , intervention , intervention , intervention , intervention , intervention , intervention , intervention , intervention , intervention , intervention , intervention , intervention , intervention , intervention , intervention , intervention , intervention , intervention , intervention , intervention , intervention , intervention , intervention , intervention , intervention , intervention , intervention , 0.390384745270705 , -0.0303894195109923, 0.365273160175446 , -1.07328699993482 , 1.08074339524744 , -1.1268664556404 , 0.386475814683218 , 0.95897962891612 , -1.38063443814517 , -0.530710022775587 , 1.57420740527791 , 1.61521753994606 , -0.223474421632161 , -0.560711698415077 , 1.06371549212327 , -1.32288525509978 , -1.49683805608533 , 0.508459308533287 , -0.926582085564764 , 1.38921460305681 , 1.63217354614763 , 0.814436943733468 , -0.131270888779939 , 0.805289915203191 , -0.977157988173463 , -0.384632554072656 , -0.0937431215646919, 0.259817250045195 , 0.252094819437247 , -0.308663454127296 , -0.608880615906183 , -0.646891040419668 , -0.572929806437412 , 0.275841005335854 , -0.977778326420092 , 0.629426804583424 , 0.404169572343972 , -0.345632457141421 , -0.330956612537955 , 0.145024982586714 , 1.18565905261886 , -0.489879392798085 , 0.865593782736567 , -0.296435370416961 , -0.855579583155553 , -0.542688762601262 , 0.636442201246338 , -0.0914671267886427, 1.73531900551771 , 1.03290544411533 , 0.814972679349918 , -0.658286920458969 , -0.377534321944198 , -0.675433527033347 , 0.0407566186739247 , -0.576964084393351 , -0.793784840632098 , -0.838749070335404 , -0.73772993288221 , -2.87268178809216 , -2.10769092545743 , -0.357455723965303 , 0.534433050028778 , 1.91106425482459 , 0.0715818391552253 , 1.18576475678815 , 0.434102246578181 , -0.277243444873042 , 0.540078776620704 , 0.00708833673120207, -0.777581727675039 , -0.165105085177696 , -1.93150628475678 , 0.721662666367119 , -0.281440693856026 , 0.0276624488711803 , -0.817239267519832 , -2.34375598921165 , -1.45836748914695 , 0.949152324785247 , -0.955287544079324 , -1.96556223956833 , 0.904918609356534 , 0.372379205000124 , 0.368256439721259 , 0.0978050594826466 , -0.682216276763374 , 1.34813554731325 , 0.956915556260791 , 0.0183670298703384 , 1.08022824167012 , 1.11376527567164 , 0.451837966932535 , -1.05801353216788 , 0.753075330879085 , 0.945451649829719 , -0.139424717557083 , -1.76143891294025 , -0.289084619000332 , -0.353146427597088 | 0.1672632 |
| 59 | 50 | 0.5 | 0 | 1 | control , control , control , control , control , control , control , control , control , control , control , control , control , control , control , control , control , control , control , control , control , control , control , control , control , control , control , control , control , control , control , control , control , control , control , control , control , control , control , control , control , control , control , control , control , control , control , control , control , control , intervention , intervention , intervention , intervention , intervention , intervention , intervention , intervention , intervention , intervention , intervention , intervention , intervention , intervention , intervention , intervention , intervention , intervention , intervention , intervention , intervention , intervention , intervention , intervention , intervention , intervention , intervention , intervention , intervention , intervention , intervention , intervention , intervention , intervention , intervention , intervention , intervention , intervention , intervention , intervention , intervention , intervention , intervention , intervention , intervention , intervention , intervention , intervention , intervention , intervention , 1.97780847777706 , 0.147844637579566 , -0.0813189002208991 , -0.226858365476248 , 1.97609492868883 , -0.00110977747508897, 0.00211124406761429 , -1.28662873752632 , 0.529685664086485 , 0.387022071366963 , -0.570710936009478 , 0.460487183493319 , -1.31929659037915 , -0.0867139713447362 , 0.0105271305553985 , -0.0764555325712819 , 0.656232986224126 , -0.269821048694416 , -0.743869283128351 , 0.82402103637112 , 0.689698701470288 , -0.3896851816868 , -0.31919817413631 , -0.565060460166615 , -2.302002823319 , -0.150362376605118 , -1.21834112797759 , -0.505135328489479 , -0.248108545123434 , -0.196588454561634 , -1.48002484820662 , 0.715878783071597 , 0.508285223064299 , 0.304459444384898 , 1.40404023131853 , 0.106113339484468 , -0.372297855796007 , 0.406392320389149 , -0.448224363872558 , -0.102209261119816 , -0.275829935155379 , 1.28224976945666 , -0.269295430448079 , 0.552348232571547 , -0.37676852450865 , 0.538921417517374 , 0.663908540966955 , 2.23114983097349 , 1.11883000765161 , -0.146730924820342 , -0.0152604386234387 , 0.15143783856362 , 0.685438152065754 , 0.317146196956096 , -0.0405912376419953 , 2.50136218982347 , 1.77237702512778 , -1.35089527143746 , 1.50575159246858 , -1.26469769813028 , 0.889649165000787 , 1.47022511467106 , 0.16999292854896 , 1.14390777243675 , 0.751274816429536 , 1.43601580764096 , 1.43120368999057 , -0.697755877005574 , -0.899921848567215 , 1.1236623311316 , -0.873736800458323 , -0.0858746190498898 , 0.120524992457617 , 0.921068028549642 , 1.5587840733352 , 0.66611087725269 , -0.981791814078733 , 1.00164659673474 , -1.56074576179882 , -1.32919661787441 , 0.46377333392148 , -0.924766234273415 , 1.00689474574533 , 1.60635495684524 , 0.692064821312167 , -0.0650461833060286 , -0.591844480066789 , 0.680253377533156 , -0.649158072450546 , 1.81186162362437 , 0.318571124892802 , -1.70829646621754 , -0.332595814140829 , 0.817348413506386 , 0.27082191251358 , 0.948737677957334 , 0.974165914942126 , 1.31747252628574 , 1.45269004066023 , 0.205421207580646 | 0.1062497 |
| 60 | 20 | 0.0 | 0 | 1 | control , control , control , control , control , control , control , control , control , control , control , control , control , control , control , control , control , control , control , control , intervention , intervention , intervention , intervention , intervention , intervention , intervention , intervention , intervention , intervention , intervention , intervention , intervention , intervention , intervention , intervention , intervention , intervention , intervention , intervention , 0.11118247221697 , -2.39307262098961 , 0.200543546304435 , -0.402324779079192 , 0.799592636598223 , 0.346282529875864 , -0.17582525444464 , -0.387260182851794 , 0.200035331088137 , 1.66125538884912 , 0.727196821423824 , -0.0997620785458045, -0.407031168421143 , 1.05969558296848 , 0.282019697969597 , 0.345949520453766 , 0.127500985270574 , 1.67946256852997 , 0.413512985340364 , 0.423895887675606 , 0.653431226118559 , -1.00957764642479 , -0.43693812127712 , -1.5560201579497 , 0.64401089982658 , -0.879232867733325 , 2.54186084898831 , 1.91613311589201 , 0.272501225543729 , -1.87478866488633 , -0.223402622409665 , 1.70050099919929 , 0.683851748743522 , 0.0657888628396132 , 0.656393239623048 , -1.0185586268709 , -1.70174245247338 , 0.616741465586201 , -1.38495589623569 , -0.358957757884948 | 0.4439867 |
| 60 | 20 | 0.5 | 0 | 1 | control , control , control , control , control , control , control , control , control , control , control , control , control , control , control , control , control , control , control , control , intervention , intervention , intervention , intervention , intervention , intervention , intervention , intervention , intervention , intervention , intervention , intervention , intervention , intervention , intervention , intervention , intervention , intervention , intervention , intervention , 1.80575831080445 , 0.671700485447301 , -0.771477030261572, -0.219348440255509, -1.29445283923318 , -1.09541189789146 , -0.12160835896292 , -0.377469949236446, 0.82273581142266 , 0.791298826395107 , 1.58168095436151 , 0.283895210042054 , 0.636608132977341 , 1.14943090220372 , 1.03329118460062 , 1.14769241120579 , -0.714631712821028, -0.659352831181169, -0.682323561851531, -0.242224515775366, -0.72627725480136 , -0.837375664049052, 1.76324074336838 , 3.70105740668076 , 2.13565108795708 , 1.07311802924115 , 0.052436036830508 , -0.376842397251537, 0.462012367953296 , 0.0505331519510644, 1.75015943419521 , 1.57568227744993 , 0.734383413325007 , -0.514705062600931, 1.09656247024591 , 0.782719273913471 , 0.378896496143691 , 0.348741406681913 , 0.143339568683964 , -0.606211804473537 | 0.1658513 |
| 60 | 50 | 0.0 | 0 | 1 | control , control , control , control , control , control , control , control , control , control , control , control , control , control , control , control , control , control , control , control , control , control , control , control , control , control , control , control , control , control , control , control , control , control , control , control , control , control , control , control , control , control , control , control , control , control , control , control , control , control , intervention , intervention , intervention , intervention , intervention , intervention , intervention , intervention , intervention , intervention , intervention , intervention , intervention , intervention , intervention , intervention , intervention , intervention , intervention , intervention , intervention , intervention , intervention , intervention , intervention , intervention , intervention , intervention , intervention , intervention , intervention , intervention , intervention , intervention , intervention , intervention , intervention , intervention , intervention , intervention , intervention , intervention , intervention , intervention , intervention , intervention , intervention , intervention , intervention , intervention , 0.413071393892708 , 0.731366116329931 , -2.49117027232718 , 1.69681360159728 , -1.26961489510118 , 1.08656292718644 , 1.3061993632213 , -0.660768626419131 , 0.694952890956788 , 0.145049777587462 , 1.26307193330221 , 0.810466160039221 , -1.34784375919496 , -1.12317187189873 , 1.23377165457382 , -1.64887259561472 , 0.781885132890823 , -0.18849837500204 , 0.185512487571063 , -2.16182111207014 , -0.971308102057626 , 1.57330434225588 , -0.717331123316027 , 0.612432636237381 , -1.14474991356927 , -0.580327078775608 , -1.65890754332143 , 0.315382625845867 , -0.524191361789448 , 1.08878089655141 , 1.64168644814951 , 1.33921554355071 , -1.02538908399394 , 0.939735157400878 , -1.0574581585844 , -2.06858026037708 , 1.19002041868689 , -1.59911567357066 , 1.42383959660437 , 0.619707595651113 , 0.0668553761304571 , 1.29962489647136 , -1.14384274332452 , 2.22346365362373 , -2.39798488011746 , -1.53665768548697 , 1.51808057129082 , -0.196872181543299 , -0.6509623798275 , -0.384317415748117 , -1.68456336984303 , 0.849616702947817 , -0.0654078374750647 , 0.201158340793604 , -1.52900963676741 , 1.98309893864743 , 1.77204139176515 , 0.46199210543323 , 0.957247383005261 , -3.02704742302511 , 0.556117922087159 , -0.0645980925268044 , -1.15407327954262 , -0.418307523209168 , -0.56590132787902 , -1.2423143544982 , -0.00954153637624065, -1.62989269187483 , -1.14642513439225 , 0.592664844547016 , -1.36860578930181 , -1.85493863288851 , 0.640097055578318 , -1.10867355282942 , 0.0258449725780509 , 0.374386532597622 , -1.20606633279241 , 0.167691807779395 , -0.85949460367287 , -1.02121346319641 , 0.719144011778538 , -0.756606158960778 , -0.113610622676853 , 1.54036066070446 , 0.755959035788312 , 0.824166586694961 , -1.11758031584269 , 0.44417670541182 , 1.17520800309443 , 1.82369441291667 , 0.687072421150948 , -1.03619683572683 , 1.56768640526285 , -0.553337315143374 , -1.55855513766377 , 1.61829054005812 , 2.1950704766603 , -0.528909214343902 , -1.14027937691799 , -1.05392308973412 | 0.7729843 |
| 60 | 50 | 0.5 | 0 | 1 | control , control , control , control , control , control , control , control , control , control , control , control , control , control , control , control , control , control , control , control , control , control , control , control , control , control , control , control , control , control , control , control , control , control , control , control , control , control , control , control , control , control , control , control , control , control , control , control , control , control , intervention , intervention , intervention , intervention , intervention , intervention , intervention , intervention , intervention , intervention , intervention , intervention , intervention , intervention , intervention , intervention , intervention , intervention , intervention , intervention , intervention , intervention , intervention , intervention , intervention , intervention , intervention , intervention , intervention , intervention , intervention , intervention , intervention , intervention , intervention , intervention , intervention , intervention , intervention , intervention , intervention , intervention , intervention , intervention , intervention , intervention , intervention , intervention , intervention , intervention , -0.0534510790347638, 0.22479217753644 , 0.981141509458196 , 2.06814792917559 , 0.406345849614665 , 0.192586349686103 , 0.183476234115128 , 0.594578005982995 , 0.122147175232172 , 1.48440890393349 , 0.387470229706752 , 0.656335502644057 , -1.25234615895978 , 0.430860472615123 , 0.287104914568046 , 2.32985765781152 , 0.0408775423733946 , -1.86987042295175 , -0.503823299840269 , -0.156385032840731 , -0.879710452549848 , 1.01011910221811 , 2.18079979882399 , 0.757442859179542 , -0.947527063300899 , 0.0302339428466792 , 0.633891558842066 , -1.04104235716671 , 1.07818559791614 , -0.603178437816763 , 0.00665728137418689, 0.822305587572285 , -0.744102334597636 , -2.80486603803779 , 2.10650416037203 , 1.60414821263613 , 0.604133228655213 , -0.189965988855382 , 2.26776362246446 , -0.76793640356006 , -1.15132527847759 , 0.438925957989686 , 1.19003415432553 , -1.46437915503061 , -0.37000569225548 , 0.629241744902449 , -0.373020508500275 , -0.250452126838468 , -0.380589503862526 , -0.344532067219556 , -0.927249137995672 , -0.155887780689589 , -0.722460490521186 , 0.159490229827109 , 0.941197383743907 , 0.744381893795327 , 1.05084530845119 , 1.60404959916879 , 1.66330090137301 , 0.387809873049008 , -0.54100966190559 , 0.983371717369511 , -0.92769687618743 , 1.18624652455638 , 1.96659177488626 , -0.230307988605388 , 1.03765962757385 , -0.183255307353734 , 2.23841487065348 , 0.408905225486687 , -0.303214042868856 , 0.28055591778891 , 0.0164678920142219 , 2.08266293635315 , 0.190629836082366 , 1.41752558241102 , 0.111355830901041 , 1.3610854926183 , -0.499124657945842 , 1.66822938932631 , 0.0436771365837257 , 0.089934212879402 , 2.71208026353279 , 1.89311992554543 , -0.981713405913766 , 0.517841478961808 , -0.132638219994881 , 0.274181367083934 , -0.142910360503302 , 0.727406339248776 , 2.21209993336703 , 0.579223065295676 , 1.80522762632119 , 0.44335180368051 , 0.347192756154422 , -0.0813014836551693, 0.287969739358005 , 1.42083027346633 , -0.170954867761573 , -0.608141361543835 | 0.0680301 |
| 61 | 20 | 0.0 | 0 | 1 | control , control , control , control , control , control , control , control , control , control , control , control , control , control , control , control , control , control , control , control , intervention , intervention , intervention , intervention , intervention , intervention , intervention , intervention , intervention , intervention , intervention , intervention , intervention , intervention , intervention , intervention , intervention , intervention , intervention , intervention , 1.5458528067685 , -0.0623356480989463, -0.486427685891191 , -1.01673380707742 , -0.449491343512897 , 1.42749545016565 , -0.38533309128455 , 0.94032159343909 , 1.1592598532624 , -0.707985421548905 , -1.66494987000604 , -0.931647253668654 , -2.19893962283603 , -1.84568632782732 , -0.648846417143385 , -0.683807868030321 , -0.795690929927445 , -2.3328546747744 , 0.78097763563833 , -1.77320246789761 , -1.84002820194453 , 1.11361277463846 , 2.43122817182723 , -1.60546794495438 , -1.14402214902459 , 1.49010127507922 , -0.092341922575222 , 0.950219943128512 , -0.679480531968473 , 0.121228390319036 , 2.14469601096565 , 0.378958545655642 , -0.346292807876563 , -0.876524849603115 , -0.8236020876082 , -0.185010623746959 , -0.0778193941042335, -1.43629661696882 , 1.19310513916803 , -2.20235151091252 | 0.2790406 |
| 61 | 20 | 0.5 | 0 | 1 | control , control , control , control , control , control , control , control , control , control , control , control , control , control , control , control , control , control , control , control , intervention , intervention , intervention , intervention , intervention , intervention , intervention , intervention , intervention , intervention , intervention , intervention , intervention , intervention , intervention , intervention , intervention , intervention , intervention , intervention , 0.173363955880789 , 1.15118980583775 , -0.498248388140736 , -1.22882211354263 , 1.44680408821739 , -0.0349715289692215, -0.958045314036201 , -0.98873076997229 , -0.40309510934719 , 0.169832646359516 , -0.495126411497476 , 0.902904010847576 , -0.156798297718742 , -0.283467400352359 , 0.192726325158697 , -0.925716802908371 , 0.437253237901567 , -0.448680979560545 , 0.132102838130017 , 1.20159709354189 , 1.14905189826404 , -0.323873350678158 , 1.99884601981307 , -0.997090807000315 , -0.420437626556339 , -0.5148297231495 , 0.378451591912633 , -0.348981667682097 , -0.0310010079094788, -1.10065072902145 , -0.489843829769903 , 0.497924492968713 , -0.441254255264531 , -0.68360666392837 , 0.67224529660581 , 1.29783610217842 , 1.15932541923174 , 0.379793936025491 , 0.4640763784597 , -0.310930807353738 | 0.5635779 |
| 61 | 50 | 0.0 | 0 | 1 | control , control , control , control , control , control , control , control , control , control , control , control , control , control , control , control , control , control , control , control , control , control , control , control , control , control , control , control , control , control , control , control , control , control , control , control , control , control , control , control , control , control , control , control , control , control , control , control , control , control , intervention , intervention , intervention , intervention , intervention , intervention , intervention , intervention , intervention , intervention , intervention , intervention , intervention , intervention , intervention , intervention , intervention , intervention , intervention , intervention , intervention , intervention , intervention , intervention , intervention , intervention , intervention , intervention , intervention , intervention , intervention , intervention , intervention , intervention , intervention , intervention , intervention , intervention , intervention , intervention , intervention , intervention , intervention , intervention , intervention , intervention , intervention , intervention , intervention , intervention , -1.43417738068202 , -0.842428883636932 , -1.85287087515423 , 0.749260220821521 , 0.353765601099506 , 1.20461717094896 , 0.820168344169673 , -0.641196083409182 , 0.340071955228784 , -0.540356742354104 , -0.472823207487601 , -0.781427087789347 , -1.65390824866093 , -0.019057952090639 , -0.899900954846833 , 1.00209487624364 , 0.845435724656735 , -1.60335426030198 , 0.687072512495775 , -0.53140499399289 , -0.85585745706486 , -0.192421401386896 , -0.679657430816054 , 1.05650442113356 , 0.126694071743766 , -0.0219667697212777, 0.680290934687734 , -0.214102093872945 , 0.535612197425987 , 0.0415286361619134 , -0.121973092163652 , 0.954393093591194 , 0.38840083713244 , 0.330085500431085 , -0.0426798873919127, -0.127218448360512 , 0.187425244973483 , -0.888395074917442 , -0.158471910490541 , -0.271648795492894 , 1.22190861199607 , -0.589093561384481 , -0.823047624801388 , 1.49403088687892 , 1.26090741997294 , -0.0582733010853884, -1.03736340045411 , 0.116147706898729 , 0.93711072713839 , 2.0934646021645 , 0.105410659760348 , 0.176667515376434 , 0.868004611403013 , 0.360991966628876 , -0.440974394841085 , -0.676985713450946 , 0.903198599683326 , 0.186511130742904 , 1.59667352539218 , 0.788817974468281 , 0.905758301327415 , -1.39198925377928 , 2.23068178619842 , -0.779951209384869 , -0.794689485914191 , -0.69938811693655 , -0.0987277595570423, -0.697727631452425 , -1.245864408397 , 2.3850503131193 , 0.996471357990628 , -0.622770210041148 , 1.68565575679765 , 0.845582660975191 , 1.51920476723851 , 1.33462435946234 , 0.668629479169374 , -0.73271803320448 , 2.10786988642531 , -0.695338498603407 , 1.05632182422649 , -0.875387002320696 , -0.937844764990662 , 0.566236335501682 , -1.26219414141776 , 0.996246690508434 , 0.677425604421057 , 0.11689776296583 , -0.0681791054995109, 0.275745951750952 , 0.21802416545819 , 1.6052819559937 , 0.157242102161466 , -0.751216891116681 , -1.2786176275238 , -1.68490871158065 , 0.299328581938486 , -0.414333482052422 , 0.820735794226123 , 0.525885737045126 | 0.2582787 |
| 61 | 50 | 0.5 | 0 | 1 | control , control , control , control , control , control , control , control , control , control , control , control , control , control , control , control , control , control , control , control , control , control , control , control , control , control , control , control , control , control , control , control , control , control , control , control , control , control , control , control , control , control , control , control , control , control , control , control , control , control , intervention , intervention , intervention , intervention , intervention , intervention , intervention , intervention , intervention , intervention , intervention , intervention , intervention , intervention , intervention , intervention , intervention , intervention , intervention , intervention , intervention , intervention , intervention , intervention , intervention , intervention , intervention , intervention , intervention , intervention , intervention , intervention , intervention , intervention , intervention , intervention , intervention , intervention , intervention , intervention , intervention , intervention , intervention , intervention , intervention , intervention , intervention , intervention , intervention , intervention , -1.20163664365325 , -0.641751086603746 , 0.236397594513342 , 0.578813983346049 , -2.21850111116092 , -1.61090198779252 , -1.18426574686282 , -0.0607259762339324 , 0.846926032169697 , -1.04622746645455 , 0.621112192653649 , 0.0420580431799125 , -0.56615110728796 , 0.980514679898542 , -0.0634207364569294 , -1.19841773134774 , -1.13098831601036 , 0.617815078297727 , 0.35451894872648 , 0.913446528493827 , -0.151001846425595 , -0.418641066154604 , 1.9982933467335 , -0.19832293049063 , 1.01302745824193 , -0.0213533127023218 , -0.927388236623253 , 0.224390028742373 , 1.15197775789162 , -0.506015648771254 , 1.48048342963247 , -1.29601792177974 , -0.362728442842719 , 0.216118929092983 , 0.142274689638355 , -0.172082193748607 , 0.675191847986352 , 0.825541049774781 , -0.138322825932342 , -2.43950073948722 , -1.79169649530628 , 0.133956846495905 , 0.896030247791026 , -0.625608731171251 , -1.70853977806839 , -0.995827642668482 , -0.498409978491104 , 1.27867580503463 , -0.231978582193002 , 1.9606141557838 , 2.04380776625756 , 0.100662923674046 , -1.2357579641576 , 0.403432048584006 , 0.257393078585659 , 2.52379458502155 , 1.78214314366754 , 0.717872523435492 , -2.07114724502658 , 1.5318974226499 , 0.739931442428873 , -0.462752670087733 , -0.0891082705057912 , 0.758879864316537 , 1.10324823790581 , 1.75251857852093 , -0.51113539056553 , 0.13044246390367 , 1.37223977484019 , 0.0620090515847827 , 0.0292831327690017 , 0.703754200708266 , 1.0373475558235 , 0.426641581678426 , 1.46696605293908 , 1.65608794183565 , 0.240997374534614 , 0.883531183438064 , -0.0856044110413334 , 0.598265244638661 , 0.465607340034399 , -0.721832395328202 , -0.215183316698487 , 0.729287481365913 , 0.465968765448204 , 0.537557339517807 , 0.653374117807839 , 0.83666363547381 , 1.281418356869 , 1.2084599079495 , 1.27100270346735 , -0.351138435683554 , 0.275163905615417 , 0.295697679745747 , -0.000405957623358821, 1.85714689158124 , 1.54521678490951 , 1.63107437800646 , 0.586043484914626 , 0.724883665381842 | 0.0001564 |
| 62 | 20 | 0.0 | 0 | 1 | control , control , control , control , control , control , control , control , control , control , control , control , control , control , control , control , control , control , control , control , intervention , intervention , intervention , intervention , intervention , intervention , intervention , intervention , intervention , intervention , intervention , intervention , intervention , intervention , intervention , intervention , intervention , intervention , intervention , intervention , 1.86584988275323 , -0.516736756574251, -0.943343430485283, 1.12130554727419 , -0.10460244926046 , 0.743192980491855 , -0.749052595362743, 0.798629413268996 , -0.952687161356348, -1.1709976312782 , -0.348880681962075, -0.881086689395184, 0.0527017128583963, -1.16458324906845 , -0.272413738235215, 0.768712075885414 , -0.681410276057269, 0.528332425280283 , 0.625945755340148 , -0.689495035319472, 0.0329297947788039, 0.628821286916523 , -0.569058375401229, -0.14960380130207 , 0.224837594251747 , -1.10081062378933 , 0.834351761354968 , 0.287282338022607 , 0.347155919382921 , -1.25532762132684 , 0.791363076216542 , 0.584438970620564 , 1.59025645260463 , -0.12971262328389 , 0.366634156474707 , 1.38869174470244 , -0.22865824655559 , 1.39229081223275 , 1.34518902225848 , 1.12447809955268 | 0.0811795 |
| 62 | 20 | 0.5 | 0 | 1 | control , control , control , control , control , control , control , control , control , control , control , control , control , control , control , control , control , control , control , control , intervention , intervention , intervention , intervention , intervention , intervention , intervention , intervention , intervention , intervention , intervention , intervention , intervention , intervention , intervention , intervention , intervention , intervention , intervention , intervention , 0.970323182733722 , -0.684818115936477, 0.486727434296014 , 0.582658506523523 , -0.84649819305199 , -1.07558641203869 , -1.82713339632307 , 0.180057035508813 , 0.285024009348681 , -0.280534570051008, 0.0218332466159589, 1.465672367514 , 0.89661138044591 , 0.0675797747795472, -0.979792912061679, -0.510090743680008, 1.25790340525515 , -0.734685642642093, 0.276385943204414 , 0.349723810971692 , 0.670344082545573 , 1.40700946943124 , -0.662006087403314, 1.73569257341842 , 0.479248020534457 , -0.656797271565376, 0.878409309080671 , -0.577957794923923, -0.35903346472585 , 2.6856772014425 , 1.54860721685177 , 0.0976860429801815, 0.83937368794512 , 1.33758676410201 , 0.527655113922807 , 1.06579881750981 , 0.830709995944729 , 0.425888109788238 , 0.907403744468277 , -1.09971812076336 | 0.0389063 |
| 62 | 50 | 0.0 | 0 | 1 | control , control , control , control , control , control , control , control , control , control , control , control , control , control , control , control , control , control , control , control , control , control , control , control , control , control , control , control , control , control , control , control , control , control , control , control , control , control , control , control , control , control , control , control , control , control , control , control , control , control , intervention , intervention , intervention , intervention , intervention , intervention , intervention , intervention , intervention , intervention , intervention , intervention , intervention , intervention , intervention , intervention , intervention , intervention , intervention , intervention , intervention , intervention , intervention , intervention , intervention , intervention , intervention , intervention , intervention , intervention , intervention , intervention , intervention , intervention , intervention , intervention , intervention , intervention , intervention , intervention , intervention , intervention , intervention , intervention , intervention , intervention , intervention , intervention , intervention , intervention , 1.08384089892989 , -1.20327623383841 , 0.0470253891082583 , -0.838373556435927 , 0.34471083649643 , -0.413724223980633 , -0.289407393370546 , 0.0709111414560171 , 0.806060588564792 , 0.261545840284821 , -1.724021438843 , 0.141118725405039 , 0.766632700392845 , -1.06050388588714 , 2.15578451420652 , 0.67128014646668 , -1.40643082188076 , 0.684847168597082 , -1.07155073887655 , 1.38523782019528 , -1.52363875831277 , 0.775911097691498 , -1.20439321393265 , 0.0311316437313732 , -0.86243729372731 , -1.75682983597545 , -1.43231007843556 , -0.828974185194403 , -0.624337105414376 , 0.228335096794736 , -0.381748010550864 , 0.208580981907386 , -3.18423297389031 , 0.187269660389506 , -1.12706874032018 , 0.411375152242997 , 1.12544244944662 , -2.18185787048879 , -0.27146320173881 , 0.459126750289013 , -0.876327372957322 , 0.963836869482196 , 0.32653515745985 , -0.0272151904166152, 0.618841116679558 , -0.101376685677645 , -0.236350932910226 , -0.112763364106087 , -0.997898809594782 , 1.57615205982716 , 0.195084595567292 , -1.29466505940126 , 0.0748835369965689 , 0.341620910508956 , -0.917759925945909 , 1.66561148269281 , -0.651497566390706 , 1.43203484441601 , -1.68209248621564 , -0.575142108117154 , 2.31909335535541 , 2.09639456054087 , 0.363104613122515 , -1.07153320238155 , 0.0956143950325215 , -1.65036999984766 , -0.757984867599743 , 0.0748025702020657 , -0.825382180407423 , 2.04942161576569 , -2.33725782704133 , -1.08233246881416 , -0.232272960137212 , 1.17487488003284 , 1.26928421200979 , 0.959900363890003 , -1.43262128141236 , -1.31934121932317 , -0.911653002020754 , -0.245036703586619 , -0.0936112446885995, -1.51796699694173 , 0.513433821530367 , 0.0833655782034624 , 0.304178556026877 , 0.1232734851176 , -1.64966964142124 , -0.956349455827003 , 1.22962982857882 , 0.781731866056426 , 0.213804232900292 , -0.903734801530763 , 0.775590838740592 , 0.0147104794518459 , 0.711240123327693 , -2.69868837863208 , -2.0585297620714 , -0.599657463323513 , 1.06768456115471 , 0.383323457126846 | 0.7701627 |
| 62 | 50 | 0.5 | 0 | 1 | control , control , control , control , control , control , control , control , control , control , control , control , control , control , control , control , control , control , control , control , control , control , control , control , control , control , control , control , control , control , control , control , control , control , control , control , control , control , control , control , control , control , control , control , control , control , control , control , control , control , intervention , intervention , intervention , intervention , intervention , intervention , intervention , intervention , intervention , intervention , intervention , intervention , intervention , intervention , intervention , intervention , intervention , intervention , intervention , intervention , intervention , intervention , intervention , intervention , intervention , intervention , intervention , intervention , intervention , intervention , intervention , intervention , intervention , intervention , intervention , intervention , intervention , intervention , intervention , intervention , intervention , intervention , intervention , intervention , intervention , intervention , intervention , intervention , intervention , intervention , 0.0211047051996926 , 1.20490038573668 , -2.28945742149651 , -2.06002990839709 , 0.411555856327061 , -1.05599708478966 , -1.4358465527272 , 1.25309600918651 , -0.120072913149075 , 1.15921346063529 , 0.643748451839833 , -0.883372878808456 , -0.95768235226582 , 0.39313034658151 , -2.73901330034723 , -0.652176567300075 , 1.67667784115011 , 0.636425906871525 , 0.410334415976075 , -0.0148250929994866, -1.54384890481525 , -1.05523930910776 , 2.81085100962439 , 1.63347679868254 , 1.55021971278024 , 1.73258538770025 , -0.252762716729915 , -0.211449923255665 , -0.358245534921214 , 0.952293182786255 , 0.39893898523784 , -0.107811050309824 , -1.33461952639506 , -0.263618017061505 , -0.839605990622979 , 1.87496100770635 , -1.09864660181014 , 1.08637672340048 , -0.0170014983203038, 0.445040355606791 , -1.65549163613971 , 0.296972685769788 , -0.474408305295862 , 0.535421230424793 , -0.445172992708475 , -2.03856223287994 , -1.5277283171663 , 0.543136406854342 , -1.24660593490838 , 1.30340548415797 , 0.367262667544391 , 0.293907892149069 , 1.26380832268689 , -0.531953057056264 , 0.0405512641864322 , 0.835423385019923 , 0.506757297179437 , 1.49464123181699 , 0.941664168109538 , 2.29122459159067 , 0.799768763692314 , -1.24233997668665 , -0.485501066562076 , 2.2256072638012 , 1.97911522513701 , 0.529416789200552 , 0.174351879857171 , -1.07644872887924 , 0.564087919036932 , 0.148560708823324 , 0.0829651975252061 , 1.27322595440706 , 1.93841854859034 , 1.16065065553175 , -0.802871098907769 , 0.161428606054395 , 0.402404106838576 , 0.531854103445608 , 1.75877263791133 , 0.690515228893654 , 0.564291947434961 , 0.738929434816299 , 1.80692508642569 , -2.03519330275303 , 1.78303740517207 , 0.402116406949754 , 0.211099935815743 , -0.989215732329644 , 1.1566292850888 , -0.509888358187649 , 1.43766854736234 , -0.946555372347293 , -0.0052859738119545, 1.63011314394768 , 0.633320759401905 , 0.183907076077733 , 0.212023279672876 , 0.0862676593795146 , 1.3057059391326 , 0.986445425872627 | 0.0062259 |
| 63 | 20 | 0.0 | 0 | 1 | control , control , control , control , control , control , control , control , control , control , control , control , control , control , control , control , control , control , control , control , intervention , intervention , intervention , intervention , intervention , intervention , intervention , intervention , intervention , intervention , intervention , intervention , intervention , intervention , intervention , intervention , intervention , intervention , intervention , intervention , 0.793757909115273 , 0.273495891328984 , -0.362407422700371 , -0.671750347096421 , -0.42410757527431 , -1.17672286348221 , 1.15003056093001 , -0.266869415578994 , 0.688823419289797 , 1.00546445158397 , -0.0378836614550776 , 0.210520912073309 , -0.00560882643421307, 0.567353147584611 , -0.498378976245326 , 1.48533787892511 , -0.903475123816977 , -0.190339683733263 , -0.77270976183151 , 0.761564035976465 , -0.32726639707511 , 0.322524183964995 , 1.12625297954061 , 1.19334801166398 , 0.611445380624873 , 0.168630096727884 , -1.28333470523141 , -0.107033841391014 , 0.194646319715288 , -1.23718690079808 , 2.09598626183604 , 0.0229050968170292 , 0.963711051432812 , -0.459451133205561 , -0.550738278057235 , 0.46541980970948 , 1.80613627056673 , 1.39836922513523 , -0.183777609203518 , 0.403352030990249 | 0.3477916 |
| 63 | 20 | 0.5 | 0 | 1 | control , control , control , control , control , control , control , control , control , control , control , control , control , control , control , control , control , control , control , control , intervention , intervention , intervention , intervention , intervention , intervention , intervention , intervention , intervention , intervention , intervention , intervention , intervention , intervention , intervention , intervention , intervention , intervention , intervention , intervention , -0.712985878037832 , 1.11501208054549 , -0.258893776179686 , -2.5698754264645 , -0.442860027309344 , -0.562557603856112 , -0.972272971961281 , 0.407802263277087 , 0.573138440140498 , -0.0453638471609597, -0.413336814718188 , -0.934485944217452 , 1.42016831760397 , -0.0383050828694916, -0.295795187441248 , 1.13435312124417 , -0.572470561724682 , -1.32433005466197 , -0.7486962325085 , -1.722220674524 , 0.942053399636937 , -0.28202028948436 , 0.252529777561237 , 0.843217537720028 , -0.640256733905419 , -0.0924297493359609, -0.1934542096352 , -0.31915529934205 , -0.0350577750126516, 2.2502564069852 , -0.549328703710831 , 1.60858668425495 , 3.02594977858423 , -0.490674869045928 , 1.08521682435555 , -1.0546943475406 , 0.452033113264491 , 1.43789682975857 , 1.12159563079007 , -1.01520494516857 | 0.0252058 |
| 63 | 50 | 0.0 | 0 | 1 | control , control , control , control , control , control , control , control , control , control , control , control , control , control , control , control , control , control , control , control , control , control , control , control , control , control , control , control , control , control , control , control , control , control , control , control , control , control , control , control , control , control , control , control , control , control , control , control , control , control , intervention , intervention , intervention , intervention , intervention , intervention , intervention , intervention , intervention , intervention , intervention , intervention , intervention , intervention , intervention , intervention , intervention , intervention , intervention , intervention , intervention , intervention , intervention , intervention , intervention , intervention , intervention , intervention , intervention , intervention , intervention , intervention , intervention , intervention , intervention , intervention , intervention , intervention , intervention , intervention , intervention , intervention , intervention , intervention , intervention , intervention , intervention , intervention , intervention , intervention , -1.45626506448958 , -0.595655591006617 , 1.41827284933669 , -0.146955095688087 , -0.0354383588273932 , 0.691124930715058 , 1.36810545589835 , 0.527927813681292 , 0.458588987891046 , -0.961906246834984 , 1.12565930050923 , 0.684007796649932 , -0.359609466053171 , 0.44605051661233 , -0.822599118473562 , 0.085885999928923 , 0.780533076977322 , 1.15571827004776 , 0.111102060521302 , -0.644300793453694 , 0.306469266791249 , 0.6694851969598 , -0.459198410143951 , 0.489675461406007 , -1.2548354071316 , -0.195186396742712 , -0.433158216846266 , 1.46447179764231 , 0.349298906839336 , 1.42380071934816 , -0.970283033346049 , -0.00859199813996656, -0.416059766080915 , 0.127689824127724 , -0.884335460869909 , -1.36826708189092 , 1.14985646159877 , -0.563869445363031 , 1.82766263309015 , -0.6129436806297 , 0.377285634871455 , -0.405080901925403 , -0.451989895761362 , -0.396421080716672 , -0.559671562283619 , -0.278426141746333 , -1.12481723934742 , 0.571896983492105 , 0.429248515550373 , 0.536739138561687 , 0.561209520676287 , 0.913508618755162 , -0.307120797716111 , -0.645113228335998 , 0.968129651624829 , -0.843507690619999 , -1.69535465234951 , 0.30700980319135 , 0.325363287224164 , 0.748896195281039 , -0.495003593076073 , 0.456167005621552 , 2.95022289453826 , -0.133611676686248 , -1.40226468638433 , 0.112963760116723 , -0.931905993349898 , -0.185829336287064 , 0.538925516080142 , 0.215207520143594 , -0.171199555328039 , 0.654729689291223 , -1.9806586044405 , 0.39796877576145 , -0.617312929379154 , 0.374514670923822 , -1.01397783607926 , -0.0593423582109823 , -0.615443566766851 , 0.826406746255386 , -0.887474233693533 , 1.32720368787457 , 0.460941681696031 , -0.0374099598366638 , -0.760416775044682 , 0.039265160365174 , 0.452801466344579 , -0.195250661763009 , -1.6769606558859 , 0.0588696787762575 , 0.250164594506771 , 0.998462375280915 , -0.596522818762377 , -0.972622627614142 , 1.73722300202337 , -0.934916558540637 , -1.2225044068861 , 0.174843852708388 , 1.40807481854997 , 1.10863715473786 | 0.7191541 |
| 63 | 50 | 0.5 | 0 | 1 | control , control , control , control , control , control , control , control , control , control , control , control , control , control , control , control , control , control , control , control , control , control , control , control , control , control , control , control , control , control , control , control , control , control , control , control , control , control , control , control , control , control , control , control , control , control , control , control , control , control , intervention , intervention , intervention , intervention , intervention , intervention , intervention , intervention , intervention , intervention , intervention , intervention , intervention , intervention , intervention , intervention , intervention , intervention , intervention , intervention , intervention , intervention , intervention , intervention , intervention , intervention , intervention , intervention , intervention , intervention , intervention , intervention , intervention , intervention , intervention , intervention , intervention , intervention , intervention , intervention , intervention , intervention , intervention , intervention , intervention , intervention , intervention , intervention , intervention , intervention , -0.979736016301001 , 0.980866834599702 , -1.4578096088378 , 0.207348334342552 , -2.20460977815955 , 0.401217728448827 , 1.80619145581977 , -0.507375265702703 , 0.920771994697195 , -1.66656662995115 , -1.97880772585825 , -1.04448460014138 , -0.996884585141364 , -0.497592433329775 , 0.442383101338972 , 0.129533735418004 , -0.959806950840433 , 1.03305187867435 , 1.34174829203047 , 0.747897224758045 , 0.241891684990671 , -0.619638238690831 , 1.05319572152291 , -0.0852783087688088, 0.721983947118347 , -1.43396811743917 , 3.18429486609532 , -0.542659805087514 , 1.13570791626964 , -1.43271166666534 , 1.11504753733194 , -0.0741814311260672, -1.15436193164867 , -1.67599326434828 , 1.55317337928114 , 1.85817833740793 , 1.07358837138772 , 0.309666970056159 , -1.48008978127399 , -0.153559139681784 , -1.40358961219876 , -0.317465142260702 , -2.02277753987788 , -0.527595938092895 , 0.235632702103826 , 0.597962542143107 , 0.630213043939642 , -1.81359850733407 , -0.569303681120418 , -0.272984979613682 , -0.657003861812515 , 0.31234547589854 , 0.0829323400886335 , 0.383667399168341 , 0.427541711649332 , -0.350921980814563 , 0.316101330653369 , 2.108868536725 , 1.37824122929723 , 2.64501555218575 , 1.11151815885252 , 1.22078050931567 , 0.885588665348653 , -0.280226420028039 , -0.461285608784521 , 0.419056982166688 , -0.4207143775502 , 0.474723084097429 , -0.33734878171751 , 1.22016806108672 , -0.557873866940821 , 0.0718154947950456 , 0.649027262836761 , -1.02859343125019 , 0.524246820648212 , 1.50285470813576 , 2.38418732884455 , 1.5554374506352 , 0.766370451100182 , 1.52777437914963 , -0.526770046731658 , 0.79060106194865 , -0.145413373164922 , -0.731420515632513 , 0.950944327159965 , 1.96416121129655 , -1.8424448644888 , 0.819507798095243 , 1.19073396936768 , 1.1374506783546 , -0.455050522020817 , -0.0138759505821959, -0.727842038118767 , 0.586153107919675 , 0.335557031409187 , -0.123800605464253 , -0.221845411886832 , 1.54812908444856 , 0.36634077936692 , 0.906899895494323 | 0.0063303 |
| 64 | 20 | 0.0 | 0 | 1 | control , control , control , control , control , control , control , control , control , control , control , control , control , control , control , control , control , control , control , control , intervention , intervention , intervention , intervention , intervention , intervention , intervention , intervention , intervention , intervention , intervention , intervention , intervention , intervention , intervention , intervention , intervention , intervention , intervention , intervention , 0.763512489892613 , 1.12843169001268 , 0.231633593436041 , -0.34867277785773 , 1.11189541381484 , 0.243492365832565 , -1.1075238401265 , 0.459593542021458 , 1.1174448714677 , -0.0909031075473115, 2.05778837938042 , 0.571380377145266 , 0.0714516550760906 , 0.134029236075472 , 0.479783203594078 , -0.535150414137595 , -0.866458553223261 , -1.38525893860475 , -0.180729168422859 , -0.811556864914959 , -0.285308508468298 , -0.644682649057355 , -1.62437183943476 , -0.609588559788522 , -0.415844903877724 , 1.08551291502846 , -1.75560740218797 , -0.127336344402123 , 0.365463555861481 , -0.582021985762469 , 2.09143409192365 , 0.528690698401612 , -0.481896238734572 , -0.258618859705146 , -1.25919725033486 , 0.500580187221983 , 0.5755038510078 , -1.63656764332025 , 0.561457379672876 , 2.07113972030806 | 0.4309900 |
| 64 | 20 | 0.5 | 0 | 1 | control , control , control , control , control , control , control , control , control , control , control , control , control , control , control , control , control , control , control , control , intervention , intervention , intervention , intervention , intervention , intervention , intervention , intervention , intervention , intervention , intervention , intervention , intervention , intervention , intervention , intervention , intervention , intervention , intervention , intervention , -2.52532635532149 , 1.29139206664804 , -0.0241548413289889, -0.639009528033152 , 0.490642914042015 , -0.984847938841696 , -0.201560299174012 , 0.0583891176500365 , -0.525356932093505 , 0.623698658913814 , 0.517971616608743 , -0.311766042686789 , 1.60217590189376 , 0.359578713125493 , 0.288324959960567 , 1.00415667737409 , 0.0207289279527679 , 0.313048002129088 , -0.101883300276384 , -1.44647243538058 , 0.232373264137957 , -1.18357369275087 , 0.203368441168165 , 0.984699814379163 , 0.493750634173768 , 0.549428511657573 , 0.215459399156221 , -0.247840656549471 , 1.11495369140357 , 0.107836665199929 , 3.26715655650228 , 0.686781623427792 , 1.6647142471877 , 0.380683333880701 , 0.314101899007839 , -1.56624042581337 , -0.213494187324852 , 0.687644224780516 , -0.361895866234706 , 0.855550938545523 | 0.1801421 |
| 64 | 50 | 0.0 | 0 | 1 | control , control , control , control , control , control , control , control , control , control , control , control , control , control , control , control , control , control , control , control , control , control , control , control , control , control , control , control , control , control , control , control , control , control , control , control , control , control , control , control , control , control , control , control , control , control , control , control , control , control , intervention , intervention , intervention , intervention , intervention , intervention , intervention , intervention , intervention , intervention , intervention , intervention , intervention , intervention , intervention , intervention , intervention , intervention , intervention , intervention , intervention , intervention , intervention , intervention , intervention , intervention , intervention , intervention , intervention , intervention , intervention , intervention , intervention , intervention , intervention , intervention , intervention , intervention , intervention , intervention , intervention , intervention , intervention , intervention , intervention , intervention , intervention , intervention , intervention , intervention , -1.25840878704755 , 0.91066649278013 , 1.0068077026085 , -1.12029070817244 , -0.149907053624664 , 0.254347353435407 , 0.969106828636175 , -1.4084057679268 , -0.52119063963432 , -1.329373267045 , -0.5799733413465 , 1.74131695249618 , 0.728681900094774 , -0.347691367707235 , 2.26061735301752 , -2.06021179664404 , -1.1300818251214 , -0.0410157747210502, -1.14788682041796 , -1.49915849425394 , -0.857721264253085 , -0.283919512820637 , -0.623157207656326 , 0.567749958565916 , 0.775890558108266 , -1.6958870841172 , 0.319793657656329 , -0.805285424494659 , -0.629016664985883 , 0.246788953858091 , 0.436281771181487 , 1.05958278749846 , 0.461972254097665 , 0.350082022072014 , -1.85183730300579 , -0.674036096210668 , -1.18038306215441 , 0.355222211526233 , -0.82858146755197 , 1.0738838361725 , -1.22380040668789 , 0.0595553998457392 , 1.4172040436169 , -2.12631152681484 , 0.157874451996282 , 0.289631750320468 , 0.229515737116548 , -1.23817744033359 , -1.05432848765034 , -1.16684165729776 , -0.377097817867013 , 0.643299553625604 , -0.739778150839473 , 1.21784485757022 , 0.259877121634541 , 0.347929958246253 , 0.0604260121520987 , -1.02305623020063 , -0.812493628305711 , -0.623991125629989 , 1.04602981813093 , -0.493627194234644 , 0.460872621143138 , 0.456501957957601 , 1.33608885573283 , 0.238820085750747 , 0.293710016593088 , -0.609893416875106 , -1.39754942678757 , 0.538683995732183 , -2.60608220213318 , -1.08576772748471 , -0.665287626092343 , -0.30321875874273 , -0.0293221825460923, 0.0751966498286127 , -0.509983114626624 , 2.47752609696133 , 0.0173232548499044 , 0.449808653982617 , 1.55585062864878 , -0.399782346929091 , 1.53616693829931 , -0.932964224743575 , -0.643286172925868 , 0.0294325802847356 , 1.11671610121149 , -0.993612310971705 , 2.71357923349611 , 0.0458901465653817 , -0.42827650836229 , -0.220434867146336 , 1.28985033135401 , 0.0504428486638276 , -0.165918105231134 , -0.791341970063871 , -1.98089479563859 , 1.47945852693136 , 0.378143951889116 , 0.713046979940456 | 0.1183621 |
| 64 | 50 | 0.5 | 0 | 1 | control , control , control , control , control , control , control , control , control , control , control , control , control , control , control , control , control , control , control , control , control , control , control , control , control , control , control , control , control , control , control , control , control , control , control , control , control , control , control , control , control , control , control , control , control , control , control , control , control , control , intervention , intervention , intervention , intervention , intervention , intervention , intervention , intervention , intervention , intervention , intervention , intervention , intervention , intervention , intervention , intervention , intervention , intervention , intervention , intervention , intervention , intervention , intervention , intervention , intervention , intervention , intervention , intervention , intervention , intervention , intervention , intervention , intervention , intervention , intervention , intervention , intervention , intervention , intervention , intervention , intervention , intervention , intervention , intervention , intervention , intervention , intervention , intervention , intervention , intervention , -0.96820866174819 , 0.497780686264159 , -0.273143147926408 , -0.139162537990602 , 0.936598641554268 , -0.962632176300593 , 0.224774904122454 , -1.04065754552735 , 0.044108222473179 , -1.34895793107691 , 1.16817209585588 , 0.343556432348355 , -0.895201249955266 , 0.450488966609478 , -0.000957618384044558, -0.261046007313079 , 0.876443757713245 , -2.62825593976926 , 0.193750469158441 , -0.064704721925356 , 0.236628457503927 , -0.0895018281308567 , -1.96684850065111 , 0.427510647562457 , -1.48547000310601 , 2.09532197856349 , 0.148006338637158 , -0.105971901087801 , -1.07784268893744 , 1.4050345184199 , -0.275608534487505 , -1.30656753358919 , 0.575373733688223 , 1.11877391571956 , -1.55025756958016 , -1.22309923628223 , -1.46374216833862 , 0.0268839141487633 , -1.79413651823309 , 0.549579643469172 , 1.65484553023111 , -1.15089283788369 , -0.395648932203496 , -0.0447196020675465 , 0.101881633147562 , 0.727007876422997 , -0.644907542897319 , 0.24297664880116 , 0.482639044558746 , 0.165849593923262 , 1.43629965600991 , 0.873780440366694 , 2.47803695142938 , 0.704105918361881 , -0.499223867813234 , 0.165420986373647 , 2.22185853739651 , -0.539077814760956 , 0.0935791823033538 , 0.767097829229858 , -0.771675785731274 , 0.639007560561775 , 1.00053861249916 , 1.33424908254261 , -0.776299270686638 , 1.04126346922899 , 2.77979300948142 , 0.118006028712191 , -0.0694697881474436 , 1.84399299655634 , 0.586300219982322 , -0.121367827734193 , -1.04458011670936 , 0.966366383858978 , 0.379173818963603 , 1.51886613634379 , -0.250048815215853 , -1.07683790057775 , 0.220647061202249 , 1.86466587627291 , 2.15537162597514 , -0.366041494573894 , 0.580680193351857 , 0.907332038619541 , 0.168270100396467 , 1.98660409187747 , -0.447756267419802 , -0.385104071302853 , 0.756815893412601 , -2.07075855243145 , -0.323765300250876 , 1.83808153192529 , -0.928029976993365 , 1.59202426250572 , 0.386021331349399 , 2.11642788167952 , 1.14072487645764 , -0.359017702592428 , 1.18154867288474 , -0.575824939241852 | 0.0007821 |
| 65 | 20 | 0.0 | 0 | 1 | control , control , control , control , control , control , control , control , control , control , control , control , control , control , control , control , control , control , control , control , intervention , intervention , intervention , intervention , intervention , intervention , intervention , intervention , intervention , intervention , intervention , intervention , intervention , intervention , intervention , intervention , intervention , intervention , intervention , intervention , 1.12018432359334 , 0.254428123973458 , -1.91511257259793 , 0.923363919951232 , -1.27885567294654 , -0.558273994296578 , 0.0223448595360319 , -0.246465702682568 , 1.57019533465705 , -0.812585167923183 , 1.79961175807616 , 0.0541490407391741 , -1.10048206093023 , 0.566742765376582 , -1.50638411197344 , -0.959841217388996 , -0.526303831817228 , 0.45053975743199 , -1.33568057461169 , -1.00679912051805 , 1.04122775978342 , -2.42459000461466 , -1.25955731201968 , 1.58497537269029 , -0.16874017395224 , 0.45779647848686 , -0.0436283821711387, 0.648356408523136 , -1.47144843717622 , 0.149328374174122 , -0.462736816006323 , -1.08719649414771 , -0.25435853222599 , 0.731871811322368 , -1.35748902337447 , -2.23761879638741 , -1.37017058914479 , -0.49591939166573 , 0.742217273891579 , 0.332066085896405 | 0.7207321 |
| 65 | 20 | 0.5 | 0 | 1 | control , control , control , control , control , control , control , control , control , control , control , control , control , control , control , control , control , control , control , control , intervention , intervention , intervention , intervention , intervention , intervention , intervention , intervention , intervention , intervention , intervention , intervention , intervention , intervention , intervention , intervention , intervention , intervention , intervention , intervention , 0.48430910384244 , -0.109495560638318 , -0.556134873128498 , -0.169104951253105 , 0.848284428435528 , 0.692852631006507 , 1.11055794901911 , 0.403742704666509 , -1.85348534791273 , -1.54793771692196 , -1.26556603816188 , -0.420423242964117 , -0.729650465644981 , 0.00731435460736266, -0.0254058818614154, -0.160249213001646 , -0.0103103042986929, -0.440013554163644 , 0.402731985768509 , -0.0842512334763616, 1.3510013602307 , 1.97545807312799 , 2.07800827716296 , -1.27502865990474 , 1.47252134908798 , -0.522130101046554 , 0.0934199958286753 , -0.221239262915768 , -0.509407830783408 , 0.429690283163794 , 0.0923646834817731 , 0.258337189764516 , 1.13119621282401 , 0.65545556830928 , 1.19632633109431 , 2.167663529961 , 1.83816251491396 , 0.259666022822369 , 1.48827650515214 , -1.60197534871032 | 0.0123158 |
| 65 | 50 | 0.0 | 0 | 1 | control , control , control , control , control , control , control , control , control , control , control , control , control , control , control , control , control , control , control , control , control , control , control , control , control , control , control , control , control , control , control , control , control , control , control , control , control , control , control , control , control , control , control , control , control , control , control , control , control , control , intervention , intervention , intervention , intervention , intervention , intervention , intervention , intervention , intervention , intervention , intervention , intervention , intervention , intervention , intervention , intervention , intervention , intervention , intervention , intervention , intervention , intervention , intervention , intervention , intervention , intervention , intervention , intervention , intervention , intervention , intervention , intervention , intervention , intervention , intervention , intervention , intervention , intervention , intervention , intervention , intervention , intervention , intervention , intervention , intervention , intervention , intervention , intervention , intervention , intervention , -0.4240737100041 , 0.839602593291187 , -1.26321497932844 , -0.285234444095886 , -0.560522284969352 , 0.20922665821688 , -1.3387689389924 , -0.521025657875942 , 0.760900257595628 , 0.900457525791157 , 0.60320674092922 , 0.783092108063671 , 0.00472633746462601, -0.411855176764805 , -1.7316714207077 , -0.886636308939981 , -0.735093620375156 , 0.273618737261067 , -0.069666942823044 , 0.795355070389392 , -0.391520148478334 , 0.315916115051042 , 0.844885360991672 , 0.804986568281198 , 0.777149211819535 , 0.141573946936516 , 0.38839389410171 , -2.16384876873944 , -2.27881428042669 , -0.343847789538028 , -1.83048981879228 , -0.284006469048649 , 0.167978551260069 , -0.173557088988524 , -0.588735647012987 , -0.836632970533731 , 1.77198365799665 , 1.15460826347727 , -0.99558554921002 , -0.172768514493949 , -0.474651223774088 , 1.23111549860817 , -0.389238623285151 , -1.27875031645397 , 1.17379857385518 , -0.0992824431916039, -0.160172302103443 , -0.434700321503369 , 1.17813724538395 , -0.728282669925792 , 0.78405633379934 , -1.11132397627674 , 0.712999361588819 , -0.884178755124322 , 0.00541415754133748, -0.575584156153186 , 1.14011246225535 , 0.957916764752876 , 1.81044494906744 , 0.256250069687594 , -0.0321114458327794, -0.138684074717818 , -0.101453263797173 , -0.167188525848222 , -0.436235848107461 , -1.21876758826143 , 1.6438825515913 , 0.644036656990922 , -0.638425484373598 , -1.45931384473952 , 0.0611837701432996 , -0.896875701975299 , -0.191728798534518 , -0.696128516422903 , 0.358773577600923 , 1.28852525003223 , 0.32924685729814 , -0.546348499989241 , 0.0336449589494255 , -1.00286771015685 , 0.305490691654673 , -0.412650136255827 , -0.712392381453708 , -1.45560411091193 , 1.49825317519748 , -0.317262380762555 , 0.0203864112701763 , -0.398982316181511 , 0.15618080964149 , 1.11709401828555 , -1.3440977950073 , 0.30657477671384 , -1.10100448113708 , 0.841558506389627 , -0.123199517133858 , 1.16494893817011 , -0.563264240958429 , 0.460911246756174 , 0.814784094227778 , -0.0209085501193454 | 0.4326686 |
| 65 | 50 | 0.5 | 0 | 1 | control , control , control , control , control , control , control , control , control , control , control , control , control , control , control , control , control , control , control , control , control , control , control , control , control , control , control , control , control , control , control , control , control , control , control , control , control , control , control , control , control , control , control , control , control , control , control , control , control , control , intervention , intervention , intervention , intervention , intervention , intervention , intervention , intervention , intervention , intervention , intervention , intervention , intervention , intervention , intervention , intervention , intervention , intervention , intervention , intervention , intervention , intervention , intervention , intervention , intervention , intervention , intervention , intervention , intervention , intervention , intervention , intervention , intervention , intervention , intervention , intervention , intervention , intervention , intervention , intervention , intervention , intervention , intervention , intervention , intervention , intervention , intervention , intervention , intervention , intervention , -0.523180649743318 , 0.840471457799934 , -1.03260295106365 , -1.34450746784977 , -0.247729082158898 , 1.3730678279344 , -0.576831954202597 , 0.0778343179164284 , -0.42444299732605 , 0.540717868843146 , -0.167327209732744 , 0.627740132491167 , -0.0492629665038559, 2.10793624922479 , -0.548695597032763 , -1.02248957628351 , -1.03215435556487 , -0.807159607250563 , 0.472795704990466 , -1.06753529352034 , 0.600498100363872 , 0.657096663554711 , -0.293060387317253 , -0.975174536564666 , -1.49647619902578 , 0.723419188890513 , -0.793544302729294 , 0.43348081092392 , 1.15958831576736 , 0.149256170661215 , -0.695729645525382 , 1.0091692935587 , -1.08140374436611 , 1.49515902428568 , -0.422803643561503 , -0.508843667560433 , -0.358195990995384 , -1.21064680648873 , -1.44278829352099 , -1.32973263243715 , -0.382114147814712 , 1.82342128686699 , -0.99066867873702 , 0.358759225752691 , 1.21281918030808 , 0.322770413544024 , 0.432775830813268 , 0.172712062740696 , 0.491945738127677 , -0.16884408638996 , -0.232675079631212 , 0.330271505674599 , 0.680631587794995 , -0.345376759047252 , 1.05002434595806 , 1.4581307944349 , 0.974106202425643 , 1.11328345386611 , 1.66150850027303 , 1.20500489938503 , 0.235093557931646 , 1.05117231280295 , 1.48141288086424 , 0.818209410932031 , 1.40504580189635 , 0.3626700550312 , 0.498461532330783 , -0.233608661789254 , 0.923107593780302 , 0.615916448729658 , 0.0307759607237013 , 0.602501627527463 , 0.0493549849722922 , -0.116252560126494 , 0.752476346277476 , 0.501410717746682 , -0.0594478732025737, 0.638477879324341 , -0.817758483473378 , 0.127020668701609 , -0.698637711474213 , 2.54835323418905 , 1.66174488542935 , 1.25661345593033 , -1.37644462448173 , -0.707735901608659 , 0.148278087991636 , 0.186749518898057 , -0.578134577908616 , -0.966452522024184 , -0.302166037938816 , -0.243270977602488 , 0.895122479002038 , 0.464484742324833 , 1.65348031277706 , 0.178962840430623 , 0.928763121229925 , 1.51228073636148 , -0.678446624254324 , 2.28669594586776 | 0.0014137 |
| 66 | 20 | 0.0 | 0 | 1 | control , control , control , control , control , control , control , control , control , control , control , control , control , control , control , control , control , control , control , control , intervention , intervention , intervention , intervention , intervention , intervention , intervention , intervention , intervention , intervention , intervention , intervention , intervention , intervention , intervention , intervention , intervention , intervention , intervention , intervention , -0.204000857328859 , 0.818921689946526 , 1.51969022954073 , -0.96102914781416 , -1.347741928728 , -0.119292777121711 , 0.573842577299303 , 0.615255243074213 , -0.302316714575594 , 0.0614425125864475 , -0.549407604763186 , 1.14065857015814 , -0.464756208573958 , 0.859307390394028 , 0.607593938467221 , 0.467344106055652 , -0.205291617381908 , 0.452686125527578 , 0.697616457421305 , -0.680875189996774 , -1.68538132830949 , -1.6439200823728 , -0.973346322041475 , -0.0984598120109011, -0.617751348005722 , -1.45326815695402 , -0.212059258762647 , 0.493314649052757 , -1.20965732442276 , 0.191308538087389 , -2.14722226246954 , 2.08504984417188 , -1.12989197198817 , 0.568201737674594 , 1.14981290665956 , -0.695874405697085 , 0.564979357206573 , 2.19046676507201 , -1.35508949033889 , -0.35677959095484 | 0.1526341 |
| 66 | 20 | 0.5 | 0 | 1 | control , control , control , control , control , control , control , control , control , control , control , control , control , control , control , control , control , control , control , control , intervention , intervention , intervention , intervention , intervention , intervention , intervention , intervention , intervention , intervention , intervention , intervention , intervention , intervention , intervention , intervention , intervention , intervention , intervention , intervention , -1.56465477940631 , -0.233295426523036 , -1.47209375821376 , 0.323798857898585 , -0.443178963955676 , 0.869524004576795 , -0.84828876557581 , 1.05995647290256 , -1.08006797128864 , 0.347046733928636 , -0.169885667363129 , -1.60822880616902 , 0.50550207763284 , -1.818400837914 , 0.794270619926564 , -1.86966786297271 , 0.987817786406733 , -1.80786162286838 , -0.2352113859565 , 0.578275182108095 , 1.28775122950354 , -0.0809099895543478, -0.47975527686213 , 1.27235669767773 , 1.13821670425003 , 0.38454413797882 , 2.02954328273835 , 0.497119476290681 , 0.909688873246367 , 2.80461239270384 , 1.47720801737125 , 0.429471768020307 , 0.991132047968654 , 1.05022635945546 , -0.323379026244873 , -1.25496222808283 , 2.08961011966645 , 0.412439361390845 , 1.19387331563183 , 0.0687168826937327 | 0.0006549 |
| 66 | 50 | 0.0 | 0 | 1 | control , control , control , control , control , control , control , control , control , control , control , control , control , control , control , control , control , control , control , control , control , control , control , control , control , control , control , control , control , control , control , control , control , control , control , control , control , control , control , control , control , control , control , control , control , control , control , control , control , control , intervention , intervention , intervention , intervention , intervention , intervention , intervention , intervention , intervention , intervention , intervention , intervention , intervention , intervention , intervention , intervention , intervention , intervention , intervention , intervention , intervention , intervention , intervention , intervention , intervention , intervention , intervention , intervention , intervention , intervention , intervention , intervention , intervention , intervention , intervention , intervention , intervention , intervention , intervention , intervention , intervention , intervention , intervention , intervention , intervention , intervention , intervention , intervention , intervention , intervention , -1.06287658889949 , 0.158234576107347 , 0.631565655601976 , -0.576178093194214 , -0.523209915868269 , 0.686867131545819 , -1.63089111375627 , 1.45764403568507 , -0.256858252754159 , -1.48789418389717 , 0.9205237780879 , -0.69961028417259 , -1.4127200817937 , 0.346793079634292 , 0.798690703823565 , 0.080044606203403 , 1.34138016736195 , 1.48195215284437 , -0.765835653958793 , -0.911605134973604 , -1.42492486266749 , -1.29892850854591 , 1.24072581129738 , 0.525637009685059 , -0.678914088447654 , -0.173279310616799 , 0.200078722372089 , 1.21131417122868 , -1.48246247766326 , 0.225860749692582 , -2.14380685569482 , -0.105450354585782 , 0.0349475532357332 , -0.559196544245237 , 1.00865886390394 , 0.779502744715847 , 0.0402865185206528 , -0.239101782516363 , -0.681206176964724 , 1.17764144603159 , -0.635269467863974 , 0.1677755143802 , -0.590388221175003 , -0.19482539216325 , -0.947168177555204 , -0.353495572169191 , -0.512310587448554 , -0.475816074515295 , 1.30956142844121 , -1.20147459787597 , 2.08815282612649 , 1.17943946924706 , 1.143520117738 , 1.00699458683318 , -0.901148698395318 , 1.86072250931832 , 0.218196734827259 , 0.579507912254935 , 1.36975437498701 , -1.83535732375149 , 0.80691400065079 , 0.631515782562831 , -0.411031159032906 , -0.622705606437781 , 1.26700843243872 , -0.254120215063268 , -0.836823081501296 , -0.22789807910906 , -0.745566916576101 , 0.336454995925696 , 0.384783248642564 , 1.02080863464224 , -0.463958686977571 , -0.340010434286798 , 0.836759041326109 , -0.7286271932756 , -0.199170618298035 , -0.368570531613246 , -0.181564931400841 , -0.903359353161836 , -1.03959627138398 , 1.83822196503294 , -1.91093744581604 , 0.265643571101651 , -0.0232741889423907, 0.435981407475731 , -0.100684009421687 , 0.504752430118747 , 0.0564621404586113 , -0.521815429113562 , 0.594442287872945 , 1.02366742743896 , 0.296615927904313 , 1.35472148236075 , 1.22556984006259 , 0.809974135469821 , 1.46660554366368 , -1.79235280819006 , 0.792346699649435 , -0.322321873552643 | 0.0602574 |
| 66 | 50 | 0.5 | 0 | 1 | control , control , control , control , control , control , control , control , control , control , control , control , control , control , control , control , control , control , control , control , control , control , control , control , control , control , control , control , control , control , control , control , control , control , control , control , control , control , control , control , control , control , control , control , control , control , control , control , control , control , intervention , intervention , intervention , intervention , intervention , intervention , intervention , intervention , intervention , intervention , intervention , intervention , intervention , intervention , intervention , intervention , intervention , intervention , intervention , intervention , intervention , intervention , intervention , intervention , intervention , intervention , intervention , intervention , intervention , intervention , intervention , intervention , intervention , intervention , intervention , intervention , intervention , intervention , intervention , intervention , intervention , intervention , intervention , intervention , intervention , intervention , intervention , intervention , intervention , intervention , -0.202775303396012 , -0.758753592342308 , 0.552899894382388 , -0.163377718186665 , -0.49655823547617 , -0.854484614387197 , 0.47790277781981 , 0.245835939849678 , 1.12713022906829 , 0.22672788354604 , 0.0123162556222595 , 0.773593163660869 , 1.50133636335855 , 1.04853532290983 , 0.583410636315549 , -0.199134857092193 , -0.261136091123656 , 0.802990462838834 , 0.599615170575406 , -0.0596097432112444, 0.246819642276888 , -0.963018455467097 , -0.514433446064458 , -1.14520393595694 , 0.787615873510841 , -0.739701401986835 , 0.618607431823366 , -1.81148139168905 , 0.481839026108768 , -0.377033206022489 , -0.332821251460811 , 0.682848106767684 , -0.0460042568499542, 0.210528135145825 , -1.3192275841538 , 0.94862917482649 , -1.45861869074801 , -0.491704868603038 , -1.59498381418902 , -1.10237541850052 , 1.09837844478658 , -0.773326789179625 , 0.651017763763262 , -1.25828283115415 , -1.70988616306764 , 0.239543411597667 , -0.541377248837889 , 0.77116530774312 , 0.653181141598664 , -0.425530273075383 , 0.471966493253791 , -0.296836251687046 , -1.88026914104026 , 0.064811367882949 , 0.0302643720357242 , 0.05243882310506 , 0.994643067554906 , -0.0372631049707765, -1.88004312173401 , 0.173701754846946 , 0.54210816112133 , 0.812627090658127 , 1.39209753360163 , -1.47863159174919 , 0.347532282419218 , 0.616404053170236 , -1.12738314757103 , 1.38026030435649 , 1.57394854611164 , 0.700306274748542 , 0.75342057996094 , -0.786011103380016 , -0.737427790961719 , 1.86920056709144 , 0.320659935861317 , 0.707053060261681 , 0.46730889216916 , -1.8948417492252 , 0.43126042303418 , 0.171273923876689 , -0.391027475571571 , -0.433645787158545 , 0.633713436501062 , 0.140793456038976 , -0.511003586699196 , 0.950690175427475 , 0.421302098111001 , 0.891047549048449 , 1.6946947264543 , 2.47496275086323 , 1.18053858087038 , -0.782691928269376 , 0.256606264284123 , 0.0456208539340285 , -0.124354314434885 , -0.18237070780663 , -0.364107678726041 , 0.0129311819960377 , 0.278278161668236 , 0.22368349976994 | 0.1050459 |
| 67 | 20 | 0.0 | 0 | 1 | control , control , control , control , control , control , control , control , control , control , control , control , control , control , control , control , control , control , control , control , intervention , intervention , intervention , intervention , intervention , intervention , intervention , intervention , intervention , intervention , intervention , intervention , intervention , intervention , intervention , intervention , intervention , intervention , intervention , intervention , 0.243344421489809 , -0.0554883461043903, -1.43633785352215 , 1.24172513634334 , -1.17627664494073 , 0.932220121297795 , 0.774463224429451 , 0.212585940109164 , -0.810017633016575 , -0.568730652889615 , -0.307250562611403 , -0.0404542316680309, -1.27979161752818 , 0.345048735259939 , 0.29470107538827 , 0.00440349039026899, 2.11047603404464 , -0.539391390074178 , -1.39540824254201 , 0.203495370330239 , 0.710789340165716 , 0.584602521591291 , 0.117839196647467 , -0.448579653212199 , -0.4068838233123 , -1.56755236407603 , -0.841857371115054 , -0.0217985423569091, -0.234712294692003 , -0.350980379321751 , 0.546139102951387 , 0.47658624533784 , 1.36064692220091 , 1.77174382804989 , -0.77199669753882 , 0.027051240331959 , -1.54905801479325 , 0.0875082560734095 , -1.22472792995284 , -1.90394864288057 | 0.6901355 |
| 67 | 20 | 0.5 | 0 | 1 | control , control , control , control , control , control , control , control , control , control , control , control , control , control , control , control , control , control , control , control , intervention , intervention , intervention , intervention , intervention , intervention , intervention , intervention , intervention , intervention , intervention , intervention , intervention , intervention , intervention , intervention , intervention , intervention , intervention , intervention , -0.599769767775082 , -0.268637006647467 , 0.9512673139422 , -1.18400951336605 , -0.684186018247431 , 0.103184040384922 , 0.59715499628418 , -1.0058297906179 , -0.207791460416402 , 0.00697474354516322, 0.643070306313125 , -0.272914967301097 , -1.6213130677774 , -0.0833992514830569, 1.13335755226317 , 0.517623796000295 , 1.1668841843672 , -0.548154956725915 , 0.0596380604014421 , 0.0479136617664695 , 0.469723689862793 , 0.198087963907983 , 0.73991559982036 , -0.501061917621054 , -2.07391295151656 , 2.19838262468311 , -0.647372646873117 , 0.626554210633821 , 0.031109441673224 , 0.65670509005215 , 0.541092498682709 , 0.196540740894984 , 0.712300441340488 , 0.536864659501387 , 0.390195048142043 , -0.238614641483958 , -0.458796579992444 , 1.31043669171743 , 1.10149402191739 , 0.289198527703924 | 0.1616950 |
| 67 | 50 | 0.0 | 0 | 1 | control , control , control , control , control , control , control , control , control , control , control , control , control , control , control , control , control , control , control , control , control , control , control , control , control , control , control , control , control , control , control , control , control , control , control , control , control , control , control , control , control , control , control , control , control , control , control , control , control , control , intervention , intervention , intervention , intervention , intervention , intervention , intervention , intervention , intervention , intervention , intervention , intervention , intervention , intervention , intervention , intervention , intervention , intervention , intervention , intervention , intervention , intervention , intervention , intervention , intervention , intervention , intervention , intervention , intervention , intervention , intervention , intervention , intervention , intervention , intervention , intervention , intervention , intervention , intervention , intervention , intervention , intervention , intervention , intervention , intervention , intervention , intervention , intervention , intervention , intervention , -0.787432081089135 , -0.0327545648350509, 0.637780622427969 , 1.09169664697164 , 0.981327556357309 , -1.17819274194186 , 0.578339384594524 , 0.385458202718821 , -0.664178625888742 , 0.762607609254864 , 0.372771522880826 , 1.62717693264587 , -1.62737709355932 , -0.144443706451593 , 0.904422357969154 , -1.36125773510202 , 0.857052947303322 , 0.556084996128177 , 0.844451352310297 , 0.1626375047061 , -1.47051184744687 , -0.0551359011031435, 0.405681486627038 , 0.736482213146385 , -0.0994329974095502, 1.92456876606486 , -0.0527122499870557, 0.331458087983722 , 1.18686121358654 , 1.51035172594684 , -1.47434610513233 , -0.784714741656124 , -1.38612461310611 , 0.478360550586489 , -0.286633047025202 , 0.371550614136357 , 0.598513129920249 , 0.339295512908829 , -0.450789616860848 , 0.853423483873984 , 0.186769966163838 , 0.214436534635596 , 0.28992556868384 , 0.559745811727805 , 0.174062720466243 , -0.40423761729266 , -0.751207069921712 , -0.405488087770444 , 1.52397384915966 , -0.123936248598276 , -0.0469746428319282, -0.474568437772546 , 0.608537575169058 , -0.580683534955725 , 0.613356370167425 , 1.02981192717928 , -0.855430765659198 , 2.21865549613189 , -0.142758580988615 , -2.59227536895904 , 0.248550094350059 , -0.840403540724674 , 1.02452081988626 , -0.491895421689993 , 1.14550101640665 , 0.417164549788586 , -0.718510900697777 , 1.08525951592334 , 0.286056085469014 , 0.16499181619955 , -1.18976653888706 , -0.277576241017505 , 1.52155505582422 , -0.47145315786363 , -1.29534562245173 , -0.943295255155755 , -0.497903612698928 , -1.47414822787117 , 0.0474457159861159 , 0.915456565248777 , -0.334992596308392 , 0.540483742137269 , 1.28271725429497 , -1.70817946293012 , 2.84937997044247 , 1.43854642429758 , -1.1342730758568 , 1.92240889662748 , -0.16618915243167 , -0.578810557894221 , 1.33627921649893 , 0.346542439086803 , -0.626853849072575 , -0.17419112454871 , -0.231302303898955 , -0.532772162278865 , 1.16054447530388 , -0.435889186969448 , 0.418147851188075 , 3.06273630113703 | 0.9178274 |
| 67 | 50 | 0.5 | 0 | 1 | control , control , control , control , control , control , control , control , control , control , control , control , control , control , control , control , control , control , control , control , control , control , control , control , control , control , control , control , control , control , control , control , control , control , control , control , control , control , control , control , control , control , control , control , control , control , control , control , control , control , intervention , intervention , intervention , intervention , intervention , intervention , intervention , intervention , intervention , intervention , intervention , intervention , intervention , intervention , intervention , intervention , intervention , intervention , intervention , intervention , intervention , intervention , intervention , intervention , intervention , intervention , intervention , intervention , intervention , intervention , intervention , intervention , intervention , intervention , intervention , intervention , intervention , intervention , intervention , intervention , intervention , intervention , intervention , intervention , intervention , intervention , intervention , intervention , intervention , intervention , -1.92275307239112 , 0.439111673578803 , -0.46881071334981 , -0.149535385145902 , 1.80422880307737 , -1.27247451194088 , -3.13002560878984 , -0.536124517839709 , -0.18024032099079 , 0.0918362802916927 , -0.553414214018047 , -0.100397911513129 , 1.71686206306182 , -1.73787506459042 , 0.482974582449858 , -0.141508976874114 , 1.71743220005521 , -0.00056603020312926, -1.72258964715136 , 0.556849072758555 , -0.10281195708296 , -1.38386209945386 , -0.340088175728708 , 0.761842001647087 , -0.0423473055596209 , 1.15970887424051 , 0.534925639619959 , -0.487236493954586 , 1.21294912251573 , 0.508918479742993 , 0.328538132063161 , 1.23229951049035 , -1.64078506902102 , 1.29460425231055 , 0.111332390862278 , 1.10723957282092 , 0.141688344691514 , 0.18353931523474 , 0.420754482835651 , 0.480830237776568 , 0.532093980700364 , -1.29575063123346 , -0.0477309660139543 , -0.394159822124014 , 0.91293346302689 , 0.061740348262091 , -0.536778259993868 , 1.59660215332834 , -0.759308192923088 , 0.204570851165618 , 0.78936458305287 , 1.31018647766439 , 0.38987070595138 , 1.10585340531964 , -0.408152555666735 , 2.16325683489524 , 1.70806610369696 , -0.250817480987807 , 0.723308124893486 , -1.33550303449711 , 1.79459392852428 , 0.270663598574216 , 0.613867878068993 , -0.211298269992938 , -0.940832230779286 , -0.959040785817549 , 0.59151055322889 , -0.625095169792653 , -0.888862925924609 , 2.85477923974687 , 0.267315951581743 , 0.664262600534764 , 0.0395948744452717 , 0.781688414382404 , 1.90635729961533 , -0.183136858052439 , 0.25580654718493 , -0.705496860784058 , 0.0860023266571395 , 0.745573853844994 , 1.34741790420695 , -0.395995090376182 , 0.0709143564559907 , -0.186051781767617 , 0.408217953539441 , 1.0971282974682 , 1.60262791385036 , 0.558681303434084 , -0.492678642605646 , 0.863409943908303 , 2.73322522752396 , -0.0443770591900611 , 1.07923703182188 , 0.116245243410757 , 1.31562371075155 , 1.60787571368039 , 0.692367094088089 , 0.140182368548098 , 0.140464609520284 , 0.806078751933357 | 0.0114959 |
| 68 | 20 | 0.0 | 0 | 1 | control , control , control , control , control , control , control , control , control , control , control , control , control , control , control , control , control , control , control , control , intervention , intervention , intervention , intervention , intervention , intervention , intervention , intervention , intervention , intervention , intervention , intervention , intervention , intervention , intervention , intervention , intervention , intervention , intervention , intervention , -0.479813655080166 , -0.398355407049833 , -0.598418818680061 , 0.720578171996985 , -2.08594804172055 , 0.460984111648475 , 0.719520164533217 , 0.0775982541412788 , -0.94228743689421 , 1.87378905242733 , 0.113176684755318 , -0.3440956879986 , -1.87710743543394 , -0.725773469190338 , 0.835152119922627 , 0.415045882488816 , -0.343146646211294 , -0.295408460762287 , 0.84646105214048 , -0.948666061576417 , 0.464463748082472 , -0.0598555071400334, 0.81706645956035 , 1.21580523136287 , 0.525468679019968 , -0.180424757931392 , -0.349289482784709 , -0.0246861476738091, -0.0676877835996547, -0.628089636088598 , 1.37727973726839 , -0.392190318534235 , 0.228322521912257 , -0.734235294026021 , 1.19536602730631 , -1.62799679758841 , 0.246353987383416 , -0.426451755467318 , 0.776229209952543 , 0.830923726511909 | 0.2644536 |
| 68 | 20 | 0.5 | 0 | 1 | control , control , control , control , control , control , control , control , control , control , control , control , control , control , control , control , control , control , control , control , intervention , intervention , intervention , intervention , intervention , intervention , intervention , intervention , intervention , intervention , intervention , intervention , intervention , intervention , intervention , intervention , intervention , intervention , intervention , intervention , -0.628745398623608 , -0.484110491135126 , 0.91052115048202 , -0.448379705179868 , -0.718255703624852 , -0.926102654625826 , 0.698163220307126 , -0.420050171931514 , -2.34724763038212 , -0.534870942946637 , 0.57429103791696 , 1.13108716212521 , 0.011923750612539 , -0.0697930237036248, -0.447205020554954 , 0.63360595678968 , -0.138991818341063 , 0.825141902822407 , 0.55042605759016 , 0.494851799039726 , -0.126100258983239 , -0.452030531538991 , 1.37772574092844 , -0.01553934829235 , 0.202974886299993 , -0.853038173562823 , 0.622633515754546 , 0.48954492991114 , 1.11672760094732 , -0.061821236406281 , 1.72502924638831 , 1.43022078505934 , 0.0230990851163798 , 1.70343317034417 , 2.0874687982486 , 1.09390258816698 , -0.107579011241477 , 0.966919449091281 , 1.39171479963059 , 1.6008946345245 | 0.0054597 |
| 68 | 50 | 0.0 | 0 | 1 | control , control , control , control , control , control , control , control , control , control , control , control , control , control , control , control , control , control , control , control , control , control , control , control , control , control , control , control , control , control , control , control , control , control , control , control , control , control , control , control , control , control , control , control , control , control , control , control , control , control , intervention , intervention , intervention , intervention , intervention , intervention , intervention , intervention , intervention , intervention , intervention , intervention , intervention , intervention , intervention , intervention , intervention , intervention , intervention , intervention , intervention , intervention , intervention , intervention , intervention , intervention , intervention , intervention , intervention , intervention , intervention , intervention , intervention , intervention , intervention , intervention , intervention , intervention , intervention , intervention , intervention , intervention , intervention , intervention , intervention , intervention , intervention , intervention , intervention , intervention , -0.845527961436227 , 0.362424088514616 , 0.377017523733124 , -0.267757585042239 , -0.00781293921950655, -0.158848526190093 , -0.672422902155598 , 1.41268387300529 , 0.765604198144264 , -0.0906100700247903 , -1.05814291077665 , -1.83581238009773 , 0.353387615396095 , 1.301227937904 , 0.762899895367081 , 1.56661126981604 , -1.12806643204103 , -0.0990003938104591 , -0.712693042698875 , -0.885708438126815 , 1.13335465381934 , 0.92626174205429 , -1.76315058438236 , 0.657918766552008 , 0.250997788020312 , -1.80912367188712 , 0.304557423374017 , -0.506582664726568 , 0.797360517758798 , 0.98206170286723 , 0.976223355611482 , 0.662463091351571 , 0.133480877764197 , -0.972463243017731 , -0.544252339587227 , 0.580843242965178 , 0.961852649327077 , -0.670107014512406 , 0.0983263455674097 , -0.0544341698185195 , 0.257871047309633 , -0.705328815677344 , -0.0481160445158001 , -0.587451436738663 , 0.582320209577286 , 1.02649450155492 , -0.530907456909971 , -0.327751199823401 , 1.59981227246781 , 1.95855169244991 , 0.819123726940214 , 0.711598962343484 , 0.962668241611594 , -0.988899845595001 , -1.05973677911453 , -1.279844263689 , 0.743672754992199 , -0.216684394827341 , -0.444569492985956 , 0.52357996237754 , -1.28503169018213 , -1.14966210801285 , 1.3297864745118 , -0.0973638869903068 , 1.90599967159523 , 0.879265596204619 , -0.441558365093728 , 1.12864089338321 , 0.17103535581948 , -0.0193324086341696 , 0.177873328914207 , 0.102951946713472 , -1.27697939640187 , 0.0752599489459806 , 1.39252925939187 , -0.423041426574639 , 0.539576960130667 , -2.1941525475546 , -0.852188363216429 , -1.17969844366046 , -0.662105171172913 , 1.05652674850811 , 1.30165478327197 , 1.30287959720127 , -1.73529970997384 , -1.22173343446042 , 0.326385409899995 , -0.497806612511596 , -0.714737498347938 , 1.14375423510441 , 0.648508611258158 , 0.103866812212188 , 1.67263518046352 , 0.127099026006839 , -0.850972380814922 , 0.0277689075112767 , 0.517480405704742 , -0.101777945248204 , -0.239869671569814 , 0.592041675309598 | 0.7350139 |
| 68 | 50 | 0.5 | 0 | 1 | control , control , control , control , control , control , control , control , control , control , control , control , control , control , control , control , control , control , control , control , control , control , control , control , control , control , control , control , control , control , control , control , control , control , control , control , control , control , control , control , control , control , control , control , control , control , control , control , control , control , intervention , intervention , intervention , intervention , intervention , intervention , intervention , intervention , intervention , intervention , intervention , intervention , intervention , intervention , intervention , intervention , intervention , intervention , intervention , intervention , intervention , intervention , intervention , intervention , intervention , intervention , intervention , intervention , intervention , intervention , intervention , intervention , intervention , intervention , intervention , intervention , intervention , intervention , intervention , intervention , intervention , intervention , intervention , intervention , intervention , intervention , intervention , intervention , intervention , intervention , 0.688906307299334 , 0.630857800074981 , 1.16903752908264 , 0.10469419567626 , 0.187472004463896 , 1.32980242951055 , -1.46939457037916 , 1.5586885133559 , 1.43909254752772 , -1.05325604567364 , 0.173201760815058 , 0.659923809607673 , -0.320078282375069 , 0.927499060749735 , -0.102856429899407 , 0.948449223236874 , -1.17350747303449 , -0.66105488895318 , 1.64779914265037 , -0.844644366258425 , -0.984458601319342 , -1.63661876475913 , 1.91544563807536 , 0.417617468195482 , -0.493397547332334 , -0.0385316283923823 , -0.796393786966156 , -0.305140558094776 , -1.8506224085152 , 1.01765337901587 , 0.86404808789694 , -1.39522223375028 , -0.802477670549751 , 0.0578995186123555 , -0.0798579105710975 , -0.769821843838442 , 0.58669950852014 , -0.198953841082337 , 0.43000509723698 , 0.758537196255865 , -1.29058257678304 , -0.323026364611943 , -1.86006967775696 , 0.650297144458152 , 1.14761358778663 , 1.90648010630624 , 0.154172248864923 , 0.42427473672731 , -0.74020582660557 , 0.902263576661426 , 0.40578461300588 , 1.91938793543384 , -0.846318319239764 , 1.99900598504108 , 0.414294818038745 , -0.556361796314712 , -0.934790224668648 , 0.628675601425102 , -0.235596309945922 , -0.588301180606402 , 3.22294926630961 , 0.170878667191945 , -0.0887308841946931 , 1.49264983843075 , 1.53268760563361 , 0.811810572654254 , -0.00163459180213688, 0.0983764840105407 , 0.687492814094516 , 0.343232240936445 , 1.74031974287337 , 1.03218371546588 , 1.02568685525337 , 0.285661527292055 , 0.738019705155531 , -2.66413825141053 , 0.879443018195951 , 1.10584788982272 , -0.0135756138576696 , 0.670243110211193 , -0.0320416686806271 , 0.901821936137642 , -0.478064398584536 , 0.851664055839227 , 1.05230522410689 , -0.0703756013606974 , -1.30505433435203 , 0.359024633817244 , 2.23315171409038 , 1.02787986409934 , -1.23312479583443 , -0.0740848095396658 , 1.84433378278374 , 0.203683667397964 , 0.171280518754897 , 0.986695270860978 , -0.544663298036219 , -0.170568046326901 , 0.0646946104554948 , -0.102852253291103 | 0.0870416 |
| 69 | 20 | 0.0 | 0 | 1 | control , control , control , control , control , control , control , control , control , control , control , control , control , control , control , control , control , control , control , control , intervention , intervention , intervention , intervention , intervention , intervention , intervention , intervention , intervention , intervention , intervention , intervention , intervention , intervention , intervention , intervention , intervention , intervention , intervention , intervention , -1.63257434348727 , -2.105611987525 , 0.152179568431637 , -1.3480874463962 , 0.371497240124461 , 1.51594885377086 , 0.297571032466026 , 0.909031355554431 , -1.84094981735204 , -0.788957205044902 , -1.423200034498 , 0.375962006645678 , -1.49034226748272 , -1.01475686219874 , -1.30203093587756 , -1.36614437450122 , 1.93156140659615 , 0.704506208333664 , 0.742703272025587 , -0.567640672270104 , 1.98964509529044 , 0.585164535223613 , -1.12933440242085 , -0.321207281555533 , -1.22664255651347 , -0.866167276376157 , 2.21495278990467 , -0.0179877242620974, 0.932585534836433 , -1.0694814275148 , 1.45930266236959 , 1.4143745260411 , 0.704062564138616 , 0.191408102817575 , -1.43145737177447 , -1.38375396948631 , -1.54957969897557 , 0.288959314329932 , -0.0504178690409731, -0.204761891161813 | 0.2685164 |
| 69 | 20 | 0.5 | 0 | 1 | control , control , control , control , control , control , control , control , control , control , control , control , control , control , control , control , control , control , control , control , intervention , intervention , intervention , intervention , intervention , intervention , intervention , intervention , intervention , intervention , intervention , intervention , intervention , intervention , intervention , intervention , intervention , intervention , intervention , intervention , -0.64975693856948 , -0.0356200016781208 , -1.54585906942797 , 0.58003530531648 , -1.59126768236352 , -0.024380850484488 , 0.211588527107575 , -1.0655292219457 , -0.00935684909909249, -0.801608119745789 , 0.765363059467173 , -1.18129718028093 , 0.972192407693 , -0.766504155230282 , 0.0733797446278059 , -0.495448914740014 , -0.669343062761875 , 0.0506774059893383 , 0.083020268291861 , 1.48246536291549 , 2.88643181782837 , 2.16309202884238 , 0.753520438400371 , 0.103055954354882 , 1.25098291529589 , -0.0601327862663745 , 0.756754707246474 , 1.40657560770627 , -0.523187135675218 , 1.2672426527577 , 1.37010894355141 , -0.988038535330942 , -1.23885607824362 , -0.66594590596854 , 1.18003053787087 , -1.42976968337981 , 0.029891229455668 , 2.02740484512007 , 0.253443018286464 , 1.63654913851547 | 0.0137495 |
| 69 | 50 | 0.0 | 0 | 1 | control , control , control , control , control , control , control , control , control , control , control , control , control , control , control , control , control , control , control , control , control , control , control , control , control , control , control , control , control , control , control , control , control , control , control , control , control , control , control , control , control , control , control , control , control , control , control , control , control , control , intervention , intervention , intervention , intervention , intervention , intervention , intervention , intervention , intervention , intervention , intervention , intervention , intervention , intervention , intervention , intervention , intervention , intervention , intervention , intervention , intervention , intervention , intervention , intervention , intervention , intervention , intervention , intervention , intervention , intervention , intervention , intervention , intervention , intervention , intervention , intervention , intervention , intervention , intervention , intervention , intervention , intervention , intervention , intervention , intervention , intervention , intervention , intervention , intervention , intervention , -0.557275397092846 , -0.0308821965316075 , 0.682012930412505 , 0.539778430773218 , 1.29846346179501 , 1.0642975693303 , -0.123685245022905 , -0.214683530997947 , 0.44713491898059 , 1.01125353365682 , 1.44831756356425 , 1.52634292606063 , -1.10188106452981 , 0.824612592642529 , 1.00580697436051 , -0.217927782221548 , 1.76210320266564 , 0.320570126452871 , -0.253488552497146 , 1.48578830791372 , 1.6060532064123 , 0.977081583159568 , -0.178839588667046 , 0.537866666886296 , 0.0417376746956601 , 0.0661367537225372 , 1.72398277193887 , -0.191992567248328 , 0.943959167694428 , 0.0833580626880466 , -0.397217918659204 , -0.308631612571048 , -0.351821384200827 , -0.478454885784816 , 1.00826013768354 , -1.39917781243696 , -0.734816371946994 , 0.635011695489083 , 0.578624901597925 , 0.506449599720012 , 1.51452245599579 , -1.30755234494714 , 0.160505095890469 , 0.736388597258289 , 0.166555300443164 , 0.27914154107732 , 2.9757170498051 , 0.344569741247817 , 1.17972446189287 , 0.218837317387029 , -0.934460662295043 , -0.240372596036742 , 0.123118279524393 , -1.04864095997373 , 1.07570861205163 , 1.45229844446622 , -1.13114943888643 , 0.972214466868206 , 0.0777532937636666 , 0.0339261002996652 , -0.950414235673471 , 1.74459803071169 , 0.21764736731545 , -0.489150816989174 , -0.499054414651122 , -0.179589519784818 , -2.18236913369225 , -0.189721520858525 , -0.510287490903125 , 0.955167669793056 , 0.050912847740739 , -0.103706072213312 , -0.76022269299891 , 0.256597140489632 , -0.385299889331586 , 0.629997424162249 , 1.82191568774838 , 2.75876882097156 , 0.266532643988636 , 0.902142007526088 , 1.46725735282419 , 0.64773268706854 , -0.49352738962144 , -0.106055615729142 , 1.1671021665991 , -0.478232954013955 , 0.299005779125483 , -0.0227449969106515 , -0.00975184865122375, 0.005399757339952 , 0.380411541106193 , -0.0104518020169864 , 0.61366756021468 , -0.303280345343901 , -0.61342283616163 , 0.470167817401417 , -0.172070715816151 , 0.597236281336403 , -1.47213008299381 , -0.453832698531719 | 0.0613437 |
| 69 | 50 | 0.5 | 0 | 1 | control , control , control , control , control , control , control , control , control , control , control , control , control , control , control , control , control , control , control , control , control , control , control , control , control , control , control , control , control , control , control , control , control , control , control , control , control , control , control , control , control , control , control , control , control , control , control , control , control , control , intervention , intervention , intervention , intervention , intervention , intervention , intervention , intervention , intervention , intervention , intervention , intervention , intervention , intervention , intervention , intervention , intervention , intervention , intervention , intervention , intervention , intervention , intervention , intervention , intervention , intervention , intervention , intervention , intervention , intervention , intervention , intervention , intervention , intervention , intervention , intervention , intervention , intervention , intervention , intervention , intervention , intervention , intervention , intervention , intervention , intervention , intervention , intervention , intervention , intervention , 0.784850149743598 , -0.454344583699917 , 0.0973669318381603 , 0.520734439861609 , 0.758465186398139 , 0.165669506074412 , -1.0249220798442 , -0.480684368620403 , 0.909857480490807 , -0.550190062649024 , 0.0989501531225573 , 0.235107000277842 , -1.77140910570407 , 0.0692798378430506 , -1.44913589801574 , 0.518820450747983 , -0.488971253926028 , 0.153066875522747 , 0.0952180879897367 , -1.45404404858376 , -2.00410682158941 , -0.206576870196596 , 2.09673080639958 , 0.333919315977978 , -0.0518855807633976, 0.913813940484223 , 0.96053201786589 , 0.715637070365622 , 0.529194371990519 , 0.510576860775968 , -0.0133428282969113, -0.674754209268584 , -0.135609550642605 , -1.59857598012023 , -0.238927290605346 , -0.885259577553483 , -0.352632889603005 , 2.63320132867351 , -1.11001833479452 , -0.230171662811503 , 0.564815178430751 , -0.513126762970678 , -1.1162672088976 , -0.0041467025994859, -1.29263581706014 , 1.3888517040362 , 1.23185545521493 , -0.62140717079422 , -0.739752236395354 , -0.779869287883919 , 0.467992379258804 , 1.83147272756381 , -0.514954672498589 , -0.41974911975724 , 1.83156227957561 , 1.10986435127944 , 0.3891549420977 , -1.01967832262266 , -0.249053990578795 , -1.17496886961546 , 0.456058129695344 , 1.01224382174062 , -0.192787877822271 , 1.59576824312961 , 0.609748289119967 , -0.498151817958135 , 1.80068241801617 , 0.26510472986304 , 0.120806018224238 , 2.22564426371773 , -0.0928402390338152, -1.24648580504675 , -0.426960683781551 , 0.492303524793259 , 0.588173047737866 , 0.159060536845442 , 0.211804641669325 , -0.121223176596378 , 0.641375699222138 , -0.608671688212071 , -0.151957221318464 , 0.387103751794437 , -0.173531895660898 , -1.14228095275619 , -1.07557559699847 , 1.93380293540516 , -0.122997371923456 , 0.480771785448425 , -1.30076340700736 , -1.78008703521045 , -0.228326451548372 , -0.460678139478164 , -0.218685716440341 , -0.9469285898675 , 1.42648615737256 , 0.671797189346469 , 0.60515034579806 , -2.31032204206558 , -1.39263199356848 , -0.787523151791565 | 0.5019088 |
| 70 | 20 | 0.0 | 0 | 1 | control , control , control , control , control , control , control , control , control , control , control , control , control , control , control , control , control , control , control , control , intervention , intervention , intervention , intervention , intervention , intervention , intervention , intervention , intervention , intervention , intervention , intervention , intervention , intervention , intervention , intervention , intervention , intervention , intervention , intervention , -1.56071985500276 , 1.88276229038296 , -1.57629614387552 , -1.71161567743449 , -0.895143066916584, 0.265346902420986 , 1.20416214781856 , 0.693236331982051 , -2.2945396967933 , 0.543384497103407 , 0.171213436303899 , 0.426921012503709 , 0.608394396079407 , -1.43544722177423 , -0.933321697961824, 0.926753490273699 , 2.67285179574582 , -0.244845316082094, 1.31126703586666 , 1.2960154307688 , -1.12387236592118 , -0.615993691821844, -0.431770214483028, -1.46526526667395 , -0.354087582484504, 0.0959097693168351, 2.78811367327234 , -0.987207727343357, -0.410005800144045, -1.21137564308355 , -0.147048234817591, 0.172370995591481 , 1.34563618444922 , -2.09919077576572 , -0.246951191726378, -0.249622543083464, 0.606684252847602 , 0.493690602919569 , -0.837371553170724, 0.104627574056548 | 0.4444181 |
| 70 | 20 | 0.5 | 0 | 1 | control , control , control , control , control , control , control , control , control , control , control , control , control , control , control , control , control , control , control , control , intervention , intervention , intervention , intervention , intervention , intervention , intervention , intervention , intervention , intervention , intervention , intervention , intervention , intervention , intervention , intervention , intervention , intervention , intervention , intervention , 0.274774460040182 , -0.446592355501991 , 0.374054794766098 , 0.407554977204571 , 1.12792469098475 , 0.751912502018378 , -1.3843515399264 , -0.0202281101816765, 1.09700537963875 , 1.28987951835848 , -0.0928620208642805, 1.65135462080549 , 2.46215131147654 , 0.788785349125971 , -0.390205954351489 , -0.663488471532821 , 1.27749146619391 , -0.0564906001488053, -0.0704853713190542, -1.15223627857866 , -1.04042398662842 , 0.743086773685866 , -0.262521894040813 , 0.885208486535124 , 0.288913976521614 , -0.60441649646075 , 1.76107019172508 , 0.394726053401237 , -0.641760167155629 , -0.943221388704458 , 0.867269934983878 , 0.749093270951578 , 1.29616761669932 , 1.65470337931436 , 1.55931904526901 , 1.05538785922628 , 1.34659374264928 , -1.47075149126384 , 0.331576842351427 , 2.22150848864527 | 0.6425680 |
| 70 | 50 | 0.0 | 0 | 1 | control , control , control , control , control , control , control , control , control , control , control , control , control , control , control , control , control , control , control , control , control , control , control , control , control , control , control , control , control , control , control , control , control , control , control , control , control , control , control , control , control , control , control , control , control , control , control , control , control , control , intervention , intervention , intervention , intervention , intervention , intervention , intervention , intervention , intervention , intervention , intervention , intervention , intervention , intervention , intervention , intervention , intervention , intervention , intervention , intervention , intervention , intervention , intervention , intervention , intervention , intervention , intervention , intervention , intervention , intervention , intervention , intervention , intervention , intervention , intervention , intervention , intervention , intervention , intervention , intervention , intervention , intervention , intervention , intervention , intervention , intervention , intervention , intervention , intervention , intervention , -0.392572093938651 , 0.457317586803054 , 1.3904075713482 , -2.03509273316263 , 0.874638059165882 , 0.594449820069805 , -0.666268443077987 , -1.33166345347258 , -0.778977758882722 , -1.51406624860181 , -1.8268984351686 , 2.59205999166008 , 1.02922809951234 , 0.376433071873324 , 0.820076560561886 , -1.68389404225345 , -0.591001073527002 , 0.984518100873834 , -0.674551411376491 , -0.282294589525903 , 1.02896716249095 , 0.289053308772284 , -0.595062596347931 , -0.229465746680046 , -1.72704152841516 , 0.840051541480413 , 0.00772775142110872, -0.450387977177729 , -0.864870639771876 , -0.207298544222552 , 0.728607943613576 , 0.372736396756106 , 0.644641292296859 , -0.468328469502768 , 0.00233715981078704, 1.10255120976422 , -0.940663045709814 , 2.0924761099328 , -0.456736666755529 , -1.14651959842693 , 1.72766363666185 , -1.3444179583432 , 0.557809742469695 , 0.853552723126176 , -0.518357864150053 , 0.118728887121011 , 0.58794829980614 , 0.442157140861604 , -0.72944420628516 , -0.341344675919443 , 1.95783276199433 , -0.230317622730402 , -0.657886212928973 , 0.428394409234974 , -1.78375116449698 , 1.11215066256138 , 0.0751424011602655 , 0.402632080819375 , 0.0851240683724348 , 0.423989770139975 , 0.138716594545284 , -0.769643404655109 , -1.04807847067174 , 0.735693355511925 , 1.04584767747421 , -0.905207427790404 , 0.446694045351097 , 0.377042096322234 , 0.0532118360171584 , -1.87175837558078 , 1.24369627941522 , -1.13103429075055 , -0.365666652603818 , 0.600166952295517 , -1.15313044460376 , 0.252914944002671 , 0.366889481523123 , 0.700395582753746 , 2.19722292295271 , 2.86621684784076 , 0.658025145363837 , -0.325465675922703 , -0.0403334581414414, 0.465355034569379 , -0.110856714519416 , 1.64236898459 , 0.390018891453621 , -0.956672065723251 , -0.464179749891796 , -0.647161447064393 , -0.587127892861123 , -1.32541540115262 , 0.691140161486677 , 0.204157569006779 , 0.375835286073772 , -0.425356105736913 , -2.09409234041747 , -1.03210422899358 , -0.860974373230373 , -0.657792426830759 | 0.8626514 |
| 70 | 50 | 0.5 | 0 | 1 | control , control , control , control , control , control , control , control , control , control , control , control , control , control , control , control , control , control , control , control , control , control , control , control , control , control , control , control , control , control , control , control , control , control , control , control , control , control , control , control , control , control , control , control , control , control , control , control , control , control , intervention , intervention , intervention , intervention , intervention , intervention , intervention , intervention , intervention , intervention , intervention , intervention , intervention , intervention , intervention , intervention , intervention , intervention , intervention , intervention , intervention , intervention , intervention , intervention , intervention , intervention , intervention , intervention , intervention , intervention , intervention , intervention , intervention , intervention , intervention , intervention , intervention , intervention , intervention , intervention , intervention , intervention , intervention , intervention , intervention , intervention , intervention , intervention , intervention , intervention , 0.327123841843134 , -0.0381871897408298, -1.78637673033476 , 1.9378147078365 , -0.360487384981553 , 0.027689736448816 , -0.769277667465772 , -0.877291490287623 , -0.0609932930939509, -1.03083314009732 , 0.843380767671975 , 0.359210935397613 , -0.410615115696059 , -0.103535919931815 , -0.865237773981595 , 0.931327910005622 , -0.669191482292529 , 0.744334821026338 , 0.35264393008536 , 1.10660698837961 , 0.709519255534451 , -0.401017322726153 , 2.10801427977724 , -0.635619452293959 , 0.0499373910703388 , 0.838520432385695 , -1.01942962276311 , -0.0791340655329553, -0.651707610750012 , -0.461443088978287 , 0.902487732037919 , 0.14205025856132 , -0.0305207766340548, 0.0542542626614553 , -0.38764333736438 , -0.628015480210757 , 2.08053557576862 , 0.517400276907832 , -0.947583256492248 , 0.175427334427979 , -0.0445146061054102, 0.817475532015579 , 0.392877417844086 , -1.75222563165414 , -2.54390224041345 , 1.20972668933072 , -0.697513961127022 , 0.871516396781227 , -1.90407123134138 , -0.588070417833246 , 2.31419598704986 , 0.320933609528224 , -0.977532491084825 , 0.973550606234533 , 0.427212633005805 , 1.05698821811458 , 0.602379793156014 , 1.68659456000239 , 0.537532921470637 , 0.755968150889409 , 0.261660625513172 , 1.73090224662417 , 0.370907659783886 , 1.99325921762812 , 0.496142762496994 , -0.603368710615885 , -0.379160481773418 , -1.2875202619385 , -0.11203724509673 , 1.61162192761304 , 0.789742601658265 , -0.112764640408109 , 1.00599426789451 , 0.189459614765488 , 1.47847978611038 , 0.774888426943606 , 1.0186859562809 , 0.687004903466644 , 0.48267945197884 , -1.24261010915877 , -0.845844690554914 , -0.796470710492536 , -0.305405439572912 , 0.262510327357131 , 2.63222020064276 , 1.50732904208821 , 0.944484773768637 , 1.47055982818854 , 0.00975658019037573, -0.364770444248171 , 2.46376834176682 , 0.0153303610031056 , -0.969799305327915 , -0.164715535921064 , 1.15333856372861 , 2.24977480682888 , 0.301229040345917 , 0.259870241864682 , -0.804221983791487 , 0.163458245115703 | 0.0047037 |
| 71 | 20 | 0.0 | 0 | 1 | control , control , control , control , control , control , control , control , control , control , control , control , control , control , control , control , control , control , control , control , intervention , intervention , intervention , intervention , intervention , intervention , intervention , intervention , intervention , intervention , intervention , intervention , intervention , intervention , intervention , intervention , intervention , intervention , intervention , intervention , -0.513948663047401 , 0.982063946417953 , -0.207716563076687 , -0.472741225224413 , -0.385270575014163 , 0.425471820929245 , 0.0894085519462581 , 0.790170950945927 , -0.566121502454733 , -1.36332438992562 , 0.524756390879025 , 0.880275586548435 , 0.759182736245262 , 0.684264129197735 , 1.34535136053185 , 0.851846288980031 , 0.0975811129134309 , -0.816984698699387 , 1.1476686911801 , -0.926463409250351 , -0.90288775907877 , -0.509241044249005 , 0.14404136692809 , 1.26565767913695 , 1.14837246076006 , 0.510407137465838 , -1.26620028163964 , -0.973831566125382 , 0.524590340543332 , 0.571052000771524 , 0.919917624602633 , 0.67900912311749 , -1.55687622418327 , -0.494176900026869 , 0.441210636486149 , 1.4714433265665 , -0.0636297210163217, 1.11392147092038 , 0.429148317218151 , 1.16067570544723 | 0.8106628 |
| 71 | 20 | 0.5 | 0 | 1 | control , control , control , control , control , control , control , control , control , control , control , control , control , control , control , control , control , control , control , control , intervention , intervention , intervention , intervention , intervention , intervention , intervention , intervention , intervention , intervention , intervention , intervention , intervention , intervention , intervention , intervention , intervention , intervention , intervention , intervention , 1.86117932664999 , -0.204763498939255 , 0.0487133123787337 , -1.33597345959206 , 1.18877677525869 , -1.32518234542287 , -0.00955878746802562, 0.109764805663755 , -0.505490819482666 , -0.227315339203519 , -0.613731160293147 , -1.8974969142675 , -0.49855744378242 , 1.35295708284575 , 0.154728565962735 , 0.230532286917291 , -0.237064038732059 , -0.701666857134986 , 0.789243751401907 , 1.10185166737211 , 0.891183615377144 , 1.54360558291537 , -0.225711531034721 , -0.771494105110189 , -1.21769832283457 , -1.28656278613218 , 1.35532813206219 , 1.97188523317531 , -0.698342643401034 , 0.0952048610397227 , -0.578156550979617 , 1.27377113840443 , 0.233439383986895 , -0.228610407866546 , 0.282247189059985 , 0.329885532912588 , 0.0485711108851735 , -0.728047311198206 , -0.106902132893816 , 0.682636630210378 | 0.5484543 |
| 71 | 50 | 0.0 | 0 | 1 | control , control , control , control , control , control , control , control , control , control , control , control , control , control , control , control , control , control , control , control , control , control , control , control , control , control , control , control , control , control , control , control , control , control , control , control , control , control , control , control , control , control , control , control , control , control , control , control , control , control , intervention , intervention , intervention , intervention , intervention , intervention , intervention , intervention , intervention , intervention , intervention , intervention , intervention , intervention , intervention , intervention , intervention , intervention , intervention , intervention , intervention , intervention , intervention , intervention , intervention , intervention , intervention , intervention , intervention , intervention , intervention , intervention , intervention , intervention , intervention , intervention , intervention , intervention , intervention , intervention , intervention , intervention , intervention , intervention , intervention , intervention , intervention , intervention , intervention , intervention , -2.05989931580105 , 0.0119683726577497 , -0.924541391707504 , -0.248913311593588 , 1.35660879048662 , -0.059006583620259 , -1.31140566721232 , -1.99326643738969 , -0.314435287670928 , -0.852977432487208 , 0.556441441254961 , -0.176549331304438 , 1.20516101825014 , -0.10891588216227 , -1.07000223454668 , 0.743851815058796 , 0.286990891399459 , -0.228480452388661 , 1.72976526205945 , -0.215159038705861 , 0.523149555093306 , -1.28286500035909 , 0.500288517766251 , 0.0868917186761049 , -0.685389181741333 , 0.695943844527022 , -1.31395332628667 , 0.14151019168839 , -0.830731984650452 , 0.0106166362475275 , 2.22649534247612 , 0.994517347952217 , -0.723750368920685 , 0.0549371862278367 , -1.73910868821354 , -0.0500070977765493, 0.183926842117082 , 1.3588192716749 , 1.15070429493298 , 1.47413092290336 , -0.706486533778302 , 0.611853010958988 , 0.196451846963177 , -0.411814065067518 , -0.759248517069625 , 0.743178702910575 , 0.115479449907691 , 0.516333947119635 , 0.393067068112518 , 0.409915400421534 , 0.0697644441963938 , 0.517770340716206 , 0.0401888162284851 , -1.5363816079087 , 0.497656793670201 , 0.961952001747214 , -0.327092964168898 , 0.328417749200256 , 0.107372038447151 , 0.868023645666076 , 0.397396816980186 , 0.200602921401598 , 0.199052534042257 , -0.356558964791303 , 1.10488236755952 , 0.477279473150685 , 0.754046888648651 , -0.245407657481569 , 0.526634859705708 , 0.522799522115321 , -0.961166813124828 , -1.74609558492122 , 0.225013085815334 , 0.103332356542988 , 0.722880874519915 , 0.293784579029291 , 1.08647912731157 , -1.49552532226412 , 0.446848827575994 , 0.745996438453442 , 0.925411447409044 , 0.0679301410607631 , 0.223672786498488 , -0.646040382591644 , -0.164169290674975 , 1.28875932638113 , 0.442355125201203 , 0.750674695520426 , 0.826019785640495 , 0.72771875681188 , 0.567175578276824 , -0.982067514010177 , 0.773153997262371 , 0.115595569615463 , -0.840511854092558 , 1.49391058827519 , -1.24460653940783 , 1.99841164010922 , -0.675589033342904 , -0.408464324656337 | 0.2745301 |
| 71 | 50 | 0.5 | 0 | 1 | control , control , control , control , control , control , control , control , control , control , control , control , control , control , control , control , control , control , control , control , control , control , control , control , control , control , control , control , control , control , control , control , control , control , control , control , control , control , control , control , control , control , control , control , control , control , control , control , control , control , intervention , intervention , intervention , intervention , intervention , intervention , intervention , intervention , intervention , intervention , intervention , intervention , intervention , intervention , intervention , intervention , intervention , intervention , intervention , intervention , intervention , intervention , intervention , intervention , intervention , intervention , intervention , intervention , intervention , intervention , intervention , intervention , intervention , intervention , intervention , intervention , intervention , intervention , intervention , intervention , intervention , intervention , intervention , intervention , intervention , intervention , intervention , intervention , intervention , intervention , 0.160492564270431 , 0.950258572378591 , -0.0373051230782356, -0.588144840185814 , -0.92213896562519 , 0.454664678863614 , 0.789452534760452 , -1.18692071553109 , -0.717113355477401 , 0.292658943769064 , 0.385418112066036 , -0.0327363969023605, 0.601734723556917 , -0.51771489892915 , -0.257412807980953 , -1.18499508580081 , -0.749028394267692 , 1.26711456356155 , 0.417985399673425 , 0.243713465529863 , 0.282146404445771 , -1.13782210591306 , -0.261032634762393 , 0.994678764076806 , 0.154332496965485 , -1.06183659963849 , 1.25516162541513 , -0.284581022745781 , -0.660149150325425 , -2.07532964899082 , -1.94482811957608 , 0.108308526777844 , 0.511952210451742 , 0.117720520220282 , 0.251466080430237 , 1.55814252093048 , 0.422041810064459 , 0.568501946904286 , -0.900646519123476 , -0.353175008100818 , -0.702101030421708 , -2.0893213003135 , 1.20403537523165 , 0.234120933878035 , -0.672262853617412 , -0.872596536491161 , -0.667629533786134 , -1.03111556870795 , -1.17760389327327 , 0.874493508512184 , 0.634908204115757 , 0.046359751062974 , 0.650102780538526 , -1.14918918943882 , -0.189956548493416 , -0.951968603176548 , -0.157273536476803 , -0.224127255964 , 0.907053213234681 , -0.100586929021015 , 0.630248021241679 , -1.07392483881224 , -0.819144909188454 , -0.665637487949577 , 1.16897978570713 , -1.03853667778288 , 0.948185465669415 , 1.49357471977039 , 0.751235289512866 , -1.25600725802459 , 0.828140197236623 , 1.96410257572963 , -1.03809285156719 , 0.215337019008369 , 1.06831199802621 , 1.83331670029364 , 0.958461197510653 , 0.57584507603664 , 2.26930988436292 , -0.493105007341204 , 0.768854906838471 , 0.330359564601686 , 1.51900726615868 , 0.168916356039561 , 1.25089406311445 , 1.74617108006733 , -0.564585563960815 , -1.16280859008348 , 1.28116546655353 , 0.628246908482258 , -1.16529308233047 , -0.400606096768253 , 1.41478698464149 , 2.45123447479818 , 0.77813201536833 , -0.519009776559516 , 1.06188449828934 , 1.13553326821342 , -0.91513434352357 , 0.889221683547256 | 0.0062001 |
| 72 | 20 | 0.0 | 0 | 1 | control , control , control , control , control , control , control , control , control , control , control , control , control , control , control , control , control , control , control , control , intervention , intervention , intervention , intervention , intervention , intervention , intervention , intervention , intervention , intervention , intervention , intervention , intervention , intervention , intervention , intervention , intervention , intervention , intervention , intervention , -1.18386493481931 , 1.11165990051032 , 0.435108098629466 , -1.3198531468133 , -0.0411403128952997, -0.893710423915093 , -0.659227666665018 , 0.0983740002246167 , 1.57563938246082 , 0.557858078177269 , 0.309800137954278 , 1.945971176828 , -1.30259820761376 , -0.0444921029692557, 1.19647476158261 , -0.534984553690776 , -0.447963075166792 , -0.59055786175596 , 0.411928163650714 , 0.02707231780781 , 0.513724615619185 , -0.856446681247191 , -1.71757627856735 , -0.474306610730282 , 0.228061596199402 , -1.20682143548776 , -0.863728955183291 , -0.778064456294225 , -2.35214399609476 , -0.125509708281582 , 0.832061068425318 , -1.39092338009443 , 0.903177061578435 , -1.29115976363445 , -1.02546345848321 , 0.851827214030196 , 0.969347200706094 , 1.98366655706084 , -0.88864429645347 , -0.231661164369402 | 0.2469698 |
| 72 | 20 | 0.5 | 0 | 1 | control , control , control , control , control , control , control , control , control , control , control , control , control , control , control , control , control , control , control , control , intervention , intervention , intervention , intervention , intervention , intervention , intervention , intervention , intervention , intervention , intervention , intervention , intervention , intervention , intervention , intervention , intervention , intervention , intervention , intervention , 1.12422632255062 , 1.25945703032295 , -2.18599833827692 , 0.568751504830773 , -1.03971918530423 , 1.7625006787101 , -0.272204716250985 , 1.72212013973624 , 0.0679807958211767 , 1.19985797959066 , 1.02521158414068 , 1.41979711729207 , 1.91584799401401 , -1.81904111654952 , 0.847348880101104 , -1.06840780517138 , -0.483556598377374 , -0.185811845140144 , 1.41381571204362 , 0.20681480865006 , -0.71067717374696 , 1.32336165297672 , 0.0974907992913739 , -2.10842211797372 , 0.512117634047517 , 1.68424700376625 , 0.60207570392245 , 0.802615065129414 , -1.30971794777481 , -0.00101204206308214, 2.21014645497978 , 0.691709751023815 , -0.252556407593784 , 0.145427851086625 , -2.43862405253591 , 1.68604149655361 , -0.626788344210034 , 1.64468346290824 , 1.00657222858202 , -0.325035074025661 | 0.7176613 |
| 72 | 50 | 0.0 | 0 | 1 | control , control , control , control , control , control , control , control , control , control , control , control , control , control , control , control , control , control , control , control , control , control , control , control , control , control , control , control , control , control , control , control , control , control , control , control , control , control , control , control , control , control , control , control , control , control , control , control , control , control , intervention , intervention , intervention , intervention , intervention , intervention , intervention , intervention , intervention , intervention , intervention , intervention , intervention , intervention , intervention , intervention , intervention , intervention , intervention , intervention , intervention , intervention , intervention , intervention , intervention , intervention , intervention , intervention , intervention , intervention , intervention , intervention , intervention , intervention , intervention , intervention , intervention , intervention , intervention , intervention , intervention , intervention , intervention , intervention , intervention , intervention , intervention , intervention , intervention , intervention , 0.744286849270685 , -1.35759608136742 , -1.35972392157247 , -0.976812247939321 , 0.304952067609984 , -1.99422878182972 , -0.179054088510042 , 0.437940847080449 , 0.122783938365351 , 0.420629302502416 , -0.27171680135289 , 1.41853025386369 , 0.132410057834264 , 0.403991168544342 , -0.551861978789522 , 0.32318965770279 , 1.28755623925517 , -1.59222774294328 , 0.512258262421284 , 0.0341607063457529 , 0.504370812550134 , -1.5012669770139 , -0.865338929175505 , -1.63610517984402 , 0.851015273651199 , -1.02411832499174 , 0.176836367620086 , -0.820324797739689 , -2.00103803292161 , 1.67807119570264 , -0.943593534092169 , 0.222936270993319 , 1.67615230923661 , -0.183232172922195 , 0.979590730035242 , -0.0967737181998718, -0.320046371601815 , -1.80820869705937 , -0.698104119132378 , 1.8795961440957 , -1.17243186878796 , 0.0292685211566138 , -0.0750043306878548, -0.908944341894491 , -2.62994795225379 , -0.806406391618261 , 0.927488265909659 , -0.281180344745764 , 0.756856633854139 , 0.323763051574618 , 0.551901242154646 , -1.2119451171819 , 0.226862254077765 , 0.752901180793222 , 0.690513719382524 , 0.318708249543137 , -0.901752744890355 , 1.14043787487083 , 0.882914636905549 , 1.00040667991585 , 1.06069592254637 , -0.236267830634142 , -1.95486673175634 , -0.431040399768283 , -0.138205106370932 , -0.841387935328869 , 0.354438950869712 , 0.106246689895086 , 1.22933859004653 , 0.165348900855658 , -0.228581102776871 , -0.334928679412969 , -0.713612278345985 , -0.542617583081132 , -0.350238713285678 , -0.699975319637431 , -0.879409205004421 , 1.08129564682533 , -0.0575450866102254, -1.5736439071114 , -0.242106722452553 , 0.891138625540815 , 0.435152746061043 , 0.978706871374217 , -1.05027076596241 , 0.495727337040857 , 0.231507206387871 , 1.81460931073369 , -1.44951113655344 , 0.725649279993512 , -0.616383511872879 , 0.991292245354589 , 2.40396048831216 , -2.27433971469314 , 0.0471230916884091 , -1.17659346118109 , -0.525521781862775 , 0.297653090866785 , 1.54958009368096 , -0.363319309994987 | 0.2560839 |
| 72 | 50 | 0.5 | 0 | 1 | control , control , control , control , control , control , control , control , control , control , control , control , control , control , control , control , control , control , control , control , control , control , control , control , control , control , control , control , control , control , control , control , control , control , control , control , control , control , control , control , control , control , control , control , control , control , control , control , control , control , intervention , intervention , intervention , intervention , intervention , intervention , intervention , intervention , intervention , intervention , intervention , intervention , intervention , intervention , intervention , intervention , intervention , intervention , intervention , intervention , intervention , intervention , intervention , intervention , intervention , intervention , intervention , intervention , intervention , intervention , intervention , intervention , intervention , intervention , intervention , intervention , intervention , intervention , intervention , intervention , intervention , intervention , intervention , intervention , intervention , intervention , intervention , intervention , intervention , intervention , 0.0331819160676205 , -0.741145264351155 , -0.169118084630997 , 0.58077698543004 , 2.16796767377567 , 0.306081783110498 , -0.208525771424022 , 0.608849922324429 , 0.906897285818145 , -0.631606221097206 , -0.475605918166377 , 0.498530823709705 , -0.361857855175019 , -0.44359991825339 , 1.3912048686001 , -0.829077376136832 , -0.35577450391986 , -0.777766275977878 , -1.31121570730624 , 1.57725075278453 , -0.467909136112325 , 0.203124680824088 , 0.911712110844335 , 1.89571760297079 , -0.396104308157408 , 0.304836531090983 , 1.39910840177903 , 0.441376025377463 , -0.90986397263604 , 1.17696546488517 , 0.715417739908758 , 0.199784056162867 , 0.366851851757656 , 0.693789982487713 , 1.8769795273528 , 0.934184741430245 , 0.701596917196505 , -0.48369231357106 , 0.458449173084314 , 0.759919901411396 , -0.488695310033687 , -0.408730520821519 , -0.180905809239767 , 0.257396423471618 , -1.57305505677284 , -0.226058790370961 , -2.3806035300906 , -0.67251514189525 , -0.246870189900129 , 0.804923887475524 , 1.58200779486882 , 0.532520648392092 , 0.219208172276353 , 0.421645602645205 , 1.05155856125673 , 0.0156630687203204 , -0.732976117974901 , 0.839772499645947 , -0.0808991401772456, 1.38893922744527 , 1.11744457203557 , 1.30069433774366 , -0.871013758675807 , 0.763516395150314 , 1.61108031625294 , 0.816102587182957 , 0.962931170793947 , 2.01217476282025 , -0.332141515923343 , 0.295958687833161 , -1.34532940738007 , 1.04676294995491 , -0.971566770998501 , 1.22960747012 , 0.844047453671959 , -0.199962288332489 , 1.51126302150247 , -0.992904912762569 , 1.69184068547517 , -0.625790719510982 , -0.919241286593932 , -0.264729139118485 , 0.730333130298588 , 0.116769507535326 , -0.182790963181837 , 0.107931312872635 , -0.125265613190487 , 1.79617720283316 , -1.00281258806062 , 0.762397990270311 , -0.146664522020307 , 1.35344454525061 , 1.55484829855708 , -0.494729954298284 , 1.49758059718508 , 2.15468712439346 , -0.142223920551669 , 0.690303825455838 , -0.617285293399567 , 0.00693635445798518 | 0.1160082 |
| 73 | 20 | 0.0 | 0 | 1 | control , control , control , control , control , control , control , control , control , control , control , control , control , control , control , control , control , control , control , control , intervention , intervention , intervention , intervention , intervention , intervention , intervention , intervention , intervention , intervention , intervention , intervention , intervention , intervention , intervention , intervention , intervention , intervention , intervention , intervention , -0.246558182428733 , 0.0958370918877942 , -0.424867753558258 , -2.86083617852448 , 0.155200805460777 , -1.04566046983802 , -0.869420727381699 , 1.12506045494839 , 1.05822238833086 , 0.0691586516619736 , 1.58059538969802 , 1.51182809236298 , 1.34127156376262 , -0.26625114496825 , -0.426517217133918 , 1.29474015516282 , -0.92781259649687 , -0.499977466838641 , -0.541901538901005 , 0.448844542556492 , -1.47233895485221 , 0.567972829521254 , -2.03780256721767 , 1.03344200714748 , 0.761343748611152 , -0.233854085786049 , 0.692756418752608 , -0.00243979657867105, 0.137164118125122 , 0.354485570948026 , 1.11925478617908 , 1.21630411303971 , 1.17302328969074 , 0.905110310696393 , -0.546316071656309 , -0.271018433391572 , -0.762747979265743 , 0.646152852169873 , 0.808441415112335 , 2.15885370556121 | 0.3953915 |
| 73 | 20 | 0.5 | 0 | 1 | control , control , control , control , control , control , control , control , control , control , control , control , control , control , control , control , control , control , control , control , intervention , intervention , intervention , intervention , intervention , intervention , intervention , intervention , intervention , intervention , intervention , intervention , intervention , intervention , intervention , intervention , intervention , intervention , intervention , intervention , -0.604204545656529 , 0.39533070153405 , 1.47133912513202 , -1.24382471218508 , 1.67577675914844 , -0.212275639574387 , 0.272161564038812 , -0.0508612909436855, -0.634749406098735 , 0.131921845296552 , 0.532874920027537 , -1.69858134818252 , -0.997131694009661 , 0.273851524298989 , -0.026873986377356 , -0.119931782097175 , 1.06992546416826 , 0.317833087904042 , -1.17684518598088 , -1.40843728061355 , 0.835901598722959 , 1.71578686921311 , 1.37447253781416 , 1.1319427874308 , 1.07552406312002 , 0.838919483241462 , -0.559079910115506 , -0.416969633753343 , -0.468982494703188 , 0.120882933789856 , -0.69838602990999 , -0.747780262204983 , -0.125682315433915 , -0.513602186489942 , -2.01148422363744 , -0.018340764781033 , -1.04890398255656 , -0.287075671757069 , 1.06645806003155 , 0.193577296198809 | 0.5588316 |
| 73 | 50 | 0.0 | 0 | 1 | control , control , control , control , control , control , control , control , control , control , control , control , control , control , control , control , control , control , control , control , control , control , control , control , control , control , control , control , control , control , control , control , control , control , control , control , control , control , control , control , control , control , control , control , control , control , control , control , control , control , intervention , intervention , intervention , intervention , intervention , intervention , intervention , intervention , intervention , intervention , intervention , intervention , intervention , intervention , intervention , intervention , intervention , intervention , intervention , intervention , intervention , intervention , intervention , intervention , intervention , intervention , intervention , intervention , intervention , intervention , intervention , intervention , intervention , intervention , intervention , intervention , intervention , intervention , intervention , intervention , intervention , intervention , intervention , intervention , intervention , intervention , intervention , intervention , intervention , intervention , -0.343409467836862 , 1.22250707677512 , -1.36436402170896 , 1.30404931048958 , -0.649745548630446 , -0.93933008499355 , 0.807268346389562 , -0.617868555922219 , 0.246345257481394 , -0.669065185828644 , 0.849806282889313 , 1.3148807882939 , 1.72503612499592 , 0.718052882772081 , -0.772098203678951 , -1.19628897469271 , 0.00989961670069948 , -0.453881592211785 , -0.172624574654302 , -0.492768441326141 , -0.60544845226073 , 2.05395854603542 , 0.851834255384795 , 0.310018978774758 , 0.070445632941813 , 0.211848121362876 , -0.203001855073644 , -0.531648054802382 , 0.285047404504691 , -0.619093297379704 , 1.44758241493026 , 0.266872467333008 , -0.265322371276698 , -1.02351329329319 , -0.094543102634761 , 0.0349776910124405 , 1.543859793572 , -0.306059564371443 , 0.608566918846237 , -0.690275804693088 , 0.146654586772858 , -0.00668367980908643, 1.32235088532757 , -1.3279089433962 , 1.20512972179937 , 0.639174939495355 , -0.447633930146027 , -0.432869390820568 , 1.56720163049022 , -0.031644905132072 , -0.033324340476191 , 0.385043456250281 , 1.37070379413666 , -0.275574686379423 , 1.17083844705657 , 0.82827518417877 , 0.785362509359007 , -2.31164243539934 , 1.43259544010486 , -1.45551071608157 , 0.398501609273452 , 0.539178859531728 , -0.878243751722613 , -1.50067633030295 , -0.609207744722438 , 0.253113691681418 , -0.205898312104103 , 1.54108954831145 , -0.941568386031297 , -0.283856384650931 , 0.0493661728468615 , -0.653225449089997 , 0.174014819392025 , -0.562244134288278 , -0.88102336511614 , 0.985355814074025 , -0.306212595329722 , 1.93952485482343 , -0.696528409508628 , -0.124769494181433 , 1.65049877289955 , 0.109765091661877 , 2.63460960730728 , 1.31835281881832 , 1.41254581547153 , -0.91071857988165 , 1.6131724261886 , 0.64569100050546 , -0.318295835261989 , -0.569543044316514 , -1.40537830463609 , 0.773707563910938 , -1.74066075575556 , -0.772049487749198 , 0.0877423204437795 , 0.398208191843972 , -0.0946649001632855 , -0.556853932205832 , 0.329223245285758 , 0.115829307410016 | 0.8629224 |
| 73 | 50 | 0.5 | 0 | 1 | control , control , control , control , control , control , control , control , control , control , control , control , control , control , control , control , control , control , control , control , control , control , control , control , control , control , control , control , control , control , control , control , control , control , control , control , control , control , control , control , control , control , control , control , control , control , control , control , control , control , intervention , intervention , intervention , intervention , intervention , intervention , intervention , intervention , intervention , intervention , intervention , intervention , intervention , intervention , intervention , intervention , intervention , intervention , intervention , intervention , intervention , intervention , intervention , intervention , intervention , intervention , intervention , intervention , intervention , intervention , intervention , intervention , intervention , intervention , intervention , intervention , intervention , intervention , intervention , intervention , intervention , intervention , intervention , intervention , intervention , intervention , intervention , intervention , intervention , intervention , 2.10315744743208 , 2.14794495379595 , -0.173153314367447 , 0.765932044318771 , 0.86950549615143 , 2.321213980202 , 0.0824954544587205 , 1.55217078178817 , 0.581878445962664 , -0.540609244418713 , 0.257922572616732 , -0.4988513296556 , 0.62593878199827 , -0.88028725179655 , 0.792639661292415 , 0.203710977523199 , -0.140432179491789 , 0.128073055747218 , 0.479856049378756 , -0.554395215780284 , 1.49201269815907 , -0.0500643066147853, -0.319066930035873 , -1.50765458402407 , -0.99698880505506 , 1.0386485112564 , 2.22325884886982 , -0.953939465060072 , 0.517182464227472 , 2.52677218229044 , -0.0676970430860716, 0.293045563480221 , 0.464257023498559 , -0.452733115695193 , -1.2273450431238 , 0.812763425712029 , 1.167274196801 , 1.01194160864126 , -1.03780293302814 , 1.79787217072025 , -1.85194928751643 , 0.845507756056142 , 0.621655026187443 , -0.343847063351609 , 0.885761172418203 , -2.6906650708889 , 1.55907447075447 , -0.321566684345074 , -1.09637885776394 , 0.0661242605486364 , 1.36308271105105 , 1.81498022526665 , -0.217877431025175 , 0.549589768588442 , 1.56148767854836 , 0.852975393251778 , 1.81637790372034 , 1.96391555861582 , 1.70477303334745 , 0.193203943929873 , 0.104705455659125 , 1.04905563583287 , 1.11143106168783 , 0.547094892449912 , -0.722484121234769 , -1.65957110441166 , 0.518385008368869 , 0.528082294151292 , 0.165900709553466 , 1.06876628384798 , 0.221685360799281 , 0.44306860759789 , 2.03966449328276 , -0.142321956767443 , 1.59635380239939 , 0.371768721867219 , 0.0506821054135718 , 0.41879561458795 , 2.22639846057814 , 1.01454060410097 , -0.168294401626149 , 1.65472759828466 , 1.52152600003786 , 1.33277666678317 , 0.692532207642951 , -2.10499149957501 , 0.310913886256738 , 1.09400107615067 , 0.142178538580944 , 1.2313835428888 , 0.133911544851427 , 0.124220149378322 , -1.26985193505775 , 0.65911498983183 , 0.549692342301839 , 1.25493945411984 , 2.23139502737079 , 1.48489252228747 , -0.10892165799989 , 0.649409660575376 | 0.0634607 |
| 74 | 20 | 0.0 | 0 | 1 | control , control , control , control , control , control , control , control , control , control , control , control , control , control , control , control , control , control , control , control , intervention , intervention , intervention , intervention , intervention , intervention , intervention , intervention , intervention , intervention , intervention , intervention , intervention , intervention , intervention , intervention , intervention , intervention , intervention , intervention , -1.158816380678 , -1.18996086932461 , 0.177423371877548 , 0.367391896252331 , 0.080965255915898 , 0.0668546663964641 , 1.50469373029803 , 0.0551730957060928 , -0.233753825476112 , -0.0465917269811542, 0.785419990346758 , 0.319913505571091 , -0.666873585702918 , 0.142853370463346 , -0.491853411908594 , -1.87371118449264 , 0.208422749708673 , 0.57207243409398 , -0.071987479766984 , -1.01750260325316 , 1.01822192101958 , 0.247360806176444 , 0.0478711527472161 , 0.356182077358919 , 0.797159130911086 , 1.19671351151672 , 0.152399748976114 , 0.582529350541546 , -1.13056028836002 , -0.299083294747149 , -0.633477538250035 , 0.436495860515502 , -0.729319840119551 , 0.821421153260268 , 1.14992602354366 , 1.33997042872287 , -0.752229089433743 , 1.7252440491629 , 1.68708329206508 , 0.150095085287972 | 0.0422767 |
| 74 | 20 | 0.5 | 0 | 1 | control , control , control , control , control , control , control , control , control , control , control , control , control , control , control , control , control , control , control , control , intervention , intervention , intervention , intervention , intervention , intervention , intervention , intervention , intervention , intervention , intervention , intervention , intervention , intervention , intervention , intervention , intervention , intervention , intervention , intervention , -0.256310034488893, 0.223208318154315 , 0.690287805904689 , 0.108574060074416 , -0.18498196215399 , 1.43456147365656 , 1.21169560037735 , -0.756584215706433, -1.62483416532606 , -0.131017089072925, -1.57027896941028 , 0.249126078067162 , -2.23639303641934 , 0.0550381076192732, -1.03855381585998 , -0.870294773356609, 1.16582252691491 , 0.648373838397367 , -1.34435678931631 , 0.187299558990514 , 0.553565543707922 , 0.949228926040085 , 1.74924235313745 , -0.608180605850105, 0.487931071974218 , -1.64152576978157 , -0.185300813371303, 0.37271223938157 , 0.94133114601335 , -1.01969827058408 , 0.224694263346083 , 0.0397657511862042, 1.75050415669248 , 0.671357010539945 , 0.860996716495188 , 2.73046212032002 , 1.5753267009998 , -1.29078032962416 , 1.98241057960594 , -0.627538891422944 | 0.0560538 |
| 74 | 50 | 0.0 | 0 | 1 | control , control , control , control , control , control , control , control , control , control , control , control , control , control , control , control , control , control , control , control , control , control , control , control , control , control , control , control , control , control , control , control , control , control , control , control , control , control , control , control , control , control , control , control , control , control , control , control , control , control , intervention , intervention , intervention , intervention , intervention , intervention , intervention , intervention , intervention , intervention , intervention , intervention , intervention , intervention , intervention , intervention , intervention , intervention , intervention , intervention , intervention , intervention , intervention , intervention , intervention , intervention , intervention , intervention , intervention , intervention , intervention , intervention , intervention , intervention , intervention , intervention , intervention , intervention , intervention , intervention , intervention , intervention , intervention , intervention , intervention , intervention , intervention , intervention , intervention , intervention , 0.140014495095436 , -0.603264257828561 , 0.0259401543141866 , -0.0852055700449947, 0.099513055010307 , 0.729025628445766 , -1.26201650657066 , -0.553406318044623 , 1.53888476761583 , -0.837121166903931 , -1.12582174847459 , 0.465403152562641 , -1.69883044460014 , -0.0577227346161589, -2.28759753314249 , 0.953465720833022 , 0.605367874520214 , -0.610333265992658 , 0.159213751222025 , -1.32872840134295 , -0.647464973099388 , -0.689162713387278 , -1.95878540444482 , -0.832485639815889 , -1.09853170432984 , -0.339346846878732 , -0.937216061721603 , 1.52103070536117 , -0.940670334021892 , 1.56782582412339 , 1.07291048015446 , 0.946120881639542 , -0.918630174547876 , 0.8484779437132 , 1.27562588837349 , -0.606901670990499 , 0.376014208726876 , -0.523061028758118 , -0.190309939192552 , -1.03037449560592 , 0.47271819727082 , -1.88514053283317 , 0.680256356852126 , -0.280685629528641 , -0.641235650826893 , 0.750793206635928 , 2.01498431264312 , -0.0233684769078529, -2.34289836355237 , -0.231857685944149 , -0.74842770583805 , 0.869389552300488 , 0.929658723295146 , -0.384220165218906 , -2.05985608881811 , 0.158087251287182 , -2.02081455279106 , 0.0168933989645213 , -0.0304165462555257, 0.410581005179482 , 0.460468038210027 , -1.22172872757925 , 1.09348116705309 , 0.942028704752887 , -0.456105069043743 , 0.491666044534451 , 0.397548085840385 , -0.653191922298145 , 0.0994840961310509 , 0.555674863116685 , -0.0296288633117054, 0.841455655074491 , -0.408989594912805 , 2.06962487031146 , -0.10372214001611 , -1.1314218862655 , -2.03927101029244 , -0.23126389689051 , 0.62543829643096 , 1.21758913553798 , -0.483226258694844 , 0.37973821290895 , 0.301828163487001 , -0.279261723925564 , -0.840158614474014 , -0.364126568371312 , -0.285246969440653 , -0.757055121516856 , 0.349468304679003 , 0.988940548862726 , -1.42544957294574 , 0.430945685174423 , -0.394031173547399 , -0.160674473978651 , -0.213812352758383 , 0.275570269489719 , 0.140964178469818 , 1.2869517728888 , 1.30727235667527 , 0.00449954679333018 | 0.2866924 |
| 74 | 50 | 0.5 | 0 | 1 | control , control , control , control , control , control , control , control , control , control , control , control , control , control , control , control , control , control , control , control , control , control , control , control , control , control , control , control , control , control , control , control , control , control , control , control , control , control , control , control , control , control , control , control , control , control , control , control , control , control , intervention , intervention , intervention , intervention , intervention , intervention , intervention , intervention , intervention , intervention , intervention , intervention , intervention , intervention , intervention , intervention , intervention , intervention , intervention , intervention , intervention , intervention , intervention , intervention , intervention , intervention , intervention , intervention , intervention , intervention , intervention , intervention , intervention , intervention , intervention , intervention , intervention , intervention , intervention , intervention , intervention , intervention , intervention , intervention , intervention , intervention , intervention , intervention , intervention , intervention , -1.36928186242991 , 0.31390990465456 , -0.906162049425246 , 0.298059635465668 , -0.000880519589677188, 1.27258884738631 , 0.0316728368037707 , -0.387063113542767 , -0.951835757750745 , -1.56083881970682 , -1.90123748728115 , 0.814813728737904 , -0.163669332874375 , -0.217915129863466 , -1.98971157600292 , 0.788069709685735 , 0.0610273461080678 , 0.0277243761061086 , 0.601351041322481 , -1.19042216261697 , 0.905883661821505 , -0.0666629738881246 , -0.921488764806599 , 1.87035753903534 , -2.03960354559228 , -1.05447591899137 , 0.0143759848754594 , 2.03707188151412 , 0.527915477190792 , 0.678605345047979 , 0.410698223036075 , 1.98239421663795 , -0.781207515486985 , -0.81441060442754 , -1.55717372062027 , -0.672961826057322 , -1.95933206339633 , -0.423791042286835 , 1.46831398701858 , -1.03355908400462 , -0.0889050443720832 , -0.343446534674761 , -0.0810966994641381 , -1.15823056937668 , -1.18915926267032 , 1.63890680597479 , -1.58122205887422 , -0.943641510212777 , -0.253678679388669 , -0.266222781410186 , -0.804819670673165 , -0.571289786820104 , 1.38841786176106 , 0.504702309179461 , -0.474705132331492 , 0.838743693799855 , -0.87132908944931 , -0.0955524293987552 , 1.22101935247264 , 0.0119262693204008 , 0.141589580581188 , 0.514242560471477 , -1.31251879968649 , 0.302858715619509 , -0.115881174038276 , 0.304122714459519 , 1.55184462286592 , -0.242800868536575 , -0.435297327910036 , -2.25609797999304 , 1.25736220793506 , 2.50784615168658 , -0.0648783446538316 , -0.114777520983662 , 1.7570576659211 , -0.0552718084438292 , 0.00129632697429977 , -0.158145931372621 , -0.666042512415549 , 0.488932140637739 , 0.210439023575761 , 0.66404141110664 , 0.352654484582153 , -0.0422948457562836 , 2.97891920586255 , 0.365443779537618 , 0.509931955537077 , -0.0938851341161926 , 0.223286250910324 , 0.439013004004448 , -0.369662293045208 , 2.31418042559611 , 1.5895699988447 , 2.07818503325144 , 2.47961555562558 , 0.15822207886571 , 0.0969725163972073 , -0.881763401066697 , 0.0120531577869789 , 0.0919980423423813 | 0.0051855 |
| 75 | 20 | 0.0 | 0 | 1 | control , control , control , control , control , control , control , control , control , control , control , control , control , control , control , control , control , control , control , control , intervention , intervention , intervention , intervention , intervention , intervention , intervention , intervention , intervention , intervention , intervention , intervention , intervention , intervention , intervention , intervention , intervention , intervention , intervention , intervention , 0.409423416646471 , 0.61899347195679 , 0.181471647007058 , 0.0676758883283482, -0.364518546549811, -0.366505434998033, 0.821765357980423 , 0.479788624739146 , -1.38431292506407 , 1.05553328810862 , -0.997856660542466, -0.80410557831372 , 1.15151849593401 , 0.502843276887078 , -0.384208375464935, 0.911683477038207 , -0.534925550233388, 0.196096239926276 , 1.18812908998553 , -0.578751263122861, -0.157932674528097, -0.296156394607632, 1.00196208704058 , 0.0846276987986652, 0.277809507119024 , -0.362459346468917, -0.572778675262124, -1.28006281386976 , -0.364200616326148, -0.207800875914653, -0.523409621629104, 0.82283243309113 , -2.61059484075073 , -0.876040226842851, -0.374202477562043, 0.648376805224127 , -0.433716318367201, -0.265231055969097, -0.229417189409326, -0.553238160896073 | 0.0877916 |
| 75 | 20 | 0.5 | 0 | 1 | control , control , control , control , control , control , control , control , control , control , control , control , control , control , control , control , control , control , control , control , intervention , intervention , intervention , intervention , intervention , intervention , intervention , intervention , intervention , intervention , intervention , intervention , intervention , intervention , intervention , intervention , intervention , intervention , intervention , intervention , 0.304013976982797 , -2.04849970887527 , 0.476990099798149 , -0.875997434067233, 1.12919111199797 , 0.388754489122195 , 1.10332642707916 , 1.06397807457793 , -1.2167087207174 , 1.69139294947693 , -1.08163200625786 , -0.27970032142734 , 1.78531735239196 , 0.401800838000176 , 1.3587350822569 , 0.20698218961506 , -1.0544049840116 , 0.447234329980522 , 1.98344000953487 , 0.148140456312904 , 0.534031709845582 , 0.827263891301212 , 1.11572587847812 , -1.47178445780502 , -0.380525575251683, 0.219385330410405 , -0.359600478809825, -0.65684502111726 , -0.930282793794893, 0.592647883913356 , 0.642897489218128 , 1.1386768032652 , 1.94015934940376 , -0.157152330198532, 1.03567988525286 , 0.580798707971016 , -2.1932292618948 , -1.18508435320085 , 0.0269849764110976, 0.610254776368801 | 0.5556925 |
| 75 | 50 | 0.0 | 0 | 1 | control , control , control , control , control , control , control , control , control , control , control , control , control , control , control , control , control , control , control , control , control , control , control , control , control , control , control , control , control , control , control , control , control , control , control , control , control , control , control , control , control , control , control , control , control , control , control , control , control , control , intervention , intervention , intervention , intervention , intervention , intervention , intervention , intervention , intervention , intervention , intervention , intervention , intervention , intervention , intervention , intervention , intervention , intervention , intervention , intervention , intervention , intervention , intervention , intervention , intervention , intervention , intervention , intervention , intervention , intervention , intervention , intervention , intervention , intervention , intervention , intervention , intervention , intervention , intervention , intervention , intervention , intervention , intervention , intervention , intervention , intervention , intervention , intervention , intervention , intervention , -0.710899513704785 , 1.81825290832764 , -1.24609142914767 , 0.227275156313504 , 0.609756912517416 , -2.52429103886591 , 3.02576694079466 , -1.07189948671443 , 0.443562584262341 , -0.067285587071596 , -0.191065570833241 , -0.164233177174123 , 0.95380207143626 , 0.0842248407755387 , -2.17917006741565 , -0.905985175506677 , -1.88423434669477 , 0.633542260426815 , 0.103944035174691 , 0.676695395775382 , 1.40147875854199 , 0.334668445734585 , -0.121533232794047 , 0.193709464572234 , 0.369972713794792 , -0.239793022497045 , 1.35329040897402 , -0.17410768117438 , 0.267256223986225 , 1.22315445433754 , -0.209736792611339 , 0.41370658376171 , -1.75695480091105 , 0.677425819939333 , 1.14049789667581 , -0.497614313187253 , 1.70405834683864 , -0.956651344156393 , -1.71451638754458 , 0.722276914581936 , -2.50357719595787 , 0.537722094427924 , 0.367378520388043 , -0.473863496205789 , 0.238654444666472 , -0.488855724651328 , 0.343381367666011 , 0.430872414439399 , 0.417870033811964 , 0.993038683011765 , 0.781771720171811 , 1.88201683954055 , 0.403635082227463 , 0.230481743672941 , -0.267952913377198 , 1.33061289963887 , 0.676133338692405 , -0.299469887825619 , -1.61047688973669 , 0.806031093058126 , 0.72205611751819 , 1.42043894572643 , -0.813066718006934 , -0.864093352221073 , -0.307826137662871 , 0.270402999819381 , -1.09046555960922 , -0.111136905085893 , -0.785239931140448 , 0.975329314543944 , 0.00323865172436779, 0.80579768658812 , 0.977880167209589 , 0.325894408615821 , -0.105137671152201 , -0.7848596067852 , 0.316396621815784 , 0.696378281341124 , 0.571373656168604 , 0.713536199278901 , 0.875501750328233 , 0.0199506281179364 , 0.361190421342866 , -1.22252016770931 , 1.84448049530192 , 0.517045474881859 , 0.260224679762636 , 0.608319414717482 , -0.227353433288431 , 0.216288788509302 , -1.35585984566193 , 0.860604336498033 , 0.0248821659641249 , -1.19891872987636 , 0.987937857098399 , 0.799272563207427 , 1.06671260081959 , 0.445440526671082 , -0.180328357338995 , -0.086405519046993 | 0.3118484 |
| 75 | 50 | 0.5 | 0 | 1 | control , control , control , control , control , control , control , control , control , control , control , control , control , control , control , control , control , control , control , control , control , control , control , control , control , control , control , control , control , control , control , control , control , control , control , control , control , control , control , control , control , control , control , control , control , control , control , control , control , control , intervention , intervention , intervention , intervention , intervention , intervention , intervention , intervention , intervention , intervention , intervention , intervention , intervention , intervention , intervention , intervention , intervention , intervention , intervention , intervention , intervention , intervention , intervention , intervention , intervention , intervention , intervention , intervention , intervention , intervention , intervention , intervention , intervention , intervention , intervention , intervention , intervention , intervention , intervention , intervention , intervention , intervention , intervention , intervention , intervention , intervention , intervention , intervention , intervention , intervention , -0.948877562479535 , 0.888789698437166 , 2.0518465140167 , -0.859779948180406 , -0.123869468870875 , 1.03807643585114 , 1.24494159987887 , -0.338395192270453 , 0.167509388904074 , 0.454374787138898 , 0.140806348902132 , -0.854652953761489 , -1.43132982581809 , -0.672287922972762 , 1.2853914952921 , 0.187367977841892 , -0.00530161890026942, -0.602788484275413 , -0.00805085357390158, 1.12377854041632 , 0.226938610191404 , 2.03470452275489 , 0.491600428831644 , 0.949929685648064 , 0.322964187109798 , 0.736448730666659 , -1.71881177159758 , 0.717393513760185 , 0.385058553144334 , 0.0104823546003563 , 0.19659112404079 , 0.897295671008549 , -0.572810037229227 , -0.239666503280384 , 0.462770603697061 , 0.0182372237364961 , 0.151234463939973 , 0.186219636643143 , 0.46298621310141 , 0.317128048062866 , -2.48814662491023 , 0.243489065422424 , 0.39702091235523 , 0.878855866348702 , 1.74033952768022 , 0.476124192963373 , -0.725081345792248 , 1.19724065397072 , 0.931844753168423 , 0.946371739176697 , 1.73494923339249 , -0.0374411930571021 , 0.645390010474094 , 0.451019881764527 , 1.07317466056439 , 0.510389233889049 , 0.596867157694676 , 0.180057755230143 , -0.211505415879745 , 0.779370204525871 , 1.36540632929534 , -1.59949001813802 , 0.649840327754328 , -0.116176072076889 , -0.550465128189456 , -0.445592685129951 , -0.130727854027251 , 1.06263448553926 , 0.650854248610739 , 0.259206777589197 , 0.923426785386346 , 1.36175794748153 , 1.79210922406279 , 0.304350355720816 , 0.788019684984537 , 1.83673401703329 , 0.207170863998823 , 2.11374140897523 , -0.900742217141902 , 0.962747783043 , -0.0769412539284271 , 0.241761649567223 , -1.42837298688396 , 1.24315078048365 , 1.62194158936281 , 1.2064650499137 , 0.0614107323569709 , 0.68321430811903 , 1.35843349866116 , 1.74320067777265 , -0.724030230029959 , 0.210581745708825 , -0.517953265532173 , -0.761188224528222 , -1.45299035775011 , 0.569061155016105 , 0.381262238291478 , -0.635645541642794 , -1.89422114732047 , 0.421007583203876 | 0.5051716 |
| 76 | 20 | 0.0 | 0 | 1 | control , control , control , control , control , control , control , control , control , control , control , control , control , control , control , control , control , control , control , control , intervention , intervention , intervention , intervention , intervention , intervention , intervention , intervention , intervention , intervention , intervention , intervention , intervention , intervention , intervention , intervention , intervention , intervention , intervention , intervention , -0.417235724078273 , -1.26903687002733 , -0.399606953875433 , -1.32404326779011 , 0.610661636852212 , -0.40940015246921 , -1.0199040396457 , -0.334837646004795 , 0.00201723538506166, -0.245495393824784 , -1.19885988412957 , -0.239106848571009 , -0.977057793425744 , -0.171392655833294 , 0.2865125895891 , -0.439732537237117 , -1.02839349673673 , 1.42585241421727 , 2.36829390835796 , 0.623288621283633 , -0.932908454264667 , 0.913238081389167 , -0.242715046122675 , -1.76451197281368 , -0.727864548302507 , 0.20681625001266 , -0.0939877999818922, -1.12589113755267 , 1.79172805138224 , 1.06154488395951 , -1.24576908775243 , -1.5812825958948 , -1.48998248297305 , -0.0626413934209278, -0.192716900703031 , 0.981203440086449 , -1.82042142838171 , -0.334475565129691 , -1.3936125453225 , -2.06483707232587 | 0.3597054 |
| 76 | 20 | 0.5 | 0 | 1 | control , control , control , control , control , control , control , control , control , control , control , control , control , control , control , control , control , control , control , control , intervention , intervention , intervention , intervention , intervention , intervention , intervention , intervention , intervention , intervention , intervention , intervention , intervention , intervention , intervention , intervention , intervention , intervention , intervention , intervention , -0.731877721818694 , 0.176706793992105 , 0.0586547834167225 , -0.151153392994832 , 0.328389241406636 , 0.759107712927923 , 0.117196153216793 , 0.299827945499862 , 0.64090964321215 , 0.000281706787153275, 1.01073991428073 , 0.632259546186038 , 1.69533556926971 , 1.85112211394644 , -1.34535896661815 , -0.138466737323088 , -0.0902751633691526 , -0.397186975134387 , -1.07450311039087 , 0.862674111959461 , 2.44596442862733 , 0.0237915293206376 , -0.663471399911758 , 1.6143178379453 , 1.82678053098516 , 0.492356429277622 , -0.16454740851825 , -0.180457330422394 , -0.901195746474116 , 0.935359201700944 , -0.664010369871532 , 1.30592710417522 , 1.09427590988227 , 1.25554149883101 , -0.0453852338738244 , 1.81649850398261 , -0.668856804371421 , -0.220749166561963 , -0.704346771908829 , 1.25645003255203 | 0.3674902 |
| 76 | 50 | 0.0 | 0 | 1 | control , control , control , control , control , control , control , control , control , control , control , control , control , control , control , control , control , control , control , control , control , control , control , control , control , control , control , control , control , control , control , control , control , control , control , control , control , control , control , control , control , control , control , control , control , control , control , control , control , control , intervention , intervention , intervention , intervention , intervention , intervention , intervention , intervention , intervention , intervention , intervention , intervention , intervention , intervention , intervention , intervention , intervention , intervention , intervention , intervention , intervention , intervention , intervention , intervention , intervention , intervention , intervention , intervention , intervention , intervention , intervention , intervention , intervention , intervention , intervention , intervention , intervention , intervention , intervention , intervention , intervention , intervention , intervention , intervention , intervention , intervention , intervention , intervention , intervention , intervention , -0.248001049521906 , 1.72433374933319 , -1.24948582596455 , -1.60108981423698 , -0.265569939434353 , 0.380291289266578 , -0.720680946351901 , 1.15760341304778 , -1.48533105843361 , 0.61264347077727 , -0.569442132263298 , -0.101111841489724 , -1.68175563070506 , -0.596376070587411 , 0.322466379047804 , 0.0843844977464385 , -1.44928064399269 , 0.126611523218589 , 0.426504564536128 , -0.0661965190916877, -0.45120656380056 , 0.383130619832178 , 0.109218402303808 , 0.535116697307001 , 0.960984505972354 , 0.650308897151497 , -1.74523054613593 , 0.967404270356707 , -0.331126087929758 , 0.0817253782566551 , -1.08728758383527 , 0.321842620499929 , -1.06462460484955 , -0.523267547180273 , 1.29049316406836 , 0.923047838667015 , 0.143504669850116 , -0.387209442619105 , 0.353783930297424 , 0.0985068311060514 , -0.694932053034971 , 0.463805212644624 , 0.0978897655783937 , 1.50333822070152 , -0.360675172508785 , -0.292532825892526 , 0.84857013345186 , 0.645701063413499 , -1.86017560823199 , 0.798525128968165 , 0.749833550466292 , -1.1642091062208 , 0.722940140298736 , -0.255798553449718 , -1.06808551220363 , 0.780122574769444 , 0.267097502499619 , -0.382034284628373 , -0.538577941027854 , 1.13685039244112 , 0.325688582942423 , 0.822766769895649 , 0.0228213290505165 , 0.62300721883199 , -0.210295707125478 , 1.16625868397957 , -0.641125068449701 , -0.410434113805095 , 0.65381928561948 , 0.114054008295773 , -0.164346805734665 , -1.30069980175262 , -1.10911870805881 , -1.20103939581246 , -1.44790650408984 , -1.6290401320637 , -1.18243944631043 , 1.20572337266893 , -1.93870836713788 , 0.77747118748234 , 1.26032280223763 , -1.01265458767236 , 1.3576710748384 , 0.535779295738321 , 1.29458506508263 , -2.38073194795645 , 0.288326492667238 , -1.39896400100298 , -0.168935364674904 , 0.738446648477545 , 0.158922843174213 , 0.965468397801064 , 0.429469519650126 , -3.03119037083883 , -0.223726339816482 , 0.445596333756368 , -0.616422174045663 , 1.9210964163009 , 1.14138952476273 , -2.87353468563903 | 0.7228269 |
| 76 | 50 | 0.5 | 0 | 1 | control , control , control , control , control , control , control , control , control , control , control , control , control , control , control , control , control , control , control , control , control , control , control , control , control , control , control , control , control , control , control , control , control , control , control , control , control , control , control , control , control , control , control , control , control , control , control , control , control , control , intervention , intervention , intervention , intervention , intervention , intervention , intervention , intervention , intervention , intervention , intervention , intervention , intervention , intervention , intervention , intervention , intervention , intervention , intervention , intervention , intervention , intervention , intervention , intervention , intervention , intervention , intervention , intervention , intervention , intervention , intervention , intervention , intervention , intervention , intervention , intervention , intervention , intervention , intervention , intervention , intervention , intervention , intervention , intervention , intervention , intervention , intervention , intervention , intervention , intervention , -0.533436301714532 , 0.180220765289114 , 0.537261020297494 , 0.00915569611524855, -0.277149153835974 , 0.929635081963021 , 1.25693239083237 , -1.69226341360704 , -1.00307164629093 , 1.23924168528275 , -2.96128969140827 , 0.47275998768075 , 2.56384134982646 , 0.308107908680616 , -0.209090587104143 , 1.36828507933149 , 0.150756644511774 , -0.239708337583806 , -0.381653994471131 , 0.578848676051319 , -0.596943197951324 , -0.868623202537422 , -0.866511622475327 , 0.112906636362103 , 0.626132677370316 , -2.29787190630208 , 0.468479469322624 , 0.381319704721406 , 1.19847558834749 , -1.02858376289185 , -1.41792784103405 , -1.14491975119279 , 0.61864002252431 , 0.928231848386182 , -0.853615660605395 , 1.88224570853114 , 0.241427423695569 , 0.616597828877677 , -0.217256954533183 , 1.39084301410782 , 0.537764548669397 , -0.803862166903172 , 0.255337132744599 , 0.0516325682625843 , -0.494066458814013 , 0.815971866514926 , 0.12867157701 , 0.915453309848235 , 0.293450156662132 , -0.975520055997559 , 0.735990911745986 , 0.261165298659563 , -0.718766120428736 , -0.0363374621879305, -0.893385480648758 , -0.566904087352808 , 0.00017942989348102, 1.90381454071086 , 0.765725898671237 , 2.43246268294167 , -0.531333408002859 , 0.795721687744685 , 0.274272559768038 , -0.270153375614551 , 0.369841032141237 , 0.251414370285375 , 1.71329952075976 , 0.289086894153324 , -1.83846464371946 , 0.948145906252996 , 0.39094248916587 , 0.540110863031242 , -0.993174130009789 , -2.03831691756941 , 0.306277317645229 , 0.224344247688827 , 1.28708399173165 , 1.20428172417552 , -0.57050901137265 , 1.44935839529037 , 0.302575962452866 , -0.10594280970576 , 0.324518269075434 , 1.59536946167417 , 0.127011687560353 , -0.611976531133972 , 1.52841931981183 , -0.349981757430436 , 1.78739410325318 , -1.04058747714416 , 0.183938566562247 , 0.386200054477809 , 1.81306383136649 , -1.16022085611311 , 2.39648175450732 , -0.313494842113386 , -1.51849272033586 , 0.867396216284869 , 0.197493350771817 , 0.00344806604900572 | 0.2504698 |
| 77 | 20 | 0.0 | 0 | 1 | control , control , control , control , control , control , control , control , control , control , control , control , control , control , control , control , control , control , control , control , intervention , intervention , intervention , intervention , intervention , intervention , intervention , intervention , intervention , intervention , intervention , intervention , intervention , intervention , intervention , intervention , intervention , intervention , intervention , intervention , -0.501635843307875 , -0.117386922383445 , 1.15155379506143 , -0.528560428316622 , -1.25638783453328 , -1.16606207021129 , -1.89990998107962 , 0.117124549564038 , 0.590837072396949 , 1.02193032226206 , 0.861248991770625 , -1.85528754876233 , -0.730500983412631 , -0.469135431459767 , -0.753926404951986 , 0.0478475587086548 , -0.309341173198898 , -0.240948717325973 , 0.772879327977986 , 1.47492124776731 , 2.34544892598712 , -0.0297275263976809, 0.152355444838611 , 0.843069202250801 , -0.526351529392151 , -1.02194337764535 , -0.847520100495026 , -0.629833796742675 , 0.944690293557444 , 0.0188435809546527 , -0.545730772270296 , 0.555194610154423 , 0.310664078291479 , -1.01884448842156 , 1.6126015073181 , -0.180631128421811 , 0.869016371440205 , 1.145691268672 , 1.1613526768124 , -0.38512752377276 | 0.1598964 |
| 77 | 20 | 0.5 | 0 | 1 | control , control , control , control , control , control , control , control , control , control , control , control , control , control , control , control , control , control , control , control , intervention , intervention , intervention , intervention , intervention , intervention , intervention , intervention , intervention , intervention , intervention , intervention , intervention , intervention , intervention , intervention , intervention , intervention , intervention , intervention , -0.0392430873611863, -1.10031680670337 , -1.62327175319233 , -1.31329670438492 , 1.58691371191519 , 0.862976392123656 , -0.609636035294622 , -1.08707576469072 , -0.24692240790816 , -1.79584640394043 , -0.817628879497039 , -2.27397975197319 , -1.86731294761462 , -0.460583212779102 , 0.32828798217946 , -1.29205485266741 , 0.0788545326915412 , -1.7014361508224 , -0.575340810810193 , 0.190556154088476 , 1.58691552666869 , 0.972182800742008 , 0.428419202098696 , -0.43710578546548 , -2.11993665926433 , 0.46633780606643 , 1.7040545467823 , 0.535939892258769 , 1.16630147661854 , 0.603743637255498 , 0.16176535014266 , 0.787795599969739 , 2.35177494104597 , 0.43940462875987 , -0.979520318728052 , 0.342184706928844 , -1.44243692781994 , -0.29365099418802 , 0.833844983066443 , 0.101275055560574 | 0.0025435 |
| 77 | 50 | 0.0 | 0 | 1 | control , control , control , control , control , control , control , control , control , control , control , control , control , control , control , control , control , control , control , control , control , control , control , control , control , control , control , control , control , control , control , control , control , control , control , control , control , control , control , control , control , control , control , control , control , control , control , control , control , control , intervention , intervention , intervention , intervention , intervention , intervention , intervention , intervention , intervention , intervention , intervention , intervention , intervention , intervention , intervention , intervention , intervention , intervention , intervention , intervention , intervention , intervention , intervention , intervention , intervention , intervention , intervention , intervention , intervention , intervention , intervention , intervention , intervention , intervention , intervention , intervention , intervention , intervention , intervention , intervention , intervention , intervention , intervention , intervention , intervention , intervention , intervention , intervention , intervention , intervention , -0.459561633793563 , 0.722921018132935 , 0.675267276875055 , -0.151644722345682 , -0.522381563281568 , -0.158018865228903 , 1.07134030878956 , -0.970630256736965 , -0.301895116365658 , 0.0119499713299164 , 0.422920906331939 , 1.23919408214792 , -0.183997500948422 , -1.08285402773974 , 1.18878404662785 , 0.336559667801268 , -1.57483216068227 , -1.15466365834047 , 1.20172448615391 , 0.683030361937213 , 0.937982665901217 , 0.213167082171861 , -1.48363197343917 , 0.0455703044202144 , -1.1936513870551 , 0.722072385316838 , 0.595161762559505 , -0.0856937352282399 , -0.138583154469627 , 1.44320610401369 , -0.302252241033865 , -1.84605919395314 , 0.283495451253089 , 0.924388793396066 , 0.054467388281637 , -0.846417896443423 , -0.599026152569468 , 0.571562103121349 , 0.270532505832162 , -1.01549619404368 , -0.294857056488579 , -1.30337505182882 , 0.498274225101416 , -2.3590328123925 , 0.196743244810924 , 0.309227761128537 , -0.268622424488168 , -0.557500455811625 , -0.414358513068907 , 1.04847040239802 , 0.668248085120757 , 0.415309541054935 , 2.42068166172578 , 1.79837283499437 , -0.00845618867704752, 0.287796739046989 , -1.70579169292343 , -0.278308309935226 , 0.743491644018081 , 2.59651995722683 , 2.95178787978537 , -0.0226669542948062 , 1.80040953883981 , 0.358505690763969 , -0.254130319138787 , 1.94115101260534 , 0.985710128880303 , 0.907432388498183 , -0.757176126655282 , 1.4993988336445 , -0.809744994684876 , 0.152321312630337 , -0.619238625292389 , -0.0163699874767147 , -1.73227445596481 , 0.997646947352512 , 0.364803471844169 , -1.37657543907706 , -0.601202913310697 , 1.37738884468175 , 1.36405148452976 , 0.175447047753539 , 0.339678225663596 , -0.553309469970725 , 0.292148304865288 , -0.71340062861051 , -0.426028299775392 , -0.200516209447211 , 0.147030599917109 , 0.556668422748405 , -0.71432688276685 , -0.648807229992865 , 0.260543431980338 , 2.07525321397842 , 1.15906161736848 , -0.748385218970411 , 0.314945598728068 , -0.0261228360752702 , -0.759733034907016 , -0.122265463849103 | 0.0494564 |
| 77 | 50 | 0.5 | 0 | 1 | control , control , control , control , control , control , control , control , control , control , control , control , control , control , control , control , control , control , control , control , control , control , control , control , control , control , control , control , control , control , control , control , control , control , control , control , control , control , control , control , control , control , control , control , control , control , control , control , control , control , intervention , intervention , intervention , intervention , intervention , intervention , intervention , intervention , intervention , intervention , intervention , intervention , intervention , intervention , intervention , intervention , intervention , intervention , intervention , intervention , intervention , intervention , intervention , intervention , intervention , intervention , intervention , intervention , intervention , intervention , intervention , intervention , intervention , intervention , intervention , intervention , intervention , intervention , intervention , intervention , intervention , intervention , intervention , intervention , intervention , intervention , intervention , intervention , intervention , intervention , 0.568946561925148 , 0.25574396438699 , -0.229310575897834 , -0.829222464999255 , 0.00807816418204238, 0.474069405307814 , 0.347928900419209 , -0.619279034450449 , 0.320900047700862 , -0.757046488628778 , -0.932975666315555 , -0.294125817579633 , 1.05198389013846 , 0.554451181309654 , 1.18113117661294 , 1.02170609933241 , -0.455027498473096 , -1.46421361571649 , -0.975984073748145 , 0.347806670636463 , -0.0193715483889763, -1.12183704997275 , 0.366096571739687 , -0.857000692708575 , -0.192057968425455 , 1.13011236382113 , 0.838290319703207 , 1.28558075905704 , -1.24813204399848 , 0.202374408204575 , -0.150555198846142 , 1.22780685159518 , -1.1043749222247 , 1.56752055968476 , -1.32103197013461 , 0.548083124537814 , 0.41786631312187 , -0.55546670476502 , -1.68034661946584 , -1.62935288570888 , -0.740497087033906 , -0.381870021315746 , -0.0732488420534467, 0.260100355022172 , 0.602975164525125 , -0.685547244313666 , 0.36080741832008 , -1.5696489859521 , 0.273043393262101 , -0.752983327879916 , -0.398116137187221 , -0.287021986249238 , 0.753741659626635 , 0.917432626738182 , -2.86027073375739 , 0.30460760355375 , 0.375151165372425 , 0.549411576975072 , 1.91531380065468 , 0.938496099765175 , -2.09966683339147 , 0.863565807649819 , 1.72162912984047 , 0.793429386244418 , 1.02534730316536 , -1.59171174195884 , 2.56053504931371 , 1.49123108013065 , 1.25411832475539 , -0.237026255828233 , 1.55863264250361 , 0.543864305074123 , 1.02903188912254 , 0.185328056071102 , 1.28973419732752 , 0.911681191255263 , 0.147182650204063 , 0.61476496404634 , 1.31453572514229 , -0.310138294747282 , 1.4542541633889 , -0.906932374024261 , 0.684062727593535 , -0.201482753792226 , -0.474452132305023 , 2.67478253071484 , -0.0307750445299156, 1.50553312668159 , 2.43720486120387 , 0.836308759437467 , 2.89022064067607 , -0.561844817938229 , 0.540873352964803 , 0.68627403267755 , 0.879490968820172 , 0.668640965514453 , 1.96116712300326 , -0.629512893545398 , -0.314011671469533 , 1.91381532754638 | 0.0004633 |
| 78 | 20 | 0.0 | 0 | 1 | control , control , control , control , control , control , control , control , control , control , control , control , control , control , control , control , control , control , control , control , intervention , intervention , intervention , intervention , intervention , intervention , intervention , intervention , intervention , intervention , intervention , intervention , intervention , intervention , intervention , intervention , intervention , intervention , intervention , intervention , 0.502501927204684 , 0.64120515109995 , 0.892353533551851 , -0.655245151762172 , -1.04704207426796 , -0.171720220183631 , -0.0923119423215298, -0.384104835551933 , -1.15735190032846 , 0.0822216579217908 , 1.00468955497686 , -0.678274094987196 , 1.67336329789641 , -2.3323652342813 , -0.0749932590541984, -0.417589189592703 , -0.576019750205602 , -1.20669564925668 , -0.289013296275554 , 0.922618546624126 , -0.782739376617527 , -0.401784371021835 , 0.794479358082449 , 0.151018819649662 , -0.180551332163354 , 0.794805366305866 , -0.114769294891619 , -1.18087319020719 , -0.393588635848254 , -0.711092800744167 , -0.415202190176379 , 0.296562739651305 , 0.0299097190718766 , -0.812626513325086 , 0.229972292783949 , -2.11814810212288 , 0.552322836657722 , 0.064993497969636 , 0.543493539246962 , 0.839668681165298 | 0.9185772 |
| 78 | 20 | 0.5 | 0 | 1 | control , control , control , control , control , control , control , control , control , control , control , control , control , control , control , control , control , control , control , control , intervention , intervention , intervention , intervention , intervention , intervention , intervention , intervention , intervention , intervention , intervention , intervention , intervention , intervention , intervention , intervention , intervention , intervention , intervention , intervention , -1.68298155986089 , 0.320807642718567 , 0.938154544566232 , 0.708646761089276 , 2.10427023150672 , -0.959018601053118 , -1.17429017465272 , -1.66723590288843 , 0.835822582967593 , 1.44093639359408 , -0.976896627042054 , 1.08640675654955 , -0.127954277709096 , -0.975281901551168 , -0.0398733344188775, 0.295771341225408 , -0.337920752389301 , 1.86479284006348 , 0.648638075754782 , -0.0932224389617424, 2.49663788859683 , 0.847270789363213 , -1.53098168402622 , 1.00977708707454 , 0.658316947247817 , 1.35372325898461 , -0.36016700740477 , 1.23593461695522 , 1.0546890817005 , -0.540188890223784 , -0.563201386747001 , 0.252654040430978 , 0.983397726238361 , -0.319581175016115 , -0.210508851083957 , 0.893056541121024 , 1.50344044525559 , 1.78115328335252 , 1.3740770391907 , -0.770945983253375 | 0.1929008 |
| 78 | 50 | 0.0 | 0 | 1 | control , control , control , control , control , control , control , control , control , control , control , control , control , control , control , control , control , control , control , control , control , control , control , control , control , control , control , control , control , control , control , control , control , control , control , control , control , control , control , control , control , control , control , control , control , control , control , control , control , control , intervention , intervention , intervention , intervention , intervention , intervention , intervention , intervention , intervention , intervention , intervention , intervention , intervention , intervention , intervention , intervention , intervention , intervention , intervention , intervention , intervention , intervention , intervention , intervention , intervention , intervention , intervention , intervention , intervention , intervention , intervention , intervention , intervention , intervention , intervention , intervention , intervention , intervention , intervention , intervention , intervention , intervention , intervention , intervention , intervention , intervention , intervention , intervention , intervention , intervention , -1.5039527866843 , -0.872298528210736 , 1.80956265943113 , -0.480462901413619 , 0.267973807737513 , 1.06345753537181 , 0.280690171366894 , -0.0121946194239776, -0.513745500925585 , -1.53024232560222 , 1.27288076494194 , 0.679309027223765 , -1.07668768356309 , -0.485056690598939 , 0.596305677545011 , 1.13365195739891 , -0.642251121933339 , 0.0671233491570145 , -0.881576512646726 , -1.54504555169485 , 0.982734657310611 , -0.925141185881259 , 0.767466850317052 , 0.964881312851877 , 0.733465475468534 , 1.26045524227349 , 3.48612992699925 , -1.00637579532467 , -0.822372030736347 , -0.779714538217331 , -1.55116753718381 , 0.498859147138239 , -0.655357625848254 , -0.188464797620343 , -0.194792255910701 , 0.445161358701874 , -0.0179820826501126, 0.447861198871351 , 0.336946106706474 , 1.01328393967594 , -1.97317420985492 , 0.266236555835062 , -0.110674265787668 , -0.731306070570221 , -0.427248778487395 , -0.307131382199654 , 0.671350401518004 , 0.13976612237756 , -0.78313860558223 , -0.832551929621884 , 0.542562159517002 , -1.91379638456885 , 0.396105638546694 , -1.66377970355659 , 1.76011470162417 , -0.587745269818124 , 1.11919039586422 , 0.944207329651106 , -1.79003331259287 , 1.16858224940841 , 1.64390357901418 , 0.468316709516281 , -0.553370203137933 , 0.35424089200507 , -0.328097439967515 , -1.85028382081998 , 0.261376147773712 , -0.223550978609594 , 0.58968549368602 , 0.525379480908073 , 0.64189977376082 , 1.31405539584264 , 0.284931953631578 , 0.710015142352322 , 1.39800774638634 , -0.507731427194539 , -1.26773561716133 , -0.444240262572877 , -1.12432534376651 , 1.47038962771268 , 0.620054985138815 , 0.814710582046932 , 1.39906245062906 , -1.74505975935269 , -0.401524234684354 , -0.733447803783401 , 0.238959778479692 , -1.81547486815355 , 0.787358080521124 , -1.23983426820964 , 1.2088982422234 , -0.0302367315722658, 1.01533904465027 , 0.5364318351021 , 0.686947115287602 , -1.49394999432299 , 0.427772525137627 , -0.189575127190034 , 0.247370596597799 , 1.5583717714411 | 0.5068558 |
| 78 | 50 | 0.5 | 0 | 1 | control , control , control , control , control , control , control , control , control , control , control , control , control , control , control , control , control , control , control , control , control , control , control , control , control , control , control , control , control , control , control , control , control , control , control , control , control , control , control , control , control , control , control , control , control , control , control , control , control , control , intervention , intervention , intervention , intervention , intervention , intervention , intervention , intervention , intervention , intervention , intervention , intervention , intervention , intervention , intervention , intervention , intervention , intervention , intervention , intervention , intervention , intervention , intervention , intervention , intervention , intervention , intervention , intervention , intervention , intervention , intervention , intervention , intervention , intervention , intervention , intervention , intervention , intervention , intervention , intervention , intervention , intervention , intervention , intervention , intervention , intervention , intervention , intervention , intervention , intervention , -0.0885749273312731, 1.0324556639897 , -1.36138053455659 , -0.332735253425267 , -0.35467986184303 , -2.39587839244591 , -0.149729276863706 , -0.220497554205917 , -0.470688015433739 , 0.252961734683809 , 0.982746468284153 , 0.256118013860842 , 0.4282914816666 , -0.94560932158064 , 0.483536824080485 , -0.0902993114302745, -1.89719734998497 , -1.09722190838022 , 0.722200537983067 , -0.757955982859667 , -1.00277712048432 , 0.32850628503845 , -0.717750247456977 , -0.260149335299344 , 1.83026952489908 , 0.445967119308723 , -0.563780553345088 , -0.759028976831647 , -1.00910666464367 , 0.549915098895844 , -0.373734030294539 , -0.96721420087277 , -0.237980701418431 , 0.938770776494491 , 0.803559807841156 , -0.907462681878589 , -0.341293935770642 , -0.167235156606485 , 0.298933996152289 , 0.324212352513709 , -0.577071015822441 , 0.827895358840607 , -0.244362275082703 , -2.04524489750655 , 0.201110936408052 , -0.763763172814348 , 1.26924007810129 , 0.213958786934248 , -0.620297794079137 , 0.31962337469347 , 0.945512491152547 , 0.319293122153492 , 1.34445645711309 , -0.708139971242527 , 0.552031030069541 , -0.575278617222701 , -0.852034426266014 , 0.648990684071273 , -1.48835569544267 , -0.432381904723992 , 0.538798785231911 , 1.34432946085547 , 1.2457105792727 , -0.453564513723804 , 1.7503031964582 , -0.894994478728122 , 1.33695458010956 , -0.320523722311112 , 0.574155711103226 , 0.259770011032626 , 1.13772780382005 , 1.82333607684587 , 1.02415192691272 , -0.387987310316736 , 1.15398253711771 , 0.835076053277133 , 0.85447838744682 , 2.22569419376382 , -0.171476679028375 , 1.1333626210088 , 1.45435583047081 , -1.00639119655944 , -0.386321327134586 , -1.93661275725384 , 0.352246066224551 , 1.12027221087106 , 0.0353237869039426 , -0.0105978105069331, 1.28152094800176 , 0.315525051494258 , 2.05489885651333 , 0.824670988222549 , 1.15501680379371 , 0.554971051453358 , 1.75537230271904 , 1.76229608261252 , 0.140735885322208 , 2.92012072595437 , -0.190672355004563 , 0.440335389369683 | 0.0001464 |
| 79 | 20 | 0.0 | 0 | 1 | control , control , control , control , control , control , control , control , control , control , control , control , control , control , control , control , control , control , control , control , intervention , intervention , intervention , intervention , intervention , intervention , intervention , intervention , intervention , intervention , intervention , intervention , intervention , intervention , intervention , intervention , intervention , intervention , intervention , intervention , -1.19198623595903 , 0.830303478670882 , 1.33238036441751 , 0.785794518795003 , 1.83848277103735 , -0.0643395325462448, -0.630735483891455 , 0.266322447932233 , 0.728435932200926 , -0.614150221634378 , -1.64348175827159 , -0.892475665713392 , 1.12368878591844 , 1.15316343892982 , 0.537327470598137 , -0.598557608565709 , -0.066406191152717 , 0.114510955064112 , 0.378642693357569 , 0.0957667144055095 , -0.485161457449716 , -0.0209633053700213, 0.442497047476319 , 0.104846878142473 , -0.737422245332009 , -1.23495571072955 , 1.11130839576288 , 0.512724989254413 , -1.35419850055568 , -0.0749677596365574, -0.855336211720078 , -0.665569007700941 , -0.655136963570753 , 0.755127083618917 , -0.14501214661407 , -1.09615777604763 , 0.420171833687693 , -1.08449246360134 , 2.03569713411788 , -0.574071759556471 | 0.2150590 |
| 79 | 20 | 0.5 | 0 | 1 | control , control , control , control , control , control , control , control , control , control , control , control , control , control , control , control , control , control , control , control , intervention , intervention , intervention , intervention , intervention , intervention , intervention , intervention , intervention , intervention , intervention , intervention , intervention , intervention , intervention , intervention , intervention , intervention , intervention , intervention , -1.64612895787022 , -1.27975316328652 , 0.279813624025597 , 0.925218093310601 , -0.551371490520612, -0.190818647908666, -1.06514056756149 , 1.53857930742428 , -0.363047624346215, 1.20324557335726 , 0.702350301871606 , 1.01172502495192 , 0.149122305369933 , -1.07699792026251 , 0.154000098568575 , -1.59428582161903 , 1.14043839887808 , -1.47099803546625 , -0.247690219018985, -0.216744652783244, 1.19744354202214 , 0.0561405833046499, -1.06121869944696 , 0.137422951970326 , 0.773532368156128 , 0.0964088266972589, 0.219076382809318 , 0.098186034281678 , -0.856431834841421, 1.48353786418437 , 1.2879192924794 , 0.90241786410904 , 0.26939576517721 , 1.30470352159901 , 1.84437241293729 , 2.60310265544865 , 0.256365532517956 , 1.81450273170543 , 1.57578615911492 , -0.129580210218057 | 0.0109869 |
| 79 | 50 | 0.0 | 0 | 1 | control , control , control , control , control , control , control , control , control , control , control , control , control , control , control , control , control , control , control , control , control , control , control , control , control , control , control , control , control , control , control , control , control , control , control , control , control , control , control , control , control , control , control , control , control , control , control , control , control , control , intervention , intervention , intervention , intervention , intervention , intervention , intervention , intervention , intervention , intervention , intervention , intervention , intervention , intervention , intervention , intervention , intervention , intervention , intervention , intervention , intervention , intervention , intervention , intervention , intervention , intervention , intervention , intervention , intervention , intervention , intervention , intervention , intervention , intervention , intervention , intervention , intervention , intervention , intervention , intervention , intervention , intervention , intervention , intervention , intervention , intervention , intervention , intervention , intervention , intervention , -0.821532372045856 , -0.798132405599839 , 0.429535271595191 , 0.0833544316155944 , 2.1395164171987 , 1.033525736085 , 0.719138198544152 , 0.634911457508692 , 0.88969887513188 , 0.0232275782935783 , -0.060282965924587 , -0.45432027677408 , -0.860228386531677 , 0.0609958819284782 , 1.43193640323161 , -1.93148531697327 , -0.563144170494579 , -0.0144848614450297, 0.727877527497398 , -2.64471244751098 , 1.70087790581081 , 0.331000314933224 , 0.250053346943218 , 0.427912382758708 , -0.566657310630988 , -2.80167797180776 , -0.127981709008007 , 0.709818466481785 , -0.105308198282039 , -1.92487002584286 , 0.434797875925413 , -0.130466638465036 , -1.04618543225857 , -0.025001807551327 , 2.38364989328861 , 0.621334396989334 , 0.499700251533261 , -0.467694524182635 , 1.43864862789554 , -0.216122682898023 , -1.38777284046156 , 0.543432202850217 , -0.0820645819551918, 0.105975792162362 , -2.13561536466656 , -0.90777035391741 , -1.14255091176379 , -0.66603056716981 , -1.36120761244118 , -1.70924749338864 , 1.38225348116072 , -1.42112594145413 , -0.36514569761543 , 1.6065025142559 , -1.08671524464074 , 0.132660240373384 , 2.03078430229738 , -1.69622711772622 , -1.56056351346971 , -0.984158144489195 , -0.384721722980845 , -2.38586649107184 , 1.42446349771213 , -0.010388093539229 , -0.288657448989646 , 0.548749658299224 , 0.712054083355091 , -0.0148663562835122, -0.0200528146634531, -0.277717100573829 , -0.758933207385333 , 0.382038753188858 , 2.16313178227607 , -1.59202708303128 , 0.918099760457044 , 1.24377288428089 , 0.60092328380298 , 0.160490551176595 , 2.10257543864599 , 1.59773931852755 , 0.525994414747878 , -1.30775064695642 , 0.137260636515875 , 0.0742304143323463 , -0.397393170517907 , -0.0124201572686473, 1.47253578652204 , 0.910902736393891 , -0.14378048045771 , -1.41525498010648 , 0.613585633857834 , -0.417131829484473 , 0.41323811205588 , 0.505618452938924 , 1.38072275890667 , 0.220767442039444 , -0.78476837199436 , 1.48550497637947 , 2.51351717728549 , -0.697520782111983 | 0.1454641 |
| 79 | 50 | 0.5 | 0 | 1 | control , control , control , control , control , control , control , control , control , control , control , control , control , control , control , control , control , control , control , control , control , control , control , control , control , control , control , control , control , control , control , control , control , control , control , control , control , control , control , control , control , control , control , control , control , control , control , control , control , control , intervention , intervention , intervention , intervention , intervention , intervention , intervention , intervention , intervention , intervention , intervention , intervention , intervention , intervention , intervention , intervention , intervention , intervention , intervention , intervention , intervention , intervention , intervention , intervention , intervention , intervention , intervention , intervention , intervention , intervention , intervention , intervention , intervention , intervention , intervention , intervention , intervention , intervention , intervention , intervention , intervention , intervention , intervention , intervention , intervention , intervention , intervention , intervention , intervention , intervention , 0.576834717208016 , -1.37486918574269 , -0.245238511273486 , 0.809866201902448 , 0.59240540779853 , -1.00798517444321 , 0.657676149516603 , 0.322167265831343 , -0.255903333864885 , 0.584090055358494 , -0.483341868268881 , 0.283139550860416 , 1.10228999539083 , 0.427656387986956 , 0.295387152222664 , 0.690122164836695 , -2.20214021335626 , 0.106019128969924 , -0.443431654208884 , -0.591776153025303 , -0.888443468221705 , 0.706002831329558 , -1.29587751373811 , -1.27674631607807 , 0.924312396576528 , -0.337313229938432 , -0.107272027270993 , -0.808179998971347 , 0.89622412898782 , -1.1241454101781 , -0.117539993807773 , -0.439320508070443 , -0.210874393923784 , -0.937538048509015 , -1.51114170620393 , -1.83378928950121 , -2.03926749339582 , -0.616545347704282 , -0.703203454211837 , -0.926162039348226 , -0.104460780926349 , 0.00348988923536133, 1.67012530089798 , 1.41563047741218 , -0.656739978868014 , 0.368946003581514 , 0.127685517691898 , 0.726217260287609 , 0.994833827626952 , 0.743994236851273 , -0.473527564180827 , -1.11590415981881 , -0.333147280449247 , 0.551999233999346 , 2.72181350026015 , 2.09242486300574 , -0.232267215678355 , 0.00214912607161277, -0.142015111389856 , -0.158551788195153 , 2.97583643708933 , 0.14113931421378 , 1.08913626559308 , 1.01077704011033 , 0.504581866489789 , 1.21155295095765 , 0.266209496704725 , 0.043587175880022 , 0.679160312465429 , 1.30614436026494 , 0.372431080310548 , 1.58277770128706 , 1.02498148812259 , -0.340635888177431 , -0.683225850682359 , -1.35541927655514 , 1.19303255653964 , 0.512823289077133 , -0.416228452414148 , 1.45236651870418 , 1.68473508990008 , 1.11967980308314 , 1.52747315670596 , -0.809686961280597 , 0.753484092443595 , -0.500050752671058 , 0.766816505419337 , 0.69264024017672 , 0.934533021815267 , 1.72518977507784 , -0.757649145825938 , 1.70127956037508 , 1.26917110444341 , 0.650822187652931 , 1.51019691258915 , 1.45578793962513 , 0.328965623118157 , 1.23998440635013 , -0.295326408228532 , 0.886828257169374 | 0.0000628 |
| 80 | 20 | 0.0 | 0 | 1 | control , control , control , control , control , control , control , control , control , control , control , control , control , control , control , control , control , control , control , control , intervention , intervention , intervention , intervention , intervention , intervention , intervention , intervention , intervention , intervention , intervention , intervention , intervention , intervention , intervention , intervention , intervention , intervention , intervention , intervention , -1.88335081087833 , 1.05600162855936 , 1.32268445114531 , -0.76649520592662 , -0.620718943897927 , -0.0869504378492107, 0.622041197104849 , 1.96009527098738 , 0.949031571579919 , 0.635877099835146 , 0.604075817923676 , -0.238266215657252 , -2.00129484430172 , -1.94788710370233 , 1.60685965663144 , 0.6392506340732 , 0.378700767227335 , 0.710911178735296 , -0.393553845518233 , -0.394578773143143 , 1.14775058501838 , -0.367801888912561 , -0.90096045605492 , -0.128111495832307 , -0.561053213066223 , 0.968709098711575 , -0.167026419126081 , 0.319661422189967 , 1.51905189368271 , -0.141187779308658 , -0.89439769036219 , -0.0220793699711037, 0.597731176208896 , 0.66098818872046 , -0.33063763567981 , -2.63622045862081 , -1.04421895998483 , 0.0866614197139281 , -0.703918807749267 , 0.194822180175183 | 0.4915607 |
| 80 | 20 | 0.5 | 0 | 1 | control , control , control , control , control , control , control , control , control , control , control , control , control , control , control , control , control , control , control , control , intervention , intervention , intervention , intervention , intervention , intervention , intervention , intervention , intervention , intervention , intervention , intervention , intervention , intervention , intervention , intervention , intervention , intervention , intervention , intervention , -0.322299262273265 , -0.069244656203552 , -0.920355360275367 , 0.829227665187227 , -1.65456552814604 , 0.56374597430062 , -0.406569173230952 , -1.07664013086493 , 0.732526062910411 , -0.220290450815338 , 0.853241661669002 , -1.12324965632765 , 0.423591087895175 , 0.239284013685919 , 0.515326076785196 , -0.851000853567264 , 0.954060533107291 , 0.299369749104192 , -0.792157757905846 , -0.264794182807713 , 0.283030001325855 , 0.584242052782103 , -0.683502628575376 , 0.856290991577804 , -0.0554762689516907, 1.50378028489204 , 1.27194692120692 , 1.06270450823778 , 0.89657387242087 , 2.17420533206105 , -0.446275113913592 , 1.39085834497541 , 0.152354351183802 , 0.615205413854595 , -0.596473252153315 , -1.22384519819164 , 0.522407702742955 , 1.19935153217861 , 2.56107160972292 , -0.23974996636738 | 0.0149575 |
| 80 | 50 | 0.0 | 0 | 1 | control , control , control , control , control , control , control , control , control , control , control , control , control , control , control , control , control , control , control , control , control , control , control , control , control , control , control , control , control , control , control , control , control , control , control , control , control , control , control , control , control , control , control , control , control , control , control , control , control , control , intervention , intervention , intervention , intervention , intervention , intervention , intervention , intervention , intervention , intervention , intervention , intervention , intervention , intervention , intervention , intervention , intervention , intervention , intervention , intervention , intervention , intervention , intervention , intervention , intervention , intervention , intervention , intervention , intervention , intervention , intervention , intervention , intervention , intervention , intervention , intervention , intervention , intervention , intervention , intervention , intervention , intervention , intervention , intervention , intervention , intervention , intervention , intervention , intervention , intervention , 1.77360910777244 , -0.449030737905204 , 0.599651692666414 , 0.756190543912716 , -0.214967660073348 , 0.920214417313054 , 0.447172670827706 , 0.217251456216103 , 1.52176378001828 , 0.385799440301149 , 0.00379831945253272, -0.671174832214842 , 0.112260587671442 , -0.925963256031246 , 0.563425053988612 , 0.622522700789171 , -0.536345975894972 , -0.982565851366128 , 1.19630516901029 , -0.818969280144399 , 0.483482438355428 , -1.83731468377022 , 0.636516402775796 , -0.223689859003897 , -2.60727828532113 , -0.954590662308064 , 0.00397645338379489, -1.42061113276355 , 2.33699789828606 , -1.09465791817327 , 0.582661184314563 , 1.32584787813248 , -0.341491414168093 , 0.580637950215649 , 1.60003535724211 , -0.0458393970986004, 0.622447861862329 , -1.82172101014645 , 1.1792516885669 , -0.400679085485745 , -0.771260397364512 , -0.989699296390159 , 0.325566292010824 , 0.378531520988839 , 0.279720879647149 , 1.33243416732371 , -0.211082527468873 , 0.626929912201892 , 1.40315682242323 , 0.236245098103214 , 2.27684908420446 , 0.671080603828504 , -1.27726677671333 , -1.06462748278528 , 0.631322563022436 , -0.498339340914996 , -0.171305788004171 , 0.51833037134613 , 0.757203643156576 , 1.0163047491107 , 0.599345824073003 , -0.943555560880193 , 1.26255787116489 , 1.11212383528034 , -2.12385213305341 , -0.650428296357429 , -0.503064419543288 , 0.491202596056203 , -0.169994013193 , -0.348722116537618 , 0.315290900025068 , 0.201459985444761 , 0.049405131679639 , 1.58880564933415 , 1.51666354930534 , 0.407559223708675 , -0.892700582338931 , -0.285618507693673 , 1.42765526231095 , -1.03032787025266 , -1.78536767885144 , 1.95116586549135 , 0.0846822136751789 , 0.504663951457749 , 0.807156705565751 , -0.219061162227497 , 1.02335495756581 , 0.78314743300975 , 2.22935323208266 , -0.0816495575191026, 1.14295785003383 , 0.621137304026856 , 0.640340307114169 , 0.387419012911143 , -0.505328250026035 , 0.252437716049775 , -0.0464511815179632, -0.0590345201745138, -0.421064202315704 , 1.10051888661871 | 0.4428811 |
| 80 | 50 | 0.5 | 0 | 1 | control , control , control , control , control , control , control , control , control , control , control , control , control , control , control , control , control , control , control , control , control , control , control , control , control , control , control , control , control , control , control , control , control , control , control , control , control , control , control , control , control , control , control , control , control , control , control , control , control , control , intervention , intervention , intervention , intervention , intervention , intervention , intervention , intervention , intervention , intervention , intervention , intervention , intervention , intervention , intervention , intervention , intervention , intervention , intervention , intervention , intervention , intervention , intervention , intervention , intervention , intervention , intervention , intervention , intervention , intervention , intervention , intervention , intervention , intervention , intervention , intervention , intervention , intervention , intervention , intervention , intervention , intervention , intervention , intervention , intervention , intervention , intervention , intervention , intervention , intervention , -0.605868346048552 , -0.456746314406639 , 1.0027834010803 , 0.0254651417233479 , 0.21332415214646 , 0.121558868909189 , 0.587099505556407 , 0.754769517708542 , -0.274366637435415 , -1.96380237226591 , -1.53028220001556 , 0.158753561526353 , -1.23091431474217 , 1.28855983285326 , -0.213156390927367 , 0.583095620674864 , 0.0820411240091972 , 1.81514261655217 , -0.309982068131934 , -0.216291942837973 , 0.596567525588546 , -0.50636713361094 , -1.01399837190765 , -0.726221624374235 , -2.42123568399594 , -0.296123062806192 , -1.71821779477298 , -0.0446205260984682, -2.09243507537321 , -1.5887500094986 , -0.313676707346556 , 0.31987640840469 , -0.502087463137876 , -0.48822207047047 , -0.104812367635139 , 0.652064003875686 , 1.69866708263763 , -1.36445000599152 , 0.196486831365989 , 0.714290780593913 , -0.205080883860502 , 0.28230998087268 , -0.0490712346436038, 1.37988754644695 , 0.96362515581755 , 0.707880789201674 , -0.465341029891511 , 0.994567622802549 , 1.52842668799203 , 0.70406165398819 , -2.17855724758214 , 3.05647004135361 , 0.122552801881847 , 0.604203004289504 , 0.879517325685014 , -0.0595416139307311, 0.853486833838446 , -0.152065737028605 , 0.27898851805351 , -0.721353387929516 , 0.0295201974867026 , 0.0277384092367519 , -0.812176890092598 , 0.534937509140276 , -0.843523605906416 , 0.611227775927319 , 1.96543101951956 , 1.32689140747117 , -1.08730172434816 , 1.02089796594269 , 0.324818498328682 , 2.1025969963256 , -0.871818241340268 , -0.0176400639304802, 1.04296422836967 , -0.874428639248595 , 0.722870527882578 , 1.36470528852408 , -0.227374445709252 , 1.53797989322644 , -0.82622935833085 , 0.156248082958865 , -2.04503062477243 , 0.193622943535519 , -1.02673240245305 , 0.796386839857005 , -0.435323409878331 , 1.99064807187236 , 0.342260349170451 , -0.849475478415578 , 0.82264041613366 , -0.297779643418088 , 1.10127672326436 , 1.1025790064425 , 1.46996244639731 , -0.243667151837333 , 0.274291460147951 , -1.41418927585793 , 0.581599808962893 , 0.0558323483086922 | 0.1291045 |
| 81 | 20 | 0.0 | 0 | 1 | control , control , control , control , control , control , control , control , control , control , control , control , control , control , control , control , control , control , control , control , intervention , intervention , intervention , intervention , intervention , intervention , intervention , intervention , intervention , intervention , intervention , intervention , intervention , intervention , intervention , intervention , intervention , intervention , intervention , intervention , -1.26647094615069 , -0.155492829568294 , -0.64742324905522 , -0.0435809437558643 , 0.275794552191265 , -1.50167648883763 , 0.444976995881606 , 0.878163743459278 , 1.39269601867483 , 1.19032198112012 , 0.367106859460992 , -0.735629702865255 , -0.515455405642851 , 0.756424671003744 , -0.264872827814968 , 0.225329043403497 , 1.32491107332358 , 1.01640818574473 , -0.493738073028725 , 0.332067369676536 , 0.11485182699629 , -0.833644089217556 , 0.6030061546327 , -1.89680982460678 , 0.453162631055222 , 1.97000180499025 , -0.480063271329434 , 0.130144877118988 , -1.50134864165052 , -0.700283687687738 , 1.82344598053674 , 0.688983361072682 , -0.503014823501338 , -0.567397276844386 , -0.00194768352478942, -0.470090575850291 , -0.762230228074153 , 0.205343765448244 , -0.297167893466292 , 1.65450328032333 | 0.6192020 |
| 81 | 20 | 0.5 | 0 | 1 | control , control , control , control , control , control , control , control , control , control , control , control , control , control , control , control , control , control , control , control , intervention , intervention , intervention , intervention , intervention , intervention , intervention , intervention , intervention , intervention , intervention , intervention , intervention , intervention , intervention , intervention , intervention , intervention , intervention , intervention , 0.547560322428756 , -0.874141324171617 , 1.91608913955057 , 0.261125391291058 , -1.76341428806666 , 1.19939360773764 , -0.661202022558238 , -0.947122402277154 , 0.665672667738724 , -0.176526829895614 , -0.0110787932276417, -0.0395770411782902, -0.650360833421256 , 0.417549584254885 , -0.782220579830347 , -0.509732562787212 , -0.019631755180819 , -1.64352026827471 , -0.0581919585134139, -0.257494290216755 , -0.846766543428022 , 0.952554540980207 , 1.60016732291243 , -1.86963620387445 , 1.15382412105306 , 0.301130353710598 , 0.785904590232858 , -1.07279106908207 , 0.234232752663977 , -0.434043124199174 , 0.566611156683446 , 1.26722091757387 , -0.285893709338475 , -0.480451415435388 , -1.58532658183056 , 1.26370728802005 , 2.24874250353353 , 0.969680077811504 , 0.894707813508462 , 1.67281911037755 | 0.1032589 |
| 81 | 50 | 0.0 | 0 | 1 | control , control , control , control , control , control , control , control , control , control , control , control , control , control , control , control , control , control , control , control , control , control , control , control , control , control , control , control , control , control , control , control , control , control , control , control , control , control , control , control , control , control , control , control , control , control , control , control , control , control , intervention , intervention , intervention , intervention , intervention , intervention , intervention , intervention , intervention , intervention , intervention , intervention , intervention , intervention , intervention , intervention , intervention , intervention , intervention , intervention , intervention , intervention , intervention , intervention , intervention , intervention , intervention , intervention , intervention , intervention , intervention , intervention , intervention , intervention , intervention , intervention , intervention , intervention , intervention , intervention , intervention , intervention , intervention , intervention , intervention , intervention , intervention , intervention , intervention , intervention , 0.62347263572048 , 1.17566366069507 , 0.0897399026742008 , -0.262412675216523 , 0.551571785903701 , -1.43520267030408 , -0.142689547388184 , 1.9468504386585 , 0.140629313075582 , 1.8823302670292 , 0.96959893034077 , 0.987965050224207 , -0.765554301838872 , -0.331139998187236 , 0.678834208560375 , 1.81281633569465 , 1.09630297428647 , 1.70144541176102 , -1.03312196286673 , 0.398223388571763 , 2.16922012616913 , 0.0937234419193021 , 1.30128209085649 , -1.06182080203761 , 0.714357506774622 , -0.53075128497001 , -0.876091002613755 , 0.592955977371582 , 0.700277826621172 , 1.20782559756992 , 0.775775916498154 , -0.241517261587903 , -0.81621535835641 , -0.218840336159404 , 1.93913123930797 , 0.665222048532484 , -1.3670236529233 , -0.643880213215201 , -1.19945945944757 , 1.69849142670083 , -0.595467464751378 , 0.428385271124987 , 1.49122656796592 , -0.644777018631421 , 0.101147952491419 , 0.117803786732978 , 0.313791346246165 , -0.554583296681215 , 0.848906291866442 , -1.1200834759981 , 1.14602926872966 , 0.607044986806019 , 1.03549584837104 , 0.200355697838507 , 0.55503808265113 , 0.22263833445113 , -1.17394933555632 , -0.0901652576614648, 1.07640641683381 , -1.19322959361735 , 0.31468373755829 , -0.627642805994766 , 0.816354814074376 , -0.222003007844514 , -1.62384751655482 , 2.41251596395556 , 1.47634753768644 , -0.568578060914138 , -0.138820938799689 , -0.99622851581609 , -0.554562210426902 , -0.219274531399546 , -0.500973252738359 , -0.718119574965729 , 1.16573186236484 , -0.83478601122673 , 0.863255849823949 , -1.50294410620766 , -0.344038738511798 , 1.91737152047279 , 0.355722891409053 , -0.327514206214259 , -0.125293236250545 , 0.248964594467613 , 0.870536455008386 , 0.856854926082551 , 0.206164988161176 , -0.245647243086825 , -1.15133661521574 , -0.257914904815699 , -0.829527262420498 , 0.758357342119993 , 0.336987970664878 , -0.273203118645408 , -0.470083770754974 , -0.866190434092438 , 1.51149982073861 , 1.91975389957804 , -0.256823629216457 , -0.0290090042348845 | 0.2676244 |
| 81 | 50 | 0.5 | 0 | 1 | control , control , control , control , control , control , control , control , control , control , control , control , control , control , control , control , control , control , control , control , control , control , control , control , control , control , control , control , control , control , control , control , control , control , control , control , control , control , control , control , control , control , control , control , control , control , control , control , control , control , intervention , intervention , intervention , intervention , intervention , intervention , intervention , intervention , intervention , intervention , intervention , intervention , intervention , intervention , intervention , intervention , intervention , intervention , intervention , intervention , intervention , intervention , intervention , intervention , intervention , intervention , intervention , intervention , intervention , intervention , intervention , intervention , intervention , intervention , intervention , intervention , intervention , intervention , intervention , intervention , intervention , intervention , intervention , intervention , intervention , intervention , intervention , intervention , intervention , intervention , 0.611211270302838 , -0.876048717724987 , 0.528717148603286 , -0.784825118602437 , 0.539521355871792 , -0.0944616695287696, 0.105834832295289 , -0.192197036309875 , -1.22647644543784 , -0.84917508962595 , -1.61747513068814 , 1.87391758541462 , -0.134513916284785 , 1.0143702958218 , 1.05080421886914 , 0.18556623340889 , 1.35210849671103 , 0.110821958071798 , -0.868944521239235 , 0.343036361905945 , -0.820661360854149 , 0.30125347603836 , 1.91531522803049 , -0.701853982200102 , 0.485921843886246 , -0.571108845237803 , -0.684824784517996 , -2.66220936561084 , -0.760880541445607 , 0.895139120781221 , 1.09947291630698 , 0.389403514665193 , 0.134060636422587 , -0.902383581982365 , -0.531755860304133 , -1.97376161797005 , -1.78065333934193 , 0.211218970067381 , 1.96248387733483 , -0.0298034187414524, -1.7588985634871 , -0.346075321355384 , -1.01314817437342 , 1.3100552923894 , 0.0216007504865556 , -0.272351887812173 , -1.94002577568829 , 1.53137340947119 , 0.667392982133432 , -0.636172661240936 , 0.416306005153197 , 0.529012390532507 , 2.101766366031 , -0.641312489878212 , -0.678412345694172 , 0.538522506172803 , 2.35539420589042 , 1.19768945470011 , 2.03763559521747 , 0.824537965995911 , 2.31647130098233 , 1.31914261172332 , -0.715044747253286 , 1.6872160163371 , 1.56250647611703 , 1.61682905201655 , 1.19994898423722 , -0.604722313407221 , -1.22759946428655 , -0.35768332577957 , 0.493961206726174 , 1.98870945335186 , 1.56760179668367 , 1.73594197649787 , 0.751495602516459 , 2.09308294738118 , -1.40448110752335 , 0.739545618596354 , -1.08079465276271 , 0.094404046526582 , 0.592233548276394 , 0.771788601296884 , -0.857874409502632 , 0.490714687145685 , -0.373281967908887 , 0.077443365865348 , 0.630600375279249 , 1.61829041259268 , -0.856885406291099 , -0.17802561667916 , 2.36376491118837 , 0.524966662409549 , 0.836091347977087 , -0.785001540794422 , -1.66241744665078 , -0.460735792621655 , 0.834824860343417 , 2.12405373872304 , 0.224885470561883 , 0.756531807232471 | 0.0020072 |
| 82 | 20 | 0.0 | 0 | 1 | control , control , control , control , control , control , control , control , control , control , control , control , control , control , control , control , control , control , control , control , intervention , intervention , intervention , intervention , intervention , intervention , intervention , intervention , intervention , intervention , intervention , intervention , intervention , intervention , intervention , intervention , intervention , intervention , intervention , intervention , 1.37651202782201 , 1.93578483521967 , -0.172056673796106 , 0.288211463106664 , 1.27592310747906 , -1.27638266532631 , -1.60153991338018 , 0.974163176248578 , -0.312697900340483 , 0.0659572667375299 , -0.787813996147426 , -0.514825740328127 , 1.13108900629124 , -0.565291144760536 , -0.0494377695538714 , 0.960239904349096 , 0.819424526351939 , 0.321158559491103 , -1.1639012258744 , -0.558682021110305 , -0.94947649247962 , -1.5535393316006 , -0.540586617387134 , -0.455819951286726 , 0.607081999444879 , 0.579809775797866 , 0.224273857824193 , 1.46017255246606 , -0.532970743363953 , -0.968511105741071 , -0.645534599671112 , -0.124302712637754 , -1.81306580985042 , -0.274986570017934 , -0.664134795764999 , -0.00456680500795454, 0.36389790952818 , -0.133935642777208 , -0.0626887147275053 , -1.50275627924185 | 0.1143877 |
| 82 | 20 | 0.5 | 0 | 1 | control , control , control , control , control , control , control , control , control , control , control , control , control , control , control , control , control , control , control , control , intervention , intervention , intervention , intervention , intervention , intervention , intervention , intervention , intervention , intervention , intervention , intervention , intervention , intervention , intervention , intervention , intervention , intervention , intervention , intervention , 0.912158754940463 , -0.60953723328528 , 0.242901060462299 , 1.10895592853504 , -0.471541679513931 , 0.274071778168026 , 1.7716799709997 , 0.427736348885713 , -0.493263733162389 , -0.559588663600755 , 0.161621481059597 , -0.830132146698758 , 0.39540976431752 , -1.76171343471856 , 0.422551166470656 , -0.0521413463371233, -0.195067720275582 , -1.22127246941477 , 0.548322366020763 , -0.925754242570306 , 0.552913570312051 , -0.486040240203867 , 1.63694654370438 , 1.91817351431306 , 2.1584703374176 , 0.67166459451433 , -0.534788790003181 , 2.70955426848603 , 0.321609254431461 , -0.0745792363004596, 0.703459958039301 , 0.0860699225389078 , 0.428835033149316 , 0.259553834797531 , 0.217462715449614 , 1.06793348298138 , -0.576360685588945 , -1.28593586081034 , 0.733626956239134 , 0.0128858062301793 | 0.0579169 |
| 82 | 50 | 0.0 | 0 | 1 | control , control , control , control , control , control , control , control , control , control , control , control , control , control , control , control , control , control , control , control , control , control , control , control , control , control , control , control , control , control , control , control , control , control , control , control , control , control , control , control , control , control , control , control , control , control , control , control , control , control , intervention , intervention , intervention , intervention , intervention , intervention , intervention , intervention , intervention , intervention , intervention , intervention , intervention , intervention , intervention , intervention , intervention , intervention , intervention , intervention , intervention , intervention , intervention , intervention , intervention , intervention , intervention , intervention , intervention , intervention , intervention , intervention , intervention , intervention , intervention , intervention , intervention , intervention , intervention , intervention , intervention , intervention , intervention , intervention , intervention , intervention , intervention , intervention , intervention , intervention , -0.788246837090804 , 0.432723339139248 , 0.239589213929268 , -0.534510227648619 , -0.898407404598741 , -0.816560806977926 , -0.227728829914056 , -2.33220378219933 , -0.0180700114479178, -0.363941580610955 , 0.184893274648305 , 0.175896243151689 , 0.457786110130617 , 0.55708114665177 , -0.250639572753234 , -0.0175722401181202, -0.25379899401885 , -2.04621255562025 , -0.275662243594959 , -1.06823841468352 , 0.229624062842997 , 1.03745148670206 , 0.783662678447024 , -1.4345690252695 , 0.541537555186405 , -1.06863833384557 , -0.808915863608331 , -0.981085999645179 , -1.19036608779323 , -0.516417934560632 , 0.0196021278412555 , 0.766635188316677 , -1.59791408723746 , -1.32976718690255 , 1.40523464797043 , 0.261507945910223 , 0.635095671643055 , -0.909187432023008 , -0.5136618864409 , -0.0372000442069929, 0.459203281397268 , -0.478896193958195 , 0.0552237369499236 , 1.66800192102406 , -2.08417017724323 , -0.347173964649467 , 2.35402545481509 , -0.443468252037708 , 0.458536721319921 , 1.09535312579429 , -0.421907442141723 , -0.478346138075833 , -0.427402129964562 , -0.348590631135395 , 0.521430881275006 , -1.33705471898598 , 1.42990527964138 , -0.417901999091873 , -0.794604428440033 , -0.789042183487682 , -1.10211232540432 , -0.144034414654917 , 0.0953142308623984 , 0.960928566325018 , 0.125272583777012 , -2.56216307088432 , -0.661324382473708 , 0.814550386182572 , -0.151655112910442 , -0.240435295866106 , 0.0325821765872436 , -0.478072051924356 , -2.46949094744525 , 1.11411135788891 , 0.80333193972764 , -0.057094712018352 , -1.3545745598486 , 0.778294902087467 , 0.110829241926382 , -0.225448676005939 , 0.669077846485099 , -1.85830847225092 , 0.113837317955833 , 0.787180813331235 , -0.196457723219412 , 0.225158776813644 , 1.05841183820834 , -0.765934820071515 , -2.18541192479329 , -1.00879836179506 , 1.32013479709435 , 0.515651163401097 , -0.0104876526527832, -0.657509751606132 , -1.46893987050185 , -1.08658356577546 , -2.42401208815472 , -0.323938134583935 , -0.446421863725774 , -1.84653249771429 | 0.4454886 |
| 82 | 50 | 0.5 | 0 | 1 | control , control , control , control , control , control , control , control , control , control , control , control , control , control , control , control , control , control , control , control , control , control , control , control , control , control , control , control , control , control , control , control , control , control , control , control , control , control , control , control , control , control , control , control , control , control , control , control , control , control , intervention , intervention , intervention , intervention , intervention , intervention , intervention , intervention , intervention , intervention , intervention , intervention , intervention , intervention , intervention , intervention , intervention , intervention , intervention , intervention , intervention , intervention , intervention , intervention , intervention , intervention , intervention , intervention , intervention , intervention , intervention , intervention , intervention , intervention , intervention , intervention , intervention , intervention , intervention , intervention , intervention , intervention , intervention , intervention , intervention , intervention , intervention , intervention , intervention , intervention , -0.329969375486398 , -0.550941200830275 , -1.81823042524071 , 0.330421035048896 , -0.962295674271987 , -0.576641676962167 , -1.3740427326935 , 2.29276543573263 , 0.520031002713554 , -1.26921681394299 , -0.843002917132829 , 0.97258357902618 , 0.559260889267811 , -0.117856502295607 , 0.433861215763104 , 1.51204957550322 , 1.80275348641332 , 0.154637743066981 , -0.085806440032248 , -1.15106525674847 , -1.10200637076057 , 0.971932860456576 , 0.239136349198354 , -1.23221660945809 , 0.535614470408319 , -0.0207859422706168, -1.0111098344891 , -0.170711448720808 , -0.680234116437237 , 0.270510599863026 , 0.937487632025089 , -0.470240370961563 , 0.389845189375257 , -0.776605323875101 , 0.087369880646189 , -0.565168359440421 , 1.45960889989477 , 0.994494514741347 , 0.121760195515681 , -1.57628056447203 , -0.334110670416157 , 1.77745745044002 , 0.359761743060849 , 0.015410792480766 , 0.205590415764638 , -0.341134852198828 , -1.34032056345009 , 0.376982693555723 , 0.285732413652344 , -0.136867372566789 , 1.47494886342744 , 0.714437711611744 , 0.674584514632543 , 1.27323997601138 , -0.473009209485868 , -0.83816067618841 , -1.50487409379555 , -1.04270424689226 , 2.68529341650262 , 1.12219299180203 , 0.220668638566914 , 0.290325668539283 , 0.600986949059648 , 0.402422467162564 , -1.20111798119461 , 0.210816387559895 , 0.904108625022496 , 0.880280828473768 , -0.622582169735971 , 0.931932374242422 , 0.427288086559778 , -0.266932513886904 , -0.0632502975571336, 0.194941669229796 , 1.03851540314354 , 1.74283792028409 , -0.571353957515182 , -0.191408206523462 , 0.360549708861697 , 1.63402784524708 , 1.5246391456404 , 0.240223300434845 , 0.239101204427051 , -1.73539085298282 , 1.56245753141873 , 0.483008874377284 , 0.746210089946532 , -0.10160048070674 , -0.539137593784657 , 0.803017559502503 , 0.951199370204372 , -0.618566976632782 , 1.10853881473937 , 0.236526078076459 , -0.327983362372609 , 1.42636559255253 , 1.12239757004388 , -0.52102114447072 , 1.0061287664329 , -0.765093650592975 | 0.0411669 |
| 83 | 20 | 0.0 | 0 | 1 | control , control , control , control , control , control , control , control , control , control , control , control , control , control , control , control , control , control , control , control , intervention , intervention , intervention , intervention , intervention , intervention , intervention , intervention , intervention , intervention , intervention , intervention , intervention , intervention , intervention , intervention , intervention , intervention , intervention , intervention , 0.915240723645687 , 1.81432691161835 , 0.786410440268803 , 0.237594961594569 , 1.45325088301139 , -0.287849901542785 , -0.398927110068972 , -0.286018534307677 , -0.571189273093658 , 0.375248281707036 , -1.15480054613586 , -0.019326706102029 , 0.728814013782418 , -0.224138056018432 , 1.46169687985611 , 1.25318331634666 , -0.652155558142631 , 0.402552521140845 , -1.53449812587062 , -2.21321821845927 , -2.34881049423454 , 0.846332931725713 , -0.0665783171093546, -1.42452381991078 , -0.484017796488066 , 0.742324554019169 , 0.116340362420094 , -0.433358210340469 , -0.585755532920744 , 1.28638504879484 , -0.366435546375872 , 0.25737634300466 , -0.350512245569779 , -0.280461678741016 , -0.942582940414222 , -1.44869053878728 , -0.137643422021029 , 0.0809335805930968 , -0.0386992036422415, -2.21079870146206 | 0.1241588 |
| 83 | 20 | 0.5 | 0 | 1 | control , control , control , control , control , control , control , control , control , control , control , control , control , control , control , control , control , control , control , control , intervention , intervention , intervention , intervention , intervention , intervention , intervention , intervention , intervention , intervention , intervention , intervention , intervention , intervention , intervention , intervention , intervention , intervention , intervention , intervention , -1.79513130016141 , -0.354664264760498 , 1.05129512439485 , -0.579338369452984 , -1.68998876389137 , 0.689432996201516 , -1.58759342828296 , 0.219604767471138 , 0.780329227765858 , 0.274537838097103 , -0.34417641801297 , -0.281282113024126 , 0.361865811816374 , 0.0953472365827432 , 1.27623816509219 , 0.320820298104507 , 0.4301562379009 , -0.514066326217361 , -0.818850625169361 , 1.17574543493458 , 1.03795879746486 , 1.61347636982105 , 0.39523888736076 , -0.791533200656502 , 2.17568031507252 , 0.187646541893592 , -0.136681820513396 , 1.29174644756497 , -1.46701429910473 , -1.10800873248186 , 0.175792474452274 , 2.36073600810435 , 1.67597744943658 , 0.191642707870093 , -0.288143355441087 , -0.816108439498345 , 0.408047901808646 , 0.278108179011188 , -0.062825359307905 , -0.0968937893682739 | 0.1915737 |
| 83 | 50 | 0.0 | 0 | 1 | control , control , control , control , control , control , control , control , control , control , control , control , control , control , control , control , control , control , control , control , control , control , control , control , control , control , control , control , control , control , control , control , control , control , control , control , control , control , control , control , control , control , control , control , control , control , control , control , control , control , intervention , intervention , intervention , intervention , intervention , intervention , intervention , intervention , intervention , intervention , intervention , intervention , intervention , intervention , intervention , intervention , intervention , intervention , intervention , intervention , intervention , intervention , intervention , intervention , intervention , intervention , intervention , intervention , intervention , intervention , intervention , intervention , intervention , intervention , intervention , intervention , intervention , intervention , intervention , intervention , intervention , intervention , intervention , intervention , intervention , intervention , intervention , intervention , intervention , intervention , -0.470547555570534 , -1.49834501055041 , -1.15380284848058 , -0.755874625872105 , -1.26995147609882 , -0.372656206944051 , 1.45788214645138 , 0.034542807133793 , 0.205206132462908 , 0.989813486639539 , -0.726188831494983 , 0.572928619385939 , -0.408347090597602 , -1.8052139814184 , -0.372296844594442 , -1.38968202783108 , 0.185116709144135 , 0.00414717806010433 , -0.0632078348039622 , 1.13832074501612 , 0.595823529876407 , 0.608192801878122 , -0.821864946139731 , -0.15459515438734 , -2.431499669867 , 0.721643660348394 , 0.446702502405644 , -0.177055848936269 , 0.246647285974615 , 0.653954569444194 , -1.32618511780226 , 0.564043819962964 , 0.548532220741259 , 0.321387587574849 , -0.685619470829348 , 1.55754044681422 , 0.252887769370263 , -1.03150279027623 , 2.84887746890397 , 0.0175103030809147 , 0.642323752375143 , 0.130282749252464 , -0.928622312389058 , 1.26646852902565 , 0.661262477688879 , 1.40010707968234 , 0.946671026251705 , 0.080499840948522 , -1.2969560752801 , -0.602200048934925 , -0.587324324118645 , -1.74215043847154 , 0.029308069357658 , 0.103661842459431 , 0.826624547734628 , -1.23931101857403 , -0.729772860755557 , 0.812036560978802 , -0.870145610124138 , -1.58259361879081 , 0.401391054958888 , -0.671910553487248 , -0.154633559554298 , 0.0675210793010593 , 1.26090340493602 , 0.400549639652147 , 3.0200124872129 , 1.49919643064845 , -0.471035577965124 , -0.641403985381723 , -0.906077340790775 , -0.718016334604833 , -0.839170384196148 , 1.57561327316379 , 0.554269713489559 , 0.935835450384549 , -0.566873903842812 , -0.566154489110263 , 0.0789185046526526 , 0.0907903394210917 , -0.00406445565706266, 0.806182735962021 , -0.173340091178733 , -0.128725724184698 , 0.615138351945421 , -1.05156923463133 , 0.574672114809759 , -0.121697729193951 , 0.266516114612105 , -0.156856121757599 , 1.2050714231198 , -0.0673048134682471 , 0.933217249084797 , 1.27068842175291 , -0.95900042798829 , 1.16823909312767 , -0.53654191267454 , 0.533571275397602 , 1.26848555564153 , 2.44687243026008 | 0.4245370 |
| 83 | 50 | 0.5 | 0 | 1 | control , control , control , control , control , control , control , control , control , control , control , control , control , control , control , control , control , control , control , control , control , control , control , control , control , control , control , control , control , control , control , control , control , control , control , control , control , control , control , control , control , control , control , control , control , control , control , control , control , control , intervention , intervention , intervention , intervention , intervention , intervention , intervention , intervention , intervention , intervention , intervention , intervention , intervention , intervention , intervention , intervention , intervention , intervention , intervention , intervention , intervention , intervention , intervention , intervention , intervention , intervention , intervention , intervention , intervention , intervention , intervention , intervention , intervention , intervention , intervention , intervention , intervention , intervention , intervention , intervention , intervention , intervention , intervention , intervention , intervention , intervention , intervention , intervention , intervention , intervention , -0.73480929709717 , 1.33049538321228 , -0.14537902370319 , -1.44018076837475 , 2.5289410754289 , 0.415503555973055 , -0.47667229430517 , -0.507961960515379 , 0.353796793543783 , 0.349529595269244 , -0.680902579022312 , 1.27234459329858 , 2.23504345443864 , 0.702028279780941 , 1.54832494064306 , 0.253728004654755 , -0.0293027232232273, 1.34483938179763 , 0.546787805344245 , -0.0655655419489075, 0.102559257123619 , 0.218344016547404 , 0.595570929488979 , -0.78314239940452 , -1.86049918552919 , 1.21978728374876 , -0.816386217909389 , 0.999100379546668 , 0.929321439848139 , -0.341542421384868 , -0.482897396017918 , 1.13314878404283 , 0.164919754648656 , -0.813374442199192 , -0.333160432935214 , -0.071699330237402 , 0.150015045638671 , -0.384466688303815 , -0.384158806353167 , 1.42925524568163 , 0.391779409798306 , -0.90915370208659 , -2.01870761283534 , 2.62969243176594 , -1.22446263188727 , -1.7017293421783 , -0.55066330136902 , 1.14022300609836 , -0.362661943576161 , 1.26642483113891 , 0.202483705527186 , 0.737669870219626 , 0.8261355334825 , 0.583909589386806 , 1.83249156804519 , 0.0584665398688587 , 0.311539539352956 , -1.19922871316239 , 0.894714487051609 , 2.41157728521957 , 0.64978989969735 , 0.586000277192779 , 0.531914736908343 , 0.802947604674025 , 0.781375961439493 , 1.32714717258038 , -1.02985255721174 , 0.682116299485316 , -1.2562180440848 , 1.32484314703282 , 1.2523799608512 , 0.832888031269761 , 0.265668665537402 , 0.214861876366988 , 0.11845153126942 , 0.12958405140779 , 3.48539786892746 , 1.55674140215192 , 0.0725655001048264 , 0.890398053101146 , 0.193839724613635 , 0.256899942275262 , -1.60641528890248 , -0.389251488900759 , -0.0432475404660263, 0.353012363424574 , -0.195070856298683 , 0.0364194122111392 , 1.14932521306664 , 0.53516810118082 , 0.475859258160578 , 1.09503264907186 , -0.645926836591802 , 0.996668601238473 , -0.51743072213623 , 1.19233151882351 , -0.139731293265656 , 0.726664961329747 , 1.47617693953044 , 1.1035825373965 | 0.0736670 |
| 84 | 20 | 0.0 | 0 | 1 | control , control , control , control , control , control , control , control , control , control , control , control , control , control , control , control , control , control , control , control , intervention , intervention , intervention , intervention , intervention , intervention , intervention , intervention , intervention , intervention , intervention , intervention , intervention , intervention , intervention , intervention , intervention , intervention , intervention , intervention , -0.654525804124452 , 1.77169067783421 , 0.489124938326623 , 0.338160798507219 , -0.82300188351731 , 1.85067094756455 , 0.723645940952302 , 1.46496602342651 , -0.374991505269979 , -0.365292799224306 , 1.47984265998783 , -0.378780124315042 , -0.0106809096228683, -0.890989463231998 , -0.529983553695449 , 0.61939676899799 , -0.519514547866272 , -0.618150278323398 , -2.12279020413387 , 1.59686243693775 , -1.25858123455734 , 1.01940939673209 , 0.43031640428356 , 1.0343651323089 , -1.22116859878871 , 0.0944509936696697 , -0.577834000779223 , 0.674802390935028 , 0.378966170154253 , -0.982598198198382 , 0.302196213052629 , 0.0557612921006523 , -1.65748973868295 , -0.667475762299088 , -0.659449131431857 , 0.121159176608102 , 2.184652943657 , 0.353661037490949 , -1.23015367595314 , -0.804858804005064 | 0.4044943 |
| 84 | 20 | 0.5 | 0 | 1 | control , control , control , control , control , control , control , control , control , control , control , control , control , control , control , control , control , control , control , control , intervention , intervention , intervention , intervention , intervention , intervention , intervention , intervention , intervention , intervention , intervention , intervention , intervention , intervention , intervention , intervention , intervention , intervention , intervention , intervention , -2.20341408555235 , 0.187131807203758 , 0.111899915552575 , 1.05535775193753 , 0.792392820216704 , -0.802229758492499 , -0.541512769466711 , 0.269816642033579 , -2.08116575631327 , -0.729440566436537 , 0.723183938559469 , 0.701425155109765 , 0.848473085777661 , 0.552376182348008 , -0.342673652278776 , -1.73045552897428 , 1.81770365262268 , -0.394775112738328 , -0.263644098047404 , -0.0893711394835417, 0.542739576025819 , 0.103712369332653 , -0.42896840861433 , -0.41115266397474 , 0.603853500703472 , -0.355311651396995 , 0.782567526964145 , -0.214709417504164 , 0.834054675931234 , 0.399688747442325 , 0.0757680784067178 , 0.768657839803914 , -1.01309472420814 , -1.95361483807995 , 1.75750734494964 , -0.204965222119943 , 0.841200318796246 , 0.724142626935751 , 0.261335905770888 , -1.06169883189457 | 0.4926762 |
| 84 | 50 | 0.0 | 0 | 1 | control , control , control , control , control , control , control , control , control , control , control , control , control , control , control , control , control , control , control , control , control , control , control , control , control , control , control , control , control , control , control , control , control , control , control , control , control , control , control , control , control , control , control , control , control , control , control , control , control , control , intervention , intervention , intervention , intervention , intervention , intervention , intervention , intervention , intervention , intervention , intervention , intervention , intervention , intervention , intervention , intervention , intervention , intervention , intervention , intervention , intervention , intervention , intervention , intervention , intervention , intervention , intervention , intervention , intervention , intervention , intervention , intervention , intervention , intervention , intervention , intervention , intervention , intervention , intervention , intervention , intervention , intervention , intervention , intervention , intervention , intervention , intervention , intervention , intervention , intervention , -0.502478072579762 , -0.0773964541710692, 0.805215015159227 , 1.12076368937976 , 0.995414349285099 , -0.234769995623259 , 0.18335822382539 , -0.400849822092223 , -0.748648237662279 , -0.299230466511832 , 0.144297531329592 , 1.24490346168058 , 0.616962093523544 , 1.47778589629923 , 1.61366859233932 , 0.845107027150337 , -0.996721064680556 , 0.570719224231916 , -0.0311001136236386, 2.67900096733034 , -0.574382737137578 , 0.0760115666545008 , 0.327920446015872 , 1.11613756176958 , -0.910035174425064 , 0.00727845582877398, -0.815453502001399 , 0.494493195077844 , -1.1329565604767 , -1.02155908807381 , 0.60609232890201 , 0.806047602569564 , -0.270928765671402 , 2.7638796615784 , -0.777424965312528 , -0.363113672770686 , 0.505720966623726 , -2.00651407228881 , -0.236407078578956 , -1.71975063390914 , -0.621254009037459 , 0.992927876733045 , 0.727671100181921 , 0.818187703692535 , -1.20348332162815 , 0.46627066636847 , 0.773361446919735 , -2.18144646422187 , -0.938733882929731 , 0.197671196316384 , -0.304714161470476 , -0.722038395523935 , 0.821047143718587 , 0.646168547172347 , 0.302205027648265 , -1.84815959903207 , -1.23847289275129 , 1.47435910376682 , -1.73467447363936 , -0.413483404032767 , -1.94721572504191 , -0.893709521829416 , 0.170637215341026 , 0.715338941142816 , -0.576817136424899 , -0.383004956105749 , 0.4562159203065 , -0.152828735709939 , -0.553612118358563 , 0.181229825957105 , 1.04412642169021 , 0.434262857658504 , 2.23125947530403 , 1.81697612610488 , 0.437552235515795 , -1.21735117321603 , -0.797864078046349 , 1.00548297933504 , 0.388554214154572 , 0.402550224027584 , -0.111775539372614 , -2.10931789747381 , 0.183843217584187 , -0.477918444433771 , -0.659820067528418 , -0.122628622075261 , -0.607366127642777 , 0.391443044435813 , -0.775754473566635 , 0.330513918122352 , 0.747539010954213 , 0.414822997236255 , -0.117472300130265 , 1.81730238993901 , 0.00138649110967662, 1.74846568561579 , 0.987114957740844 , -0.0192170604592288, -0.796728312995599 , 0.570636298336044 | 0.7087954 |
| 84 | 50 | 0.5 | 0 | 1 | control , control , control , control , control , control , control , control , control , control , control , control , control , control , control , control , control , control , control , control , control , control , control , control , control , control , control , control , control , control , control , control , control , control , control , control , control , control , control , control , control , control , control , control , control , control , control , control , control , control , intervention , intervention , intervention , intervention , intervention , intervention , intervention , intervention , intervention , intervention , intervention , intervention , intervention , intervention , intervention , intervention , intervention , intervention , intervention , intervention , intervention , intervention , intervention , intervention , intervention , intervention , intervention , intervention , intervention , intervention , intervention , intervention , intervention , intervention , intervention , intervention , intervention , intervention , intervention , intervention , intervention , intervention , intervention , intervention , intervention , intervention , intervention , intervention , intervention , intervention , 1.3288081546113 , -0.994026232511132 , -0.408828977910619 , -0.68165968038526 , -0.339083769073096 , -0.584277776293042 , 1.65473522364966 , -0.719804788698895 , 1.24490080556697 , -0.373912514337448 , -0.168665575577595 , 1.04145529528488 , 0.206546004720146 , -0.976639603593178 , 0.51897528059363 , 0.928341270440219 , -0.666603352839211 , -0.831103406337034 , -0.0978272272991933, -0.534896207369058 , -0.814424421622418 , -0.169450103964139 , -0.157292613620389 , -0.838451516550524 , -0.795900777181399 , -0.833534886963935 , 1.56720632865999 , -0.879996749131505 , 0.076242220327769 , -0.782488710626821 , -0.858363498527128 , 2.13782311425851 , -0.961440546513573 , 0.305579158606355 , 0.283482627938407 , -0.430378709151713 , -2.0189618414753 , 0.902676484703447 , 0.357486797246111 , 1.53664729952499 , 0.620884843775174 , 0.18773769928348 , 0.303217604762298 , -0.0517509797009981, -0.690936365437801 , -0.815963050177206 , -0.694669554596288 , -0.527528433617732 , 1.45584450273697 , -0.134749673716138 , 0.242052959647338 , -0.258356467072969 , 0.210352518893793 , 0.793258188696623 , 0.411456879657846 , -0.440371465683652 , 0.25754785016446 , 0.883001172771404 , 0.999603564733563 , 0.0866368250613642 , 1.20447783066754 , 1.57755535119155 , -0.873293404592205 , 1.35295688065848 , 1.66535910474096 , 1.18786625406779 , -0.380281085540135 , -0.125540611571837 , 0.400923500829546 , 0.589800397931965 , 1.75540493007746 , 0.879018831642369 , 0.853167293667601 , -0.0545480136504264, 1.38654654706191 , 2.21554121060948 , 1.3326534408127 , 1.05784997650723 , -0.400212843985116 , 0.252086147591313 , 0.543479695414052 , 1.29242938673341 , -0.757604064170778 , 1.50416398670046 , 0.113197784143728 , 1.11685800277587 , 1.39993196809895 , 0.0797766823167682 , 1.69646860480937 , -0.0536436925705193, -0.465702529826365 , 0.793332112289884 , 0.39672057377798 , -0.339972831775962 , 1.15129846152608 , 1.33761186200908 , -0.763160690680226 , 0.172267181096782 , 1.16331602081545 , 0.113305784269867 | 0.0001424 |
| 85 | 20 | 0.0 | 0 | 1 | control , control , control , control , control , control , control , control , control , control , control , control , control , control , control , control , control , control , control , control , intervention , intervention , intervention , intervention , intervention , intervention , intervention , intervention , intervention , intervention , intervention , intervention , intervention , intervention , intervention , intervention , intervention , intervention , intervention , intervention , -0.365547679080401 , -0.602980155175963 , 2.16452944380247 , 0.177388858017395 , 1.14095956522233 , -0.477881576275805 , -0.0735853045640754, -0.977738144477451 , -0.189008067755813 , 1.70960773977681 , -0.629143655928303 , 1.27336316914362 , 1.24094786969977 , 1.44791314958643 , 0.0812843173950114 , -0.211538856148488 , 0.668252944562252 , 0.282371731834622 , -0.949332861130871 , 0.417995223639036 , -0.0605882585515122, 0.128928930111496 , -1.74165106284914 , 0.537590745165446 , 0.731505945779933 , -0.0329208742473955, 0.235312730270453 , 0.391013858069737 , -0.892474024969394 , -1.03041373588867 , 0.173631604182359 , 0.58925395393148 , 0.480913538315121 , 0.0126705004002755 , 0.0750906466440315 , -1.22305701539691 , 2.52789964049488 , -2.3113229466995 , -0.70465329846526 , 1.01229115227833 | 0.2561125 |
| 85 | 20 | 0.5 | 0 | 1 | control , control , control , control , control , control , control , control , control , control , control , control , control , control , control , control , control , control , control , control , intervention , intervention , intervention , intervention , intervention , intervention , intervention , intervention , intervention , intervention , intervention , intervention , intervention , intervention , intervention , intervention , intervention , intervention , intervention , intervention , -1.1804437897715 , 0.731158093520985 , 0.24262757591025 , -0.527982837790457, 1.47891607886581 , -0.556091975354035, 0.483762464498877 , 2.52733820057253 , -1.67443965371638 , -1.42784600374193 , 0.319369034188218 , -0.419578735409057, 1.46393108726877 , -0.161337674837847, 1.28644884060231 , 0.769188655632739 , -1.04188083741831 , -0.75583488726945 , 1.19441926098921 , 0.934660526309236 , 0.511626759116428 , 0.525220508409183 , 0.347995055164243 , 0.17842249002549 , 0.927520902850518 , -0.575128495427145, 1.69431603989277 , 1.95683493454419 , 1.47802057598712 , 1.71677454472029 , 0.312214522741405 , 0.747847946425122 , -0.963869328137151, -0.853156091466996, 0.0930076145086227, 0.840154174203926 , 1.14875020090025 , 1.51188601888556 , 2.15537939320618 , 0.967624292497336 | 0.0943228 |
| 85 | 50 | 0.0 | 0 | 1 | control , control , control , control , control , control , control , control , control , control , control , control , control , control , control , control , control , control , control , control , control , control , control , control , control , control , control , control , control , control , control , control , control , control , control , control , control , control , control , control , control , control , control , control , control , control , control , control , control , control , intervention , intervention , intervention , intervention , intervention , intervention , intervention , intervention , intervention , intervention , intervention , intervention , intervention , intervention , intervention , intervention , intervention , intervention , intervention , intervention , intervention , intervention , intervention , intervention , intervention , intervention , intervention , intervention , intervention , intervention , intervention , intervention , intervention , intervention , intervention , intervention , intervention , intervention , intervention , intervention , intervention , intervention , intervention , intervention , intervention , intervention , intervention , intervention , intervention , intervention , -0.0453607865394868, 0.62089560309306 , 1.2005841153225 , 0.569612472769635 , -0.547376503078274 , 1.68479925909463 , 0.0834373640818979 , -1.95690362202284 , 1.00964326702736 , 0.604304934198346 , -1.25421253743067 , 0.920446825320039 , 2.30549106861746 , -1.39573725233773 , -0.548932365567042 , -0.909515230204293 , -0.53414317749496 , 0.0740872108655468 , 0.854808585734053 , -1.61338610670358 , -0.645487885541613 , 1.48809693634319 , -0.753874242032344 , -0.691566496086539 , 1.85521507737442 , 0.0168083891866752 , 0.530144369846651 , -0.396912426668972 , 0.417118807874436 , 0.760589763218747 , 2.56536685910404 , 1.04337003654577 , 0.326908350992551 , 1.44548490698418 , -1.11301108059835 , -1.67259184030554 , 0.244408660267553 , 0.732476822709263 , 0.373515268232766 , 0.526096913307829 , -0.885196855805301 , -0.998858188331527 , -1.20023460562202 , -0.760069304201234 , 0.240037062432303 , -0.196199247595848 , -0.0385388526680946, -0.671983440542174 , 2.46805358403808 , 0.330882599187366 , -0.616174555783156 , 0.929402184723379 , 1.91272650449597 , 0.0550217823923839 , -0.263887359749697 , -1.68194616146858 , 0.0630420934437613 , -0.385868916428485 , -2.12003333888255 , -2.06112426601941 , 0.555641077245398 , -0.98560328212352 , 0.744228167106591 , -0.772162478814334 , 0.803512178276449 , -0.504051993311976 , 0.0949823318377227 , -0.563520832550786 , 0.916022635491519 , -0.182882051296095 , 0.340982708021051 , -0.767165705633527 , 1.48675742024054 , -0.586425182662258 , -2.60374614358092 , -1.06877224912706 , 1.55475412268227 , -0.874336133045423 , -0.231446856862437 , 0.240292631214964 , 0.165012315031302 , 0.20279588487031 , 0.243802029247053 , -0.0258763904297746, 0.328009267761044 , 0.0245321428490855 , -1.09016715281279 , -0.741511498380001 , 1.39467987327133 , -0.641306703237765 , 0.258949826401556 , -0.957913410981236 , 1.11432915582529 , 0.419531755572932 , 0.261006501617572 , -0.767323989060586 , -0.923181192918086 , 1.53452142740729 , 2.08750575283309 , 0.0486375457753278 | 0.3390770 |
| 85 | 50 | 0.5 | 0 | 1 | control , control , control , control , control , control , control , control , control , control , control , control , control , control , control , control , control , control , control , control , control , control , control , control , control , control , control , control , control , control , control , control , control , control , control , control , control , control , control , control , control , control , control , control , control , control , control , control , control , control , intervention , intervention , intervention , intervention , intervention , intervention , intervention , intervention , intervention , intervention , intervention , intervention , intervention , intervention , intervention , intervention , intervention , intervention , intervention , intervention , intervention , intervention , intervention , intervention , intervention , intervention , intervention , intervention , intervention , intervention , intervention , intervention , intervention , intervention , intervention , intervention , intervention , intervention , intervention , intervention , intervention , intervention , intervention , intervention , intervention , intervention , intervention , intervention , intervention , intervention , -0.284997594887817 , 0.260664706533996 , -0.447069946774214 , -0.580522977175522 , 0.127563541280938 , 2.38573992489147 , 0.528347832604836 , -0.310115871072923 , -2.07105106024135 , 0.367856868189808 , 2.34756798190148 , 2.36786020327806 , -1.66091916324667 , 0.206604573438633 , 0.0530426089162743 , -0.915157914758659 , -0.0644155219281065, -1.05809597068742 , -0.704531518512338 , -0.0397207404628347, -0.0193631890787896, -0.677091023919649 , 1.17669216212439 , -0.61402934350356 , -2.3682847858552 , -0.385824648714802 , 0.89926651894902 , -1.21201588012134 , 0.906894899253677 , 0.680079246145858 , -1.19341673039908 , 0.974313596428491 , 0.754069137994685 , -1.1767382113906 , -1.88051936667008 , 1.316015642336 , -1.34925839308126 , -1.2654581721455 , 1.8721953970957 , -1.44864912079159 , 0.166860296841188 , 0.535274164554002 , -0.495675820944726 , -1.12902559785929 , -0.754192474721564 , -1.13252619567322 , 2.42134662203197 , -0.0872661229932863, 0.552297592060398 , 1.33416838634664 , 2.18385821432356 , 0.779031803937817 , 0.959596610933808 , 2.59723676302359 , -1.00917182820817 , -0.312450212895658 , 1.91031043529964 , 1.69459697931786 , 0.957643893196418 , -0.55079306145156 , -0.580439220865775 , 1.3440963805323 , 1.03531056104073 , -0.65930590789929 , -2.39688400210099 , -0.46179940161181 , -0.513797646437456 , -0.981453131758221 , -0.247137776952333 , -0.0696425624466174, -0.264662586320747 , -1.67132900345143 , 0.993022882094904 , 0.0971760522587111 , 0.357587564858987 , 2.22460359540785 , 0.17820635208779 , 1.52103819743684 , -0.323031623588731 , -0.542897248073472 , -1.43998465750644 , -0.0215813579511881, 0.851897275664127 , 0.934639296649861 , -1.07138267061055 , -0.978282444311896 , 2.43516378435063 , 1.74305887115494 , -0.0922277698697476, 0.161566934262896 , -0.778768006950376 , 0.40031916739538 , 0.383315109037875 , 0.0547495934707427 , 0.28674869331848 , -0.935155917143236 , 0.17643325103492 , 0.383353686746824 , 1.01156203643635 , 0.555993133232839 | 0.1822474 |
| 86 | 20 | 0.0 | 0 | 1 | control , control , control , control , control , control , control , control , control , control , control , control , control , control , control , control , control , control , control , control , intervention , intervention , intervention , intervention , intervention , intervention , intervention , intervention , intervention , intervention , intervention , intervention , intervention , intervention , intervention , intervention , intervention , intervention , intervention , intervention , -1.47252861752662 , -1.83303142356066 , -1.87447492258255 , 0.655709622427128 , 0.268906477813293 , -0.161054685486588 , -0.573805520817382 , -0.675158807014017 , -1.39528739348226 , 0.00755703698671919, 0.652779711724944 , 0.274653971359688 , 0.386374329602604 , -0.159732137369274 , 2.34122167212283 , -0.56558914671417 , 0.17539820134887 , 1.06588009491039 , 1.46408626393923 , -2.65551918378226 , -0.538206481488957 , 0.350928912221729 , 0.696831766494333 , 0.199575585992556 , -0.239507099380996 , -0.540286678531077 , -0.709317685093773 , -2.1054975032688 , 1.04115437222276 , 0.647377923025075 , 0.46375299203087 , 0.409446910903275 , -1.03700256967635 , 0.731719896382716 , 0.187565113965082 , -0.526793209187158 , 0.336822720048432 , 0.302999368029123 , -0.765594853486663 , 0.701011729843106 | 0.5720802 |
| 86 | 20 | 0.5 | 0 | 1 | control , control , control , control , control , control , control , control , control , control , control , control , control , control , control , control , control , control , control , control , intervention , intervention , intervention , intervention , intervention , intervention , intervention , intervention , intervention , intervention , intervention , intervention , intervention , intervention , intervention , intervention , intervention , intervention , intervention , intervention , 0.387405087815636 , -0.892003431161348 , -1.12271512253776 , -2.20529415598345 , -1.70641852015114 , -1.22546147685418 , 0.41772723400816 , -0.0271752997418006, 0.0743747297685052 , -0.0303971815299707, 0.77532395281705 , -0.851125984686979 , -1.34567596337234 , 1.11296489868526 , -1.11476210949705 , 0.729736695380333 , 0.0238714668622686 , -0.879896632060278 , -0.51868137962461 , -1.57674700491836 , -0.867417589850408 , 1.35806564461059 , 0.381946416017211 , 1.68027071126824 , -0.292864914617015 , 0.285418543288036 , -0.196903959691039 , 1.11463995459246 , -0.213432158577098 , -1.03818264371484 , 0.586054417250503 , 0.700696957294027 , 2.00995314126069 , -0.5960401685202 , -0.907958572181899 , 0.102839902812898 , -1.51482716374007 , -0.839925047302232 , 1.29468134151849 , 0.326108650815919 | 0.0335146 |
| 86 | 50 | 0.0 | 0 | 1 | control , control , control , control , control , control , control , control , control , control , control , control , control , control , control , control , control , control , control , control , control , control , control , control , control , control , control , control , control , control , control , control , control , control , control , control , control , control , control , control , control , control , control , control , control , control , control , control , control , control , intervention , intervention , intervention , intervention , intervention , intervention , intervention , intervention , intervention , intervention , intervention , intervention , intervention , intervention , intervention , intervention , intervention , intervention , intervention , intervention , intervention , intervention , intervention , intervention , intervention , intervention , intervention , intervention , intervention , intervention , intervention , intervention , intervention , intervention , intervention , intervention , intervention , intervention , intervention , intervention , intervention , intervention , intervention , intervention , intervention , intervention , intervention , intervention , intervention , intervention , 0.664357893295757 , -0.659368586158468 , 0.80221641744514 , 0.220153244173599 , -0.282929496978664 , -2.54166015062293 , -0.183883663014412 , -0.668458712016644 , 0.731974943801036 , -0.0578907166742403, -0.111527495243481 , -0.966929149766109 , 1.09543469577166 , 1.91737228184039 , -0.355445624718244 , -0.527503848913881 , 0.705371673818353 , -0.448629698128099 , 0.127449005932443 , 0.461493570963132 , -0.750365795448188 , -0.226399397150398 , 0.942460786873454 , 0.330511375357584 , -0.667920274076397 , -0.581439159143039 , -0.540417852846814 , -0.693407160124068 , -0.128863171843545 , 0.860643398030961 , -1.89090839777298 , 0.581625276395042 , 1.07391860402387 , 1.43307224395192 , 0.101099762570714 , 0.414219595169483 , -0.0343031729960522, -1.42817371892646 , -0.575792141282296 , -1.11900011324491 , 1.05515927471703 , 0.0265108616992372 , 1.09552586599122 , 0.746632438235887 , 0.652767167856068 , -1.22509665307951 , 0.99459182026556 , -0.0819504925449535, -0.475357239417188 , 0.476583129298198 , -1.77798737075089 , 2.49900093625469 , -0.472303323650664 , 1.41650380271152 , -0.9598843210495 , -0.365838337294022 , 0.869923117249419 , 0.929350104678768 , -0.285600474935307 , -1.88157311639629 , -0.81223083042812 , 0.77851973000395 , 0.768316248521595 , 0.284304161848497 , 1.77952858381123 , -0.631839024407591 , 2.17464145210694 , 0.801535363222634 , -0.0283586139444427, -0.698553515391118 , 1.21008449985807 , -1.23429721944912 , 0.598959291692277 , -0.0366427429923868, -1.48556927823741 , -0.384298922476027 , -0.622865797509345 , -1.41952658160152 , -0.834958010240223 , 0.356188672523162 , 0.26858647867043 , -1.0096185328991 , 0.788084145799824 , -0.472564560798803 , 0.988798780715635 , 1.07444551689031 , 0.589442036818531 , 1.85791131321565 , 0.566854590600029 , 0.283995389665057 , -1.00490853285379 , -1.47456670945427 , 0.300585350293887 , 1.24085873537843 , 1.67479549642176 , -0.89353955891467 , 1.22567158084203 , -3.22765299224901 , 0.205680249631283 , 0.141421392659514 | 0.7441832 |
| 86 | 50 | 0.5 | 0 | 1 | control , control , control , control , control , control , control , control , control , control , control , control , control , control , control , control , control , control , control , control , control , control , control , control , control , control , control , control , control , control , control , control , control , control , control , control , control , control , control , control , control , control , control , control , control , control , control , control , control , control , intervention , intervention , intervention , intervention , intervention , intervention , intervention , intervention , intervention , intervention , intervention , intervention , intervention , intervention , intervention , intervention , intervention , intervention , intervention , intervention , intervention , intervention , intervention , intervention , intervention , intervention , intervention , intervention , intervention , intervention , intervention , intervention , intervention , intervention , intervention , intervention , intervention , intervention , intervention , intervention , intervention , intervention , intervention , intervention , intervention , intervention , intervention , intervention , intervention , intervention , -2.00814976786827 , -1.0014792955418 , 0.942105227550004 , -0.436631203625435 , 1.70228397615115 , 1.76082495172396 , -1.68276457532358 , 0.944405923890652 , -0.327183339545585 , 0.275045531461013 , 0.207766342159809 , -0.212555747767417 , -1.13449776465533 , 0.720569749693046 , -0.334309996548713 , 0.868883568527578 , 0.0656516365026382 , -0.242860204642945 , -0.925697553228196 , 1.82469896420045 , -0.0368885880572991, 0.536313191988817 , -3.90254508795281 , 1.31013609079739 , 1.4483422952975 , 1.9872072029157 , 0.128277952600669 , -0.756464854081484 , -0.737130467497152 , 0.755450145266044 , 0.166114053134536 , 0.318801543625734 , -1.14863667164872 , -0.625935771874732 , 0.207788132002937 , -1.69657353386168 , 0.427665562347065 , 1.13216301434036 , 0.589998720284255 , 1.06788768671896 , -0.577400749994453 , 0.573684807192868 , -0.956999649507685 , -1.0470992178638 , 0.44272382994131 , -0.726284152955988 , 1.29955583937695 , -1.4135681572474 , 0.62405452016894 , -0.734667058951959 , 1.95287058443303 , -0.498679560318142 , 0.0570315058655502 , -0.717355786516581 , 0.284596329416187 , -0.411883096022576 , 1.3695736736602 , 0.432026964458953 , 0.901675479583653 , 0.5647525535837 , -0.0139941537637004, -0.224921047939883 , -0.375882832511988 , 0.0660625462659977 , -0.946168822351353 , 1.38024790898509 , 0.621577158749483 , 1.43754351532476 , 0.19660713807858 , 0.291984103730317 , 0.79625539790957 , 0.154699798668082 , 1.18027380012353 , 1.86997092355053 , 2.69111400824436 , -0.228523909767345 , -0.472073981289435 , 0.347170281285229 , -0.591288169295541 , -0.5392772666617 , -0.528264912467565 , -0.217835528919145 , -0.581382229036776 , 1.08555265636089 , 1.09247530396254 , 0.0601356397232453 , 0.448962454708371 , 0.864496383709658 , 0.0687587732998423 , -1.86705381400085 , -0.239875174136125 , 1.28048630511448 , 0.21664905887872 , 0.272891339789117 , -0.669021431965383 , -0.415234017431093 , 0.125959944253662 , 1.1329531493649 , 0.934242801423692 , 1.10171132772596 | 0.1137594 |
| 87 | 20 | 0.0 | 0 | 1 | control , control , control , control , control , control , control , control , control , control , control , control , control , control , control , control , control , control , control , control , intervention , intervention , intervention , intervention , intervention , intervention , intervention , intervention , intervention , intervention , intervention , intervention , intervention , intervention , intervention , intervention , intervention , intervention , intervention , intervention , 0.674359698209913 , -1.35450614118616 , 0.438551356231867 , 0.0772703192759968 , -0.463885373774747 , 0.165681301021246 , 1.0141883935079 , -1.24679784442235 , -0.543109072489316 , 0.107482051003463 , -0.609389614878067 , -0.836530798514102 , -0.178638051362305 , -0.452157241296519 , 0.927950770771074 , -0.34152489864606 , -0.259582699988932 , -0.53963392542815 , 0.613788831032876 , 0.243598691953897 , -1.89589864653398 , -0.240857306849651 , -0.289091946416609 , 0.582705195866421 , -0.46989021350341 , -0.399626597505545 , 0.924045959203248 , -1.26546048965754 , 0.683482170773562 , -0.0458833642160008, 0.0516697027065942 , -1.10312830401913 , 0.436617043444125 , 0.824333267477395 , -0.482858482997621 , -0.130897554204223 , -0.738088562227166 , -1.97699498818159 , 0.5402543835376 , -0.171735780185084 | 0.5875366 |
| 87 | 20 | 0.5 | 0 | 1 | control , control , control , control , control , control , control , control , control , control , control , control , control , control , control , control , control , control , control , control , intervention , intervention , intervention , intervention , intervention , intervention , intervention , intervention , intervention , intervention , intervention , intervention , intervention , intervention , intervention , intervention , intervention , intervention , intervention , intervention , 0.415159827638672 , -0.594027386013282 , -2.39377344636848 , 1.10503772480566 , 0.225159571609318 , -0.157830172661237 , -0.265012612317755 , 0.830204975373665 , 0.965539282153319 , 1.8862065535889 , -0.367000651903559 , 0.182858300935043 , -0.300193654031673 , 0.466709602732167 , -1.40018127574996 , 0.53896274972286 , 0.13856573439105 , 0.309718698046798 , -0.319216747986084 , 0.0745909787097571 , -1.07227275834597 , 1.29797170196646 , -0.186928335337102 , 0.37483573647671 , -0.0403587769823758, 2.01010680659674 , -0.429798965741957 , 1.97228216947267 , 1.31358339063989 , 0.311216838199442 , 0.220002577280889 , 0.74386277982645 , 0.704167870318938 , 1.16185482907044 , 0.53663402940449 , 1.65147696646597 , 0.699598267062861 , -0.108381908808574 , -1.55269814132343 , -0.961499651915176 | 0.2307873 |
| 87 | 50 | 0.0 | 0 | 1 | control , control , control , control , control , control , control , control , control , control , control , control , control , control , control , control , control , control , control , control , control , control , control , control , control , control , control , control , control , control , control , control , control , control , control , control , control , control , control , control , control , control , control , control , control , control , control , control , control , control , intervention , intervention , intervention , intervention , intervention , intervention , intervention , intervention , intervention , intervention , intervention , intervention , intervention , intervention , intervention , intervention , intervention , intervention , intervention , intervention , intervention , intervention , intervention , intervention , intervention , intervention , intervention , intervention , intervention , intervention , intervention , intervention , intervention , intervention , intervention , intervention , intervention , intervention , intervention , intervention , intervention , intervention , intervention , intervention , intervention , intervention , intervention , intervention , intervention , intervention , -0.621436501274135, 0.800660858931361 , 0.912300072263315 , 0.313220188129372 , 1.22652866397742 , 0.605553629440203 , 1.17633022015823 , -0.254900278427755, -0.821499889834703, -0.800921205311159, -0.481340813632948, -1.07614235847255 , -0.510848984786869, -2.60649279566857 , 0.809532703955081 , 0.88423150906306 , 1.09165352171618 , 0.210953640255277 , 0.0784023738996211, 1.38332202648989 , -0.8825371213775 , 0.913387193630684 , -1.03453635076057 , 0.947030832557429 , 1.24052808405906 , 0.269513299898014 , 1.45371624870068 , 0.530545818998237 , -0.510498383521532, 0.145787605127484 , -1.3525918915425 , -0.875797100059919, -0.28012398018138 , -1.56331462669651 , 1.30740603087283 , 1.80224431772104 , -2.11926397662189 , 1.98582737526852 , 0.698555093537654 , -1.96262813555346 , 0.135515976807456 , 0.992428832465033 , -1.18880689986165 , 0.806086199852595 , -0.994151065045258, 0.276024823718988 , -0.682102111472187, 0.478999684392797 , -0.616690527264922, 0.468147499633685 , -0.59252469571889 , 0.792358991172096 , 0.547898280286816 , 0.934417650160406 , -1.08931458967642 , -0.125611493904461, 1.2198486304311 , -0.311287063927722, 0.127665086739235 , 0.413864127170175 , 0.580636311970514 , -0.268827779762894, 0.0888437658743082, 0.0250515353975649, -1.67634424670505 , 0.182741862313367 , -0.317598347844768, 0.365858430406549 , 0.533303668478789 , -1.39451704953792 , 0.533870940134031 , 0.531257004430652 , -0.661389365267048, -0.096785209691181, 1.75972377213643 , 1.9342315126604 , -1.37846579878426 , 0.770380744716788 , 0.206487860711434 , -0.554042152635202, -0.732977202285526, -0.871539118205877, 0.853127498446664 , -1.07774557033097 , -0.477402803205049, 0.355310676620178 , -1.92200126395852 , -0.804609599738723, -1.09225826357681 , 0.557105046608534 , -1.34033538223385 , -0.760140389532284, -0.481803427338153, 2.68290973276363 , 0.394609122529178 , 1.36959239507769 , 1.54927907742789 , -0.274948194240414, -0.657424677911457, 0.0304313417797523 | 0.8194519 |
| 87 | 50 | 0.5 | 0 | 1 | control , control , control , control , control , control , control , control , control , control , control , control , control , control , control , control , control , control , control , control , control , control , control , control , control , control , control , control , control , control , control , control , control , control , control , control , control , control , control , control , control , control , control , control , control , control , control , control , control , control , intervention , intervention , intervention , intervention , intervention , intervention , intervention , intervention , intervention , intervention , intervention , intervention , intervention , intervention , intervention , intervention , intervention , intervention , intervention , intervention , intervention , intervention , intervention , intervention , intervention , intervention , intervention , intervention , intervention , intervention , intervention , intervention , intervention , intervention , intervention , intervention , intervention , intervention , intervention , intervention , intervention , intervention , intervention , intervention , intervention , intervention , intervention , intervention , intervention , intervention , 0.411427723516302 , -1.16051876043974 , -0.815693321622408 , 0.676535825857033 , 0.384880113903078 , -0.329783658545432 , 0.55675105062992 , -0.240525049236137 , -0.596745631413032 , -1.50847619895047 , 1.44026071079114 , -0.000372098356732 , -1.49088684579168 , -1.06510344621967 , 1.61604655432052 , 2.34782369537642 , -0.144056904872739 , -0.328397868840869 , -0.572711068137143 , -1.48583064810304 , -0.215824333237286 , 0.37897674102288 , 0.914555167488702 , 0.754722275505821 , 0.812691379916677 , 0.77102619686796 , 0.231022771278264 , -0.38139512037542 , 0.0155932959740478 , 0.6288704571382 , -0.919472989569438 , -0.475433368519801 , 0.146887696339549 , -0.272477279465595 , 2.42661732305814 , -0.486070158270352 , 0.374798664386438 , 0.276822631067048 , -1.96585070771613 , -2.68825958036185 , -0.82450495600011 , 1.69658459759595 , -0.442213664788095 , -0.691320253084291 , -2.19117545568148 , -0.624400844950163 , 1.92537831111865 , 0.376603479293248 , 0.0243384294009088 , 0.693400604347043 , -0.991945259880437 , 1.13217272429909 , 0.625658753346145 , 0.796148245324495 , 1.38561597876194 , -0.107413419048294 , 0.724117795540714 , 0.707455674382378 , 0.384951611564573 , -0.176904501504163 , -0.081392821511092 , 1.82776941686929 , 1.89596491349239 , 0.520582967261802 , -0.237445523551841 , -1.04229504981801 , 2.81717997047855 , 0.786337968805927 , 0.924947256355123 , -0.2164094004868 , 0.193070390339425 , 3.32743606381738 , 0.812445641623605 , -0.369461976906861 , -0.688239038922332 , -1.52531141282529 , 2.54991239975085 , -0.340354394152817 , 0.424059002072881 , 0.194971798398871 , 0.972018770056234 , 0.445015755656737 , 0.198740836557842 , 1.87272910107062 , 1.12372373959186 , 0.833126373765891 , 0.504668068420671 , 2.00542787639658 , -1.30762925888654 , -0.130255388069128 , 0.578680306818901 , 2.03504594917062 , -0.49465641203358 , -0.621032853828057 , -0.0768892507444695, 0.9586743357776 , -0.469580639550462 , -1.22342415945856 , 0.3662365262735 , 0.347836267907112 | 0.0162661 |
| 88 | 20 | 0.0 | 0 | 1 | control , control , control , control , control , control , control , control , control , control , control , control , control , control , control , control , control , control , control , control , intervention , intervention , intervention , intervention , intervention , intervention , intervention , intervention , intervention , intervention , intervention , intervention , intervention , intervention , intervention , intervention , intervention , intervention , intervention , intervention , 0.149771240697157 , 0.754586373224411 , -1.00943116126732 , -0.382957524723528 , 0.212206877458585 , -0.0711634930952331 , -0.177564252996902 , -1.1591165523328 , -0.362107014340929 , 1.07619297471347 , 1.71997713572796 , 1.20427064065315 , -0.00219268960841559, -0.254867381798478 , -1.11240949983706 , 1.99185735734954 , -0.471524364894087 , 0.135897992948806 , -0.978456209798127 , 2.29765322879815 , 1.4046946519415 , 0.572330545309082 , -1.51099841953124 , 0.646117656151225 , 1.08435803822524 , -2.92300945991717 , -0.264617392854667 , -0.227737888387736 , -1.87170484471264 , 0.0804994592559441 , 1.13145420713206 , -0.943551691788372 , 0.78650065055228 , -0.596135751758473 , 0.0121562967500025 , 0.923102660273318 , -2.39364804793771 , -1.14833081137655 , -0.10260971084128 , -0.801635689312952 | 0.1809494 |
| 88 | 20 | 0.5 | 0 | 1 | control , control , control , control , control , control , control , control , control , control , control , control , control , control , control , control , control , control , control , control , intervention , intervention , intervention , intervention , intervention , intervention , intervention , intervention , intervention , intervention , intervention , intervention , intervention , intervention , intervention , intervention , intervention , intervention , intervention , intervention , -0.108570074262979 , 0.973914683872502 , 1.71921862881899 , -0.0906988558423271, -0.861641084314833 , 0.92632479436579 , 0.0589654661708441 , 0.614525291346178 , 0.902205754557475 , -1.30247324146574 , 0.159373150837422 , -0.711936601227581 , -1.22333950665862 , -0.19065415244335 , 0.437870737787262 , 2.10499132426099 , -1.27830396156785 , 0.500768410034245 , -0.857804002257575 , -0.764049831538727 , 2.27639920071389 , -0.914532184769164 , 2.09552557279866 , -0.992263292358725 , 0.0609446269105941 , 0.40311634106762 , 0.633393898959847 , 0.751316256597336 , -0.780021920054567 , -0.821805352902659 , 0.497942759781056 , 0.221260062844001 , 0.658634656406526 , 1.33845335644721 , -0.893309499846878 , 1.41031848911 , 0.771381534275457 , 0.283550199854395 , 1.94803025775637 , 1.64296837209714 | 0.1427078 |
| 88 | 50 | 0.0 | 0 | 1 | control , control , control , control , control , control , control , control , control , control , control , control , control , control , control , control , control , control , control , control , control , control , control , control , control , control , control , control , control , control , control , control , control , control , control , control , control , control , control , control , control , control , control , control , control , control , control , control , control , control , intervention , intervention , intervention , intervention , intervention , intervention , intervention , intervention , intervention , intervention , intervention , intervention , intervention , intervention , intervention , intervention , intervention , intervention , intervention , intervention , intervention , intervention , intervention , intervention , intervention , intervention , intervention , intervention , intervention , intervention , intervention , intervention , intervention , intervention , intervention , intervention , intervention , intervention , intervention , intervention , intervention , intervention , intervention , intervention , intervention , intervention , intervention , intervention , intervention , intervention , -0.91443194918043 , 0.434286736221765 , -1.79061468094349 , 1.83875766453826 , 0.580301183361388 , 0.78990627945788 , 1.61952419769071 , 0.0517127179634246 , 0.31240024027457 , -0.58429893742509 , -0.658833944082367 , -0.525038614806212 , 0.953631787437687 , -0.406164633227125 , -0.209533803965036 , -0.439346279211149 , -1.69831677107834 , 1.00208393160973 , -0.244564797618627 , 1.63766304178693 , 0.545288650953929 , -0.87982670843987 , 1.04033246196296 , -0.264006977403676 , 0.250266987199 , -0.659129450906582 , 0.80525800769051 , 0.0421200542600979 , 1.35712032950263 , -0.138023931068414 , 0.260971714286635 , 0.409760225640806 , -0.0324532464679308, -0.399133222062367 , 0.203239626267758 , 0.458359559945149 , 2.168332327098 , -1.52240636558266 , -0.71569816826791 , -0.502958640637739 , -0.0537387959341183, -0.795914362998897 , -0.252690949808133 , 0.453812396101463 , -0.033231726850303 , 1.12031176002415 , 1.47272394620641 , -0.919484240771766 , 0.113104515924712 , 2.43833870181208 , -1.06031361100708 , -2.09167338288222 , -0.450878791970579 , -0.0842743803199994, 0.45278079433839 , 1.68643445229292 , -0.478655587808923 , 1.65165049417234 , -0.0880488672593133, 1.24155894386349 , 1.19322675863107 , -0.435159060856741 , -1.46345711098391 , 0.877280438365781 , -0.757585073312593 , 1.12578699717142 , 0.231574587901691 , -0.620009508678942 , 0.191061643877983 , -0.221035943605611 , 0.0288969853532629 , 0.157735242711738 , 0.427045982608909 , 2.90613778854847 , -1.63262374385263 , 1.22984537531063 , 0.37709789363318 , -0.702334101202032 , -0.897791439528944 , 0.231128051167931 , 0.283802363806491 , 1.41895562952687 , -1.07519645045927 , 0.158363368787619 , -0.585885025171052 , -1.20189447263442 , -0.0659658607196517, 0.205180192676743 , 0.0271190963574581 , -0.682553706797722 , -0.423439281587292 , -0.186599837409174 , 0.397274836160282 , 0.00420000083347232, 0.0976481918291165 , 0.490116522136738 , -0.644535515745861 , -0.0464036183793843, -0.0394872580788151, 0.24057557279711 | 0.4988055 |
| 88 | 50 | 0.5 | 0 | 1 | control , control , control , control , control , control , control , control , control , control , control , control , control , control , control , control , control , control , control , control , control , control , control , control , control , control , control , control , control , control , control , control , control , control , control , control , control , control , control , control , control , control , control , control , control , control , control , control , control , control , intervention , intervention , intervention , intervention , intervention , intervention , intervention , intervention , intervention , intervention , intervention , intervention , intervention , intervention , intervention , intervention , intervention , intervention , intervention , intervention , intervention , intervention , intervention , intervention , intervention , intervention , intervention , intervention , intervention , intervention , intervention , intervention , intervention , intervention , intervention , intervention , intervention , intervention , intervention , intervention , intervention , intervention , intervention , intervention , intervention , intervention , intervention , intervention , intervention , intervention , 1.06025157304969 , -0.27648125849994 , -0.239599910843972 , 0.865736965392898 , 1.58071798290167 , 0.343332105553221 , 0.606890281150994 , 0.00943651209230817 , -0.901237303345957 , -1.94711462668913 , -0.451481826450547 , 0.29364039869437 , -1.39224170004792 , -0.449232388630983 , 0.467336824128676 , -0.159350212777983 , -1.36222710643438 , 0.130532558489383 , -1.28919480892584 , 0.075415302470331 , -0.0998624874887451 , -1.40010020576719 , -0.979250204463675 , -1.06971257005293 , -0.00374750832141409, 0.78530027394047 , -0.966001974590763 , -0.68025475753558 , 0.774456613887568 , 0.581310909694774 , 1.65940874319496 , 1.78579739206199 , -1.2856180241666 , 1.15072302069533 , -0.021390080989514 , -1.17761485800282 , 0.713279778661333 , 0.832820279245025 , 1.91280962171382 , -0.248291836532538 , -0.963704566319515 , -0.423703585841467 , 1.01771924585372 , 0.341646923683974 , -0.225547595124436 , 0.773202701416447 , 0.101326630587389 , -0.217283523019897 , 0.649078197938957 , -0.457033147274558 , -0.0457184592885468 , 0.341549720637025 , -0.538445261263029 , 0.465825623547112 , 0.53289721571116 , 2.10033875535219 , 2.00270548270038 , 0.724762689562153 , 1.52644675190731 , -0.113700287962731 , 1.31719140069487 , 1.17290728960486 , 0.944685330612851 , 0.021689902482582 , 1.10563717821463 , 0.927237632925193 , -0.990196856274441 , 1.4223883048882 , 0.861039867186894 , -1.10767046893738 , -0.442648441527898 , -0.500896086258368 , -0.373271396416953 , 0.750609387714031 , 0.155796128324788 , 2.45254621942658 , 0.989219876180084 , 0.330230713569945 , 0.654276537853031 , -0.710789196353941 , 0.528894593706446 , -0.021065053168927 , 1.82357112766752 , 0.677130954102891 , -1.01306565649352 , 0.609108861570521 , 1.22682430555876 , -1.31380659648893 , 0.889086738727276 , 0.633551349558003 , 0.911014815438678 , -0.0836275668994297 , 1.14201290481614 , 1.2889232534698 , 0.358931249924986 , -0.819092100847237 , 1.35165693815152 , 1.32565860561313 , 0.165837585983648 , 1.93176632600845 | 0.0028638 |
| 89 | 20 | 0.0 | 0 | 1 | control , control , control , control , control , control , control , control , control , control , control , control , control , control , control , control , control , control , control , control , intervention , intervention , intervention , intervention , intervention , intervention , intervention , intervention , intervention , intervention , intervention , intervention , intervention , intervention , intervention , intervention , intervention , intervention , intervention , intervention , 0.176728882360736 , -1.21333178630174 , -0.0491537579808545, 0.490713697358281 , 0.64200500933042 , 0.151598094476304 , 1.68021041966722 , 0.411202742960948 , 0.654264440558923 , -0.54619814328978 , -1.15170389177122 , -0.409519345632314 , -1.14727539573652 , -0.346857351824421 , 0.00910440928869481, 0.319758910690765 , -1.40809063107952 , -0.173446635329381 , -1.1142354323554 , 0.197471143168793 , -1.0804424170592 , -0.189208207537309 , 0.370582035041517 , -0.818890923470719 , 0.212912362966417 , 0.174338979816746 , 0.86365883363099 , 0.279590196335391 , -2.86314821557584 , -0.551587441232155 , -2.74665011709316 , 0.0508910605009088 , -1.86777070091152 , 0.561058098712923 , -0.533517439455361 , -0.991615968482631 , -2.03624341084728 , -1.59949939268432 , 1.32140397658754 , 0.323861647308279 | 0.1989454 |
| 89 | 20 | 0.5 | 0 | 1 | control , control , control , control , control , control , control , control , control , control , control , control , control , control , control , control , control , control , control , control , intervention , intervention , intervention , intervention , intervention , intervention , intervention , intervention , intervention , intervention , intervention , intervention , intervention , intervention , intervention , intervention , intervention , intervention , intervention , intervention , 0.313820274185905 , 1.5587819121126 , 0.592374151965079 , 3.00776565885711 , -1.77641037931028 , 0.661037664589164 , 1.54613278122127 , -0.468691900527908 , -0.0612709947908176, -0.333645142886131 , 0.836602147836235 , 0.289787977386224 , 0.435640603457453 , -1.49809515122791 , 1.67604335864883 , 0.575200247733723 , -0.688908012860379 , 1.2205290760904 , -0.169219747067379 , -0.130423124835932 , 0.602834466779579 , 1.41513377069401 , -0.587327887605204 , 0.475240079264128 , -0.294825610842285 , 1.0823153698684 , 1.59286452133829 , -1.13654326343244 , -1.0601885647102 , -0.698937907471738 , 1.98863891941201 , -0.376037263168705 , 0.426871059562963 , 0.893206404120645 , 0.981346568960992 , 0.015636311292044 , -0.313143051225248 , -0.327545869561331 , 0.496031110208383 , -1.50105862282414 | 0.5570903 |
| 89 | 50 | 0.0 | 0 | 1 | control , control , control , control , control , control , control , control , control , control , control , control , control , control , control , control , control , control , control , control , control , control , control , control , control , control , control , control , control , control , control , control , control , control , control , control , control , control , control , control , control , control , control , control , control , control , control , control , control , control , intervention , intervention , intervention , intervention , intervention , intervention , intervention , intervention , intervention , intervention , intervention , intervention , intervention , intervention , intervention , intervention , intervention , intervention , intervention , intervention , intervention , intervention , intervention , intervention , intervention , intervention , intervention , intervention , intervention , intervention , intervention , intervention , intervention , intervention , intervention , intervention , intervention , intervention , intervention , intervention , intervention , intervention , intervention , intervention , intervention , intervention , intervention , intervention , intervention , intervention , 0.555010201429352 , -0.373158127040276 , -2.03930666879159 , 1.04091739962317 , 1.09547267764932 , -0.947916998299178 , 0.88828811020373 , 0.653839112475639 , 1.67725751220649 , 0.145362752100054 , 1.04084430752622 , 2.2540030693873 , -0.437984837850613 , 0.75147447932444 , -0.295599875576687 , -0.780080167672835 , -0.243118972574912 , 0.567187086539176 , -0.452040238611458 , 1.59582283115906 , -0.188078950239428 , 1.2434017110822 , 0.166096037070626 , 1.26496785187248 , 0.697484918436936 , -1.60093386995772 , -0.343398008106234 , -1.82917845205314 , -0.237958445572776 , -0.384823227252251 , 0.944147132263912 , -0.281142588699343 , -0.476596578226705 , -0.599632487685015 , -1.34677388955081 , -0.880666218538332 , -0.451058093969126 , 0.17277337443255 , -0.242919676703865 , -1.64400269514387 , 0.696636621722404 , -0.0651353203290411, 0.812121175532207 , -0.830775892530212 , 0.620727188942224 , -0.151135867768391 , -0.259240480008701 , 0.3678019112053 , -0.590701935347027 , -0.169291336880018 , -0.544973907031206 , -1.02559908360602 , 0.396542473070839 , 1.26854430615774 , 0.146783519217196 , -0.494147121370879 , -0.603308946048133 , -1.12830551435032 , 1.10885297585834 , -0.208983391533845 , 0.131844621608689 , -0.92543924893939 , 0.21529658446386 , 1.02132715171857 , 1.69582965414149 , -0.631169501553311 , -0.846222955314862 , 1.96950834716682 , 1.50335602098558 , -0.10521063262327 , -1.00835475227379 , -0.58396350321786 , 0.232348312339135 , -1.2797040076898 , 0.171222566753159 , -1.03512165684189 , 0.311628310057486 , 0.393809499217636 , 0.691682370296508 , 0.85040149305143 , -0.428649168362537 , 0.301706207711714 , 0.10578823455818 , -0.0675455777947512, -1.28272510734642 , 2.40438337675496 , -0.88660819104108 , -0.202264130780533 , -1.08264127172355 , 0.751614153435713 , -1.21715448543436 , 0.488062935009747 , -0.847447846090522 , -2.79926220734918 , 0.548612413749126 , 0.888971844670269 , 0.325277622988578 , -1.44119913045524 , 1.99206976063207 , 0.38560535678514 | 0.8801333 |
| 89 | 50 | 0.5 | 0 | 1 | control , control , control , control , control , control , control , control , control , control , control , control , control , control , control , control , control , control , control , control , control , control , control , control , control , control , control , control , control , control , control , control , control , control , control , control , control , control , control , control , control , control , control , control , control , control , control , control , control , control , intervention , intervention , intervention , intervention , intervention , intervention , intervention , intervention , intervention , intervention , intervention , intervention , intervention , intervention , intervention , intervention , intervention , intervention , intervention , intervention , intervention , intervention , intervention , intervention , intervention , intervention , intervention , intervention , intervention , intervention , intervention , intervention , intervention , intervention , intervention , intervention , intervention , intervention , intervention , intervention , intervention , intervention , intervention , intervention , intervention , intervention , intervention , intervention , intervention , intervention , -0.989850525522896 , 0.445347532808372 , -0.475317080972596 , -0.18895379353309 , -0.941834880287996 , 0.95825813551644 , -0.349704299975956 , -0.0554691854814849, 0.382846082423129 , 2.18313761076357 , 1.90334748273419 , -0.189309540392263 , 0.342853466431459 , -0.214762822619058 , 0.308052945996232 , 0.782695408287332 , -1.11633333064453 , -1.35914886474997 , -0.731373038565191 , -0.134491166812059 , 0.899724980635037 , 0.130281437610246 , 0.111801277769141 , 1.7325142743462 , 0.811928037835114 , 0.289052341799423 , -1.33058859126051 , 0.250286125701594 , -0.337192666381917 , -0.301102625216988 , -0.986039501649443 , -2.05735372339453 , -0.77328543637433 , -0.572889037862592 , 0.0445086280141129 , -2.36994361546166 , -0.692414152184671 , 0.940259467853463 , 0.217322090196476 , -1.03419820477198 , -0.221187091691197 , 0.856488885667902 , -2.42304974793087 , -1.83207197413656 , -0.299320947605676 , 0.157307692355495 , -0.444660210345705 , 0.761507428383606 , 0.448748808863718 , -0.960510054937708 , 0.65171251226263 , 1.84232280333242 , 1.1813151076906 , 0.046498534700637 , 1.63236267109906 , 0.0913891983102108 , 0.487801585558849 , 0.332746863371957 , -0.0901773030967398, 1.0498318849558 , -0.887976099048888 , 0.549017344158377 , -0.526594694869126 , 2.19789007028576 , 0.263759715801258 , -0.0112583764182157, 1.08156258420702 , -0.316096580783952 , 1.71879031525787 , -0.0737208721012619, 1.20587543188204 , -0.301503717248522 , 0.06536494623036 , 0.918487972809958 , -0.448750163128968 , -0.190604336832445 , -1.54286781497163 , 0.134771078354478 , -0.221432227369633 , 0.64162926210899 , 1.09189630113515 , -0.714576124103073 , 0.470977469089948 , 0.177283675636036 , 1.69443940451069 , 0.58512931307911 , -1.19728823355634 , -1.12281326057996 , -0.533947060676725 , -1.09497863550044 , 0.0972343876744949 , 0.36344601592028 , -3.14181212826273 , -0.884457263898427 , -1.1046736056358 , -0.0167272921357547, 1.3632649373395 , -0.839805189138206 , 0.380423977718119 , -0.141650566052217 | 0.1252001 |
| 90 | 20 | 0.0 | 0 | 1 | control , control , control , control , control , control , control , control , control , control , control , control , control , control , control , control , control , control , control , control , intervention , intervention , intervention , intervention , intervention , intervention , intervention , intervention , intervention , intervention , intervention , intervention , intervention , intervention , intervention , intervention , intervention , intervention , intervention , intervention , 0.486756258213829 , 1.06188124727108 , 1.46981645887259 , -0.187078142236392 , 0.454599175680439 , -0.862772186477312 , 1.23520146843541 , -2.22967923628456 , -0.00395597182355165, 1.41300024262901 , -0.129323466330305 , -0.505382673991001 , 0.514733699048263 , 1.90382968916409 , 0.863010212252725 , -0.0803597555349995 , 0.285888923577434 , 1.37985340438606 , -0.303022648033835 , 2.17187820599511 , 0.847841325792998 , 2.89479236087658 , -0.48391167465995 , -1.20776095025643 , 1.70356555265394 , -1.42831888294047 , 0.0224189690174268 , -0.406764476779737 , 0.883580699220674 , 1.22900977681485 , -0.352740829314003 , 0.844256434943716 , -0.173924209884586 , 1.43681798189687 , 0.29139718079364 , 1.70145969887656 , 0.326808171132176 , -0.426974122447088 , 0.244801847806306 , 0.958267477983315 | 0.9959226 |
| 90 | 20 | 0.5 | 0 | 1 | control , control , control , control , control , control , control , control , control , control , control , control , control , control , control , control , control , control , control , control , intervention , intervention , intervention , intervention , intervention , intervention , intervention , intervention , intervention , intervention , intervention , intervention , intervention , intervention , intervention , intervention , intervention , intervention , intervention , intervention , -0.282568264531479 , 1.51368210094256 , 1.27057470127917 , -1.12034053924474 , 0.136056096133335 , -0.420791548848679 , -0.710748103963077 , -0.744306216414225 , -0.00587152513882897, -0.359289399552728 , 1.44998665266154 , 0.533226016775 , 0.80213581771331 , 0.404767047701803 , -1.41457750252934 , 0.644668484069813 , 1.48348435900359 , -0.259977340467424 , -1.32469228905812 , -0.679854495038938 , 1.58636168872509 , 0.150760994661951 , 0.246482923054764 , 0.756134391884017 , 2.23393556239323 , 0.729164844114428 , -0.361300717998655 , -0.0383527238997767 , 0.123408872661628 , 0.817096401376559 , 1.24994401841009 , 1.42379555828176 , 0.401907937542373 , 1.02658485893018 , 1.6268908767145 , 1.27857043063594 , 1.21576088058183 , 0.909139026745334 , 0.0463955763832619 , 1.11720685721675 | 0.0043068 |
| 90 | 50 | 0.0 | 0 | 1 | control , control , control , control , control , control , control , control , control , control , control , control , control , control , control , control , control , control , control , control , control , control , control , control , control , control , control , control , control , control , control , control , control , control , control , control , control , control , control , control , control , control , control , control , control , control , control , control , control , control , intervention , intervention , intervention , intervention , intervention , intervention , intervention , intervention , intervention , intervention , intervention , intervention , intervention , intervention , intervention , intervention , intervention , intervention , intervention , intervention , intervention , intervention , intervention , intervention , intervention , intervention , intervention , intervention , intervention , intervention , intervention , intervention , intervention , intervention , intervention , intervention , intervention , intervention , intervention , intervention , intervention , intervention , intervention , intervention , intervention , intervention , intervention , intervention , intervention , intervention , -0.843627364465341 , -0.755118899154446 , 0.300582605940717 , -0.601060971329907 , 1.48506995044637 , 0.675773615531137 , 0.718774027428744 , -1.618414870392 , 0.236734041552976 , 1.95000869284308 , 0.132826180876329 , 0.510397909142272 , 1.75451396826791 , 0.398026737374427 , 0.152394597840154 , 1.6688832376194 , 1.21512232612436 , -0.3920122765899 , -1.33105741915167 , 1.28707004695488 , 0.97096171630941 , -0.589885531258748 , -0.0161914868466718, -0.0143311674483603, 0.788376093360127 , -1.30267125206092 , 1.23853640805492 , -0.216993948070018 , 0.644045266025864 , 2.7250069010583 , 0.159379542174912 , 0.81018212531601 , -0.678826558685315 , -0.134938954288762 , -0.130249531173617 , -0.524372898873155 , -0.327728390226671 , 0.70018494058754 , -0.507312546415669 , -0.05144300083979 , -0.354319756129007 , -1.43689957269649 , 0.0388387826052304 , -0.27184156034758 , 0.212157159295207 , -1.11874577084568 , -0.797353325119373 , 0.296373717387705 , 0.896489037183598 , -0.370254318969478 , 1.55529798523298 , 0.0604942687372594 , -0.757828133055153 , -0.864183394114157 , -0.63672826433004 , -2.60858918203172 , -0.333698310201506 , 0.366768263490452 , -0.41749186820942 , -0.971228910443198 , 0.903020943023252 , -1.91387141008274 , -0.947715199334988 , -0.152053448856671 , -1.23663371886624 , -0.593435469181891 , 0.135161782885897 , -0.98424309957756 , -0.832376046839587 , 1.4380322586969 , -0.181630524287409 , 0.517350835932939 , -0.0214101058194238, 0.313713065445685 , 1.27993955251515 , -1.85839710142379 , 0.373963442518261 , 1.55310468026532 , 0.151405384202202 , 1.09487545738159 , -0.135348719350756 , 0.55576977016287 , -0.397613643666602 , -3.51203191748795 , 2.17660172307389 , -0.539282692086729 , -0.967401998412056 , 1.29910736572908 , 1.0748236518435 , -0.973875053104882 , 0.0149858384221712 , -0.857501379706369 , -0.457605174026062 , 1.53953274182263 , 1.33847886343322 , 0.00100799311160642, -1.58410123315732 , -0.18542701972204 , 0.809521185037976 , 1.60386395833273 | 0.2419937 |
| 90 | 50 | 0.5 | 0 | 1 | control , control , control , control , control , control , control , control , control , control , control , control , control , control , control , control , control , control , control , control , control , control , control , control , control , control , control , control , control , control , control , control , control , control , control , control , control , control , control , control , control , control , control , control , control , control , control , control , control , control , intervention , intervention , intervention , intervention , intervention , intervention , intervention , intervention , intervention , intervention , intervention , intervention , intervention , intervention , intervention , intervention , intervention , intervention , intervention , intervention , intervention , intervention , intervention , intervention , intervention , intervention , intervention , intervention , intervention , intervention , intervention , intervention , intervention , intervention , intervention , intervention , intervention , intervention , intervention , intervention , intervention , intervention , intervention , intervention , intervention , intervention , intervention , intervention , intervention , intervention , 0.586618979356505 , -0.980272875295512 , 0.966149463053346 , 0.504397474763053 , -0.823954010063355 , -0.541558162554122 , 0.0099424406679349 , -1.31879219505151 , -0.257262760929741 , 0.521252809562597 , -0.220307314409733 , -0.52260239697305 , 1.55643814027075 , -0.271641589997099 , 0.637779179910766 , 0.839952060516074 , -1.83912915626512 , -0.495373446970483 , 0.101150504437083 , 0.19903573296836 , 0.259903323926881 , -0.876784714706873 , -0.985275422307522 , -1.99964288346217 , -0.304572113027419 , -0.217446289780485 , 1.57421791100091 , 0.185375212258542 , 0.287286836844183 , 0.516334143845473 , -0.67080020977046 , -0.114730649448918 , -1.68661200094061 , 0.198954871230062 , 0.895791233706236 , 0.014501949360234 , 0.395719020278976 , 2.89119726830046 , 1.36830097249036 , -0.286712642368228 , -0.116909804845354 , 0.976727783650088 , 0.575025557470011 , -1.58056248335397 , -2.87580474570122 , 1.75620774446943 , 0.125354822419591 , -0.166531010583087 , -0.00637204238585632, -0.380664620573486 , 2.11287881615845 , 0.701613266636481 , -0.403814834567892 , 1.14854594871696 , 1.27560054842064 , -0.184551777042856 , 0.784996227898485 , -1.78257050395504 , 0.976332275422912 , 2.9759735213187 , -1.35347424749262 , -0.180516890834606 , 0.0886841221574762 , -0.836167394949311 , 1.23958292120613 , 1.41408491485597 , -1.47316651240303 , 1.31684757632836 , 0.477364770498552 , 0.545459022723095 , -0.741263919325281 , 2.43120989071969 , 0.410008384734203 , 0.99183964653085 , 0.687097619540591 , -0.0686194238455985 , -0.978100421426723 , 2.13682431840512 , 1.57795999512243 , 0.631266408946154 , 0.371158433388665 , 0.78637376243949 , 0.768793605633463 , -0.317043379632764 , 1.91320819263451 , 0.177030352875414 , 0.158814558520409 , 1.81383923387127 , 0.881463212841461 , -0.636668696030277 , 0.568651096452268 , 2.25149615248903 , 0.00595981573946036 , 0.17036475946803 , 0.665879105948614 , -0.144150319751203 , 0.873206646827302 , -0.0749270484238208 , -0.115889169214971 , 0.451489758318798 | 0.0073283 |
| 91 | 20 | 0.0 | 0 | 1 | control , control , control , control , control , control , control , control , control , control , control , control , control , control , control , control , control , control , control , control , intervention , intervention , intervention , intervention , intervention , intervention , intervention , intervention , intervention , intervention , intervention , intervention , intervention , intervention , intervention , intervention , intervention , intervention , intervention , intervention , -0.646745274900225 , -0.295439024709833 , -1.1405466317133 , -1.22429476129107 , -1.32521655957497 , -2.66253723050764 , 1.00565063098393 , 1.07496476316601 , 0.123276892753599 , -1.06783302760291 , 0.0407505827433161 , -1.55720526074932 , 0.320652124384518 , -0.0724641066051055, -0.869500794078015 , 2.51946852108466 , 0.063314699254382 , 0.957691385716112 , 0.0208240789655958 , -1.2178382011142 , 0.762380179784731 , -0.232402399419996 , 0.890112644433568 , 0.133385839004562 , 1.00006985898077 , 0.328245610009831 , -0.660789402652383 , -0.673654840687337 , -0.0179817752609405, -0.543814758829867 , -0.357265834467964 , 0.0569356525313187 , 0.19033946528178 , -0.884174545070609 , -0.348820575573502 , -1.04215986931355 , 0.872228293246198 , 0.574449936898158 , -1.12431639953443 , 3.19894046486825 | 0.2428130 |
| 91 | 20 | 0.5 | 0 | 1 | control , control , control , control , control , control , control , control , control , control , control , control , control , control , control , control , control , control , control , control , intervention , intervention , intervention , intervention , intervention , intervention , intervention , intervention , intervention , intervention , intervention , intervention , intervention , intervention , intervention , intervention , intervention , intervention , intervention , intervention , 0.835347724281542 , 1.19595831692281 , 0.810394870235089 , 0.0593792434033087 , -0.737694093077484 , 0.118926683153171 , -0.86294982595119 , 1.49471452747875 , -0.342955989437697 , 1.27863229215707 , 1.42949183736249 , -1.78537338525168 , -2.1080761792685 , -0.189267308672037 , -1.24274505957471 , -0.751573086422298 , 0.197905113498364 , -1.10633073590041 , 0.946100785667667 , -0.381821494560023 , -0.00692272422778017, -0.548399435440954 , 0.593771195399568 , 0.252846442783597 , 0.192346900927965 , 0.268173560579705 , 0.266804462379855 , 0.58928120312425 , -0.672729073818437 , 2.98352251401735 , 1.59006626703245 , 1.50512908462124 , 0.0747300817267242 , 1.09512267892282 , 2.39638525447947 , 0.204126697973377 , 0.467088302818588 , 0.961209334202744 , 0.309163028545226 , 2.78528914908998 | 0.0176938 |
| 91 | 50 | 0.0 | 0 | 1 | control , control , control , control , control , control , control , control , control , control , control , control , control , control , control , control , control , control , control , control , control , control , control , control , control , control , control , control , control , control , control , control , control , control , control , control , control , control , control , control , control , control , control , control , control , control , control , control , control , control , intervention , intervention , intervention , intervention , intervention , intervention , intervention , intervention , intervention , intervention , intervention , intervention , intervention , intervention , intervention , intervention , intervention , intervention , intervention , intervention , intervention , intervention , intervention , intervention , intervention , intervention , intervention , intervention , intervention , intervention , intervention , intervention , intervention , intervention , intervention , intervention , intervention , intervention , intervention , intervention , intervention , intervention , intervention , intervention , intervention , intervention , intervention , intervention , intervention , intervention , -0.468974887614603 , 0.980273026000676 , -0.61989776273408 , -0.519735072619198 , 0.666047851286471 , -1.79924111363103 , -1.21532919685586 , 0.892239831426315 , 0.68656244332424 , -0.751891182237901 , 1.10370929472213 , 0.171969763002702 , -1.7178984475928 , 0.565874680600403 , -0.892798482385673 , 0.614332796537391 , 0.725555858200391 , 0.214248719952257 , 2.0130246011982 , 1.1063909197951 , 1.00318295064176 , -1.50682059942292 , -0.279145454455676 , -0.534788607319317 , 0.289152103899296 , -0.438302310116367 , 1.48832044585853 , 0.93470818491633 , -0.606243689061035 , -1.27312176550173 , -0.886479095311821 , -0.0194517983377515, -0.166166557049433 , -0.46418940947781 , -0.907682214596043 , -1.10268186122996 , -1.32195474385859 , 1.22120433596289 , -1.58806197226434 , -0.25604036627056 , -0.96356619000603 , -0.969129321137276 , 1.6468503217559 , 0.0112161828339776 , -1.08720044951697 , -0.0239141204452455, 0.83221962841191 , 0.111334644319913 , -1.76673668699849 , 0.429947915455343 , 0.838778566430589 , 0.917614908527772 , -0.187933581736954 , 0.0363390018874462 , 0.44234137513102 , 0.263904609745926 , -1.2528406582752 , 0.169877553213704 , -0.838746601650664 , -0.54485062500808 , 1.79232538234301 , 0.112007278893466 , 1.289312089788 , 0.193849997000107 , 1.65105948285984 , 0.713816396292949 , -0.0216620822781647, -1.3934230626235 , 0.347502522751936 , 1.13962846897362 , -0.03100216477827 , 0.257014983987817 , 1.61022695574904 , 1.12524328745877 , -1.3715297569849 , 0.591566869311487 , -0.387694316527081 , 0.0522877647608105 , 0.534120378085584 , 2.28939623733859 , 1.46733119152591 , 0.387201544610876 , 0.958425621830609 , -0.40914811178088 , -0.221300412297439 , 0.609387412368207 , 0.739078176314026 , 0.619191695994743 , 1.78196987949812 , -0.223733464470569 , -2.19159405934776 , 1.17400927930173 , 0.313190737442745 , -0.399242534707675 , 1.20634413509311 , 2.5687563408376 , -2.32234468711632 , -2.32387834299277 , 0.679684894975894 , 0.268751256518765 | 0.0401023 |
| 91 | 50 | 0.5 | 0 | 1 | control , control , control , control , control , control , control , control , control , control , control , control , control , control , control , control , control , control , control , control , control , control , control , control , control , control , control , control , control , control , control , control , control , control , control , control , control , control , control , control , control , control , control , control , control , control , control , control , control , control , intervention , intervention , intervention , intervention , intervention , intervention , intervention , intervention , intervention , intervention , intervention , intervention , intervention , intervention , intervention , intervention , intervention , intervention , intervention , intervention , intervention , intervention , intervention , intervention , intervention , intervention , intervention , intervention , intervention , intervention , intervention , intervention , intervention , intervention , intervention , intervention , intervention , intervention , intervention , intervention , intervention , intervention , intervention , intervention , intervention , intervention , intervention , intervention , intervention , intervention , 0.871911431958915 , -0.56924956338936 , 2.30271507952974 , 0.423143839121918 , -0.416741577453103 , 0.423169798153086 , 1.19258827549366 , -0.881614173740261 , 1.25205331820721 , 1.90097273825321 , -0.32535309044476 , 0.484086793810225 , -0.0429688461155125, -0.352009024560294 , -0.414064347767327 , -0.440255728335168 , 0.689292172364608 , 0.118418364652326 , 0.946611330390167 , 1.17899927444655 , 0.551548307045086 , -0.912367919902872 , -0.958794986416833 , 1.27468100678946 , 0.285202846117569 , 1.58603157827105 , 0.502714382995874 , 0.0673482589857319 , -0.773808209390718 , 1.09571083683966 , -0.292900539776336 , -0.642784624575384 , 0.973098384970295 , -0.736803616423389 , -0.663837189906692 , 1.31039468033168 , -0.656555568388116 , 1.28752766299577 , -1.14913656320716 , -0.659749532103622 , -0.309209772159383 , -0.492592109936513 , 1.04766434098123 , -0.717842916133091 , 1.23287152356922 , 1.60357517871331 , 0.521071756927466 , -1.31242673685635 , 0.44138330475362 , -1.40501136806122 , 1.32301670763534 , 1.93038628572136 , -0.111724957312396 , 1.08675896040988 , 0.696852122312157 , 0.0537075586130542 , 0.192126720303623 , 0.735919110986247 , -1.43766673221014 , 0.19829981805072 , -0.474439583728943 , 1.44492538136518 , 0.328198994150319 , -0.638284818371541 , 1.20441707949697 , 1.22501015493623 , 0.468364013954122 , 0.125647249693369 , 2.28787860481495 , 1.58244774879988 , 0.497904957507698 , 0.655121914243346 , 0.196728004936304 , 1.27059279742895 , -0.813116648280755 , 0.479809216267668 , 0.62930285635363 , 0.742785165637452 , 3.14725272456568 , -0.599122090607586 , 2.26524135608668 , 1.5121142355425 , 0.880871961661885 , 2.15326309782136 , 0.488243166521414 , -0.387040292697833 , 1.22235607699515 , 0.549493103348006 , 0.325767325094478 , -0.0413359158659509, 2.38049943171625 , -0.396870324362847 , 0.211846648627551 , -1.17925565480955 , 0.606470318814986 , 0.122767072384191 , -1.59356720740037 , -0.334696985066488 , 0.158003408246492 , -0.417470607343301 | 0.0903229 |
| 92 | 20 | 0.0 | 0 | 1 | control , control , control , control , control , control , control , control , control , control , control , control , control , control , control , control , control , control , control , control , intervention , intervention , intervention , intervention , intervention , intervention , intervention , intervention , intervention , intervention , intervention , intervention , intervention , intervention , intervention , intervention , intervention , intervention , intervention , intervention , -0.189116826252274, -0.241392073606391, 1.44100339924921 , 0.263191849839447 , 0.822982890840245 , 0.903339023323012 , -0.841597707738107, -1.06915110547762 , 0.4361060023771 , -0.029803627320646, 1.44480756298067 , -1.00257169070268 , -1.04100526477295 , 0.200252172321436 , 0.348296732404437 , -1.02338707083978 , -1.04243135459081 , -0.141096054139572, 0.269148792124977 , -1.49832510822459 , -0.224128711501213, 1.09711827195342 , 0.253337087830375 , -0.685238706930739, 0.861678163976565 , -1.86728549705691 , 2.69701574651669 , 0.540131168159048 , 1.45820577572469 , 0.611624485624277 , 0.39520655753842 , 0.0283338370700375, -0.464029258092217, 1.23797988931045 , -0.105169881051167, 0.437430461345419 , 0.122781533640984 , -0.725972091908195, -1.26451949513228 , 0.433859284012909 | 0.2589641 |
| 92 | 20 | 0.5 | 0 | 1 | control , control , control , control , control , control , control , control , control , control , control , control , control , control , control , control , control , control , control , control , intervention , intervention , intervention , intervention , intervention , intervention , intervention , intervention , intervention , intervention , intervention , intervention , intervention , intervention , intervention , intervention , intervention , intervention , intervention , intervention , -0.69287963623661 , -0.0178017263697361, 0.43338901771822 , 1.37512768506105 , 0.454890146467675 , -1.17151331774049 , -0.413912209631866 , -0.56045770434272 , -0.858239743884921 , 0.831024778974274 , 0.141525163334392 , -0.888414995043809 , -0.291110570608804 , -1.57318451670789 , -1.77418776671349 , -0.039389220475626 , 0.576786040974363 , -0.8508786643443 , 0.914213206117701 , 1.1037463725413 , 0.540188780574493 , 0.503499104334833 , 2.32666787064434 , 0.330200351811313 , -1.90522904110719 , 0.574689039290739 , 1.69631386107104 , 1.17798578709759 , 1.20905824031957 , 1.18179086599565 , 0.147157036466413 , -0.252631050323897 , 0.592597679222461 , -0.880149862770878 , 1.37970570790234 , 1.3421751101144 , 1.40276434552739 , 2.48450906481954 , -1.98262550071396 , 0.823615393874068 | 0.0209854 |
| 92 | 50 | 0.0 | 0 | 1 | control , control , control , control , control , control , control , control , control , control , control , control , control , control , control , control , control , control , control , control , control , control , control , control , control , control , control , control , control , control , control , control , control , control , control , control , control , control , control , control , control , control , control , control , control , control , control , control , control , control , intervention , intervention , intervention , intervention , intervention , intervention , intervention , intervention , intervention , intervention , intervention , intervention , intervention , intervention , intervention , intervention , intervention , intervention , intervention , intervention , intervention , intervention , intervention , intervention , intervention , intervention , intervention , intervention , intervention , intervention , intervention , intervention , intervention , intervention , intervention , intervention , intervention , intervention , intervention , intervention , intervention , intervention , intervention , intervention , intervention , intervention , intervention , intervention , intervention , intervention , 1.77588151071428 , -1.37309005366786 , 1.0643010044379 , 0.0920281876709573 , 2.07765508868977 , -1.06198651168169 , 0.91702659605233 , 0.75163989472876 , 0.999175636141353 , 0.115766362437488 , 1.34447442246857 , 0.727398187775415 , 0.456187454818075 , -0.849896200625316 , 0.652380217378961 , 1.38017696502336 , 0.163987786478267 , -0.920535281445964 , -1.09840517595025 , -0.514839466379999 , -0.445625966622993 , 1.59358418853361 , -0.909697450058016 , -0.24173402243822 , -0.316981737823568 , 0.124765393724794 , -0.905733219515669 , -0.97918613131629 , -0.99892983179579 , 0.567283260525006 , -0.526780547624378 , -0.927253032168629 , 0.0075926877723474 , 1.02273685901304 , -1.4541916393495 , -1.23270684794186 , -1.06335567273059 , -0.8652614940204 , -0.784377892308044 , -0.51324903225878 , -1.10981565913943 , -0.046399389957676 , 0.332393197640981 , 1.02242187920078 , 2.02746748485513 , 0.334882507025711 , -2.19030899223397 , 0.231917346832939 , -0.771609469816571 , 0.403511660410254 , -1.45411752659114 , 0.0704106817109577 , -2.54264323303263 , -1.28172605221044 , 1.59802159226713 , -1.02507231420434 , -1.29810431217424 , 1.42014485950954 , -1.00846067984893 , 0.985893000716431 , 0.562557555738155 , -0.607733559744174 , 0.524156973107353 , 2.09418590907942 , -0.123273432976302 , -0.769049150178213 , 0.159380134037631 , -0.896376825424195 , 0.140055031154533 , 1.39029901371353 , -0.334080214058455 , 0.244428440123987 , 0.0478919043892419 , 0.407127015845682 , -0.279901197364686 , -0.000627311055625267, 0.861768695447351 , -1.46573508372208 , -1.27663842276241 , 1.97555769832819 , 2.1232024636227 , -0.224322159617753 , -0.12421137184237 , 0.0949135827605149 , -2.43954061716261 , -0.533531853508701 , 0.745839423022262 , 3.08393094202151 , -0.149058571393115 , 0.490256915535033 , 0.466245560301753 , 1.11202835325194 , 1.15591391554925 , -1.31612706598909 , 1.38047049095587 , -0.16989766724864 , 0.313130017058921 , 0.853593035506565 , -0.207703925855675 , 0.144291092551253 | 0.5290408 |
| 92 | 50 | 0.5 | 0 | 1 | control , control , control , control , control , control , control , control , control , control , control , control , control , control , control , control , control , control , control , control , control , control , control , control , control , control , control , control , control , control , control , control , control , control , control , control , control , control , control , control , control , control , control , control , control , control , control , control , control , control , intervention , intervention , intervention , intervention , intervention , intervention , intervention , intervention , intervention , intervention , intervention , intervention , intervention , intervention , intervention , intervention , intervention , intervention , intervention , intervention , intervention , intervention , intervention , intervention , intervention , intervention , intervention , intervention , intervention , intervention , intervention , intervention , intervention , intervention , intervention , intervention , intervention , intervention , intervention , intervention , intervention , intervention , intervention , intervention , intervention , intervention , intervention , intervention , intervention , intervention , 0.292047526785923 , 1.3276459161667 , -0.0986468480201196, -0.584560332435517 , -0.274337907114896 , 0.0993986878097321 , -1.50368913644871 , 0.842593572701927 , 0.40058705685935 , 0.273837290692363 , 1.16275824452837 , 0.465011327744969 , -0.81974140573858 , 0.459554851266931 , -0.548584992825064 , -0.386025909119659 , -1.15360918537087 , -0.94051925882205 , 2.55528079941177 , 0.507813542010769 , 0.929471799593562 , -1.62873654085793 , 0.419619782005424 , 0.813360140010049 , 2.06783308159234 , 0.904891474906609 , 0.788318585021655 , 0.611932546554098 , -0.0769010682252626, 0.989064940211082 , 0.81540302682068 , -1.14085168133874 , 0.711083846483165 , -0.174745696778395 , 0.185519348846208 , -1.23285114210623 , -0.959590581486606 , -0.192808285599075 , 1.11451571101385 , 0.577832561587146 , -1.07531735024932 , 1.45144744776173 , -0.563300777369549 , 0.231572169934584 , 0.370687036877258 , 0.0250387639335993 , 0.287373853740026 , 2.32999909557842 , -0.2806196343754 , -0.582136207064595 , -0.324403062296165 , -1.12938291246141 , 0.712566605224015 , 0.764128383077496 , -0.0478288438154928, 0.140114448527584 , -0.939591810323822 , 0.612121186645694 , 1.25219408198488 , 0.490934333003009 , -0.452616411388746 , 2.01180850218831 , 1.01190684341311 , 0.450296905752132 , -0.196131771125823 , 0.00760985271576847, 0.24592618907186 , 0.81041482306801 , 0.624768923434514 , 1.25585057443823 , -0.0572559327224138, 0.211762567422158 , 0.724500032252631 , -0.301718709806489 , 0.660787510172442 , 0.262626071080218 , -0.415350425231094 , 0.60996325347618 , 1.65030745912294 , -0.0748044641676419, 0.847625330641845 , 0.734984070060388 , 1.43634025258075 , 0.215442794032205 , -0.474032355945825 , -0.189412346975394 , -0.979084528691479 , 2.08137825406294 , 1.80362624006048 , 0.631319565273007 , 0.355421490493046 , 1.3658748309865 , 0.995902516487226 , 1.85010725669148 , 1.32366056718899 , 1.22027328651473 , -0.390120952935913 , 0.414920313017402 , 1.73953430542393 , -0.375048987381534 | 0.0805975 |
| 93 | 20 | 0.0 | 0 | 1 | control , control , control , control , control , control , control , control , control , control , control , control , control , control , control , control , control , control , control , control , intervention , intervention , intervention , intervention , intervention , intervention , intervention , intervention , intervention , intervention , intervention , intervention , intervention , intervention , intervention , intervention , intervention , intervention , intervention , intervention , -1.08370489693937 , -0.194190181988283 , -0.74535199539245 , 0.195250199941517 , 0.858027608690061 , 0.99254443356148 , -0.715108685089238 , 0.124365250090687 , -1.87603430395389 , -0.700225916194988 , 0.58998409796461 , 0.748904859086883 , 1.35394266816952 , -0.557835968889645 , 0.120190634365804 , -0.0948804434926039, -0.805823165287937 , 0.758662650270577 , -0.999537149259602 , 0.179943673155965 , 0.507782825145133 , 1.08413939756918 , -0.098216456479374 , 0.0922156860904822 , -1.52289877191069 , -0.377747922889933 , -0.514928173633564 , -1.02568622438414 , -2.09685150783378 , -1.52915595230006 , -1.24481410795685 , 0.393093703106485 , 0.941137968994726 , 0.139390546068931 , -0.788933275864165 , 1.27571383035177 , 1.10387548296494 , 0.119809412070906 , 0.95204433692735 , -0.172039159382327 | 0.8757642 |
| 93 | 20 | 0.5 | 0 | 1 | control , control , control , control , control , control , control , control , control , control , control , control , control , control , control , control , control , control , control , control , intervention , intervention , intervention , intervention , intervention , intervention , intervention , intervention , intervention , intervention , intervention , intervention , intervention , intervention , intervention , intervention , intervention , intervention , intervention , intervention , -0.149798074149768 , 0.526510498820156 , -0.541268505695839 , 1.27467200061699 , 1.25434068548147 , -1.23163717652808 , -0.162711527646423 , -1.06653606482288 , -1.12635737362324 , -0.0124954396441594, -0.46341216724069 , 0.191686500604914 , 1.05168747981543 , 0.318514214718482 , 0.0543137991872836 , 0.864011753953788 , -2.19876208647942 , -0.493326505934866 , 0.923629031119618 , 1.32687676864798 , 1.01344573441005 , 0.0549855615959295 , -0.267438337088701 , 0.214451213841308 , -0.135504104917489 , 1.67421610468458 , 0.271767752000202 , -0.325287233201816 , -0.359185392810561 , 1.13379379214166 , -0.235536785579741 , 1.44225053580793 , 0.666390765471622 , 0.705198267542573 , 1.75558671308539 , -0.15200754286616 , 0.565631297110813 , -1.16850973141388 , -0.428761976499827 , 1.22360313275776 | 0.1998855 |
| 93 | 50 | 0.0 | 0 | 1 | control , control , control , control , control , control , control , control , control , control , control , control , control , control , control , control , control , control , control , control , control , control , control , control , control , control , control , control , control , control , control , control , control , control , control , control , control , control , control , control , control , control , control , control , control , control , control , control , control , control , intervention , intervention , intervention , intervention , intervention , intervention , intervention , intervention , intervention , intervention , intervention , intervention , intervention , intervention , intervention , intervention , intervention , intervention , intervention , intervention , intervention , intervention , intervention , intervention , intervention , intervention , intervention , intervention , intervention , intervention , intervention , intervention , intervention , intervention , intervention , intervention , intervention , intervention , intervention , intervention , intervention , intervention , intervention , intervention , intervention , intervention , intervention , intervention , intervention , intervention , -0.107410917368852 , -0.347192485681146 , -0.406390814903328 , -1.59876067856737 , 0.25793714127061 , -1.12170549396317 , -0.438246003924703 , -0.234886004427652 , -1.11638465386786 , -0.432611601080702 , 0.129983263982082 , -0.594575833389101 , -0.76291161529332 , 0.973089386950012 , -0.265897087951245 , -0.772648455468624 , -0.79835863436722 , 0.29949742690461 , 1.33382104824942 , 1.85119213197763 , -0.219065189111053 , -2.25435191496249 , 0.631591820047427 , 1.52601935612353 , -0.480887310429825 , 0.0625833721974402 , 0.55205804825806 , 1.72880444630948 , 0.431636395412082 , 0.824687480633759 , -0.688939858420258 , 0.129499441223716 , 0.670600182506042 , 1.16854943431133 , -1.21261440127645 , -0.72267193880612 , 0.428212185018357 , 0.840753641497237 , -0.0503384969433671, 0.20216717105081 , -0.453470794198023 , 0.258071666458627 , 1.00201531463878 , -0.0881941332928439, -1.00085922763021 , -1.40976870423734 , 2.17462829596992 , 0.368607594541353 , 0.463679728515335 , 2.93249307570638 , -0.109071398605887 , -0.697037387168909 , -0.696719008184599 , 0.201513053365106 , 1.02011423240819 , -0.700346938619716 , 0.37002238487064 , -2.19800127113218 , 0.0981420642871858 , 0.140181278270323 , -0.407961295882812 , 0.264429701295703 , -1.14289556928552 , -0.984041324311617 , -0.163337068106338 , 0.375740844880371 , -1.02726563247511 , -0.117431962686596 , 0.428933102419277 , 0.395518168777461 , -0.643117939479614 , -0.235727421378758 , -1.69179176665285 , 1.9008065892266 , 0.830954847327944 , -0.670565410788536 , 0.0102191177196758 , 0.153440352812633 , -0.209027094077674 , -0.777041223146973 , -0.0979950269148571, -0.900024228842471 , -0.351607475296481 , 1.70928983298048 , 0.0659911792317366 , -0.455966246498665 , 0.723079708653422 , -0.365899312267192 , -1.03630718048749 , -1.26073908379383 , -0.342971288277462 , -2.61712677248977 , -0.260849467897011 , -1.33690181526872 , 0.569938953691641 , -0.441950053666321 , 1.36702495367355 , -1.52869167697512 , 0.337555110951302 , 0.251743180349866 | 0.0962877 |
| 93 | 50 | 0.5 | 0 | 1 | control , control , control , control , control , control , control , control , control , control , control , control , control , control , control , control , control , control , control , control , control , control , control , control , control , control , control , control , control , control , control , control , control , control , control , control , control , control , control , control , control , control , control , control , control , control , control , control , control , control , intervention , intervention , intervention , intervention , intervention , intervention , intervention , intervention , intervention , intervention , intervention , intervention , intervention , intervention , intervention , intervention , intervention , intervention , intervention , intervention , intervention , intervention , intervention , intervention , intervention , intervention , intervention , intervention , intervention , intervention , intervention , intervention , intervention , intervention , intervention , intervention , intervention , intervention , intervention , intervention , intervention , intervention , intervention , intervention , intervention , intervention , intervention , intervention , intervention , intervention , 0.767041654603939 , -0.773327423684927 , -1.78592627312012 , 0.30015088334872 , 0.455784005725059 , -0.115762853244703 , 0.353885633719687 , -0.655354288072338 , -0.802670900063522 , -1.43179912208874 , -1.33323508767844 , 0.166889097049578 , -0.494907933153499 , -0.897484248248858 , -1.41013257755509 , 0.956358701453194 , -0.736490882614554 , -0.838758872673712 , 0.0850459197336887 , -0.17957350108699 , -1.54598184362689 , 1.99223021789912 , 1.10945820124281 , -1.50713970776709 , -0.950797602016996 , -0.691084471572804 , -0.446194804901272 , -0.678807846178267 , 0.655611787539657 , 0.411117898974568 , -0.614659322776517 , 0.686422546834751 , -0.122989134795357 , -0.618941719143414 , 0.654329727495121 , -0.970026134322714 , 0.289905770945047 , 1.24597909710093 , -0.628826661167642 , -1.31270166185551 , -0.547904798842416 , 0.336722841798274 , 0.183256650687515 , -1.99570299840993 , -0.416845921104234 , 1.97204938460703 , 0.00586469287937271, -0.445276010011023 , 0.345875881490017 , 0.57621039660335 , 1.05755871901184 , 0.365693940575626 , 1.35543516246647 , -0.0921910315119454, -0.116822111387271 , 1.11534136525413 , 0.828560128824371 , 0.847433085110323 , -1.55437175784117 , 2.91869419316648 , -0.191618434128472 , 0.786537593520079 , 0.790917181677105 , 0.786242321485553 , 0.14217861691081 , -0.847130360369283 , 0.13238914015112 , -0.165980113489887 , 1.89386233781277 , 0.656865602533169 , 1.08726800230764 , -0.150976450409072 , -0.0617857844077272, -0.50973631736891 , 1.23066676857954 , 0.371494817102476 , 1.55285148003373 , 2.18004037323349 , 0.431140385650264 , 1.32305762397192 , 2.21729854760336 , -0.154603389866715 , 1.80506917641523 , 0.0572610640368779 , -0.901541318315763 , 1.64458820573017 , -0.369100806091255 , 0.724966848166136 , 1.01617634947789 , -1.96406476284951 , 2.155069003595 , -0.622519440845114 , 0.640338852862698 , 1.23824452190838 , 2.21383360847207 , -0.349659673128359 , -0.171899912514599 , -0.5565874547535 , 0.633228635444119 , -0.0119008217353063 | 0.0001114 |
| 94 | 20 | 0.0 | 0 | 1 | control , control , control , control , control , control , control , control , control , control , control , control , control , control , control , control , control , control , control , control , intervention , intervention , intervention , intervention , intervention , intervention , intervention , intervention , intervention , intervention , intervention , intervention , intervention , intervention , intervention , intervention , intervention , intervention , intervention , intervention , -0.794782962384755, -0.120803568383383, 1.42506125938437 , -0.312902201231463, -2.16114296994987 , 0.124351138951432 , 1.94494660408074 , 0.915203537903261 , 1.24503153221609 , -0.134459305758867, -0.216839038178973, 1.58866605769526 , 0.17079245588059 , 1.08707009875375 , -0.03376310772687 , -0.969335432080574, -0.295182898918389, -0.438492891462584, 1.28531585189338 , 0.567516343614874 , -1.50234549557932 , -0.780368946304078, 0.66367965415709 , 0.0627393154770808, 0.593753357905037 , -0.539226736958939, -1.38833075600029 , -0.134766756598394, -0.497630100038718, 1.52945539765981 , 0.217290238225641 , 0.715743739843379 , 0.0930712092153568, -1.35176220594283 , -0.990377661548891, 1.38769014545967 , -1.28967226825868 , -0.275994015068942, 0.354838211250736 , 0.0754336233700155 | 0.1967366 |
| 94 | 20 | 0.5 | 0 | 1 | control , control , control , control , control , control , control , control , control , control , control , control , control , control , control , control , control , control , control , control , intervention , intervention , intervention , intervention , intervention , intervention , intervention , intervention , intervention , intervention , intervention , intervention , intervention , intervention , intervention , intervention , intervention , intervention , intervention , intervention , 0.0255728491372396 , 1.12534494846574 , 0.262053407325407 , -1.25183266418187 , -0.145258166478849 , -1.22484926958029 , -0.727351801205148 , -0.0111501527226149, -1.02382779972603 , -1.39450561087232 , 0.824522019552171 , -0.576531265438289 , 0.426161878548244 , -1.36026848078495 , -0.489857032265896 , 0.238010358993308 , -0.984197311062583 , -0.283436739053008 , 2.61349474912898 , -1.24012286504993 , -1.08466253377658 , 1.20883636126752 , 1.40016006379331 , 2.37502625942266 , 0.917518900868193 , 0.857429871181614 , 0.14469125561534 , 1.57556443610673 , 0.62512246131323 , 0.214469946067507 , 0.859731877100802 , 0.849427365053428 , 1.02291640163683 , 1.68408014062439 , -1.6682256306782 , 0.171525200186807 , 1.33162539610331 , -0.616245196002779 , 1.49598890963358 , 0.756235038611339 | 0.0037854 |
| 94 | 50 | 0.0 | 0 | 1 | control , control , control , control , control , control , control , control , control , control , control , control , control , control , control , control , control , control , control , control , control , control , control , control , control , control , control , control , control , control , control , control , control , control , control , control , control , control , control , control , control , control , control , control , control , control , control , control , control , control , intervention , intervention , intervention , intervention , intervention , intervention , intervention , intervention , intervention , intervention , intervention , intervention , intervention , intervention , intervention , intervention , intervention , intervention , intervention , intervention , intervention , intervention , intervention , intervention , intervention , intervention , intervention , intervention , intervention , intervention , intervention , intervention , intervention , intervention , intervention , intervention , intervention , intervention , intervention , intervention , intervention , intervention , intervention , intervention , intervention , intervention , intervention , intervention , intervention , intervention , -0.722956316227534 , 0.466178351575553 , -1.16446449030319 , 0.073573149962249 , 0.492844277412156 , 1.64055931846077 , 0.295472913501754 , -2.15895816059111 , 0.28022997671385 , -0.236746499276462 , -0.733975457808999 , 0.53770987957709 , -0.48555876900857 , 1.21997393761622 , 0.291082600897382 , -1.37201369172892 , 0.275107001668122 , -1.57107692211566 , 0.26826181439576 , -1.51012135615184 , 0.906161655248418 , 1.3243135647566 , -0.933996196504979 , -1.4382300954215 , -1.55388925737533 , 1.75698239328085 , 1.91862794593071 , 1.37679755255594 , -1.76279196469027 , 1.34651413752904 , 2.16657228781314 , -1.00394541095254 , -0.254131502848936 , -0.501881744372445 , 1.56085919161073 , -1.26920067457972 , -1.36418873913352 , 0.0685217023883305 , -1.16833474961923 , -1.790613792097 , -0.480072527861983 , 1.20137943414864 , 1.18731453164303 , -0.487642590136527 , 0.292691720553411 , 0.674687120031107 , 0.197997936371068 , -0.927942854023617 , -0.615188425152956 , 1.07338420393985 , -1.145436638024 , -0.0453925628226674 , 0.788335213014821 , -1.17009969681129 , -0.533470939779711 , -0.771717499619502 , 0.269263567329545 , 1.4487895164409 , 1.16384234253049 , 0.268380152587405 , 0.0418570577142236 , 0.799561776465338 , 0.924231478362745 , -0.340070938742576 , 0.493049157409518 , -0.454661191999618 , 0.243852426950023 , 0.71725577996724 , -0.642774666599761 , 1.12700301765475 , 0.330152359532921 , 0.618288570572594 , -1.42809214643851 , -1.2086679787715 , -0.325001776393191 , -1.18577291807924 , 0.308780587340649 , -0.0829799061668539 , 1.19229640898767 , -0.00335260115329439, -1.24425667749515 , -0.761278823414889 , 0.829523968915645 , 0.419431786241289 , 0.121622840044816 , -1.24503911134903 , 0.474066079584095 , 0.946630273167659 , 1.02542307031733 , 2.34673367833288 , -0.323663771602716 , -0.720843812858107 , 0.372076889722346 , -0.029223040932495 , -0.428442942248817 , 0.889157323167418 , 0.503472034488073 , -1.79245616771279 , 0.519149555206478 , 0.533526527220905 | 0.5255013 |
| 94 | 50 | 0.5 | 0 | 1 | control , control , control , control , control , control , control , control , control , control , control , control , control , control , control , control , control , control , control , control , control , control , control , control , control , control , control , control , control , control , control , control , control , control , control , control , control , control , control , control , control , control , control , control , control , control , control , control , control , control , intervention , intervention , intervention , intervention , intervention , intervention , intervention , intervention , intervention , intervention , intervention , intervention , intervention , intervention , intervention , intervention , intervention , intervention , intervention , intervention , intervention , intervention , intervention , intervention , intervention , intervention , intervention , intervention , intervention , intervention , intervention , intervention , intervention , intervention , intervention , intervention , intervention , intervention , intervention , intervention , intervention , intervention , intervention , intervention , intervention , intervention , intervention , intervention , intervention , intervention , 0.241303025065297 , 0.474275668430006 , 1.68263236123933 , 0.384021210051396 , 0.693842814604943 , 0.939740315456899 , 1.21157920933883 , -2.13215367385486 , 0.380868474993083 , -1.29449110603238 , 0.687333051884407 , 2.55112476847433 , 0.579442052696698 , -1.00380461794245 , -0.923433129931495 , 0.648342639953967 , -0.462733090082866 , -0.507579463750207 , -1.41456162437486 , -0.839265327253773 , 1.30942972270552 , -0.113764633710198 , -0.850841315047332 , 0.564468381870296 , -1.1178286810911 , 0.523111734507404 , -1.47022314721067 , -1.19654286702575 , -1.53196365174219 , 1.33681871953057 , -0.0890670996740472, -0.791887682314175 , -0.855446079011723 , -0.723391290745493 , 0.459894086034456 , 1.01026303588305 , -1.20872962982863 , 0.47174111829096 , 2.79079518681725 , -0.538819188033979 , 0.963672544186713 , 0.25104111652596 , 0.530407002381085 , 0.137403646762679 , -2.45756484361958 , 0.102054033263779 , 0.728773382469204 , 2.84010548466707 , 0.69421669782468 , 0.305019509077809 , 1.10290110013703 , 1.55403593857839 , 0.125114577243411 , 1.46190264329326 , -0.517297671007314 , -0.743959587300566 , 0.941025863408996 , -1.08518745364002 , 0.551039461633319 , -1.26564636435487 , 1.47305767266686 , -0.855470894577717 , -1.37250746330325 , -1.81437465505749 , 0.389768920266834 , 0.609872841680141 , 0.59988194795904 , -0.421596325098663 , -0.477435749441044 , -0.940344318291237 , 0.371650655528851 , -0.379167735941857 , 0.182682670575787 , 0.20211635732773 , -0.102900688450318 , 2.00050048311912 , 1.85410405089993 , -0.617465202980792 , -0.743793964445993 , -0.166448024463565 , 1.05470417452549 , 1.99189732054122 , -0.33744814614096 , 0.0264945745669438 , -0.378044255080555 , 0.235032089365994 , 1.81467116171786 , 0.0281034753638721 , -0.197302377876451 , 1.17947003400118 , -2.84006291359781 , 0.821362399757824 , -1.64953151088016 , 1.16289593758373 , 0.524028785669436 , 0.863338934712251 , -0.963766090543706 , 0.244348757284318 , 0.549529979240696 , 0.505826512061413 | 0.8164189 |
| 95 | 20 | 0.0 | 0 | 1 | control , control , control , control , control , control , control , control , control , control , control , control , control , control , control , control , control , control , control , control , intervention , intervention , intervention , intervention , intervention , intervention , intervention , intervention , intervention , intervention , intervention , intervention , intervention , intervention , intervention , intervention , intervention , intervention , intervention , intervention , -1.57581686367826 , 0.082268174552028 , 0.0873860770197857, -1.07625408768841 , 1.55366286996371 , 0.662088072512962 , -0.512321435286133, 2.59332946223436 , 0.498455857461815 , -0.387890027110456, 1.48186732236107 , -0.777456660569394, -0.683046035939222, 0.266341290789089 , 0.136513723833929 , 0.52420553576335 , -1.30240032256499 , 0.14751625030791 , -0.757718555643095, -1.68070210973315 , 1.153937169797 , 0.225401250422079 , 0.054020430482261 , -1.07830957210282 , 0.515713000016045 , -0.694116869456163, -0.382501367805083, 0.61479818319133 , 0.0310073368796875, 0.501788823051412 , -1.34322880549103 , 2.58478366147603 , -0.26882378104544 , -0.59177792530023 , -0.853100625989466, -0.458383907306083, 0.157120303930594 , -2.04381232688472 , -0.582551454469095, -0.680572339296632 | 0.7149523 |
| 95 | 20 | 0.5 | 0 | 1 | control , control , control , control , control , control , control , control , control , control , control , control , control , control , control , control , control , control , control , control , intervention , intervention , intervention , intervention , intervention , intervention , intervention , intervention , intervention , intervention , intervention , intervention , intervention , intervention , intervention , intervention , intervention , intervention , intervention , intervention , 0.636423987701482 , 1.20469469959836 , 1.09880958622475 , 0.340592124820693 , -0.677897218141541 , -0.225131782620785 , -0.0302936524629414 , 1.04801126431511 , 0.491760765023485 , -0.00304208735162848, 0.5152080778033 , -0.745776094560751 , -1.52213524614645 , 0.853335818280508 , -0.841631482307713 , 0.129466544955643 , -0.275382170443128 , -0.299436542507868 , -2.09301452108266 , -2.41245542990892 , 1.21476839770548 , 0.593147981061132 , -0.724681380178287 , 0.137138654928035 , -0.260515309574346 , -0.345793583767702 , 1.54980025784761 , -0.216754307108882 , 0.948401193685741 , 0.810043664720219 , 1.58239144268414 , -0.553401237370951 , 1.52459784188104 , 2.56338804155997 , 0.254456753628277 , 0.368487656366913 , 1.86361678656765 , -0.163614008988713 , 1.18762944884825 , 1.76213061422497 | 0.0092997 |
| 95 | 50 | 0.0 | 0 | 1 | control , control , control , control , control , control , control , control , control , control , control , control , control , control , control , control , control , control , control , control , control , control , control , control , control , control , control , control , control , control , control , control , control , control , control , control , control , control , control , control , control , control , control , control , control , control , control , control , control , control , intervention , intervention , intervention , intervention , intervention , intervention , intervention , intervention , intervention , intervention , intervention , intervention , intervention , intervention , intervention , intervention , intervention , intervention , intervention , intervention , intervention , intervention , intervention , intervention , intervention , intervention , intervention , intervention , intervention , intervention , intervention , intervention , intervention , intervention , intervention , intervention , intervention , intervention , intervention , intervention , intervention , intervention , intervention , intervention , intervention , intervention , intervention , intervention , intervention , intervention , -1.82528270865213 , -0.793195552148459 , 1.21803575181203 , 0.192137780312457 , -1.96194142714451 , -2.12653312711764 , 1.00410557980193 , -0.81282638805072 , -1.57522105926741 , 0.842507100203096 , -0.143629300811622 , 0.381710877646457 , 0.00970771617880646, -1.27810493445348 , 0.481982751468978 , -0.930708960004559 , -0.186511805204532 , 0.966151305495803 , 1.28589646949847 , 0.238632945959099 , -0.916277208772495 , -1.02083739593453 , 2.00520773645108 , -0.257121365055085 , 1.62718167994383 , 0.67605425080715 , -0.681350673350782 , 0.395128107217242 , -0.400860868628955 , 2.1876961955603 , 1.26431250397292 , 0.167349934773951 , 0.168833412793176 , -0.531686187652962 , 0.350380639688671 , 0.254795409760815 , -0.502729556750794 , -0.819133973095024 , 1.12279813389231 , 0.988292322391236 , -0.64758033828152 , -0.0641239533067276, 2.37976577358648 , -1.13614598884805 , -0.655501497139839 , -0.587235628710885 , -0.095635209818403 , -0.418622964487857 , -1.06590479944593 , -0.557306410039032 , 2.15464830224654 , 0.148593085630013 , 0.591215995065964 , -0.575410868629645 , -0.455141019359343 , -1.321343154167 , -0.96716262812002 , -0.192945063892872 , 1.44633168197681 , 1.21943077403823 , -1.85991384395602 , 0.137393300387139 , -1.03179812654731 , 1.21915266453526 , 0.068215660495666 , -0.756253945125123 , 0.105890024746912 , 2.00421042533855 , -1.15487312661359 , -0.246822415328755 , 1.26513317194721 , 0.00526389284557369, -0.759905038188021 , -0.67152666634551 , 0.473784878123741 , 0.841890065422767 , 0.641466699286728 , -1.08720896936703 , -0.15606232070379 , -0.461169283452993 , -0.2422111348603 , 0.645575580966705 , 0.456638072802765 , -0.819576095934024 , 0.845845372474171 , 1.86269188770057 , -0.263562137087817 , 0.880805761740858 , -1.41959035714256 , -0.132570259235187 , -0.423715172210565 , 0.892239320254772 , 0.423614483360993 , -0.855955815900818 , 0.658131471585616 , -1.73930955326864 , 0.865415859742856 , -0.105597248571982 , -1.39345920671608 , 0.708052222166713 | 0.7483593 |
| 95 | 50 | 0.5 | 0 | 1 | control , control , control , control , control , control , control , control , control , control , control , control , control , control , control , control , control , control , control , control , control , control , control , control , control , control , control , control , control , control , control , control , control , control , control , control , control , control , control , control , control , control , control , control , control , control , control , control , control , control , intervention , intervention , intervention , intervention , intervention , intervention , intervention , intervention , intervention , intervention , intervention , intervention , intervention , intervention , intervention , intervention , intervention , intervention , intervention , intervention , intervention , intervention , intervention , intervention , intervention , intervention , intervention , intervention , intervention , intervention , intervention , intervention , intervention , intervention , intervention , intervention , intervention , intervention , intervention , intervention , intervention , intervention , intervention , intervention , intervention , intervention , intervention , intervention , intervention , intervention , -0.216845585748654 , -1.82007781451606 , -0.545039314097468 , -1.03625280818484 , -0.470397243588584 , 0.336409813241439 , -0.367277156178687 , -0.322800263800406 , -0.947173617314868 , -0.0665487839657994, -0.623575334218812 , 0.216997533658756 , 0.0559459977164336 , 0.758827973402908 , 0.527885132617921 , 0.884922964408502 , -0.450414907828816 , -0.292712912962712 , 0.644214916273338 , -1.27798425146911 , -0.0690048264176563, -0.283175998179673 , 0.404179146332779 , 1.16635950139594 , -1.61624852946804 , 0.324930258404288 , 1.85551321123132 , 1.91490558296691 , -0.089188531644604 , 0.536479202351555 , 0.790147111607169 , -0.702272055615739 , -0.303724641900157 , -0.417167307846923 , -1.73760614203188 , 1.04960779808738 , 0.299995618562448 , 1.08044677664811 , 0.222597304665975 , -0.416590693485815 , 0.180729771538008 , 0.68700328981715 , 0.447879021568788 , 0.155728986712399 , -0.991482266444952 , 0.303933069827585 , 1.12231052441831 , 1.91758586480315 , -0.722264163548251 , -0.0923004022143465, 0.632684373544106 , -0.437284386716673 , -0.0506861988207572, 0.043388914701909 , 1.70897889543349 , 0.385794254707901 , 0.650803581140822 , 0.56389479120554 , 1.66266555320048 , 1.92083065207114 , -1.24262316747823 , -0.0113094568257771, 1.66471523841066 , 2.57461979729115 , 0.391147726298184 , 2.10334213395262 , 1.64418169905926 , -0.772871661811941 , 1.21838750741255 , -0.915557889533826 , -0.13218429428215 , 0.816546792812149 , -0.342974691468989 , 0.419320609755709 , 0.696748231011263 , 0.688894332866923 , 0.626419536860795 , 0.369996472665037 , -0.03440951708707 , 1.2267254327106 , 1.58432062902308 , 0.107885593997833 , 0.520233702935435 , 0.181813191603699 , -0.185948278320946 , -0.367393163112058 , 0.619022405587727 , -0.796835543320567 , -0.63483120918546 , 0.978663192347637 , -0.740999422802985 , 1.21972375446405 , 2.26039820784622 , 0.598216794479028 , 0.887490197794074 , 2.13985477398079 , 0.62016863028461 , 0.66203624837446 , 2.56732974653719 , 1.62657549615425 | 0.0013425 |
| 96 | 20 | 0.0 | 0 | 1 | control , control , control , control , control , control , control , control , control , control , control , control , control , control , control , control , control , control , control , control , intervention , intervention , intervention , intervention , intervention , intervention , intervention , intervention , intervention , intervention , intervention , intervention , intervention , intervention , intervention , intervention , intervention , intervention , intervention , intervention , -1.25997281702031 , -0.492665480795247 , 0.250269246357829 , 1.47853911037595 , 0.744438554683052 , -0.833217010871234 , 1.10774168070046 , 0.507551764321493 , -0.492845227698394 , 1.08798917673964 , -1.32569289801376 , -0.928737346684006 , 0.621644564202635 , 1.22556687284185 , 0.61035723554397 , 0.14009210028567 , 0.81530153390292 , -0.461672747745674 , 1.2393347766719 , -0.556524208092282 , -1.09104539586053 , 0.572585098294319 , 1.13838049391573 , 0.161506654189116 , 2.15375670126839 , -0.214365050112325 , 0.0588119272010886 , 0.407027574765287 , 0.358341109835933 , -0.00130931405577497, 0.31554688021683 , -0.153573299634532 , -0.562258766673069 , 1.71157918200665 , 0.613616309234148 , -1.18427170947639 , -1.42812741226496 , -1.2352432855145 , 0.910253112655813 , 1.04578488649302 | 0.9866348 |
| 96 | 20 | 0.5 | 0 | 1 | control , control , control , control , control , control , control , control , control , control , control , control , control , control , control , control , control , control , control , control , intervention , intervention , intervention , intervention , intervention , intervention , intervention , intervention , intervention , intervention , intervention , intervention , intervention , intervention , intervention , intervention , intervention , intervention , intervention , intervention , -0.646693745509881 , 2.19093205489969 , 0.2329635653913 , -0.240552843201887 , -0.115100573077624 , -0.740609717806257 , 1.15456607020718 , 1.34835219041161 , 0.119273550759122 , 0.0132958066039779 , -0.208369902715326 , 1.04274732357831 , 0.0831914369459985 , 0.326302307497571 , 1.37787201808031 , 1.64496351078081 , -0.618239095786668 , -0.273432707295931 , 0.414610264197609 , 0.50985200980624 , 3.55609268770552 , -0.259512621492908 , -0.705452438671802 , -0.124681815048656 , 1.21222428939417 , 2.41214396179362 , 0.340717792470775 , 0.823694377221817 , 1.93988502755141 , -0.0183499476521706, -1.51160401824119 , 2.12196278182886 , 0.329230949586894 , 1.19008012239119 , 0.471440805769853 , 2.34532620927707 , -0.0163963572831807, 0.501240777909072 , 0.125971766934874 , 0.856244165278623 | 0.2314585 |
| 96 | 50 | 0.0 | 0 | 1 | control , control , control , control , control , control , control , control , control , control , control , control , control , control , control , control , control , control , control , control , control , control , control , control , control , control , control , control , control , control , control , control , control , control , control , control , control , control , control , control , control , control , control , control , control , control , control , control , control , control , intervention , intervention , intervention , intervention , intervention , intervention , intervention , intervention , intervention , intervention , intervention , intervention , intervention , intervention , intervention , intervention , intervention , intervention , intervention , intervention , intervention , intervention , intervention , intervention , intervention , intervention , intervention , intervention , intervention , intervention , intervention , intervention , intervention , intervention , intervention , intervention , intervention , intervention , intervention , intervention , intervention , intervention , intervention , intervention , intervention , intervention , intervention , intervention , intervention , intervention , 2.12946080290987 , -0.734793304525926 , -0.148309840225455 , -0.375469575851687 , -0.769885051027735 , 0.0964004907239369 , 0.965156944082112 , -0.125071707823002 , 0.412687688530302 , -0.886886064868208 , 0.368353407481435 , 0.658124530855562 , -0.284898497114906 , 0.400774385211389 , 0.241984247067326 , 0.495326822228907 , 2.69189464153732 , -1.08507716603122 , -1.22189129642399 , -1.28273319595724 , 1.17753248474189 , -0.0137855269346726, 0.405682200455186 , -0.447949529110783 , -0.316301761207368 , -1.00404799280307 , -1.50657439006168 , -1.17361781309128 , 0.362547379044581 , -2.83569143607513 , 0.466112952610935 , 0.959622642865453 , 1.23416704220202 , 0.844225890355361 , 0.53054408230338 , -0.777045694781575 , -0.04904228711337 , 0.293196261799757 , 0.808323655313188 , -1.14993880807303 , -0.647769952323678 , -1.91169034508307 , -0.946886618832716 , -0.602035014661591 , 0.0718921073441423 , 0.391802012259209 , 2.20644470004259 , -0.900497658853837 , 0.0699730059349303 , 0.5549507925534 , 2.43185521528229 , 2.1009821711459 , -1.8423783398318 , -1.7436750660802 , -0.317674174347488 , 0.738475403534941 , 1.58743668399901 , 1.4316559366959 , 0.367426203917098 , 0.27163451005543 , 0.610056009918832 , -0.96124395532482 , -0.285998457131218 , 1.65104259029286 , -1.27447858999978 , 0.383431443033053 , 0.7679006560726 , -0.960061592391042 , -1.49468416959527 , 0.678792430614315 , -0.237757468423724 , -1.04867191083473 , 0.667630774411494 , -0.433920992302557 , 0.416230487150286 , -0.306910185718218 , -1.15681462793123 , 1.29735440153646 , 0.919438245053041 , 0.317584493022488 , 0.333687481781356 , -0.295829721766447 , 0.399227857880656 , 1.48946873604989 , 0.909274453840096 , 1.1022597251443 , -0.491604446597794 , 1.22721923568289 , 0.0403430711118579 , 0.46942529955676 , 1.35092200405268 , 0.912696783169004 , -1.18874413285967 , -0.850018712674842 , -0.350989078138361 , 1.36818652433496 , -1.03110345452129 , -1.63368293988354 , -1.53240076483974 , -0.198934953909936 | 0.3989118 |
| 96 | 50 | 0.5 | 0 | 1 | control , control , control , control , control , control , control , control , control , control , control , control , control , control , control , control , control , control , control , control , control , control , control , control , control , control , control , control , control , control , control , control , control , control , control , control , control , control , control , control , control , control , control , control , control , control , control , control , control , control , intervention , intervention , intervention , intervention , intervention , intervention , intervention , intervention , intervention , intervention , intervention , intervention , intervention , intervention , intervention , intervention , intervention , intervention , intervention , intervention , intervention , intervention , intervention , intervention , intervention , intervention , intervention , intervention , intervention , intervention , intervention , intervention , intervention , intervention , intervention , intervention , intervention , intervention , intervention , intervention , intervention , intervention , intervention , intervention , intervention , intervention , intervention , intervention , intervention , intervention , 0.582047110151579 , 0.120649931340533 , 0.250385512565322 , 0.804254126306059 , 1.9466600940349 , -1.24827371018443 , 0.728434598743469 , 0.66756968103571 , -0.250676529486185 , 0.481857844382666 , -0.0614477080331488 , 2.11526387584655 , 1.06252670843239 , 1.45828877188479 , 0.0499205866999742 , -0.27713573573521 , -0.925630937553974 , 0.0560209398911087 , 0.814253588717513 , 1.80694734337953 , -0.67172119564811 , -0.671066713926432 , -0.826696384666882 , 0.362659456695247 , -0.01351395127717 , -0.73010393817322 , 0.235242510209141 , -1.15574994551506 , 1.70757074840223 , -2.01615848705221 , -1.18007502246134 , 1.91172355168572 , -0.0571149043070718 , 1.62423033818845 , -0.554954902761257 , -0.520709931942585 , 0.721700643875718 , -1.71965961730819 , -0.0281398101415512 , 1.06457432741455 , 2.18701095237233 , -0.551047037172328 , 1.60687103379881 , 2.86855010424919 , 1.52857453690896 , -0.287947510718761 , -0.754684985657721 , 0.370966976162175 , -1.4226193332893 , -0.704578632978258 , -0.485427732814985 , 1.03127362364762 , 1.49936960540451 , 1.3442836261005 , 0.476179441738456 , 1.79566865999218 , 0.398089017052592 , 0.784024285269839 , 0.516813658173409 , 1.7848601704722 , -0.548475300249335 , 1.12545975121275 , 0.742130917091584 , -1.48195895277993 , 1.1662086099295 , 1.14190062166232 , 0.867467362278958 , 0.446279812222704 , -0.64211537774796 , 0.43518594956434 , 0.759796319301803 , -0.463327265492214 , 0.995355625135098 , -0.144046125918318 , 2.32178144676865 , 0.442227974243226 , 0.824647456628995 , 1.83328239184436 , -0.348784541960883 , 0.558883695907899 , 1.46153703285833 , 0.541931142934302 , 0.0893586064516329 , 1.87526896657535 , 1.03312675113323 , 1.14675659393623 , 3.0727135900916 , 0.684230478741872 , 0.526534118009936 , 1.26947850143839 , 0.988782791810903 , -0.0475912271005812 , -0.0498169426810573 , -0.00732878717048346, -1.7638749068929 , 0.247799856386645 , 2.29278439799189 , 2.45506304687709 , -0.594189836689291 , 0.511300457237667 | 0.0348487 |
| 97 | 20 | 0.0 | 0 | 1 | control , control , control , control , control , control , control , control , control , control , control , control , control , control , control , control , control , control , control , control , intervention , intervention , intervention , intervention , intervention , intervention , intervention , intervention , intervention , intervention , intervention , intervention , intervention , intervention , intervention , intervention , intervention , intervention , intervention , intervention , -0.171391273313073 , -0.207840605043699 , 1.84708151548678 , 0.872283298004766 , -0.945570693132518 , 0.228983469199761 , 0.297502307848595 , -0.74552440553854 , -0.474020662308548 , 0.374667369626512 , 0.0679444249607537 , 1.48804112433517 , 0.450058551968231 , -0.861894499028787 , 0.700081517374096 , 0.473450289187792 , -0.850877685789689 , -1.24278396368994 , -0.328544390266043 , -0.784255234794031 , -0.0173741774562154, 1.13520458597324 , 0.0752446315250328 , 1.04350199358449 , -1.03833568473506 , -0.650228452513359 , 1.12597152136083 , 0.867862040910342 , 0.847279491036127 , -0.739085706159453 , -1.41697839249249 , 0.0800434849067948 , 0.460744516858561 , -0.966270211762489 , -0.0809084383305376, -0.368703816934415 , -0.0883235877699521, -1.39729103117668 , -0.113925403825845 , -0.485325690969914 | 0.7143569 |
| 97 | 20 | 0.5 | 0 | 1 | control , control , control , control , control , control , control , control , control , control , control , control , control , control , control , control , control , control , control , control , intervention , intervention , intervention , intervention , intervention , intervention , intervention , intervention , intervention , intervention , intervention , intervention , intervention , intervention , intervention , intervention , intervention , intervention , intervention , intervention , -2.57547565062904 , 0.344700450685287 , 0.284437127267181 , 2.44164567577194 , -0.488486305137082 , 1.53608921500099 , 0.163271915155663 , 0.529062972495488 , -0.844429157030013 , -0.636669443247402 , -1.05209720614206 , -1.15376685382428 , -0.432736216573723 , 0.518490422157975 , -0.941826592545519 , 1.18627383604569 , 0.748765339066363 , 0.0266440726671089 , -1.52979454150056 , 1.21108823105168 , 1.31690051169059 , 0.775493087552156 , 0.938855048966331 , -0.535839490483286 , -0.0500949059321263, 0.208094090403279 , 1.76932491386007 , 0.249437938067293 , 0.138838117936908 , -0.271685252609983 , -0.646344453393028 , 0.184457302629313 , -0.715423551016205 , 0.273313307902211 , -0.0347499969395428, -0.0384641932205513, 0.481489053562418 , -0.351045906411078 , 0.724167836308062 , -0.672904044609743 | 0.4712111 |
| 97 | 50 | 0.0 | 0 | 1 | control , control , control , control , control , control , control , control , control , control , control , control , control , control , control , control , control , control , control , control , control , control , control , control , control , control , control , control , control , control , control , control , control , control , control , control , control , control , control , control , control , control , control , control , control , control , control , control , control , control , intervention , intervention , intervention , intervention , intervention , intervention , intervention , intervention , intervention , intervention , intervention , intervention , intervention , intervention , intervention , intervention , intervention , intervention , intervention , intervention , intervention , intervention , intervention , intervention , intervention , intervention , intervention , intervention , intervention , intervention , intervention , intervention , intervention , intervention , intervention , intervention , intervention , intervention , intervention , intervention , intervention , intervention , intervention , intervention , intervention , intervention , intervention , intervention , intervention , intervention , -0.0610839565013475 , -0.187689608043508 , 0.450768899817351 , 0.0468380950782796 , 1.05048164934337 , -0.03786460911698 , 0.827012331068261 , -0.992753060611248 , -2.11161280997494 , 0.926369955933169 , -0.691673490143945 , -1.70072108797241 , 1.07038078386987 , 0.65650152658839 , -0.963031632670104 , -0.915663988419315 , -0.679911945837736 , 0.0713512132052414 , -0.844410778091998 , -1.53983251968719 , -2.54636511810512 , 1.14758411763875 , -0.500917254051708 , 0.609731833916712 , -0.0164215350580593 , -0.460447714263527 , 0.64097144545768 , -0.672658690554189 , -0.0372003224625511 , 1.04878387119062 , -0.608916649293152 , 2.26993914233422 , 0.00127088417352578 , -0.584990807902389 , -0.33319702359513 , -0.495278910577388 , -0.0817539970139887 , -0.0444733321720648 , 1.76643832778776 , -0.994333222742371 , -0.333419692252824 , -0.0122162012639358 , -0.793041312687969 , 0.0293758574916553 , -0.971993394639072 , -0.960335995196583 , -0.627530604493877 , -0.0564985512311308 , 0.728448415615995 , -0.00481449508130344, -0.00674831701313596, -0.133658539876319 , -0.156226341070052 , -2.24429759149904 , -0.123809321935472 , 0.72828774676046 , -0.669077518426919 , -0.914150420530955 , -0.243633790561379 , -0.238212868539494 , 0.812897022486775 , -0.81073081859084 , 0.313634720467058 , 0.832744153067897 , 0.0551066443586537 , -0.261700329205057 , -0.69087281875195 , 0.197039259983719 , -2.5421072353423 , 0.755390500840221 , 0.156963391110138 , 0.0722866780756879 , 1.10238199384841 , 0.975433651270753 , -1.03133805840616 , 1.1579463257869 , -1.18612731994164 , -0.675553876684418 , 1.57823603129223 , 0.378590220890592 , -1.11894279873771 , -0.0574179095187974 , -0.421193497355351 , -1.73675974727862 , 0.871409186011341 , -0.330324619803652 , -0.210850818265052 , 0.714353423321009 , 0.294940150523475 , 0.875347929092982 , 2.18254375218871 , -0.820023898179379 , -0.557927248553477 , 0.484566393026324 , -0.361436537159249 , 0.98088932105973 , 1.47184918264231 , -1.07968815126448 , 0.455279989250091 , -1.04608488896994 | 0.5023711 |
| 97 | 50 | 0.5 | 0 | 1 | control , control , control , control , control , control , control , control , control , control , control , control , control , control , control , control , control , control , control , control , control , control , control , control , control , control , control , control , control , control , control , control , control , control , control , control , control , control , control , control , control , control , control , control , control , control , control , control , control , control , intervention , intervention , intervention , intervention , intervention , intervention , intervention , intervention , intervention , intervention , intervention , intervention , intervention , intervention , intervention , intervention , intervention , intervention , intervention , intervention , intervention , intervention , intervention , intervention , intervention , intervention , intervention , intervention , intervention , intervention , intervention , intervention , intervention , intervention , intervention , intervention , intervention , intervention , intervention , intervention , intervention , intervention , intervention , intervention , intervention , intervention , intervention , intervention , intervention , intervention , 1.04542649016074 , -0.401107535145402 , -1.33157828023609 , 0.372882602753622 , -1.44891357331134 , -0.68532174813034 , 0.687779921222828 , -2.16552225446165 , -0.729874068395465 , 1.1523700030914 , -0.693940788078868 , -0.441188583571988 , 0.998530796507526 , -1.62476229192092 , 0.699073829331352 , 0.798925303415935 , 0.0104481564173151 , 0.563985123683106 , 1.32985117392782 , 0.092818858170571 , 0.776897517061119 , -0.976614637313418 , -0.849973317432255 , 1.08864620313463 , -0.920123565838352 , -0.490330242075387 , 1.30809834677649 , -0.589732146158802 , 0.598425228407674 , 0.991090055676181 , -1.61720418966866 , 1.18655620110363 , 0.563034739813222 , -0.0134048502037065, 0.954108021181813 , -0.394670220710884 , -0.539006790563873 , 1.76517751001456 , -1.35052767629653 , -0.211004303729264 , 0.0337703437480281 , 0.252458447802349 , 1.96005773297249 , 0.390203143086877 , -1.70757012223487 , 0.306118581356586 , -0.564635230577522 , -0.537687149881897 , 0.856333596852575 , -1.52083534477778 , 0.188209005110211 , 0.126298175660623 , -0.758082530629035 , 1.12545217649177 , -0.424121039454366 , -0.396669519125258 , 1.80622113099809 , -0.55598488101136 , -0.204071079702075 , 0.161513704157557 , 0.197842685792199 , -1.72267467907642 , 0.606343543120829 , -0.253212926470526 , 1.7751006690582 , -1.42501629366039 , 0.209184426855595 , -0.326829314350395 , 0.996782316228318 , 1.05624312572554 , -0.65449838111488 , 0.0841106323289461 , -0.511258305998973 , 0.769840833119091 , 0.726718960929693 , 0.712183032032582 , 1.05802033168689 , 1.10253021626685 , 3.0943413989338 , -0.937933836780774 , -0.848078259404731 , 0.423559354271384 , -0.107568304888113 , 0.524497676423078 , 0.401584072456557 , -0.266057352089619 , 0.554303892743265 , 0.153954140770201 , 0.370966966622016 , 1.31299564172437 , -0.215661168010312 , 0.423376766012587 , -0.827455757329393 , 2.0617963359332 , -0.411644825858534 , 0.87507637023415 , -0.851445295251311 , 0.373535881601243 , 0.930014892819027 , 1.23739577510652 | 0.1280462 |
| 98 | 20 | 0.0 | 0 | 1 | control , control , control , control , control , control , control , control , control , control , control , control , control , control , control , control , control , control , control , control , intervention , intervention , intervention , intervention , intervention , intervention , intervention , intervention , intervention , intervention , intervention , intervention , intervention , intervention , intervention , intervention , intervention , intervention , intervention , intervention , -0.257242683003732 , -0.332888288002247 , 1.18846446586854 , 1.04478808546296 , -0.638676401780708 , -1.18896099187832 , 0.753271978092276 , -0.870352107580262 , 0.20147956109602 , 2.2366510788162 , 0.547042188196993 , 0.560750704609104 , 0.499059597883629 , 1.79643734561852 , -1.00724643754121 , -0.531339704930929 , -1.19969962956195 , 0.481530251699795 , -1.31099417166579 , 0.425667503939294 , 1.16414019630617 , 1.17478802735541 , -0.913594045157727 , -0.583048230268007 , 1.44106930837883 , 0.645465440600909 , 0.219273321259087 , -0.819834794402708 , -0.0142364514444201, -0.647328086415544 , 0.681133475432944 , 0.0683285456039603 , -1.55789457532394 , -1.07747171597684 , 0.928359790233538 , -1.11542353478075 , 0.420049675491718 , -0.055488878303119 , -0.316359788730117 , -0.726736994209186 | 0.5638905 |
| 98 | 20 | 0.5 | 0 | 1 | control , control , control , control , control , control , control , control , control , control , control , control , control , control , control , control , control , control , control , control , intervention , intervention , intervention , intervention , intervention , intervention , intervention , intervention , intervention , intervention , intervention , intervention , intervention , intervention , intervention , intervention , intervention , intervention , intervention , intervention , 0.142445842267761 , -0.706322336561216, 0.798374215255558 , 2.44297438898375 , -0.645530618624079, 1.70288053419601 , -0.389871487442699, 0.343917747065207 , -0.410638810597921, -0.266793290584092, 1.15102528390159 , -2.39747433511687 , -0.187159357156603, 0.453915352034548 , -0.628794073583836, 1.03086802092313 , -0.499946589705206, -1.22039469719056 , 0.574918886111938 , 0.932432656430547 , -0.602119380245312, -0.360287327895571, -1.75495691944114 , -0.570774130651492, 0.523510319362762 , 0.301799952005995 , -0.4179921771157 , 1.80771116418711 , 0.562619027603782 , -0.728197617777497, 1.96243084769705 , -0.005632958757261, 0.524997335638395 , 2.49607459300474 , -0.367653375455737, 2.30273998434896 , -0.456517115606224, -0.686778882945612, 1.90676373517367 , 0.398080152606458 | 0.5239315 |
| 98 | 50 | 0.0 | 0 | 1 | control , control , control , control , control , control , control , control , control , control , control , control , control , control , control , control , control , control , control , control , control , control , control , control , control , control , control , control , control , control , control , control , control , control , control , control , control , control , control , control , control , control , control , control , control , control , control , control , control , control , intervention , intervention , intervention , intervention , intervention , intervention , intervention , intervention , intervention , intervention , intervention , intervention , intervention , intervention , intervention , intervention , intervention , intervention , intervention , intervention , intervention , intervention , intervention , intervention , intervention , intervention , intervention , intervention , intervention , intervention , intervention , intervention , intervention , intervention , intervention , intervention , intervention , intervention , intervention , intervention , intervention , intervention , intervention , intervention , intervention , intervention , intervention , intervention , intervention , intervention , 0.0110271242907814 , 0.568452367165873 , -0.0134928515710306, -0.472987003290163 , -0.431386723544755 , 1.48457943642506 , -0.219805486626931 , -0.578719348110158 , 0.220916111039477 , -0.493672746656213 , 0.718749400651864 , 0.384566620647994 , -0.0138324927454306, -0.410579265843843 , -0.423503959948677 , -0.348587320156575 , -0.666921019588955 , 0.499186567155047 , 0.267423815022276 , -0.893814808265107 , 1.17925539221565 , -1.2748971016037 , 0.61561618024663 , -1.72531413172995 , -0.532351878550301 , 0.684543937281909 , -0.766462207502817 , -1.58335762180396 , 0.768540378136216 , 0.698460277428209 , 0.556490560578349 , -3.37945355486043 , -0.0518167270608347, 1.16154983947488 , 0.215828154021988 , -1.06191640951327 , 0.507462010134176 , 1.5259173409337 , 0.647604061906053 , 0.752576667965078 , -0.94085519741148 , -0.217921983531085 , 0.659974084016599 , -1.95696802563068 , 0.0304377681803015 , 0.980638164415917 , -0.948582630626206 , 0.266619902309821 , -1.02083207569876 , -2.42391692788091 , 0.345027631532113 , 0.750824108934106 , 1.35571582154696 , -0.299554039607429 , -1.98165954321491 , 0.653530946968256 , -0.952173641303639 , 0.59625413820936 , -0.355021520182644 , -2.65828917923561 , -0.0443680561629824, 0.0968478330869681 , -0.779495193115463 , 0.388159139643847 , -0.746933927114715 , -0.240900186739132 , 1.53391208941421 , -0.698358786147789 , -0.255991911942849 , -0.510467587885382 , -0.461092183651221 , 0.105211341525689 , -1.86103584889501 , 0.401052099903349 , 0.187659926557527 , 0.0689907374308409 , 0.263238934135662 , -1.19083775257575 , 0.452592190850114 , -0.587823702856351 , 0.0832702574034943 , -0.322087356031143 , 0.276265712982546 , 0.412843206437879 , -1.78595201605474 , -0.62020853151072 , -0.66497807655903 , 1.53511613235062 , 1.57547850029117 , 1.24683012095271 , -0.684524946831384 , -1.48212566834051 , -2.31960050220068 , 1.27398515725051 , -0.153524041536496 , 0.843267233127993 , -0.939734533384844 , -0.482345486621788 , 1.68390996781239 , 0.734880385094674 | 0.9028276 |
| 98 | 50 | 0.5 | 0 | 1 | control , control , control , control , control , control , control , control , control , control , control , control , control , control , control , control , control , control , control , control , control , control , control , control , control , control , control , control , control , control , control , control , control , control , control , control , control , control , control , control , control , control , control , control , control , control , control , control , control , control , intervention , intervention , intervention , intervention , intervention , intervention , intervention , intervention , intervention , intervention , intervention , intervention , intervention , intervention , intervention , intervention , intervention , intervention , intervention , intervention , intervention , intervention , intervention , intervention , intervention , intervention , intervention , intervention , intervention , intervention , intervention , intervention , intervention , intervention , intervention , intervention , intervention , intervention , intervention , intervention , intervention , intervention , intervention , intervention , intervention , intervention , intervention , intervention , intervention , intervention , -0.47163335371452 , 1.13157630555388 , 0.131623708472922 , -0.0289164661611468, 0.820471861746511 , -1.03329079305222 , 0.830402245594234 , 0.825358087541804 , -1.25455797885852 , -0.895673035005279 , 0.462220868745983 , -1.07335798450039 , -0.590442720401419 , -0.623061763604828 , 0.0499795009191795 , -0.296955181954137 , -2.54872498113104 , -0.696534116425466 , -1.3209700816589 , 1.26323411399717 , -0.465559686723982 , -0.511426521773921 , 0.52946921182713 , 0.800007309539049 , 0.806032887268272 , -1.02371269131332 , 0.319575795971547 , 0.961893746348843 , -0.472416847830347 , 0.251085363830999 , -0.430934348784908 , 0.484665925407289 , 0.283267816685547 , -1.59955450475425 , -0.638780038533326 , -1.10622443020471 , -0.248144482713313 , -1.13630305863591 , -0.824857828365986 , -0.296978435834418 , -0.444759905879624 , -0.37909735401705 , 0.508180719699055 , -0.0727924351455407, -0.620902159814314 , 2.53439328107092 , 2.36077451593631 , -0.934206353031197 , -0.90247840437738 , -0.0707760988586887, 1.09978532556825 , 0.577881450680821 , -0.375643131924807 , 1.49243392031259 , -0.172328743550732 , 0.80070688363206 , 0.20222695378199 , 0.566783141503242 , -0.734739914364445 , 0.527846234727815 , 0.859510575209277 , 1.2954146253749 , 2.39024457665647 , -0.161197392958605 , 3.10643363492276 , -0.59321826104107 , 0.161771959329051 , 1.8226480542578 , 0.418443022277855 , -0.730102591754618 , 0.681525011873559 , -0.604726633619012 , 1.25777386642168 , -0.434063421371865 , 0.92770377620648 , 0.810934901733729 , 0.31484031790414 , 1.36686089801577 , 1.29246848084702 , 0.712588054177508 , 0.0834960611344728 , 1.55983052113655 , 0.988000125202598 , 0.0300691227884559 , 1.00741943331047 , -2.01345617029922 , 0.999725809596055 , 1.28859107257332 , -0.425728787540368 , 0.74021804327145 , -0.342925332196619 , -1.06600255569357 , 3.07327800310601 , 0.430744976218078 , 0.178152600256185 , 0.923263981624141 , -0.287624114350656 , 1.33896572325588 , -0.442628334496055 , 0.671340199550589 | 0.0004192 |
| 99 | 20 | 0.0 | 0 | 1 | control , control , control , control , control , control , control , control , control , control , control , control , control , control , control , control , control , control , control , control , intervention , intervention , intervention , intervention , intervention , intervention , intervention , intervention , intervention , intervention , intervention , intervention , intervention , intervention , intervention , intervention , intervention , intervention , intervention , intervention , 1.22226900290508 , 1.10877052402124 , -0.216813513068038 , -0.279180665724914 , 0.766958591932686 , -0.82258306137268 , 0.646034456599566 , 0.68427989338305 , -0.721871232723675 , 0.213396844039094 , 0.000826794852569037, -0.0662183673202324 , -0.0140110357469802 , 0.970394898083158 , -0.978897562986833 , -1.00231467881648 , -0.851051457282253 , -0.70683090401477 , 0.328551508830243 , 0.382182229495676 , 1.10779859726365 , -2.13212359083564 , -0.30043844818092 , 0.635080101680911 , 1.01615304431291 , -0.530965836171575 , -0.957428103968315 , 0.426747884532715 , 0.911566898271379 , -1.2292022325639 , -1.66372823485453 , -0.0474206769638277 , -0.82840668520361 , 1.23578920915311 , -0.838826349726503 , 0.575841765510711 , -0.00587996544869928, -1.60824746071994 , 0.00988143073322306 , 0.0251577969756642 | 0.3817059 |
| 99 | 20 | 0.5 | 0 | 1 | control , control , control , control , control , control , control , control , control , control , control , control , control , control , control , control , control , control , control , control , intervention , intervention , intervention , intervention , intervention , intervention , intervention , intervention , intervention , intervention , intervention , intervention , intervention , intervention , intervention , intervention , intervention , intervention , intervention , intervention , -0.383816517010984 , 1.67528767341971 , -0.652761224196485 , -0.869667413533488 , 1.36732582475983 , -0.426007476524113 , 0.682636741999079 , -0.0567305075442175, -0.718824420937006 , 1.17929173586691 , 0.18080093047397 , 0.312024428986282 , 1.70408664656102 , -0.125023064645196 , 1.28321040563446 , -2.23412541264868 , -1.77359002643692 , 0.707845451900998 , 0.081912516979414 , 1.38574759924171 , -0.301222367063545 , -0.100484250069814 , -0.258925897938517 , -0.967340191859211 , 0.641619619157696 , 0.963969151056164 , 1.13301434675327 , 0.532400024491677 , -1.75498616933921 , -0.680472050599975 , 0.899874252576062 , -0.0215346684837712, 1.14283489606544 , -0.499051945238697 , 0.841210999091383 , 2.35681263745941 , 0.7052126326468 , 0.991555615929354 , 1.76128652383525 , 0.28083683256828 | 0.5130734 |
| 99 | 50 | 0.0 | 0 | 1 | control , control , control , control , control , control , control , control , control , control , control , control , control , control , control , control , control , control , control , control , control , control , control , control , control , control , control , control , control , control , control , control , control , control , control , control , control , control , control , control , control , control , control , control , control , control , control , control , control , control , intervention , intervention , intervention , intervention , intervention , intervention , intervention , intervention , intervention , intervention , intervention , intervention , intervention , intervention , intervention , intervention , intervention , intervention , intervention , intervention , intervention , intervention , intervention , intervention , intervention , intervention , intervention , intervention , intervention , intervention , intervention , intervention , intervention , intervention , intervention , intervention , intervention , intervention , intervention , intervention , intervention , intervention , intervention , intervention , intervention , intervention , intervention , intervention , intervention , intervention , -2.21216522085881 , -1.62270214939308 , -0.949065123100267 , 1.12004242346654 , 1.34432063572907 , -0.5042751470125 , 0.515763821603831 , -1.92473236863583 , -0.032713218268298 , 1.1558835017964 , 1.65717898600981 , 2.78096354230261 , 0.387657088461749 , -0.35913954312175 , 0.66666873950486 , 0.152696044743598 , 0.528363624969584 , 0.384738814247759 , 0.820173409494203 , -1.14497386281802 , 1.7996229755379 , 1.31804407097955 , -0.947186892537412 , -0.912949609945748 , -1.44395358626489 , 0.383053642219943 , 0.206480016599184 , 1.01357912358639 , -0.498649848257259 , -0.291574535344737 , -0.111683106586941 , -0.281997209416853 , 0.145366633084528 , 0.916146784802528 , 0.317097427337173 , 0.933815698534137 , -0.340307400557272 , -0.437969718480398 , 1.15104342764527 , -0.877204509776574 , 0.382546447633069 , -0.639301474138162 , -0.217354381424417 , 0.268374076883435 , 0.373189549895592 , 1.16759008733449 , 1.87701076938685 , 0.0876253745567485 , -0.291845793557823 , -0.802793761458827 , 0.896617446487385 , 0.675797498352073 , -0.382452016471772 , -0.103511761610317 , -0.805745236732076 , -0.893138428365005 , -0.417702862523163 , -1.11301965840029 , 1.56605820719718 , 0.44253898498067 , -0.471193382876179 , -0.650279736310096 , 1.85954078765913 , -0.607461159917849 , 1.34013645461786 , -2.48764529694568 , -0.3600469935845 , 0.375238586176172 , -0.841147322737738 , -0.240609255378392 , 1.67172772578578 , 0.0261614198467179 , -0.0576918596826036, 0.0311615926246873 , 1.30634357507572 , 1.18550651048874 , 0.232625931582354 , 1.78737722362621 , 0.412682515858787 , -1.40369158312998 , -0.354589629324411 , -0.705671007765061 , -2.02057106410978 , -0.163757333380638 , 0.801713264746199 , -1.01533997359599 , -0.600382145800657 , -1.08250007744474 , -0.209887999284948 , -1.21578367674768 , 1.79215448946888 , 0.287036213988293 , -1.20113639576215 , -0.989452624043717 , 1.15715290784891 , -0.138325169985374 , 0.182973094777204 , 2.01647036041566 , 0.588143511665047 , 0.781664592305119 | 0.5536163 |
| 99 | 50 | 0.5 | 0 | 1 | control , control , control , control , control , control , control , control , control , control , control , control , control , control , control , control , control , control , control , control , control , control , control , control , control , control , control , control , control , control , control , control , control , control , control , control , control , control , control , control , control , control , control , control , control , control , control , control , control , control , intervention , intervention , intervention , intervention , intervention , intervention , intervention , intervention , intervention , intervention , intervention , intervention , intervention , intervention , intervention , intervention , intervention , intervention , intervention , intervention , intervention , intervention , intervention , intervention , intervention , intervention , intervention , intervention , intervention , intervention , intervention , intervention , intervention , intervention , intervention , intervention , intervention , intervention , intervention , intervention , intervention , intervention , intervention , intervention , intervention , intervention , intervention , intervention , intervention , intervention , 0.0275807805575822 , -1.32800443345428 , 0.102923689058273 , 0.956445213475743 , 2.18982225909826 , 1.49862842243722 , -2.10091438670474 , -0.134440741509359 , -0.875513379863566 , -0.096493527827849 , 1.25961466136658 , 0.333063270827631 , 0.213487832567034 , -1.34488535348803 , 0.114469575204422 , -0.0366578608592296, 2.57669864679212 , 1.07741848016534 , -0.195313371829496 , 1.96579214328011 , -0.425118059300034 , 0.533584856588483 , -0.528192745506813 , 1.67231269019329 , 2.92436091837929 , 0.16774075381395 , 0.946963491831296 , 1.39015047652003 , 0.839812844057743 , -1.153010295236 , 0.461685660493494 , -0.187291324595362 , 0.586150284369267 , 0.1067739856211 , 1.25544262982732 , -0.8978015004681 , -0.284362250822807 , 1.96036881747 , -0.412791948978361 , -0.21336495207031 , -0.863724719531023 , 0.440302351794945 , 0.483416409685679 , -0.113203108423509 , 0.0718108701732945 , 0.230737761765268 , -1.26239820501952 , 1.08525090825851 , 1.83424306920637 , -0.506803021738572 , 0.551344667034858 , -0.733632924053261 , 1.33623595573452 , 0.895801802082145 , 1.9962636593684 , -0.121127282673795 , -1.42236877925964 , -0.159769369276287 , 1.36674361995126 , 1.39768175141795 , 2.35954080748742 , 0.608743824592967 , -1.15556945660531 , -0.0666555422624487, 0.262222009987423 , 0.610783660256286 , -1.6359786605709 , -1.88905694525405 , 1.05923299766936 , 1.41496040135173 , -0.537290245361523 , -1.06009510739131 , -0.0643978549511272, 0.774713140546146 , 2.04838371280804 , 1.06529380334086 , 1.3469761569245 , 0.0285865428209101 , 1.03899670151804 , 1.87840982358712 , 0.80091953594111 , -0.303914692799849 , -1.14937683110451 , -0.727185003094398 , 2.00886864930674 , -0.467693881707601 , -0.566649524280974 , -0.323784857712854 , 1.33089845342948 , 0.567992311541658 , -1.20080923237363 , -1.24072912980741 , -1.03229374751052 , 0.968011124179632 , 0.70785244627202 , 0.422161992530695 , 1.2187252298304 , 0.0367861752539669 , -0.449403724611832 , -1.94887735947355 | 0.6832090 |
| 100 | 20 | 0.0 | 0 | 1 | control , control , control , control , control , control , control , control , control , control , control , control , control , control , control , control , control , control , control , control , intervention , intervention , intervention , intervention , intervention , intervention , intervention , intervention , intervention , intervention , intervention , intervention , intervention , intervention , intervention , intervention , intervention , intervention , intervention , intervention , 0.963831821641527 , -1.26368529049108 , -3.41781092634931 , -0.557954650835727 , 1.29862176118177 , -0.0886532553614295, -0.986257237009228 , -0.657009403625705 , 0.252031521581285 , 0.988730006106377 , -0.174246155404863 , 0.441639963942592 , -0.739483160372282 , -2.09596241447478 , 0.274887991374298 , 0.445639592641306 , -2.22554599710617 , -0.174085506024453 , 1.66707421426987 , 0.179779548210114 , 2.16366569793912 , 0.850330220851952 , -1.95885630070708 , 0.324443079489267 , -2.24710253028494 , -1.14427516713091 , 0.300177117460831 , 0.218482031157007 , -1.03988997051042 , 0.267788983853852 , 0.470964236329191 , -1.49672505326484 , -0.227124891057918 , 0.401449265501507 , -0.025540565910283 , 0.353668187504068 , -0.964531310557297 , 0.0792158911593432 , -0.608605375783817 , -1.19021825602811 | 0.9572864 |
| 100 | 20 | 0.5 | 0 | 1 | control , control , control , control , control , control , control , control , control , control , control , control , control , control , control , control , control , control , control , control , intervention , intervention , intervention , intervention , intervention , intervention , intervention , intervention , intervention , intervention , intervention , intervention , intervention , intervention , intervention , intervention , intervention , intervention , intervention , intervention , 1.03319492364035 , 0.212925252085074 , 1.342458031999 , 0.390502965394299 , 0.296613290309246 , -0.729999949182122 , 0.360305566136382 , -1.25565748320083 , 1.05122279227297 , -0.605231053446954 , 1.22466870312747 , -0.409300206469263 , 1.30715341080853 , 2.12528800406562 , 1.20332525566287 , 0.132082495106196 , -1.04192842390936 , -0.508759626063811 , 0.234784028614379 , 0.421538342098111 , -0.0362536776593321, 0.821086588953249 , -1.47796055715105 , 0.441910741597147 , 0.904243193762834 , 1.58680346321037 , 0.48462774985743 , 0.150199940904611 , 0.533317516694885 , 1.04914488732637 , 0.331815893596452 , 0.320819552578878 , 0.363714105531379 , 0.0392917651831217 , -0.569066820801935 , 2.26867215421832 , 1.64799800333144 , -2.08952802487745 , 1.06121609401976 , -1.03284321670816 | 0.9982022 |
| 100 | 50 | 0.0 | 0 | 1 | control , control , control , control , control , control , control , control , control , control , control , control , control , control , control , control , control , control , control , control , control , control , control , control , control , control , control , control , control , control , control , control , control , control , control , control , control , control , control , control , control , control , control , control , control , control , control , control , control , control , intervention , intervention , intervention , intervention , intervention , intervention , intervention , intervention , intervention , intervention , intervention , intervention , intervention , intervention , intervention , intervention , intervention , intervention , intervention , intervention , intervention , intervention , intervention , intervention , intervention , intervention , intervention , intervention , intervention , intervention , intervention , intervention , intervention , intervention , intervention , intervention , intervention , intervention , intervention , intervention , intervention , intervention , intervention , intervention , intervention , intervention , intervention , intervention , intervention , intervention , -0.922570267036264 , 1.79829148073953 , 1.75320601901382 , 0.0608663560944131 , -0.749765605585306 , 1.8059250523877 , -0.12914097627149 , 1.43791670652098 , 0.523931537840567 , -0.269110125711628 , -1.24055985365047 , 1.20172707198128 , -0.198350341259402 , 0.552936033973071 , -0.210304704583456 , 0.0374321860309539 , 0.969978035899588 , -1.26239794192219 , 1.97196931788506 , 0.476695241537494 , -1.42453906462969 , -0.148483410515567 , 1.42321699364043 , -0.201083759700626 , -0.435662242965397 , 0.489206849215547 , -0.134245175546975 , 0.818766239818166 , 0.286760502017531 , -1.27955051538396 , 0.114443541679755 , -0.0595308909157237 , 0.25370566692332 , -0.867977667491949 , -0.745336716959658 , 0.816768139106066 , -0.739089736816788 , -1.23602937909576 , -0.242302187367192 , 1.07827370427152 , -0.582407946211827 , 0.253326980968556 , -1.72818100869213 , 0.566299400494336 , -0.772087849461623 , 1.06124178105993 , 0.44369726253574 , 0.759623695544588 , 0.16726444424815 , 2.225398288619 , 1.61388512981728 , -1.33540701192984 , 0.377172352841754 , -2.27806950631586 , 0.308098577932182 , -0.0359468177660609 , 0.723851720169926 , -0.188271942791551 , -0.388922458507212 , 0.778184076025904 , 1.13654200383117 , -0.67634747900577 , -0.0653501899766678 , -0.233443388770826 , 0.130493588990031 , 0.408267818868916 , 2.17151012823911 , -1.21890754828986 , -0.353148288478512 , -2.50306939908432 , 1.45510767123757 , 2.50007925729942 , -1.67127871533744 , -0.154755094799675 , -1.14098271442847 , 1.02817237355442 , 0.700885337800364 , -0.00694997701408091, 1.63420382067974 , 1.66840542193379 , -0.0640952327034099 , 0.801674332090702 , 0.847582752933169 , 0.66673216950303 , -1.03585063827839 , -0.700473697092331 , -0.291273812676638 , 1.36841633453915 , 0.238872484183291 , -0.689098158549896 , -0.29358728160405 , 0.425280736103356 , 0.798380377418452 , 0.386125304072858 , 0.584209068704646 , -2.20623845710721 , 1.87046730226497 , -0.61170859999491 , 0.136563920569626 , -0.0394883923339477 | 0.9088961 |
| 100 | 50 | 0.5 | 0 | 1 | control , control , control , control , control , control , control , control , control , control , control , control , control , control , control , control , control , control , control , control , control , control , control , control , control , control , control , control , control , control , control , control , control , control , control , control , control , control , control , control , control , control , control , control , control , control , control , control , control , control , intervention , intervention , intervention , intervention , intervention , intervention , intervention , intervention , intervention , intervention , intervention , intervention , intervention , intervention , intervention , intervention , intervention , intervention , intervention , intervention , intervention , intervention , intervention , intervention , intervention , intervention , intervention , intervention , intervention , intervention , intervention , intervention , intervention , intervention , intervention , intervention , intervention , intervention , intervention , intervention , intervention , intervention , intervention , intervention , intervention , intervention , intervention , intervention , intervention , intervention , -0.647783860097338 , 1.31052019191259 , -0.445868241430477 , 0.920375888152507 , 0.250831878211763 , 0.650522543814716 , 0.311204940567925 , -1.07200186112124 , -0.247009414936431 , -0.986532828367606 , -0.355082540792238 , 0.0975943874650325 , 0.189543422615418 , -0.830898691077116 , 0.111039443334406 , 0.112160686243816 , -1.02100697789892 , 0.585020674409661 , 0.724496218811047 , -0.62443645969837 , 0.263988686810572 , -0.738302119513885 , 0.26080766118301 , -0.916984814202967 , 0.506296809966282 , 1.44469076276221 , -0.390167267192783 , -0.047820469705913 , -0.172745298749604 , -1.33833595890918 , -0.224878000285763 , 0.327247019687186 , 1.46631501227992 , 2.09635645516884 , 0.839529856089751 , 0.752650904990082 , -0.619610875996887 , -0.267781837052697 , -0.373446676298152 , 0.164797429332117 , 0.854183625070909 , -1.20701498751509 , -0.676871929806776 , 1.14249040744681 , -0.611603152925906 , 1.85641916544766 , -0.564888360380899 , 1.52779143534118 , -0.379281566343411 , 0.472863865996903 , 1.70899505564221 , 0.276831286211639 , -0.513281017672258 , 0.370743365532488 , 0.402173149472054 , 2.11494620167843 , -0.119262519929224 , 1.04196409935652 , -0.0217153421043427, 0.993660138615614 , 0.61048570797971 , 0.123383793087098 , 0.775693098986774 , -0.317342302025513 , 2.92668524393596 , 0.485037921205734 , 0.707844584753751 , -0.0891087683029672, 0.51110184078324 , 0.45816518483609 , -1.62158225983756 , 0.645889329299349 , 0.826782930883496 , 0.333042483363667 , -1.35258282292039 , 2.07816117890128 , 1.01740720999466 , -0.973690651156438 , -0.0124446532344316, 1.13519994872068 , 2.89573129926236 , 0.575661952572869 , -0.51087685212955 , -0.217191977147366 , -0.402597865616539 , 1.31437992051521 , 0.126659674586547 , -0.28148801982259 , -1.32448561386301 , 1.04396842162376 , -0.404468064527253 , 0.688637659205959 , -0.239653753222965 , 2.04649855559286 , -1.48454001350205 , 1.2617727950195 , 0.21274945769082 , 0.168310385896723 , 0.688781335846142 , 0.695338572419465 | 0.0687943 |
Our output is identical to previously, except we now have the additional column generated_data, each of which contains a tibble. Let’s look at what happens if we run unnest() on the generated_data column in the first row of the simulation_results tibble:
simulation_results %>%
# take the first row only
slice_head(n = 1) %>%
# unnest the generated data column into the tibble that contains it
unnest(generated_data)| iteration | n_per_condition | mean_intervention | mean_control | sd | condition | score | p |
|---|---|---|---|---|---|---|---|
| 1 | 20 | 0 | 0 | 1 | control | -0.13 | 0.4379596 |
| 1 | 20 | 0 | 0 | 1 | control | 0.61 | 0.4379596 |
| 1 | 20 | 0 | 0 | 1 | control | 1.02 | 0.4379596 |
| 1 | 20 | 0 | 0 | 1 | control | 0.01 | 0.4379596 |
| 1 | 20 | 0 | 0 | 1 | control | 0.62 | 0.4379596 |
| 1 | 20 | 0 | 0 | 1 | control | 0.42 | 0.4379596 |
| 1 | 20 | 0 | 0 | 1 | control | -0.18 | 0.4379596 |
| 1 | 20 | 0 | 0 | 1 | control | -1.16 | 0.4379596 |
| 1 | 20 | 0 | 0 | 1 | control | -0.86 | 0.4379596 |
| 1 | 20 | 0 | 0 | 1 | control | -0.11 | 0.4379596 |
| 1 | 20 | 0 | 0 | 1 | control | -1.17 | 0.4379596 |
| 1 | 20 | 0 | 0 | 1 | control | -0.53 | 0.4379596 |
| 1 | 20 | 0 | 0 | 1 | control | 0.39 | 0.4379596 |
| 1 | 20 | 0 | 0 | 1 | control | -0.70 | 0.4379596 |
| 1 | 20 | 0 | 0 | 1 | control | 0.47 | 0.4379596 |
| 1 | 20 | 0 | 0 | 1 | control | -0.27 | 0.4379596 |
| 1 | 20 | 0 | 0 | 1 | control | 0.62 | 0.4379596 |
| 1 | 20 | 0 | 0 | 1 | control | 2.19 | 0.4379596 |
| 1 | 20 | 0 | 0 | 1 | control | 1.79 | 0.4379596 |
| 1 | 20 | 0 | 0 | 1 | control | -0.57 | 0.4379596 |
| 1 | 20 | 0 | 0 | 1 | intervention | 0.90 | 0.4379596 |
| 1 | 20 | 0 | 0 | 1 | intervention | 0.20 | 0.4379596 |
| 1 | 20 | 0 | 0 | 1 | intervention | -1.34 | 0.4379596 |
| 1 | 20 | 0 | 0 | 1 | intervention | 0.03 | 0.4379596 |
| 1 | 20 | 0 | 0 | 1 | intervention | -0.27 | 0.4379596 |
| 1 | 20 | 0 | 0 | 1 | intervention | -0.35 | 0.4379596 |
| 1 | 20 | 0 | 0 | 1 | intervention | -1.11 | 0.4379596 |
| 1 | 20 | 0 | 0 | 1 | intervention | -0.50 | 0.4379596 |
| 1 | 20 | 0 | 0 | 1 | intervention | -0.56 | 0.4379596 |
| 1 | 20 | 0 | 0 | 1 | intervention | -0.89 | 0.4379596 |
| 1 | 20 | 0 | 0 | 1 | intervention | 0.51 | 0.4379596 |
| 1 | 20 | 0 | 0 | 1 | intervention | 1.21 | 0.4379596 |
| 1 | 20 | 0 | 0 | 1 | intervention | 0.66 | 0.4379596 |
| 1 | 20 | 0 | 0 | 1 | intervention | -0.50 | 0.4379596 |
| 1 | 20 | 0 | 0 | 1 | intervention | 1.21 | 0.4379596 |
| 1 | 20 | 0 | 0 | 1 | intervention | -0.17 | 0.4379596 |
| 1 | 20 | 0 | 0 | 1 | intervention | 0.59 | 0.4379596 |
| 1 | 20 | 0 | 0 | 1 | intervention | -0.90 | 0.4379596 |
| 1 | 20 | 0 | 0 | 1 | intervention | -0.32 | 0.4379596 |
| 1 | 20 | 0 | 0 | 1 | intervention | 0.00 | 0.4379596 |
We can now inspect the full set of generated data that was simulated for any given row in the simulation_results!
We can also access the contents of individual data sets using base-R. Doing it this way can help us understand the nature of nested tibbles; that each cell in the tibble’s data column contains another tibble.
data_set_1 <- simulation_results$generated_data[[1]]
data_set_1 | condition | score |
|---|---|
| control | -0.13 |
| control | 0.61 |
| control | 1.02 |
| control | 0.01 |
| control | 0.62 |
| control | 0.42 |
| control | -0.18 |
| control | -1.16 |
| control | -0.86 |
| control | -0.11 |
| control | -1.17 |
| control | -0.53 |
| control | 0.39 |
| control | -0.70 |
| control | 0.47 |
| control | -0.27 |
| control | 0.62 |
| control | 2.19 |
| control | 1.79 |
| control | -0.57 |
| intervention | 0.90 |
| intervention | 0.20 |
| intervention | -1.34 |
| intervention | 0.03 |
| intervention | -0.27 |
| intervention | -0.35 |
| intervention | -1.11 |
| intervention | -0.50 |
| intervention | -0.56 |
| intervention | -0.89 |
| intervention | 0.51 |
| intervention | 1.21 |
| intervention | 0.66 |
| intervention | -0.50 |
| intervention | 1.21 |
| intervention | -0.17 |
| intervention | 0.59 |
| intervention | -0.90 |
| intervention | -0.32 |
| intervention | 0.00 |
In principle, we could re-analyze individual datasets, run other diagnostic tests or checks on them, etc.
analyse_data(data_set_1)| p |
|---|
| 0.4379596 |
8.9 Mapping with multiple inputs: pmap()
Above, we used map2() to map two inputs into a simulation. But there will be many cases where we want to map many different inputs at once - not just one or two.
For example: maybe we want to vary all values of n_per_condition, mean_control, mean_intervention, and sd. We can use the combination of expand_grid() and pmap() to achieve this.
With pmap(), we supply all of the parameters as a list to the .l argument, and our function (generate_data()) to the .f argument. We’ll use the same approach as we used previously: run pmap() within a mutate() call and save the output to a generated_data column, then map() the generated data onto analyse_data(), then call unnest() on the results. Because we’re now dealing with more combinations of parameters, we will lower the value of n_iterations from 2000 to 100 - otherwise our code might take a little while to run!
n_iterations <- 100 # lowered for testing; 2000 would be more appropriate
# specify the parameters
experiment_parameters <- expand_grid(
iteration = 1:n_iterations,
n_per_condition = c(20, 50),
mean_intervention = c(0, .5),
mean_control = c(0, .1),
sd = c(.5, 1)
)
# use pmap() across this
simulation_results <- experiment_parameters %>%
mutate(generated_data = pmap(.l = list(n_per_condition, mean_control, mean_intervention, sd),
.f = generate_data)) %>%
mutate(results = map(.x = generated_data,
.f = analyse_data)) %>%
unnest(results)
simulation_results| iteration | n_per_condition | mean_intervention | mean_control | sd | generated_data | p |
|---|---|---|---|---|---|---|
| 1 | 20 | 0.0 | 0.0 | 0.5 | control , control , control , control , control , control , control , control , control , control , control , control , control , control , control , control , control , control , control , control , intervention , intervention , intervention , intervention , intervention , intervention , intervention , intervention , intervention , intervention , intervention , intervention , intervention , intervention , intervention , intervention , intervention , intervention , intervention , intervention , 0.221292198513943 , -0.753388160641766 , 0.482848366085653 , 0.569291632504777 , -0.307558064049551 , -0.253273734980803 , 0.390366000529316 , -0.187438007785147 , -0.410895667162389 , -0.0871006361342779, -0.240976390665888 , -0.232757620297261 , -0.096925629450538 , 0.137510458914465 , -0.222336871404326 , 0.116563023276309 , 0.0276804747758717 , 0.509388007949882 , 0.183746842373683 , 0.0786437632797173 , -0.0904765713119629, 0.0677723279270299 , 0.65506786894395 , -0.324964601461071 , -0.584264179004099 , 0.00430765362132772, 0.425567623082213 , 0.248399660755359 , 0.784662068187041 , 0.232983657975207 , 0.819056542443238 , -0.845750346216533 , 0.295318784367373 , -0.94728648375935 , -0.7248195095958 , 0.788419642131362 , 0.68151583783726 , 0.834590482565253 , 0.461526293569513 , -0.19818231285801 | 0.3823979 |
| 1 | 20 | 0.0 | 0.0 | 1.0 | control , control , control , control , control , control , control , control , control , control , control , control , control , control , control , control , control , control , control , control , intervention , intervention , intervention , intervention , intervention , intervention , intervention , intervention , intervention , intervention , intervention , intervention , intervention , intervention , intervention , intervention , intervention , intervention , intervention , intervention , 1.8638213453563 , -1.75592058879113 , -0.33756149659967 , 0.537435667377537 , -1.47967524170085 , 0.706206723424691 , 0.562672648793435 , 0.0593620908394158 , -1.63350629655185 , 1.74868670324927 , -0.699805808863166 , -0.428306360339817 , -1.15796774480158 , 1.17557372135828 , 0.722560138587262 , 0.484591764102596 , -1.97879588726017 , 0.243600293543959 , 1.2878878076095 , -0.562495864917382 , -0.644514297358813 , 0.213886133365039 , 0.700394169032042 , 0.528790606616986 , 0.594434600206919 , 1.56421837209174 , -0.104086771910584 , 0.0634896204992887 , 0.967111821887123 , 1.22404229440968 , -0.322832707252911 , 1.18160142029328 , 0.00452446448105447, 1.07738897306334 , 0.28395784120095 , 0.300779282122591 , -1.82668483571682 , -1.27675278309296 , -2.09640634732559 , -0.074583902221827 | 0.6624416 |
| 1 | 20 | 0.0 | 0.1 | 0.5 | control , control , control , control , control , control , control , control , control , control , control , control , control , control , control , control , control , control , control , control , intervention , intervention , intervention , intervention , intervention , intervention , intervention , intervention , intervention , intervention , intervention , intervention , intervention , intervention , intervention , intervention , intervention , intervention , intervention , intervention , -0.712930387080358 , 0.5304509622861 , 1.25230558506894 , -0.340213663840218 , -0.534457921181738 , -0.0781937311921426, -0.0354694749459614, -0.552698400545351 , -0.654730477124919 , 0.501732506530985 , 0.0996303237265492 , 0.757509220878023 , 0.711507487563388 , -0.319706058144137 , 0.13077804187312 , 1.35414020779006 , -0.421122718855663 , -0.307589754627901 , 0.919681963969694 , 0.0128788207249108 , 0.413243945239201 , 0.420896802914256 , 0.374543844118603 , -0.608877273503252 , -0.176473357243506 , 0.00441198573403839, -0.418774968936417 , 0.233495149233313 , 1.31119827562994 , -0.64080946643332 , 0.00730062953569378, 0.87495036346515 , -0.0575792713317837, -0.875255216029342 , -0.468658740516037 , 0.925228477200926 , 0.0732727524005247 , -0.509660872789848 , 0.168684359638117 , -0.358695420140114 | 0.6741579 |
| 1 | 20 | 0.0 | 0.1 | 1.0 | control , control , control , control , control , control , control , control , control , control , control , control , control , control , control , control , control , control , control , control , intervention , intervention , intervention , intervention , intervention , intervention , intervention , intervention , intervention , intervention , intervention , intervention , intervention , intervention , intervention , intervention , intervention , intervention , intervention , intervention , 0.885372564566097 , -0.350111285632415 , -0.400803638517242 , 0.835980668210388 , 0.567474820355794 , 0.294850449907563 , 0.0742119420825544 , -0.954246341303628 , 1.7098355622341 , 1.77481647878737 , -1.02584654356613 , 0.397976982321751 , -0.627299727594504 , -0.41815429396695 , 1.77892648823749 , -0.448514084135236 , -0.60211414912212 , 1.0563052395358 , 0.178323876806411 , 1.22090292994527 , -0.508308287063411 , -0.642911611725865 , 1.40303304954813 , -0.489885294254593 , 0.611957393440615 , 0.956423006209286 , 2.31607614001127 , -1.71232166855906 , 0.79813187222631 , -0.445759270412533 , -0.0818111139950775, -0.847906925281838 , 0.246031495626289 , 0.377399417295034 , -0.92163754782002 , -0.790537838271746 , 1.3072573977991 , -1.58314134057259 , 0.271899034862094 , 0.919298887990087 | 0.4456604 |
| 1 | 20 | 0.5 | 0.0 | 0.5 | control , control , control , control , control , control , control , control , control , control , control , control , control , control , control , control , control , control , control , control , intervention , intervention , intervention , intervention , intervention , intervention , intervention , intervention , intervention , intervention , intervention , intervention , intervention , intervention , intervention , intervention , intervention , intervention , intervention , intervention , 0.085729707012042 , -0.28979345948277 , -8.57993012275245e-05, -0.36759398901322 , 0.851815261176232 , -0.172603525358415 , 0.0279927118152437 , -0.337607087925223 , 0.404403195795065 , 0.457116378915807 , -0.740128289088595 , -1.00018562259125 , 0.250368227705486 , 0.227423276332871 , 0.429003495398903 , -1.57011936817317 , 0.344696943610707 , -0.813757924850504 , 0.107783625970737 , 0.435363570807884 , 0.816162805467444 , 0.733675763642626 , -0.278183308464899 , 0.356835426730789 , 0.616960331255974 , 0.414317110057186 , 0.832780475624147 , 0.128636769060692 , 0.353704690253857 , 0.659060041911417 , 1.05546149273693 , 1.18932321876352 , 1.11068944002103 , 0.447807134428496 , 0.500181240390608 , 0.347335352187663 , 0.381598853129343 , 0.107743503028017 , 0.806405596345714 , 0.77472613240037 | 0.0001566 |
| 1 | 20 | 0.5 | 0.0 | 1.0 | control , control , control , control , control , control , control , control , control , control , control , control , control , control , control , control , control , control , control , control , intervention , intervention , intervention , intervention , intervention , intervention , intervention , intervention , intervention , intervention , intervention , intervention , intervention , intervention , intervention , intervention , intervention , intervention , intervention , intervention , 3.27147409695015 , 0.0589933984318866 , -0.794017770405612 , -0.766488820692239 , -0.650374234050255 , 1.04543076019388 , -1.40574848496577 , -0.986020363471353 , 2.13336759099035 , -0.61453966307416 , -0.883753900899098 , 0.332222903386081 , -1.37027811234695 , 1.22606039351444 , 1.24785250563147 , -0.763073170415608 , 1.01543151112604 , 1.00556931859715 , -0.39016802485349 , -0.176068280022663 , 0.724544685538627 , -0.202178077129196 , 0.0673029671512069 , 0.116085171704006 , -0.0641031235907813, -0.660451025474328 , 1.00728638031693 , 0.283510822998267 , -0.225644646267151 , 2.59761249166157 , 0.320034354581304 , 0.58459734994147 , 1.5121458377192 , -0.573383740249392 , 0.79518111868563 , 0.597596034751791 , -0.335175972205267 , 1.43404386527276 , -1.43464844776271 , 0.143482886513027 | 0.5481881 |
| 1 | 20 | 0.5 | 0.1 | 0.5 | control , control , control , control , control , control , control , control , control , control , control , control , control , control , control , control , control , control , control , control , intervention , intervention , intervention , intervention , intervention , intervention , intervention , intervention , intervention , intervention , intervention , intervention , intervention , intervention , intervention , intervention , intervention , intervention , intervention , intervention , 0.485381097784989 , -0.263610022401294 , 0.198257301073754 , 0.427996766919444 , 0.198984682251237 , 0.0782405981045388 , 0.0271513662502638 , 0.195216594504892 , 0.308946517943972 , -0.587442303481653 , 0.027994917850329 , 0.0773401959763962 , 0.689278764781045 , -0.333031525957093 , 0.333177272773942 , 0.755919661638492 , 1.02107041835309 , 0.131924365603963 , 0.0127759283045286 , 0.426810097036533 , 0.899345585357198 , 0.781217748361819 , 0.410200510441798 , 0.975551647752555 , -0.2324950392838 , -0.0161842985863381, 1.09485523470668 , 0.530022412305374 , 1.3322368973594 , 1.17446823614727 , 1.40587886813123 , 0.542624755531345 , 0.372045743377781 , 1.30108915716472 , 0.707438655096943 , 0.663625925489401 , 0.314974108151851 , 0.565827975457958 , 0.293928096683386 , 0.357855841846868 | 0.0010805 |
| 1 | 20 | 0.5 | 0.1 | 1.0 | control , control , control , control , control , control , control , control , control , control , control , control , control , control , control , control , control , control , control , control , intervention , intervention , intervention , intervention , intervention , intervention , intervention , intervention , intervention , intervention , intervention , intervention , intervention , intervention , intervention , intervention , intervention , intervention , intervention , intervention , -1.73538767645564 , -1.41118639220344 , 0.128935046395688 , 1.37592579745254 , 0.845906799011381 , -0.202541545255695 , 1.90945458394589 , 0.90364801605966 , 0.354779907134444 , -3.27151828198495 , 1.61227408534513 , 0.613620602989037 , -3.12116347707588 , -0.894336382919613 , 0.14873502372201 , -0.656548791122754 , 0.700369470675319 , 1.77404238094971 , -0.31875207160039 , -0.300743224831838 , 1.34960143285936 , 0.195934893289411 , 0.665742746533683 , 0.514784485446979 , 0.438635359757718 , -0.16545561835587 , -0.00667130605236732, 0.805438686611184 , 0.0558840899398388 , -0.845949846936412 , 0.348651472965228 , -0.689203601755622 , 0.287430553350539 , 0.864890933742887 , 0.729217610667524 , 0.208353288630623 , 1.05996259475426 , -0.458791579761531 , 2.70220664392964 , -1.18276328772975 | 0.2729970 |
| 1 | 50 | 0.0 | 0.0 | 0.5 | control , control , control , control , control , control , control , control , control , control , control , control , control , control , control , control , control , control , control , control , control , control , control , control , control , control , control , control , control , control , control , control , control , control , control , control , control , control , control , control , control , control , control , control , control , control , control , control , control , control , intervention , intervention , intervention , intervention , intervention , intervention , intervention , intervention , intervention , intervention , intervention , intervention , intervention , intervention , intervention , intervention , intervention , intervention , intervention , intervention , intervention , intervention , intervention , intervention , intervention , intervention , intervention , intervention , intervention , intervention , intervention , intervention , intervention , intervention , intervention , intervention , intervention , intervention , intervention , intervention , intervention , intervention , intervention , intervention , intervention , intervention , intervention , intervention , intervention , intervention , 0.127511794081383 , 0.0733151977940743 , 0.587179086861689 , 0.0837854191141402 , -0.492241976969961 , 0.586087038310897 , -0.471176224672989 , 0.325310136552415 , 0.102928742907065 , -0.847131353961436 , 0.353311955878253 , 0.0496375323261468 , -0.00923591503896371, -0.622726310014891 , -0.719131632449842 , 0.291067126288032 , 0.0535301239606957 , -0.516514731795629 , 0.0421555683735587 , 0.240048053358042 , 0.276650036740862 , 0.259582446854469 , -0.454654778159688 , 0.26922396045598 , 0.285451039380459 , -0.199718691932853 , 0.556834416465917 , 0.0905124445018215 , -0.0823660565789319 , -0.386865684715816 , 0.00631127963923269 , 0.0707301481488507 , -0.0532444008835925 , -0.307484136335722 , -0.226494315403472 , -0.223223185715475 , -0.156361033130547 , -0.091267172872241 , -0.25053078679677 , -0.153172403840134 , -0.019945939346716 , 0.620700623447598 , 0.562742040434165 , 0.0740906761299043 , 0.907370704123131 , 0.137623719938902 , 0.0123920900186438 , -0.403099687245724 , -0.0369940665041245 , -0.0561429457270774 , 0.0504049187949772 , -0.720752460295984 , -0.482145224632842 , 0.795108846734212 , -0.134811485988676 , 0.152008789595085 , -0.39058251815867 , 0.202111516489544 , 0.290303373733054 , -0.922587411954776 , 1.63449738144868 , 0.426835866811693 , 0.0330576644477021 , -0.511695807408688 , 0.629316069384189 , -0.583939407591412 , 0.512279308558338 , -0.42469256540916 , 0.357881427321728 , 0.163000474128684 , 0.7915131383878 , -0.139367486326848 , -0.0523005177672224 , -0.23879236537133 , -1.36846077131941 , -0.422068212740241 , 0.175613537334377 , 0.0360640612197837 , -0.696467252141789 , 0.208817705920961 , -0.433735826760919 , -0.306992500846524 , -0.0580500730134211 , -0.312553214958813 , -0.158665331621873 , 0.319246713463059 , -0.22609810085461 , 0.317933288737876 , -0.380515602267548 , -0.438074085356814 , 0.568116056373823 , 0.18425735483047 , -0.540190865444911 , -0.593564891629598 , 0.328225584211631 , 0.445971528422892 , -0.103080004791684 , -0.591322206269956 , -0.37179009694748 , -0.253381765913502 | 0.4345572 |
| 1 | 50 | 0.0 | 0.0 | 1.0 | control , control , control , control , control , control , control , control , control , control , control , control , control , control , control , control , control , control , control , control , control , control , control , control , control , control , control , control , control , control , control , control , control , control , control , control , control , control , control , control , control , control , control , control , control , control , control , control , control , control , intervention , intervention , intervention , intervention , intervention , intervention , intervention , intervention , intervention , intervention , intervention , intervention , intervention , intervention , intervention , intervention , intervention , intervention , intervention , intervention , intervention , intervention , intervention , intervention , intervention , intervention , intervention , intervention , intervention , intervention , intervention , intervention , intervention , intervention , intervention , intervention , intervention , intervention , intervention , intervention , intervention , intervention , intervention , intervention , intervention , intervention , intervention , intervention , intervention , intervention , 0.897804014186802 , 0.548557194291465 , -1.24060738766032 , -0.235202435261978 , -1.09832392435384 , -0.479027227980098 , -1.62990303020398 , -1.43159634110227 , 1.42846693240098 , -0.14673056347766 , -0.00398211505436649, 0.276100799229115 , 0.926609627416956 , 0.281778930603604 , 0.239025236549622 , -0.180014012075 , 0.533705550437938 , -0.640807650608144 , 1.44519198884918 , 0.26928345319147 , -1.19638614744281 , 0.67275707887521 , 0.830245651659032 , 0.420892239352888 , 0.0232915260525547 , -0.177640367216068 , 0.115306796143136 , 0.454882527339606 , -0.739303716275573 , 0.0353274563925248 , 0.745742653366333 , -1.12298204552357 , 0.856705221062571 , 1.29559936426407 , 0.270024914671193 , -0.264203163821565 , 1.56017481998875 , -0.181658295916359 , -0.255386517998992 , -0.258049947967629 , -1.00555960978247 , -0.424987204013127 , 0.198367619416932 , 1.33848098242203 , 0.847697005404311 , 0.611058828301757 , 0.764173631627033 , -0.337354792727038 , 0.368815504293476 , 0.144601388542504 , 0.369492592680507 , -0.695438696452232 , -0.917124309210468 , 0.475536831276505 , 1.28276953847043 , 0.127800965755171 , 0.792306832407616 , -2.38105363183284 , 0.917497304060383 , -1.68443094625526 , -0.529199377997138 , -0.752355563615328 , 0.185617599584442 , 0.345251247533808 , -0.565464840068241 , 0.621409523318625 , 0.17859744698191 , 2.39638217936529 , -0.653140366184383 , -0.0235571536622276 , 1.15515012740567 , 0.58638095593159 , 0.989832398813203 , 0.822177968029574 , -0.452506848936294 , 0.791944593306967 , -0.603540401795351 , -0.918211197910737 , -0.410073037315177 , -0.964647726651524 , 1.33317694558375 , 0.465386337781081 , 1.06635065754906 , -0.743932786875535 , -0.935098839451658 , 0.611600323548335 , -0.152318576677003 , -0.0273715482099837 , 0.784632385435789 , -1.13075070844473 , 1.35083819455001 , -0.673938568321864 , 0.487191742467605 , 0.771810078357609 , 0.502831797004649 , -0.148482201875766 , -0.272333839670667 , -1.7641914319259 , 0.628239426640217 , 1.14609465486458 | 0.8559405 |
| 1 | 50 | 0.0 | 0.1 | 0.5 | control , control , control , control , control , control , control , control , control , control , control , control , control , control , control , control , control , control , control , control , control , control , control , control , control , control , control , control , control , control , control , control , control , control , control , control , control , control , control , control , control , control , control , control , control , control , control , control , control , control , intervention , intervention , intervention , intervention , intervention , intervention , intervention , intervention , intervention , intervention , intervention , intervention , intervention , intervention , intervention , intervention , intervention , intervention , intervention , intervention , intervention , intervention , intervention , intervention , intervention , intervention , intervention , intervention , intervention , intervention , intervention , intervention , intervention , intervention , intervention , intervention , intervention , intervention , intervention , intervention , intervention , intervention , intervention , intervention , intervention , intervention , intervention , intervention , intervention , intervention , -0.568956388058418 , 0.171383169396247 , -0.148720237448039 , 0.353649408946339 , -0.015114101305141 , 0.547055033945773 , 0.573883341540942 , 0.238603037378301 , 0.918305162570843 , -0.225342917601905 , -0.130121791933229 , 0.0606052332624635 , 0.228596215112986 , -0.367258575802206 , -0.386179396135589 , 0.551684444489148 , 0.684151677216617 , 0.184234964916333 , 0.284090828227779 , -0.0294192535609415 , 0.477796060579293 , 0.624094301777389 , 0.370965903315685 , -0.266989977570267 , -0.0339767789504879 , -0.112989131692011 , 0.228324579501738 , -0.112812633390754 , 0.677748360853071 , 0.685494302261131 , 0.56351108734711 , 0.155450549670344 , -0.00294469966669425, -0.271071742105693 , -0.379559205669737 , 0.754443691637796 , 0.424024700830206 , 0.225203830809651 , -0.0972031058260248 , 0.0204535077911477 , -1.01657772299515 , -0.0773079479130131 , -0.271053498443253 , 0.48124942404967 , -0.4333602745202 , -0.903322341647476 , -1.04115247638116 , -0.0960138710248304 , -0.558145567942509 , -1.03164726015954 , -0.105514541975864 , 0.418573142815735 , 0.186697194222952 , -0.132814901742974 , -0.866100241981196 , 0.138642799821639 , 0.609178646822994 , 0.545584310156429 , 0.0780066155232235 , -0.345137824002965 , 0.108849500922691 , 1.0020606149015 , 0.0883932822531644 , 0.531534833842102 , -0.625916487080746 , 0.880319148330432 , -0.107964737166225 , 0.338202137795829 , -0.143313468402784 , -0.251680889334254 , 0.385215626242203 , 0.536707008627126 , -0.310805324955225 , -0.707142487938442 , 0.867912916245762 , 0.228724943449292 , 0.103978134419424 , 0.683413149303469 , -0.900801174321346 , -0.346243428363986 , -0.0653047736205459 , 0.429900910882312 , -0.853075704565343 , -0.362980766967271 , 0.060412189865275 , -0.253029900613999 , 0.101564428619316 , -0.533564813719357 , -0.152915561564816 , 0.67445625138272 , -0.335230049042019 , -0.0573255759147494 , 0.702420617375343 , -0.0227729369839611 , 0.246545261651739 , -0.309404356557975 , -0.58977255443875 , 0.150579903103425 , -0.244474605825558 , 0.109991859087144 | 0.9458231 |
| 1 | 50 | 0.0 | 0.1 | 1.0 | control , control , control , control , control , control , control , control , control , control , control , control , control , control , control , control , control , control , control , control , control , control , control , control , control , control , control , control , control , control , control , control , control , control , control , control , control , control , control , control , control , control , control , control , control , control , control , control , control , control , intervention , intervention , intervention , intervention , intervention , intervention , intervention , intervention , intervention , intervention , intervention , intervention , intervention , intervention , intervention , intervention , intervention , intervention , intervention , intervention , intervention , intervention , intervention , intervention , intervention , intervention , intervention , intervention , intervention , intervention , intervention , intervention , intervention , intervention , intervention , intervention , intervention , intervention , intervention , intervention , intervention , intervention , intervention , intervention , intervention , intervention , intervention , intervention , intervention , intervention , 0.0666460490864582 , -0.0534935507333295, 0.13961753767329 , -1.53569733183469 , -1.55091599444356 , 1.32353089373872 , 0.128270106231926 , -0.68710700773606 , 1.48145111315889 , -0.107286251520005 , -0.177008025619923 , 1.38547762154054 , 0.463121087872444 , 0.515603971441641 , 1.23288093697829 , 0.99881562060559 , 0.35824131188933 , 0.216247185088138 , 0.996763516127984 , 2.38854395415759 , -0.196481893725776 , 0.345570690648793 , 0.161187045926648 , -1.21217804863262 , -0.587309054829643 , -0.98982424154739 , 0.474096179244375 , 0.324583505793381 , -1.03937426604653 , 1.64761572035027 , 1.86074415857057 , 2.10291395281917 , 0.860871917676487 , 0.329115368591815 , 0.903187854379636 , 1.08999938948366 , 0.950100842743841 , 0.155434763092387 , -1.13232848850383 , 1.90245270178983 , -0.747288041115067 , -2.00762213223271 , 0.410799462457272 , 0.37568159700147 , 1.1178880378833 , 0.143554287277081 , -0.849046267800374 , 1.25960234029347 , -0.0814229868974596, -2.25641883884892 , 0.984182477340682 , 0.774844617156104 , 0.890174966402369 , 1.34724794096024 , 1.46084052446715 , 0.0311085192530698 , 0.702668278881967 , 0.463923123449375 , -0.137371014262607 , -1.40397702797682 , 0.616840011758849 , 0.782161580578762 , -0.748035786926245 , -0.161143725685619 , -0.0813028411796759, -0.180798144363378 , 1.63086947845516 , -0.144646503024083 , -0.723676187874832 , 0.303782489223026 , -0.937563636365832 , 1.5360753805941 , 1.30860190109266 , -1.30269831162514 , 0.375656626267657 , -0.281564688470015 , -1.32942259171183 , 0.349762081822424 , 0.0826655043906857 , 0.438319027096093 , -1.27460772038373 , -1.57012208111069 , -0.218866493171084 , 0.0735712473234647 , -1.4535719386298 , 0.444528879420241 , 1.7305196303746 , 0.726238613141071 , -1.95899017221284 , 0.29802066860543 , -1.35128864233084 , 0.665600297815789 , -0.0795538166692206, -0.226811962489376 , 0.252185801238147 , -0.657542448957277 , 1.44650235609769 , 0.0552310705909624 , 1.06916007206474 , 0.952179801618624 | 0.4655560 |
| 1 | 50 | 0.5 | 0.0 | 0.5 | control , control , control , control , control , control , control , control , control , control , control , control , control , control , control , control , control , control , control , control , control , control , control , control , control , control , control , control , control , control , control , control , control , control , control , control , control , control , control , control , control , control , control , control , control , control , control , control , control , control , intervention , intervention , intervention , intervention , intervention , intervention , intervention , intervention , intervention , intervention , intervention , intervention , intervention , intervention , intervention , intervention , intervention , intervention , intervention , intervention , intervention , intervention , intervention , intervention , intervention , intervention , intervention , intervention , intervention , intervention , intervention , intervention , intervention , intervention , intervention , intervention , intervention , intervention , intervention , intervention , intervention , intervention , intervention , intervention , intervention , intervention , intervention , intervention , intervention , intervention , -0.104798394297902 , -0.176815330964214 , -0.132317213331534 , -0.104837910197098 , -1.09133936913874 , -0.480418063845338 , 0.0464224207029993 , 0.0907744237563082 , -0.410059958508506 , -0.607127363408613 , 0.723163981886261 , -1.0296276403537 , 0.0505164163161294 , -0.519282580058714 , 0.671391274729117 , 0.561194052141702 , 0.180845980654552 , 1.05272864085063 , 1.20194893036449 , 0.644904621704187 , -0.0670431270359606 , 0.208612125789258 , -0.0285337166325177 , 1.79682856147086 , -0.504346728548078 , 0.242397520182483 , -0.517797346735718 , -0.217967657163504 , 0.0133783683431281 , -0.575793867677508 , 0.0132574495457702 , 0.778289256091913 , -0.277629135041725 , 0.164597775162324 , 0.44909781476579 , -0.0302987955325268 , -0.0473907320950549 , 0.573719785883266 , -0.24562576687071 , -0.410326790620857 , 0.243292904333752 , 0.0612123351928192 , -0.0927293223812672 , -0.15789608194506 , 0.589286490486907 , -0.103233853512234 , -0.216595853164801 , -0.0404983250124387 , -0.236240521730438 , 0.201806753967373 , 0.660954818663571 , 1.0220211935846 , 0.886614890337103 , 0.342103916066487 , 0.93927163191541 , 0.680870985065243 , 0.693311788376834 , 0.128064579517496 , 0.51668626663965 , 1.30921517512876 , 0.309429553348401 , 0.776948232562848 , 0.111995867559784 , 0.322940131028662 , -0.222699345868175 , 0.129887530712793 , 0.729538617742428 , 0.913599689748422 , 0.478699175428404 , 0.188926368599283 , 0.288526035649939 , 0.402864520427065 , 0.589545584270468 , -0.209912491204079 , 1.12208863000407 , 0.511006629679303 , 0.54047915098927 , 1.11814925215751 , 0.490135875243527 , 0.893612369075815 , 0.317210251604339 , 1.13763525435312 , -0.0415296385127961 , 0.986276683641408 , 0.667376019736132 , -0.483122411284019 , 0.847259511775786 , 0.078962084036056 , 0.897653453235288 , 1.17198936485684 , 0.760621327367994 , 0.799065550221344 , 0.579764745417245 , 0.186434994809976 , 0.541756506798538 , 0.212515444143856 , 0.18322962540216 , 0.201949321219315 , -0.000424748897783322, 0.488444819563453 | 0.0000016 |
| 1 | 50 | 0.5 | 0.0 | 1.0 | control , control , control , control , control , control , control , control , control , control , control , control , control , control , control , control , control , control , control , control , control , control , control , control , control , control , control , control , control , control , control , control , control , control , control , control , control , control , control , control , control , control , control , control , control , control , control , control , control , control , intervention , intervention , intervention , intervention , intervention , intervention , intervention , intervention , intervention , intervention , intervention , intervention , intervention , intervention , intervention , intervention , intervention , intervention , intervention , intervention , intervention , intervention , intervention , intervention , intervention , intervention , intervention , intervention , intervention , intervention , intervention , intervention , intervention , intervention , intervention , intervention , intervention , intervention , intervention , intervention , intervention , intervention , intervention , intervention , intervention , intervention , intervention , intervention , intervention , intervention , -0.223198785513406 , 0.561525791048925 , -0.945403394376127 , 0.228457665624322 , 0.097155720005765 , 0.573738266299713 , 0.516715048747672 , 1.20823774014869 , -2.57087045346382 , 0.189328191135732 , -0.562351044063058 , 1.20942109522931 , 1.26012336844041 , -0.0563457108085375, 1.26008184567343 , 0.00194268031176298, -0.64525870560174 , -1.21048396461033 , -0.0952623892002135, 1.07595701958715 , -0.532670920222544 , -1.17495150829762 , -0.519521945109155 , 0.413907117154642 , 0.0164478916341018 , 0.0297163561857423 , 0.886344289313694 , 0.345060293428213 , 1.10601468178285 , 0.101033574125894 , -0.587174822729724 , -0.150962000533442 , 1.49501819276937 , -0.534306968854787 , 0.479309426084365 , 0.0829215297341097 , 0.31224230319772 , 0.678789483937118 , 0.0996716435388127 , 0.184593867171973 , 0.714876798516115 , 1.21524780168278 , -0.282359741537612 , 1.01606903021943 , -0.857177411087685 , -0.521154729237718 , -0.542115103374812 , 0.877995187538914 , 1.71637887431111 , 0.930554227107317 , -0.901516722401558 , 1.83939462294016 , -0.166558156332545 , 1.44891778377125 , 0.943658601594061 , 1.63751536944123 , 1.27865931826871 , 0.292536121035113 , -1.44788723724 , 1.6399142781904 , 1.170147757927 , 1.89452322166556 , 1.27623663695584 , -0.144715285919672 , -1.59759688126536 , 0.985906601876673 , -0.0290775402590219, 2.28800271724191 , -1.23918793685297 , 1.33978791202705 , 0.433110376853199 , 0.651303161384693 , 3.24771530535474 , 0.771405822937335 , -1.90014611774447 , 1.34675865997953 , 0.113426892039163 , -1.07445896070083 , -0.315503970920586 , 0.541598528466119 , -0.681753771129339 , 0.833830196341327 , 2.07804329597923 , -0.979600633056042 , -0.0157979423386849, 1.38770128651296 , 0.616959592978017 , 0.769981739361633 , -1.47734570773028 , 2.06299475590499 , -1.00922414782278 , 0.194202236663654 , 0.89817140955787 , 1.80409255989458 , -1.53428877406839 , 0.94483297737207 , 1.82926815628289 , 0.793987077331211 , 2.97463260946076 , 0.165849316652089 | 0.0725493 |
| 1 | 50 | 0.5 | 0.1 | 0.5 | control , control , control , control , control , control , control , control , control , control , control , control , control , control , control , control , control , control , control , control , control , control , control , control , control , control , control , control , control , control , control , control , control , control , control , control , control , control , control , control , control , control , control , control , control , control , control , control , control , control , intervention , intervention , intervention , intervention , intervention , intervention , intervention , intervention , intervention , intervention , intervention , intervention , intervention , intervention , intervention , intervention , intervention , intervention , intervention , intervention , intervention , intervention , intervention , intervention , intervention , intervention , intervention , intervention , intervention , intervention , intervention , intervention , intervention , intervention , intervention , intervention , intervention , intervention , intervention , intervention , intervention , intervention , intervention , intervention , intervention , intervention , intervention , intervention , intervention , intervention , -0.107475728124143 , -0.162913926296396 , -0.260542167391542 , -0.391310066680153 , 0.274144463187773 , 0.305162454806716 , -0.22998509019256 , -0.75971163140384 , 0.0527934910081059 , -0.43969980122112 , -0.092669129080163 , 0.212639468445798 , 0.531626569658157 , -0.342196748575615 , 1.01175615869221 , -0.0587756880564644 , -0.443439517919697 , 0.247925129639938 , 0.640577666367405 , -0.601402838125351 , 0.344452552610014 , 0.636698660595278 , 0.297372517634491 , 0.0299306842019576 , 0.208792980910223 , -0.219665426373226 , 0.266379213835281 , -0.152673804075054 , 0.242147049339205 , 0.10521099072006 , -0.157996013261029 , -0.266756269299876 , -0.485067078860526 , 0.790277215729864 , 0.408118243163643 , -0.661690062504955 , -0.607462508065641 , -0.135684258451749 , -0.554111354161409 , -0.426146208009965 , 0.092941130948847 , 0.904082132712849 , -0.169170710840559 , -0.97221319403753 , 0.0690402271134676 , -0.480446278169128 , 0.797979511275748 , 0.528208195888473 , -0.557508322886405 , 0.811185219703177 , 0.113085810100422 , 0.0401349325226795 , 0.212985076601686 , 0.26107589101673 , 0.728231038670192 , 0.448778211126465 , 0.526698872287525 , 0.642170992093553 , 0.103136284082562 , 0.866825478744616 , 0.697487031927163 , -0.00341607341291839, 0.548508435872704 , 0.0702111230641025 , 0.281843554728701 , 0.774978881921572 , 1.0263202611215 , 0.63628882687488 , 0.959441718690196 , 0.252903303572227 , 0.717870797384607 , 0.601326361216791 , -0.774147276084675 , 0.464724533211232 , 0.874968114629933 , -0.275349587518594 , 0.929187667589224 , 1.18898206689229 , 0.448449320250537 , 0.785903046831302 , 1.06846564192673 , 0.716337607269105 , 0.881069933694775 , 0.0540295297857387 , 1.04705867323686 , 0.309394911742113 , 1.50122663127315 , 0.773003840823108 , 0.719072292689967 , 1.17390897559349 , 0.401108735400011 , 0.498216037981414 , 0.590549817940501 , 0.279651331357775 , 0.0709102140011169 , -0.30288780824317 , 0.95515778673283 , -0.422297878843436 , 0.0593740742799401 , 0.774511837490453 | 0.0000004 |
| 1 | 50 | 0.5 | 0.1 | 1.0 | control , control , control , control , control , control , control , control , control , control , control , control , control , control , control , control , control , control , control , control , control , control , control , control , control , control , control , control , control , control , control , control , control , control , control , control , control , control , control , control , control , control , control , control , control , control , control , control , control , control , intervention , intervention , intervention , intervention , intervention , intervention , intervention , intervention , intervention , intervention , intervention , intervention , intervention , intervention , intervention , intervention , intervention , intervention , intervention , intervention , intervention , intervention , intervention , intervention , intervention , intervention , intervention , intervention , intervention , intervention , intervention , intervention , intervention , intervention , intervention , intervention , intervention , intervention , intervention , intervention , intervention , intervention , intervention , intervention , intervention , intervention , intervention , intervention , intervention , intervention , 0.969120962171791 , 0.301446233435316 , -1.37203636062647 , 1.41235947889466 , -0.0171695590310521 , 1.45090759490187 , -2.23409833146165 , 0.50202602440013 , 0.378659049047407 , -0.197974551474805 , -1.01109413332503 , -1.84642619400226 , 1.25717229167091 , -0.26911108296196 , -0.299399243356392 , -0.660227069034839 , -0.986093900710285 , 1.32364112270062 , -0.627040208732077 , 0.302199736990309 , -0.0546003014352745 , -2.34033291221569 , 1.9450157271079 , -0.699288831420539 , 1.01034542878075 , 1.13663384438403 , -0.094604859696437 , -1.20731473881633 , 0.347519531995854 , 0.0595163433773709 , -0.333858887600521 , -1.68112890088922 , 1.46053833386399 , 0.138748279171528 , -0.417724286893933 , -0.0431106219249776 , -1.47405559076999 , 3.13968599101322 , 0.82448388479457 , -0.538473387025947 , 2.5172970594395 , 0.415070433053594 , 0.604973125753878 , 0.737978289098827 , 1.00850151567741 , 0.286024409878646 , -0.233193628078313 , -1.54257562586691 , 1.29321075481688 , 1.12384444838781 , -1.23896011486139 , 0.347640967936733 , -0.705359025415922 , 0.653127351870101 , 0.581081902021691 , -0.958841336628855 , -0.504146731640704 , 0.262066124059875 , -0.606735437048934 , -0.750460358158744 , 1.19948946580561 , 0.944785364434829 , -0.114488733384209 , 0.362973999095366 , -0.175613675906635 , 0.295605041722677 , 0.183107475784306 , 0.339330052403845 , 1.31916344557008 , -0.0578676265197127 , 0.75601931538387 , 0.99575063376194 , 2.24717896647852 , -0.112959002841202 , 1.24633713419527 , 2.20221317502446 , 1.95314290324457 , -0.0803080666195868 , 1.04309283249469 , -0.532438347324758 , 0.61651305217629 , 0.439397299509754 , 0.917827757112967 , 1.61105369152009 , -0.0216976789341683 , 1.75818087035323 , 1.10543178618031 , -0.760638956958186 , -0.00399674203406619, 1.39229560438039 , -0.219808921232891 , 0.224647718880146 , 1.77489521943335 , 1.07653334762374 , -0.67656954841173 , 3.35771138029367 , 1.28333992858927 , 0.438076673850842 , -0.300469763146919 , 0.23882823917516 | 0.0692317 |
| 2 | 20 | 0.0 | 0.0 | 0.5 | control , control , control , control , control , control , control , control , control , control , control , control , control , control , control , control , control , control , control , control , intervention , intervention , intervention , intervention , intervention , intervention , intervention , intervention , intervention , intervention , intervention , intervention , intervention , intervention , intervention , intervention , intervention , intervention , intervention , intervention , -0.0746690001586042, -0.298586840154605 , 0.661870053672237 , 0.393421210744592 , -0.628569099417284 , -0.827556853519794 , -0.132845079029456 , 0.155051193338198 , -0.216387309366217 , -0.526432794320068 , -0.47011219555809 , 0.205611910731638 , 0.900390277298703 , 0.377790494347824 , -0.153366581316189 , -0.412845739329707 , 0.101747299445904 , 0.51750549997657 , 0.794005731091647 , 0.929015106966682 , 0.202399982923987 , 0.878425448270855 , 1.25596242781416 , 0.126675851465237 , -0.489185871300856 , 0.163806085930385 , 0.853121482457134 , 0.644348487418046 , -0.201819469913202 , -0.751994529780628 , -0.230674691124284 , 0.338156914006557 , -0.209787811023746 , -0.513989444327805 , -0.467491778033913 , 0.387329844785158 , -0.206721046606438 , -0.271509704614199 , 0.591960837540906 , 0.657419281242531 | 0.6702402 |
| 2 | 20 | 0.0 | 0.0 | 1.0 | control , control , control , control , control , control , control , control , control , control , control , control , control , control , control , control , control , control , control , control , intervention , intervention , intervention , intervention , intervention , intervention , intervention , intervention , intervention , intervention , intervention , intervention , intervention , intervention , intervention , intervention , intervention , intervention , intervention , intervention , 2.00904944889649 , 1.67367105415428 , 1.9688873082092 , -1.09756842610359 , -1.14105349186094 , 0.267717393689679 , -0.643720991953501 , 1.81358952678716 , -0.337913042141467 , 0.726834014904467 , -0.731900316242809 , -0.496556184971731 , 0.593951008370928 , 0.242378094288619 , -0.00955508390606791, -0.00383857725930908, 1.30171840151522 , -1.38068336561792 , 0.887232915107161 , 2.22607678649989 , -2.37265957876878 , 0.591475230306226 , -0.578040394722333 , 0.73881295700219 , -0.544699096068973 , 0.270994828417939 , -0.336596427118426 , -0.0553918524443871 , 1.34857121444076 , 1.52843216726929 , -0.548676236571069 , 1.24755979144008 , 1.0406398480289 , 0.827051759829758 , 1.74656398153247 , -0.425809227237032 , 1.91818749606283 , -0.485961881452699 , 1.05423581175583 , 0.766326249858111 | 0.9843717 |
| 2 | 20 | 0.0 | 0.1 | 0.5 | control , control , control , control , control , control , control , control , control , control , control , control , control , control , control , control , control , control , control , control , intervention , intervention , intervention , intervention , intervention , intervention , intervention , intervention , intervention , intervention , intervention , intervention , intervention , intervention , intervention , intervention , intervention , intervention , intervention , intervention , 0.0447044897363208 , -0.311883023076465 , 1.21979372153208 , -0.552783896287131 , -0.492466047851568 , 0.123076493859119 , 0.733487125925682 , 0.585665485776285 , 0.759223666358618 , -0.254440751696605 , 0.272255222895406 , -0.726452210441156 , -0.325217703789141 , 0.866024042724015 , 0.87203997289076 , 0.419731439843753 , -0.722908244976905 , -0.45287860442517 , -0.455513931555418 , 0.133286206234916 , -0.81212142703863 , -0.0634504009637834, 0.599493132954152 , -0.403488368853933 , -0.669194613623771 , 0.696242805569034 , 0.337451181384317 , 0.450835381813052 , 0.159082461219977 , 0.0849999422304211 , -0.31507254000628 , -0.400109924411823 , -0.462854929419278 , -0.896890671299249 , -0.190208912139904 , 1.13445294392862 , 0.372697836978998 , -0.400537590851261 , 0.650308079674568 , -0.59246255473598 | 0.5105900 |
| 2 | 20 | 0.0 | 0.1 | 1.0 | control , control , control , control , control , control , control , control , control , control , control , control , control , control , control , control , control , control , control , control , intervention , intervention , intervention , intervention , intervention , intervention , intervention , intervention , intervention , intervention , intervention , intervention , intervention , intervention , intervention , intervention , intervention , intervention , intervention , intervention , -0.908763138262578 , -0.0698524140414776 , -1.19568552069138 , 0.408039093915437 , -1.26654775447134 , 1.47812109727404 , -1.07958900501927 , -0.929786225533747 , -2.0982001450282 , -0.781623059256659 , 1.25884570834622 , 0.184588248575314 , 0.686191580380919 , -1.87964755023166 , 1.33323519211995 , 1.98709810267222 , -0.24788724499772 , 1.62342547901941 , -1.31277044364259 , 0.467666411646755 , 1.34925778416645 , -0.220850606993642 , -1.36975536062913 , -1.77872907758458 , 0.117918285812851 , -0.104408414187373 , -1.12414688209509 , 1.14410545843137 , 0.642997781509196 , 0.744925068718683 , -0.872108214712636 , -0.0284024825294802 , 0.0533431622076688 , -0.00728543577575624, -1.37373201581843 , 1.07343758135719 , 0.0665139295026531 , 1.58457200740372 , -1.97552902563054 , 1.02505089066098 | 0.8606925 |
| 2 | 20 | 0.5 | 0.0 | 0.5 | control , control , control , control , control , control , control , control , control , control , control , control , control , control , control , control , control , control , control , control , intervention , intervention , intervention , intervention , intervention , intervention , intervention , intervention , intervention , intervention , intervention , intervention , intervention , intervention , intervention , intervention , intervention , intervention , intervention , intervention , 0.577495187067496 , 0.245724518099575 , 0.0407176385312038 , 0.274084536947394 , 0.90269800940125 , 0.390006745459613 , 0.55704836575209 , -0.40304429888901 , -0.111453591775038 , 0.161491253008526 , 0.649853141311793 , -0.107949069590114 , 0.79896590467966 , 0.112491219648398 , 0.191413491856961 , 0.329116110316615 , 0.57056986204974 , -0.670607375770835 , -0.512458484140243 , -0.134279668783467 , 0.748531419874066 , 0.928329265528469 , 1.22213422308647 , 0.359018052813142 , -0.023227144443503 , 0.0934885353759941 , 0.95482936987224 , 0.17695298453211 , 0.249031314792665 , -0.0935156352958032, 0.813978629651384 , 0.597589994359561 , 1.24305234766411 , 0.109939735328452 , -0.422679384860883 , 0.738051469782635 , 0.430916830436034 , 0.70145026123974 , 0.273206231376683 , 0.122338538048275 | 0.0617592 |
| 2 | 20 | 0.5 | 0.0 | 1.0 | control , control , control , control , control , control , control , control , control , control , control , control , control , control , control , control , control , control , control , control , intervention , intervention , intervention , intervention , intervention , intervention , intervention , intervention , intervention , intervention , intervention , intervention , intervention , intervention , intervention , intervention , intervention , intervention , intervention , intervention , 2.26619374693035 , -0.665736050828887, -1.17156256559265 , -0.269250840080046, -1.2964178820452 , 1.82931875472324 , 0.0980360885279332, 0.169076233562553 , -0.712964694703871, -1.58175297451889 , 1.13889497498332 , 1.31676779896403 , 0.862859796533241 , 0.910229726138272 , -0.840500842681094, 0.518502703714692 , -0.990286028609946, -1.18269006492628 , -0.333820007697464, 1.30097594582806 , -0.58535823743757 , -0.109860179566735, -0.68943802184885 , -1.27528391102105 , 0.696676203226092 , 1.22660765175539 , -0.29980491232132 , 0.8946159045602 , 0.856751712367614 , 1.30090347189391 , -0.516750680046981, 0.79480178364213 , 0.328009305988435 , -1.23701319800368 , 1.12914324339717 , 1.92651193160281 , 1.15483398500133 , 0.500199719597821 , 1.00155638146194 , 1.06042188309766 | 0.3044684 |
| 2 | 20 | 0.5 | 0.1 | 0.5 | control , control , control , control , control , control , control , control , control , control , control , control , control , control , control , control , control , control , control , control , intervention , intervention , intervention , intervention , intervention , intervention , intervention , intervention , intervention , intervention , intervention , intervention , intervention , intervention , intervention , intervention , intervention , intervention , intervention , intervention , 0.244660904185565 , -0.119959555031217 , -0.211531189569467 , -0.441435066710908 , 0.496995489678211 , 0.661736013890752 , -0.496486606782084 , -0.321640131217176 , 0.106560487561877 , -0.564912715976287 , -0.618793339338351 , -0.0221183610938295, 0.0664378862677594 , 0.253558351220955 , -0.102318246072261 , -0.0772754311742409, 0.126423338494752 , -0.295696011464677 , -0.635342041598437 , -0.248451191461931 , 0.651371081580333 , 0.244152970523526 , 0.347181473774718 , -0.820447810535325 , 1.22287506295101 , 0.684763445470281 , 0.524546130268995 , 0.116702282722886 , 1.29065614891163 , 0.97180743770092 , -0.081458058830229 , -0.0847538096097704, -0.0792315328405597, 0.315616874772107 , 0.173114962353916 , 1.21438208097022 , 0.670942378638982 , 0.906984469290904 , 1.69615595207659 , 0.371483380375956 | 0.0002570 |
| 2 | 20 | 0.5 | 0.1 | 1.0 | control , control , control , control , control , control , control , control , control , control , control , control , control , control , control , control , control , control , control , control , intervention , intervention , intervention , intervention , intervention , intervention , intervention , intervention , intervention , intervention , intervention , intervention , intervention , intervention , intervention , intervention , intervention , intervention , intervention , intervention , 0.778178006713587 , 0.496369266991008 , -0.0892528501418811, 0.375119793651013 , 0.941368204180752 , 1.56644039716338 , -0.0380537229500345, 0.443341927943486 , 0.112757162057629 , -0.211235760701105 , 2.44021357576708 , -0.121242804370945 , 1.12130701750446 , -0.304964726298487 , 0.549264075907259 , 0.285677232537864 , 0.708012687121144 , -0.154548937853782 , -0.120334620721832 , -0.870544101001261 , 2.32656257114404 , 1.35518200997024 , 1.40819460023721 , 0.292632116190674 , 1.79361643892783 , 2.15645405579313 , -0.611535149952013 , 0.151148827594585 , -0.0910316481219886, 2.26070263818005 , -0.356292286255416 , 1.06389906482382 , 0.313768582594306 , 1.01998238376811 , -0.682717618247375 , 0.59586693964381 , 0.856265305525981 , 0.706411731147949 , 0.706430326974847 , 1.70825867213695 | 0.0950072 |
| 2 | 50 | 0.0 | 0.0 | 0.5 | control , control , control , control , control , control , control , control , control , control , control , control , control , control , control , control , control , control , control , control , control , control , control , control , control , control , control , control , control , control , control , control , control , control , control , control , control , control , control , control , control , control , control , control , control , control , control , control , control , control , intervention , intervention , intervention , intervention , intervention , intervention , intervention , intervention , intervention , intervention , intervention , intervention , intervention , intervention , intervention , intervention , intervention , intervention , intervention , intervention , intervention , intervention , intervention , intervention , intervention , intervention , intervention , intervention , intervention , intervention , intervention , intervention , intervention , intervention , intervention , intervention , intervention , intervention , intervention , intervention , intervention , intervention , intervention , intervention , intervention , intervention , intervention , intervention , intervention , intervention , -0.0558380361769128, -0.815221287135313 , 0.521775093009083 , 0.51003807188443 , -0.03171169872055 , -0.660269322836928 , -0.216378998105983 , 0.978936965533948 , -0.639262969124425 , 0.673812925503232 , -0.801539315019818 , -0.210217169640974 , 0.243776244852382 , -0.0415114049409041, -0.209109537161912 , -0.401705413469787 , 0.461889439035927 , 0.477229935177988 , -0.392398065954459 , 0.671514621342602 , 0.109818703083766 , 0.501586489151957 , -0.350210270151551 , 0.0403164674359776 , -0.0717365195902268, -0.4937246592685 , -0.130639051034051 , -0.800978887730216 , -0.425287744642182 , 0.168588755303144 , 0.260931063720637 , 0.714785015988474 , -0.0357322525802432, 0.174214481665789 , -0.121841842447252 , 1.10072727054519 , -0.643309512939546 , -0.451889774683668 , 0.267958392935552 , 0.511145300897339 , -0.553370438102455 , 0.438884542514726 , 0.435548983219845 , 0.256625570394494 , -0.101780845175986 , -0.439711180875267 , 1.17760254638711 , 0.404882728404338 , -0.868553235507207 , 0.247115837909275 , 0.223481618948972 , -0.0434361794623776, 0.385428504183728 , 0.798534471168269 , 0.051384282091426 , 0.172576758114729 , -0.18722664079793 , 0.412703907195776 , 0.392081466706451 , 0.193049300213959 , -0.141326637136035 , -0.238999467427877 , -0.154954359651573 , 0.0571933119137976 , 0.389339629515505 , -0.151998348465768 , 0.321334154325067 , 0.37668286889405 , -0.179670725066994 , 1.01741595038355 , 0.732001545172509 , -0.283403532052757 , 0.105297512931239 , -0.545224020976308 , 0.1873242109001 , -0.118232642312251 , -0.829331504963028 , 0.373105012524027 , -0.453785821961853 , 0.141945164283229 , -0.255049696568493 , -0.0372534245992671, 0.369375416301344 , -0.847061806362265 , -0.156150766035901 , 0.341285445828397 , 0.367430711106984 , -0.73855231114097 , -0.906154079666356 , -0.388848553762826 , 0.240360952590871 , 0.328556765740858 , 0.227487596232876 , -0.186031868906136 , -0.146352943246816 , 0.00945547954326836, -0.25541390077646 , -0.176006755546288 , -0.617120157676307 , -0.309970043478309 | 0.7466395 |
| 2 | 50 | 0.0 | 0.0 | 1.0 | control , control , control , control , control , control , control , control , control , control , control , control , control , control , control , control , control , control , control , control , control , control , control , control , control , control , control , control , control , control , control , control , control , control , control , control , control , control , control , control , control , control , control , control , control , control , control , control , control , control , intervention , intervention , intervention , intervention , intervention , intervention , intervention , intervention , intervention , intervention , intervention , intervention , intervention , intervention , intervention , intervention , intervention , intervention , intervention , intervention , intervention , intervention , intervention , intervention , intervention , intervention , intervention , intervention , intervention , intervention , intervention , intervention , intervention , intervention , intervention , intervention , intervention , intervention , intervention , intervention , intervention , intervention , intervention , intervention , intervention , intervention , intervention , intervention , intervention , intervention , -1.6461187020331 , -0.776936168095582 , -0.028260869525935 , -0.770521564567868 , 0.0363036304455543 , 2.43791308966712 , 1.43546404337838 , -0.596829052537698 , -1.6531645456964 , 0.905370297352558 , -0.16565240644655 , -0.144954304593416 , -1.74800331727723 , -0.34367178335398 , -1.61628867249651 , -0.649136663949481 , -2.04088349960715 , -0.0839449145845346, -1.52067692230335 , 0.092591116567931 , 0.171602700312606 , 1.46130313960979 , 1.21716442312609 , -0.480989449831804 , 0.0442492051183847 , -0.133706346208969 , 0.347833625269889 , 0.870712727617112 , 0.328830195789252 , 0.57861719865312 , 0.0515926831037959 , 0.301968273403837 , 1.58469136530549 , -0.563152302768016 , -0.280785334816296 , 2.26381956691016 , -1.14114753409044 , -0.236036379843233 , -0.783535338892204 , -0.931021050142575 , 0.502052196240803 , -0.873584922490052 , 0.827283833705549 , -1.4690721040826 , -1.48842018461502 , 2.39176798062637 , -2.3340516906815 , 0.127080402384669 , -0.110887092755086 , -0.351881911551126 , 1.56501590068903 , 0.126237923423979 , -0.167702957892983 , 1.62872508467791 , 0.233537837401009 , 1.23451204533677 , 0.491258981910581 , 1.50781084512813 , -0.272673237943574 , 0.491080315614061 , 0.024133739496532 , -1.261323986864 , 0.132745864515039 , 2.08549954771449 , -0.475571302173233 , -0.354707060255568 , -0.977465611950775 , 1.59374127925245 , -0.433735968180109 , 0.451683080830518 , -0.745590969419143 , -0.434785323685411 , -0.309001401729722 , -0.364841629249974 , 1.31070483069695 , 0.156069157605943 , -0.617902817210019 , -1.29897137284114 , 1.00576649319215 , -0.100126480606544 , 0.878068826546379 , 1.41778587226463 , 0.256851925708602 , -1.22670761568452 , -0.528380851167885 , 0.877922640995117 , -1.36346612897816 , 0.270754025026517 , -0.0984471048074129, -1.18283413190931 , -1.13969513377664 , 0.0804644856706292 , 1.5139971608118 , 0.0665527515086293 , -0.479445088595694 , -1.11734579981977 , 0.163441850142392 , 1.57272074307632 , 0.737989187585289 , -1.12413371888193 | 0.2179507 |
| 2 | 50 | 0.0 | 0.1 | 0.5 | control , control , control , control , control , control , control , control , control , control , control , control , control , control , control , control , control , control , control , control , control , control , control , control , control , control , control , control , control , control , control , control , control , control , control , control , control , control , control , control , control , control , control , control , control , control , control , control , control , control , intervention , intervention , intervention , intervention , intervention , intervention , intervention , intervention , intervention , intervention , intervention , intervention , intervention , intervention , intervention , intervention , intervention , intervention , intervention , intervention , intervention , intervention , intervention , intervention , intervention , intervention , intervention , intervention , intervention , intervention , intervention , intervention , intervention , intervention , intervention , intervention , intervention , intervention , intervention , intervention , intervention , intervention , intervention , intervention , intervention , intervention , intervention , intervention , intervention , intervention , 0.455654795607229 , 0.109458351264777 , -0.577742371605601 , 0.595383602401422 , 0.100642886525385 , 0.050756581735492 , 0.492420257255715 , 0.202351899815381 , -0.179725929784768 , -0.268726556068978 , 0.293120511519796 , -0.0896279026993272 , -0.687138419479395 , 0.782401258202145 , -0.0464367059294764 , 0.271812020047087 , 0.488422239307496 , -0.892155086824624 , 0.811081878503232 , 0.291762444860141 , 0.187078282327153 , 0.0563165834681817 , -0.91336703450426 , -0.168534405255635 , 0.615161336411437 , -0.216914991278017 , -0.490982815989325 , 0.036505898983482 , -0.240023618631151 , 0.001882491724488 , 0.595048717593626 , -0.207269764932572 , 0.0718532459370494 , 1.018660775585 , -0.475156941721407 , -0.47716771500603 , 0.225939158885542 , -0.317463690330484 , 0.487270733229167 , -0.577152876244764 , 0.253575121279686 , 0.296592853458185 , 0.126262006813346 , 0.337906142864174 , -0.0326251804169298 , -0.233877749228203 , 0.867350986648854 , 0.00634836295396617 , -0.749562886650066 , -1.06023189285803 , 0.190661668342181 , -0.95760567441819 , 0.165638853899591 , 0.633070742317838 , 1.05036879882786 , -0.184908654826311 , -0.133758039027356 , 0.622607845842272 , 0.310883035339486 , 0.296846370013625 , -0.557892394933539 , -0.424662277247868 , -0.18494862711353 , -0.0686301497223728 , 0.365392611093775 , -0.591667911282481 , -0.137593566600404 , 0.146876665915479 , 0.663750570614695 , 0.0607193872626876 , -8.59248350051048e-05, 0.088618181030108 , -0.242954290503351 , -0.574553017620255 , 0.457213967448379 , -0.800936650354746 , -1.09801214139429 , -0.207277307673912 , 0.765396464818049 , 0.34889374625414 , -0.0637988200670487 , -0.0897439375465493 , -0.727335777791326 , 0.522017809578775 , 0.0118050253243845 , -0.713041980657709 , 0.226083628437046 , -0.333110928253701 , -0.149494194252026 , 0.242205802612602 , -0.0702427715447755 , 1.11340307424066 , 0.296598707213006 , -0.50240776523358 , 0.0705550438762635 , 0.917587748922107 , -0.350624749714665 , -1.00494699895841 , 0.242370476704583 , -0.0985324645716766 | 0.7357779 |
| 2 | 50 | 0.0 | 0.1 | 1.0 | control , control , control , control , control , control , control , control , control , control , control , control , control , control , control , control , control , control , control , control , control , control , control , control , control , control , control , control , control , control , control , control , control , control , control , control , control , control , control , control , control , control , control , control , control , control , control , control , control , control , intervention , intervention , intervention , intervention , intervention , intervention , intervention , intervention , intervention , intervention , intervention , intervention , intervention , intervention , intervention , intervention , intervention , intervention , intervention , intervention , intervention , intervention , intervention , intervention , intervention , intervention , intervention , intervention , intervention , intervention , intervention , intervention , intervention , intervention , intervention , intervention , intervention , intervention , intervention , intervention , intervention , intervention , intervention , intervention , intervention , intervention , intervention , intervention , intervention , intervention , 0.159458241179283 , -2.30550564670258 , 0.658393095841023 , -2.43463085718226 , 1.23631158331479 , 1.94189294982141 , 1.25357202258445 , 0.216286367280227 , 0.514668694724341 , -0.161858199495752 , -0.547264585847086 , 0.192459372700313 , 0.701158515532879 , -0.871417188374109 , -1.37612538558389 , -1.23597811322796 , -1.70516007285327 , 0.871855147776518 , -0.729369782523408 , 0.0464816202750887 , 0.123502984224861 , -0.611622410077623 , 1.25253789672452 , 0.386218225811982 , -1.55314261165371 , 0.378460692752296 , 0.267361294992672 , 0.312465271323657 , -0.215577242207708 , 0.878797795659824 , 1.37978504418427 , -0.689808230697941 , 0.860112814772645 , 1.85558228299182 , 1.59614067187073 , -0.319274815811668 , -1.72918333249106 , 0.317420706557838 , 0.397182097122407 , 0.146352153043649 , -0.326996488248965 , 1.42477331337159 , -0.345995975800148 , -0.961055647268969 , 0.903707549654111 , 1.08367030277549 , -0.163066552171602 , 0.405273108392433 , -0.791624769309905 , -0.0641063461712131, 0.438059828487071 , -0.824880651689812 , -0.0110185610837488, 1.36860357643854 , -0.625620572656312 , 0.0454670270270644 , 1.10963454828959 , -0.839458771027756 , -0.0195991595545023, 1.29427821443694 , 1.25636262060943 , -0.0537218953043661, -0.456561210841894 , -0.304908850396349 , -0.136806932240664 , 0.926918286580928 , 0.456404534479339 , 0.219407699544356 , -0.385720797680364 , 0.117914231198413 , -0.331421150532962 , 0.92611332034132 , -0.574644838581738 , 1.4588941655558 , 0.458999538549399 , -0.835937385230051 , 1.38311627089655 , 1.61149846608159 , 0.606626341202299 , -1.66431108315325 , -0.0988744964391837, -0.723288139354525 , 0.0327786619984203 , -0.063843698622343 , 0.0819102871615909 , -1.34469001602026 , -0.379196161897634 , 2.76373542791382 , -0.477780859694446 , 0.400236971064562 , -1.3828815535326 , 0.490266745680836 , -1.68101769011698 , -1.62499211442581 , 0.31439945979899 , 0.214446886203738 , 0.633779208299883 , -1.33030202710653 , -1.26003781797833 , 0.155512926394442 | 0.8966566 |
| 2 | 50 | 0.5 | 0.0 | 0.5 | control , control , control , control , control , control , control , control , control , control , control , control , control , control , control , control , control , control , control , control , control , control , control , control , control , control , control , control , control , control , control , control , control , control , control , control , control , control , control , control , control , control , control , control , control , control , control , control , control , control , intervention , intervention , intervention , intervention , intervention , intervention , intervention , intervention , intervention , intervention , intervention , intervention , intervention , intervention , intervention , intervention , intervention , intervention , intervention , intervention , intervention , intervention , intervention , intervention , intervention , intervention , intervention , intervention , intervention , intervention , intervention , intervention , intervention , intervention , intervention , intervention , intervention , intervention , intervention , intervention , intervention , intervention , intervention , intervention , intervention , intervention , intervention , intervention , intervention , intervention , -0.299406044743758 , 0.358958838278095 , -0.283260800750462 , 0.923645198548142 , 0.34697549455124 , 0.212278686702699 , 0.568485985602967 , -0.541736295374664 , 0.300685761169305 , 0.681269456555408 , -0.321474722390615 , 0.123001964068073 , -0.384215034932333 , -0.403698754288545 , 0.0952690651472507 , -0.0886591079921002, -0.762885931866751 , -0.164373003456802 , -0.469420596766896 , -0.231058050727794 , 0.179858092458385 , -0.284071325415886 , 0.908501373736089 , -0.775201943563204 , 0.259339252160592 , 0.692473159036021 , -0.32949963900712 , 0.163811597769927 , -0.287069851910504 , 0.172471944962264 , 0.156923264958461 , -0.30254523723423 , -0.175515773386783 , 0.342861769711882 , 0.302421140139874 , 0.205118548355676 , -0.734469401032083 , -0.0734923681756324, 0.166564170952416 , -0.192378208718907 , 0.722865792963741 , -0.0832087337042385, 0.384668606018231 , 0.253485978383187 , -1.33740585747073 , -0.829864687104015 , 0.300558813937546 , -0.825039535643044 , -0.534152195050535 , -0.153517048284836 , 0.227703033829824 , -0.222712841335718 , 0.667059319168269 , 0.602804181015822 , 0.994995961133049 , 0.637823500109431 , 1.20760449625047 , -0.703761706058529 , -0.10927270513943 , 0.16226473009533 , 0.372451703312345 , -0.155262338960959 , 0.0854920934980693 , 0.520707494578556 , 0.582856834600911 , 0.505420221310851 , 0.758460259671404 , 0.355433652223285 , 0.588892190542482 , 0.0269264274700313 , 0.336430893739669 , -0.256676328885013 , 1.07097411263383 , 0.948972035393652 , 0.481791811406338 , 0.586988324151721 , 0.880742245945066 , 0.628917194462036 , 1.08145365782917 , 1.08541834988265 , 0.402337875573361 , 0.833825848553259 , 0.682476844291935 , 0.174149475630735 , 0.513982527776689 , -0.867189277017641 , 1.0286566413259 , 0.993269091085674 , -0.0294505514334334, 0.368445899189366 , 0.0367353952321643 , 0.297258611806466 , 0.317501200057704 , 0.235844648701945 , 0.665377881036126 , 0.0856954786443411 , -0.794335594889515 , 0.491164808000808 , 0.819364958261577 , 1.11601612245961 | 0.0000052 |
| 2 | 50 | 0.5 | 0.0 | 1.0 | control , control , control , control , control , control , control , control , control , control , control , control , control , control , control , control , control , control , control , control , control , control , control , control , control , control , control , control , control , control , control , control , control , control , control , control , control , control , control , control , control , control , control , control , control , control , control , control , control , control , intervention , intervention , intervention , intervention , intervention , intervention , intervention , intervention , intervention , intervention , intervention , intervention , intervention , intervention , intervention , intervention , intervention , intervention , intervention , intervention , intervention , intervention , intervention , intervention , intervention , intervention , intervention , intervention , intervention , intervention , intervention , intervention , intervention , intervention , intervention , intervention , intervention , intervention , intervention , intervention , intervention , intervention , intervention , intervention , intervention , intervention , intervention , intervention , intervention , intervention , 0.403547624004136 , 0.800082183121419 , -1.11652961295594 , 0.222255250405438 , -0.184384744069884 , 0.717462460797281 , 2.35690599982166 , -0.226224705445321 , -0.719954070103459 , 1.7922579489414 , -0.876760906014828 , 0.181989124109137 , -1.26693653325907 , 0.789749232568429 , 2.82405597272396 , 0.93805242589005 , 1.81138298273137 , 0.462258025062528 , 0.38540238715614 , -0.223228930414548 , 0.470910219097802 , 1.12588476301864 , -1.20716130672357 , 0.788438727956113 , -1.57015639042997 , -0.153685676762431 , 0.70952836909386 , -0.122052956597057 , 0.761454805198415 , -0.47305889334082 , -0.606183460296096 , 0.114770424583758 , 1.34271757997234 , 1.06057646445593 , 1.83199890243336 , 2.43255457394927 , -0.176197611486282 , 0.0319148208810713 , -2.56855146130923 , 1.66695751117842 , 0.038885526291358 , 2.71230070038223 , -1.56017382639055 , 0.144681913810358 , 0.122671836414215 , -0.544466480518411 , -1.9759775665773 , -1.47286184700979 , 0.377104138646516 , 1.62202507840213 , 2.00871319556904 , 0.84730885141723 , 1.6679882618052 , 1.37614720852983 , 0.584820613842737 , -0.878837009722214 , 0.919610747506484 , 2.09936011637056 , 2.35428539626899 , -0.0805702700618414, 1.68971120342958 , 0.74022896067427 , 0.608424438755053 , 2.33107680658753 , 0.140722781915856 , 1.76798823984172 , -0.116149486068407 , 1.51052421962427 , -0.635096477476413 , -0.930590283423233 , -0.203085741424374 , -0.253859784756249 , -0.0415969843431155, 0.45859295994884 , -0.214109034580478 , 0.384720180688033 , 1.09757835744345 , 1.32185737089861 , 2.54606544737878 , 1.18187113120055 , 0.157799805623402 , -1.45387793275098 , 0.695358544888574 , 2.622534330506 , 0.740824305997826 , 0.546130262027523 , 1.04835425173439 , 0.123100436216183 , 1.17237234006053 , -0.29803711372658 , 0.791106750236569 , 0.861161197436955 , 2.60636038989953 , 1.10654790283924 , -0.991011615932425 , -0.250199440718615 , 0.136457132051017 , 0.492547536723897 , 0.723516296855898 , 0.851093285604059 | 0.0495080 |
| 2 | 50 | 0.5 | 0.1 | 0.5 | control , control , control , control , control , control , control , control , control , control , control , control , control , control , control , control , control , control , control , control , control , control , control , control , control , control , control , control , control , control , control , control , control , control , control , control , control , control , control , control , control , control , control , control , control , control , control , control , control , control , intervention , intervention , intervention , intervention , intervention , intervention , intervention , intervention , intervention , intervention , intervention , intervention , intervention , intervention , intervention , intervention , intervention , intervention , intervention , intervention , intervention , intervention , intervention , intervention , intervention , intervention , intervention , intervention , intervention , intervention , intervention , intervention , intervention , intervention , intervention , intervention , intervention , intervention , intervention , intervention , intervention , intervention , intervention , intervention , intervention , intervention , intervention , intervention , intervention , intervention , -0.711462674460273 , 0.756137871450686 , -0.0665440192977687, -0.117586186969371 , -0.192845922290069 , -0.43090509676436 , 0.41745801451586 , -0.5771170077641 , 0.643650697555232 , -0.257809101452964 , 0.148352661607949 , -0.0463748507964961, 0.32001709164945 , -0.396937276926963 , 0.0401428779084125 , 0.405570278888369 , -0.171335014400087 , 0.0774829066966417 , -0.134670715658214 , -0.312895932920294 , -0.19229764211277 , 1.35900105536105 , -0.468098981056752 , 0.386206215395734 , -0.2147838885704 , 0.352348623442107 , 0.178751483524444 , 0.549518663251139 , 1.10869517460375 , 0.167938324062094 , 0.539664003475017 , 1.14233771329778 , -0.0616609419221152, 0.14169528654487 , -0.66696279215651 , -0.0730579685508629, -0.732267677428214 , -0.18958217907696 , -0.312974773710342 , -0.618540511516067 , -0.109220628604562 , -0.0483829691307405, 0.19639563173715 , -0.158986457401205 , -0.230533835942635 , 0.243020515238714 , 0.305534836579784 , -0.366797578553022 , -0.410237893441481 , 0.252490098972682 , 1.03106549036998 , 0.979653449675714 , 1.81616073598709 , 0.190509307471451 , 1.04150385370568 , 0.702255606022975 , 0.012219072258049 , 0.0235961661067599 , 0.978710483730817 , 0.691532349831364 , 0.22353868090058 , -0.0805773642393655, 0.252850963012386 , -0.24656792035056 , 0.512867157198485 , 0.191725962870758 , -0.060817889696649 , 0.720461546582093 , 1.08300415975495 , 1.01819023027884 , 1.15764775036445 , 1.06394854780436 , 1.19696881326863 , -0.333271522566588 , 0.161018709635897 , 1.24718713562549 , 0.774315183485427 , 0.106422346837887 , 1.00200125565092 , 0.0494222744479317 , -0.120168025594712 , 0.0038645618729049 , 0.907297946743194 , -0.426045552428846 , -0.243859245079924 , 0.678891065110981 , -0.201107400820832 , 1.44953933062935 , 0.713328316333615 , -0.15352165291026 , -0.0218664390193655, 0.488609044993702 , 0.842963025057775 , 0.0285572477582942 , 0.67311813601964 , 0.671687824665365 , 0.168152148631226 , 0.363844752523294 , 1.21458019433068 , 0.00729887835086107 | 0.0000147 |
| 2 | 50 | 0.5 | 0.1 | 1.0 | control , control , control , control , control , control , control , control , control , control , control , control , control , control , control , control , control , control , control , control , control , control , control , control , control , control , control , control , control , control , control , control , control , control , control , control , control , control , control , control , control , control , control , control , control , control , control , control , control , control , intervention , intervention , intervention , intervention , intervention , intervention , intervention , intervention , intervention , intervention , intervention , intervention , intervention , intervention , intervention , intervention , intervention , intervention , intervention , intervention , intervention , intervention , intervention , intervention , intervention , intervention , intervention , intervention , intervention , intervention , intervention , intervention , intervention , intervention , intervention , intervention , intervention , intervention , intervention , intervention , intervention , intervention , intervention , intervention , intervention , intervention , intervention , intervention , intervention , intervention , 0.427268482535191 , -0.58707691713198 , 0.190654120907541 , -0.558079098306393 , -0.294459752752403 , 0.0702671570772812 , -0.0606608971740439 , -1.07793971059353 , -0.781445905270434 , -0.744649677014641 , 0.346277487688645 , -1.89729508798761 , -0.0306404965667275 , 0.576829553627401 , -0.124042901803268 , 1.44422803706974 , -0.32059648175482 , -0.85221873742493 , -0.773083151111512 , -0.613007759609232 , -0.499260208427717 , 0.845537112776996 , -0.609313080361275 , 0.589553123607762 , 0.357488922486308 , 1.33105287084801 , 0.922955651436932 , 0.426814555684973 , 0.271280796706388 , -0.251010743970243 , 0.83452731629203 , 0.0165217810189781 , -0.729224098917108 , -1.89299881690709 , 0.679453622395421 , -0.0422753446822097 , 0.0848075488794209 , -1.59423827881481 , 1.13063396157248 , -0.258751671620911 , -0.370886017921008 , -1.28925402991991 , -0.0076021633606968 , -1.13865551382187 , -0.0820280515474932 , 0.129105453517316 , -0.245715917949205 , 0.163959466200697 , -1.31513329635045 , 1.26591313777906 , -0.00210779091671232, -0.487939148640552 , 0.100197456908922 , 0.438970956435086 , 0.718167019020653 , 0.129050618140171 , 1.33190728471379 , 2.26644070478766 , 0.945160342471514 , 0.772016932556882 , -0.759663922598839 , 1.44294528677501 , -0.189591548831399 , 1.02040065723071 , -0.932301482376979 , 0.0079859905670896 , 1.9343559365039 , 1.02355463961541 , 0.0458821565844736 , -0.023638518896875 , -0.792430807626952 , 0.629111459355621 , 2.68331191281186 , 1.55866452139609 , -0.120920134281779 , -0.392978124565878 , 0.830492591211972 , 0.799645207712636 , 0.888951533587904 , 1.11586865852497 , 0.794584157764393 , -2.74593761912513 , 1.57218359392892 , 2.3465023335379 , 1.96791584490567 , -1.19396669161005 , -0.842185588045534 , -0.289492101609851 , 1.3323324214735 , 1.63352958979915 , -0.889074471753828 , -0.398384021081012 , 0.570449272411659 , -0.479910821847492 , -0.487304482190369 , 0.997029322098469 , 0.16936101072715 , -1.5660987568991 , -0.447511882018499 , 2.0195172588098 | 0.0045632 |
| 3 | 20 | 0.0 | 0.0 | 0.5 | control , control , control , control , control , control , control , control , control , control , control , control , control , control , control , control , control , control , control , control , intervention , intervention , intervention , intervention , intervention , intervention , intervention , intervention , intervention , intervention , intervention , intervention , intervention , intervention , intervention , intervention , intervention , intervention , intervention , intervention , 0.608041608890272 , 1.01943314732222 , -0.00547255405667076 , -0.0358268907586108 , -0.0653376860313992 , -0.840055896117203 , -0.000314440772497128, 0.142598016648257 , 0.374822698566963 , -0.407662937973392 , 0.233016236152584 , -0.697980697932064 , 0.470264638471595 , 0.654931448501142 , -0.510559345775949 , 0.285842796374308 , -0.0165637423746951 , -0.309043488967279 , 0.462108551493928 , -0.0619572515624547 , -0.0201048960142624 , 0.539587288532111 , 0.335462974012734 , -0.485531914993861 , 1.05069421698731 , -0.531712977019371 , 0.460318379930814 , 0.332241171667732 , -0.10917702650068 , -0.296040567125906 , -0.39735768267622 , 0.489075951659319 , -0.00033698672492239 , 0.0769301103455998 , 0.404167357622396 , -0.00363723100819533 , -0.251029018234094 , -0.39339589702227 , -0.0275259525028951 , 0.445942405666261 | 0.9104710 |
| 3 | 20 | 0.0 | 0.0 | 1.0 | control , control , control , control , control , control , control , control , control , control , control , control , control , control , control , control , control , control , control , control , intervention , intervention , intervention , intervention , intervention , intervention , intervention , intervention , intervention , intervention , intervention , intervention , intervention , intervention , intervention , intervention , intervention , intervention , intervention , intervention , -0.599124764045531 , 0.800195260113939 , 1.01058914890327 , -0.103472195652718 , 0.674669275585196 , -2.08996549439034 , -0.0266689812365936, -0.278551451136248 , 1.26272873158045 , 0.443513950679797 , 0.63531711482315 , -1.27005467090567 , 1.3894731282046 , -0.045303653757649 , -1.85417228889126 , -1.11045346908636 , 0.03031614790365 , 0.486645284592069 , -1.42896422768632 , 0.114318361690964 , -1.57228996869714 , -0.628384218241122 , -0.728451447306256 , -1.19871680327745 , -0.264743374442415 , -1.49999424963629 , 0.454841533477989 , -0.0196203741465428, -1.34055977791338 , -1.58115467415486 , 0.914151148718628 , 0.141593313464884 , -0.39969653984597 , 1.03117681115213 , 0.318657067227121 , 1.30429424789048 , -0.055558588963282 , 0.938878899188171 , -0.324086053083409 , 0.182235364225776 | 0.6988574 |
| 3 | 20 | 0.0 | 0.1 | 0.5 | control , control , control , control , control , control , control , control , control , control , control , control , control , control , control , control , control , control , control , control , intervention , intervention , intervention , intervention , intervention , intervention , intervention , intervention , intervention , intervention , intervention , intervention , intervention , intervention , intervention , intervention , intervention , intervention , intervention , intervention , 0.577497137572807 , -0.0146457979922388, -0.43799036740075 , 0.162514878842401 , -0.273104321378083 , 0.749843451164492 , 0.649106516394522 , 0.0989140726154748 , -0.0662718349259412, -1.00899351320878 , -0.138336875685943 , 1.55591874112982 , -0.133094317403125 , 0.805740823428829 , 0.159226123851904 , 0.183483159087347 , -0.18091732990717 , 0.805192808898372 , 0.545207823794423 , 0.0036465902580948 , 0.0337500648176766 , 0.634376815982526 , 0.32712885906963 , 1.13043710235501 , -0.19863267539332 , 1.03597315454132 , 0.387903698147885 , -0.0589065755401109, 0.0692649969560725 , 0.115373971959542 , 0.595011687893454 , -0.490462261547589 , 0.380593916451971 , -0.568103566712728 , -0.184087811901835 , 0.206166888456415 , -0.282219078489964 , -0.31699410519503 , -0.304607852411351 , 0.224758735529483 | 0.6913917 |
| 3 | 20 | 0.0 | 0.1 | 1.0 | control , control , control , control , control , control , control , control , control , control , control , control , control , control , control , control , control , control , control , control , intervention , intervention , intervention , intervention , intervention , intervention , intervention , intervention , intervention , intervention , intervention , intervention , intervention , intervention , intervention , intervention , intervention , intervention , intervention , intervention , -0.746835064375504, -0.937172824173679, -1.86328098214621 , 0.922860318439543 , 0.384886338555608 , 1.05347303229077 , -0.485629016778953, 1.31860256883682 , -0.033043150126855, 0.825992499345602 , -1.40494183374838 , -0.326869295797439, -0.54114551117288 , -0.158933821355099, -0.802364740119191, -1.97633700999241 , -1.114966389278 , -0.100497027073822, 0.493676378813534 , 1.69068469788802 , -1.36773254316497 , -1.66215508158353 , -0.581108341532423, 0.186160723914415 , -0.415238509747516, 1.08390275751634 , -1.99708305299823 , 0.668293828355324 , 1.61463934324282 , 0.132165045206061 , 1.16683144757177 , -1.72365332589884 , -1.18004471178655 , 0.147983622228317 , 0.081461683074982 , 1.41434427869748 , 0.573087711815841 , -1.10200900342306 , 0.952138812956021 , -0.354426466698012 | 0.8330993 |
| 3 | 20 | 0.5 | 0.0 | 0.5 | control , control , control , control , control , control , control , control , control , control , control , control , control , control , control , control , control , control , control , control , intervention , intervention , intervention , intervention , intervention , intervention , intervention , intervention , intervention , intervention , intervention , intervention , intervention , intervention , intervention , intervention , intervention , intervention , intervention , intervention , 0.204199994459107 , 0.416232379939432 , 0.111149533367782 , 0.44833111086383 , 0.576634888075111 , -0.589095987058518 , 0.104369400287697 , 0.126104067570312 , 0.597065568310428 , 0.309577431595913 , -0.507556104852061 , -0.436030817559691 , -0.40628784954004 , -0.089235687343011 , 0.321597232343639 , 0.48443486886753 , -0.185979041139539 , 0.144653683080424 , -0.0900109755791859, -0.328824007928074 , 0.962204661929361 , 0.272807303446565 , -0.0930609125295435, 0.136388496524644 , -0.0497759935938596, -0.259234837584823 , -0.710576205499897 , -0.215811555327868 , 1.33694424550315 , 0.271614057925098 , -0.25024441630944 , 0.170901926725434 , 1.19996817545731 , -0.147868492447876 , 0.179465100737936 , 0.297625875771199 , 0.840149588282586 , 0.983935126314679 , 0.274391500224465 , 0.798104206844596 | 0.1160727 |
| 3 | 20 | 0.5 | 0.0 | 1.0 | control , control , control , control , control , control , control , control , control , control , control , control , control , control , control , control , control , control , control , control , intervention , intervention , intervention , intervention , intervention , intervention , intervention , intervention , intervention , intervention , intervention , intervention , intervention , intervention , intervention , intervention , intervention , intervention , intervention , intervention , -2.37245452900835 , -0.993074539775171, 0.440615602089739 , -0.520195329776673, 0.138397571015873 , 0.70821438875252 , 0.896275162228619 , -1.28803546624325 , -1.42752194736469 , -0.268590201852348, 1.00896980498351 , -0.349384026640113, -1.28493620906342 , -0.257606305999222, -1.22971127415095 , -1.12514537366752 , 1.5334566735752 , -0.932683724292213, 0.881486161680258 , 0.121073487857782 , 0.550654310346662 , -0.90230215364153 , 2.67290191367683 , 0.393358045274918 , -1.96916845272613 , -0.982791492202668, -0.628866520975329, 1.64393594482058 , -1.04507033920745 , 0.963188289280482 , 0.884761272899975 , 1.48225816818343 , -0.151080672411283, 0.643753354173013 , -2.20282564264498 , -0.906629460009164, 1.44383962382565 , 1.14930551413043 , 0.444366363607359 , 0.152940654958018 | 0.1790378 |
| 3 | 20 | 0.5 | 0.1 | 0.5 | control , control , control , control , control , control , control , control , control , control , control , control , control , control , control , control , control , control , control , control , intervention , intervention , intervention , intervention , intervention , intervention , intervention , intervention , intervention , intervention , intervention , intervention , intervention , intervention , intervention , intervention , intervention , intervention , intervention , intervention , 0.206199021995598 , 0.126468851070954 , 0.111349910665661 , 0.285110312310335 , 0.328615324054213 , -0.252719710326939 , -0.963970319926099 , -0.375737528859301 , 0.190975527707596 , -0.240623177203867 , 0.423257865823003 , -0.0632787949924606, -0.163688673096563 , 0.345834138147206 , -0.115285510420127 , 0.308681553004842 , 0.317683892117515 , 0.353203589606286 , -1.40983303168914 , -0.27180470051988 , -0.170328583372948 , 0.144777874592499 , -0.181582799681434 , 0.375999012962699 , 0.40500121624856 , 0.87552992071418 , -0.180891394654469 , 0.931885401114673 , 1.4307734337716 , 0.681006046355532 , 0.840067367722641 , 0.723924549527526 , 0.93912636847022 , 0.631543738464176 , 1.53456640829791 , 0.722768761031101 , -0.418044106766217 , 0.648529254454723 , 0.599256537955839 , 0.3025404387276 | 0.0006113 |
| 3 | 20 | 0.5 | 0.1 | 1.0 | control , control , control , control , control , control , control , control , control , control , control , control , control , control , control , control , control , control , control , control , intervention , intervention , intervention , intervention , intervention , intervention , intervention , intervention , intervention , intervention , intervention , intervention , intervention , intervention , intervention , intervention , intervention , intervention , intervention , intervention , -0.271909966298771 , 0.835529081405446 , 0.254872520072992 , 1.64234743833132 , 0.270612980339942 , 1.29739900998312 , 0.193742494015563 , -0.704537645823737 , -0.324784038914503 , -1.18876785678298 , -1.71932875226034 , -1.33764763116537 , 2.53079951786296 , 1.02366843420825 , -0.0985905004880146, -1.08960214655717 , -0.681144256808678 , -0.848887766518725 , -1.18920987695074 , 0.63973170393752 , 0.632856090040347 , 1.40912806546644 , -1.56390955977499 , 0.902622146203353 , -0.43054723831711 , 1.55898269021019 , 1.62430575028381 , -0.18577074199974 , 0.301797988018921 , 0.327943107404192 , -0.562223904966369 , -0.297671816431246 , 1.23577062918065 , 0.0618117322317502 , -1.86291039236924 , 1.19715601824946 , 1.02111249262938 , -0.340843704440378 , 1.93760151571479 , -0.608654428429553 | 0.3068988 |
| 3 | 50 | 0.0 | 0.0 | 0.5 | control , control , control , control , control , control , control , control , control , control , control , control , control , control , control , control , control , control , control , control , control , control , control , control , control , control , control , control , control , control , control , control , control , control , control , control , control , control , control , control , control , control , control , control , control , control , control , control , control , control , intervention , intervention , intervention , intervention , intervention , intervention , intervention , intervention , intervention , intervention , intervention , intervention , intervention , intervention , intervention , intervention , intervention , intervention , intervention , intervention , intervention , intervention , intervention , intervention , intervention , intervention , intervention , intervention , intervention , intervention , intervention , intervention , intervention , intervention , intervention , intervention , intervention , intervention , intervention , intervention , intervention , intervention , intervention , intervention , intervention , intervention , intervention , intervention , intervention , intervention , -0.416028795145364 , -1.1804068902743 , -0.906036275374796 , 0.121720906241106 , -0.0375038533296893, 1.10047157735749 , -0.661912827438933 , -0.371656038846029 , 0.559128836036493 , 0.458048048072949 , 0.900770039605713 , -0.187078499459014 , -0.21065998810116 , 0.0736396640741462 , -0.131475399539705 , -0.865146042608419 , 0.704695326434391 , 0.229525968581659 , 0.261729996522921 , 0.0356628539437804 , 0.545422087406943 , 0.0669534769783712 , -0.667095862053428 , 0.197205106130318 , -0.560394498859585 , 0.841173405144893 , -0.751760916019658 , 0.288483032013035 , -0.408959361480347 , -0.478137336496057 , -0.314059697712795 , -0.483461127288866 , -0.372041127633823 , -0.0873394602047739, -0.387898770650209 , -0.317437794673504 , 0.512312860891938 , -0.0892117289024581, 0.55527723570397 , 0.17647428731875 , 0.521708430696192 , 0.807453451167906 , -0.174488715875721 , 0.636504838108552 , 0.175172315440857 , 0.139136064138806 , 0.301513721721654 , -0.179177484686327 , -0.257593595789092 , 0.665508784020352 , -0.298186134366241 , -0.106662868264114 , 0.324639412086782 , -0.710126642189742 , 0.466679332817326 , -0.372588076109926 , 0.50793284446425 , 0.32057482165658 , -0.611196502206922 , -0.165722691810599 , 0.0123157639429474 , 0.586318759596967 , -0.530809230851116 , -0.358411660522627 , -0.515720296411076 , -0.230880833874701 , -1.25873092560431 , 0.302668612201445 , 0.416902321151339 , -0.168660555316874 , 0.341902334988871 , -0.419726002346619 , -0.185885472217987 , -0.644450927707631 , 0.0176217156381674 , -0.024247676981964 , 0.592639194218526 , -0.0720292107186202, -0.194276690348919 , 0.311900925132707 , -1.16433127134739 , -0.851261347245197 , 0.342710186336376 , 0.925712335193395 , 0.291346844472915 , -0.616366898534722 , -0.563534400622058 , 0.245972721566364 , 0.38892294967579 , -1.32363623242573 , 0.744741341954527 , -0.270868850245925 , -0.0104677019275191, 0.7522764940997 , -0.399763376228661 , -0.556422541330064 , -0.47018093745732 , -0.611713873243956 , 0.350711126048355 , 1.10012559208705 | 0.3794049 |
| 3 | 50 | 0.0 | 0.0 | 1.0 | control , control , control , control , control , control , control , control , control , control , control , control , control , control , control , control , control , control , control , control , control , control , control , control , control , control , control , control , control , control , control , control , control , control , control , control , control , control , control , control , control , control , control , control , control , control , control , control , control , control , intervention , intervention , intervention , intervention , intervention , intervention , intervention , intervention , intervention , intervention , intervention , intervention , intervention , intervention , intervention , intervention , intervention , intervention , intervention , intervention , intervention , intervention , intervention , intervention , intervention , intervention , intervention , intervention , intervention , intervention , intervention , intervention , intervention , intervention , intervention , intervention , intervention , intervention , intervention , intervention , intervention , intervention , intervention , intervention , intervention , intervention , intervention , intervention , intervention , intervention , -0.76250126113897 , 2.02505633279675 , 0.31961134329503 , -0.735061801319271 , 0.393526421753974 , -0.318663196742558 , 0.132410666971579 , -0.343494808396163 , 0.233863416903705 , 0.427690042767635 , 0.884260512575462 , -0.300539666611469 , -0.511134231058074 , -0.37593302788912 , -1.07006344131701 , 0.411705793966838 , 0.153646958310238 , 1.14813008312031 , 2.29772460004647 , -1.73355680138743 , 0.193853953559011 , 0.092066329902995 , -1.15991900111803 , -0.672852518793584 , -0.491879603873691 , -0.00710252831413706, 0.560125814229983 , -1.1499943477916 , 1.20987243017616 , 1.01892171094293 , -1.41759191051884 , 1.18526548389974 , -0.27202778707271 , 0.269764113250238 , -0.52806672148292 , -0.196638559991169 , 0.251500711393194 , 0.18712436319249 , 0.105329099648425 , -0.440972775363736 , 0.335022211191785 , 0.117771787490335 , -1.48071825008842 , -0.211373124621353 , 0.405778073960258 , -2.20311809397471 , -0.582224510266407 , -0.386813022913477 , -0.143328940239755 , -0.446052322599711 , -1.55475113318034 , 1.07996619403746 , -0.363998540375375 , -1.38754311049473 , -0.875925954265067 , 0.208756179016423 , -1.19028982838355 , -0.173601755012782 , 0.808706951532037 , 0.445932557555028 , 0.42773953419772 , -0.846306133446148 , -1.43084867942188 , -1.23575267795175 , 2.03658972582049 , 2.13048143762438 , -0.812261721351984 , -1.06399905748038 , -0.117718453693946 , 0.980466041521597 , -0.44114010125855 , 0.426403231629575 , -0.685216458527418 , -0.366152188268281 , -1.10404862092576 , 0.734828053299201 , 1.68673212151388 , 1.91166974250741 , -0.721998681400716 , -0.871929937374174 , 0.481826382777994 , -1.16765583837182 , -1.387215756943 , 0.471836620197192 , 0.351502989151061 , -0.139840765044715 , 0.498966818658572 , 0.714090258908367 , -0.165352432628224 , -0.156476936723735 , -0.983478661767623 , 1.18427334559593 , 0.3799297068777 , 0.767304422731519 , 1.02711366358843 , -0.739216500020283 , 1.94188428069021 , 1.21080997886827 , 0.583765388706795 , 0.0343599085960442 | 0.5158781 |
| 3 | 50 | 0.0 | 0.1 | 0.5 | control , control , control , control , control , control , control , control , control , control , control , control , control , control , control , control , control , control , control , control , control , control , control , control , control , control , control , control , control , control , control , control , control , control , control , control , control , control , control , control , control , control , control , control , control , control , control , control , control , control , intervention , intervention , intervention , intervention , intervention , intervention , intervention , intervention , intervention , intervention , intervention , intervention , intervention , intervention , intervention , intervention , intervention , intervention , intervention , intervention , intervention , intervention , intervention , intervention , intervention , intervention , intervention , intervention , intervention , intervention , intervention , intervention , intervention , intervention , intervention , intervention , intervention , intervention , intervention , intervention , intervention , intervention , intervention , intervention , intervention , intervention , intervention , intervention , intervention , intervention , -0.0215207594420354, -0.0982417002334427, 0.63559918546867 , -0.0183745521102182, 0.734602514721146 , -0.231170194652537 , -0.190190125779804 , 0.596410185405227 , -0.528438987382548 , 1.03739816844075 , 1.05838638748718 , -0.0885327056397373, -0.201055067970409 , 0.158732151071606 , -0.183917524155303 , 0.340062940195033 , -0.738759034419021 , 0.760669237913211 , -0.319054045706026 , 0.344536843219797 , -0.450980775991093 , 0.123553015518742 , -0.185998458054403 , 0.867062881456129 , 0.0925753315223301 , -0.28490027051658 , -0.811085538276208 , -0.226342250824559 , -0.186073516567869 , -0.667090382018553 , 0.0334913535609722 , 0.771689313688815 , 0.292670938610273 , 0.0851159250055981 , 0.529236708694637 , 0.189429579909425 , 0.359347074691382 , 0.0393498020312499 , -0.214230644239445 , 0.242530568014604 , 0.199481710747843 , 0.426181583464269 , -0.0297249696687446, -0.178519578000519 , -0.245417439352817 , -0.297286119228317 , 0.667909354729895 , -0.126366717099133 , 0.470188833872243 , 0.936886659768527 , -0.271916739384933 , 0.0371084105908297 , -0.654404488053903 , -0.0189359585101424, -0.339903487219586 , 0.294398655206204 , -0.387740364378207 , 0.0683252688882078 , -0.929303796400496 , 0.077939280370425 , 0.135448809718302 , -1.05316609334245 , -0.513978478062773 , 0.250417598809558 , 0.217737129683416 , -0.0770396842579168, 0.0609056969995589 , 0.646939663038606 , 0.247463658042803 , -0.837292463033119 , 0.922898006190287 , 0.921800887140695 , 0.223987799320804 , -0.29109611363954 , 0.486539450846162 , 0.121386419448836 , -0.33453452867472 , 0.332402551971243 , -0.0724109542239479, -0.0742392404042534, 0.26272845283125 , 0.12276810818391 , 0.0854831517150666 , -0.341477057637488 , 0.170951673352284 , 0.297558835954053 , -0.286924496807928 , 0.508527828229149 , -0.216888403751283 , -0.631273705248306 , -0.130084479048989 , 0.346984288484644 , 0.923096547701167 , 0.599691886291274 , 0.0298522613149379 , -0.361572685086084 , -0.0170910813839256, 0.258738586502743 , 0.120912251115612 , 0.0934142878510886 | 0.3244393 |
| 3 | 50 | 0.0 | 0.1 | 1.0 | control , control , control , control , control , control , control , control , control , control , control , control , control , control , control , control , control , control , control , control , control , control , control , control , control , control , control , control , control , control , control , control , control , control , control , control , control , control , control , control , control , control , control , control , control , control , control , control , control , control , intervention , intervention , intervention , intervention , intervention , intervention , intervention , intervention , intervention , intervention , intervention , intervention , intervention , intervention , intervention , intervention , intervention , intervention , intervention , intervention , intervention , intervention , intervention , intervention , intervention , intervention , intervention , intervention , intervention , intervention , intervention , intervention , intervention , intervention , intervention , intervention , intervention , intervention , intervention , intervention , intervention , intervention , intervention , intervention , intervention , intervention , intervention , intervention , intervention , intervention , -2.92341259077693 , 2.17977413404284 , -1.02144736491641 , -0.712295379443536 , 1.07206716569923 , 1.41969746462465 , -1.20983412433216 , -0.628654232743794 , -0.534533871324658 , 0.136291120693231 , 0.956476055885822 , -0.739320094970279 , 0.999706647522349 , 0.712115067430345 , -0.548001985382082 , -0.433723788673939 , 0.740217859081232 , -0.585826696029461 , 1.34685913748274 , 0.173205712446323 , -0.523466079302986 , -0.733802120198032 , 0.590112603921532 , 0.780859085500958 , 0.731192527954212 , 0.137785685062781 , 1.64904980892755 , 0.382364879494624 , 1.46171815630006 , 0.627609966238906 , -0.373081665110233 , 0.375497559912015 , 1.13797878693902 , 0.994181763338537 , 0.761863120995975 , -0.660813190304202 , -0.967023613944634 , 1.4863160052814 , -1.63656911824401 , 0.415894016404186 , -1.88290918766974 , 1.31686847173688 , -0.810814360439625 , -1.08627943183607 , -0.801322710665787 , 0.340533758641605 , 1.33176714946458 , 0.0358064502464723 , 0.135378128912822 , 1.649859291715 , -0.209534156415719 , -1.35834182496493 , -0.254434173711071 , -0.255858969239619 , -0.89088278907462 , -1.19903238769679 , 0.177429180711761 , -0.593118781338284 , 0.697034429379375 , -0.312906995373552 , -0.969284178477606 , -0.434274336007923 , 0.206521709939329 , -0.684766659339464 , -0.759179069263178 , 0.358364120095126 , 1.0944109301573 , 0.0963924853812236 , -1.04836939874299 , 0.319743916751145 , -0.0117101397177349, -1.11668644285561 , -0.455269961503644 , 0.00226234760173602, -0.848801470533286 , 0.596291635848387 , 1.10997828858926 , -0.871196296664491 , 1.17001886909801 , -3.0538491200383 , -1.22301080940989 , 0.139462987958632 , -0.390844487374692 , 0.379897470882528 , -0.390168791500423 , -1.4333102277914 , 0.00248858078882675, -1.15851414235968 , -0.413626814307507 , 0.00629975653315012, 1.55303783576123 , 0.293420857546977 , -1.22189691559445 , -1.73890077628343 , 0.308445345119473 , -0.959268213608306 , 0.858968951027866 , 0.0499363266642997 , 0.210592231252202 , 0.83253872995776 | 0.0316211 |
| 3 | 50 | 0.5 | 0.0 | 0.5 | control , control , control , control , control , control , control , control , control , control , control , control , control , control , control , control , control , control , control , control , control , control , control , control , control , control , control , control , control , control , control , control , control , control , control , control , control , control , control , control , control , control , control , control , control , control , control , control , control , control , intervention , intervention , intervention , intervention , intervention , intervention , intervention , intervention , intervention , intervention , intervention , intervention , intervention , intervention , intervention , intervention , intervention , intervention , intervention , intervention , intervention , intervention , intervention , intervention , intervention , intervention , intervention , intervention , intervention , intervention , intervention , intervention , intervention , intervention , intervention , intervention , intervention , intervention , intervention , intervention , intervention , intervention , intervention , intervention , intervention , intervention , intervention , intervention , intervention , intervention , -0.501981663797984 , -0.659865876540804 , -0.966252068047121 , 0.618025513335166 , 0.230835270420025 , 0.658992807865369 , 0.961924722624165 , 0.323240482803772 , 0.130808743453089 , -0.209524972972766 , 0.442877969685589 , 1.20389137218773 , -0.414229901184137 , 0.123727413902324 , 0.170701457365941 , 0.286833560245383 , 0.150040196172878 , -0.806763932352509 , 0.687907343959464 , -0.257193799667617 , -1.25886177058014 , -0.357239214449594 , -0.829989681683691 , -0.0737504371547245 , 0.109277261396947 , -0.023104363258123 , -0.41262421056905 , 0.0272438008024209 , -0.591587467458555 , 0.344766743387275 , -0.590915221927041 , -0.0196969839235672 , -0.294170309499332 , 0.171860697508687 , -0.245544439700891 , 0.435259954287788 , 0.0732387985696562 , -0.586518932182819 , -0.00839770706773518, -0.452008757811756 , -0.200853473098389 , -0.253170893377666 , -0.32086712978935 , 0.00614465181811122 , -0.0540788330282437 , 0.539302129845017 , -0.577915665486011 , -0.322110653440318 , -0.195176967474466 , -0.344473890697739 , -0.0534157723641382 , 0.722200649707871 , 0.0343351623144668 , 0.581216866965486 , 0.636664974252497 , 0.546367737551497 , 0.671167031055642 , -0.141717895559383 , 0.975261042709219 , 0.19042786929484 , 0.77654570976304 , 0.629863745078962 , 0.271441638395113 , 0.912498862068063 , -0.127380494566187 , 0.923800963715778 , 0.771272847622322 , -0.626365542817062 , -0.0673060864968867 , 1.37292737467301 , 0.939155327725822 , 0.839697795608353 , 0.825407502750238 , 0.0732481813443777 , 1.10291501680759 , -0.277480424319643 , -0.153518087441842 , 1.05583097991135 , 0.541928163436453 , 1.78129725452801 , 0.963536095698272 , 0.596458989596896 , 0.781796349198103 , -0.194089950927669 , 0.922611685008142 , 0.57429110705365 , 0.266583708164808 , 0.906962295701136 , -0.0788747792391719 , 0.851578655633081 , -0.0847209694363489 , 0.499525337591358 , 0.901883467461919 , 0.164173171585542 , 0.711282156080685 , 1.6497774812165 , 1.34683948653029 , 0.158993389900949 , -0.135334880113037 , 1.0881876896174 | 0.0000000 |
| 3 | 50 | 0.5 | 0.0 | 1.0 | control , control , control , control , control , control , control , control , control , control , control , control , control , control , control , control , control , control , control , control , control , control , control , control , control , control , control , control , control , control , control , control , control , control , control , control , control , control , control , control , control , control , control , control , control , control , control , control , control , control , intervention , intervention , intervention , intervention , intervention , intervention , intervention , intervention , intervention , intervention , intervention , intervention , intervention , intervention , intervention , intervention , intervention , intervention , intervention , intervention , intervention , intervention , intervention , intervention , intervention , intervention , intervention , intervention , intervention , intervention , intervention , intervention , intervention , intervention , intervention , intervention , intervention , intervention , intervention , intervention , intervention , intervention , intervention , intervention , intervention , intervention , intervention , intervention , intervention , intervention , -0.378237305224404 , 0.786994554225106 , 0.318456819191211 , 0.292276614104735 , 0.554141847329741 , -0.410383319157882 , -1.23869983309226 , 1.96748225472056 , -0.361983581980306 , -0.685622989540836 , 0.570619986612347 , -1.45281642069841 , 0.621863320960824 , -0.34203538782717 , 0.0264282335450694 , -1.49928651982335 , 1.0315189495003 , 0.850317597291979 , -1.26203305907262 , -0.339959210100314 , -0.820903741580549 , 2.16857590622372 , 1.4761991324429 , -0.00324800512765143, 1.14354641509855 , -0.825822346325594 , 1.00609084085873 , 0.113263445069933 , -0.073912644979287 , 0.326367987179651 , 0.205715056108002 , -0.612369195784461 , 0.679919582431707 , -0.244965859685767 , 0.596773475069173 , 0.468162972555669 , -0.692842760598134 , -0.435370761144341 , 0.279087785615287 , 0.701673834029495 , -0.28469105256029 , -0.380496127788677 , -0.452809532533403 , 0.0277981151052635 , 0.587654332359323 , -1.30689904680459 , -1.73944562759018 , -0.228693598991826 , -0.798948020391784 , -0.848385752517295 , 0.630344354373053 , 0.88972031614124 , 0.288878735862987 , 0.459559082726365 , -0.352542764895226 , 0.472718943609855 , 2.15868209938514 , 0.966469384621244 , 0.809371979067593 , -0.780834102708726 , 1.74904369344692 , 1.71036145408168 , 1.63528423700589 , 1.08830880102423 , 0.63371000689225 , 1.81822410647147 , -1.00443820037722 , 0.0078771747749502 , 2.38654503769427 , -0.253460903207249 , -1.27290838178076 , 0.605321802724041 , 0.913105898473801 , 1.25018415617311 , 1.30212652647031 , -1.18371924563968 , 1.00956729546394 , -0.301034702775505 , 0.431369999685877 , 1.4450881529407 , 3.19853226426176 , 0.63372378132699 , 2.65689078321852 , -0.356454823357374 , 2.09854191721729 , 0.360893762999277 , 1.26419321850952 , 1.34686477111392 , 0.466176084949577 , 1.65984687943556 , 0.242889299226614 , 0.949791981272543 , -0.0999179434775253 , -0.552726401819095 , 2.3437593269485 , 2.23397322341369 , 1.80906397635678 , 0.910196563715036 , -0.784091398230241 , 0.236129642819684 | 0.0000406 |
| 3 | 50 | 0.5 | 0.1 | 0.5 | control , control , control , control , control , control , control , control , control , control , control , control , control , control , control , control , control , control , control , control , control , control , control , control , control , control , control , control , control , control , control , control , control , control , control , control , control , control , control , control , control , control , control , control , control , control , control , control , control , control , intervention , intervention , intervention , intervention , intervention , intervention , intervention , intervention , intervention , intervention , intervention , intervention , intervention , intervention , intervention , intervention , intervention , intervention , intervention , intervention , intervention , intervention , intervention , intervention , intervention , intervention , intervention , intervention , intervention , intervention , intervention , intervention , intervention , intervention , intervention , intervention , intervention , intervention , intervention , intervention , intervention , intervention , intervention , intervention , intervention , intervention , intervention , intervention , intervention , intervention , 0.238623725748407 , -0.874877038541198 , -0.278191076032621 , 0.222966409368735 , 0.514744155147168 , -0.0672751127418543, -0.296801511700687 , -0.0147697855114996, -0.915817015378563 , -0.196772648402309 , -0.509443779514185 , 0.185086868156792 , 0.389317001054821 , 0.33140228212354 , -0.266958567265853 , -0.0373582355641836, 0.967896266033776 , 1.17381342391286 , 0.554373664353413 , -0.705651101206542 , -0.255510003582313 , -0.0615136292907195, 0.624987865173522 , 0.525558945737323 , 0.740311495211887 , 0.583874367745954 , -0.193512444895641 , 0.0886445979662553 , -0.338594250835395 , 0.24482842355874 , 0.090885441074137 , 0.222501100732626 , -0.366509517533115 , 0.654031017978857 , 0.143451208765583 , -0.112503660955918 , 0.165492037962695 , 0.41515965698273 , 0.18927371259322 , -1.35578704906338 , 0.566868721516251 , 0.193241042731914 , -0.313259107134858 , 0.865038801268134 , -0.616002928467432 , 0.251705404757258 , 0.193257807811198 , 0.0582264650992113 , -0.471420386258374 , 0.518821303091454 , -0.419230408159736 , 0.864422934741661 , 1.24025920802749 , 0.765546868954502 , 0.164287772895394 , 0.00196034137213114, 0.5623422565537 , 0.455751253888503 , 1.61481902541318 , 0.89088606155877 , 0.908534657499732 , 0.493522890393722 , 0.312293111677583 , 0.317408884148742 , 1.16378475772915 , 1.49970519291734 , 0.344329669863268 , 0.807082125327011 , 0.740595420036463 , 0.267531021862061 , 0.202684023967296 , 1.49430567828881 , 0.599873900938268 , 0.832341531349989 , 0.659986911468645 , 0.168833141077815 , 0.0901317094287944 , 0.312242405688114 , -0.0278866801222872, 0.672783151253935 , 0.433659328057088 , 0.812972197109711 , 0.473460192786533 , 1.16150442271131 , 0.876019602918958 , 0.398114475679368 , 0.27562106452059 , 0.319759139160115 , 0.655355985927221 , 0.264040704596143 , 0.539323476720432 , 0.389359456898286 , 0.814996005430278 , 1.17481753639581 , 0.300665880560352 , -0.0681803172021286, 0.416074973478396 , -0.360460444787603 , 0.0556152995300326 , 0.198261958297238 | 0.0000034 |
| 3 | 50 | 0.5 | 0.1 | 1.0 | control , control , control , control , control , control , control , control , control , control , control , control , control , control , control , control , control , control , control , control , control , control , control , control , control , control , control , control , control , control , control , control , control , control , control , control , control , control , control , control , control , control , control , control , control , control , control , control , control , control , intervention , intervention , intervention , intervention , intervention , intervention , intervention , intervention , intervention , intervention , intervention , intervention , intervention , intervention , intervention , intervention , intervention , intervention , intervention , intervention , intervention , intervention , intervention , intervention , intervention , intervention , intervention , intervention , intervention , intervention , intervention , intervention , intervention , intervention , intervention , intervention , intervention , intervention , intervention , intervention , intervention , intervention , intervention , intervention , intervention , intervention , intervention , intervention , intervention , intervention , 0.431729169979478 , 2.56951015034449 , 0.398270740559529 , -0.617279999452491 , 0.122736120020533 , -0.448984251905391 , 0.936630163908841 , -0.0913858929299327 , -0.194278386635624 , 1.36409996513025 , 1.71866265662154 , 1.003528897888 , -0.213191718110574 , 1.16837078642336 , -0.202226627831726 , 1.52186266252629 , 1.03485248215205 , -1.09682892475156 , 0.581644047789761 , 0.690238272620972 , 0.261849684493715 , 1.5604981966575 , 0.852449695456232 , 0.156678902214222 , -0.150648227802745 , 0.803918701564722 , -0.650439870134634 , -1.0283837708378 , -0.617539330709318 , -0.122390581404151 , 1.18653553417421 , -1.28545129103964 , 1.68115425864156 , -0.214245235306108 , 0.840355719541452 , 1.50292531490905 , 0.400075702336166 , 1.10999301994047 , -1.49695453161317 , -0.247937998552447 , -0.423774589108292 , -0.763198661903708 , -1.25236284360155 , -0.986442992321951 , 2.32676324221906 , 0.395399923295082 , -1.27741734990192 , -0.899827869108126 , 0.194322757758234 , 0.77865852806124 , 0.529417605608216 , 1.10685303060695 , 1.78580060570157 , -0.185893504309205 , 1.33152914745538 , 0.726745526098759 , 0.123133954171121 , 1.33263094458536 , 0.939923116507163 , 1.49327721609952 , -0.931976483600313 , 0.22738690647398 , -1.63609746136852 , -1.26430534800547 , -0.046706826547696 , -0.642011500302041 , 2.6251451925461 , 0.299067982515676 , 1.46907276748065 , 0.813290956416243 , 1.30900315527001 , 0.652468841877135 , -0.280597336831211 , 1.25060508160204 , -0.497842380167567 , 0.409110213575268 , 0.435540575369577 , -0.0844601220644556 , 0.56967283370213 , 0.618834768595355 , 0.0784443093162928 , 0.39216569897365 , 0.168536422308757 , -1.11287889508229 , 2.18046598170523 , -1.11014970137267 , -0.742573290018908 , 0.469979837034079 , 0.397705570462015 , 0.481750118685937 , 1.2826084760937 , 0.747894906937741 , 1.4771979830283 , -0.0942564103113551 , 1.2628133777298 , 0.502992617831882 , -0.596092065512252 , 0.882635348080566 , -0.00858001087916815, 0.94599783242968 | 0.3554536 |
| 4 | 20 | 0.0 | 0.0 | 0.5 | control , control , control , control , control , control , control , control , control , control , control , control , control , control , control , control , control , control , control , control , intervention , intervention , intervention , intervention , intervention , intervention , intervention , intervention , intervention , intervention , intervention , intervention , intervention , intervention , intervention , intervention , intervention , intervention , intervention , intervention , 0.566844447345351 , -0.916015698685515 , -0.278259997094264 , 0.0478015286188795 , 0.386683147915662 , 0.497282982173914 , 0.193706216522662 , 0.207310159897033 , -0.525929752906157 , 0.441346232734235 , 0.200792305173444 , -0.111493544329197 , -0.631193476110134 , 0.147746825969722 , 0.906125646808357 , 0.323334450135653 , -0.109150574016764 , 0.0881226815594029 , 0.0919516033685807 , 0.312219148719819 , -0.123696158495775 , -0.801672385332815 , -0.90230702517658 , 0.805447220717627 , 0.0338285460428005 , 0.263931096486808 , 0.691903859795565 , 0.641794894679712 , -0.0784861020724117, -0.619771917979402 , 0.0949377298785413 , -0.888701800604887 , -0.277899126509391 , 0.454667049932986 , -0.93903808093027 , 0.223190998665425 , -0.30163861268643 , -0.119389956399781 , -0.680339882744499 , 0.212742231631425 | 0.1944621 |
| 4 | 20 | 0.0 | 0.0 | 1.0 | control , control , control , control , control , control , control , control , control , control , control , control , control , control , control , control , control , control , control , control , intervention , intervention , intervention , intervention , intervention , intervention , intervention , intervention , intervention , intervention , intervention , intervention , intervention , intervention , intervention , intervention , intervention , intervention , intervention , intervention , -0.21137307191551 , -0.838547443365239 , 0.665779696132434 , 0.521632180110998 , 0.0523995226688362 , 1.13218017609615 , 0.387488343840636 , 0.404199238047956 , -0.0416225744191031, -1.0693241705084 , -0.269868917216074 , -0.219479068112808 , -0.0376877659692839, 0.797273144509539 , 1.31991608469503 , 0.522415796809359 , -0.133466143093875 , 0.692641139822914 , 0.336338538931911 , 0.387801287725543 , -1.26972694466863 , 1.07433440035063 , 0.486029800251976 , 0.210100704797219 , -0.535845715094192 , -0.247589050652507 , -0.416061605136415 , -0.517844064677158 , -2.28972706585163 , -0.636280987897132 , -0.514380611810149 , 1.5040295238113 , 1.83626547791783 , -1.31658333841752 , -0.158033244194102 , 0.523870949166304 , 0.428652480471668 , 1.16629444273462 , -1.14483710372863 , 0.183078342375831 | 0.2643829 |
| 4 | 20 | 0.0 | 0.1 | 0.5 | control , control , control , control , control , control , control , control , control , control , control , control , control , control , control , control , control , control , control , control , intervention , intervention , intervention , intervention , intervention , intervention , intervention , intervention , intervention , intervention , intervention , intervention , intervention , intervention , intervention , intervention , intervention , intervention , intervention , intervention , 0.41067118404937 , -0.794884352369636 , 0.0661234261940424 , -0.107614000338612 , -0.469757178809422 , -0.397590986439378 , 0.736412601304777 , -0.204026958952239 , -0.506041949609328 , -0.0604481755358535 , 1.08781547371097 , 0.505778107391242 , -0.388502370489123 , -0.192857894796516 , 0.104676532539067 , 0.427735714868506 , 0.331090271680363 , -0.108430910859058 , 0.195960872910139 , -0.216720425297531 , -0.237813459631895 , -0.133348044420554 , -0.00150169694939606, -0.134499640724735 , 0.0866147265546773 , 0.608490926769264 , -0.189303473815218 , 0.74703512987499 , -0.166359058922576 , -0.0136743902133146 , -0.0935889389210536 , 0.559613729747739 , 0.373685430437454 , -0.265698508501833 , 0.455503976159528 , 0.34336537192705 , -0.894770233512086 , -0.648597063200858 , -0.439081208896876 , -0.0502907506184381 | 0.8552014 |
| 4 | 20 | 0.0 | 0.1 | 1.0 | control , control , control , control , control , control , control , control , control , control , control , control , control , control , control , control , control , control , control , control , intervention , intervention , intervention , intervention , intervention , intervention , intervention , intervention , intervention , intervention , intervention , intervention , intervention , intervention , intervention , intervention , intervention , intervention , intervention , intervention , -1.95465191694284 , -0.974463354966062 , 0.356408497364887 , 1.13208659132035 , -0.50936100715087 , -0.546989382651046 , -0.521870509317999 , -0.230706762141794 , -1.61763401297442 , -0.939535941307328 , 1.11016677973489 , -0.0584515286119458, 0.480613212046269 , 1.72868593920158 , 0.169214258641712 , -0.776361942312957 , 0.663718341909715 , 1.04967183831391 , 1.10949896492646 , 1.42743869794223 , -1.10057718883524 , 1.23814062061959 , 0.183168304289645 , 0.752820013046785 , 0.326026719575885 , -0.226518910411927 , 0.593633265927245 , 0.901879631606809 , -0.025479293397933 , -0.454880234233248 , -1.48343857742651 , 0.0559022634191798 , 2.19252525399771 , -0.109060658272513 , 0.018382282600075 , -0.258863608218758 , -1.07471674381108 , 0.0819681282534443 , -2.08153042340438 , -1.05032099236013 | 0.6844959 |
| 4 | 20 | 0.5 | 0.0 | 0.5 | control , control , control , control , control , control , control , control , control , control , control , control , control , control , control , control , control , control , control , control , intervention , intervention , intervention , intervention , intervention , intervention , intervention , intervention , intervention , intervention , intervention , intervention , intervention , intervention , intervention , intervention , intervention , intervention , intervention , intervention , 0.440880412154296 , -0.17329451581743 , -0.570019236839799 , 0.0362547494102785 , -0.50793640689341 , 0.36934463889777 , -1.21085890909504 , 0.155734813106682 , 0.259914155177626 , 0.216095429078749 , 0.360154728640709 , -0.196448127312809 , 0.460127065993274 , 0.618356149430289 , -0.296381639591982 , 0.00217126530057425, 0.762907005214216 , 0.552108426771498 , -0.184700901426333 , -0.502536080882844 , 1.51634718634987 , 0.555682641558 , 0.724455528762548 , 0.413837374537942 , -0.438564238474136 , 0.248765939615682 , 0.224681664129815 , -0.256333824133649 , 0.615736813518723 , 1.07781522692248 , 0.358643328432707 , -0.085952142911518 , 0.611250181125738 , 0.392754770078123 , 0.267066042644073 , 0.314153369394523 , 1.00886222044294 , 0.763449403697635 , 0.503789826082189 , 0.587473445264419 | 0.0051861 |
| 4 | 20 | 0.5 | 0.0 | 1.0 | control , control , control , control , control , control , control , control , control , control , control , control , control , control , control , control , control , control , control , control , intervention , intervention , intervention , intervention , intervention , intervention , intervention , intervention , intervention , intervention , intervention , intervention , intervention , intervention , intervention , intervention , intervention , intervention , intervention , intervention , 1.63652059888238 , 0.964115628946963 , 1.16710298916714 , 1.10677963122335 , 0.69636100364408 , 1.52376084092938 , 0.417121120236437 , -0.203204220634965 , 0.171167159304328 , -0.526030611420065 , -0.725800465357905 , 0.0692544467508759 , 0.619708166511173 , -0.259441648174964 , 1.9736101090223 , -1.25088842950866 , -1.32506097898119 , -2.57325164337262 , -1.24655266083983 , 1.21601171883719 , 0.969808599442231 , 0.923860502098431 , 2.24080218291988 , 0.031810406215992 , -0.0578756743943609, 2.35602596205064 , 1.92504398853463 , -1.23237955294117 , -0.487688669392503 , 2.16442170862876 , 0.547358304020461 , -0.635954736528784 , 1.71997275409913 , -0.402814140127379 , 0.321341578740032 , -0.524323160007548 , 0.569135203948295 , 0.0399318179893622 , 2.48423683117195 , -0.619709069444782 | 0.2407977 |
| 4 | 20 | 0.5 | 0.1 | 0.5 | control , control , control , control , control , control , control , control , control , control , control , control , control , control , control , control , control , control , control , control , intervention , intervention , intervention , intervention , intervention , intervention , intervention , intervention , intervention , intervention , intervention , intervention , intervention , intervention , intervention , intervention , intervention , intervention , intervention , intervention , 0.0905730961352603 , 0.0564189855798679 , 0.107392146149595 , -0.144009442668576 , -0.102561909005576 , -1.10388752243846 , 0.493407254535367 , -0.321635881586486 , 1.36969788903492 , 0.689052548570694 , -0.000590416215854456, 0.386249547639356 , 0.0319406422120206 , -0.639890895882775 , 0.606784931263765 , -0.315746948024194 , -0.164679280288977 , -0.401155188184201 , 0.29091484938897 , 0.693032199759648 , 0.506262312940213 , 0.611113497890465 , 0.280603454122151 , 0.470324509227215 , 1.00750991732738 , 0.383417962852471 , -0.813115961185489 , 0.895198870943524 , -0.29253772212284 , -0.813220026893903 , 0.32084301968079 , 0.0757883978610588 , 1.19861477814147 , 0.494899602185399 , 0.950054904835448 , 0.156514803714545 , 0.45579752339613 , 1.06429521845607 , 0.0982470701324945 , -0.0383218787206134 | 0.1300644 |
| 4 | 20 | 0.5 | 0.1 | 1.0 | control , control , control , control , control , control , control , control , control , control , control , control , control , control , control , control , control , control , control , control , intervention , intervention , intervention , intervention , intervention , intervention , intervention , intervention , intervention , intervention , intervention , intervention , intervention , intervention , intervention , intervention , intervention , intervention , intervention , intervention , -0.851411444039321 , 1.16211358630043 , 1.16622391860364 , 1.2254334726429 , -0.0157543942600725, 1.43986845523873 , -1.30625975312133 , -0.212632407032594 , -0.446614725398103 , 0.812081410933988 , -0.363500627412213 , 0.181672392288287 , -0.13116362344003 , -0.397955713183286 , -0.988598055100597 , -0.96590935828866 , -2.22595612842134 , -0.63676217413156 , 1.19759764735557 , 0.972076365660155 , -0.545436553307084 , 2.65409299123286 , 0.72196810143994 , 0.550694613514872 , -0.412494531967079 , -0.146321613365176 , 0.204426241517254 , -0.508948544496425 , 0.440603379590596 , -0.934012565104846 , -1.05905481348175 , 1.07329593078194 , 1.12315233919522 , 1.57234773009388 , 0.866157040271198 , 0.671194453514239 , -0.161238504989235 , 1.20973062271734 , 0.296794587528955 , 0.0954333605012712 | 0.1910300 |
| 4 | 50 | 0.0 | 0.0 | 0.5 | control , control , control , control , control , control , control , control , control , control , control , control , control , control , control , control , control , control , control , control , control , control , control , control , control , control , control , control , control , control , control , control , control , control , control , control , control , control , control , control , control , control , control , control , control , control , control , control , control , control , intervention , intervention , intervention , intervention , intervention , intervention , intervention , intervention , intervention , intervention , intervention , intervention , intervention , intervention , intervention , intervention , intervention , intervention , intervention , intervention , intervention , intervention , intervention , intervention , intervention , intervention , intervention , intervention , intervention , intervention , intervention , intervention , intervention , intervention , intervention , intervention , intervention , intervention , intervention , intervention , intervention , intervention , intervention , intervention , intervention , intervention , intervention , intervention , intervention , intervention , -0.139689505984617 , 0.573995095630842 , -0.43587350274668 , -0.0931505046268881 , -0.181027180913448 , -0.187034183198442 , 1.00657166057499 , 0.0785594210019059 , -0.0498530083292468 , 0.365631120463594 , -0.598332132031692 , -0.139620085108099 , 0.410368061275432 , 0.404497124435788 , 0.00253342888593325 , 0.819831127123655 , 0.227040214011794 , -0.460215287725226 , 0.574631311177752 , 0.0963035533448541 , -0.252391676111421 , -1.0696151085513 , 0.0391605048304557 , -0.147464836097006 , -0.249299150964749 , 0.389458283710722 , -0.276234730767698 , -0.381425019920008 , 0.405048011767725 , 0.188282147715241 , -0.11737131476882 , 0.486961109589552 , -0.143387329813166 , -0.353263317758343 , -0.49897545446435 , 1.08107504641576 , -1.15508820513239 , -0.266976961909979 , -0.846639946611673 , -0.0642778067331716 , -0.175038974144708 , 0.301245630004716 , 0.0782854804194614 , 0.256070806960619 , -0.797322161582271 , 0.536810382878278 , -0.518669279724582 , 0.405547965024493 , 0.520311384591808 , 0.324472106236354 , -0.812292093738507 , -0.679570420876783 , -0.109895870388208 , 0.211472524340575 , -0.0431345212447436 , 0.358665308260765 , 0.631345214627902 , 0.990061429424387 , 0.43271208838579 , 0.419813767159049 , -0.504794710536869 , 0.987998946651658 , 0.466455229413625 , -0.396623549409383 , 0.0478071621907259 , 0.473693019853283 , 0.360184802901621 , -0.860396394996013 , -0.40896123315374 , 0.352099768524744 , 0.181621801641602 , 0.118513081769031 , 0.170493426043841 , -0.161102222603142 , 0.335188527400245 , -0.470483883087361 , 0.268675920374731 , -1.01976981500554 , 0.158133983120433 , 0.409166088091761 , 0.807696429538462 , -0.0370517180607247 , 0.130135095376672 , 0.491754657641303 , 0.439967574025743 , 1.04467345002855 , 0.133658999661103 , -0.14232351040595 , -0.943281923733196 , 0.072928549873973 , 0.0906577468564692 , -0.00674122989432806, 0.123446026476543 , -0.617238774212024 , 0.334216962493954 , -0.449293280851967 , 0.374752128205116 , 0.587161556815745 , 0.144919974834617 , 0.316784529724838 | 0.3240568 |
| 4 | 50 | 0.0 | 0.0 | 1.0 | control , control , control , control , control , control , control , control , control , control , control , control , control , control , control , control , control , control , control , control , control , control , control , control , control , control , control , control , control , control , control , control , control , control , control , control , control , control , control , control , control , control , control , control , control , control , control , control , control , control , intervention , intervention , intervention , intervention , intervention , intervention , intervention , intervention , intervention , intervention , intervention , intervention , intervention , intervention , intervention , intervention , intervention , intervention , intervention , intervention , intervention , intervention , intervention , intervention , intervention , intervention , intervention , intervention , intervention , intervention , intervention , intervention , intervention , intervention , intervention , intervention , intervention , intervention , intervention , intervention , intervention , intervention , intervention , intervention , intervention , intervention , intervention , intervention , intervention , intervention , -1.24367938471211 , -0.348055978568728 , 1.78009732748055 , -0.898571279233984 , -0.508503500822508 , -2.42662834073083 , 1.00463194301491 , 1.74274684992712 , -0.0570648185620905, 0.483220434537949 , 0.595007572227581 , 1.01370096151027 , 2.03835087194705 , 0.853791873207352 , -1.27729861620095 , 0.472636009421655 , 0.28994162258314 , -0.823437647264403 , 0.575078948492044 , 0.184486646531105 , 0.466023202469957 , 0.081299406646336 , -1.53710461053025 , -0.84367024980239 , 0.213711295686909 , -0.521391437537944 , 0.237016090573426 , 0.716732734567738 , 0.0720517475200737 , -0.926218123920829 , -0.43756961492453 , 0.793658624969966 , -0.569603488749235 , 1.01393954874164 , 1.11337510767169 , 1.02962613191831 , 0.745165423936015 , -0.11563852746661 , -2.54802831723875 , 0.164828252161025 , 1.21464762408361 , -0.392122548745076 , -0.715248434085541 , 0.177703278511525 , 1.88409860753029 , -0.164293232373495 , 0.339991030307096 , -0.42984810096731 , 1.06050606481907 , 2.01355389305626 , 0.643946254321461 , -1.28443047719668 , -1.03825552773913 , -1.48201582984545 , 0.206953531906515 , 1.98088305154804 , 1.28780064897278 , 1.03382311233435 , 0.343180263998925 , -0.828215252420227 , -0.141457721453119 , 0.00313569228571548, -1.16025751703304 , 0.209814305874751 , 0.679922479459439 , -0.190440815218954 , -0.812029619933827 , 0.617664237196498 , -1.45688654511043 , 1.08114226111129 , 1.38869107872337 , -0.913730532786634 , 0.153731251988175 , -0.747970284990333 , -0.752246387940485 , -1.7034868165055 , 0.171249092091058 , 0.408765195676823 , -1.05612600204643 , -0.655218426430202 , 0.949404435089131 , 2.1986367074508 , -0.80332199004348 , 0.480283507618688 , -1.03975308745742 , 0.488097069478365 , -0.697309933555923 , 1.05973345605112 , -0.271466167264152 , -0.0380473919116692, -0.892149470583049 , 2.01541853188627 , 0.144309619845665 , 1.11941374257148 , 0.0702188759599533 , 0.764844837938791 , 0.253944709299459 , -0.88799146526365 , 0.400868952300539 , -0.340231494946879 | 0.5072442 |
| 4 | 50 | 0.0 | 0.1 | 0.5 | control , control , control , control , control , control , control , control , control , control , control , control , control , control , control , control , control , control , control , control , control , control , control , control , control , control , control , control , control , control , control , control , control , control , control , control , control , control , control , control , control , control , control , control , control , control , control , control , control , control , intervention , intervention , intervention , intervention , intervention , intervention , intervention , intervention , intervention , intervention , intervention , intervention , intervention , intervention , intervention , intervention , intervention , intervention , intervention , intervention , intervention , intervention , intervention , intervention , intervention , intervention , intervention , intervention , intervention , intervention , intervention , intervention , intervention , intervention , intervention , intervention , intervention , intervention , intervention , intervention , intervention , intervention , intervention , intervention , intervention , intervention , intervention , intervention , intervention , intervention , 0.489184106574674 , -0.249055602625054 , 0.128923115639244 , 0.478405147209695 , 0.063612854900801 , 0.238233066073458 , -0.0609919669449751, -0.640826392964134 , 0.465899364536848 , 0.603860765088955 , -0.943145279291675 , -1.24668134565213 , -0.553725136227967 , 0.596069455787217 , 0.57481054055793 , 0.222711282337491 , -0.283595775253191 , -0.330185247994395 , -0.502122058794601 , -0.263637156669485 , -0.237304920627904 , 0.379784721917136 , -1.15097520876313 , 0.355898319428571 , -0.389197403296103 , -0.573913682372415 , 0.308932047459215 , -0.426406902685244 , 0.131683248780594 , -0.114143618098922 , 0.651404440109163 , 0.357360703364352 , -0.290677397995601 , 0.196093527281801 , -0.336991402469628 , 0.329918493759385 , 0.202799643913252 , -0.259915045709716 , -0.115664430591735 , -0.757985043552937 , 0.515260742780305 , -0.0334592484876577, -0.0736092923498969, -0.496273404939886 , -0.396589340885936 , 0.665298561766035 , -0.639241535713451 , 0.0370804171061648 , 0.542576213972971 , -0.0207933922515178, -1.12542537402196 , -0.227836479235212 , 0.384340526543673 , -0.326425824993629 , 0.353636869024576 , -0.664834473680887 , -0.758561624868064 , -0.281160193624759 , 0.0870470109813869 , 1.12079970414496 , -0.357264715278302 , -0.70268550072874 , -0.371874177521546 , -0.155966432343936 , 0.474054335426387 , -0.10169735029603 , 0.0937623296099175 , 0.703499681585257 , 0.290967484256294 , -0.909615082311738 , -0.403844522334548 , -0.740452381567106 , -0.251813976446933 , 0.469163567108477 , -0.166589316722533 , 0.410104308473829 , -0.332000355912487 , -0.354870454072664 , -0.84510149360209 , -0.292736105116527 , -0.48915558080617 , 0.174661091237203 , -0.326547787217124 , 0.388918887172771 , -0.217063190506644 , 0.123431612668307 , -0.499501149918349 , 0.684578040144854 , -0.139854869202785 , 0.320613998980664 , -0.427285052057528 , -0.128397455004321 , -0.137642204529611 , 0.237945697509851 , 0.05360892810312 , 0.181434947339666 , -0.899246158512356 , -0.424597255256014 , -1.12039715975679 , -1.04926145529244 | 0.2379825 |
| 4 | 50 | 0.0 | 0.1 | 1.0 | control , control , control , control , control , control , control , control , control , control , control , control , control , control , control , control , control , control , control , control , control , control , control , control , control , control , control , control , control , control , control , control , control , control , control , control , control , control , control , control , control , control , control , control , control , control , control , control , control , control , intervention , intervention , intervention , intervention , intervention , intervention , intervention , intervention , intervention , intervention , intervention , intervention , intervention , intervention , intervention , intervention , intervention , intervention , intervention , intervention , intervention , intervention , intervention , intervention , intervention , intervention , intervention , intervention , intervention , intervention , intervention , intervention , intervention , intervention , intervention , intervention , intervention , intervention , intervention , intervention , intervention , intervention , intervention , intervention , intervention , intervention , intervention , intervention , intervention , intervention , -0.0249852733490986, -0.375459117099004 , 0.443851336024112 , -0.241308109938255 , -1.19525957136466 , 1.26857718394077 , -0.947070185402465 , -0.484924627993526 , -1.53952409073247 , -0.476540729937316 , 1.05314899227171 , 0.72738362369429 , 1.06416750277242 , 1.34474672775076 , -0.0798483748326335, -0.205967740639721 , -0.540532010709882 , -0.865788305198553 , -0.562278002744184 , -1.59443260323273 , 0.488985983965045 , 0.541634994471693 , -0.432740649574276 , -0.680823008947469 , -0.0244158354493438, -0.701319546488053 , 0.101500180989078 , 0.766675077474803 , -0.389297936400343 , 0.135340630250251 , 0.189973273021294 , 0.115654320119036 , 0.976369444159342 , 1.3335146379543 , -1.32261278244662 , -1.40749176161109 , 0.543282527373302 , 0.769137711243519 , -1.07601908593648 , -0.0778514578877097, -0.533049419220947 , 0.179662910877412 , 0.386474976044221 , -0.510207678226998 , 0.870958759054565 , 2.00944880118558 , -0.963435583145513 , 3.07652271294486 , -0.89164018292444 , 0.102951300746796 , -0.347799596712145 , 1.34193279038077 , -0.946010179732545 , 1.06205807196798 , -0.119574080647162 , -0.753781852692075 , -0.360476659126453 , -1.42011269121221 , 0.259866571624016 , 0.438934195943173 , 0.34987531943469 , -0.602056850652795 , 1.0413484292393 , 0.25796049010732 , -0.898036527886978 , 0.258719295895534 , -0.297841606295765 , -0.637633014269832 , 0.257792204014084 , -1.13364668092086 , -1.92565184507832 , 0.350354719255207 , 0.732245059676568 , -1.40615456945284 , -0.542627872399523 , 1.79891454195805 , -0.926713136589462 , 1.16166234216968 , -2.71668169823085 , -1.40844674653723 , -0.218637560101726 , -1.20204527734602 , -0.459266800322061 , -0.146323151872763 , -0.531203386001754 , -0.276024507599207 , 0.25179386955144 , 0.835365668289038 , 1.39032628482678 , 0.465620090819267 , -0.284697157171407 , -0.0105118015967205, -1.2854849272903 , -0.594708954353343 , 1.73791703291464 , 1.38079300231851 , 0.292491254629853 , 0.323423725948584 , 2.66890172582683 , 1.80993790535779 | 0.8949303 |
| 4 | 50 | 0.5 | 0.0 | 0.5 | control , control , control , control , control , control , control , control , control , control , control , control , control , control , control , control , control , control , control , control , control , control , control , control , control , control , control , control , control , control , control , control , control , control , control , control , control , control , control , control , control , control , control , control , control , control , control , control , control , control , intervention , intervention , intervention , intervention , intervention , intervention , intervention , intervention , intervention , intervention , intervention , intervention , intervention , intervention , intervention , intervention , intervention , intervention , intervention , intervention , intervention , intervention , intervention , intervention , intervention , intervention , intervention , intervention , intervention , intervention , intervention , intervention , intervention , intervention , intervention , intervention , intervention , intervention , intervention , intervention , intervention , intervention , intervention , intervention , intervention , intervention , intervention , intervention , intervention , intervention , -0.0802395963937699 , -0.042689174709123 , -0.341470107165808 , 0.66020504012134 , -0.391717241028757 , -0.211458065887567 , -0.526493739644193 , -0.0450408701493248 , -0.424829342321592 , -0.244909211876611 , -0.230033682589598 , 1.01413197200739 , -0.326019285220639 , -0.245789494164626 , -0.242239145798367 , 0.739100273638252 , 0.526560305394154 , 0.591635970960461 , 0.742586590871519 , -0.328234567366795 , 0.303328936650463 , -0.00223869081044714, 0.511050637760758 , 0.0883373749314617 , 0.0877799607050729 , -0.286369307406566 , -0.354007977203947 , 0.497689993155779 , 0.771454723948766 , -0.24413373388118 , -1.10115108618301 , 0.60976411803997 , 0.595957600422745 , 0.363842250089123 , -0.47182622285587 , -0.00212474215012478, 0.545124952365895 , -0.412097731145978 , 0.25450769302516 , 0.663448329531264 , -0.59107634393049 , 0.0931355507939207 , 0.0150602513921294 , 0.98981538734344 , -0.392068865514775 , 0.176966228767319 , -0.477221369164306 , -0.789528846271177 , 0.25596195422348 , -0.166662894466169 , 0.565332270860532 , 0.308269971761842 , 0.473715301674493 , 0.506860631122994 , 0.15882822544123 , 1.39635270105101 , 1.52697763311755 , 0.599158564416092 , 0.143946162713939 , 0.138688554457325 , 1.23825252165733 , 1.17827775171863 , 0.433698561254534 , 0.411723450568351 , 0.702132648010447 , -0.88566748509217 , 0.283275801379861 , -0.0752135305326183 , 0.393189933886197 , 0.369430012680581 , -0.0203907733664264 , 0.633075059158815 , 0.617810759055486 , 0.478793495003872 , -0.979020938367773 , 0.425716412165489 , -0.240078785871715 , 0.612889213499921 , -0.111294614316174 , 0.460722704056273 , 1.37800978761779 , -0.56465938178089 , 0.18095481697273 , 0.358386702347405 , 1.0311295914161 , 0.481630730211989 , 0.187902593477411 , 1.12639476766303 , 1.02585770108347 , 0.257731061060435 , 0.577799525492252 , 0.597786957656102 , -0.10435553387861 , 0.596423980421613 , 0.662055257338857 , 0.259133493872273 , 0.563888602067913 , 0.464446970542133 , 0.528133548619536 , -0.236924966203012 | 0.0002525 |
| 4 | 50 | 0.5 | 0.0 | 1.0 | control , control , control , control , control , control , control , control , control , control , control , control , control , control , control , control , control , control , control , control , control , control , control , control , control , control , control , control , control , control , control , control , control , control , control , control , control , control , control , control , control , control , control , control , control , control , control , control , control , control , intervention , intervention , intervention , intervention , intervention , intervention , intervention , intervention , intervention , intervention , intervention , intervention , intervention , intervention , intervention , intervention , intervention , intervention , intervention , intervention , intervention , intervention , intervention , intervention , intervention , intervention , intervention , intervention , intervention , intervention , intervention , intervention , intervention , intervention , intervention , intervention , intervention , intervention , intervention , intervention , intervention , intervention , intervention , intervention , intervention , intervention , intervention , intervention , intervention , intervention , 0.856397550958186 , -0.575309639959425 , 0.256538551800986 , 1.04510446795552 , -0.904650461665295 , -1.9415043963955 , -0.899196260190044 , 0.174749469313813 , -0.36298299551566 , 1.88029039279128 , -0.041345153686443 , 2.23071748839298 , 2.29106785182128 , 0.933903067208929 , 0.192347943243736 , 0.820712469280377 , 1.37852032912351 , 1.73716109455929 , 0.447625428020017 , 0.0313461961177263 , 0.235107880040676 , -0.265606960956852 , 0.226858443132325 , -0.534284316855389 , -1.26603779183162 , 0.634508577016735 , -1.23183093785644 , -0.988140687874817 , -1.22780189013595 , 1.36647215360092 , -1.48514983492304 , -0.308420281265001 , 1.79816922274069 , -0.491962223602738 , -1.86515047193453 , 0.106722398448887 , 0.534193575806221 , -0.380961178219682 , 1.28639139636309 , -0.774233867670431 , 0.310992802394971 , 0.31956313947646 , -1.25170323822516 , 0.0708878409435858 , -1.43437674392707 , 1.27412427082769 , 1.80150681158411 , -0.0141901272012682 , -1.49231602669019 , -0.86937795701748 , 0.880945805917029 , -0.287946768702096 , 1.57388133910986 , 0.594984528436052 , 0.473451966342344 , 1.79982212285098 , 0.314299745050857 , 1.35875527609838 , 1.45469922382296 , 0.234607373843967 , -1.08617838646396 , 1.16051509098026 , 2.418707079278 , -0.00285848784090026, 2.39063696479643 , 0.414972477667386 , 1.11523629725058 , 0.748526492899909 , 1.01524868596779 , 0.59036406912899 , 0.159555090828751 , -0.661467397292979 , 0.414075609363943 , -0.190108878862925 , 1.17121883393741 , 0.0885910911012224 , 0.870041603660496 , 0.726933909096145 , -1.87410653638222 , 0.0499817106521395 , -0.717369760395264 , 3.15802080749501 , 2.38676150517135 , -1.22628281316163 , 1.23948901330422 , -0.89004305827445 , -0.567178699076984 , 0.0797852824527159 , -1.48301847815624 , 1.23082245338075 , -1.26335540736388 , 1.43124267428522 , 0.51544167508345 , 0.0210205923666325 , 0.218869301621715 , 0.724864680254146 , 1.10508856058368 , 0.164837719023046 , 0.393809297472808 , 1.97825175304687 | 0.0383544 |
| 4 | 50 | 0.5 | 0.1 | 0.5 | control , control , control , control , control , control , control , control , control , control , control , control , control , control , control , control , control , control , control , control , control , control , control , control , control , control , control , control , control , control , control , control , control , control , control , control , control , control , control , control , control , control , control , control , control , control , control , control , control , control , intervention , intervention , intervention , intervention , intervention , intervention , intervention , intervention , intervention , intervention , intervention , intervention , intervention , intervention , intervention , intervention , intervention , intervention , intervention , intervention , intervention , intervention , intervention , intervention , intervention , intervention , intervention , intervention , intervention , intervention , intervention , intervention , intervention , intervention , intervention , intervention , intervention , intervention , intervention , intervention , intervention , intervention , intervention , intervention , intervention , intervention , intervention , intervention , intervention , intervention , 1.33021246127553 , 0.9321396672599 , 0.0156438442158901 , -0.406187287759921 , -0.278385336496781 , -0.141072427285521 , 0.240328245417642 , 0.185463432179868 , 0.0924722825727268 , 0.177381399886144 , 0.314255702747775 , 0.618827602241792 , -0.692746424225838 , 0.0777390089408158 , 0.138310166098233 , 0.147849749054836 , 0.619950553070288 , 0.614267993814158 , 0.495171703951351 , 0.173882792276317 , -0.444009300983133 , -0.270444437065134 , -0.103488064148275 , 0.0664508536546648 , -0.0728199534239123, -0.278548485525134 , -0.370359189771972 , -0.0890460159001762, 0.936617144652305 , 0.362850502375142 , -0.660540097351715 , 0.228420913583687 , 0.1931045421792 , 0.387443107297293 , 0.472523120578 , -0.0980880575857934, 0.409552079524546 , -0.580391915169041 , -1.01763575610388 , -0.0591231300428448, 1.11402543269512 , 0.249614827108619 , 0.232547392633261 , -0.311594461633043 , 0.50077531002976 , -0.449248442460884 , -0.260710075493073 , -0.705563292589793 , 0.421511944297934 , 0.703866717273864 , 0.396172741071351 , 0.819066847883778 , 1.02023423904532 , -0.234533831678091 , 0.579690691922041 , -0.327871725601188 , -0.169773817789465 , 0.197961147666507 , 0.318062728571494 , 0.972522595768759 , -0.432654120797862 , 0.469905838759226 , 1.03900839236182 , 0.547142910372393 , 0.295057027743436 , 0.634562092996325 , 0.00260503393613848, 0.460181162999228 , 0.754190652118354 , 0.303324080921506 , 0.555316433097069 , 0.678338890476763 , 0.733521889970085 , -0.315999295824576 , 0.666124501988061 , 0.183233899816824 , 0.163394072038171 , 0.677589579778444 , 0.691173121394664 , 1.54109167617456 , 1.09399888953152 , 0.320522795873762 , 0.92292689271496 , 0.113114145174147 , 0.396446046533999 , 0.503949636964887 , 0.884389899687032 , 0.938040130513856 , 0.835587951625635 , 0.946848034702857 , -0.109318398907032 , -0.0335585852707579, 0.404094258466306 , 0.781808228021906 , 0.79812221303075 , 0.228559956782424 , 0.657307400591577 , 0.741857201988975 , 0.574364574116515 , 0.810583395345136 | 0.0000312 |
| 4 | 50 | 0.5 | 0.1 | 1.0 | control , control , control , control , control , control , control , control , control , control , control , control , control , control , control , control , control , control , control , control , control , control , control , control , control , control , control , control , control , control , control , control , control , control , control , control , control , control , control , control , control , control , control , control , control , control , control , control , control , control , intervention , intervention , intervention , intervention , intervention , intervention , intervention , intervention , intervention , intervention , intervention , intervention , intervention , intervention , intervention , intervention , intervention , intervention , intervention , intervention , intervention , intervention , intervention , intervention , intervention , intervention , intervention , intervention , intervention , intervention , intervention , intervention , intervention , intervention , intervention , intervention , intervention , intervention , intervention , intervention , intervention , intervention , intervention , intervention , intervention , intervention , intervention , intervention , intervention , intervention , 0.138680167849339 , -0.166222089083166 , 0.171387754466973 , 0.424632946751402 , -0.046891665740449 , 0.942232500470978 , 0.982567947921058 , -1.94069427419226 , 0.525192827370838 , 0.458665633086778 , -1.37264301019163 , 1.22841746521264 , -0.102267383398069 , -0.262861402005108 , -0.0259127612672103, 0.114126542253344 , 1.33534394764418 , 0.0290017787476961 , 0.346679044631997 , 0.417995492849071 , 0.0851756616163064 , 0.378529490892284 , -1.25420549633748 , -0.997536191516121 , 1.04679741513681 , 1.15763503122312 , -1.68615251045633 , 0.8556762882069 , 1.30428532833299 , -0.295237811241491 , -0.85565732794246 , 0.662112661402833 , 1.27837201161219 , 1.02806679031501 , -0.667078507491438 , 0.2877858537808 , 0.892190272828125 , 0.248674516220349 , 1.23938324449554 , 1.75264216250081 , 1.69919526342734 , -1.02537724259007 , 1.06152810816073 , 0.217022496268705 , -0.93321392065438 , -0.502347384040181 , -2.12059013806688 , 0.584065874227821 , 1.41132068564111 , 2.9325059275682 , 0.402636166134268 , -0.317600399157652 , 3.50671776926172 , 0.543943435690273 , 0.59924948564337 , 0.520843081763746 , -0.194049355942664 , 0.817569761636163 , -0.16230324414063 , 1.16223934113308 , 1.50174500125598 , -0.938729186297326 , -0.876921102027825 , 2.2742957067781 , 0.961766538267632 , 1.72581597185571 , 1.81812804140841 , 0.70509398036448 , -0.887548089497933 , -2.09218614970707 , 1.01449138516657 , 0.424677112418232 , -0.672785301987988 , -1.09837758893709 , 0.598287744946317 , -1.34241501155285 , 1.52079547968936 , 0.207795846758172 , 1.6340788658511 , 3.04347440320366 , 0.701606255786256 , -0.110936369035991 , -0.059453118736643 , 0.0322016319788662 , -0.829801820692522 , -0.789442564609816 , 0.238535909216321 , 0.038089917030745 , -0.0684527738702746, 1.44827971459305 , -0.956967604572657 , 0.0363858384343853 , 1.06703115034728 , -1.49997549938863 , 1.79666508636219 , -0.965334113640899 , -1.01934090042847 , -1.91618501927506 , 0.380771497934158 , -0.264586686092694 | 0.9515692 |
| 5 | 20 | 0.0 | 0.0 | 0.5 | control , control , control , control , control , control , control , control , control , control , control , control , control , control , control , control , control , control , control , control , intervention , intervention , intervention , intervention , intervention , intervention , intervention , intervention , intervention , intervention , intervention , intervention , intervention , intervention , intervention , intervention , intervention , intervention , intervention , intervention , 1.29689411914901 , 0.330659225012456 , 0.268443652542265 , 0.33217904431327 , -0.53843384082606 , 0.0151021048791879 , 0.0834270163010753 , -0.923979392810733 , -0.260889434922753 , -0.74889603030713 , 0.913973661538801 , -0.64323519191613 , -0.0726682084736597, -0.112430151285824 , -0.478367191245183 , 0.477232019260614 , -0.0664761548601206, 0.546208543703059 , -0.205956841060059 , -0.213988344706837 , 0.357233291602862 , -0.350324464589677 , -0.396206744666136 , 0.359184296800128 , 0.471695264056613 , 0.544025050764851 , 0.113933283743994 , 0.715702046817549 , 1.56221883528409 , 0.119734203308316 , 0.0983149139010932 , -0.522429877215986 , -0.341795904185745 , -0.70252680241827 , -0.11041508286354 , 0.125457294556757 , 1.28838763712036 , -0.365548522617683 , 0.210716279681548 , 0.688005538209608 | 0.2910387 |
| 5 | 20 | 0.0 | 0.0 | 1.0 | control , control , control , control , control , control , control , control , control , control , control , control , control , control , control , control , control , control , control , control , intervention , intervention , intervention , intervention , intervention , intervention , intervention , intervention , intervention , intervention , intervention , intervention , intervention , intervention , intervention , intervention , intervention , intervention , intervention , intervention , -0.140433894749342 , 0.00189582004419095, -0.660409500979209 , -1.36236152098558 , -0.132243867726721 , 0.251669951197067 , -0.344798715332584 , 1.85513837355143 , -1.47955973226008 , 0.711115954355237 , 1.73597771685088 , -0.818844150523012 , 0.749320639395964 , 0.259931841107104 , -1.06401059101931 , 1.00317423569487 , -0.0472614552953617, -0.397688189119821 , -0.0146177260910032, -0.254390326480032 , 1.13465162755366 , -0.185744705764976 , -2.79587040603809 , 1.0187270341986 , -1.27561353500686 , -0.518472716721401 , 0.702583395523804 , -0.22626127253932 , 0.906040366014809 , 0.77076626687585 , 1.36756672228478 , 0.345179807782062 , -0.0269952770565172, -0.45002004607895 , -0.509899254742531 , 0.159359674872833 , 2.4354535627961 , -0.299288476215117 , 0.81920541763428 , 1.58502461619529 | 0.4352544 |
| 5 | 20 | 0.0 | 0.1 | 0.5 | control , control , control , control , control , control , control , control , control , control , control , control , control , control , control , control , control , control , control , control , intervention , intervention , intervention , intervention , intervention , intervention , intervention , intervention , intervention , intervention , intervention , intervention , intervention , intervention , intervention , intervention , intervention , intervention , intervention , intervention , 0.0981092787299607 , -0.562534379996867 , -0.0201782267049558, 0.981246815556686 , 0.71222093996224 , -0.147411457680689 , 0.482216857388515 , 0.646871283849385 , 0.625217731377214 , -0.461296742127353 , -0.750403135737481 , 0.529681717253452 , -0.159673282092032 , 0.170806320191697 , 0.727438852816745 , -0.30311540616241 , 0.503737387056495 , 0.170725985382684 , 0.0504734610272227 , 0.00982194811508978, -0.0799874664905164, 0.485921561004669 , 0.287655433565571 , -0.0586873068321104, -0.249636317071114 , -0.268627452718735 , -1.03682398619423 , -0.0865875919381105, -0.576592018353147 , -0.761267320030484 , 0.0373441627418289 , 0.232834972645592 , -0.0595338027058209, 0.329082051673348 , -0.107634515064663 , 1.15022615294614 , -0.348877322494065 , 0.145913151101952 , 0.632265794165111 , 0.125568654808161 | 0.2570968 |
| 5 | 20 | 0.0 | 0.1 | 1.0 | control , control , control , control , control , control , control , control , control , control , control , control , control , control , control , control , control , control , control , control , intervention , intervention , intervention , intervention , intervention , intervention , intervention , intervention , intervention , intervention , intervention , intervention , intervention , intervention , intervention , intervention , intervention , intervention , intervention , intervention , 1.30080803462324 , -0.709387785955893 , -0.573312805603917 , 1.26948612224182 , 0.230219909222117 , 0.133187909808849 , 0.801467212965629 , 1.41189277686076 , -0.157526383035031 , 0.694074123988585 , 1.64979360414052 , 0.748112516908176 , 0.0938003714577816 , 1.47388713686341 , 0.0816605760656762 , 1.09568869391392 , -0.189089282878703 , 0.375521158949433 , 1.71780270591346 , 0.644997975660715 , -0.743046564125884 , 1.64350519228836 , 1.00339377490158 , 0.94823748115543 , 3.60468250975449 , -0.998663909790702 , 0.56079397437642 , -0.71632105743132 , 0.434421421684832 , 0.269228088828274 , -0.0127251938073739, 0.629977206640245 , -1.03030623128597 , 1.6820384539452 , -1.50521950842593 , -0.339486709253031 , 0.654469403009753 , 0.969649534012938 , -1.99406359615964 , 0.980751312405871 | 0.3664318 |
| 5 | 20 | 0.5 | 0.0 | 0.5 | control , control , control , control , control , control , control , control , control , control , control , control , control , control , control , control , control , control , control , control , intervention , intervention , intervention , intervention , intervention , intervention , intervention , intervention , intervention , intervention , intervention , intervention , intervention , intervention , intervention , intervention , intervention , intervention , intervention , intervention , 0.135811167841026 , 0.371125090474267 , -0.0992258391959513, -0.015779120957435 , -0.186490191682066 , -0.452505678198629 , 0.608767328485855 , -0.0248116252705845, -0.43333573054037 , 0.0748948512266611 , 0.0301601034855254 , 0.104986540045659 , 0.534159476842251 , 0.951768204528532 , -0.14086012276102 , -0.826055041909588 , -0.336833709950137 , 0.412241793084296 , -0.379533645261199 , -0.0163895020374025, 0.0103133065260436 , 0.612557255856686 , 0.0277828765501777 , 0.521702737014506 , 0.63457311633032 , 0.577063951385555 , 0.376415838521226 , 0.277098384924021 , 0.347447613860803 , 0.544101679028787 , 0.291624634403604 , 0.924043177391135 , -0.0132476290177507, 0.378238614806851 , 0.456898210356565 , 0.692760174802178 , 0.332416138482077 , 0.175517931301693 , 0.746448991009766 , 0.87797306718919 | 0.0004868 |
| 5 | 20 | 0.5 | 0.0 | 1.0 | control , control , control , control , control , control , control , control , control , control , control , control , control , control , control , control , control , control , control , control , intervention , intervention , intervention , intervention , intervention , intervention , intervention , intervention , intervention , intervention , intervention , intervention , intervention , intervention , intervention , intervention , intervention , intervention , intervention , intervention , -1.1590989105413 , 0.807166959675407 , -1.14012448808681 , 0.813278807411104 , 1.0419123373926 , 0.670490251832367 , 0.198332873724994 , -1.20327159472004 , 1.35209109995623 , 0.389478042793361 , -0.720487807782414, -0.352524443028869, 0.366270211917316 , -1.01306007296829 , -0.797389264502009, 0.93451613907204 , 0.332208160588579 , -0.91168812653587 , -0.280714243208839, 0.677344911861926 , 1.42454775726829 , 1.52584345070933 , 0.147958576741717 , 0.35904878678743 , 0.974318079086942 , 0.248059740679946 , 1.23119662525665 , -1.32303819143027 , -0.38218919905334 , 0.345042224291032 , 0.456739348595119 , 0.86630276662046 , 0.765245846506813 , 0.427035517042449 , 0.897598485826578 , 2.16459526443417 , 2.81645453819817 , -0.602613178348364, 0.83675706084013 , 2.92561137796392 | 0.0111686 |
| 5 | 20 | 0.5 | 0.1 | 0.5 | control , control , control , control , control , control , control , control , control , control , control , control , control , control , control , control , control , control , control , control , intervention , intervention , intervention , intervention , intervention , intervention , intervention , intervention , intervention , intervention , intervention , intervention , intervention , intervention , intervention , intervention , intervention , intervention , intervention , intervention , -0.922131150086706 , 1.19220776150408 , -1.13853852162723 , 0.0923508598554188 , 0.263125448058347 , 0.140496168490676 , 0.303431081974802 , 0.649260087375927 , -0.553107030558796 , -0.495815457062817 , -0.522093249598387 , -0.193973282287568 , 0.38117042265383 , -0.465157922194353 , -0.248256997424809 , 0.308324970012776 , -0.474608616204997 , -0.0272964753679947, -0.0212564666350979, 0.594833692885997 , 0.902958322074344 , 0.74271632706027 , 0.344533169666728 , 0.418669417616738 , 0.442448328575395 , -0.466137311100311 , 0.911708420568068 , 0.745288941584226 , -0.395863012531481 , 0.229162967831118 , 0.00107472139107306, 1.21622654196035 , 0.120378445749034 , 0.588074866592905 , -0.0781819736445325, 1.34694944125085 , 0.550433642000357 , 0.899301870189533 , -0.367920620510557 , 0.584789082392518 | 0.0065256 |
| 5 | 20 | 0.5 | 0.1 | 1.0 | control , control , control , control , control , control , control , control , control , control , control , control , control , control , control , control , control , control , control , control , intervention , intervention , intervention , intervention , intervention , intervention , intervention , intervention , intervention , intervention , intervention , intervention , intervention , intervention , intervention , intervention , intervention , intervention , intervention , intervention , -1.03889737188327 , -0.535785235614444 , -1.73622505661842 , 0.601663425695186 , -1.23750990852986 , -0.946636369441544 , 1.90138069755261 , 0.580495738802917 , -0.217922774700427 , 0.577636427630408 , -0.4457975745517 , 0.664464477997574 , -0.588235373518748 , 0.582127076975631 , 0.600231797821106 , -1.78228388261889 , -1.22678952982512 , -0.47618895328536 , -0.165766109198634 , -0.896747569530782 , 1.29598203157203 , 0.810497551016213 , 0.44939681844119 , -0.634543187267951 , -1.25655839930963 , 1.03327628522989 , -1.12745446360214 , 0.553223530650217 , 2.98724420134521 , 1.56169445420527 , -0.533128187689253 , 1.04548770177065 , 2.49269694095111 , 0.116704340213484 , -0.0659049357502599, 0.906770132493642 , 1.89168516391066 , 0.781279093977232 , -1.60798148798025 , 0.87557215935244 | 0.0160095 |
| 5 | 50 | 0.0 | 0.0 | 0.5 | control , control , control , control , control , control , control , control , control , control , control , control , control , control , control , control , control , control , control , control , control , control , control , control , control , control , control , control , control , control , control , control , control , control , control , control , control , control , control , control , control , control , control , control , control , control , control , control , control , control , intervention , intervention , intervention , intervention , intervention , intervention , intervention , intervention , intervention , intervention , intervention , intervention , intervention , intervention , intervention , intervention , intervention , intervention , intervention , intervention , intervention , intervention , intervention , intervention , intervention , intervention , intervention , intervention , intervention , intervention , intervention , intervention , intervention , intervention , intervention , intervention , intervention , intervention , intervention , intervention , intervention , intervention , intervention , intervention , intervention , intervention , intervention , intervention , intervention , intervention , 0.588497144168422 , -0.0741479191978581, 0.544072758612455 , -0.336165705130322 , 0.243150690768954 , 0.129018421465532 , 0.626628711511944 , -0.164917637449133 , 0.0430299943853985 , -0.500470788023382 , 0.494192413639121 , -0.958430575214993 , 0.159078217505018 , -0.0909701579629032, 0.356736498153035 , 0.921119384673217 , 0.237520263239394 , 0.24044524092651 , 0.54784730121419 , -0.146216793620029 , -0.26761383163911 , 0.836199227079026 , 0.0443257820747441 , -0.439584054408793 , 0.0687560399721964 , 0.51083847025707 , 0.146596418827919 , 0.158282026868217 , 0.559224133948573 , -0.28869233529046 , -0.354639506611892 , -0.079257643517275 , -0.306668502651726 , 0.330179389795153 , -0.758267433580026 , -0.663323868747932 , -0.182535280766356 , 0.0885597440536722 , -1.05787439968404 , 0.25744995208438 , -1.04839137530166 , 0.0567302468223648 , 0.140033710587956 , -0.0593517608054183, 0.169236301147262 , -0.0411490735222305, 0.857032154095156 , -0.716313192079913 , 0.0524183407480859 , 0.258462047012318 , 0.0873867921711822 , -0.15002888165842 , -0.243898234606917 , 0.0517008461162697 , -1.11024147696706 , 0.280128263760163 , -0.119500079865241 , -0.985791013247516 , 0.382963635180831 , 0.246168748764514 , -0.667759803112831 , -0.428072684511162 , 0.728174968999767 , -0.612509430883034 , -0.781858300865193 , -0.913174515910016 , 0.38774351840423 , -0.506621615880727 , -0.170175830257947 , 0.0596846474775501 , 0.697823185020496 , -0.207552200354653 , 0.532747777704966 , 0.971213307513347 , 0.00224949643385024, -0.151193702461465 , -0.118816449081476 , 0.0916342386353386 , -0.442440759167901 , 0.717855713983906 , 0.286193873725058 , -0.331964910871376 , 0.00635560177417343, 0.161647668940769 , -1.05531374234664 , 0.217938972555943 , 0.978681568214802 , -0.563967642829095 , 0.528982721069608 , 0.766427269521217 , 0.143715121918866 , -0.439148227023492 , 0.0499042162031503 , 0.0613198941178577 , -0.087507815544389 , -0.461997319528326 , -0.245853641796267 , -0.172082093186211 , 0.0871476566201722 , 0.0240581915153302 | 0.4684278 |
| 5 | 50 | 0.0 | 0.0 | 1.0 | control , control , control , control , control , control , control , control , control , control , control , control , control , control , control , control , control , control , control , control , control , control , control , control , control , control , control , control , control , control , control , control , control , control , control , control , control , control , control , control , control , control , control , control , control , control , control , control , control , control , intervention , intervention , intervention , intervention , intervention , intervention , intervention , intervention , intervention , intervention , intervention , intervention , intervention , intervention , intervention , intervention , intervention , intervention , intervention , intervention , intervention , intervention , intervention , intervention , intervention , intervention , intervention , intervention , intervention , intervention , intervention , intervention , intervention , intervention , intervention , intervention , intervention , intervention , intervention , intervention , intervention , intervention , intervention , intervention , intervention , intervention , intervention , intervention , intervention , intervention , -0.231542935311654 , 0.214919951205781 , 1.19128705481233 , 0.106125213221422 , 0.850788266859825 , -0.145818865436043 , 0.14597176311887 , -0.406062767235761 , 0.918219897909328 , 0.690312325034762 , -1.70247995504928 , 0.523965097978989 , 0.267966520474635 , -0.612250301413362 , -0.00718184288130965, 0.513680429814156 , -0.197068287203172 , -0.493163674208374 , -0.2772222470597 , -0.489805623615636 , 0.549498873182871 , 0.104967353809348 , -0.79996723082203 , 1.959071181387 , 0.025286362882802 , -0.588195217221782 , 1.12856387198247 , 0.192488959031748 , -0.105542084596234 , -2.23536733330042 , 0.0804559026361841 , -0.196160293129363 , 0.479188038365333 , -0.0076918034842782 , -1.25415705382217 , 0.269383536110732 , 1.06638649942562 , 0.337287688143253 , 1.77824410160194 , 1.25142439745549 , 0.700164390046319 , -1.52910922714254 , 0.17504689308447 , -0.507507667562236 , 0.34816228235766 , -1.22563363346048 , 1.303650994815 , -0.561478380716341 , 0.936229379943956 , 0.217301246310343 , 0.198763495706292 , 0.00279390640765925 , 0.369668278589696 , 0.688528413258787 , 0.744498155855071 , 0.281521776206131 , 1.19607002972983 , -1.75683176782995 , -0.452092005686942 , 0.473562336791822 , 0.589825453584807 , 0.959124368965594 , 0.09179218062331 , 0.852870353841918 , -1.29656232433264 , -0.517502139164211 , -0.901217069914674 , -0.773448022365355 , -2.87188696892619 , -0.652552787201173 , 0.315054803836473 , 1.96196485843173 , 1.07615488073296 , -0.00910632476381449, -1.02072317585284 , -0.331470536349978 , 0.186803196803924 , 0.952093995698076 , -0.297312568146863 , 1.9533649093802 , -1.05656531917979 , -0.637353366225015 , 0.625617611264147 , -0.128456155447421 , -0.190267168659403 , -0.191163737694556 , 1.75159620377043 , 0.291392822012714 , -1.53119725331731 , 1.18244724863366 , -1.63877331421265 , -0.11318222363657 , -1.2867033692638 , -0.114527006160363 , 0.403954922850438 , 0.80079180207052 , -0.206850787477804 , 0.587372579040697 , -0.070468434461156 , 0.396900229678399 | 0.6713873 |
| 5 | 50 | 0.0 | 0.1 | 0.5 | control , control , control , control , control , control , control , control , control , control , control , control , control , control , control , control , control , control , control , control , control , control , control , control , control , control , control , control , control , control , control , control , control , control , control , control , control , control , control , control , control , control , control , control , control , control , control , control , control , control , intervention , intervention , intervention , intervention , intervention , intervention , intervention , intervention , intervention , intervention , intervention , intervention , intervention , intervention , intervention , intervention , intervention , intervention , intervention , intervention , intervention , intervention , intervention , intervention , intervention , intervention , intervention , intervention , intervention , intervention , intervention , intervention , intervention , intervention , intervention , intervention , intervention , intervention , intervention , intervention , intervention , intervention , intervention , intervention , intervention , intervention , intervention , intervention , intervention , intervention , 0.627602281336278 , -0.248868434458119 , -0.035070796791572 , 0.366834660307291 , 0.315049160195231 , 0.310358586804849 , -0.0551260248579968, -0.791475507642374 , 0.81686097439615 , 0.402656582570411 , -0.319045329383185 , 0.823254324968551 , -0.714489363597868 , 0.159148661362943 , 0.44453732140465 , 0.122019532258052 , 0.153164504888892 , -0.0521111941569481, -0.255694950267771 , -0.655982028583266 , -0.54900454362185 , -0.125931847217248 , 0.785333706647834 , 0.0895575868556259 , 0.472216097549137 , -0.113867193784504 , -0.0627211243300453, 0.142586396318522 , 0.457555553810605 , -0.215919573528096 , 0.742477088508624 , 0.8087160051132 , 0.365632067888526 , 0.11786264928644 , -0.165335781965233 , 0.482507359973022 , -0.786547108654828 , -0.180723212149453 , 0.0574594672818837 , 0.404657985891106 , -0.469641550256973 , -0.0259678497618145, -0.845562020553264 , 0.263299084425181 , -0.375657203140605 , 0.405003808765595 , -0.211472214344252 , 0.929889793741424 , 1.08417053380555 , -0.435829474572489 , -0.776835101446392 , 0.181712061768878 , -0.0398690426778066, 0.337284505958692 , 1.25469069253386 , 0.133025430283137 , 0.238396952332883 , -0.321102122147537 , 0.857716297000985 , -0.0548998453577064, 0.649051577839913 , 0.184088192443199 , -0.158688242436754 , -0.174189965225319 , -0.466497851661519 , -0.0692120608079808, -0.154546860213844 , -0.471707725883386 , -0.855215646057447 , -0.757994994505016 , -0.114269798014278 , 0.046984506251362 , 0.930737257212294 , 0.291351985339198 , 0.841220211360362 , -0.0431879387195294, 0.144978760664134 , 0.0495527346091726 , 0.516108834060572 , 0.200321380856442 , -0.471660376625469 , 0.149400967165358 , 0.582752697290495 , -0.272030787181188 , -0.515694020452248 , 0.300847166174982 , -0.586709386837087 , -0.141181530043055 , -0.136123393267861 , 0.627350196435992 , -0.128501684787673 , 0.526755754179572 , -0.31785722918173 , -0.113113078816688 , 0.547342724613734 , -0.345872422144373 , -0.0346141362085878, 0.543069604229459 , -0.177674375214184 , 0.407746880188315 | 0.7330867 |
| 5 | 50 | 0.0 | 0.1 | 1.0 | control , control , control , control , control , control , control , control , control , control , control , control , control , control , control , control , control , control , control , control , control , control , control , control , control , control , control , control , control , control , control , control , control , control , control , control , control , control , control , control , control , control , control , control , control , control , control , control , control , control , intervention , intervention , intervention , intervention , intervention , intervention , intervention , intervention , intervention , intervention , intervention , intervention , intervention , intervention , intervention , intervention , intervention , intervention , intervention , intervention , intervention , intervention , intervention , intervention , intervention , intervention , intervention , intervention , intervention , intervention , intervention , intervention , intervention , intervention , intervention , intervention , intervention , intervention , intervention , intervention , intervention , intervention , intervention , intervention , intervention , intervention , intervention , intervention , intervention , intervention , 0.443523223375822 , -0.751065868692261 , -0.0510278975988151 , -1.09942865539282 , -0.505370924373794 , -0.533897327923957 , 1.20188300156966 , -1.74892792964104 , -2.02164879438033 , -0.800268620006388 , 1.96220148876388 , 0.229437433819637 , -0.60236646452391 , -0.261601957646219 , 1.67327969583465 , -0.487956975899089 , 1.68671785526714 , 0.545344303182858 , 0.326884615670984 , 0.961579109705441 , 1.04767887570958 , 0.248488743156707 , -0.244152111481395 , -0.275188406158632 , 0.0312448628113949 , -1.27799593379341 , -1.01508342185324 , -0.00232186668522415, 0.736471963202581 , -0.334461955175703 , 2.0217184940649 , -0.98687046626199 , -0.251126452110251 , 0.0248192759509206 , 0.226731647455347 , 0.410554099091009 , -0.62671658270268 , 0.64697279966718 , -1.33071578918878 , -1.02655133605133 , -0.0562900895327324 , 0.120883699074533 , 1.94272666108045 , -1.47969626753893 , 1.7881431567192 , -0.836151390317036 , 0.173357223656372 , -1.03404383127498 , 1.214410140832 , 0.120588794267599 , -0.542609237946988 , 0.142837403698463 , -0.604253656710102 , -0.914458284906177 , 0.749883010107413 , 0.0575488768687663 , 0.259469607422971 , -1.553616098938 , 0.390556422158706 , 0.133446125281911 , 1.13140259475324 , -1.57050313813426 , -0.512936026351961 , -0.312163502185063 , -0.103102592868824 , -0.916210165617549 , -2.48887701940923 , -0.713076987271176 , 1.44059790955831 , 0.889573007149544 , -1.36616521611139 , -1.38604086388173 , 1.20748174532227 , 0.916032502592406 , 1.56740823120638 , -0.0922791116259035 , 0.342173958579815 , 0.860170238546429 , -2.26089782937727 , -0.733952002655242 , 0.758178058182632 , -1.35363095643975 , -0.0853551039566907 , 0.84954139612356 , 0.59465945932625 , 1.16344423157477 , -0.529051348289491 , 2.48248080997975 , -1.19674401539956 , 1.51421484391387 , -0.198473209651076 , -1.28822991912019 , -1.17705057729893 , 0.217774079326151 , -0.357715690476055 , 0.734099900829891 , -0.613944037168546 , 0.0926950885360006 , 2.35370047265167 , 0.28796358375211 | 0.8586116 |
| 5 | 50 | 0.5 | 0.0 | 0.5 | control , control , control , control , control , control , control , control , control , control , control , control , control , control , control , control , control , control , control , control , control , control , control , control , control , control , control , control , control , control , control , control , control , control , control , control , control , control , control , control , control , control , control , control , control , control , control , control , control , control , intervention , intervention , intervention , intervention , intervention , intervention , intervention , intervention , intervention , intervention , intervention , intervention , intervention , intervention , intervention , intervention , intervention , intervention , intervention , intervention , intervention , intervention , intervention , intervention , intervention , intervention , intervention , intervention , intervention , intervention , intervention , intervention , intervention , intervention , intervention , intervention , intervention , intervention , intervention , intervention , intervention , intervention , intervention , intervention , intervention , intervention , intervention , intervention , intervention , intervention , 0.0307463241419762 , -0.489373397304891 , -0.645102829079877 , -0.102475090203125 , 0.707581811724608 , -0.609044132415137 , 0.588981881392148 , -0.48763975746024 , -0.258590649019485 , -0.268157015197979 , 0.478941573916699 , 0.0391784823782004 , 0.0839006211641979 , 0.338921415824141 , 0.949407365689352 , -0.090589490887064 , 1.11398196600663 , -0.163062212868662 , 0.390446324320919 , 0.18779297985442 , 0.214021619811043 , 0.0788291796909193 , -0.928454690270569 , -0.16135537696587 , -0.804827467111538 , -0.068989607149401 , -0.429969012908883 , -0.215758147067068 , 0.350502370342548 , -0.270228621493921 , 0.913702200645733 , 0.234955490258568 , 0.332853467761762 , 1.22743580550075 , -0.516907443448761 , 0.0206078560054775 , -0.100130892753609 , 0.39119896209763 , 0.348014588797115 , -0.618268316593373 , 0.651150322385663 , 0.768613496413639 , 0.83829252812852 , -0.38910837966569 , 0.155093744063731 , 0.238464754865877 , 0.0570531476746211 , 0.253895679302372 , -0.443154611422444 , 0.311465789173365 , 1.76426516039532 , -0.357330948226765 , 0.68318528532023 , -0.0187389659357938, 0.711343373446995 , 0.23264291917013 , 0.296856035497592 , 0.941321973940152 , 1.06461018945851 , 1.59259665920716 , 0.532028962019855 , 0.944725757392175 , 1.14486290116121 , 1.61826919751626 , 0.126669018189029 , 1.078785282532 , 0.321313345960719 , 0.522644782769024 , -0.651666471186992 , 0.76312757550209 , -0.0989901893414945, 0.74688781274044 , 0.322190888457399 , 1.36142619865442 , 0.664199406442783 , 0.271628875482275 , 0.921083317398113 , 0.227561252102651 , 0.957229159103888 , 0.253875251825806 , 0.275562799019785 , 1.31809981715996 , 0.43177446406967 , 0.422196897034177 , 0.73111884856422 , 0.291564921584342 , 0.931760609918155 , 0.721733438915186 , 0.643298208435982 , 0.816616011385625 , 0.283181460709627 , 0.638170819923362 , 0.346662398286228 , 0.40619913577994 , 0.223228008312073 , 0.810803321678917 , 0.303344107896676 , -0.35286062437086 , -0.205760547989929 , 0.5821791008471 | 0.0000052 |
| 5 | 50 | 0.5 | 0.0 | 1.0 | control , control , control , control , control , control , control , control , control , control , control , control , control , control , control , control , control , control , control , control , control , control , control , control , control , control , control , control , control , control , control , control , control , control , control , control , control , control , control , control , control , control , control , control , control , control , control , control , control , control , intervention , intervention , intervention , intervention , intervention , intervention , intervention , intervention , intervention , intervention , intervention , intervention , intervention , intervention , intervention , intervention , intervention , intervention , intervention , intervention , intervention , intervention , intervention , intervention , intervention , intervention , intervention , intervention , intervention , intervention , intervention , intervention , intervention , intervention , intervention , intervention , intervention , intervention , intervention , intervention , intervention , intervention , intervention , intervention , intervention , intervention , intervention , intervention , intervention , intervention , 0.538493394559708 , 1.23388001307051 , 0.0413050356390938 , -0.756994354957994 , 0.766612006369619 , 1.23434631846086 , 0.119283559727676 , 0.922893894048263 , -0.181564500703064 , -2.29723967233262 , 0.112859311135505 , -0.00303537842441016, -1.00389425272028 , 0.729808635757127 , 0.945423078599075 , -1.87939546969004 , -1.47126663404248 , -1.36032388938979 , 0.713438566766949 , 1.08164761789606 , -1.54602918960973 , 0.75473486588332 , 0.713585672050569 , -0.338933281211687 , -0.791133694149032 , -0.135832478883503 , 0.850775606955019 , -1.4698781383071 , 0.475649802932506 , 0.947094212550559 , -0.0564049111440998 , 0.646058231581752 , -0.150684007000417 , -0.865948568294568 , 1.09909513531776 , -0.559887058194266 , 1.72628476450597 , -1.42707180812544 , -1.35260927364586 , 0.859721639221125 , -0.229308942601966 , -0.926138330490372 , 0.371913546743211 , 2.44138686091569 , 1.54803189123262 , 0.014456897545964 , 1.19357337782718 , 1.13212595095517 , -0.488541076877398 , -0.0774800995669055 , 2.17172579464234 , 2.73481458488429 , 1.36009457499277 , 1.41287427596243 , -0.371601313758842 , 2.02792761804646 , 1.51119236970135 , 0.637221596830492 , 2.42128253236225 , 1.13863197089674 , -0.124942952467961 , 1.64947904554436 , -0.432265323942557 , 1.34936819230458 , -0.109650983872445 , 0.957955804820808 , 1.74010704434462 , 1.09483732065474 , 0.846389721302568 , -0.502311136090032 , 1.25599369627309 , -1.11957285517449 , -0.608370058137652 , -0.083130280719491 , 0.738187899527243 , 1.15072199458328 , 0.930781538293068 , -0.0956466913261952 , 0.399661269528174 , 1.98588329339461 , 0.264552591769895 , 1.29662778736301 , 1.71870027510087 , 1.39179577127209 , 0.389292397410028 , 0.556438246487315 , 1.10436135182821 , -1.24087043018329 , 0.581659852966711 , 0.655371797615989 , 0.830199255137962 , -1.17749039366308 , 3.56064810911629 , 0.209983629281069 , -0.0467882700087281 , 1.07127951187044 , 2.07908432118529 , -0.627796239704035 , 0.225669750875117 , -0.682733754399666 | 0.0013632 |
| 5 | 50 | 0.5 | 0.1 | 0.5 | control , control , control , control , control , control , control , control , control , control , control , control , control , control , control , control , control , control , control , control , control , control , control , control , control , control , control , control , control , control , control , control , control , control , control , control , control , control , control , control , control , control , control , control , control , control , control , control , control , control , intervention , intervention , intervention , intervention , intervention , intervention , intervention , intervention , intervention , intervention , intervention , intervention , intervention , intervention , intervention , intervention , intervention , intervention , intervention , intervention , intervention , intervention , intervention , intervention , intervention , intervention , intervention , intervention , intervention , intervention , intervention , intervention , intervention , intervention , intervention , intervention , intervention , intervention , intervention , intervention , intervention , intervention , intervention , intervention , intervention , intervention , intervention , intervention , intervention , intervention , -0.117316163057706 , 0.646853297444086 , 0.130759767265203 , -0.318430829666188 , 0.590430754226068 , -0.248545015899682 , -0.180973590177162 , 0.15537042939175 , 0.814119860889228 , -0.131769984668762 , -0.265012971984985 , -0.572461429641022 , 1.00905058853798 , -0.0939895078650516, 0.822710851064922 , -0.126754152441723 , 0.285406138030534 , -0.515054957106634 , -0.542157390427238 , -1.08772755798636 , 0.262412816023088 , 0.664444693251145 , -0.2108599167661 , -0.0950108717811949, 0.491755524019601 , 0.531834639691512 , -0.560507770750831 , 0.942886317881477 , 0.199462652187418 , 0.573379789257186 , 0.105577337821436 , -0.233474439505659 , 0.716900813864566 , -0.244553943527432 , -0.000904694142199 , -0.78445705387058 , -0.237750433610078 , 0.616543940602302 , -0.456373383290559 , 0.882734672940368 , 0.673367999945069 , 0.414707539113467 , 0.448075605602449 , -0.273151730473276 , 0.400928873749946 , 0.970371521715966 , 0.607697682745546 , 0.458865843135614 , 0.583224232780569 , 1.08903003725722 , 1.20822386889033 , 1.28530741210514 , 0.487243869040172 , 0.384577101261464 , -0.205767011343919 , -0.104818277597978 , -0.0474981962341239, 0.378635098555687 , 0.526067752567949 , 1.5270745557129 , 0.745374724922987 , 1.0320755223749 , 0.972658614096345 , -0.144242269367214 , -0.0108197099749414, 0.917227898811807 , 0.325764810995718 , -0.361775930370618 , 0.390631373381215 , 0.485502990535828 , 0.487954864422421 , 0.64995270812707 , 1.33335123208095 , 0.436519188480075 , 0.627753752003508 , 0.247822003547417 , 1.09737359984368 , 0.970289789859369 , 0.558193818033932 , 0.207790538451614 , -0.174064105448924 , 0.320736804392157 , 0.584313188421988 , 0.546154905326135 , -0.084690782350445 , 0.913566195186613 , 0.998600795244592 , 0.89400419974424 , -0.210297221567345 , 0.535818592943783 , 1.08760699035096 , 0.394751267644135 , 0.486989428866713 , 0.650856612287775 , 1.20098330362048 , 0.082081533413693 , 0.215898149596597 , 1.00931929108333 , 1.30146548645015 , 0.600629344772011 | 0.0002482 |
| 5 | 50 | 0.5 | 0.1 | 1.0 | control , control , control , control , control , control , control , control , control , control , control , control , control , control , control , control , control , control , control , control , control , control , control , control , control , control , control , control , control , control , control , control , control , control , control , control , control , control , control , control , control , control , control , control , control , control , control , control , control , control , intervention , intervention , intervention , intervention , intervention , intervention , intervention , intervention , intervention , intervention , intervention , intervention , intervention , intervention , intervention , intervention , intervention , intervention , intervention , intervention , intervention , intervention , intervention , intervention , intervention , intervention , intervention , intervention , intervention , intervention , intervention , intervention , intervention , intervention , intervention , intervention , intervention , intervention , intervention , intervention , intervention , intervention , intervention , intervention , intervention , intervention , intervention , intervention , intervention , intervention , 0.695085581198243 , -0.0736454849933206 , -0.791825815119936 , 1.1804589793211 , 0.139730051709415 , 1.21599816285338 , -0.480518070841619 , 0.582876666638468 , 0.513904635281193 , 0.824615184845978 , 0.112019609414931 , -1.00113480874448 , -0.71190741099959 , -0.205378485299994 , -0.611464111933046 , 1.10415143771308 , 0.460363749938697 , 0.585971470995819 , 1.90173157217537 , 2.39628545297834 , -0.807295679214666 , 0.453826218888886 , 0.371214686260394 , -0.314658733672683 , 1.28314562023028 , -0.0436118682394752 , -0.193236616618132 , 2.14504005559735 , 0.716657477014429 , -0.624136378337412 , -1.17009363884477 , 0.471914477093503 , 1.33486796899936 , 0.210709494354196 , -1.0684283324699 , -1.80625061566059 , 0.884641146216167 , -1.44813072255715 , -1.28594530637725 , -0.0316360829444702 , 0.759980198792627 , -1.13913521425023 , 0.537033448136732 , -0.466717114546241 , 2.82697082892132 , -0.0979500391143305 , -0.273016115897703 , 1.35573621075549 , -0.881812333338973 , 1.84715458575393 , -0.390427237587662 , 1.52851549216349 , 0.642106123989502 , 0.964964909095104 , 0.935442753041476 , 0.610222931663307 , 0.804558449433912 , -0.352497798026859 , 2.40787533267719 , -0.0919367778155937 , 0.61141852042417 , 0.120846273609028 , -0.58610795002362 , -0.0980898964147928 , 1.68008730332814 , 0.0469926401234376 , 1.14529340791236 , 1.30086132217653 , -0.713080554113994 , -1.35503298557996 , -0.615477332043902 , -1.46938029635276 , -0.970337274639729 , 0.895086167202673 , -0.372729767711978 , 0.730521864518987 , -0.511845336608575 , 0.348006617896237 , 0.673536330240625 , 1.21787496131062 , 0.85260163104795 , -0.928569376618879 , 0.775980521476199 , -0.139978529920201 , 0.158760981516139 , 1.64451424856287 , 2.71074620746677 , -0.00772589531595758, 0.909821195862685 , 0.804561636203701 , 1.15482668529797 , 0.567592707120089 , 0.411663425063487 , 0.313309579534251 , 1.37661696140308 , 1.61265563000024 , 1.3153425558908 , 1.93109740628681 , 0.836823846227762 , 1.67450457503503 | 0.1141633 |
| 6 | 20 | 0.0 | 0.0 | 0.5 | control , control , control , control , control , control , control , control , control , control , control , control , control , control , control , control , control , control , control , control , intervention , intervention , intervention , intervention , intervention , intervention , intervention , intervention , intervention , intervention , intervention , intervention , intervention , intervention , intervention , intervention , intervention , intervention , intervention , intervention , 0.53528796396515 , 0.69300443501524 , -0.29364879266855 , 0.345977484311087 , 0.307910125562733 , 0.392576184414739 , 0.101974015192064 , 0.199321893916262 , 0.266946620058174 , 0.140683795956088 , 0.135206918956062 , -0.400049467231181 , 0.572085495908785 , 0.731350143640154 , -0.220707324461885 , 0.292427904242127 , 0.654742440083741 , -0.706591906320311 , 0.198494918350281 , -0.590595820230256 , -0.131889650404773 , 0.998417945970644 , 0.296685887631919 , 0.764095746991408 , 0.653382241252525 , -0.48539041546501 , -0.653940494379506 , 0.368081384756427 , -0.251410920402017 , -0.156350326990464 , -0.32788865513166 , -0.554656307849719 , -0.574603908578454 , -0.0804445685379524, 0.354357449842563 , -0.0662983798302718, 0.46394353751571 , 0.785709981863749 , 0.82318903299073 , 0.266326810603822 | 0.7732469 |
| 6 | 20 | 0.0 | 0.0 | 1.0 | control , control , control , control , control , control , control , control , control , control , control , control , control , control , control , control , control , control , control , control , intervention , intervention , intervention , intervention , intervention , intervention , intervention , intervention , intervention , intervention , intervention , intervention , intervention , intervention , intervention , intervention , intervention , intervention , intervention , intervention , 0.190674134967774 , -1.45071828839338 , -0.215432866671003 , 0.253134990881807 , -0.728134347885984 , 0.113202864878883 , 0.384170298813534 , -0.500793048898471 , -0.701166281102259 , 0.262994845022647 , 1.06915562253616 , 0.160592148903778 , 0.91376314613933 , 0.460932807667239 , -0.0740458392039865, -0.266283369322807 , 0.0768504347350317 , 0.298921608984083 , 1.39921809177109 , 0.582190876999198 , 0.363298217832025 , 1.34025438797116 , 1.07618809573209 , 0.232710099555643 , 0.557918882056913 , -0.93941136674138 , -0.511620536654454 , -0.770073466402971 , 0.86303459550747 , 1.46650609058126 , -0.729746500346053 , -2.16671944198742 , -0.391648103362497 , 3.56565169747469 , 1.05781598577242 , 0.3910628528353 , 1.50982656008709 , -0.104588368348859 , -0.521542781281308 , 0.857707110111408 | 0.4317963 |
| 6 | 20 | 0.0 | 0.1 | 0.5 | control , control , control , control , control , control , control , control , control , control , control , control , control , control , control , control , control , control , control , control , intervention , intervention , intervention , intervention , intervention , intervention , intervention , intervention , intervention , intervention , intervention , intervention , intervention , intervention , intervention , intervention , intervention , intervention , intervention , intervention , -0.0720118149382028, -0.119113213165988 , -0.25192767747812 , 1.04315380154631 , 0.247024361085184 , -0.542040818598117 , -1.13669493856589 , -0.515692850759415 , -0.0541983249084911, -0.0173354063630177, 0.792327842044913 , 0.297237972760774 , -0.432721264529454 , 0.394986661561084 , 0.545572147092101 , 0.546222799733702 , 0.483332490453107 , 0.126383380101879 , 0.517721342048293 , 0.0767233331547703 , -0.178060600256251 , 0.725707795700088 , 0.459790139828897 , 0.28442592285379 , -0.104035004324156 , -0.19501721792263 , 0.360758740867361 , -0.536115622808259 , 0.0376486131282466 , -0.283819417291724 , 0.00323450676190905, -0.909596697531943 , -0.3583666930373 , -0.125418954196762 , 0.156676857132463 , 0.22591660305851 , -0.215472042875114 , 0.216847850047322 , -0.318687954149416 , 0.239812069709096 | 0.3982478 |
| 6 | 20 | 0.0 | 0.1 | 1.0 | control , control , control , control , control , control , control , control , control , control , control , control , control , control , control , control , control , control , control , control , intervention , intervention , intervention , intervention , intervention , intervention , intervention , intervention , intervention , intervention , intervention , intervention , intervention , intervention , intervention , intervention , intervention , intervention , intervention , intervention , -0.147212663831242 , -0.829578297375795 , -0.345359689812105 , 0.136308113177632 , 0.730037821381946 , -0.750023569955001 , 0.117490865455251 , 2.4649232747639 , 0.306202155982897 , 0.888745658953626 , 1.14605455258772 , 0.461745899936765 , -0.108950663537308 , -0.990941433656515 , 1.48502432900457 , -0.0696257651289889, -0.105096160391309 , -1.4357020803556 , 0.0397076984945712 , -0.375729023944275 , -1.84027283597261 , 2.44515798187808 , 1.00240105935177 , -1.32032428561393 , -1.74010478191656 , -0.326114797869409 , -0.580120935096879 , 0.530041303754346 , 0.206014896634814 , -0.252719769357126 , -0.730093718050114 , 1.07657597729236 , 0.780719142578494 , 0.423377365869311 , -1.391193699455 , 0.410135575740116 , 0.423374391574363 , 0.644821344746182 , 1.21552486520097 , 0.864742968280817 | 0.9038936 |
| 6 | 20 | 0.5 | 0.0 | 0.5 | control , control , control , control , control , control , control , control , control , control , control , control , control , control , control , control , control , control , control , control , intervention , intervention , intervention , intervention , intervention , intervention , intervention , intervention , intervention , intervention , intervention , intervention , intervention , intervention , intervention , intervention , intervention , intervention , intervention , intervention , 0.63506400524584 , -0.307924304638103 , -0.167890884012034 , 0.274169637210795 , -0.603889305668986 , -0.682494233368318 , 0.0712756678604604 , -0.0927436215722535, -0.207689212211968 , -0.0115943503964115, -0.0392880343485341, -0.523031221230727 , 0.555851981422609 , -1.11792946537067 , -0.0341610823329864, 0.344735416169749 , 0.220850354173512 , 0.323076063274293 , 0.359815830564756 , 0.229319866865682 , 0.477923538472615 , 0.00530434962016529, -0.0121036708171417, 0.191775767364758 , 0.445001759413437 , 0.813247996079853 , 1.04116001823973 , 1.16958097688501 , 0.17437132971846 , 1.08888124640293 , -0.381163465832079 , 0.6226910192055 , -0.0152861710029129, -0.608029927271848 , 0.480124017788057 , -0.39421260571098 , 0.707435818038962 , 0.342853520112924 , 0.864590494986105 , 0.297844578494067 | 0.0106636 |
| 6 | 20 | 0.5 | 0.0 | 1.0 | control , control , control , control , control , control , control , control , control , control , control , control , control , control , control , control , control , control , control , control , intervention , intervention , intervention , intervention , intervention , intervention , intervention , intervention , intervention , intervention , intervention , intervention , intervention , intervention , intervention , intervention , intervention , intervention , intervention , intervention , 1.63183729581253 , 0.56583758969092 , -1.24883660651559 , -1.13767282416041 , 0.227769182322434 , -0.123181958576822 , 0.767652038351537 , -0.216632555550701 , -0.576953896001633 , -0.624089574942183 , 1.01307712928811 , 0.297649569591391 , 0.24776041026615 , -0.929949240426014 , 0.652032353827365 , 0.370857397964706 , -1.65612324600621 , -0.410465765179317 , 1.68605203903266 , -0.530138909538834 , 0.846949070374372 , 1.61227853406556 , -1.33000925846752 , -0.0164161433291659, -0.742323119535187 , 0.404610032236389 , 0.950560434610471 , 0.867401902992553 , 1.41080132126517 , 1.18610597695342 , -0.449904223839448 , -0.217462505556689 , -0.205468926182618 , 0.19968753747221 , -0.407989240613161 , 1.94025564715409 , 0.0116387890475189 , 0.840809579612431 , 0.996088626167764 , -1.25762160553079 | 0.2608977 |
| 6 | 20 | 0.5 | 0.1 | 0.5 | control , control , control , control , control , control , control , control , control , control , control , control , control , control , control , control , control , control , control , control , intervention , intervention , intervention , intervention , intervention , intervention , intervention , intervention , intervention , intervention , intervention , intervention , intervention , intervention , intervention , intervention , intervention , intervention , intervention , intervention , -0.119895477012021 , -1.63702016092687 , -0.403507537496507 , -0.430149865383746 , 0.684039610382782 , 0.199458676816028 , -0.189889195177477 , 0.19851116120162 , 0.151893310453464 , 0.480431233507632 , 0.29095466676205 , 0.958648951077469 , 0.0642229427073672 , 0.825867327760452 , 0.262221434437957 , 0.0557017122735118 , -0.376506755434934 , 0.314794738714439 , 0.857690342890187 , 0.708438478360357 , 0.424195572202413 , 0.964255364824376 , 0.880401870088171 , 1.30233312383163 , 0.528649116404515 , 1.01612364328977 , 0.18156123086912 , 0.0860987971568887 , 0.883096923224828 , 0.285257649937784 , -0.0389969976730479, 0.258837565931342 , 0.0225045714123442 , 0.64465000728286 , -0.833458412857323 , 0.414823774230847 , 0.970771594017343 , 0.588701675121086 , -0.246114531755668 , 0.437004640307224 | 0.1000705 |
| 6 | 20 | 0.5 | 0.1 | 1.0 | control , control , control , control , control , control , control , control , control , control , control , control , control , control , control , control , control , control , control , control , intervention , intervention , intervention , intervention , intervention , intervention , intervention , intervention , intervention , intervention , intervention , intervention , intervention , intervention , intervention , intervention , intervention , intervention , intervention , intervention , -1.09456763709488 , 2.40846603967397 , 1.66361449486047 , 1.31942855709417 , -0.530460969260525 , 0.973649088455766 , 1.08582686303016 , -0.0808332578107168, 2.12853184828876 , 0.75046536136535 , -1.11447234392475 , 1.05689255592648 , -1.48761383275836 , 1.33070507679983 , 0.174452925352639 , -1.27452027903451 , 0.379886515979157 , 1.16697013596563 , -1.16704166115092 , -1.3536244251932 , 1.17924674344491 , 0.247876639570764 , -0.0584325783097651, -0.297388192647372 , -0.744193250101644 , 1.44170041064917 , 1.01187600175884 , -1.22975939805161 , 0.0186898327221007 , 0.0868463788285199 , -0.0857451272740303, 1.03251339671841 , 1.50508922779891 , 0.840289414291468 , 0.356928857205901 , -0.387173094158054 , -0.389022581627655 , -0.209251625274796 , -0.191386916910634 , 1.81744833838426 | 0.9538644 |
| 6 | 50 | 0.0 | 0.0 | 0.5 | control , control , control , control , control , control , control , control , control , control , control , control , control , control , control , control , control , control , control , control , control , control , control , control , control , control , control , control , control , control , control , control , control , control , control , control , control , control , control , control , control , control , control , control , control , control , control , control , control , control , intervention , intervention , intervention , intervention , intervention , intervention , intervention , intervention , intervention , intervention , intervention , intervention , intervention , intervention , intervention , intervention , intervention , intervention , intervention , intervention , intervention , intervention , intervention , intervention , intervention , intervention , intervention , intervention , intervention , intervention , intervention , intervention , intervention , intervention , intervention , intervention , intervention , intervention , intervention , intervention , intervention , intervention , intervention , intervention , intervention , intervention , intervention , intervention , intervention , intervention , -0.144634058812418 , -0.129867681481331 , 0.75560905762395 , -0.207890317594353 , 0.0151181517008036 , -0.111694634579666 , -0.675976913045163 , -1.16930853414982 , 0.419012069592095 , 0.00766499626960714 , -1.17784508899771 , -0.785467952935771 , 0.0866635969880505 , 0.222520601689697 , 0.141447279307868 , -0.316865413996163 , 0.0973030537210486 , -0.478240401716908 , -0.234750894168379 , 0.594679556754829 , -0.514137204173593 , -0.450248129768067 , -0.711929615920091 , -0.107672216112696 , 0.170367110283308 , -0.148769950576516 , 0.0448957426895623 , 0.652786746477192 , 0.881932691799273 , -0.832065554649785 , -0.0572172191016564 , 0.68665992315461 , -0.243720024141341 , 0.211936548734934 , 0.255364964570004 , 0.0107377858959105 , -0.58860303625618 , -0.344614589048425 , 0.0868883373883014 , 0.275638238654367 , -0.424038175658809 , 0.42724332418193 , -0.888611332639252 , 0.595537951641945 , 0.430411334431799 , 0.237749775135701 , 0.27632762177226 , -0.334586299604269 , -0.472932725936116 , -1.03846134429806 , 0.438883944558973 , -0.357610828852923 , 0.0942794478838709 , 0.39403296371781 , -0.376004700312701 , 0.022841975506642 , 0.402432387943517 , 0.118522171609606 , -0.591510898007463 , -0.154684873929699 , -0.246035222518102 , -1.16220214207141 , -0.0218422096407093 , 0.49590926124321 , -0.535110912067255 , -0.196975066719253 , -0.504445099336196 , 0.482337560375214 , 0.624413071689283 , 0.213985219577956 , -0.431862599603518 , -0.165652316147971 , 0.108939864809325 , -0.666720099538431 , 0.704185407447775 , 0.447681734155475 , 0.265069697748641 , -0.110886986872126 , -0.94863621071427 , -0.355272243137162 , 0.607165582687736 , -0.737733375299418 , -0.632415847703778 , -0.254408811273185 , 0.434127991796521 , 0.0807596329116619 , -0.0451909096073605 , 0.799594122914312 , 0.596643524503346 , 0.382392546608716 , -0.537842346246901 , -0.718376835083546 , -0.444181152931952 , 0.0476283676294442 , 0.714284476459222 , 0.0814945814630991 , -0.00794274266340401, 0.143927276808073 , -0.348226921821253 , 0.0461466866961858 | 0.5123768 |
| 6 | 50 | 0.0 | 0.0 | 1.0 | control , control , control , control , control , control , control , control , control , control , control , control , control , control , control , control , control , control , control , control , control , control , control , control , control , control , control , control , control , control , control , control , control , control , control , control , control , control , control , control , control , control , control , control , control , control , control , control , control , control , intervention , intervention , intervention , intervention , intervention , intervention , intervention , intervention , intervention , intervention , intervention , intervention , intervention , intervention , intervention , intervention , intervention , intervention , intervention , intervention , intervention , intervention , intervention , intervention , intervention , intervention , intervention , intervention , intervention , intervention , intervention , intervention , intervention , intervention , intervention , intervention , intervention , intervention , intervention , intervention , intervention , intervention , intervention , intervention , intervention , intervention , intervention , intervention , intervention , intervention , 0.347793801787592 , 0.899381467366432 , -0.598147472142992 , 0.421226150308925 , 0.732845717191389 , 0.625132053627995 , -1.69041495441398 , 0.589380935399245 , -0.627430632986045 , 0.233864221154622 , -1.0595518681231 , -0.66712010424179 , -0.136379753797986 , -1.25934748568616 , -1.34576646092495 , 0.895482911515059 , -0.939966709010139 , -0.450963256867801 , -0.637923324771861 , -0.431396807264828 , -0.646768480501203 , -1.31504635627133 , -1.35295316429634 , 1.62899660220771 , 0.218996586458298 , 0.789494428839032 , -1.05684626325434 , 0.016951482140737 , 0.654108832765499 , -1.06203686974367 , 0.507341806860504 , -0.401625016442064 , 1.71257458471353 , 0.647791830864628 , 0.529927018988165 , -1.02202274211407 , -0.0805501803134257, 0.0954798864702147 , -1.32437634506822 , 1.81905446338762 , 0.726606873472002 , 0.888055203026398 , -0.245141823115783 , 1.37120972766694 , 0.41210505508059 , 0.369693397888766 , -0.0668757328532976, 1.18748984823625 , 0.00662090356759217, 1.26120475917909 , -1.06966058937095 , 0.570685353601532 , -0.717899898092134 , -0.301734285078985 , 0.166132071324643 , -0.392911989727152 , -0.246913859479103 , 0.421109858877344 , -0.787389557638609 , 1.02088383350127 , 1.43951718141028 , -1.07627351528051 , -0.374549086427527 , -1.10076448115551 , 0.9197257702632 , 2.14365277405669 , 0.623409890329835 , -1.06843155137873 , 0.0679650640796419 , 0.139111100601229 , 0.0499314491337306 , 1.24080055912105 , 0.522921117461684 , 1.01774923045758 , 0.552905387419067 , 1.21800501550594 , 1.33766367372633 , 0.979342077435492 , 2.04365238713459 , 0.627641885578029 , 1.21929655960184 , 1.45343267629813 , 0.90503211471056 , -0.441932739298773 , -0.0102709343856106, -1.23230778545056 , -1.9844865039743 , -0.0164637850774529, 0.0832844181980329 , 1.37822249399753 , 0.662865081641586 , 0.321639695176366 , -0.27896087204036 , 0.457937655388918 , 0.612728712163542 , 1.38089985577878 , 0.284430075760826 , 2.32091239229135 , 0.512128534211284 , -1.27239332846871 | 0.1069776 |
| 6 | 50 | 0.0 | 0.1 | 0.5 | control , control , control , control , control , control , control , control , control , control , control , control , control , control , control , control , control , control , control , control , control , control , control , control , control , control , control , control , control , control , control , control , control , control , control , control , control , control , control , control , control , control , control , control , control , control , control , control , control , control , intervention , intervention , intervention , intervention , intervention , intervention , intervention , intervention , intervention , intervention , intervention , intervention , intervention , intervention , intervention , intervention , intervention , intervention , intervention , intervention , intervention , intervention , intervention , intervention , intervention , intervention , intervention , intervention , intervention , intervention , intervention , intervention , intervention , intervention , intervention , intervention , intervention , intervention , intervention , intervention , intervention , intervention , intervention , intervention , intervention , intervention , intervention , intervention , intervention , intervention , -0.114929718722222 , 0.273123364462181 , -0.202622385256589 , -0.327770871433259 , 0.875410301883124 , -0.310724664981481 , 0.849696920222962 , 0.300527388590163 , 0.180065537968169 , 0.51724754663634 , 1.03544747667315 , -0.502922108227228 , 0.65872444197755 , 0.125468219126011 , -0.292616192585242 , 0.3301853134552 , 0.0759836424972761 , 0.324778312401271 , -0.0208484732359907, 0.500417680756993 , 0.412777293770854 , 0.673554896585723 , -0.539075396832679 , 1.12225584149877 , -0.973396802751408 , -0.223778132085041 , 0.672024943453043 , -0.0591757515460545, 0.429082535927624 , -0.394392172153072 , -0.0375639962969885, 0.167901615810232 , -0.214747282154749 , -1.45056102128352 , -0.140035916202259 , -0.0645791763045737, -0.257295431922628 , 0.859947386255617 , -0.392273725145937 , -0.237769510808 , 0.634383563402719 , 0.643381972562195 , -0.341759581884739 , 0.0102488365757462 , 0.773396444609299 , 1.22528397869305 , 0.153222199801377 , 0.475089873554181 , 0.668629869828351 , 0.0846433071561261 , -0.117462079412402 , -0.444175204262498 , 0.2040731168934 , 0.481336036259194 , -0.262913960824165 , 0.302624612042338 , 0.08626799820937 , 0.288408528552475 , -0.304398505370656 , 0.765740685951625 , 0.116290244657624 , -0.389483593358093 , -0.791240970850127 , 0.035063362994671 , -0.66049887197585 , 0.231518872533547 , -0.802208661756525 , 0.256201490427746 , -0.329442579908801 , 0.312833396317633 , 0.519486813699698 , -0.0632957338879247, 0.654602983425799 , 0.00393565590474789, 0.53649699675308 , -0.707908485043785 , 1.04623722202897 , -0.204563270672567 , 0.0779323137116801 , -0.3573197610727 , -0.167068793447845 , -0.218452448300179 , -0.275954838109057 , 0.193265324616396 , -0.472912502013519 , 0.32380574959788 , -0.120328682034309 , 0.360203142476109 , -0.54780416959954 , 0.591227529496404 , -1.015525674237 , -0.220688447173762 , 0.488756730179632 , -0.480739727211763 , 0.447332088133815 , -0.415515071229492 , -0.105520215476796 , -0.642196030156877 , -0.924340364210548 , 0.423129237950886 | 0.0458201 |
| 6 | 50 | 0.0 | 0.1 | 1.0 | control , control , control , control , control , control , control , control , control , control , control , control , control , control , control , control , control , control , control , control , control , control , control , control , control , control , control , control , control , control , control , control , control , control , control , control , control , control , control , control , control , control , control , control , control , control , control , control , control , control , intervention , intervention , intervention , intervention , intervention , intervention , intervention , intervention , intervention , intervention , intervention , intervention , intervention , intervention , intervention , intervention , intervention , intervention , intervention , intervention , intervention , intervention , intervention , intervention , intervention , intervention , intervention , intervention , intervention , intervention , intervention , intervention , intervention , intervention , intervention , intervention , intervention , intervention , intervention , intervention , intervention , intervention , intervention , intervention , intervention , intervention , intervention , intervention , intervention , intervention , -0.212965140969307 , 0.182847060790849 , -0.324913894237457 , 0.0931054793179619 , -0.208069764204865 , -0.490257447347697 , 0.847750076016467 , -0.0838680601378353, -0.717840777706119 , 0.27150611219582 , 2.70089630048013 , -1.29979835506185 , 0.0922556158169491 , 0.12115222455618 , -0.728478599813502 , 0.391950397741869 , 0.70092317903373 , -0.67888780774307 , -0.626092357135867 , 0.103886658815954 , 0.604156540084161 , 2.2177900622534 , 0.472609746240501 , 0.58716772613198 , 1.94732513427032 , 1.75521690310054 , 0.991102995910012 , 1.32766173465772 , 1.94498684502891 , -0.66960860507246 , 0.797308424595043 , -0.818596383521845 , 0.952946607109691 , 0.278394721189015 , -1.22295666580117 , 0.404688109610687 , 0.999584372042954 , -0.793066737130399 , 1.95167101852905 , 0.957506873804316 , -1.53723183759304 , 1.37361727424598 , -0.210568819706393 , 0.514202135875086 , 0.634622257408961 , 0.340204165833674 , -1.26581729233216 , -2.65660752250883 , -0.231024499456736 , 0.3985446587857 , -0.584388100361676 , 0.383922399625616 , -0.879712430243766 , 0.207949660117352 , 1.95707778119432 , -2.07231389327795 , -0.178037787312465 , -0.659355080130362 , -1.46220392374863 , -0.301473837633232 , -1.16883825939173 , 0.204817065919599 , 0.963679921577277 , -1.3179025505039 , 1.339285897625 , 0.680335320688666 , 0.59478918212947 , -1.65013724474902 , 0.118431091703435 , -0.382144329275137 , 1.60059859188675 , -0.57715182890717 , -0.217043757441777 , -0.305429261527019 , 0.155912728950831 , 0.128642607470394 , -0.934005702385057 , 0.0742106938092228 , 0.716192332858484 , 0.688809402908206 , -0.247704444672906 , 0.40713196429401 , 0.856717616016673 , -0.289015229897297 , 1.22389159807243 , 0.119321761697525 , 1.11461748059296 , 1.23498845429176 , -1.01616550643207 , -0.462384845445032 , 0.738895930213111 , -0.398650257005719 , 0.0248337755031891 , 2.17423715308786 , 0.272920933576606 , -1.01018106454759 , 1.88910602685115 , 0.487870392611873 , 1.3256562551923 , -1.14883947060599 | 0.4443809 |
| 6 | 50 | 0.5 | 0.0 | 0.5 | control , control , control , control , control , control , control , control , control , control , control , control , control , control , control , control , control , control , control , control , control , control , control , control , control , control , control , control , control , control , control , control , control , control , control , control , control , control , control , control , control , control , control , control , control , control , control , control , control , control , intervention , intervention , intervention , intervention , intervention , intervention , intervention , intervention , intervention , intervention , intervention , intervention , intervention , intervention , intervention , intervention , intervention , intervention , intervention , intervention , intervention , intervention , intervention , intervention , intervention , intervention , intervention , intervention , intervention , intervention , intervention , intervention , intervention , intervention , intervention , intervention , intervention , intervention , intervention , intervention , intervention , intervention , intervention , intervention , intervention , intervention , intervention , intervention , intervention , intervention , -0.261847713395513 , 0.475973237683232 , 0.472282114798744 , 0.384314955269862 , 0.014880178272914 , 0.474020000623558 , 0.308495059763669 , 0.36717099150182 , 1.05331060247414 , 0.71059217357893 , -0.324307164511549 , 0.677920689075263 , 0.047402137666967 , -0.240791260249074 , -0.331014686007247 , 0.424057485046391 , -0.207301649477849 , 0.701341998344494 , -0.0859494519418674 , -0.132287517216199 , -0.356030865630572 , 0.0420034953105858 , -0.858304382500049 , -0.0202408011515899 , 0.574645311300903 , 0.490788830618498 , -0.319168137221413 , -0.224064675334465 , -0.440375541927933 , -0.77195949291752 , 0.309248375662584 , -1.258153349878 , -0.38609055829016 , 0.317708389462503 , -0.075728450239452 , -0.35641704184849 , -0.131705035637447 , -0.721668260542014 , -0.567702540770858 , -0.45728636282564 , -0.492863965121051 , -0.045668967785323 , 1.23707044782943 , -0.58880245212487 , 0.161990461840964 , -0.00141476095194581, -0.362581835192229 , 0.0349281805321128 , 0.339792836810767 , 0.014568774631795 , 0.0185428701071168 , 0.65384493806754 , 0.501440288346213 , 0.653989767794694 , 0.455356945781438 , 0.220097996461296 , 1.11211267193683 , -0.186178877556309 , 0.0539819876747163 , 0.953668379242857 , 0.566630973862374 , 0.167823341947606 , 0.928208768124729 , 0.637468057075639 , 0.933892825561118 , 0.113154141481302 , 0.352876579867588 , 0.385013828514704 , 0.405433545939847 , 0.559850639647432 , 0.35808080785871 , -0.197261613788117 , 0.315915520388136 , 0.623715095342767 , 0.395185350298236 , 0.0869784083000497 , 0.720384055716972 , 0.77071582626275 , 1.22785909680377 , 0.477201438796257 , 0.802765525139378 , 0.153791366000286 , 0.681135764403227 , 0.468203164837487 , 0.296000892483832 , -0.10384306311273 , 0.29062108272324 , 0.0895026472243328 , 0.500923782515996 , -0.00176612436753754, 0.277275804239853 , 0.730894788001764 , 0.201173336664612 , 0.038373404419174 , 1.14519730206959 , 0.373698533336594 , -0.0298554606213028 , 0.382599202095586 , 0.932232673361149 , 0.544492157995768 | 0.0000010 |
| 6 | 50 | 0.5 | 0.0 | 1.0 | control , control , control , control , control , control , control , control , control , control , control , control , control , control , control , control , control , control , control , control , control , control , control , control , control , control , control , control , control , control , control , control , control , control , control , control , control , control , control , control , control , control , control , control , control , control , control , control , control , control , intervention , intervention , intervention , intervention , intervention , intervention , intervention , intervention , intervention , intervention , intervention , intervention , intervention , intervention , intervention , intervention , intervention , intervention , intervention , intervention , intervention , intervention , intervention , intervention , intervention , intervention , intervention , intervention , intervention , intervention , intervention , intervention , intervention , intervention , intervention , intervention , intervention , intervention , intervention , intervention , intervention , intervention , intervention , intervention , intervention , intervention , intervention , intervention , intervention , intervention , -0.54990040503531 , 1.51828305098454 , -1.14157333824734 , 0.899004365539203 , -0.582887755290484 , -0.0393899056057407 , -0.279684384996312 , 1.41039746485095 , -2.56361874393396 , -1.11252111293722 , -0.375550003896209 , 0.709902112100099 , -0.155420472928423 , -2.23171281842274 , 0.180217849348109 , 1.32517698083139 , -0.850159349581119 , 0.996954173366688 , 1.08532380549635 , -1.16647375626408 , 0.993290701298671 , -2.09611002989057 , -0.927779725835573 , -0.239925545082753 , 0.401205527538743 , 1.57300840370793 , 0.90491168405219 , 0.141185507219521 , -0.166861048897215 , 0.466981545685268 , -0.0149129562687129 , 0.82965113687185 , -1.44502998028265 , 0.516286143713926 , 1.10274507629749 , -0.329839167151843 , -0.822049730919664 , 2.73228837667237 , -1.47133867974578 , -0.375878048169912 , 2.53052699235986 , 2.19765624081002 , 0.311441676242323 , 2.53836768515786 , 0.80227768098036 , 0.93951990171306 , 1.43171369716997 , -1.57078268084764 , -0.0199833304991922 , 1.32150195940059 , -1.48350741456523 , 0.604591786246613 , 0.900892248758843 , -0.167307430868941 , -0.0839104936766651 , 0.153204288037278 , -0.0504419488657846 , 1.48207673627584 , -0.0145160355726383 , 0.631641932133431 , -0.00171301399127377, 1.74504874797156 , 0.0322334532350523 , -0.934176797243051 , -0.306314960572701 , 0.439838789400329 , 0.211168553268049 , 1.07134882729968 , 1.04395205608426 , 1.32983223347483 , 1.22561365149081 , -0.493684178712607 , -0.953706490174649 , -0.493348073603172 , -0.094165572621905 , -0.19774297894978 , 0.138677114746337 , -0.101894372892657 , -0.79205280358253 , 0.270079290532966 , 1.01072417404811 , 0.0961980110622214 , 0.827229963226855 , -0.308583506398888 , 0.0964733943943472 , -0.571534725474227 , 0.85044769819844 , 2.28489971778472 , 0.779780972629178 , 2.00858566187408 , -1.05029156773909 , 0.312678438067254 , 1.29955124333562 , -0.377601267164052 , 0.311656497759019 , 0.956740127185562 , 1.50439194257043 , 1.85225540575113 , 1.43702268598611 , 1.64184527691908 | 0.3182990 |
| 6 | 50 | 0.5 | 0.1 | 0.5 | control , control , control , control , control , control , control , control , control , control , control , control , control , control , control , control , control , control , control , control , control , control , control , control , control , control , control , control , control , control , control , control , control , control , control , control , control , control , control , control , control , control , control , control , control , control , control , control , control , control , intervention , intervention , intervention , intervention , intervention , intervention , intervention , intervention , intervention , intervention , intervention , intervention , intervention , intervention , intervention , intervention , intervention , intervention , intervention , intervention , intervention , intervention , intervention , intervention , intervention , intervention , intervention , intervention , intervention , intervention , intervention , intervention , intervention , intervention , intervention , intervention , intervention , intervention , intervention , intervention , intervention , intervention , intervention , intervention , intervention , intervention , intervention , intervention , intervention , intervention , -0.185249823464217 , 0.0105528871099138 , 0.136309570128669 , -0.318400801868813 , -0.641538021240879 , 0.0433964906463066 , -0.205850211160464 , -0.135552959361062 , -0.0704596711613033 , 0.348132044781744 , 0.508296858365042 , -0.460132732807789 , -0.0320142172230702 , 0.41652465398745 , -0.0907413062864679 , 0.301343055027385 , -0.468346143291723 , 0.538141264328984 , -0.0623272219185018 , -0.155288923910401 , 0.0804683941986631 , 1.13653544985636 , 0.0420043149469081 , 0.654652131306155 , -0.248209691175262 , 0.37936909697393 , 0.330286921943695 , -0.40007982312825 , -0.262348549993281 , 0.42367201680912 , 0.0655048354331534 , 0.458379874685581 , 0.028744518125778 , -0.867178167852877 , -0.00985621378394566, -0.937087553322136 , -0.0157593267015111 , 0.89588898656293 , -0.0965867264429486 , 0.0557723429119718 , -0.434493295745164 , -0.632848752151369 , 1.13147435699803 , 0.073389672748263 , 0.996489883846773 , 0.0104528468167572 , -0.0103048495789006 , 0.0266279284797426 , 0.0727469369545911 , 0.163914224053611 , 1.30448062573505 , -0.226671007016995 , 0.318884270995311 , 0.67125295585074 , -0.00690760605439522, 0.17160211505468 , 0.118438115454185 , 1.67185672987921 , -0.229087438326591 , -0.541234800238478 , 1.04592164437979 , 0.279984408969133 , 1.03749896459352 , 0.560276683743756 , 0.4148527765931 , 0.207746527968894 , 1.2815619152171 , 0.4519364038936 , 0.858891763408613 , -0.058852075945026 , 0.350396662364997 , -0.347486278907192 , 1.02777314442164 , 0.247900027327377 , 0.811071203401757 , 1.05645624402575 , 0.0659419561243434 , -0.315728128741854 , 0.199318060602773 , 1.02449733633554 , 0.858378549903113 , 0.389472126247128 , 0.517281774426 , 0.35978359302836 , 1.37368018366307 , 1.03309598323534 , 0.449258961090096 , 0.678557273913843 , 0.579772138641811 , 0.279411396530965 , -0.27956008690114 , 0.392007947287165 , 0.783488271967874 , 0.08899237997434 , 0.955757490670277 , 0.409204967110128 , -0.0703454558160913 , 0.0343422316628391 , 0.590572338380427 , 0.289267475471918 | 0.0000350 |
| 6 | 50 | 0.5 | 0.1 | 1.0 | control , control , control , control , control , control , control , control , control , control , control , control , control , control , control , control , control , control , control , control , control , control , control , control , control , control , control , control , control , control , control , control , control , control , control , control , control , control , control , control , control , control , control , control , control , control , control , control , control , control , intervention , intervention , intervention , intervention , intervention , intervention , intervention , intervention , intervention , intervention , intervention , intervention , intervention , intervention , intervention , intervention , intervention , intervention , intervention , intervention , intervention , intervention , intervention , intervention , intervention , intervention , intervention , intervention , intervention , intervention , intervention , intervention , intervention , intervention , intervention , intervention , intervention , intervention , intervention , intervention , intervention , intervention , intervention , intervention , intervention , intervention , intervention , intervention , intervention , intervention , 0.354529178115479 , -0.437972911472446 , -0.238485748539128 , -0.0193882636406869, -0.0464688404249564, -0.9890953629236 , -1.00171756010506 , 0.0473915537454193 , 1.59342536947647 , 0.383426196939454 , 1.39526164669541 , -0.312271997952259 , -0.802460473614265 , 0.442182746546916 , -1.01414250922354 , -0.412542505505887 , 0.906961486892337 , 0.63253235838039 , 1.30101190864393 , -0.0678789654602023, 0.91858043750493 , 0.200981085556734 , -1.27271594229608 , -0.7487201160153 , 0.1986889786401 , 1.12291053217347 , -0.463240490740783 , 0.326802952892798 , -0.334515768465453 , -0.586411777535636 , 1.9761768449156 , 1.81813958178821 , 0.556773041829966 , -1.31463073441409 , -0.186513054853679 , 0.413055020331459 , 0.316173868998847 , -0.238718499531181 , -0.575340895098368 , -0.108428691122063 , 0.0754879775539551 , 1.15122201729167 , 0.449229960323468 , -0.235346068943222 , 0.657244441337928 , -0.95159931091687 , 1.25143485901545 , 0.628733973020286 , 0.26800962771445 , -2.13514933467687 , 1.68370876421538 , 1.36263659700582 , 2.10653236287323 , 1.36735413232703 , 0.294869726947891 , 1.21560104898153 , -0.944229995796186 , 1.8141330177272 , -1.33428553219694 , 1.58948942335651 , 0.514362705733368 , 0.375947693389155 , -0.293996306127943 , 1.88915700535133 , 0.325287320816777 , 0.0455453417673806 , 1.27643733523019 , -0.789823413853352 , 1.11828511215878 , 0.754460065464207 , 0.187559400379839 , 1.20639837490354 , 0.0588050603856028 , 1.12751284303797 , -0.587889573063008 , 0.106320390737793 , 0.164003132019735 , 1.49645559261249 , -0.734452750899471 , 1.04386402003942 , 0.0700627358184456 , 0.129153781487451 , 1.30335358035801 , 0.863510043651994 , 1.21174892239222 , 0.310595638005442 , 1.78459665991914 , 0.992959360853548 , 0.177337535800775 , -0.469788844316943 , 0.50338881967747 , 2.43636121900646 , 0.809156000239879 , 0.653590638364967 , -0.312650961172383 , 0.583618107313942 , 0.351417842075816 , -0.566217365753605 , 0.917942763855409 , 0.295385905737937 | 0.0034503 |
| 7 | 20 | 0.0 | 0.0 | 0.5 | control , control , control , control , control , control , control , control , control , control , control , control , control , control , control , control , control , control , control , control , intervention , intervention , intervention , intervention , intervention , intervention , intervention , intervention , intervention , intervention , intervention , intervention , intervention , intervention , intervention , intervention , intervention , intervention , intervention , intervention , 0.526215579157169 , -0.103043406789264, -0.822393381914687, -0.157346236169424, 0.510212739565791 , -0.109630390152613, 0.786180388965039 , 0.225930118739448 , 0.301341995229137 , 0.250523732926229 , -0.364911159772894, -0.318891439390909, -1.22778953329675 , -0.349876992441349, 0.145769050206951 , -0.901116948800282, 0.726931988117676 , -0.668475406248641, -0.645437144188609, 0.790087698654351 , 0.254734893038885 , 0.174940152781865 , 0.0178237312490676, 0.132358749978241 , -0.316576275092912, -0.361959765847196, -0.358469105187207, -0.219319316005511, 0.4995935763999 , 0.542345417476119 , 0.384753698012596 , -0.341223699739105, 0.591753158876043 , 0.626885557748924 , 0.188575933709859 , 0.255812520447152 , -0.732831667918361, -0.352756403693562, 0.363950659104581 , 0.636588496169589 | 0.2992908 |
| 7 | 20 | 0.0 | 0.0 | 1.0 | control , control , control , control , control , control , control , control , control , control , control , control , control , control , control , control , control , control , control , control , intervention , intervention , intervention , intervention , intervention , intervention , intervention , intervention , intervention , intervention , intervention , intervention , intervention , intervention , intervention , intervention , intervention , intervention , intervention , intervention , 0.580668047795673 , -0.00582354014047446, -0.716426516273402 , -0.0617181389986796 , 1.36529836075468 , 1.09973705220089 , 0.348480072631919 , -0.270088470248262 , -0.186366469107139 , 0.845695480208367 , 0.823129512269991 , -0.0813981717529767 , -1.49174852141323 , -0.809692203079154 , 1.42984793208672 , -0.433877148647718 , 2.11045479398025 , 0.394478720907525 , -0.395925557358057 , 0.568002248958533 , -1.77672735905108 , 0.965324249618879 , 1.62109180776406 , 1.07278785815402 , -0.871383105495903 , -1.50808177324258 , 0.627000517524122 , 0.109061410026357 , -0.0268127871500643 , 2.0701874717724 , -1.05730104043384 , 0.951324819466436 , 1.42018858506778 , 0.587241396985667 , 0.581354871837713 , -0.0629136523917655 , -0.319688526494325 , -0.480925945566307 , 0.409806916957688 , -0.632510832503558 | 0.8145319 |
| 7 | 20 | 0.0 | 0.1 | 0.5 | control , control , control , control , control , control , control , control , control , control , control , control , control , control , control , control , control , control , control , control , intervention , intervention , intervention , intervention , intervention , intervention , intervention , intervention , intervention , intervention , intervention , intervention , intervention , intervention , intervention , intervention , intervention , intervention , intervention , intervention , -0.0856404756670271, -0.0341467437304813, 1.42135371798098 , -0.220010724679987 , -0.605348628486414 , 0.141479162226742 , 0.0431474153391377 , 0.177404077233776 , -0.37366697265521 , -0.135410360681578 , -0.114922813441387 , -0.451800245784672 , 0.526596430310815 , -0.141431630676151 , -0.348461972024287 , -0.641924913610386 , -0.0233305560921721, 0.332729610278792 , 0.1547480170247 , -0.122654235007829 , 0.340496732526551 , 0.312628623340675 , -0.316161646356784 , -0.65880468556831 , 0.346495403853443 , 0.416397213702918 , -0.632239781147536 , 0.0614546068111683 , -0.675549239532222 , -0.0621929143647711, 0.471407665316278 , 0.885366944002808 , 1.01202497882761 , -0.130520493327783 , -0.365080485055933 , 0.00243086607327443, 0.0463194594720607 , 0.841624404989904 , -0.172004951778363 , -0.500414626104555 | 0.5751099 |
| 7 | 20 | 0.0 | 0.1 | 1.0 | control , control , control , control , control , control , control , control , control , control , control , control , control , control , control , control , control , control , control , control , intervention , intervention , intervention , intervention , intervention , intervention , intervention , intervention , intervention , intervention , intervention , intervention , intervention , intervention , intervention , intervention , intervention , intervention , intervention , intervention , -1.17975085719025 , -0.853124077791815 , 0.910512894354545 , 0.415247294989253 , -1.1375654432938 , -1.40974314950469 , -0.0313264101676015, 0.478323023833572 , 0.109969815331685 , 0.616716974846174 , 1.29503802225337 , 2.20251174356439 , 0.196219038537421 , 0.686470358969242 , 1.04070693614373 , 1.22637176741456 , -0.23064426514975 , -2.08568199253896 , -0.658666703451339 , -0.757459445726738 , 1.0844522849312 , 1.57220744486113 , 0.564866900918074 , 1.30776775974597 , 0.272981956153202 , 1.47320157940202 , -1.22069241017847 , 0.336834580189411 , 0.0869343140782555 , 0.892175598204457 , 1.82309385454151 , 0.219024607607478 , -0.0578859623043394, -0.503851785386982 , -0.144423750714935 , -0.475230323595456 , 0.601218712120698 , 0.248459334732108 , 0.927881959147306 , -1.23871239523241 | 0.2671069 |
| 7 | 20 | 0.5 | 0.0 | 0.5 | control , control , control , control , control , control , control , control , control , control , control , control , control , control , control , control , control , control , control , control , intervention , intervention , intervention , intervention , intervention , intervention , intervention , intervention , intervention , intervention , intervention , intervention , intervention , intervention , intervention , intervention , intervention , intervention , intervention , intervention , -0.364812318460197 , 0.618773908215314 , 0.146331672812636 , -0.794517168264561 , -0.109202712494399 , -0.154584402513926 , -0.574059020859564 , -0.0639239684755483 , 0.141144671849562 , 0.0437518318727051 , 0.317618187405041 , -0.334285366786838 , -0.453166343928351 , 0.0831481221543245 , -0.0532819485510045 , 0.92583975928662 , -0.975447554572037 , 0.126509650769954 , 0.464478167992347 , 0.374159813972258 , 0.120796798008315 , -0.322087085515799 , 1.09293119582578 , 1.36801363608072 , 0.269964195143174 , -0.431299079771518 , 0.827643493484804 , -0.00672972235074909, 1.34278711623977 , 0.704020181500742 , 0.105769727240557 , 0.594228948475152 , -0.145024383059715 , 0.110993670868151 , 0.409355750083689 , 0.0990138902558046 , 0.274470780935997 , 0.135478993817807 , 0.403633150648646 , -0.343920343705251 | 0.0263675 |
| 7 | 20 | 0.5 | 0.0 | 1.0 | control , control , control , control , control , control , control , control , control , control , control , control , control , control , control , control , control , control , control , control , intervention , intervention , intervention , intervention , intervention , intervention , intervention , intervention , intervention , intervention , intervention , intervention , intervention , intervention , intervention , intervention , intervention , intervention , intervention , intervention , 0.704241412977781 , 2.16270058396618 , 1.06678114028761 , -0.513208753756661 , 0.387545505050099 , -1.38863995265864 , 0.621933817781851 , -1.02943354921938 , -1.42110589153792 , -0.384456949742665 , -0.395972484006846 , 1.99397303598135 , 0.805569406173296 , -0.436494425106311 , 0.379938394098808 , -0.865034577496694 , 1.57233013447948 , 0.483692375477301 , -1.14839022212379 , 1.77184242336426 , -0.156451906124567 , 0.721597450248779 , 0.911212276553475 , -1.18604116200228 , 2.49441581946649 , 0.703523129065845 , 1.50804846293458 , 0.712007562798499 , 2.13820455394422 , 1.1917586721973 , 1.5684632917378 , 2.29758519826775 , -0.0860635126949005, 0.574777558040833 , -1.25974704026905 , -0.860651486510053 , 1.73237813875265 , 0.423786251248458 , 0.790048312656996 , 1.04346771295123 | 0.1267852 |
| 7 | 20 | 0.5 | 0.1 | 0.5 | control , control , control , control , control , control , control , control , control , control , control , control , control , control , control , control , control , control , control , control , intervention , intervention , intervention , intervention , intervention , intervention , intervention , intervention , intervention , intervention , intervention , intervention , intervention , intervention , intervention , intervention , intervention , intervention , intervention , intervention , 0.503510265351475 , 0.486992232435091 , 0.013716369711531 , 0.129142766762118 , 0.0286501660233628, -0.163728589777089, 1.33416538393517 , 0.441013807706856 , -0.286701736891125, 0.200442728075548 , 0.928996237409257 , -0.476206959170753, 0.285067295929602 , 0.319288901094038 , -0.153336973930203, 0.179907873086066 , -0.415080327555417, 0.49617429349274 , 0.0935124543191374, 0.0636378280374893, 0.454920835931035 , 0.330212428638702 , 1.06580835005786 , 0.161389608024311 , 0.303494591487734 , 0.557851501961166 , -0.143518965951732, 0.368944385165948 , 0.970994703527749 , 0.233249920639393 , -0.264552469467927, 0.468155635871784 , 0.656943543911589 , 0.385410774939027 , -0.282356908591288, 0.496733011488248 , 1.93481948840704 , 0.775054455695922 , 0.723951593889689 , 0.295539871036578 | 0.0708243 |
| 7 | 20 | 0.5 | 0.1 | 1.0 | control , control , control , control , control , control , control , control , control , control , control , control , control , control , control , control , control , control , control , control , intervention , intervention , intervention , intervention , intervention , intervention , intervention , intervention , intervention , intervention , intervention , intervention , intervention , intervention , intervention , intervention , intervention , intervention , intervention , intervention , 1.17876399346438 , -2.43342883048842 , 0.0460822670103909 , 1.61233032813639 , -0.519979806293762 , 1.26035290083744 , 0.904313954626085 , 0.403410090699832 , -0.708218953408695 , -0.177986809028078 , 0.326792723193034 , -0.57793341851134 , 2.12591173805092 , 0.200757699204836 , 0.353483703844476 , -1.44911009722967 , -0.148217826236503 , 0.718800597960359 , -1.28622421845338 , 0.38414811069971 , -0.0839541153419403, 0.051982530523 , -0.729540585045865 , 1.25701669133627 , 1.11820806072893 , 0.42924360087765 , 1.58627265082594 , -0.483315342512392 , -1.20343463419827 , 1.70725543672805 , -1.91250490242649 , 1.85888668306274 , 1.35895812156702 , -0.349028567643717 , -1.06148409146313 , -0.125732046385062 , 0.138743608962872 , 1.5313247234157 , 0.310711138462277 , -0.400066446247845 | 0.6875276 |
| 7 | 50 | 0.0 | 0.0 | 0.5 | control , control , control , control , control , control , control , control , control , control , control , control , control , control , control , control , control , control , control , control , control , control , control , control , control , control , control , control , control , control , control , control , control , control , control , control , control , control , control , control , control , control , control , control , control , control , control , control , control , control , intervention , intervention , intervention , intervention , intervention , intervention , intervention , intervention , intervention , intervention , intervention , intervention , intervention , intervention , intervention , intervention , intervention , intervention , intervention , intervention , intervention , intervention , intervention , intervention , intervention , intervention , intervention , intervention , intervention , intervention , intervention , intervention , intervention , intervention , intervention , intervention , intervention , intervention , intervention , intervention , intervention , intervention , intervention , intervention , intervention , intervention , intervention , intervention , intervention , intervention , 0.267396248953674 , -0.49616702344239 , 0.16848908974831 , 0.519361447657801 , -0.573216894434663 , -0.148316374347626 , 0.243313364158799 , -0.0432885722486968 , 0.437083937691928 , 0.831755169755795 , 0.348212997681811 , 0.0218800406482352 , -0.100019987236355 , -0.182370985022349 , -0.185831951526639 , -0.00887282563775827, -0.282282188164732 , -0.40604148097192 , 0.33111864940439 , 0.420034591071297 , -0.231778455020475 , -0.802385039561673 , 0.142671350599797 , 0.222478170960146 , -0.14256545640305 , 0.0811941399489188 , -0.163065493480989 , -0.495105116216869 , -0.125785327872873 , -0.240959578952407 , -0.107139105768848 , 0.228609839204431 , -0.128704459372846 , 0.245012216858985 , 0.728458598603647 , 0.0488231806437503 , 0.550155296251786 , -0.607337054609263 , -0.380174109908461 , -1.04584976763695 , -0.157336098181555 , 0.772118047998041 , -1.25661917105786 , -0.501626972581664 , 0.327175692880082 , 0.704838733751576 , 0.420085844157093 , -0.923759488432827 , 0.348374431004632 , -0.150500978942824 , -0.410719285848205 , -0.519328736926757 , -0.348852698237196 , -0.300143277541414 , 0.131613232793643 , -0.618275873523737 , 0.122582765042369 , 0.0446264132542664 , -0.497817992166285 , 0.185502548932155 , -0.74282305685978 , -0.593453314463289 , 0.316225973373497 , 0.418106076184952 , 0.245714359884903 , -0.178199053324476 , 0.0525555030115728 , -0.999598492524952 , -0.0545289095609101 , -0.0499217087031751 , -0.0392871983210474 , -0.863638810017285 , 0.316776754876187 , -0.850487090303979 , -0.361823542316484 , -0.415723185467569 , 0.109449903858817 , 0.107757484549319 , -0.127328463100636 , -0.173182901916607 , 0.109249446296533 , -0.026507251342906 , -0.128741095179599 , -0.361966429687401 , 0.798624352240983 , 0.224462267120163 , 0.0587967402350086 , 0.798665797274139 , -0.462675762471018 , 0.327858355040358 , -1.5054716128087 , -0.142885907452062 , -0.572541103973333 , -0.223928071023662 , -0.5446873757202 , 0.192360584425357 , 0.777796823215055 , 0.25652681607455 , -0.372623261275966 , 0.541823894376927 | 0.2977989 |
| 7 | 50 | 0.0 | 0.0 | 1.0 | control , control , control , control , control , control , control , control , control , control , control , control , control , control , control , control , control , control , control , control , control , control , control , control , control , control , control , control , control , control , control , control , control , control , control , control , control , control , control , control , control , control , control , control , control , control , control , control , control , control , intervention , intervention , intervention , intervention , intervention , intervention , intervention , intervention , intervention , intervention , intervention , intervention , intervention , intervention , intervention , intervention , intervention , intervention , intervention , intervention , intervention , intervention , intervention , intervention , intervention , intervention , intervention , intervention , intervention , intervention , intervention , intervention , intervention , intervention , intervention , intervention , intervention , intervention , intervention , intervention , intervention , intervention , intervention , intervention , intervention , intervention , intervention , intervention , intervention , intervention , 0.0379172871922059 , -1.54380183033312 , 1.282574104837 , -0.551385788726366 , -0.0297618550622576, 0.252807127184984 , -1.89485981617393 , -0.473015004486757 , -0.648856227084804 , 0.942044394081673 , 0.724071591538591 , -0.243851614948939 , -0.144688804759212 , 0.719314536113706 , -0.149596819167626 , -0.568853169571228 , 1.49881216504861 , 0.18149501013452 , -0.110691098968201 , -2.41698105050978 , 1.56446972293439 , -1.40382171925517 , 0.606352504784476 , -1.01668314450483 , 0.443606217136353 , -0.653084764019191 , 0.899032674067099 , 1.01740021090868 , 0.735838102322365 , 1.23193654698327 , -2.31807985203425 , 0.789942320179667 , -0.255256456785354 , 0.060004023106336 , -0.256713154485481 , 1.09131650632448 , -1.34060574485915 , -0.180510727439069 , 0.762099969081065 , -0.296947921713616 , 0.146471594494077 , -0.40361041772093 , -0.600718043026531 , -0.46225628587843 , -0.590487094297232 , 0.290746162481065 , 0.0264386134034751 , 0.457248287325353 , 0.446217574610195 , -1.51220198810052 , 2.01108995152521 , -0.469169514107883 , -1.40890378363405 , -0.948847061374905 , -0.871807836434765 , -0.19884441054692 , 0.650444221553258 , -1.80334430051168 , -0.77810979541273 , -1.34329731851661 , 0.838932728107447 , -1.22187821199637 , 0.308172761029468 , -0.918751816226125 , 1.20733201340279 , -0.487588213476079 , -0.111050632833318 , -2.15470132316331 , -1.3712891529548 , 0.668136075975868 , 2.61421183838625 , -1.22002143969089 , 0.9117775802659 , -0.135488391320785 , -2.06293190293864 , -0.808252338806581 , -0.194689786510549 , 0.8341500362971 , -1.81217744174583 , 0.663662347274272 , 0.499549409212197 , -0.175349364777884 , 1.01133141826961 , 0.933581857586858 , -0.953034674755944 , 0.256560067659321 , -0.417729383724632 , -1.05262751066489 , -1.53756874344062 , -0.251440694137566 , 0.953187488466183 , 0.0371120970094488 , 0.117300594551317 , -1.22222110288262 , 0.152086485456251 , 0.919458490485635 , -0.295488458803205 , -0.912446499283278 , -0.415972978334831 , 2.24348660215856 | 0.5660612 |
| 7 | 50 | 0.0 | 0.1 | 0.5 | control , control , control , control , control , control , control , control , control , control , control , control , control , control , control , control , control , control , control , control , control , control , control , control , control , control , control , control , control , control , control , control , control , control , control , control , control , control , control , control , control , control , control , control , control , control , control , control , control , control , intervention , intervention , intervention , intervention , intervention , intervention , intervention , intervention , intervention , intervention , intervention , intervention , intervention , intervention , intervention , intervention , intervention , intervention , intervention , intervention , intervention , intervention , intervention , intervention , intervention , intervention , intervention , intervention , intervention , intervention , intervention , intervention , intervention , intervention , intervention , intervention , intervention , intervention , intervention , intervention , intervention , intervention , intervention , intervention , intervention , intervention , intervention , intervention , intervention , intervention , -0.0706235689910772, -0.33991447620948 , -0.81997898268796 , -0.249752885734947 , 0.710984306047387 , -0.293344964134637 , -0.0553285192897977, -0.124438213072307 , -0.645635701106128 , 0.599165410436093 , -0.367424348712296 , 0.477348655538228 , -0.636925573692398 , 0.212725625881858 , 0.585839535369433 , 0.623876256701211 , 0.199150383104824 , -0.0863932405931376, 0.261947583679508 , -0.16358919641473 , 0.441858712159521 , -0.52552114650702 , -0.480839424201615 , 0.155827450334321 , 0.196656822155174 , 0.299783963994356 , 0.260433112186425 , 0.949566758778022 , 0.720441508618964 , 0.4527808441489 , 0.579317475244145 , 0.0670187294857985 , -0.152531136783738 , 0.528899146428939 , -0.312841584747764 , -0.139889297885024 , 0.438896782878876 , -0.0435247374831676, 0.49498440894679 , 0.238680641532846 , -0.205163114338347 , -0.370540647593164 , 0.0310543984174969 , -0.162115703313413 , 0.907066384308732 , -0.011419702412729 , 0.475322218589969 , -0.0935608128143166, 0.012483378425831 , -0.996405871369488 , 0.536831026016685 , 0.00615750199842554, -0.318089187865282 , -0.43267294916043 , 0.224427052602181 , -0.255590293281504 , 0.66788631167983 , -0.306110530166992 , 0.150727468283854 , -0.124274112650784 , -0.127785478461058 , -0.545614419988917 , -0.0844963859690664, 0.658711350178888 , -0.299880311901131 , 0.885771670262713 , -0.57598235234689 , 0.874083181809185 , 0.0315473451045417 , -0.0178667399508925, -0.733303490495905 , -0.982517597208045 , -0.0183713646123621, -0.985802714771194 , -0.303465460381665 , -0.114480014415989 , -0.118256645532878 , -0.847548388784552 , -0.220961397811581 , 0.540077482232412 , 0.0824450077476169 , -0.462355445675829 , 0.10623609176376 , -0.228750379454119 , -0.451301996907699 , 0.545369774232781 , -0.294124848640675 , 0.981976874005609 , 0.153060891930366 , -1.3247302289977 , -0.721775904260225 , -0.804244305095613 , 0.827695710299707 , -0.0686444672748129, 0.44462204515329 , -0.127408758128144 , -0.2282105890689 , -0.91483489559942 , 0.0591134310006942 , -0.273525863807589 | 0.0654075 |
| 7 | 50 | 0.0 | 0.1 | 1.0 | control , control , control , control , control , control , control , control , control , control , control , control , control , control , control , control , control , control , control , control , control , control , control , control , control , control , control , control , control , control , control , control , control , control , control , control , control , control , control , control , control , control , control , control , control , control , control , control , control , control , intervention , intervention , intervention , intervention , intervention , intervention , intervention , intervention , intervention , intervention , intervention , intervention , intervention , intervention , intervention , intervention , intervention , intervention , intervention , intervention , intervention , intervention , intervention , intervention , intervention , intervention , intervention , intervention , intervention , intervention , intervention , intervention , intervention , intervention , intervention , intervention , intervention , intervention , intervention , intervention , intervention , intervention , intervention , intervention , intervention , intervention , intervention , intervention , intervention , intervention , 0.225046299378306 , -1.14763634864546 , 0.768622138831061 , 0.860021899148564 , 0.586987843149595 , 0.154092029672154 , 0.500628905319482 , -0.0800994074447103, -1.24274263121397 , 0.83274198215887 , 0.645292731857894 , 0.685337428466509 , 0.32329757820901 , 1.03901961992407 , -1.35083076904733 , -1.07128626910378 , 0.65589265416369 , -0.553439153004182 , -0.481207055817563 , -0.439846537526626 , 0.449354499996833 , -0.997443783750985 , -0.658569078202468 , 0.155769359981983 , -0.37145293792512 , 2.60143801726281 , -0.218818098369342 , 1.31421951717125 , -0.800925753084194 , 0.456331399525743 , 0.226688549639232 , -0.0469612130881788, -0.420730822442053 , -0.535216212094174 , 0.91850538062947 , -0.597947390858563 , -0.540468128599435 , -1.32782029809808 , 0.0886141104572797 , 1.82822000415318 , 0.0681684175612499 , -0.104941464293215 , 0.805692003901636 , -0.501443577854038 , 0.881796076502144 , -0.745545573884094 , 0.0211488975958001 , 0.995440453766687 , 1.28978180386589 , 0.218277313338433 , -0.658644166555343 , -2.17201870835373 , 1.34355749268776 , 2.11799988299186 , 0.44552466256627 , 0.0740552901927939 , -1.22077158177763 , 0.148170951290054 , 0.498332189325213 , 0.550549960540858 , -1.71794358910851 , -0.777208109354861 , -1.26267501350363 , -1.19450350587595 , 0.413446709304496 , -0.4066695578359 , -0.174546799148552 , 0.576538626375846 , 1.41163717812953 , 0.839953900208194 , 0.38430408013826 , 0.384705492941835 , -0.36449944952358 , -1.13052959179494 , 1.64742683618669 , -0.0388750826691422, -0.0285174574215575, -1.51592390404194 , 0.377878785523904 , 0.652324005292458 , -0.581978494402673 , -0.117758180108196 , -0.032133135761423 , 0.390105287327355 , -1.32619126493919 , 1.304401810958 , -0.550603309086335 , 2.12593080421327 , -0.412005112098687 , -0.487681458516866 , -1.00856914931822 , -0.177909509644651 , -0.505068073497138 , 1.59278989320289 , 0.455357559276736 , 0.616762819151152 , -1.07085600569192 , -0.299629688806236 , 1.20524720318787 , -0.024246391817422 | 0.5806545 |
| 7 | 50 | 0.5 | 0.0 | 0.5 | control , control , control , control , control , control , control , control , control , control , control , control , control , control , control , control , control , control , control , control , control , control , control , control , control , control , control , control , control , control , control , control , control , control , control , control , control , control , control , control , control , control , control , control , control , control , control , control , control , control , intervention , intervention , intervention , intervention , intervention , intervention , intervention , intervention , intervention , intervention , intervention , intervention , intervention , intervention , intervention , intervention , intervention , intervention , intervention , intervention , intervention , intervention , intervention , intervention , intervention , intervention , intervention , intervention , intervention , intervention , intervention , intervention , intervention , intervention , intervention , intervention , intervention , intervention , intervention , intervention , intervention , intervention , intervention , intervention , intervention , intervention , intervention , intervention , intervention , intervention , 0.391495536686368 , -0.975754436745601 , -0.398656510502133 , 0.235861410145362 , 0.165820585845423 , -0.540916533317857 , 0.168384550938873 , 1.2827659123581 , 0.219977920765789 , 0.238126102912666 , -0.43346323762933 , 0.781422540239254 , -0.310644543491161 , -0.476397056498132 , 0.158662140944151 , 0.649481545921456 , -0.204118570903539 , -0.664958880364092 , -0.116802325658958 , -0.0787886824801373 , -0.552254683731361 , 0.216336395054206 , -0.0773070335616418 , 0.468980583786926 , -0.402407160524032 , 0.0510793398738457 , 0.777237669185103 , -0.140554922012427 , 0.77318875618955 , -0.221861403387203 , 0.898467641417224 , -0.417896634273244 , -0.181635741213046 , -0.0486976436482092 , -0.02622485446605 , -0.0863827115134178 , -0.144111248365088 , -0.24030204991632 , -0.436756731900124 , -1.45187314885972 , -0.542592735545188 , 0.000803495487285114, 0.231094940152838 , -0.117884071304497 , -0.631508969304501 , -0.252687813669917 , -0.870096999802924 , 0.961963923216646 , -0.0646304020067818 , 1.07256322045518 , 0.762673632650949 , 0.708064108524206 , -0.439788830930829 , 0.527736720831062 , -0.0488546333853317 , 0.68701893915265 , 0.258651429003033 , 0.773672831906173 , 1.18624160270019 , 1.17687011676837 , -0.190916253132197 , -0.389409229820506 , 0.767282824036663 , 1.70117749300045 , 0.559492305225463 , 0.358412415040681 , -0.106057894083243 , -0.10134195785973 , 0.64234510896481 , 0.492455041633139 , 1.17136498302821 , 0.627039537525684 , 0.150383175046173 , 0.423665408118998 , 0.441457213460822 , 0.696271038157903 , 0.662640244441924 , 0.564421180093028 , -0.453386318755997 , 0.93447578019721 , 0.89968743930748 , 1.03946005265426 , 0.42049088806712 , 0.578649038822562 , 0.813606850012646 , 0.743172668590392 , 0.527695370806585 , 0.89316998048246 , 0.456484595264736 , 0.92867655071055 , 0.558179736733418 , 0.338717201243619 , 0.393077486132958 , 0.294896637181631 , 0.672622784809326 , 1.24292165101776 , 0.916242983718263 , 0.284513502145963 , 0.698098287149455 , 1.84973436692269 | 0.0000000 |
| 7 | 50 | 0.5 | 0.0 | 1.0 | control , control , control , control , control , control , control , control , control , control , control , control , control , control , control , control , control , control , control , control , control , control , control , control , control , control , control , control , control , control , control , control , control , control , control , control , control , control , control , control , control , control , control , control , control , control , control , control , control , control , intervention , intervention , intervention , intervention , intervention , intervention , intervention , intervention , intervention , intervention , intervention , intervention , intervention , intervention , intervention , intervention , intervention , intervention , intervention , intervention , intervention , intervention , intervention , intervention , intervention , intervention , intervention , intervention , intervention , intervention , intervention , intervention , intervention , intervention , intervention , intervention , intervention , intervention , intervention , intervention , intervention , intervention , intervention , intervention , intervention , intervention , intervention , intervention , intervention , intervention , 1.82278014504916 , -0.419038827781884 , 0.568175676109918 , -1.9290178779993 , -0.962275187801614 , -1.42661349929714 , -1.45958123866885 , 0.718969629858772 , -1.45491793840676 , 1.15676679443762 , 0.760021516342453 , -1.38782437990756 , -0.705080484671979 , -0.465981187667153 , -0.00632708433957781, 1.1612249897002 , -0.206081343080215 , 1.90698023318452 , 0.860242018240509 , 0.889701699353046 , -0.277832989093595 , -0.279031126621582 , 1.28253715275863 , 0.193328072303585 , 1.18740983534086 , 0.0238663832958949 , 1.21662542359759 , -1.99874707753725 , -0.626772181544608 , -0.766458878253384 , 0.213573245351452 , -0.965157307304887 , 0.331894534408464 , -0.214400230472871 , -0.345459576086217 , 2.47608344930335 , -1.06826389368404 , -0.909927696251142 , -1.22879109330235 , 1.02606371445227 , 0.10644996505522 , 0.630152895643882 , 0.974331765991096 , -1.57867556660404 , -0.543068584699539 , 2.0395875455336 , 0.567377257539556 , -1.62104121578506 , 1.91436143782488 , 1.11384006406112 , 0.896852709170136 , 1.53638597067176 , -0.679140354916847 , 0.0151674151290112 , 0.800969983721864 , 0.538226271334118 , 0.441357773589253 , 0.548464443043893 , -0.699583958020223 , 1.44316155148881 , 0.737791462680986 , -0.069473980572859 , 0.90921545830201 , 0.0071866641665756 , 1.21872997306586 , 1.14217718354332 , -0.369714651139913 , 2.78020160111909 , -1.87127525269761 , 0.500564374406228 , 0.825516607898889 , -1.07756301518761 , 0.295338879900702 , 1.05434241670217 , -0.0465827555874787 , 0.454525889034375 , -0.14511265825684 , -0.527595526853322 , -2.10637777236208 , 1.09706162250907 , 1.32108244596541 , -0.375569468826114 , 0.621447341594862 , 1.05358553163355 , -0.813086871915354 , -1.96168964052205 , 0.659388193134677 , 1.62821887753076 , 0.45579077004336 , -0.181110274057239 , 0.106489980721502 , -0.550979716925142 , 0.15540557809824 , -1.95121406104951 , 1.4717072233492 , 1.20581891988425 , 0.442984912135476 , 0.197339443657369 , -0.615781870118429 , 2.03706502082346 | 0.2628191 |
| 7 | 50 | 0.5 | 0.1 | 0.5 | control , control , control , control , control , control , control , control , control , control , control , control , control , control , control , control , control , control , control , control , control , control , control , control , control , control , control , control , control , control , control , control , control , control , control , control , control , control , control , control , control , control , control , control , control , control , control , control , control , control , intervention , intervention , intervention , intervention , intervention , intervention , intervention , intervention , intervention , intervention , intervention , intervention , intervention , intervention , intervention , intervention , intervention , intervention , intervention , intervention , intervention , intervention , intervention , intervention , intervention , intervention , intervention , intervention , intervention , intervention , intervention , intervention , intervention , intervention , intervention , intervention , intervention , intervention , intervention , intervention , intervention , intervention , intervention , intervention , intervention , intervention , intervention , intervention , intervention , intervention , 1.0465527240895 , -0.104784065941144 , -0.0416299627115551 , -0.53250405508223 , -0.279171893836046 , 1.4799784951456 , 0.121378979245556 , -0.0597689463785426 , 0.459577492265933 , 0.550241257336734 , -0.614981908325222 , 0.178400931975048 , -0.873761441257082 , 0.495641468612215 , -0.442144782667459 , -0.488208837841687 , -0.610154564199163 , 0.198791565929207 , -0.628260590496176 , 0.244742294652013 , -0.547621461988605 , 0.109155075879055 , 0.139350583015804 , 0.329591029476728 , 0.516817676702074 , -0.374000341675315 , 0.63468867049633 , -0.141124353332103 , -0.186475711729365 , 0.00904672183169904 , -0.134317402798582 , 0.845440262922373 , 0.31132488890848 , -1.20825432976442 , -1.10188736484956 , 0.268457123957552 , 0.348032680578331 , 0.129435974782822 , 0.316125580918556 , 0.627669527319483 , -0.56557280745422 , 0.704358860502227 , -0.326442552289063 , 0.222918567539753 , -0.060340767420574 , 0.125959535682196 , -0.847134301824967 , 0.35073299128105 , -0.88867907790023 , 1.38643608428357 , 1.29095386445776 , 0.543045432707392 , -0.538091373244685 , 0.917170336785247 , 0.856430988106887 , 0.0836921066743103 , 0.256907624871729 , 0.923048366464579 , -0.0525981608794404 , 0.976427654073306 , -0.162354315862025 , 0.666693295758423 , 0.861020170701063 , 1.43766464277846 , 0.11049614471693 , 0.546118731609201 , 0.711650937861741 , 0.159621493358137 , 0.70475202377714 , 0.463689923581273 , 0.842378986203511 , 0.438945423199369 , 0.449894330172187 , 0.90512502062207 , 0.156356694163624 , 1.38965684417187 , 0.767372320284299 , 0.750104711187565 , 0.277198953236952 , 0.177915495334594 , 1.64106478770633 , 0.808382261128672 , 1.32130539727936 , -0.00992074419037325, 0.375488692528164 , 0.400689742048584 , 0.0849776231958042 , 1.28480856597343 , 1.4323908273737 , 0.358456749726335 , 0.345786958652744 , 0.220629267283544 , 1.32209521772804 , -0.461307307439361 , 0.162499696044187 , -0.472394944388797 , 0.313216139764683 , 0.752243003766722 , 0.639989962673052 , 0.216517770776589 | 0.0000058 |
| 7 | 50 | 0.5 | 0.1 | 1.0 | control , control , control , control , control , control , control , control , control , control , control , control , control , control , control , control , control , control , control , control , control , control , control , control , control , control , control , control , control , control , control , control , control , control , control , control , control , control , control , control , control , control , control , control , control , control , control , control , control , control , intervention , intervention , intervention , intervention , intervention , intervention , intervention , intervention , intervention , intervention , intervention , intervention , intervention , intervention , intervention , intervention , intervention , intervention , intervention , intervention , intervention , intervention , intervention , intervention , intervention , intervention , intervention , intervention , intervention , intervention , intervention , intervention , intervention , intervention , intervention , intervention , intervention , intervention , intervention , intervention , intervention , intervention , intervention , intervention , intervention , intervention , intervention , intervention , intervention , intervention , -0.376732894951246 , 0.776202017046444 , -0.76026279915944 , -1.25867294050016 , -0.0425900911330236 , -0.500273654551142 , -0.505502648448193 , -0.320044877571332 , 0.522243525231241 , -2.31703835357566 , -0.00579897892045379, 0.798905143752788 , 0.259091506503679 , 0.0849913136244531 , 0.384590699905746 , -1.32724107844564 , 0.310638685425292 , -0.253589600556773 , -0.459777741797624 , 1.00527316484589 , -0.124490429504759 , 1.22462697729331 , -1.30846711760681 , 1.42823042350503 , -1.25910330276994 , -0.18827139664963 , 0.430834125616124 , 0.4889333544798 , -1.960990665925 , -0.218321471845102 , -1.28068923836153 , -1.52399877923531 , 1.86939396197184 , -0.00833699990903708, -0.276105483584103 , -2.73468385139692 , 0.578343188820408 , 0.373878534011915 , -0.261503128414111 , -0.904768978984565 , 1.11249258782764 , -0.222479289510343 , -2.10676851896556 , -0.656408855099505 , 1.10157689156356 , -1.29298261420371 , 1.82126476987311 , 0.355551778898332 , -0.495426630314451 , 1.70804360569805 , 1.2005613797578 , 1.40968915105741 , 0.396645936277324 , 0.197650248824158 , -0.142637228452406 , 0.0619055583888057 , 0.505668854352704 , 0.324406938432839 , 0.308448649658279 , 1.34236088751649 , -0.339119700634411 , 0.400098782594131 , -0.363017987176049 , 0.491134963512964 , -0.0423088948582631 , 0.179194127040115 , 0.69243183423716 , 2.21974059380058 , -1.1147270816992 , 0.742064029402825 , -0.793572655308868 , -0.719679591017299 , -0.137942782893649 , 1.28293163665865 , 0.454659951714982 , -0.62005219185241 , 1.17522965178495 , 0.0953796982735547 , 0.901924405950007 , -0.107912670785512 , -0.335730781508654 , 0.200632407648011 , -1.21754484591459 , 1.52904536586898 , 1.02853442926843 , 0.72355870899225 , 0.905298112499111 , 1.990705946624 , 1.56189966741763 , -1.04773771804603 , 0.874182602535105 , 1.42855917073275 , 2.40892494438501 , -0.754601647182819 , -0.562033658686359 , 0.697180143243686 , 2.02023099780457 , 1.29944763840511 , 0.565317272181846 , 2.39322797410756 | 0.0009067 |
| 8 | 20 | 0.0 | 0.0 | 0.5 | control , control , control , control , control , control , control , control , control , control , control , control , control , control , control , control , control , control , control , control , intervention , intervention , intervention , intervention , intervention , intervention , intervention , intervention , intervention , intervention , intervention , intervention , intervention , intervention , intervention , intervention , intervention , intervention , intervention , intervention , -0.129448883478633, 0.309873324076486 , -0.802505978900767, -0.305752483797542, 0.508551728227286 , -0.514821041300186, -1.03363950472228 , 0.0219190544252652, 0.734604673487064 , 0.0837674917057157, 0.139512864543449 , -0.349154770555372, 0.0358344095872369, 0.424234498688384 , 0.0245159850184796, -0.462193466808585, -0.262493770804368, 0.752541616017663 , 0.0488551938291086, 0.638844882153501 , 0.299452246588734 , -0.359033224013129, -0.961869666911621, 0.0220355148080411, -0.369303880274571, 0.395218638844091 , 0.701575187095212 , -0.101081739089714, -0.778197920767059, -0.889805091341962, -0.339925261260079, -0.343298586155682, -0.298339045537 , -0.420189821039722, 0.315299511194386 , -0.198333921939197, -0.250016633566043, 0.593443277773907 , -0.214445367190479, 0.275581939731037 | 0.3621271 |
| 8 | 20 | 0.0 | 0.0 | 1.0 | control , control , control , control , control , control , control , control , control , control , control , control , control , control , control , control , control , control , control , control , intervention , intervention , intervention , intervention , intervention , intervention , intervention , intervention , intervention , intervention , intervention , intervention , intervention , intervention , intervention , intervention , intervention , intervention , intervention , intervention , -0.207509389784582 , 1.53530806190094 , -0.356204920883613 , 1.59785219015005 , 0.212152462088427 , -1.35130310522763 , 0.622272121879931 , 0.176539198427231 , 0.342370846738841 , -1.16515929305648 , -0.29018961172575 , -0.842806893723674 , -0.0969396689898343, -0.239055231003437 , 0.0355557712537464 , 0.604143825202533 , -1.10971252003907 , -0.0617362588345116, -1.1923193878668 , 0.00469273647802895, -0.567169793946107 , 0.864053365335582 , 0.741046140572489 , -1.33155178856055 , -0.54186629200354 , -1.08533760031946 , 0.247928447040921 , 2.69307330716675 , -0.552361741131698 , 0.865411475644928 , 1.04870635883072 , -0.308149813217918 , 0.191081315855123 , -0.287232430483749 , 0.96888753655715 , 0.259489672277493 , -1.89284041813346 , 1.23055740626512 , 1.52242291345262 , -0.616468823847529 | 0.3962610 |
| 8 | 20 | 0.0 | 0.1 | 0.5 | control , control , control , control , control , control , control , control , control , control , control , control , control , control , control , control , control , control , control , control , intervention , intervention , intervention , intervention , intervention , intervention , intervention , intervention , intervention , intervention , intervention , intervention , intervention , intervention , intervention , intervention , intervention , intervention , intervention , intervention , 0.533860673878454 , 0.587586358284498 , -0.0987129924505771 , 0.188036463607059 , -0.27573234928619 , 0.203551855712255 , 1.19144685111165 , 0.593848486845441 , 0.410332471478112 , -0.428579755862218 , -0.194674751388864 , 0.00572135071068455 , 0.435526935270276 , 0.592294066315973 , 0.213090465998207 , -0.239589970792675 , -0.143579557406022 , 1.37701714688866 , -0.301892076855758 , 0.977897166342259 , -0.404433820780352 , 0.81695931990363 , -0.647890663924302 , 0.823369110008819 , -0.647137134696934 , -0.638496382668431 , 0.356529300610423 , 0.132700573993601 , 0.132339642106964 , -0.351364309948897 , -0.383192240829349 , -0.00591908920555864, -1.01604642224292 , -0.102511386250539 , 0.320670209339326 , -0.878974518460007 , -0.293620956025242 , 0.449040672471527 , 0.412301185789748 , -0.720469530508903 | 0.0183827 |
| 8 | 20 | 0.0 | 0.1 | 1.0 | control , control , control , control , control , control , control , control , control , control , control , control , control , control , control , control , control , control , control , control , intervention , intervention , intervention , intervention , intervention , intervention , intervention , intervention , intervention , intervention , intervention , intervention , intervention , intervention , intervention , intervention , intervention , intervention , intervention , intervention , 0.534413901777005 , 1.44677299807351 , 1.03943930775362 , 1.64801435252704 , 0.194291457668418 , 1.87281500617248 , -0.0818143942564339, 0.816803646092094 , -2.83876150089829 , 0.411579959249219 , 0.376947644656764 , -1.57925320824926 , -0.587424024458422 , -1.52059528737928 , -0.0846507445422599, 1.71781708420099 , -0.145989971089061 , -0.557783902619227 , 1.86723196346793 , -0.49253102663403 , 0.835064593487566 , 0.841394613965416 , -0.832202313697873 , -0.267059626004137 , -0.607749607728937 , 0.0345176802337968 , 0.693830489430182 , 0.495295399521696 , -0.815121592875947 , -1.01895639849718 , -0.800828655990736 , 0.471485512035248 , -1.30395989821126 , 0.935682205090127 , -1.41096473824971 , -1.0487296485933 , -0.811112707062068 , -0.118840155825082 , -0.45503288535607 , 1.5476694735155 | 0.2678633 |
| 8 | 20 | 0.5 | 0.0 | 0.5 | control , control , control , control , control , control , control , control , control , control , control , control , control , control , control , control , control , control , control , control , intervention , intervention , intervention , intervention , intervention , intervention , intervention , intervention , intervention , intervention , intervention , intervention , intervention , intervention , intervention , intervention , intervention , intervention , intervention , intervention , -0.0891148103676381 , 0.294899015729612 , 0.467900796704979 , -0.240805746453126 , 0.886790887846573 , -0.925870994404166 , 0.308477523423878 , -0.327680311857809 , 0.278907682812363 , -0.153877797522181 , 0.00792819116994747 , 0.0345059999674917 , 0.0573312792838758 , 0.0768198609693202 , 0.0916984800073942 , 0.165229744762955 , -0.357662444161717 , -0.397039378311669 , -0.00190045910884661, -0.472191231565684 , 0.971203163515809 , 0.221751175623722 , 0.492665298328634 , 0.635847832727912 , 0.971899337324727 , 0.582782150626694 , -0.536192596638575 , -0.573044433835245 , 0.785088417748862 , 0.878878923064723 , -0.053692099024529 , 0.812340068944369 , 0.284675465939135 , 0.286804852228585 , 0.26651178022197 , 0.120687653036075 , 0.955160368879548 , 0.070407806611207 , 0.54848699812136 , 0.4605455072166 | 0.0030023 |
| 8 | 20 | 0.5 | 0.0 | 1.0 | control , control , control , control , control , control , control , control , control , control , control , control , control , control , control , control , control , control , control , control , intervention , intervention , intervention , intervention , intervention , intervention , intervention , intervention , intervention , intervention , intervention , intervention , intervention , intervention , intervention , intervention , intervention , intervention , intervention , intervention , 0.168779089886409 , 1.62275788453089 , 1.00030425158904 , 0.132078373918595 , -2.40418331192684 , 1.36821910276436 , -1.07178684716276 , 0.113191402552752 , 0.741714406652327 , 0.162311312959266 , -1.37821442021414 , 0.219108903629709 , 0.960594474589758 , -1.70376487340947 , 0.731930376677843 , 0.371989558069152 , -0.440305716984374 , -0.798031993100421 , -0.0255016687323149, 0.522822168188388 , 0.0880380419565195 , 0.592197198118151 , 1.12208245911328 , -0.713497205281318 , 1.68946476787367 , 0.660549511091433 , -0.548531674464703 , 1.0857387581181 , -0.0659309301732677, 0.23649525106369 , 1.35073896508098 , 0.385088364103827 , 2.74213396088971 , -1.03312017006915 , 1.05226058700147 , 0.443060479192559 , 2.12340897276217 , 3.2175726180431 , 1.24469474630858 , 1.57606990914701 | 0.0165795 |
| 8 | 20 | 0.5 | 0.1 | 0.5 | control , control , control , control , control , control , control , control , control , control , control , control , control , control , control , control , control , control , control , control , intervention , intervention , intervention , intervention , intervention , intervention , intervention , intervention , intervention , intervention , intervention , intervention , intervention , intervention , intervention , intervention , intervention , intervention , intervention , intervention , -0.473329258334367, -0.757479974109512, 0.447976969029441 , 0.332350428565249 , 0.0482451149777843, -0.458214341650034, -0.479712471921552, -0.17993743869771 , -0.577492068883698, 0.0350881273560025, -0.19081312857672 , -0.143537453920841, -0.206685633564031, 0.852288099826944 , 0.651012117275531 , 0.133667253313072 , 0.920160437050906 , -0.241565407649006, 0.424150694066002 , 0.320484043206153 , 0.506769117630283 , 1.29717637964783 , 1.21466977228224 , 0.577000242427787 , -0.108685887899307, 0.124392044512161 , 0.869735959609416 , 0.0795935720604045, 0.104705142441214 , 1.12779695533847 , 0.895830052751334 , 1.1927364264844 , 0.441153758990478 , 0.426314730180252 , 0.149809209103937 , 0.535531111055069 , 0.654783015151169 , 0.712108651678718 , 0.416357245051973 , 0.553647470179831 | 0.0002782 |
| 8 | 20 | 0.5 | 0.1 | 1.0 | control , control , control , control , control , control , control , control , control , control , control , control , control , control , control , control , control , control , control , control , intervention , intervention , intervention , intervention , intervention , intervention , intervention , intervention , intervention , intervention , intervention , intervention , intervention , intervention , intervention , intervention , intervention , intervention , intervention , intervention , 1.51745373088162 , -0.580127690859006 , -0.796542296530305 , 0.496840813014949 , 0.17401193171601 , 1.50833801430352 , -0.835817731579594 , 0.596385172973621 , 0.0901445265729887 , 0.448999023271112 , -0.605557691234115 , -1.20890356586911 , 0.864849114573295 , -0.426014477205088 , -1.3066889962083 , -0.670946122324353 , 0.482288308168128 , -0.417820982074971 , -1.08311076330928 , 0.292787623960912 , -0.0718492473629079, 2.04614801830216 , 0.845081159625877 , 0.469926143200723 , 0.205038128711161 , -1.35018321694603 , -0.255460787432732 , 0.00568571509202614, 0.583044307574767 , 0.607454254429658 , 3.07194500340657 , 1.04781613044969 , 0.698821477066403 , 0.67832857820027 , 1.06896424578403 , 0.692464439083927 , -0.832669119983418 , 0.833411367920192 , 0.547398251708909 , 0.924663371276796 | 0.0233768 |
| 8 | 50 | 0.0 | 0.0 | 0.5 | control , control , control , control , control , control , control , control , control , control , control , control , control , control , control , control , control , control , control , control , control , control , control , control , control , control , control , control , control , control , control , control , control , control , control , control , control , control , control , control , control , control , control , control , control , control , control , control , control , control , intervention , intervention , intervention , intervention , intervention , intervention , intervention , intervention , intervention , intervention , intervention , intervention , intervention , intervention , intervention , intervention , intervention , intervention , intervention , intervention , intervention , intervention , intervention , intervention , intervention , intervention , intervention , intervention , intervention , intervention , intervention , intervention , intervention , intervention , intervention , intervention , intervention , intervention , intervention , intervention , intervention , intervention , intervention , intervention , intervention , intervention , intervention , intervention , intervention , intervention , 0.501285336334911 , 0.818342440331456 , 0.0909369636313885 , -0.0652123207009248 , 0.634911924259924 , -0.264216859706575 , -0.394151408582335 , 0.348465991370014 , 0.236776850437907 , -0.646184348711477 , 0.344585605535809 , 0.463567209604268 , -0.392799444952938 , 0.386398182677464 , -0.459930934229718 , -0.328287417437099 , 0.682689880895359 , -0.338973492191954 , 0.648016575150814 , 0.194912158001852 , -0.0419156709459501 , 0.64706970602993 , 0.42984597828203 , 0.279215144079732 , 0.175082334173108 , 0.982546973866184 , -0.0941955055779462 , 0.00324069131329703 , 0.55991370411228 , 0.0927291101152383 , 1.00572112294734 , 0.0985631538497041 , -0.0415551041684062 , 0.244841682110558 , 0.283598607347495 , -0.319971870236218 , -0.193169534884432 , -0.00474942320369577, 0.269041801938095 , 0.358999208931 , -0.420002672738389 , -0.468798452231169 , 0.507533970735133 , 0.114849096385204 , 0.616531518914024 , 0.378179689942345 , 0.186345404881841 , -1.25397236169362 , 8.12884529141406e-07, 0.293261493960933 , -0.0826679493736021 , -0.0731574434290648 , 0.296521537693052 , -0.454843500389705 , 0.0054100311723802 , -0.629167459170948 , -0.38237592445951 , -0.001863882335648 , 0.354226631095921 , 0.330410793987545 , 0.388781363973048 , -0.551928221036436 , -0.122220422234889 , -0.797034331724738 , 0.295945757893638 , 0.405603671412609 , -0.436336582556042 , -0.786829140791936 , -0.360126831604445 , -0.456216710999278 , -0.0324045891509891 , 0.284670803400786 , 0.223021413154568 , 0.234977368899997 , 0.269218767740972 , -0.464375203183393 , 0.345508204056128 , 0.245068794377825 , 0.185019806912468 , 0.441210481910823 , -0.51279223670714 , 0.0136393117444499 , -0.283517683022093 , -0.486998244277557 , 0.502664461802746 , 0.64798417781529 , 0.00738160274225012 , 0.721550099142251 , 0.182173637429933 , 0.107129146782707 , -0.582035675567726 , -0.360418299547037 , 0.670693235934798 , 0.679487836022265 , 0.117532926042289 , -0.628986295645986 , -0.637149698123796 , -0.199057922011629 , -0.0412806828333273 , -0.481370853492491 | 0.0386033 |
| 8 | 50 | 0.0 | 0.0 | 1.0 | control , control , control , control , control , control , control , control , control , control , control , control , control , control , control , control , control , control , control , control , control , control , control , control , control , control , control , control , control , control , control , control , control , control , control , control , control , control , control , control , control , control , control , control , control , control , control , control , control , control , intervention , intervention , intervention , intervention , intervention , intervention , intervention , intervention , intervention , intervention , intervention , intervention , intervention , intervention , intervention , intervention , intervention , intervention , intervention , intervention , intervention , intervention , intervention , intervention , intervention , intervention , intervention , intervention , intervention , intervention , intervention , intervention , intervention , intervention , intervention , intervention , intervention , intervention , intervention , intervention , intervention , intervention , intervention , intervention , intervention , intervention , intervention , intervention , intervention , intervention , 0.0541918431178687 , 2.57701468979477 , -0.101111646094987 , 0.0149664568354463 , 0.132731337776364 , -0.411250558833419 , 0.421090213751682 , -1.95439358392448 , 1.63319412593776 , -0.321731510476942 , 0.245947144246768 , -0.805373235612971 , 1.19241149457279 , -1.42497314638439 , 0.0106422039962056 , 0.158541580445169 , 1.32953303345764 , 1.09601287421754 , -0.969733622500137 , -0.821897276199452 , 0.142144868142717 , -0.921781386819373 , 0.128700958145469 , -1.14604538517546 , -0.369840002572737 , -0.708459744232922 , 0.28918668248238 , 0.217853738727222 , 0.0188364124367922 , 0.15487608487003 , 0.274078754432141 , 0.114860126508724 , 1.26023393330552 , 0.191359410685292 , -0.125782940755312 , -1.2259141445138 , -1.50244590296653 , -1.32272812777714 , -1.36311780948189 , 0.133383126507787 , -0.318345793742982 , -0.21573298948035 , 0.274803776553087 , -1.60855026254504 , -1.57157341767792 , -0.296571659471302 , -1.26088119998749 , 0.225450412578543 , -2.03832658194257 , 1.04580841762717 , 0.121340029016477 , 0.86646296893001 , 2.40759749502907 , -1.50542439866462 , 0.7579630951831 , -3.0142766921554 , 1.8760163057643 , 1.50958506933533 , -1.36417085724211 , -1.28020748770865 , -1.45594677769193 , 0.682860140608221 , -1.70543952890534 , -0.598606647394169 , 1.47659779980256 , 1.036186080713 , 0.910112259550594 , -2.14547357210798 , -0.666370397677191 , -2.24948603006084 , -0.559020802640524 , 0.32341005436924 , -1.64319227551028 , 0.462421037932107 , -0.0570849238942248, 0.346991233551793 , -0.427889157920163 , -0.145559343860141 , -0.717335457911222 , -0.675951266832263 , -1.40459019509563 , -2.23970442949719 , -0.175184498275346 , 0.96553578929581 , 0.508739511603564 , -0.209005213676174 , 0.225234751501791 , -0.585422078669039 , -1.21743115356765 , 0.0314246099064566 , -0.322804427313104 , -0.693994303936057 , -1.44500226687932 , -1.64671239640732 , 0.429594519246481 , -0.973917346455662 , -0.41554911506377 , 1.04120986712238 , 0.554561309041919 , 1.0542324869366 | 0.6769619 |
| 8 | 50 | 0.0 | 0.1 | 0.5 | control , control , control , control , control , control , control , control , control , control , control , control , control , control , control , control , control , control , control , control , control , control , control , control , control , control , control , control , control , control , control , control , control , control , control , control , control , control , control , control , control , control , control , control , control , control , control , control , control , control , intervention , intervention , intervention , intervention , intervention , intervention , intervention , intervention , intervention , intervention , intervention , intervention , intervention , intervention , intervention , intervention , intervention , intervention , intervention , intervention , intervention , intervention , intervention , intervention , intervention , intervention , intervention , intervention , intervention , intervention , intervention , intervention , intervention , intervention , intervention , intervention , intervention , intervention , intervention , intervention , intervention , intervention , intervention , intervention , intervention , intervention , intervention , intervention , intervention , intervention , -0.531357875605363 , -0.0143502929901398, 0.232593936299991 , -0.301613896625075 , 0.798124800486361 , 1.04558897584158 , 0.224912105556983 , -0.199480876918557 , 0.225996396351954 , -0.701320015605607 , 0.183487617566442 , -0.325775304256456 , -0.575335043982655 , 0.708286008117964 , -0.223931328009803 , -0.403201525223005 , 0.098328767971 , -0.352877684583546 , -1.3803520859041 , 0.651809023759692 , -0.81732763416899 , -0.0567927487380374, 0.611956831279459 , 0.470821667161707 , -0.316824907401664 , 0.34371884921633 , -0.118101281679041 , 0.858418376656101 , -0.870594966613073 , 0.161066456863228 , -0.584198044795659 , 0.89560057476952 , -0.0499404228002749, 0.174525470117841 , -1.30242385190205 , 0.611559770547229 , 0.471700423009322 , -0.725367437780725 , 0.576192993890323 , 0.26048723199126 , -0.190307820271886 , 0.806099845055921 , 0.701089180615169 , 0.524399793180746 , 0.368914492198446 , 1.06391551613923 , -0.139505767002208 , -0.530403977671323 , 0.296244650603209 , -0.349531002235878 , 0.42758749027123 , 0.741532350116913 , 0.101116581071697 , -0.411644430634536 , -0.551773670411653 , 0.257523267163258 , 0.0266289326307444 , 0.139253739427298 , -0.978923371159206 , 0.0208405614994879 , -0.10672294938837 , -0.319646715500697 , 0.545728697943614 , 0.159507594784197 , -0.247207076957393 , -0.117800010356212 , 1.05837970938509 , -0.16031756925115 , -1.206107681443 , 0.167030246439599 , -0.437525718953759 , 0.323301469013059 , 0.302889119392104 , 0.0708332855225371 , 0.486270054115891 , -0.168456847172284 , -0.18509736727619 , 0.104737851799425 , 0.329545254515323 , -0.0985841326942547, -0.392105555830284 , -0.0937755321658373, -0.170707560119347 , -0.0755536904545025, -0.604170702379876 , 0.155123821822753 , 0.0231501913139362 , 0.219860917032186 , 0.496370578181815 , 0.319297976504927 , -0.0959929194177767, 0.111853009372895 , 0.338061337562974 , -0.232384178380992 , 0.0311310905819736 , -1.06017359436959 , 0.953178458190889 , -0.153446026006886 , 0.171769128001048 , -0.539120321749339 | 0.6158883 |
| 8 | 50 | 0.0 | 0.1 | 1.0 | control , control , control , control , control , control , control , control , control , control , control , control , control , control , control , control , control , control , control , control , control , control , control , control , control , control , control , control , control , control , control , control , control , control , control , control , control , control , control , control , control , control , control , control , control , control , control , control , control , control , intervention , intervention , intervention , intervention , intervention , intervention , intervention , intervention , intervention , intervention , intervention , intervention , intervention , intervention , intervention , intervention , intervention , intervention , intervention , intervention , intervention , intervention , intervention , intervention , intervention , intervention , intervention , intervention , intervention , intervention , intervention , intervention , intervention , intervention , intervention , intervention , intervention , intervention , intervention , intervention , intervention , intervention , intervention , intervention , intervention , intervention , intervention , intervention , intervention , intervention , 1.23232488814014 , 0.0792532999255452 , 2.11319892653048 , 0.844497065232681 , 0.590591082418747 , 0.192395013701937 , -0.240353695154061 , -1.08710173671868 , 0.0279291560991568 , 1.08708370009649 , -1.66826089387582 , 0.304832747730589 , 0.249583542850343 , 0.101453613710859 , -0.0510766531452136, 0.0754858126510778 , 0.863120121883022 , -0.72782697948941 , 1.3439155655442 , 0.318798093990413 , 0.209550220952456 , -0.970707794257268 , -0.708170068911719 , 0.887320121979069 , 0.0553381749222147 , -0.632109579460772 , 0.480165457689038 , -1.83093665120377 , 1.36496708609913 , 0.322143680752228 , -0.656683861016642 , 0.865901716342546 , -1.7955102594998 , 1.08265909971119 , -0.348753494221322 , 0.179348729656404 , -1.07877423276224 , 0.594246098389703 , -0.837177526085046 , 0.123531493937623 , -1.21323649023732 , 0.0537640651552684 , -0.62824787714305 , 0.14879139550678 , -0.784958539148962 , 0.765906395062297 , -0.9357047625458 , 1.50336539114901 , 0.888651842725554 , 0.93431661355653 , -0.272879268587156 , 0.422666308935839 , -1.09570025431423 , 0.054028142526517 , -0.0649840333423465, 1.25877938433755 , 0.287627977092184 , -0.375201044624438 , -0.273880196874045 , 0.014279245086781 , -1.2116545234295 , -0.45788245852924 , 0.463469277323595 , -0.653116058503368 , -0.61410750212172 , 0.822314444738113 , -0.80081364726587 , 0.371010999165709 , 1.94362032453297 , -0.814996612830051 , -1.98625668834975 , 0.504138356861694 , -0.200906556361518 , 1.48223925317984 , -0.654579986723424 , -0.979715951391784 , -1.55471519585182 , 1.13120891174499 , -0.953771948075271 , -0.956465632435533 , 1.34797661403748 , -0.186162405933477 , 1.09172046167207 , -0.63189540696807 , -0.409768566916728 , -0.460618815503325 , -0.923233882178283 , -0.0554812199464323, -0.106550526508283 , 0.982203026134513 , -1.24538935070543 , -2.04541830561764 , -0.547385386589577 , 1.65445979711856 , 0.146939162624235 , 0.178167067949171 , 1.21504399546601 , -0.467566112319311 , -1.15101159717296 , -1.5104322375987 | 0.1964760 |
| 8 | 50 | 0.5 | 0.0 | 0.5 | control , control , control , control , control , control , control , control , control , control , control , control , control , control , control , control , control , control , control , control , control , control , control , control , control , control , control , control , control , control , control , control , control , control , control , control , control , control , control , control , control , control , control , control , control , control , control , control , control , control , intervention , intervention , intervention , intervention , intervention , intervention , intervention , intervention , intervention , intervention , intervention , intervention , intervention , intervention , intervention , intervention , intervention , intervention , intervention , intervention , intervention , intervention , intervention , intervention , intervention , intervention , intervention , intervention , intervention , intervention , intervention , intervention , intervention , intervention , intervention , intervention , intervention , intervention , intervention , intervention , intervention , intervention , intervention , intervention , intervention , intervention , intervention , intervention , intervention , intervention , 0.0347118252775004 , 0.524619027080544 , 0.0924255857968217 , 0.522262474856207 , 0.357405314289059 , 0.902458005171822 , 0.489329194039464 , -0.753757058190773 , -0.561580347482063 , 0.281868293283797 , 0.129002663415793 , 0.353823655225098 , -0.275279347032359 , 0.396621015374509 , 0.093014181002164 , 0.499111393709368 , 0.252872794129716 , -0.00954584064005287, 0.757365051032472 , -0.00458611317215831, -0.824751839217965 , 0.35179258149441 , 0.333420613860707 , -0.38836044296154 , -0.2459866951883 , -0.16165111726664 , 0.412619756874737 , 0.133036756176791 , -0.103378612049682 , 0.712181370514051 , 0.258804746380961 , 0.36614694978914 , -0.37923974037214 , -0.666753980539562 , 0.129070811944281 , -0.319830469695545 , -0.212208636319881 , -0.0881786144527096 , 0.506532617743144 , -0.56957380539209 , -0.178079495053257 , 0.745959903394756 , 0.575719475781306 , -0.383718697815677 , -0.156063412598499 , 0.182440214140559 , -0.023079103534241 , 0.0768111727280046 , -0.0023830679664975 , -0.747774754272285 , -0.155060967768241 , -0.16939819233645 , -0.00884993940649492, 0.536775010696317 , 0.296040480950704 , 0.0971125658098559 , 0.517347323627135 , 0.990066301215076 , 1.55672670301128 , 0.73857877091336 , 0.857790888332843 , 0.835543311323078 , 1.09337671257794 , -0.0245562045031859 , 0.2565953712261 , 1.07607252650895 , 1.01777903385502 , 0.40802673573228 , 0.285485350354215 , 0.770755494956842 , 0.181142786913973 , 0.119230811936458 , 0.924341927446205 , 0.684261666613825 , 0.507073653759054 , 0.644690932260219 , 0.100844415043871 , -0.749223964572043 , 0.914471273732446 , -0.385989173075026 , 0.804341013309611 , 0.16145838522555 , 0.416121376193118 , 1.07459917004172 , 0.387024190412554 , 0.159027113805305 , 0.87362649565013 , 0.988392503710712 , 0.859119300683058 , 0.239157763909583 , 0.0726796386057025 , 0.194976549163012 , 0.455078306432298 , 0.637670629849628 , 0.868087844601886 , 1.13547882823713 , 0.715993153461322 , 0.878845778216489 , 0.88795623575655 , -0.0730377459987537 | 0.0000022 |
| 8 | 50 | 0.5 | 0.0 | 1.0 | control , control , control , control , control , control , control , control , control , control , control , control , control , control , control , control , control , control , control , control , control , control , control , control , control , control , control , control , control , control , control , control , control , control , control , control , control , control , control , control , control , control , control , control , control , control , control , control , control , control , intervention , intervention , intervention , intervention , intervention , intervention , intervention , intervention , intervention , intervention , intervention , intervention , intervention , intervention , intervention , intervention , intervention , intervention , intervention , intervention , intervention , intervention , intervention , intervention , intervention , intervention , intervention , intervention , intervention , intervention , intervention , intervention , intervention , intervention , intervention , intervention , intervention , intervention , intervention , intervention , intervention , intervention , intervention , intervention , intervention , intervention , intervention , intervention , intervention , intervention , -1.1922620815984 , -0.394813390985824 , -0.229518395028873 , 0.783255246039851 , 1.32049298913894 , 0.176281991902154 , 0.469228851937988 , -1.12204435896483 , 1.01265932256534 , -2.05239325455798 , -1.13378736490618 , 0.98168491511501 , 0.36604283312649 , -0.164417040956174 , 0.475653268213261 , 1.05941357331546 , -0.276724961782098 , -2.63604120879887 , -1.19050351545076 , 0.269572055018163 , 1.05715968502142 , 1.16522848460345 , 1.04852165675312 , -0.271591414534465 , -0.994274169920471 , 0.290947035995532 , -2.03659936876724 , -1.4161454394202 , 0.26675665612918 , -0.525896804698943 , 0.094484011463601 , -0.412689627026544 , -1.58991708120088 , -0.209043199640279 , 2.25326688224535 , -0.307968831410244 , 0.86447000985003 , -1.93237261780662 , -2.15872980817307 , -0.623862274989695 , -0.0851638650394941, -1.02406248734959 , -1.17031336021437 , 0.0676265366151131 , -0.421558692551785 , -0.720301733473908 , -0.670349011456067 , -0.624474766550981 , 0.170370596666193 , 0.71700845394567 , -0.156112801832833 , 0.32382877198029 , 1.2873931658103 , -0.628427538525248 , 0.5944080886093 , -1.09398267082532 , 1.72858196595729 , 0.32201724355013 , 0.286877795179745 , 0.243737874930547 , -2.02677506934051 , 0.975210892837233 , 0.649152692866947 , 0.382986778911535 , -0.340278506199855 , 1.78696015458951 , 1.71479948199248 , -0.563785322340417 , 1.00157164196017 , 0.438424563639176 , 1.78471113259668 , 0.13732478224492 , -0.0753638293345353, 1.38549292142886 , 0.513399018377418 , 0.170508055193771 , 0.310006260748165 , 1.37238118680514 , 0.0799848652886141 , 0.197898418441056 , 1.90179821481318 , -0.723985488531341 , 1.98952399234862 , 0.723153968124244 , -0.143573944475133 , -0.338863855180374 , 1.83743434183591 , -0.04692086748432 , 2.04659372191376 , -1.24873357605122 , 1.15682548584791 , 0.606790951374725 , -0.868035883206339 , -0.380346684095831 , 0.505456148058429 , 1.01577419222543 , 0.432584151492579 , -0.581515875555709 , 0.39558434925247 , -0.188220914189788 | 0.0009202 |
| 8 | 50 | 0.5 | 0.1 | 0.5 | control , control , control , control , control , control , control , control , control , control , control , control , control , control , control , control , control , control , control , control , control , control , control , control , control , control , control , control , control , control , control , control , control , control , control , control , control , control , control , control , control , control , control , control , control , control , control , control , control , control , intervention , intervention , intervention , intervention , intervention , intervention , intervention , intervention , intervention , intervention , intervention , intervention , intervention , intervention , intervention , intervention , intervention , intervention , intervention , intervention , intervention , intervention , intervention , intervention , intervention , intervention , intervention , intervention , intervention , intervention , intervention , intervention , intervention , intervention , intervention , intervention , intervention , intervention , intervention , intervention , intervention , intervention , intervention , intervention , intervention , intervention , intervention , intervention , intervention , intervention , -0.0582749560187455, -0.460882172017362 , -0.350680055483943 , 0.781208633249983 , -0.700001419134153 , 0.266615985840849 , 0.540354639675898 , 0.131380458074935 , 0.123311056381842 , 0.438899259302375 , 0.166747882056494 , 1.71672183241104 , 0.513564981617288 , 0.473676742149459 , 0.574132933151998 , 0.159217161350969 , -0.327443423090544 , -0.308841258848008 , -0.342950720710625 , -0.024919223637672 , 0.409892440773473 , 0.317120360708866 , -0.392317690460863 , 0.584336343823471 , -1.46109323156147 , 0.259091847328995 , 0.0892666635912564 , -0.295299952832449 , 0.0186885021445562 , 0.257054411480255 , 0.622604896481673 , -0.400030505941666 , -0.319498286731389 , 0.296101799704505 , 0.0208944350651545 , 0.896153545570171 , 0.0846662144324614 , -0.301260735383505 , -1.54698185084821 , 0.744339220896374 , -0.603222548418583 , 1.46275130153381 , 0.328069061665714 , 0.0538751557632232 , 0.956952582600731 , 0.582795917820694 , 0.161015998568678 , -0.288839745129124 , 0.260083705432801 , 0.308978287826099 , 0.0123960076445316 , 0.682812109693262 , -0.528866846889378 , 0.632692793502219 , 0.707699507090915 , -0.127480444315069 , 1.08832823406389 , -0.049825059691385 , 1.22983395085258 , -0.656233057060009 , -0.0117844717980732, -0.165525962321403 , 1.08567083967604 , 0.222245245356976 , -0.0269821873425231, 0.307362169795271 , 0.130582651958671 , 1.92498428443809 , 0.139691801692986 , 0.582727461286788 , 0.524451763557396 , 0.00504210346960376, 0.967859167450497 , 0.486405263890974 , 0.326272472390796 , 0.228097951989247 , -0.125015985408508 , 0.379112336134268 , 0.554223710284152 , 0.671484345814478 , 1.06502937983491 , 0.426623966268593 , 0.612662066301511 , 0.497494832896281 , 0.833603075195268 , 1.12013245458708 , 0.685499381660655 , 0.332353050005741 , 1.03509709511386 , 0.289902115540735 , 0.930950675735731 , -0.183378919653361 , 0.602926591724355 , 0.0718607915227872 , 0.797185463624027 , 0.330275607614426 , 0.790852736648266 , 1.06499317312307 , 0.509926591504133 , 0.123416531156439 | 0.0027057 |
| 8 | 50 | 0.5 | 0.1 | 1.0 | control , control , control , control , control , control , control , control , control , control , control , control , control , control , control , control , control , control , control , control , control , control , control , control , control , control , control , control , control , control , control , control , control , control , control , control , control , control , control , control , control , control , control , control , control , control , control , control , control , control , intervention , intervention , intervention , intervention , intervention , intervention , intervention , intervention , intervention , intervention , intervention , intervention , intervention , intervention , intervention , intervention , intervention , intervention , intervention , intervention , intervention , intervention , intervention , intervention , intervention , intervention , intervention , intervention , intervention , intervention , intervention , intervention , intervention , intervention , intervention , intervention , intervention , intervention , intervention , intervention , intervention , intervention , intervention , intervention , intervention , intervention , intervention , intervention , intervention , intervention , -0.271865836517208 , 0.597211510608272 , -0.233553835624702 , -1.71045812233877 , -0.502535183929118 , -1.13436387893482 , 1.6137006058425 , 0.315600895549439 , 0.186974009754858 , -0.178415667169187 , -0.149950527735108 , -0.475581007022977 , 0.0956689899716251 , 1.27285427505019 , 0.648662065476625 , -1.00432486713372 , 0.450090762907804 , 1.05912651457763 , 0.876666152762166 , 1.46015503020647 , 1.54673592843799 , 0.747258433301506 , 0.135413265224 , -0.399555481179758 , 0.807774105645398 , 0.435667874823802 , 0.735744105792838 , 0.69320366016157 , 2.95534182548999 , 0.142208747810103 , -1.38987635124279 , 0.311776349006573 , 1.5944772188551 , 0.892853716547721 , 0.97287894447379 , -0.146797775729124 , 0.0542853485779446 , -1.12055815525194 , 0.436324183026568 , 0.919980220705764 , 0.682395385718858 , 1.05532754616099 , -0.622780931071977 , -1.48586971746015 , -0.277702398800455 , 1.53967560537224 , 0.0879100240669548 , -1.64087711106454 , 1.04237423762904 , 0.381221906805258 , 0.42571407644365 , -0.738097187900032 , 0.762924471263783 , 0.349998940748156 , 1.36879928255423 , 0.144950050914109 , -0.357014534999192 , 0.243165362844696 , 0.74562119179886 , -0.710047069308399 , 2.4308644388299 , 0.949209988506345 , -0.067832477662721 , 0.28501812612355 , -0.187294645098605 , -0.627859753222924 , 0.695618718367585 , 0.88064758599601 , 0.761363477628983 , -0.0901690511023255, 1.23923591531858 , 1.49697331645922 , 1.12734033681086 , 0.748728384516089 , -0.136483863189363 , 1.79602247425427 , -0.812844472424663 , -1.00556093394641 , -0.232910240846322 , -0.996177728834009 , 0.142864925928825 , 1.05557290379193 , 2.45971497227677 , 1.1311979597593 , 0.238529422605346 , 0.53889642660377 , 0.422188093613562 , 0.86831289410257 , 0.766887194925018 , 2.20944539263952 , 0.308212609435391 , 1.56342461140165 , -0.319340575386365 , 3.25295192833855 , 0.375796866816661 , 0.632513755455328 , 1.83630443622051 , -1.29737395148576 , 1.98673926993191 , -1.20705488389751 | 0.1725535 |
| 9 | 20 | 0.0 | 0.0 | 0.5 | control , control , control , control , control , control , control , control , control , control , control , control , control , control , control , control , control , control , control , control , intervention , intervention , intervention , intervention , intervention , intervention , intervention , intervention , intervention , intervention , intervention , intervention , intervention , intervention , intervention , intervention , intervention , intervention , intervention , intervention , 0.945459373854522 , -1.07643125033168 , 0.299941683057363 , -0.17494896791445 , -0.383295989869491 , 0.0165663392822952 , 0.0484770456789734 , 0.029053437009604 , 0.293156910213954 , 0.497787320797131 , -0.189704877259375 , 0.0481295432856054 , 0.0779383801120262 , -0.0198297560256511, 0.521144408462196 , -0.24159964277361 , 0.483555928025028 , 0.777243244421415 , -0.138744347781717 , -0.463066964526756 , -0.519996090616577 , 0.426609760787926 , 0.819430568849424 , -0.132979754333967 , 0.47679633968822 , 0.275170282500265 , -0.263997212592381 , -0.0184298046251173, 0.288790068939065 , 0.0467770286572369 , -0.415786161104597 , -0.13079137946861 , -1.00691924280545 , -1.22469934342303 , 0.171949566515447 , -0.979799831126613 , 0.389917270044457 , 0.339926134081322 , 0.56135728132912 , 0.286033695650621 | 0.5480994 |
| 9 | 20 | 0.0 | 0.0 | 1.0 | control , control , control , control , control , control , control , control , control , control , control , control , control , control , control , control , control , control , control , control , intervention , intervention , intervention , intervention , intervention , intervention , intervention , intervention , intervention , intervention , intervention , intervention , intervention , intervention , intervention , intervention , intervention , intervention , intervention , intervention , 0.738454748250596 , -0.910313998736518 , -1.30447396247815 , 1.22749515128588 , -1.74883480528331 , -2.63141254241146 , -0.199367603348536 , 0.845051729291115 , 0.481997630149267 , -0.258296793079349 , -0.733314497327083 , 0.433202667685294 , -0.57106371891187 , 1.67854505694558 , 1.73724185350415 , 0.57903018511605 , 1.27203145777958 , 0.517050729810115 , 0.898312932767194 , 0.908079871215557 , 0.105330538627724 , -0.222024399250356 , -0.242397087697456 , -0.0417693119464734, 0.89175960859863 , 0.837523580084646 , 0.0485263151423619 , -0.625257101800096 , -0.413728409961932 , -1.66094054915366 , 0.283409113363817 , -2.07772460379633 , -0.427246406075609 , 0.692494118290199 , 2.71565497759077 , -0.289995382778073 , -0.852019924298935 , -0.793983577688205 , -0.470041430560343 , 0.886182421225945 | 0.5093171 |
| 9 | 20 | 0.0 | 0.1 | 0.5 | control , control , control , control , control , control , control , control , control , control , control , control , control , control , control , control , control , control , control , control , intervention , intervention , intervention , intervention , intervention , intervention , intervention , intervention , intervention , intervention , intervention , intervention , intervention , intervention , intervention , intervention , intervention , intervention , intervention , intervention , -0.586525737285562 , 0.402523955659716 , 0.883985600896866 , 1.47354457659905 , 0.61387512184773 , -0.588389992737397 , 0.39133511427943 , -0.308219379387128 , -0.26335562895311 , -0.356634852167137 , 0.0359757882850087 , 0.301128932917619 , 0.428937095116468 , -0.276204275071157 , -0.167340141304253 , 0.436457419301358 , -0.395495379016664 , 1.16674532587048 , -0.454978807682767 , -0.247419903533671 , -1.13242125021665 , 0.273523026917347 , 0.132571519653363 , 0.0240602562795058 , -0.188387910545812 , -0.582228431275055 , -0.292454408777463 , 0.388428822769729 , -0.244760697311818 , 0.221201669657194 , -0.378870959961625 , -0.128079174810332 , -0.454760470808784 , 0.0292548807377983 , 0.00342425439483155, -0.202292223648846 , 0.156901238102289 , -0.467949820240842 , -0.225501446968145 , -0.248227238123134 | 0.0666393 |
| 9 | 20 | 0.0 | 0.1 | 1.0 | control , control , control , control , control , control , control , control , control , control , control , control , control , control , control , control , control , control , control , control , intervention , intervention , intervention , intervention , intervention , intervention , intervention , intervention , intervention , intervention , intervention , intervention , intervention , intervention , intervention , intervention , intervention , intervention , intervention , intervention , 1.31860022642636 , 0.897674947492745 , -0.0846008861879753, -1.11709495493666 , 0.0191450336854944 , 0.202285446293139 , -0.179215411715134 , 0.268675902330058 , 0.755538450198291 , 2.62087667334721 , -0.489282346704653 , 1.12635282783423 , -0.756785208855013 , 2.18220602857074 , -0.625984148183841 , 0.457531861326362 , 1.74426410687608 , 0.302312582997661 , 0.313962664747792 , 0.4400894928751 , -1.49716252501272 , 0.35934419194314 , -0.977178146018772 , 1.20014183298804 , 0.507582033807991 , 3.64818949470402 , -1.14871518527989 , 0.479111750065949 , -0.511317292137985 , -0.28126843792637 , 0.295747604854846 , 0.276753438100852 , -0.602375650336892 , -0.17900678772676 , 0.534070639722538 , -0.784064411363566 , -0.621446710468004 , -0.260487866380678 , -0.0129028760580573, 0.658646575437313 | 0.2098687 |
| 9 | 20 | 0.5 | 0.0 | 0.5 | control , control , control , control , control , control , control , control , control , control , control , control , control , control , control , control , control , control , control , control , intervention , intervention , intervention , intervention , intervention , intervention , intervention , intervention , intervention , intervention , intervention , intervention , intervention , intervention , intervention , intervention , intervention , intervention , intervention , intervention , -0.177269730161101 , -0.20689246155912 , -0.678278228790967 , -0.190187471298626 , -0.368504121314931 , 0.117379733129803 , -0.558677168505668 , -0.184063851921077 , 0.0237343154351699 , -0.241369110245758 , 0.502977860727659 , 0.416694118571096 , 0.162913042628566 , -0.360863021010461 , -0.289767590217223 , 0.465923685624987 , -0.0397130725935553, -0.167821530081506 , 0.569829873677945 , -0.0125700229239094, 0.555459769975501 , 0.776320060849994 , 0.391830661601644 , 0.873402274341605 , 1.22002502146831 , 0.758135888042922 , 0.551215519825848 , 0.757999786530765 , -0.291249063289784 , 0.503468959524284 , 0.324738765187264 , 0.553981707501566 , 0.962118203723249 , 1.03148673254667 , 1.01808514135151 , 0.330266070742119 , 0.762333673879853 , 0.85831277436884 , 1.3124031987718 , 0.333919905414981 | 0.0000001 |
| 9 | 20 | 0.5 | 0.0 | 1.0 | control , control , control , control , control , control , control , control , control , control , control , control , control , control , control , control , control , control , control , control , intervention , intervention , intervention , intervention , intervention , intervention , intervention , intervention , intervention , intervention , intervention , intervention , intervention , intervention , intervention , intervention , intervention , intervention , intervention , intervention , 0.541714665913727 , -0.831042266882651 , -0.0153687627686276, -0.429090542316126 , -1.13478314292019 , 2.29473975213512 , 1.01417432874577 , 1.27439232004523 , 1.12488761471339 , 0.910550667039869 , -0.0968034715899906, -1.19754853262571 , 1.1958265285885 , -0.688009487322479 , -0.485541458474795 , -0.56880864775623 , 1.14535956133964 , 0.548312328832891 , 0.698402918944616 , 1.2632614521431 , -0.287852215627611 , -0.362868008851894 , -1.54057407875142 , 1.92487907415903 , -0.357425560637156 , 1.12881864838187 , -0.937635638085538 , 0.321064514492399 , 0.0905627498921295 , -0.301830425873645 , -2.01857490328916 , 0.992674019758434 , -0.251689590703511 , 0.372191364544317 , -1.45802582820065 , 1.00451888271949 , 1.41982857043078 , 2.39351815923301 , -0.5237040131498 , 0.00342060820334089 | 0.4659937 |
| 9 | 20 | 0.5 | 0.1 | 0.5 | control , control , control , control , control , control , control , control , control , control , control , control , control , control , control , control , control , control , control , control , intervention , intervention , intervention , intervention , intervention , intervention , intervention , intervention , intervention , intervention , intervention , intervention , intervention , intervention , intervention , intervention , intervention , intervention , intervention , intervention , 0.356777491325737 , -0.429171302761622 , 0.589594935301991 , 0.246109871220935 , 0.843738923968858 , 0.271368015994616 , 0.21397004858152 , -0.637193572211878 , 0.336964446676593 , 0.00704691603016459, 0.770775024490954 , -0.139477086610195 , 0.848869712011838 , 0.0336735030133825 , 0.188092550223692 , -0.10151288210211 , -0.361690477987847 , 0.526319600229848 , -0.490734492414133 , 0.0192675165597635 , 0.5729768830948 , 0.554110399611982 , 0.647790415423538 , 1.18974863516131 , 0.904128748019033 , 0.319195102866874 , 0.256835637509856 , 1.31493609834915 , 0.160916452995622 , 0.762422886757661 , 0.335500090213985 , 0.650686751907548 , 0.256067384580426 , -0.226611835257224 , -0.49466466413327 , 0.860716419543132 , 1.68504836349015 , 0.170945566518349 , 1.14483293035718 , 0.320488643566429 | 0.0098694 |
| 9 | 20 | 0.5 | 0.1 | 1.0 | control , control , control , control , control , control , control , control , control , control , control , control , control , control , control , control , control , control , control , control , intervention , intervention , intervention , intervention , intervention , intervention , intervention , intervention , intervention , intervention , intervention , intervention , intervention , intervention , intervention , intervention , intervention , intervention , intervention , intervention , -0.21105950106777 , 0.103840673562162 , 1.51764831576061 , -0.978462534565206 , 1.78883935124062 , 0.74901905768202 , 1.27887097764717 , -1.33099874529657 , -0.191501734561493 , -0.580093240287911 , -0.093058697741589 , 0.846410812771652 , -1.383306154591 , -1.22692700223006 , 0.796493730118455 , 1.18168299235763 , -0.163244368468339 , -0.400676482027408 , 1.00101634888782 , -0.272943603072183 , 0.467421881385291 , 0.358182031179256 , 0.56617120310713 , -0.0889260245211552, 2.16480512890788 , 0.884051629977286 , 0.860884248059242 , 0.267512043273148 , 0.970166653676268 , 1.52402540766752 , -0.133203972406328 , -0.167944824327254 , 0.187688760024626 , 0.442115586661703 , 1.43373914421382 , 1.12652519881105 , 0.951243916363937 , 0.341890858215197 , 0.933706751442227 , 0.750861082257695 | 0.0311910 |
| 9 | 50 | 0.0 | 0.0 | 0.5 | control , control , control , control , control , control , control , control , control , control , control , control , control , control , control , control , control , control , control , control , control , control , control , control , control , control , control , control , control , control , control , control , control , control , control , control , control , control , control , control , control , control , control , control , control , control , control , control , control , control , intervention , intervention , intervention , intervention , intervention , intervention , intervention , intervention , intervention , intervention , intervention , intervention , intervention , intervention , intervention , intervention , intervention , intervention , intervention , intervention , intervention , intervention , intervention , intervention , intervention , intervention , intervention , intervention , intervention , intervention , intervention , intervention , intervention , intervention , intervention , intervention , intervention , intervention , intervention , intervention , intervention , intervention , intervention , intervention , intervention , intervention , intervention , intervention , intervention , intervention , -0.428930208263508 , 0.329073395673568 , 0.423205799615855 , -0.08214406866299 , 0.322977102522681 , 0.062134407798772 , 0.650792757488049 , -0.719573040419433 , -0.874882737257919 , 0.151503771333457 , -0.264280848394202 , -0.857581188982352 , -0.362936310507916 , 0.280079722438656 , 0.574506373355799 , 0.504055813925829 , -0.281822750990651 , -0.125332180649359 , -0.0248606357908254 , 0.0392734092111729 , -0.608171538343784 , -0.314684567875528 , 0.305407579616967 , 0.00352437411678133 , -0.117201608007922 , -0.373251817659512 , -0.0402885709732631 , 0.106140877138078 , 0.482230307465801 , 0.307409301306603 , 0.906439232255654 , -0.127378370326281 , 0.791520160874624 , -0.248939001264438 , 0.12679185004335 , 0.303190357579923 , 0.103013014519109 , -0.724858502285506 , -0.108531849977034 , 0.094069762294913 , -0.0648267984988874 , 0.153203597362883 , 0.203041306054726 , -0.211954832004052 , -0.19493474444341 , 0.0180054156882374 , -0.17287263081777 , 0.0548480801687968 , -0.651170886349428 , 0.648723594143794 , -0.576761905596436 , -0.0480020167519656 , 0.327269113096122 , -0.852121763753697 , 0.151121920225635 , 0.197920958380459 , -0.382169248650216 , -0.450637176421636 , 0.917036644670825 , -0.961389847549046 , 1.2824747717191 , -0.1287773846725 , -0.801908470901744 , -0.489338366277744 , -0.211018015132408 , 0.399319841696172 , 0.199672598343122 , -0.128396499320594 , -0.193025862906017 , 0.569512597727792 , 0.0306154557522869 , -0.0741409250374157 , 0.234852270647148 , 0.496533998367869 , -0.00123367941943595, -0.28863541206976 , -0.513096114115872 , -0.102429190673564 , -0.0680867861556963 , -0.240031979289756 , 0.918135332151626 , -0.474325780936944 , -0.365129264606064 , 0.85306461445366 , 1.13877048785537 , 0.236022707819791 , 0.57431155683807 , -0.00122270983251441, -0.250719570722683 , -0.00723380225531415, 0.41828620815847 , -0.00550779221885925, 0.782617747725947 , 0.118774752282452 , 0.520571471383844 , 0.167478263240235 , 0.888048485567866 , -0.0733695148206565 , -0.627350139968366 , -0.179342406419999 | 0.5269935 |
| 9 | 50 | 0.0 | 0.0 | 1.0 | control , control , control , control , control , control , control , control , control , control , control , control , control , control , control , control , control , control , control , control , control , control , control , control , control , control , control , control , control , control , control , control , control , control , control , control , control , control , control , control , control , control , control , control , control , control , control , control , control , control , intervention , intervention , intervention , intervention , intervention , intervention , intervention , intervention , intervention , intervention , intervention , intervention , intervention , intervention , intervention , intervention , intervention , intervention , intervention , intervention , intervention , intervention , intervention , intervention , intervention , intervention , intervention , intervention , intervention , intervention , intervention , intervention , intervention , intervention , intervention , intervention , intervention , intervention , intervention , intervention , intervention , intervention , intervention , intervention , intervention , intervention , intervention , intervention , intervention , intervention , 1.2760912565556 , -0.662484494188553 , -0.11086186643425 , 1.61945158193812 , -0.416030275705282 , -0.803743717031829 , -0.380526988233764 , 0.535844620210505 , 0.232646393884659 , -0.0254804949812465, 1.59512450513456 , -0.0769880178037648, 0.701469999834443 , 1.87145861636147 , -0.153007654084386 , -0.412041295356554 , -1.37070010775771 , 0.833283673703701 , 0.0950780073538437 , 0.677967636848087 , -0.162701463372703 , -1.34254985470552 , -0.223911049320752 , 1.33303561850917 , -2.01339668481536 , -0.951816450592152 , -0.860775703743343 , -0.459666683234372 , 0.837936850581279 , 2.00847874140488 , 0.401291251964487 , -0.212644386377839 , -0.734770851415038 , 0.590589990103064 , -1.09316289237577 , 0.220133308516989 , 0.50272443052387 , -1.00705334924996 , 0.469068332773757 , 0.424488706598092 , -0.789146134627722 , 0.172273205393629 , 2.06463974327893 , 0.524661757617481 , 1.3905100282028 , 0.47418434761545 , 0.236289289697318 , 1.04283641868779 , 0.108515949066913 , -0.535752837264196 , -0.579877136060945 , -1.23415581130255 , 0.451381465293811 , -0.0555623458400426, 0.120053503820573 , -1.55017353942154 , 0.321512441076727 , -0.0624495932153584, -1.5142269015297 , -0.517512940747075 , 0.419002006873528 , -1.53113100904189 , -0.547715402884304 , -0.428781612600109 , 0.479126090497339 , -0.439201393648726 , -0.112535335368671 , -0.557165050481507 , 2.07626523706378 , -0.956663610291215 , 0.233999209835708 , -1.61897698565054 , -0.906203652141891 , 0.641526079387307 , 0.632306387167747 , 2.69081123787126 , 0.16520812359668 , -0.891027746504262 , -1.07093656763643 , -0.479361863338656 , -0.566317483410825 , -2.29982625149083 , 0.172945700757766 , 1.00206664304874 , -1.34035842506924 , 1.18439691308609 , -0.728640023402159 , -0.772061507600156 , 0.0645128799938139 , 0.487838038187013 , -0.666878210310946 , 1.33002500251665 , 0.208281095870226 , -1.00751128970312 , 1.03208340232643 , 2.00313265762185 , -1.59337842218758 , 1.23811060218526 , -0.0596731281871544, -0.162134920818096 | 0.1361402 |
| 9 | 50 | 0.0 | 0.1 | 0.5 | control , control , control , control , control , control , control , control , control , control , control , control , control , control , control , control , control , control , control , control , control , control , control , control , control , control , control , control , control , control , control , control , control , control , control , control , control , control , control , control , control , control , control , control , control , control , control , control , control , control , intervention , intervention , intervention , intervention , intervention , intervention , intervention , intervention , intervention , intervention , intervention , intervention , intervention , intervention , intervention , intervention , intervention , intervention , intervention , intervention , intervention , intervention , intervention , intervention , intervention , intervention , intervention , intervention , intervention , intervention , intervention , intervention , intervention , intervention , intervention , intervention , intervention , intervention , intervention , intervention , intervention , intervention , intervention , intervention , intervention , intervention , intervention , intervention , intervention , intervention , 0.622781637596323 , 0.450565879763869 , 0.523375078569837 , -0.119059304195085 , -0.367951221304756 , 0.680738365485652 , -0.0435416552570152 , 0.165105018741495 , -0.202039523073136 , -0.00408721243807517 , 0.206847244510486 , -0.687534774765772 , 0.0713136394455003 , 0.341394786003786 , -0.289515696826054 , -0.00869374308166726 , -0.000245261856834281, -0.591406621389328 , -0.0307515098071409 , 1.23140861436325 , 0.107988305319123 , 0.363378979548885 , 0.805391463700656 , 1.25116606277395 , 0.592275438498603 , -0.0686417603856364 , 0.556523711598713 , 0.314336865990074 , 0.294163224408048 , 0.334046753944333 , 0.115530581345573 , -0.0487474836774237 , -0.0824279621286216 , 0.651807351076792 , -0.753113954618348 , 0.656543244079879 , -0.12381375334471 , 0.891426288443315 , -0.373526320820516 , -0.241135450168352 , 0.0761912147211723 , -0.540808617988576 , 0.157468032808879 , -0.704701861349617 , 0.460108046957395 , 0.593958175750458 , -0.890196358759494 , 0.594455101534975 , 0.0758624809091287 , 0.347556559590049 , -0.574380121688076 , -0.704731474334858 , -0.383221952422246 , 0.127042834678545 , -0.380136437239406 , 0.143893480298356 , -0.184900274614559 , 0.249996525795228 , 0.89264653657298 , -0.013154170099175 , 0.160652290563146 , -0.924643765253743 , 0.612607374287337 , -0.26354655073011 , 0.232652392001388 , 0.920951345098344 , -0.720722565712791 , -0.196299412558632 , -0.0787313324263735 , 0.0656373680054853 , -0.566535572591288 , -0.329677799304762 , 0.343422772919437 , 0.148082043191229 , 0.462811791342718 , -0.988766951364811 , 0.605521280444833 , -0.301926720513309 , 0.472490335284002 , 0.18597099911428 , -0.255394522297373 , 0.428156619103867 , 0.687083336052254 , 0.721624385362834 , 0.0315140023639628 , 0.580050299794317 , 0.64618168940916 , -0.294451191639304 , 0.373290756438779 , 0.39390345257022 , 1.06151211908565 , -0.438951617561787 , 0.374500392829027 , -0.355194369446522 , 0.424796443078553 , 0.43079982720483 , -0.131579283343159 , -0.68244345847522 , -0.675125685820722 , -0.1541420989655 | 0.2975573 |
| 9 | 50 | 0.0 | 0.1 | 1.0 | control , control , control , control , control , control , control , control , control , control , control , control , control , control , control , control , control , control , control , control , control , control , control , control , control , control , control , control , control , control , control , control , control , control , control , control , control , control , control , control , control , control , control , control , control , control , control , control , control , control , intervention , intervention , intervention , intervention , intervention , intervention , intervention , intervention , intervention , intervention , intervention , intervention , intervention , intervention , intervention , intervention , intervention , intervention , intervention , intervention , intervention , intervention , intervention , intervention , intervention , intervention , intervention , intervention , intervention , intervention , intervention , intervention , intervention , intervention , intervention , intervention , intervention , intervention , intervention , intervention , intervention , intervention , intervention , intervention , intervention , intervention , intervention , intervention , intervention , intervention , 0.189777036570659 , 0.413866185103945 , 0.609531485276318 , 0.741699773520828 , 2.49483739594884 , -1.13961773182143 , -0.502137463559214 , -0.565720702360772 , 0.398649437674972 , 0.647237132972834 , 0.315567696477776 , -0.291393747187051 , -1.88534197023731 , 0.169663305850498 , 1.08356550310331 , 0.590825363504866 , 0.766343869767546 , 2.10553593957492 , 0.872745900527409 , 0.545150572405853 , 0.916644484131821 , 0.783805879851666 , 0.686054717195364 , -0.821787723894474 , -0.00838656361072133, 0.140381701999531 , -1.23859064498539 , 0.543078917936448 , 0.659208595778622 , 1.5417026182408 , -2.52923153809815 , 0.257356512660136 , -0.251961560191166 , 0.170077813409745 , 0.0606333876473716 , -1.27861268691522 , 0.108412433771754 , -1.37200048553643 , 1.1606292407274 , -1.31404548928172 , -0.922611180164979 , -0.38704556446336 , 0.839487870443744 , -1.60008686489041 , 0.300305702063574 , 0.466796724413682 , -1.23978864570261 , -0.816865121553515 , -1.50397505909259 , -0.855936835525215 , -0.984988667429517 , 0.523013693161975 , 1.20776282136305 , 0.309150662983959 , -0.437489313812288 , -0.601005331868056 , -2.3482176102561 , -0.871439349894711 , 1.22685466116619 , -0.986913133158439 , -0.279249219014503 , 0.00952075165923198 , 0.3053670111014 , 0.816362328256045 , -0.498597761951574 , -0.463022096903133 , -1.11790025643331 , -1.04707080495574 , -0.232266051205662 , -0.54897118932601 , 1.24444772876297 , -2.14127318332769 , 0.620603586283944 , 0.557986577525706 , 0.812907217378303 , -0.541291374872869 , 0.185671158955582 , 0.252687172958121 , -0.849311556752064 , -1.51846956443053 , 1.18829480473113 , -1.92786437650411 , -0.133854124922552 , -1.39345134159593 , 0.931844319763753 , -0.62031024687886 , -0.27468463540292 , -0.077549411890028 , 0.475685817178064 , 1.67546002738213 , -0.917914735984752 , 0.124386254337407 , 1.59553349097077 , 0.00825421918514292 , -0.0331389176631169 , -2.09398285347002 , -0.0998851493633036 , 1.38447719020102 , 0.15155341708974 , -1.06769799777694 | 0.3974323 |
| 9 | 50 | 0.5 | 0.0 | 0.5 | control , control , control , control , control , control , control , control , control , control , control , control , control , control , control , control , control , control , control , control , control , control , control , control , control , control , control , control , control , control , control , control , control , control , control , control , control , control , control , control , control , control , control , control , control , control , control , control , control , control , intervention , intervention , intervention , intervention , intervention , intervention , intervention , intervention , intervention , intervention , intervention , intervention , intervention , intervention , intervention , intervention , intervention , intervention , intervention , intervention , intervention , intervention , intervention , intervention , intervention , intervention , intervention , intervention , intervention , intervention , intervention , intervention , intervention , intervention , intervention , intervention , intervention , intervention , intervention , intervention , intervention , intervention , intervention , intervention , intervention , intervention , intervention , intervention , intervention , intervention , 0.167113824936362 , -0.146296725255627 , 0.0373354962077049 , 0.456838166531192 , -0.527282288541146 , -0.652199686993549 , 0.324648742387997 , 0.429744997008929 , -0.642919838501857 , 0.171515715533392 , 0.513104926243784 , 0.679611808436135 , 1.39150678295208 , 0.0805772467359828 , -0.249077094652392 , 0.643411019371182 , -0.144713908027254 , 0.454300192805028 , -0.577510487341543 , -0.290575626030189 , 0.531003980179074 , -0.344360882627478 , -0.132328922083349 , -0.162238710697938 , 0.532874170359199 , -0.486083925447775 , 0.753760670015418 , 0.396181385202093 , -0.122891322517422 , -0.0110212893929106, -0.191267902783887 , 0.719853568874004 , -0.157926054495184 , 0.0941451869554664 , 0.376470279960782 , 0.457521245434315 , -0.487333611542566 , 0.469390162244148 , -0.0186123967665183, 0.300409235323169 , -0.656792137374679 , 0.321013775583588 , 0.649959201725125 , 0.477980939939004 , -0.85094340323535 , -0.261791367052377 , -0.0139449721651979, 0.634779163210616 , 0.607838288119755 , 0.219249860766952 , 1.13811946097588 , 0.358652898685321 , 0.424423069025782 , 0.609449724144382 , 0.0891187561184458 , 0.127846299819959 , 0.22568386271509 , 0.396507030266564 , 1.15847964117704 , 1.57903482357211 , 1.25376477666927 , 0.225168584243814 , 1.01457462545357 , 1.37860249028425 , 0.975888412905982 , 1.32400505203479 , 0.988413405729694 , 1.12056479252249 , 1.27135833150464 , 0.42988006936344 , 0.129103563568605 , 0.953865154757512 , 0.829500583836227 , 0.358406935054601 , 0.665615120551006 , 0.312169264322823 , 0.695369480067683 , 1.04574305833318 , -0.126791077637592 , 0.400048002311699 , 0.151323422343689 , 1.04068553426469 , 0.387892928216137 , 0.418826472985292 , 0.576181471981641 , 1.02517658335676 , 0.501920130324091 , 0.885561812627997 , 0.482961192801117 , 0.301283036931863 , 0.67507968371371 , 0.182546349555249 , 0.316142457106937 , 0.63881016403612 , -0.120894570399719 , 1.22385457925762 , 0.389382309662271 , 1.20008717985277 , 0.417113072342018 , 0.350105816237683 | 0.0000000 |
| 9 | 50 | 0.5 | 0.0 | 1.0 | control , control , control , control , control , control , control , control , control , control , control , control , control , control , control , control , control , control , control , control , control , control , control , control , control , control , control , control , control , control , control , control , control , control , control , control , control , control , control , control , control , control , control , control , control , control , control , control , control , control , intervention , intervention , intervention , intervention , intervention , intervention , intervention , intervention , intervention , intervention , intervention , intervention , intervention , intervention , intervention , intervention , intervention , intervention , intervention , intervention , intervention , intervention , intervention , intervention , intervention , intervention , intervention , intervention , intervention , intervention , intervention , intervention , intervention , intervention , intervention , intervention , intervention , intervention , intervention , intervention , intervention , intervention , intervention , intervention , intervention , intervention , intervention , intervention , intervention , intervention , -1.12512420864319 , -1.86927567790638 , -0.538216486854424 , -1.04449420632608 , -1.40881887268166 , 0.901464791509388 , -1.17795611965253 , -1.76955055170558 , -0.012955701851015 , -1.85779369873432 , -0.374906772957086 , -0.920613234676078 , 1.49500251266677 , -1.00766007631111 , -1.00393925080706 , 0.165991594584745 , -0.321862247988061 , -1.31819451716764 , 1.20197443486114 , -0.23522978463132 , 1.14387517179567 , 0.0988462864811767 , 0.0156436629664424 , -0.433460303446585 , 1.18100358031875 , 1.49069611091449 , -1.29973669176327 , 1.06852251334055 , -1.03606905714926 , -1.08676686423433 , 0.288860076982173 , -0.171252404671203 , 1.00461244109904 , 0.149546684802146 , 0.27715796474396 , 0.18718354989014 , 0.964215365181915 , 0.916371573428542 , -0.189980659507125 , 0.804716786799367 , 1.08787794983562 , -1.83697823440905 , -0.668217353406304 , -0.540020709393634 , 0.162719592349781 , -1.56533616796541 , -0.432291220751846 , 0.496926903225294 , 0.0474428142537271 , 0.392982946415116 , 2.08291259919055 , 0.520173639090777 , 0.731144142875815 , -0.0864071055583827, 1.04111973694981 , -0.0179343341351574, 0.240331268548798 , -0.269280397431586 , 0.807940597729269 , 0.396324329046569 , 0.675001731635113 , 1.62601072593566 , 1.42912856655991 , 0.103467855589332 , 1.31975834116373 , -0.625097646878948 , 2.16572046713714 , 0.795899387485901 , -1.08889564319149 , 0.343063603709008 , 2.7931363644454 , 2.14679026389306 , 1.1308987184633 , -0.0612584032216692, 1.43786099438309 , -1.05651689958664 , -0.270818099498384 , 1.0701791143809 , 2.36547831781831 , 1.53559226395488 , -1.25827223050264 , 1.36889815634133 , 1.32037110467436 , 0.866413721821329 , -0.126564826421963 , 1.37548089049476 , -2.24950391602823 , 0.633580738490132 , 1.85070640007629 , 1.4313224691381 , -1.70387528970598 , -0.514353918904936 , 0.763591090473684 , -0.202751763091451 , 0.461760979835235 , -0.894111331543286 , 1.44026429580321 , 0.0161952362314756 , 0.616339459936509 , 1.22495816043476 | 0.0002150 |
| 9 | 50 | 0.5 | 0.1 | 0.5 | control , control , control , control , control , control , control , control , control , control , control , control , control , control , control , control , control , control , control , control , control , control , control , control , control , control , control , control , control , control , control , control , control , control , control , control , control , control , control , control , control , control , control , control , control , control , control , control , control , control , intervention , intervention , intervention , intervention , intervention , intervention , intervention , intervention , intervention , intervention , intervention , intervention , intervention , intervention , intervention , intervention , intervention , intervention , intervention , intervention , intervention , intervention , intervention , intervention , intervention , intervention , intervention , intervention , intervention , intervention , intervention , intervention , intervention , intervention , intervention , intervention , intervention , intervention , intervention , intervention , intervention , intervention , intervention , intervention , intervention , intervention , intervention , intervention , intervention , intervention , -0.0169650663047596 , 0.768761596963528 , 0.41938408391642 , -0.236349278965037 , 0.0277557861113598 , -0.0928500635204506 , -0.119259677925925 , 0.398064579618313 , -0.727993146612002 , 0.0862341078062215 , 0.150434874058873 , -0.243853998222314 , -0.255643808958174 , 0.990355819486264 , -0.21120110011427 , -0.326486849652578 , 0.469679597561627 , 0.796143895407848 , -0.703145063104692 , 0.409192333733703 , -0.215901538599957 , -0.135023726085607 , -0.0074309216011724 , -0.116224950894123 , 0.544168372091446 , 0.717481828330801 , 0.311661656279129 , 0.0891894225244104 , 0.13432454176491 , -0.595056989413003 , 0.481761063563668 , -0.461228540783959 , 0.0144265772929362 , 0.581985085571651 , 0.782684165783015 , -0.496446474910173 , -0.608523688205439 , -0.211954812407699 , 0.875318085834102 , 0.375749562796726 , 0.0178285702022763 , -0.293681926517964 , 0.647387825443293 , 0.273927458224319 , -0.886536709427979 , 1.52550775052192 , 0.00403657436783779 , -0.00647206317784493, 0.214089369961075 , -0.0529482084898468 , 0.746186288660888 , -0.396622873454746 , 0.571305630022584 , 0.379151289081121 , 1.08830058749108 , 0.562661052539671 , 0.935203463128478 , 1.17365557451071 , -0.230800152149289 , 0.686177084552974 , 0.345061112699832 , 0.304074500847339 , 1.33119134178719 , -0.0547784924975426 , -0.0387752410962622 , 0.847874856095775 , 0.241010449066649 , 0.786153564569333 , 0.770955950342851 , 0.787808464361577 , 0.63442755052108 , 0.540875448792436 , 0.54351064579391 , 0.575603251812185 , 0.140619933080193 , -0.142338289706706 , 0.441728284435058 , 0.472243190372104 , 1.46167887117198 , -1.35686808602299 , 1.16224626186137 , 0.90527350956037 , 1.06438423848562 , 1.01083165505088 , 0.943747964170512 , -0.00813503295639317, 0.589473164429886 , -0.327194273284125 , 0.123854877885883 , 0.998235722882786 , 0.538916953323745 , 1.0965013494274 , 0.839166949285539 , 0.0187276177760577 , 0.814052934567681 , 0.66766410394753 , 1.06393337848574 , 0.384954705379174 , 0.519081401994662 , -0.0199979117830946 | 0.0000522 |
| 9 | 50 | 0.5 | 0.1 | 1.0 | control , control , control , control , control , control , control , control , control , control , control , control , control , control , control , control , control , control , control , control , control , control , control , control , control , control , control , control , control , control , control , control , control , control , control , control , control , control , control , control , control , control , control , control , control , control , control , control , control , control , intervention , intervention , intervention , intervention , intervention , intervention , intervention , intervention , intervention , intervention , intervention , intervention , intervention , intervention , intervention , intervention , intervention , intervention , intervention , intervention , intervention , intervention , intervention , intervention , intervention , intervention , intervention , intervention , intervention , intervention , intervention , intervention , intervention , intervention , intervention , intervention , intervention , intervention , intervention , intervention , intervention , intervention , intervention , intervention , intervention , intervention , intervention , intervention , intervention , intervention , -0.30588068484313 , 3.14564753505868 , -0.26627938886356 , 1.43590483975923 , -0.559166148518514 , 0.85862974560377 , -0.750182491411414 , 0.192980693598515 , 1.4278839138249 , -1.47031638973153 , 0.531738462865951 , 0.30818652796468 , -0.229361146893087 , -1.15139429100924 , 0.269744054717648 , -0.861068503700257 , -0.500408994277958 , 0.130642958346426 , -0.823377294180154 , -0.604211308700157 , 0.759888017982995 , -2.5253791369413 , -1.03117186505782 , 1.16931220289464 , 1.67683597063557 , 0.473853027949166 , -1.14114898376134 , 0.711373509024935 , -2.10837687112285 , 0.73153008160705 , 1.09160029513962 , -0.594581652868197 , 0.848822645342957 , -1.14828530308392 , -1.94344918038248 , 2.62241109238599 , -0.360585344742792 , 0.903625261288223 , -0.716221438683059 , 0.782510823740712 , 0.290858733488701 , -0.901878855021314 , 0.222165269367135 , 0.139596062506399 , 0.426218037138765 , 1.20057066170475 , 1.32185981588266 , -0.648295999875774 , 0.375453198647818 , 2.24917953877976 , 0.494204663362949 , 0.485434594543179 , 1.91501772856918 , 0.455913285613492 , 1.04412315708087 , 2.18428172184111 , 0.816835702757633 , 0.326736140067892 , -0.0842774571237385, 2.36478995604578 , -1.35406821603513 , 2.06192815376952 , 1.33644518809844 , 0.902468361843181 , 2.86046153822045 , 1.54750731191716 , -0.203753753315905 , 0.550966978984928 , -0.161025928217974 , 1.18599866224324 , 0.776525579659991 , 1.4430094940532 , -0.337883771760813 , 1.08939935276096 , 0.378505884900685 , -0.0179552388923774, 0.304286140621446 , 0.273373190570528 , 0.792765551545108 , 0.343640240214597 , 0.934096084838124 , -0.767477195422926 , 0.578318709175416 , 1.16248222700322 , -0.07445251068721 , -0.152591616017067 , 1.64222944068992 , 0.446569402288743 , 0.597885852758806 , 1.60561118815218 , 0.411270239129858 , -0.260948474425679 , 1.45340109063775 , 1.24001693771133 , 0.0668165531094048 , 0.142693416734393 , 1.27455712841498 , 1.87945648407312 , 0.787055322054881 , -0.0640124186694685 | 0.0029144 |
| 10 | 20 | 0.0 | 0.0 | 0.5 | control , control , control , control , control , control , control , control , control , control , control , control , control , control , control , control , control , control , control , control , intervention , intervention , intervention , intervention , intervention , intervention , intervention , intervention , intervention , intervention , intervention , intervention , intervention , intervention , intervention , intervention , intervention , intervention , intervention , intervention , -1.04744576056587 , 0.512619944128749 , -0.222017695463272 , -0.279150687503698 , -0.0169288738805109, 0.166931552703531 , -0.12559956264029 , 0.262537059930896 , 0.158712409224758 , -0.252848953772396 , -0.121677423812031 , -0.292639259969178 , -0.234958431845767 , -0.421112182462864 , 0.801831975356076 , 0.285418351641726 , 0.176200391700385 , 0.338830548789277 , -1.04631062463861 , -0.0177512649202071, -0.151915020244846 , 0.44623463452588 , 0.340210355580949 , 0.584175109625477 , -0.198379974115466 , -0.064809467978082 , 0.348359778373399 , -0.594454306061264 , -0.351036782492313 , -0.715250146555254 , -0.0477056965404542, 0.20429267505165 , -0.100788277875111 , -0.0134106107374879, -0.16920453897124 , -0.948886611626208 , 0.161037829474122 , 0.0856655610826828 , 0.783418948122249 , -0.228391155205295 | 0.7909270 |
| 10 | 20 | 0.0 | 0.0 | 1.0 | control , control , control , control , control , control , control , control , control , control , control , control , control , control , control , control , control , control , control , control , intervention , intervention , intervention , intervention , intervention , intervention , intervention , intervention , intervention , intervention , intervention , intervention , intervention , intervention , intervention , intervention , intervention , intervention , intervention , intervention , 1.24333012127255 , -0.410315332549262, 0.482358709907492 , -0.155598098561368, 0.575271892501101 , 0.872853149484652 , -1.26125291939212 , -0.197444621371534, -0.778823425451057, -0.398648204029161, -1.71179695079176 , 0.512849412353238 , -0.184704623290274, 0.364674052345461 , -1.8676649549259 , 0.766879025479085 , -1.01801926952941 , -1.55544958651886 , 0.332791920638521 , -1.58939030722526 , -2.54701697071257 , 0.13056212973627 , 1.00150478326449 , 1.02063420903139 , -0.338159611003211, 2.05862256223885 , -0.470012275513706, 0.312455370995351 , -0.970234662374368, -1.83131223315209 , 0.265244567557148 , -0.100338077801223, 0.0339555452961641, -0.459896036830008, 0.829145372073839 , -0.30165502136003 , 0.923294551333607 , -1.00250731513369 , 0.0567862516264495, 0.151184484454257 | 0.4557681 |
| 10 | 20 | 0.0 | 0.1 | 0.5 | control , control , control , control , control , control , control , control , control , control , control , control , control , control , control , control , control , control , control , control , intervention , intervention , intervention , intervention , intervention , intervention , intervention , intervention , intervention , intervention , intervention , intervention , intervention , intervention , intervention , intervention , intervention , intervention , intervention , intervention , 0.426171058065259 , 0.829552432134352 , 0.269225648428438 , 0.980768193224729 , 0.492779652255163 , -0.129504377177759 , 0.645342341381481 , -0.351277217995326 , 1.11340134654366 , 0.386020942243081 , 0.207650999190583 , -0.775898323833597 , -0.573884871902389 , -0.351780280385671 , 0.0240846514160453 , 0.47368407931376 , 1.17222103520544 , 0.792981419883489 , 0.180113735104097 , 0.982135012205038 , 0.108534496617065 , 0.192794457539062 , 0.641322389933513 , -0.574128294334905 , 0.0555273323655683 , 0.340571975533544 , -0.641579664464555 , 0.0478628566825452 , -0.326372137237759 , -0.418818117932216 , -0.518045102667894 , -0.413246584196677 , -0.0182918082834458, -0.558170329943308 , 0.0767797687966602 , -0.549289374717518 , 0.258925298303278 , -0.313301062108715 , -0.442811910846074 , -0.265067150103639 | 0.0018345 |
| 10 | 20 | 0.0 | 0.1 | 1.0 | control , control , control , control , control , control , control , control , control , control , control , control , control , control , control , control , control , control , control , control , intervention , intervention , intervention , intervention , intervention , intervention , intervention , intervention , intervention , intervention , intervention , intervention , intervention , intervention , intervention , intervention , intervention , intervention , intervention , intervention , 0.95415958936179 , -1.63680305818636 , 1.47125080907175 , -1.17509686139923 , -1.26911357205346 , -0.67849444232026 , 0.806008383513873 , 0.679490658698701 , -2.1960168962449 , -0.954120157960595, -0.265062162801822, 1.44680223732871 , 0.347759244175936 , 0.608143623677752 , -0.695900732582872, -0.440252708551335, -0.110615635855259, 1.07561465379658 , 1.68992471400411 , 1.58197170653154 , 0.633746580308738 , -0.501517402290207, 0.855170720593313 , -0.791269842295205, 1.46452777129596 , 0.157794059672084 , -1.89326417901696 , 0.218608938005568 , -1.13929432113907 , -1.38357154328214 , 0.318367392183692 , 0.128157818380202 , -0.521653976346046, -2.28225543845405 , -0.55728764168708 , 1.1641041008274 , -0.679814344178137, -0.770132048915499, -0.21029261389705 , 0.761755227431435 | 0.3657566 |
| 10 | 20 | 0.5 | 0.0 | 0.5 | control , control , control , control , control , control , control , control , control , control , control , control , control , control , control , control , control , control , control , control , intervention , intervention , intervention , intervention , intervention , intervention , intervention , intervention , intervention , intervention , intervention , intervention , intervention , intervention , intervention , intervention , intervention , intervention , intervention , intervention , -0.328121916954034 , -0.2829754774066 , 0.457323529277366 , -0.429109944599798 , -0.661982526035019 , -0.155251935136859 , -0.417521766864291 , 0.363680831066291 , -0.142747962558757 , -0.360097408764089 , -0.110425620192409 , 0.950973521185771 , 0.333809108075319 , 0.45571050339649 , -0.583875387004119 , -0.460302688545072 , 0.435417232366207 , 0.203435939553234 , 0.0776758827611055 , -0.0583031641815829, 0.288025578078159 , 0.152648942544239 , 0.887745812459894 , -0.439180245968871 , 0.963851951544214 , -1.03063351398979 , 0.585263166748002 , 0.55230456172204 , 1.29952410694584 , -0.0776764466660508, 1.27539479776781 , 0.342152205416193 , 0.161487715588338 , -0.0246494388481404, 0.791135597359188 , 1.1676128341593 , 0.138549837570936 , -0.0683358231222835, 0.182562293550814 , 0.890930792794792 | 0.0114560 |
| 10 | 20 | 0.5 | 0.0 | 1.0 | control , control , control , control , control , control , control , control , control , control , control , control , control , control , control , control , control , control , control , control , intervention , intervention , intervention , intervention , intervention , intervention , intervention , intervention , intervention , intervention , intervention , intervention , intervention , intervention , intervention , intervention , intervention , intervention , intervention , intervention , -0.0636546324431211, -0.310793485360183 , 1.24936222624986 , -0.563803228194681 , -1.03989097409314 , 1.58621307620947 , 0.257675558724625 , 0.431407088981994 , -0.0110702207343833, -0.0664546367860017, -0.946899343963503 , -1.3868582818614 , -0.953808231630601 , -1.51106061966431 , 0.676988149679434 , 1.08955216434903 , 0.530874985996488 , 0.166183463256155 , 1.2692381683378 , -0.263986858003423 , -2.04266904211988 , 0.986404968562882 , 2.54997984516428 , 1.22612825379062 , 0.315232881954031 , -0.0924979865600596, 0.0492783989514691 , -0.173054081816394 , -0.126829104998667 , 1.05362720038737 , 1.59775848802845 , 0.368629917137054 , 1.72760530085682 , 1.08647957747663 , -0.611163334357635 , -1.78103928573464 , 0.731245563549548 , 0.607454077657397 , -1.81472092637525 , 0.802870625775692 | 0.3536460 |
| 10 | 20 | 0.5 | 0.1 | 0.5 | control , control , control , control , control , control , control , control , control , control , control , control , control , control , control , control , control , control , control , control , intervention , intervention , intervention , intervention , intervention , intervention , intervention , intervention , intervention , intervention , intervention , intervention , intervention , intervention , intervention , intervention , intervention , intervention , intervention , intervention , 0.247111161850891 , -0.0575886048399839, -0.331511846307057 , 0.257757864496197 , 0.635689462017178 , -0.311353875153238 , 0.29343120027282 , -0.0466826803898482, 0.548337906024539 , -0.681640664688479 , -0.135521285647224 , -0.0493947432600304, 0.116296925155238 , -0.027267003111748 , 0.0480136091323614 , 0.0411181434076848 , -0.459646928056715 , 0.760043034338686 , 0.60901316245664 , 0.133698327818991 , 0.591535467106335 , 1.20732534752929 , 1.86376096324138 , 0.376254572091095 , -0.090529628112706 , 0.168608393791896 , 1.35680663786079 , -0.0884650204075097, 0.599645627278324 , -0.154967597284609 , -0.0592282572264881, -0.0920977327028131, -0.291888263791166 , 1.31918768372911 , 0.741042608968951 , 0.438837919541635 , -0.227579915517427 , 1.46810730454844 , 1.33295353176486 , 0.608732122143255 | 0.0087983 |
| 10 | 20 | 0.5 | 0.1 | 1.0 | control , control , control , control , control , control , control , control , control , control , control , control , control , control , control , control , control , control , control , control , intervention , intervention , intervention , intervention , intervention , intervention , intervention , intervention , intervention , intervention , intervention , intervention , intervention , intervention , intervention , intervention , intervention , intervention , intervention , intervention , 1.77495226044538 , -1.60580725036245 , 3.00530964135905 , -0.219535701557103 , 0.222665171182821 , 0.444342540180062 , -0.198529633514107 , -0.414090855796091 , 0.0678595183070203 , -0.879241363705438 , 0.715242088035326 , -1.12206896764607 , -0.916441436929996 , 0.302660302440989 , 1.33649576833745 , -0.025780011006615 , -0.0732057072426846, 1.31249881524556 , -0.328636503963385 , -0.108665381425283 , -0.66589745223275 , 0.284480014176175 , 1.83649773262098 , 0.502575178127896 , 0.164342448277908 , 1.03754098610704 , -0.195115548417407 , -0.267933774510453 , -0.443339376659341 , -1.39084425628637 , 0.149423791766443 , 0.35989591790705 , 0.899004005256376 , 2.22068313032324 , -0.637795185111786 , 1.92187152217818 , 1.13038539497349 , -0.431198221000504 , 0.77031689201973 , 0.590609038499754 | 0.4804949 |
| 10 | 50 | 0.0 | 0.0 | 0.5 | control , control , control , control , control , control , control , control , control , control , control , control , control , control , control , control , control , control , control , control , control , control , control , control , control , control , control , control , control , control , control , control , control , control , control , control , control , control , control , control , control , control , control , control , control , control , control , control , control , control , intervention , intervention , intervention , intervention , intervention , intervention , intervention , intervention , intervention , intervention , intervention , intervention , intervention , intervention , intervention , intervention , intervention , intervention , intervention , intervention , intervention , intervention , intervention , intervention , intervention , intervention , intervention , intervention , intervention , intervention , intervention , intervention , intervention , intervention , intervention , intervention , intervention , intervention , intervention , intervention , intervention , intervention , intervention , intervention , intervention , intervention , intervention , intervention , intervention , intervention , -0.207777307006676 , 0.209359440137554 , 0.189869004221225 , 0.332436895309095 , 1.13549614450087 , -1.37630028050991 , -0.353539311035752 , 0.150516447745363 , -0.358358613522954 , 0.671124577388107 , 0.675562863283311 , -0.378354109303109 , -0.0923497768742559, 0.121812701235364 , 0.183537929446508 , -0.568666319340318 , -0.252963374246838 , 0.824908188419228 , 0.117640580527775 , -0.606919524406782 , -0.90148300663387 , 0.591634442318456 , 0.018338465910404 , 1.19128074654095 , 0.251185295056994 , 0.636272418554667 , -0.580596460365648 , -0.585544230727928 , 0.0919273691852224 , 0.17231951164709 , 0.0498037053017109 , 0.302823103136424 , 0.368075187532898 , -0.424538949447079 , 0.254266929978964 , -0.17948039018424 , -0.0864327206237161, 0.117800036518937 , 0.851612590447176 , -0.304940047938985 , -0.730275953973337 , -0.0910345179437214, -0.238890407665569 , 0.684856540003797 , 0.0547806212708587 , 0.449170172617271 , 0.494659370518789 , 0.319115949261539 , -0.678157237859313 , 0.251799911372688 , 0.278737230521585 , -0.660267160579974 , 0.34700793840022 , -0.0403727993468141, 0.978941477040025 , -0.387238621108446 , 0.377019699651827 , -0.028671788400771 , -0.164822485982285 , -0.555447639002736 , 0.274281083998804 , -0.390105607054491 , 0.247918371880583 , 0.565658801994321 , 1.12493582747755 , 0.240326230123905 , 0.474603568740153 , 0.343831358490038 , 0.138146726210698 , 0.454818827901468 , -0.0119068098343585, -0.232372692840662 , -0.265877660779625 , 0.448022527451507 , 0.435998582805218 , -0.101227550063046 , 0.320961820011288 , 0.776614789941798 , -0.653116675327726 , -0.415572547890591 , -1.06019030448927 , -0.545532610255744 , -0.382032362274745 , -0.214227790931471 , -0.114571861948717 , -0.895394520115041 , -0.0388846270594133, 1.29337398616177 , -0.0209137342259294, 0.0489779956058874 , -0.268615826305396 , 0.397047681726598 , 0.119041554584817 , 0.302713644232715 , -0.412632944824407 , -0.112703956410438 , 0.618370846047168 , 0.0454512572141856 , 0.143184308087573 , -0.274922028965026 | 0.9654194 |
| 10 | 50 | 0.0 | 0.0 | 1.0 | control , control , control , control , control , control , control , control , control , control , control , control , control , control , control , control , control , control , control , control , control , control , control , control , control , control , control , control , control , control , control , control , control , control , control , control , control , control , control , control , control , control , control , control , control , control , control , control , control , control , intervention , intervention , intervention , intervention , intervention , intervention , intervention , intervention , intervention , intervention , intervention , intervention , intervention , intervention , intervention , intervention , intervention , intervention , intervention , intervention , intervention , intervention , intervention , intervention , intervention , intervention , intervention , intervention , intervention , intervention , intervention , intervention , intervention , intervention , intervention , intervention , intervention , intervention , intervention , intervention , intervention , intervention , intervention , intervention , intervention , intervention , intervention , intervention , intervention , intervention , -0.157355470376146 , 0.124107381040552 , 0.773922051251687 , 0.36980100985729 , 0.0459065371591964 , 0.280278652910651 , 0.183184262058316 , 0.28636656160293 , 2.11706307238953 , -0.711034068136392 , 0.860359771983261 , -0.100612179437504 , -1.64754412669751 , -0.0787126820327199, -1.25810419435094 , -0.72448733825058 , -1.86563783135205 , -1.17753368654103 , 0.165811137101359 , 0.639807278856127 , 1.02154083067299 , -0.903565721172878 , -1.4233130251621 , -0.306992705532027 , 1.14047383571773 , 0.174877622083321 , -0.880477904793883 , -0.327711775041224 , -1.07087484136401 , 0.869422195159212 , -2.81770229925995 , 0.00863129123176249, -0.208089480199412 , -1.03527370834016 , 0.363040867129735 , -1.53424436895351 , -1.12167866172058 , 1.16042651195881 , -0.0719500560737065, 0.472080300215754 , -0.017952752077267 , 0.799646696772345 , -2.89296059224115 , -1.54593046285405 , 0.314012709192733 , 2.18844713148783 , 0.991163581845393 , 0.531219348215334 , 2.06200254871522 , 1.10016086628483 , -1.28897250126833 , 0.092451172291385 , 0.313196114987786 , -0.511697725170092 , 1.22711844933901 , 0.563879326554442 , 0.75802749937981 , -0.249450456180735 , -0.442138237143077 , -0.605418902307613 , -1.98761100513587 , -0.722966295893257 , -0.834660765153727 , -1.39495444565798 , 0.302623788599244 , 0.14665320550188 , 1.20609031667098 , -0.34725786935924 , 0.586426376775765 , 0.177058138352756 , -0.179913547314485 , -0.0323653247760488, 0.630104005526888 , -0.172470757045574 , -0.0701431564389647, -1.12029074032034 , 1.04509810806568 , -0.992059856695812 , -0.958294583257158 , -0.703970526653554 , -1.3664644237823 , -0.648441841428576 , -0.233508834239212 , -0.379739894522916 , -0.512650379600719 , 1.29768502274733 , 1.43373435707197 , -1.34821371051665 , -0.549576139125254 , 1.34230100653248 , -0.0300727244098129, 0.182952868718555 , 0.0361943803585456 , 1.55704507836117 , 0.514662590816698 , -0.545325043850485 , -0.474545049917003 , 1.15743719506664 , 1.31003287856471 , -1.34893212369653 | 0.9475385 |
| 10 | 50 | 0.0 | 0.1 | 0.5 | control , control , control , control , control , control , control , control , control , control , control , control , control , control , control , control , control , control , control , control , control , control , control , control , control , control , control , control , control , control , control , control , control , control , control , control , control , control , control , control , control , control , control , control , control , control , control , control , control , control , intervention , intervention , intervention , intervention , intervention , intervention , intervention , intervention , intervention , intervention , intervention , intervention , intervention , intervention , intervention , intervention , intervention , intervention , intervention , intervention , intervention , intervention , intervention , intervention , intervention , intervention , intervention , intervention , intervention , intervention , intervention , intervention , intervention , intervention , intervention , intervention , intervention , intervention , intervention , intervention , intervention , intervention , intervention , intervention , intervention , intervention , intervention , intervention , intervention , intervention , -0.480965122918468 , 0.0476101780100889 , -0.125174337073524 , 0.207239435290714 , -0.106763556159204 , -0.201775338416542 , 0.0041674888456624 , 0.433087349045266 , 0.242975396205982 , -0.146073946305432 , -0.198068675182617 , -0.256480481477282 , -0.455489057414672 , 0.0532274058670662 , -0.149912105258484 , 0.213074990064821 , 0.528103580886007 , 0.775481567456263 , 0.231636760951004 , -0.49810904557272 , -0.491636109982534 , 0.00961983514933772 , 0.0469476644816117 , 0.328898905947928 , 0.300843887743234 , 0.457517754862146 , 0.421833287302351 , -0.00104425500159315, -0.35275523550467 , -0.0787389906028906 , 0.599904582695267 , 0.448747998107451 , -0.028982202603769 , 0.243464505435945 , 0.13642186692808 , -0.433911635419841 , 0.215293708053039 , 0.602783549130598 , -0.128632802101351 , 0.0735288166151752 , 0.159768313061702 , -0.597656368238101 , 0.166512296433803 , -0.114863868574271 , 0.00446847779048441 , -0.377628008878866 , 0.54124963364217 , -0.168311419802246 , 0.506203078203402 , 0.362041307688798 , -0.988510040455108 , 0.23852434683801 , -0.48831079368941 , -1.52477242834609 , -0.292423685050486 , 0.165087685034198 , 0.949904400880223 , -0.34990125861903 , 0.119037133768186 , 0.130397839352376 , 0.56702418500384 , 0.389464326458251 , -0.307254549949521 , 0.574525787119944 , 0.488281394069435 , 0.415114304693859 , 1.2715118320878 , -0.393929226944827 , -0.90112621145317 , 0.36342721168165 , -0.214046440866398 , 0.235535663855704 , -0.84678608073313 , -0.135717093544471 , -1.07711559998498 , 0.0579231471239142 , -0.107393517941174 , 0.294473890170375 , 0.1366206810372 , 0.364888260183725 , -0.219913540948672 , -0.247341084557116 , 1.04193650848311 , -0.674414675180236 , 0.934978313357211 , -0.594501932758144 , -0.462771133661769 , 0.0317300722323139 , 0.0926820161080405 , 0.616373177612152 , -0.245752914938659 , 0.0863486213699644 , -0.991353650376685 , -0.811130434202798 , 0.00691410640258637 , 0.240620263978734 , 0.108013367170366 , -0.0987588309027604 , 0.735389758875942 , -0.197750659384664 | 0.3499752 |
| 10 | 50 | 0.0 | 0.1 | 1.0 | control , control , control , control , control , control , control , control , control , control , control , control , control , control , control , control , control , control , control , control , control , control , control , control , control , control , control , control , control , control , control , control , control , control , control , control , control , control , control , control , control , control , control , control , control , control , control , control , control , control , intervention , intervention , intervention , intervention , intervention , intervention , intervention , intervention , intervention , intervention , intervention , intervention , intervention , intervention , intervention , intervention , intervention , intervention , intervention , intervention , intervention , intervention , intervention , intervention , intervention , intervention , intervention , intervention , intervention , intervention , intervention , intervention , intervention , intervention , intervention , intervention , intervention , intervention , intervention , intervention , intervention , intervention , intervention , intervention , intervention , intervention , intervention , intervention , intervention , intervention , 2.56519161841408 , 0.218740306994974 , -0.346371162546316 , 0.693056609922222 , 0.104509271393147 , -0.969384188553887 , -1.23096917348424 , 2.37546060420909 , -0.74716614775221 , 1.01782025915882 , 0.61054909233702 , 1.39482685440267 , -1.00752148968334 , 0.218245058884488 , 1.62280740998648 , 0.613762741265076 , -0.991211707456102 , 0.208908867881503 , 0.797513051577669 , -2.49068963986049 , 0.99789914354459 , -0.299690139711765 , -0.142985823247248 , 0.471160006673524 , 0.0175481858006657 , 1.04108590002162 , 0.665160156776865 , 0.474727890367034 , 0.359788385520433 , -0.718169402379493 , 0.776210896407928 , 0.7488031729808 , 0.79244389799775 , 1.14230007904445 , -1.02263273162074 , -0.0301156575022838, -0.202260099245634 , 0.849740595543414 , 0.594041505102366 , 0.0819038275341249 , 1.53838394200735 , 1.59147383563215 , -0.134366506771128 , 1.98994556426214 , 0.193066318908518 , 1.25286740985863 , -0.714397288371782 , 0.0245901923608712 , 0.161848989220322 , 0.0180719830410968 , -0.508172287547749 , -2.16995968513701 , 0.773130544046188 , 0.96721218446027 , 0.468574467047244 , 0.58706238717893 , 0.704469824087949 , -1.07991378093824 , -0.36691512878577 , -1.32359276308582 , -0.498362769359201 , 1.2615294125621 , 1.22726802578244 , -0.0115154701001891, 0.954776218384172 , 0.0821260678384716 , -1.16785506712233 , -0.625161754718337 , -1.03716890393516 , -0.753406107051729 , -0.679941188566892 , -1.72995572514503 , 1.02363568897601 , -0.0496879767998719, -1.20904862532172 , 0.472251489998972 , 1.00110994318947 , 1.04130731638171 , 0.160302080001085 , 2.50909123466049 , 0.685499027332827 , -1.16658484214613 , 1.18494731144975 , 1.15596339861335 , 0.452186313360944 , -0.268134244345472 , -0.200931954638216 , 0.562583713242737 , 1.08126131755804 , 1.16644872624031 , 0.59918860007911 , -0.711332039532984 , -1.29272061581501 , -1.22096231748494 , -1.31041671031411 , -0.605410530925184 , -0.369820531463745 , -2.15806004938519 , -0.974212984523825 , -2.90423580378237 | 0.0259771 |
| 10 | 50 | 0.5 | 0.0 | 0.5 | control , control , control , control , control , control , control , control , control , control , control , control , control , control , control , control , control , control , control , control , control , control , control , control , control , control , control , control , control , control , control , control , control , control , control , control , control , control , control , control , control , control , control , control , control , control , control , control , control , control , intervention , intervention , intervention , intervention , intervention , intervention , intervention , intervention , intervention , intervention , intervention , intervention , intervention , intervention , intervention , intervention , intervention , intervention , intervention , intervention , intervention , intervention , intervention , intervention , intervention , intervention , intervention , intervention , intervention , intervention , intervention , intervention , intervention , intervention , intervention , intervention , intervention , intervention , intervention , intervention , intervention , intervention , intervention , intervention , intervention , intervention , intervention , intervention , intervention , intervention , 0.236158293970615 , 0.202269580038799 , -0.373708965608993 , 0.836545005850747 , 0.42695918635739 , 0.383632086153845 , -0.918948973248157 , 0.0865706917190411 , -0.19869832021247 , 0.231351612886991 , 0.0176001932198779 , -0.0520439382081165 , -0.0402633863793886 , -0.403573840640944 , 0.0283247446199133 , 0.677249577473234 , -0.376903341150291 , -1.08629552801252 , -0.00862708352192599, 0.00636190338280003 , -0.400941912228369 , 0.136168974409288 , 0.0290057643044602 , 0.483351123704854 , 0.307314607055676 , 0.663646189648641 , -0.291997687499578 , 0.679012561241235 , 0.824440742226005 , 0.322003523034479 , -0.937806778102701 , -0.196174921432749 , -0.185680484936509 , -0.0354102788142118 , -0.356406406646527 , 0.058307267122105 , 0.0822858123916267 , 0.574065099400748 , -0.333726982705044 , 0.515241179072754 , 0.460057503641567 , 0.0345385726488369 , 0.820924091468919 , 0.153009369341939 , -0.332129573756198 , -0.136763562900526 , 0.447385296430677 , -0.350635750720491 , 0.196870449059489 , -0.250193947871998 , 0.654342453340465 , 0.761897545527202 , 1.09863643987791 , -0.535878732077918 , 1.42778769512273 , 0.902029108763953 , 0.0514035035964793 , 0.501605978047924 , 0.797266691030513 , 0.429444541861157 , -0.0353503792763619 , 0.486802474198676 , 0.691506369116703 , 1.34515805383835 , 0.0852540576476957 , 0.702359453843501 , 0.336354534617211 , 0.392926315106841 , 0.315804258163803 , 1.53022688904692 , 0.633095562977026 , 0.561610991333915 , 1.05779653473385 , 0.454112525877611 , 0.645392396538683 , 0.641187199677827 , 0.394405033760578 , 0.415632627605652 , 0.519884962905939 , 0.900553517667257 , -0.0650235946194887 , -0.00859050782401971, 0.425776628456621 , 0.708068817812075 , -0.185226337308197 , 0.656483731000431 , -0.025348121723364 , 0.377354390765891 , 0.294462002514579 , 0.445384989742023 , 0.612643720227536 , 0.362808824825522 , 0.373458824379322 , 0.323880473505133 , 0.584743943421155 , -0.321100072728702 , 0.464067101401145 , 0.27094776959435 , -0.386723269430106 , 0.551550042432468 | 0.0000047 |
| 10 | 50 | 0.5 | 0.0 | 1.0 | control , control , control , control , control , control , control , control , control , control , control , control , control , control , control , control , control , control , control , control , control , control , control , control , control , control , control , control , control , control , control , control , control , control , control , control , control , control , control , control , control , control , control , control , control , control , control , control , control , control , intervention , intervention , intervention , intervention , intervention , intervention , intervention , intervention , intervention , intervention , intervention , intervention , intervention , intervention , intervention , intervention , intervention , intervention , intervention , intervention , intervention , intervention , intervention , intervention , intervention , intervention , intervention , intervention , intervention , intervention , intervention , intervention , intervention , intervention , intervention , intervention , intervention , intervention , intervention , intervention , intervention , intervention , intervention , intervention , intervention , intervention , intervention , intervention , intervention , intervention , -0.435489316706595 , -0.956165384951923 , -0.286923241643159 , -0.429224829410498 , 0.770869718032679 , -0.841006619661663 , 1.32045662111505 , 1.03224403124856 , -1.19370399218052 , -0.804209643850158 , -1.05318031043474 , 1.03260039485235 , 0.614106118726984 , -1.07449344519237 , -1.40903687474955 , 1.00396550713713 , -1.93396007166663 , -0.363413706768277 , -1.97854672833924 , -1.7925226584077 , 1.42952409941359 , -1.51179464123616 , -0.0861956517025991, 1.56407398340609 , -1.28894579062465 , -0.610720040403912 , 0.798719991908479 , 0.354683205501844 , -1.29319239532791 , 0.53502325269425 , -1.30725238527347 , 0.751173403532397 , -0.521002708560698 , 0.330010234520933 , -1.05412859162509 , -0.30634273305964 , 1.63750531949172 , 1.13806230584207 , 1.76157082066304 , 3.39721349923804 , 0.427784207471595 , 0.265383843900001 , -0.0444850700636979, 1.43197890298714 , -0.0190776280592598, 0.604797621883109 , -0.464331384729081 , -1.01708088453553 , 0.1438789115723 , 0.550410608062837 , 0.83363697830012 , 0.704563181863601 , 1.50837311492628 , 0.181672250546402 , 0.0971530094831616 , -0.317958013447792 , -0.814239743155104 , 1.19539118559849 , -1.83391384000283 , 0.111690955091311 , -0.106880812512258 , -0.543959539627092 , -0.723559331382889 , 1.24204529949549 , 0.0460171567715184 , -0.400566698758351 , -0.117987167617428 , 0.56972902323783 , 0.413393615540009 , -0.511529598815156 , -0.697197543399977 , 0.936885842504125 , 2.14685889737359 , -0.245299648381274 , -0.952085116470616 , 1.25992525754304 , 1.12175859271063 , -1.11606649825201 , -0.42979539438856 , 0.547126193438215 , -0.0127506336506977, 0.40745234519598 , -0.71130445024143 , 0.223022760707624 , 0.819758593985348 , -0.28007931714277 , -1.02215439376576 , 1.73732329386147 , -0.498254812124525 , 1.41783624301826 , 2.24553202621652 , 1.26777618593042 , 0.852390019239087 , 0.108730553067922 , -0.595553243223556 , 0.0338026516839846 , 0.288300868484707 , 0.735265334860366 , 1.47893252232752 , -0.485347101044158 | 0.1977762 |
| 10 | 50 | 0.5 | 0.1 | 0.5 | control , control , control , control , control , control , control , control , control , control , control , control , control , control , control , control , control , control , control , control , control , control , control , control , control , control , control , control , control , control , control , control , control , control , control , control , control , control , control , control , control , control , control , control , control , control , control , control , control , control , intervention , intervention , intervention , intervention , intervention , intervention , intervention , intervention , intervention , intervention , intervention , intervention , intervention , intervention , intervention , intervention , intervention , intervention , intervention , intervention , intervention , intervention , intervention , intervention , intervention , intervention , intervention , intervention , intervention , intervention , intervention , intervention , intervention , intervention , intervention , intervention , intervention , intervention , intervention , intervention , intervention , intervention , intervention , intervention , intervention , intervention , intervention , intervention , intervention , intervention , -0.532858078253727 , 0.41770540917847 , 0.632389731614505 , -0.361723594528626 , 0.732696199356625 , -0.529456703942945 , 0.332485372781614 , 0.808636151470637 , 0.417295405521063 , -0.777507145775388 , 0.934261196443077 , 1.29650827462214 , 0.911599756399227 , 0.728734931038439 , 0.924306227717445 , -0.0897469388756784, 0.246829427971271 , 0.108299856133395 , 0.580421203846934 , -0.106669002885628 , -0.491400175792173 , -0.427814921942467 , 0.204576536227303 , -0.0309627271262818, 0.288643805700241 , -0.221619182846893 , 0.933679027016171 , 0.107634072599111 , 0.0555235463301296 , 0.167777242812307 , 0.862683689458647 , -1.05604745234006 , 0.30090109752884 , 0.957470944891617 , 0.570926843797068 , -0.538638219542446 , -0.658374454836847 , 0.408302263788257 , -0.0889556164663585, 0.474687594088296 , 0.152650878148329 , -0.292928257817461 , -0.011612189781135 , -0.325312575439591 , -0.656626441536664 , -0.0240955873092905, 0.411685673803317 , 0.781517802966466 , 0.51467113268214 , 1.3204730347284 , 0.547786475517766 , 0.252267746025526 , 0.80977509273682 , 1.02507627543029 , 0.110358779332308 , 0.269610171761345 , 0.292585254692116 , 0.600736961637681 , 1.61195278115624 , 0.481558272991882 , 0.889298958938868 , 0.292362923068825 , 0.242755490370315 , 0.495397443924477 , 0.0282834564233053 , 0.280617259597652 , 1.37942170744326 , 0.38734708067166 , 0.521091903470316 , 0.484361728358632 , 0.67950962928188 , 0.137253119527697 , -0.566077361106994 , 1.11748411444566 , 0.65402642882494 , 0.327908823790004 , 0.467046221671334 , 1.2906386006375 , -0.0559701927790983, -0.315146892291078 , 1.11853204971553 , 1.34703734918177 , 0.217931227803106 , 0.561045297533522 , 1.07381861034445 , 1.11049532661133 , -0.0750817262729385, 0.411579907179372 , 0.798851880670271 , -0.0899285642911002, 0.757461724979868 , -0.233697847145667 , 0.429622470324049 , 1.21495563951715 , 0.2697540453848 , 0.4710586175004 , 0.26590504027788 , 1.1231179603922 , 0.519229148682164 , 0.135034290539306 | 0.0031163 |
| 10 | 50 | 0.5 | 0.1 | 1.0 | control , control , control , control , control , control , control , control , control , control , control , control , control , control , control , control , control , control , control , control , control , control , control , control , control , control , control , control , control , control , control , control , control , control , control , control , control , control , control , control , control , control , control , control , control , control , control , control , control , control , intervention , intervention , intervention , intervention , intervention , intervention , intervention , intervention , intervention , intervention , intervention , intervention , intervention , intervention , intervention , intervention , intervention , intervention , intervention , intervention , intervention , intervention , intervention , intervention , intervention , intervention , intervention , intervention , intervention , intervention , intervention , intervention , intervention , intervention , intervention , intervention , intervention , intervention , intervention , intervention , intervention , intervention , intervention , intervention , intervention , intervention , intervention , intervention , intervention , intervention , 0.256523108941014 , -1.7081308525324 , 0.166882108507161 , -1.28727989010503 , 0.253815976526054 , 2.70139115896157 , 1.20092033493535 , 1.53339629314355 , 0.590718397098437 , 0.361331784617802 , -1.92145281567683 , 0.461781691453148 , 1.54372232337664 , -1.40537969597888 , -0.473324416658414 , 0.322277376995449 , 0.961256524134991 , -0.158212175963805 , -0.584401739649132 , 1.38600616745724 , -0.0805057975805933, 1.71316667173026 , -0.888473327455252 , 0.611531468901002 , -1.00979654350748 , 2.11343366230821 , -1.46267477575106 , -0.446728261213588 , 0.608996635327931 , -0.921190167425663 , 0.330626018900702 , -0.702977740787923 , 0.228831033906547 , -1.37566948843988 , 0.789772297942688 , 0.260823581591913 , 1.83215193616751 , 1.55451627849152 , -1.0965105862275 , -0.11500841363758 , -0.422386532699159 , 0.161977835240124 , -1.31523536981411 , 0.114906812810092 , -0.0482550539384196, -0.724889142168771 , 1.16263012619662 , -0.1934592168512 , 0.0907594556489 , -0.0799165926586411, 0.553232228649532 , -0.0814816610844821, 2.10550476771184 , -0.492910195872778 , 0.321769712098168 , 1.43265693542929 , 0.91843877094511 , -0.249821399756402 , 0.93320752444007 , 0.270935913310299 , -0.0888435505804098, -1.52971748060714 , 0.764698442904108 , -0.184526225886372 , 1.92439491152416 , 0.0298049142017082 , -0.669198892046817 , -0.3209810943594 , 1.6623302650245 , 0.806502425001791 , -0.0422833049059843, 1.4118957619939 , -2.07829303861529 , 1.51481362568358 , 0.433916414468027 , 0.184942973894314 , 1.66919584395089 , 0.419380869543417 , 1.24725797942381 , 0.676314531368666 , 1.74019283213172 , 2.29116449228855 , 1.79231377579221 , -0.47184512155677 , 0.474277053844692 , -0.0358105338621811, 1.14345632255752 , 0.661761482193361 , -0.718296733910115 , 0.268724755575615 , 0.140079410901254 , -1.80473091739105 , -0.413090768367041 , 1.09838425406202 , -1.06371289824567 , -0.58654517304594 , 2.35388214569432 , -0.683532680571162 , 0.887409307744073 , 0.953207580908714 | 0.1138842 |
| 11 | 20 | 0.0 | 0.0 | 0.5 | control , control , control , control , control , control , control , control , control , control , control , control , control , control , control , control , control , control , control , control , intervention , intervention , intervention , intervention , intervention , intervention , intervention , intervention , intervention , intervention , intervention , intervention , intervention , intervention , intervention , intervention , intervention , intervention , intervention , intervention , 0.539399076308242 , -0.23270926033301 , 0.585307941541083 , 0.433844581252583 , 0.165412681968319 , 0.286652925323464 , 0.122202090174501 , 0.348296917121143 , 0.493908044586944 , 0.0619632637364593 , -0.705962824645645 , -1.26771346785315 , 0.674758568571523 , 0.354912731032171 , -0.243027342624301 , 0.971386116729413 , -0.0209757633293082, -0.0871371158589768, -0.965053562376402 , 1.20705369848866 , 0.329256111592317 , -0.36874792025193 , 0.120241969319963 , 0.740873621283841 , -0.308900741626493 , 0.523822414492142 , 0.263814199377783 , 0.0375871217111296 , 0.650272232110807 , -0.373013290898116 , -0.163504211425009 , -0.217006726572449 , -0.118823883888737 , 0.454778669599328 , -0.501638306601811 , -1.03395778105324 , -0.0356874427807292, -0.394291788220975 , 0.407330193235268 , -0.0756866986737355 | 0.4146622 |
| 11 | 20 | 0.0 | 0.0 | 1.0 | control , control , control , control , control , control , control , control , control , control , control , control , control , control , control , control , control , control , control , control , intervention , intervention , intervention , intervention , intervention , intervention , intervention , intervention , intervention , intervention , intervention , intervention , intervention , intervention , intervention , intervention , intervention , intervention , intervention , intervention , -1.01300875007115 , -1.14057738249323 , 0.335406071314919 , -0.157137962138519 , -0.441879638406286 , -0.16818332360681 , 0.970793879756595 , 0.387197858411429 , -0.572066672821178 , 1.36841161775668 , -0.684801683325876 , 0.851768367154419 , 2.28600762961547 , -0.466762250049262 , -0.881555631956363 , -1.0093511253224 , 0.459067895436177 , 1.27347517610361 , -0.683623804955592 , -2.23741321736119 , 0.181945431191642 , -0.0951086378542082, 1.57259210652801 , -0.419559229056663 , -0.500043513274756 , 1.0107515727138 , -0.08156375252294 , -0.0277879995016697, 1.26152245365912 , -0.110952654209173 , -0.753920664783344 , 1.54738104773296 , -0.727606017568771 , 0.921240244431427 , -0.381809394585385 , 1.31321633662926 , 0.204746939917824 , 0.418042891988498 , -0.381401902303883 , -1.60795704906449 | 0.4325652 |
| 11 | 20 | 0.0 | 0.1 | 0.5 | control , control , control , control , control , control , control , control , control , control , control , control , control , control , control , control , control , control , control , control , intervention , intervention , intervention , intervention , intervention , intervention , intervention , intervention , intervention , intervention , intervention , intervention , intervention , intervention , intervention , intervention , intervention , intervention , intervention , intervention , 0.0487209312920357 , -0.239885064725137 , 0.24188931953088 , 0.762097796912536 , -0.178704331868578 , 0.164668402594978 , -0.590843675680717 , 0.532968209838388 , 0.104312809965644 , -0.254713098211674 , -1.29267113830902 , -0.22943930754594 , 0.321943925710304 , 0.537267701810192 , 0.741029960150687 , -0.851292093157114 , -0.434324435050995 , -0.957636029594415 , -0.230686887660424 , 0.778082215131973 , 0.223636561131385 , 0.0321403640017538 , -0.373341835176628 , -0.146530383525067 , -0.0252739050740337, 0.285520522469517 , -0.11382475945301 , 0.190569476502898 , -0.418231555257513 , -0.620540777628401 , 0.281056240514446 , 0.232418862260447 , 0.0740237987740907 , 0.808290202509149 , 0.125096300660299 , -0.731286087579575 , 0.146864071397819 , -0.301965522771025 , 0.153908905074497 , 0.164043623289209 | 0.7433724 |
| 11 | 20 | 0.0 | 0.1 | 1.0 | control , control , control , control , control , control , control , control , control , control , control , control , control , control , control , control , control , control , control , control , intervention , intervention , intervention , intervention , intervention , intervention , intervention , intervention , intervention , intervention , intervention , intervention , intervention , intervention , intervention , intervention , intervention , intervention , intervention , intervention , 0.09025896813146 , 1.18109989231003 , -0.472087153855572 , 0.258499942165799 , -1.73571828448491 , -0.530180246646085 , -0.273971341500119 , 1.21631671078151 , 0.801622107598044 , -1.36764422278763 , -0.0105806802865816 , 0.758763760311391 , 0.102300497577294 , 0.622003957225476 , -1.80874933933713 , -0.150347072387857 , 0.939569036825525 , 1.43120993924116 , -0.0667446678543898 , -2.1570008181362 , 0.976557736350773 , 0.173267454031331 , 1.52116521947766 , -0.288587871193869 , 1.13324834283207 , 0.66726347033529 , -0.866716995506302 , -0.00993040269650025, -0.538598312156688 , -0.262534719574081 , -1.34247889388747 , -0.321222859854644 , -0.171844469081298 , -0.64555373194912 , 0.126862852956885 , 0.781688174088516 , -1.33080512364768 , -0.902619917834403 , -1.44904712991234 , 2.91079494749354 | 0.8444316 |
| 11 | 20 | 0.5 | 0.0 | 0.5 | control , control , control , control , control , control , control , control , control , control , control , control , control , control , control , control , control , control , control , control , intervention , intervention , intervention , intervention , intervention , intervention , intervention , intervention , intervention , intervention , intervention , intervention , intervention , intervention , intervention , intervention , intervention , intervention , intervention , intervention , -0.0562812106371703 , 0.0818208409972881 , -0.987566324385968 , 0.929439248550542 , -0.840117134462744 , -0.318029034864341 , -0.0851709393896681 , 0.676844552031382 , -0.667140117471463 , -0.106361150539873 , 0.174716675594426 , 0.656514904367047 , -0.269474795246754 , -0.104757760176047 , -0.190306020012059 , 0.158677082833727 , -0.409728508478331 , 0.333512093105479 , 0.0466068150325737 , -0.148239989554814 , 0.588655916913166 , 0.852546128655578 , 0.452045954655094 , 1.32284578846375 , -0.373079415293562 , 0.609893669440524 , 0.0968840715118083 , -0.160037154414861 , 0.509456192072759 , 0.298307869529057 , 0.140185022810488 , 1.22126387691884 , 0.166616857007244 , 1.2084659492505 , 0.840251498562585 , -0.00802109460264988, 0.253000148178654 , -0.0516051982636673 , 0.863639294220153 , 0.0694060995162216 | 0.0022644 |
| 11 | 20 | 0.5 | 0.0 | 1.0 | control , control , control , control , control , control , control , control , control , control , control , control , control , control , control , control , control , control , control , control , intervention , intervention , intervention , intervention , intervention , intervention , intervention , intervention , intervention , intervention , intervention , intervention , intervention , intervention , intervention , intervention , intervention , intervention , intervention , intervention , -0.527418355618676 , 0.397941175189603 , 0.92278366046153 , 0.460388817392149 , -0.0299625486945121, -1.37018680578827 , 0.0144943583837463 , 0.0679216367419888 , -0.344586832293282 , -0.0597774143814066, 1.21488929538445 , -1.38385426969634 , -0.712591453242486 , -0.0315140154386699, -0.598047462095342 , 0.479607092269869 , -1.0839123705621 , 0.31133173000138 , -2.23575079665075 , -0.953433353420157 , -0.0385082837501655, -0.135776336517439 , -0.905482465979263 , -0.182814801327992 , -0.418881506118857 , -0.61897597688328 , -1.13145265922504 , -0.711936507729301 , 2.10298068710319 , -0.389014651397945 , -0.622431609817228 , 0.0365527544981394 , -0.612581938520212 , -1.71959411522727 , 1.7338446631089 , 0.624844634338028 , 2.19372202593413 , 1.08843086065007 , 0.840904030707495 , 0.199301389422593 | 0.2716275 |
| 11 | 20 | 0.5 | 0.1 | 0.5 | control , control , control , control , control , control , control , control , control , control , control , control , control , control , control , control , control , control , control , control , intervention , intervention , intervention , intervention , intervention , intervention , intervention , intervention , intervention , intervention , intervention , intervention , intervention , intervention , intervention , intervention , intervention , intervention , intervention , intervention , -0.419916712931702 , -0.308034459928238 , 0.113743596295457 , 0.659059507818215 , 0.742628370001992 , -0.500585240984902 , 0.20561718570559 , 0.398496871402922 , 0.195350175637932 , -0.0125176090351563, 0.150005477699662 , -0.245900459892339 , -0.194329735931062 , 0.467002515567621 , 0.73515965261214 , 1.7785942628242 , -0.683216334175364 , -0.807037613716238 , -0.880551881478676 , 0.229365108468851 , -0.534585279916314 , 0.955187460438154 , 0.855554149686321 , 1.62509818232247 , 0.486674581506025 , 0.553418496295793 , 1.14304691128736 , 0.241769892622293 , -0.0866293422957961, 0.325919085086026 , 0.227681041405843 , -0.494065057581261 , -0.0490770993661693, 0.618094248691073 , 0.548851382505136 , 0.578306063072728 , 0.249763475821082 , -0.807672711035165 , 0.806677254940243 , 0.299901817204414 | 0.1330817 |
| 11 | 20 | 0.5 | 0.1 | 1.0 | control , control , control , control , control , control , control , control , control , control , control , control , control , control , control , control , control , control , control , control , intervention , intervention , intervention , intervention , intervention , intervention , intervention , intervention , intervention , intervention , intervention , intervention , intervention , intervention , intervention , intervention , intervention , intervention , intervention , intervention , 0.181736394428505 , 0.506569103579069 , 0.179354867584676 , 0.914423512983266 , -0.1905507779143 , 0.0421584064681337, 1.06887387113537 , -1.57811668908082 , 1.1146395767917 , -1.71166934727595 , 0.718931205442593 , 0.461663885861773 , 1.3738507760253 , 1.27766356833248 , 0.291954413579429 , 1.71666498507712 , 0.815509720760552 , -1.59867989152903 , -0.113569889921035, 0.124944475403447 , 2.77546895271415 , 1.25001095413214 , 0.453440295184379 , 2.14112868037855 , 0.339321049032619 , 2.68142279008367 , -1.78019094759463 , 0.718984603878441 , 2.83287977881543 , -0.419634279256371, -1.09336454815581 , -0.107173197445804, -0.622227747799236, -0.245998409061763, 1.41548222481638 , 0.838008410334558 , -0.937082177366441, 0.440910322316474 , 0.146245620189103 , -1.11190543273949 | 0.5851661 |
| 11 | 50 | 0.0 | 0.0 | 0.5 | control , control , control , control , control , control , control , control , control , control , control , control , control , control , control , control , control , control , control , control , control , control , control , control , control , control , control , control , control , control , control , control , control , control , control , control , control , control , control , control , control , control , control , control , control , control , control , control , control , control , intervention , intervention , intervention , intervention , intervention , intervention , intervention , intervention , intervention , intervention , intervention , intervention , intervention , intervention , intervention , intervention , intervention , intervention , intervention , intervention , intervention , intervention , intervention , intervention , intervention , intervention , intervention , intervention , intervention , intervention , intervention , intervention , intervention , intervention , intervention , intervention , intervention , intervention , intervention , intervention , intervention , intervention , intervention , intervention , intervention , intervention , intervention , intervention , intervention , intervention , 0.279910250535966 , 0.0955433702615677 , 0.158025804510853 , -0.456797914503723 , -0.844482145411509 , -0.409911644886881 , 0.153497514394557 , -0.0647677421496872, -0.427915609352238 , -0.306153908326867 , 0.307168638745038 , 0.581284435003321 , 0.0443732612017539 , -0.328303679792121 , -0.0818596147798274, 0.102460728539831 , -0.373122362136434 , -0.504269796016684 , -1.09496571380848 , 0.163346744177549 , -0.147616301729453 , 0.452315168007844 , 0.713612878465247 , -0.90120883860338 , 0.414603215168488 , 0.164302638002754 , 0.245717094628492 , 0.106509205440343 , 0.690522692355588 , 0.0301157082169448 , 0.564446754098798 , -0.163986123184575 , 0.463489502995794 , 0.301471077617233 , -0.19712783617171 , 0.274015450677211 , 0.0635638437096805 , -0.157325077486011 , 0.719225296599079 , -0.363897335565349 , -0.337835843104785 , -0.0179629228478176, 0.200026246023616 , -0.182904953441117 , 0.436635654487337 , 0.19481036006553 , 0.142478001740066 , 0.228123206631585 , 0.00641179237490662, -0.110437625325351 , 0.535579500387111 , -0.124606818099802 , 0.0929662358422459 , -0.0896192647355771, 0.104267293223501 , 0.288756846863287 , -0.303360830136465 , 0.280089298594022 , -0.019427219381762 , 0.201401627830993 , -0.167101113095086 , -0.144093859019533 , -0.505192141260545 , 0.375619883837499 , -0.775097790457903 , 0.654093215826418 , -0.325857409872144 , -0.771680436028978 , -0.180602721264139 , -0.233198425207576 , 0.657973536565651 , 0.162651772934753 , -1.09195195266363 , 0.303517591783151 , -0.561578918192385 , -0.0510056232120013, 0.0783239993441119 , -0.462743661455874 , 0.222286986418422 , -0.547523202532354 , 0.368281883680461 , -0.100026030820729 , -0.341023207376103 , -0.151599056309882 , 0.28694304841617 , 0.208686241104261 , 0.0466313327435215 , 0.300081158347237 , 0.511736356802444 , -0.32074013604296 , 0.196801143068663 , 0.0984216543024383 , 0.188201745742088 , -0.115413301500543 , -0.014729607054169 , -0.974245971224909 , 0.54735028063135 , -0.375422012164334 , 0.0909980035357004 , -0.865545440683152 | 0.3759420 |
| 11 | 50 | 0.0 | 0.0 | 1.0 | control , control , control , control , control , control , control , control , control , control , control , control , control , control , control , control , control , control , control , control , control , control , control , control , control , control , control , control , control , control , control , control , control , control , control , control , control , control , control , control , control , control , control , control , control , control , control , control , control , control , intervention , intervention , intervention , intervention , intervention , intervention , intervention , intervention , intervention , intervention , intervention , intervention , intervention , intervention , intervention , intervention , intervention , intervention , intervention , intervention , intervention , intervention , intervention , intervention , intervention , intervention , intervention , intervention , intervention , intervention , intervention , intervention , intervention , intervention , intervention , intervention , intervention , intervention , intervention , intervention , intervention , intervention , intervention , intervention , intervention , intervention , intervention , intervention , intervention , intervention , 0.754175258982513 , -1.16201569702474 , 0.133107347574274 , -0.891828933245624 , 0.957393845758306 , -0.646046546676482 , 0.61640718720248 , -1.90422284252069 , -0.774544285436789 , 0.482498122380546 , -0.454448381462496 , 1.40912699705536 , -0.521882506713513 , -1.2379024872195 , -0.515859729556483 , -0.0410179176988654 , 1.31512071479248 , 0.30365459038096 , 0.47587809069316 , -0.455673817414992 , 1.40238418741894 , 0.485846434087099 , -0.400264183162542 , 1.23622196831329 , 0.430252286225572 , -0.541597359510995 , -0.328771402711882 , 1.44489638797171 , -0.213052084543131 , 1.32083683579975 , -0.408831296318621 , 1.79729530870279 , -0.480111001490666 , 1.56414463969802 , -1.65259590751846 , -1.62639835489761 , 1.08904716763422 , -1.47007639281374 , 1.23556957698987 , 0.566435306036603 , -0.0277200627422443 , 0.374234684006335 , 1.21516395687331 , 0.249164784387648 , -0.00375005550278439, -0.342816638479373 , 0.299366338405924 , -0.280713673516503 , -1.57767498969963 , 0.722503811832014 , -0.518468011815306 , -1.58613104744359 , -1.14295549822236 , 1.03643259567169 , 1.62146055416965 , -1.84402592831974 , -0.887355087759592 , 0.756378644993759 , -0.50563895160993 , -0.93959472736014 , 0.0659159653424191 , -0.520355450152682 , 1.12220250218235 , -0.66408520817389 , -0.639738309749885 , -0.332933553618871 , 0.374811230651584 , 0.697716523484279 , -1.09584853506146 , 0.295027699968919 , -0.934810201070494 , -0.438604129335852 , -1.17763968303264 , 1.46168708738534 , 0.8828857646994 , -0.0535357049425609 , 0.439588540999178 , 0.511666111800907 , 0.142850288702329 , 2.38994442246853 , 0.712988614352545 , 1.91473503091576 , -1.37071384379587 , 0.113422453991565 , -0.602980368773355 , 1.92212506928495 , -0.401013956884535 , 0.200069649834094 , -0.248090049387535 , 0.174409259800404 , -0.188159920583194 , 0.685558794389753 , -0.868270817709808 , -0.416035489592351 , -1.53986140141447 , -0.533767522161919 , 1.85417912097735 , 1.42959796499609 , 0.633880512970833 , -1.22291576037712 | 0.7513754 |
| 11 | 50 | 0.0 | 0.1 | 0.5 | control , control , control , control , control , control , control , control , control , control , control , control , control , control , control , control , control , control , control , control , control , control , control , control , control , control , control , control , control , control , control , control , control , control , control , control , control , control , control , control , control , control , control , control , control , control , control , control , control , control , intervention , intervention , intervention , intervention , intervention , intervention , intervention , intervention , intervention , intervention , intervention , intervention , intervention , intervention , intervention , intervention , intervention , intervention , intervention , intervention , intervention , intervention , intervention , intervention , intervention , intervention , intervention , intervention , intervention , intervention , intervention , intervention , intervention , intervention , intervention , intervention , intervention , intervention , intervention , intervention , intervention , intervention , intervention , intervention , intervention , intervention , intervention , intervention , intervention , intervention , -0.142452174781757 , 0.141869911117389 , 0.0516627518346652 , -0.23714666880429 , 0.0337761400333911 , 0.555576400420731 , 0.909770574055011 , 0.975713259132322 , -0.215935712840824 , 0.218996845847348 , 0.750545464557977 , 0.980947728988329 , -0.0503312954146607 , -0.118204673478017 , 0.552436709681118 , 0.25620585405818 , 0.659045428411643 , -0.262514351387692 , 0.499278426230957 , 0.0136991726783823 , -0.182290696250419 , 0.23633018877505 , -0.0729123142051756 , -0.394486367428863 , 0.437714014812138 , 0.889407489915598 , 0.0806542044963412 , 0.404160402105663 , 0.258773121295714 , -0.243448966574997 , 0.16973667948846 , 0.450431353750126 , 0.624901999796329 , 0.809847296031705 , 0.670474460141121 , -0.00708421515514704, 0.715343037182797 , -0.468562328679528 , 0.355670255966889 , 0.361120471283219 , 1.18022669497127 , 0.157447317423127 , -0.10794125177512 , -0.454510581362323 , 0.166050036565994 , -0.314318976665994 , -0.280229347337894 , -0.575731885575136 , 0.300609081808254 , -0.520793821778394 , 0.314303004389324 , -0.524300202708052 , -0.179673656837415 , 0.150518003949231 , 0.406765430488176 , -1.04808584992436 , -0.35882848939873 , 0.425202020046862 , 0.120867771201102 , -0.318160103876375 , -0.283258544828221 , 0.400524734341518 , 1.26480701304498 , -0.606249337371858 , 0.0100358686079669 , 0.388275426735662 , 0.0935204323295747 , 0.573528227981333 , 0.812359772237664 , -0.430899849789748 , -0.666642725836362 , -0.310757704414347 , -0.317343243177742 , 0.0295942879165776 , 0.131454096251672 , 0.202439639128439 , 0.147653024832348 , 0.362635052059023 , 0.0201220724230001 , 0.827840496318037 , -1.1303044013112 , 0.295076362116234 , -0.311911072430317 , -0.584466611124647 , -0.224524283371087 , 0.574841375879259 , -0.156732333666884 , 0.222758729515024 , -0.648399666868397 , -0.062465031503602 , 0.492736507409555 , 0.455260499400798 , -0.349702284570493 , -0.272793720927069 , 0.596447489583689 , -0.0356097518236757 , 0.531278849215989 , -0.313013889495665 , 0.196934957019777 , 0.101842467797489 | 0.0492176 |
| 11 | 50 | 0.0 | 0.1 | 1.0 | control , control , control , control , control , control , control , control , control , control , control , control , control , control , control , control , control , control , control , control , control , control , control , control , control , control , control , control , control , control , control , control , control , control , control , control , control , control , control , control , control , control , control , control , control , control , control , control , control , control , intervention , intervention , intervention , intervention , intervention , intervention , intervention , intervention , intervention , intervention , intervention , intervention , intervention , intervention , intervention , intervention , intervention , intervention , intervention , intervention , intervention , intervention , intervention , intervention , intervention , intervention , intervention , intervention , intervention , intervention , intervention , intervention , intervention , intervention , intervention , intervention , intervention , intervention , intervention , intervention , intervention , intervention , intervention , intervention , intervention , intervention , intervention , intervention , intervention , intervention , -0.877550719850772 , 2.19429964608957 , 1.18085868681348 , -0.427730724859832 , 1.61917599110596 , 0.685490017924178 , 1.03425153935351 , -0.146988633993474 , 0.22426586918746 , -0.889585129748498 , 0.730371287854359 , 1.04492422323219 , -0.123237297201818 , 0.348784887948609 , 2.66341096799851 , 1.36975160490126 , 0.268218735160403 , -0.285173556202842 , 1.58380065436564 , 1.07978147898955 , -1.31399208014515 , 0.208928349413221 , 0.2590809786125 , 1.20728553276379 , -1.10892322672261 , -1.16163504331509 , 2.15882268240246 , 0.160524697324121 , -1.57422612000172 , 0.0433378767551277 , -0.0355274572691463, -0.359674440331154 , -1.25337165401243 , 0.465105354036977 , -0.469221142048665 , -0.0812455135709897, 1.1654169137452 , -0.29647433154801 , -0.462904077022389 , -0.0496970435842008, 1.43091604561285 , -2.24292934017065 , -0.607823255895346 , -1.46657401436629 , -1.04445980640867 , -1.19470680349605 , 0.935816807379126 , -0.282132151873709 , -1.68416715145039 , -0.364325538918106 , -0.680054895515993 , 0.408517665570597 , -0.387856809117283 , 1.38457255112379 , 0.763940274220793 , -0.3170034472659 , -2.10600349756956 , 1.2670931452221 , 0.0938122873148058 , 1.699723801295 , 0.266613492447379 , -0.0361876297114118, -3.11247910211892 , -1.3170622847813 , 0.406161427085152 , -1.04339225226173 , -0.339314670765972 , -0.472397308029471 , 0.171667800411276 , 0.788340101162802 , 0.972958667665695 , -0.681880178311103 , -0.126266183546323 , 0.391322994138094 , 0.372242165558639 , 1.30937889253506 , -0.934831814353944 , -1.95804360046568 , 1.40630684605552 , -0.123747710947517 , -1.7222609000366 , 2.37679532498443 , -0.541046538664223 , 0.637233695182712 , -0.352715889596335 , -0.394490182787552 , 0.632728007000508 , 0.0264792898585368 , 0.620287555317225 , 0.679170218143343 , -0.950250889575343 , 0.452378624301187 , 1.30896608494508 , 0.600930089086862 , 0.864666511442116 , 0.092645962401878 , -0.0715319832870883, 0.516605766234047 , 0.480882316181959 , -1.87951481706473 | 0.7949035 |
| 11 | 50 | 0.5 | 0.0 | 0.5 | control , control , control , control , control , control , control , control , control , control , control , control , control , control , control , control , control , control , control , control , control , control , control , control , control , control , control , control , control , control , control , control , control , control , control , control , control , control , control , control , control , control , control , control , control , control , control , control , control , control , intervention , intervention , intervention , intervention , intervention , intervention , intervention , intervention , intervention , intervention , intervention , intervention , intervention , intervention , intervention , intervention , intervention , intervention , intervention , intervention , intervention , intervention , intervention , intervention , intervention , intervention , intervention , intervention , intervention , intervention , intervention , intervention , intervention , intervention , intervention , intervention , intervention , intervention , intervention , intervention , intervention , intervention , intervention , intervention , intervention , intervention , intervention , intervention , intervention , intervention , -0.612677858185403 , -0.0575210865289349, 0.996491522444993 , -0.628857642600586 , 0.321376382446653 , -0.205552182427866 , 0.195530309587231 , -0.308546623263224 , -0.337250823313204 , 0.598800284915914 , -0.119633329510502 , -0.191915902359643 , -0.480045922206364 , 0.56258328446089 , -0.82484186857167 , -0.68276185057184 , 0.269030071666537 , -0.532526345647142 , -0.492060619117541 , -0.469928073430328 , -0.776871406873322 , 0.375422512566923 , -0.225996348194421 , 0.139942163259055 , -0.539270380496408 , -0.29551987056303 , 0.565780210896202 , 0.100987115152902 , 0.615828480367814 , 0.301793176842694 , 0.101311917745156 , -0.231328682048743 , -0.723547214950129 , 0.559222426575903 , -0.613131150844407 , 0.541657613568777 , -0.332099533184673 , -0.446304782941379 , -0.277262871344065 , -0.0193153870900486, -0.120123364438824 , 0.276692943404022 , 0.142899148318392 , -0.0460084749396707, 0.429697242747693 , -0.664863140779718 , 0.29717981084553 , 0.401848257079992 , -0.160866961526737 , -0.554794960669686 , 0.593582555858657 , -0.0489615367884022, 0.664081560129888 , 1.259619563832 , 1.07522062819171 , 0.663924961767839 , 0.150998011843574 , -0.0162926937858504, 0.332187079535742 , 0.253662476304117 , 1.1119492500387 , 0.259556696324929 , 1.17370824226298 , 1.09415407824101 , 1.25007190222121 , 0.226051107585327 , 0.990908990764873 , 0.655370034859428 , 0.627361035082956 , 0.0376567431381036 , 1.30101906560885 , 0.376018223088147 , 0.679366434737432 , -0.0269172765711492, 1.03935383772458 , 0.237992955352471 , 0.683839713615644 , -0.488562583912254 , 0.885768698156104 , 0.152286624686563 , 1.06180805389826 , 0.777719719785906 , 0.121595734207419 , 1.04767405858748 , 0.478207594318584 , 0.196945055581267 , 1.86308651829369 , 0.426430756190156 , 0.434421562363465 , -0.351946420702092 , 0.660726450758242 , 0.375402548225711 , 0.91622268230104 , 0.142355805700324 , 0.382822394044867 , 0.556214423239454 , 1.04443183270294 , 1.11692779055934 , 0.0163747903520188 , 0.740945638959144 | 0.0000000 |
| 11 | 50 | 0.5 | 0.0 | 1.0 | control , control , control , control , control , control , control , control , control , control , control , control , control , control , control , control , control , control , control , control , control , control , control , control , control , control , control , control , control , control , control , control , control , control , control , control , control , control , control , control , control , control , control , control , control , control , control , control , control , control , intervention , intervention , intervention , intervention , intervention , intervention , intervention , intervention , intervention , intervention , intervention , intervention , intervention , intervention , intervention , intervention , intervention , intervention , intervention , intervention , intervention , intervention , intervention , intervention , intervention , intervention , intervention , intervention , intervention , intervention , intervention , intervention , intervention , intervention , intervention , intervention , intervention , intervention , intervention , intervention , intervention , intervention , intervention , intervention , intervention , intervention , intervention , intervention , intervention , intervention , 0.152766656791546 , -0.78141040057861 , -2.55848748308295 , -2.21899697336626 , -0.288039355464456 , 0.15617158541084 , 0.908152883383646 , 0.703370203678357 , -1.00826239414779 , 0.967489377447396 , -0.400461197268551 , -0.606170036454496 , 1.23949243576517 , 0.675855909540884 , 1.16874430077867 , 0.679620404317811 , 0.173072736732538 , 0.836282222316448 , 0.045882802554172 , -0.564665323439612 , 0.0670456923402157 , 0.758689996690067 , 0.24896061257314 , -0.613082180536211 , -1.08304035718193 , -0.0058678089315039, -0.74676667293847 , 2.65055428026862 , -0.240244228495176 , 1.66756230597254 , -0.789833464387783 , -0.0176985430696847, 2.00085785396005 , -1.07615205000062 , -0.273726235133381 , -1.043134591191 , -0.361373488408272 , -0.752745111881506 , -0.979986305694138 , -0.648590291917796 , 0.436340689247033 , -0.477187933117074 , 0.722051625308415 , 0.829950222348844 , -0.98749496452637 , 1.40422789667764 , 1.37693608631108 , 0.110967569139375 , 0.103695691213507 , 0.787994963324456 , -0.423008290369901 , 0.667981587512508 , 1.48657783959958 , 0.841006256839586 , 1.02339852023162 , 0.564303481506317 , 1.43197524995996 , 0.772022338307179 , 1.1878541126616 , 1.60365454796338 , 0.382183854820376 , -0.213716807447704 , 0.020040639989869 , 0.81156462792517 , -0.274711954472836 , 1.41011870450442 , 1.69643583905774 , -0.167822088206677 , 0.00907879560730784, -0.342974064485713 , 1.02310893463623 , -0.316201884842805 , 0.219740975196301 , 1.89184477526032 , 0.620291672658478 , 0.928733538073812 , 0.202993773660436 , 0.955156016770511 , 0.250385795589783 , 1.7906698348651 , -0.424724514284559 , -0.939361230260809 , -0.834435941547403 , -1.04283402407553 , -0.773154673140285 , 1.08332131285533 , 0.0760902417408637 , -0.17295375630776 , 0.807062138252677 , -0.731708749958929 , 0.751233210839569 , 0.246575207927429 , 0.779514508853096 , 0.223422467780533 , 0.555182849036731 , 0.985422115066771 , 0.0631114265511603 , 1.22029811446101 , 0.779630305748496 , 0.105194476127721 | 0.0233977 |
| 11 | 50 | 0.5 | 0.1 | 0.5 | control , control , control , control , control , control , control , control , control , control , control , control , control , control , control , control , control , control , control , control , control , control , control , control , control , control , control , control , control , control , control , control , control , control , control , control , control , control , control , control , control , control , control , control , control , control , control , control , control , control , intervention , intervention , intervention , intervention , intervention , intervention , intervention , intervention , intervention , intervention , intervention , intervention , intervention , intervention , intervention , intervention , intervention , intervention , intervention , intervention , intervention , intervention , intervention , intervention , intervention , intervention , intervention , intervention , intervention , intervention , intervention , intervention , intervention , intervention , intervention , intervention , intervention , intervention , intervention , intervention , intervention , intervention , intervention , intervention , intervention , intervention , intervention , intervention , intervention , intervention , 0.878880473526282 , 0.0318140839742553 , 0.413563124949008 , -0.390324469746413 , -0.416981294506575 , -0.0388837117605026, -0.75826938352151 , -0.743806925528271 , 0.194328918001107 , 0.440574103392847 , 0.0177020602647123 , 0.0521509365621744 , 0.804060564148146 , 0.432113838751481 , 0.216004116891785 , 0.131998812031348 , 1.05029193679779 , 0.0976347543571296 , 0.0057121564195792 , 0.363625299437991 , 0.165870994529174 , 0.92975172365757 , -0.837442075565254 , 0.0855317195773806 , 0.389159507046057 , -0.370304025603678 , -0.03995042569057 , 0.981966934829466 , -0.241835455252466 , 0.527975102099708 , 0.386049783439818 , -0.156333608952806 , -0.56152707323991 , -0.144130854194452 , 0.0914839889585666 , 0.0852158958254196 , -0.57773411450765 , 0.295771455935103 , 0.640797365534843 , 0.353463665054828 , 0.0816338812974184 , 0.0799081448148598 , 0.406688511132132 , -0.404744544737182 , 0.117587571968563 , -0.0249279008655814, 0.23247998756219 , 0.536613532980721 , -0.393821842626643 , 0.208214661574906 , 1.25485311753829 , 1.23276139037676 , 0.610393066141474 , 0.0341112104963499 , 0.0931800387374966 , 0.963751743234082 , 0.54358575057992 , 0.665247999265969 , 0.722556618686758 , 1.51085444130448 , 1.0078837579892 , -0.467730812276213 , 1.53767181904449 , 0.33720708062326 , 0.590281949701575 , 0.727696739242121 , 0.0669943774188901 , -0.0718678661746602, 0.824478036348751 , 0.343126971572768 , 1.02439551297546 , 0.804555385631938 , 0.221257330003313 , 0.661600551335372 , 1.17167987967189 , 0.627389565020338 , 0.178310901432503 , 0.317075911292489 , 0.556359020801086 , 0.627964900232232 , -0.121708459365546 , 0.191939556956221 , 0.556653685900693 , 0.00582545835950615, 0.377936473363085 , -0.879150186539215 , -0.21293311176268 , 1.12263418316049 , 0.380181436142771 , 1.01002708041447 , 0.343766949214018 , 0.229406241968447 , -0.124493479947408 , 0.538755207649883 , 1.31352837571906 , 0.537614198862728 , -0.202723395492214 , -0.0648497201670987, 0.314705204627015 , 1.58585754239917 | 0.0000942 |
| 11 | 50 | 0.5 | 0.1 | 1.0 | control , control , control , control , control , control , control , control , control , control , control , control , control , control , control , control , control , control , control , control , control , control , control , control , control , control , control , control , control , control , control , control , control , control , control , control , control , control , control , control , control , control , control , control , control , control , control , control , control , control , intervention , intervention , intervention , intervention , intervention , intervention , intervention , intervention , intervention , intervention , intervention , intervention , intervention , intervention , intervention , intervention , intervention , intervention , intervention , intervention , intervention , intervention , intervention , intervention , intervention , intervention , intervention , intervention , intervention , intervention , intervention , intervention , intervention , intervention , intervention , intervention , intervention , intervention , intervention , intervention , intervention , intervention , intervention , intervention , intervention , intervention , intervention , intervention , intervention , intervention , -1.30773850700399 , -0.317009365944379 , 0.563181689848869 , 1.20292649194006 , -0.734819726048678 , -1.54096105301465 , 1.64302269600616 , 0.154940660869958 , -0.432341544890141 , 0.707903985973436 , -0.731737771459144 , 0.638384588911605 , 0.539997940202446 , -0.162409442123726 , -0.0102866710203 , -0.591377931600786 , -0.249208375450549 , -1.87871555396795 , -0.925937291961974 , -0.840306192649244 , 0.941386776922629 , 0.329247588919553 , 1.0760502728661 , 1.08284647088711 , 0.986229085056615 , 0.495083324462745 , 2.098015650358 , -0.430526906987952 , 1.26667982902654 , -1.14688879209453 , -0.229347337092001 , 1.15312753959697 , 1.18106477246112 , -0.0901076918062912, -0.595050221027648 , 1.3278537020015 , 0.526853733802906 , 1.5225379159508 , -0.522182693529706 , -1.61252787101414 , 1.0797695371228 , 1.13053155041622 , 1.02634750159135 , 0.650896032609366 , 0.916159435834847 , 1.23047831536854 , -1.13314171928472 , 2.12971066298838 , 1.28713563990763 , 0.606537675857985 , 1.25062115328667 , 1.27242893019115 , 1.18687129858724 , 1.40345888243197 , 0.271701855357978 , 1.22601135604606 , 0.637758080715649 , 1.0731706446004 , -1.50308605537077 , 0.459574974856272 , -0.128034605387378 , -0.636927988442267 , -0.963814276792313 , 1.68446219528573 , 0.551778209690538 , -0.18654729792124 , -0.787518865260391 , -0.899629249596844 , 0.299127955614827 , 0.931528921868303 , 0.603395736512392 , 2.12800333098858 , 1.57511447642745 , 0.0733835629725585 , 1.89247547454456 , -1.43728104595074 , -0.143771870260796 , 0.0299744466737968 , 1.01789242367368 , -0.634928082817696 , -0.455143593906286 , 1.6391252642456 , -0.0208869378842843, 1.61989660404137 , 0.547783386717003 , 0.320407817637489 , 1.62354530945852 , -1.40806167584311 , 0.784940555161798 , 0.0625966537453539 , 0.944149315019039 , 0.937756494210644 , 1.43096293828754 , 0.108226074595349 , 0.733712141365884 , 1.35225561153967 , 1.06077853522938 , 0.61075208027497 , 1.84257286008325 , 1.87759906186854 | 0.1585599 |
| 12 | 20 | 0.0 | 0.0 | 0.5 | control , control , control , control , control , control , control , control , control , control , control , control , control , control , control , control , control , control , control , control , intervention , intervention , intervention , intervention , intervention , intervention , intervention , intervention , intervention , intervention , intervention , intervention , intervention , intervention , intervention , intervention , intervention , intervention , intervention , intervention , 0.568813516918869 , -0.116559156192345 , 0.240421869843862 , -0.0939484153635593 , -1.1547334640012 , -0.463960245439599 , 0.18282084015686 , -0.155431827932945 , 0.0712182287945623 , -0.835893985050558 , -0.208379029436359 , -0.461657257298324 , 0.564283538103887 , 0.468695600030214 , 0.085066668692053 , -0.874667448177809 , 0.589343188156224 , 0.574552803402491 , 0.188126869717168 , 0.513953581663361 , -0.1608866856352 , -0.63207966869409 , 0.708150492401345 , -0.0382316928178133 , 0.55720061586433 , -0.012171126704604 , -0.00990539910240197, -0.0426381689850726 , 0.678488622755856 , -0.155581084222988 , 0.125733309812248 , -0.17034620816996 , -0.455344745336524 , 0.310647047802661 , 0.560071843009712 , 1.18201508183263 , 0.95932251525383 , 0.00732497805239049 , 0.300734916888169 , 0.80872142507112 | 0.1378059 |
| 12 | 20 | 0.0 | 0.0 | 1.0 | control , control , control , control , control , control , control , control , control , control , control , control , control , control , control , control , control , control , control , control , intervention , intervention , intervention , intervention , intervention , intervention , intervention , intervention , intervention , intervention , intervention , intervention , intervention , intervention , intervention , intervention , intervention , intervention , intervention , intervention , 2.02392097227123 , -0.159253238928864 , 0.101144398323985 , -0.0911782439491864, -1.19610934747153 , 0.750571371448277 , 0.719939180918204 , 0.293398760968877 , 0.642424506079919 , -1.86508156971315 , 1.01606702174541 , 1.34447057166246 , 0.0663286532036191 , 0.332874095915404 , -0.524042036309352 , -1.68001817414344 , 0.675774935744292 , -0.179692968495954 , 1.53795006783606 , -0.383106122261755 , 1.40513231480684 , -0.394760371628261 , 1.25795360568387 , -0.968036288208143 , -0.803637114552078 , 0.0662572978092785 , -1.02089722209526 , -1.33771475059366 , -0.850642050266003 , 0.0417048349661316 , 0.152652560130023 , -0.343730419444516 , 0.0937648940766328 , -1.83363540266155 , 0.0808534155101664 , -1.37283979925079 , -1.77449255863223 , -0.726112278414908 , -0.241916155610085 , 1.26518936234347 | 0.0894782 |
| 12 | 20 | 0.0 | 0.1 | 0.5 | control , control , control , control , control , control , control , control , control , control , control , control , control , control , control , control , control , control , control , control , intervention , intervention , intervention , intervention , intervention , intervention , intervention , intervention , intervention , intervention , intervention , intervention , intervention , intervention , intervention , intervention , intervention , intervention , intervention , intervention , 0.8608043975842 , -0.358974526032225 , 0.439549369654827 , 0.0396649911792266 , 0.175552831694551 , -0.690525399978253 , 0.167298438861746 , 0.242984206512991 , -0.0381288162783458, -0.462363323771669 , 0.00617491758222272, 0.676492168367826 , 0.0958288314269398 , -0.414691986750214 , -0.256544080218551 , -0.0388462520275749, -0.164352941985769 , 0.428820866775662 , 0.241420297342234 , -0.771962253462283 , -0.752310332957037 , -0.301909722822283 , 0.0840032692333501 , -0.272499428458597 , -0.994005934017659 , 1.21930938394691 , 0.151359245851942 , 0.380047132023816 , 0.293224600463628 , 0.475503994744055 , 0.904672327088406 , 0.267980520230819 , 1.02016489278238 , -0.94639663408346 , -0.268759312470823 , 0.81345375875833 , 0.262071885847025 , -0.695133254345385 , -0.227641366503763 , -0.487080925652816 | 0.8309266 |
| 12 | 20 | 0.0 | 0.1 | 1.0 | control , control , control , control , control , control , control , control , control , control , control , control , control , control , control , control , control , control , control , control , intervention , intervention , intervention , intervention , intervention , intervention , intervention , intervention , intervention , intervention , intervention , intervention , intervention , intervention , intervention , intervention , intervention , intervention , intervention , intervention , 0.923139209646242 , 0.075028462853474 , -1.31309151030667 , 0.89589264859937 , -1.76941844581971 , 0.477155197963064 , 0.134095240221822 , 0.00500901264398376 , 0.252009510771344 , -0.100378555640781 , 1.18174879583268 , -1.47911379194256 , -0.65514809672487 , 0.517400479690867 , -0.599186006467923 , -0.964667331088222 , -0.316307359684258 , 1.0831335860407 , -1.38030715706396 , -0.420465865434254 , -1.45121780253187 , -0.342569788875321 , -0.770958530806963 , -0.439802546664412 , 0.516500810457623 , -0.760477473426445 , -0.0251192529137857 , 1.37054364061027 , 0.0680167428901366 , -0.000996339612744181, 0.371417014652913 , 2.06702394134426 , -2.29200720800874 , 1.06130684315181 , -0.703314608752625 , 0.540287395102374 , 0.754450287585534 , 0.867019233937106 , -0.995775986407503 , 0.223549674494716 | 0.5654748 |
| 12 | 20 | 0.5 | 0.0 | 0.5 | control , control , control , control , control , control , control , control , control , control , control , control , control , control , control , control , control , control , control , control , intervention , intervention , intervention , intervention , intervention , intervention , intervention , intervention , intervention , intervention , intervention , intervention , intervention , intervention , intervention , intervention , intervention , intervention , intervention , intervention , 0.32116403363792 , -0.328554328512691 , 0.040115175584095 , -0.0856634896506499, -0.268702974792972 , 0.26122027416011 , 0.394561945219305 , -0.2017311665368 , 0.130299472264937 , 0.235877324261183 , -0.724237375568019 , -0.642566661405272 , 0.679490918568909 , 0.183147905099862 , -0.621383609500391 , 0.578078326883276 , 0.0252380880961944 , -0.653487612240039 , -0.0704908583858981, -0.174947099284283 , 0.137609396982477 , 0.731595426888843 , 0.452248736872457 , 0.990769172898555 , 0.459758232834279 , 0.664506702354789 , -0.389751327073568 , 0.526452251979158 , 0.730378476695184 , 0.217819232972795 , 0.581299589911655 , -0.187280183124849 , 0.3248079403212 , 0.319016530363427 , 0.521577782697088 , -0.610733782313403 , 0.067787228918042 , 0.942473410736744 , 0.213811887355312 , 1.4034965767145 | 0.0026363 |
| 12 | 20 | 0.5 | 0.0 | 1.0 | control , control , control , control , control , control , control , control , control , control , control , control , control , control , control , control , control , control , control , control , intervention , intervention , intervention , intervention , intervention , intervention , intervention , intervention , intervention , intervention , intervention , intervention , intervention , intervention , intervention , intervention , intervention , intervention , intervention , intervention , -1.90178814637992 , 1.07506591461112 , 0.106278636628464 , -0.115050253597195 , -0.0258344956959291, -0.284383777720294 , 1.58067927972278 , -0.349974756274957 , -1.19656790761147 , 2.58846690985798 , -1.62977192627154 , 0.642639430960456 , 0.9634404026261 , -1.15492123046826 , -0.907841815587209 , -1.6598616831657 , -0.507098309876584 , 0.263961561654862 , 0.687384492943162 , 1.07523383472313 , 1.58267316501755 , 1.68857731384538 , 1.27841014566377 , -0.0153659284405259, -0.511347317266617 , -0.443603205388881 , -0.0563446970587062, 1.29500550350474 , 0.4731613778281 , 2.10183028128829 , 1.02627118457843 , 0.413666275011921 , -1.72674760165973 , 2.3151443674901 , -0.117027731777314 , -0.0611769947517969, 1.57273164774762 , -1.01390824473381 , 0.34050090419398 , 0.56476006190175 | 0.1153776 |
| 12 | 20 | 0.5 | 0.1 | 0.5 | control , control , control , control , control , control , control , control , control , control , control , control , control , control , control , control , control , control , control , control , intervention , intervention , intervention , intervention , intervention , intervention , intervention , intervention , intervention , intervention , intervention , intervention , intervention , intervention , intervention , intervention , intervention , intervention , intervention , intervention , 0.371415658570143 , -0.0876110986819055, 0.176525318818956 , -0.235275477348313 , 0.206444666563983 , 0.640487373330018 , -0.16257969162971 , -0.43774642963367 , -0.295250320204343 , -0.535224725759463 , 0.0956344418073756 , -0.246519941886598 , 0.142216718942903 , 0.231160520479817 , -0.694427865894966 , 0.214049332435616 , -0.0423082431988321, -0.379001223129723 , 1.00183862802861 , -0.194760297851444 , 0.39726126132921 , 0.559108240449751 , 1.58793695291677 , 0.833776411618187 , -0.294482199398271 , -0.212816447897954 , 0.0735484545258039 , 1.23971409085174 , 0.0363054444914437 , 0.285111929110144 , 2.01511367375576 , 0.596637827211251 , 0.623788407259767 , 0.377253113249842 , 0.496043584087762 , 0.0922765272340172 , 0.0770633153807182 , 0.904174705080065 , -0.010174328959353 , 0.435421583773357 | 0.0024817 |
| 12 | 20 | 0.5 | 0.1 | 1.0 | control , control , control , control , control , control , control , control , control , control , control , control , control , control , control , control , control , control , control , control , intervention , intervention , intervention , intervention , intervention , intervention , intervention , intervention , intervention , intervention , intervention , intervention , intervention , intervention , intervention , intervention , intervention , intervention , intervention , intervention , 0.328110000461561 , 1.78252876927265 , -0.541199280599286 , -2.0743164214247 , -0.473936618311074 , 0.942222340346886 , 2.4273076331825 , -0.187755437799753 , 0.272339385360694 , 0.321713657036035 , 0.457160790241555 , 0.101158428187381 , -1.95665188841477 , -0.548479875467188 , 0.675876844161761 , 2.31254946593493 , -1.66125524815972 , 0.921980332031009 , 1.27751909543699 , 1.28527984092075 , -0.584560083280443 , 0.0374846062586414 , 1.69747895647899 , 0.221274426699957 , 0.544954000339795 , 1.23557771460287 , -0.074002946255645 , -0.357462767051105 , 0.27924155165902 , 0.273853368455182 , -0.0097775585179678, 0.5785099961094 , 1.57002447170405 , -0.0303291171612707, 0.0328899025192574 , -0.976829836337888 , 1.73902797170891 , -0.636388415296528 , -0.776467854732138 , -1.57550328663855 | 0.7233423 |
| 12 | 50 | 0.0 | 0.0 | 0.5 | control , control , control , control , control , control , control , control , control , control , control , control , control , control , control , control , control , control , control , control , control , control , control , control , control , control , control , control , control , control , control , control , control , control , control , control , control , control , control , control , control , control , control , control , control , control , control , control , control , control , intervention , intervention , intervention , intervention , intervention , intervention , intervention , intervention , intervention , intervention , intervention , intervention , intervention , intervention , intervention , intervention , intervention , intervention , intervention , intervention , intervention , intervention , intervention , intervention , intervention , intervention , intervention , intervention , intervention , intervention , intervention , intervention , intervention , intervention , intervention , intervention , intervention , intervention , intervention , intervention , intervention , intervention , intervention , intervention , intervention , intervention , intervention , intervention , intervention , intervention , -0.864273456434688 , -0.688644517407891 , -0.647885155914935 , 0.784527903992319 , 0.599569272832876 , -0.393301927472608 , -1.06714203597158 , -0.63808434437257 , -0.537162548760226 , -0.0755778792340089 , 0.389508972972378 , 0.116880948603325 , 0.663393304486275 , 0.327075726745961 , -0.615021850849013 , 0.786345451859572 , 0.141876958361833 , -0.287591149031929 , -0.386189806400348 , -0.408934385329527 , 0.22617899933426 , -0.874035284527265 , 0.460036968381146 , 0.581201181588044 , 0.0986446408118443 , -0.497054528019593 , 0.400417844349297 , 0.626230796372651 , 0.193630421626891 , -0.240991504002276 , 0.480975701487331 , -0.820885497903173 , -0.685702523440861 , 0.373720804709084 , 0.375959159865647 , 0.680621710062171 , -0.713508404463632 , 0.12142911715974 , -0.636738814726513 , 0.379183398944149 , 0.796627964633805 , -0.264142104317284 , 1.15986204693996 , -0.452371841346099 , -0.0977074473351969 , -0.476499095513645 , 0.232104463487759 , -0.860402050794793 , -0.0284397649402993 , 0.511865545295218 , -0.283682126505693 , 0.274145248046124 , -0.220445851963232 , 0.20753072484989 , -0.387938175665028 , -0.618324370707511 , -0.384407817014933 , 0.456587829413702 , 0.118396033708338 , 0.103571652658786 , -0.727065465154291 , 0.198892345964269 , -0.344718208599659 , 0.125488877060262 , 0.0101484898099202 , -0.384518241737456 , -0.532793355096638 , -0.0781832145584137 , 0.915261465086077 , -0.305630401059732 , 0.421962553803079 , 1.00453189218438 , -0.376579317715799 , -0.000963136799753336, -0.0417876940366625 , 0.0371880796370985 , -0.85507584723077 , 0.741494056089195 , -0.153636280493694 , -0.793839422506919 , -1.28725347311542 , 0.849303093577263 , 0.508526487827151 , -0.406919584621034 , -0.342067137521456 , 1.15498337245712 , 0.168394478828517 , -0.424819600237085 , -0.840730886749636 , -0.461444123837604 , -0.278608911567767 , 0.113876316463325 , 0.816861288507466 , 0.194037632794647 , 0.331428263452172 , 0.275566077383285 , -0.377731623296307 , -0.00618388018664244 , -0.385718651576395 , 0.778293318141498 | 0.9628445 |
| 12 | 50 | 0.0 | 0.0 | 1.0 | control , control , control , control , control , control , control , control , control , control , control , control , control , control , control , control , control , control , control , control , control , control , control , control , control , control , control , control , control , control , control , control , control , control , control , control , control , control , control , control , control , control , control , control , control , control , control , control , control , control , intervention , intervention , intervention , intervention , intervention , intervention , intervention , intervention , intervention , intervention , intervention , intervention , intervention , intervention , intervention , intervention , intervention , intervention , intervention , intervention , intervention , intervention , intervention , intervention , intervention , intervention , intervention , intervention , intervention , intervention , intervention , intervention , intervention , intervention , intervention , intervention , intervention , intervention , intervention , intervention , intervention , intervention , intervention , intervention , intervention , intervention , intervention , intervention , intervention , intervention , -1.02754565328781 , 1.49088871308999 , 1.29652601264141 , 0.0214092963967976 , -0.359979838765132 , -1.81560005369236 , -1.72420151283928 , 0.67665830443772 , 0.889891929959859 , 0.0869313934188857 , 0.912838800263325 , -0.0651673603389176, -0.184166190053708 , 0.0732694886615249 , 0.306361742388378 , 0.701307624014574 , 0.674079850997366 , 0.171257850431977 , 0.27817693451735 , 0.96459522637635 , -0.556665637584029 , 1.25265432988983 , -1.30728111806539 , 1.83845797183466 , 0.245468118261122 , -0.552443760175254 , 1.34790340809203 , -0.584388315394047 , 0.837058206243747 , -0.905530646285654 , 0.0786222970592106 , -1.84200075586277 , 0.674818538761836 , -0.142707913698128 , -0.261641251341692 , 0.0596603983319063 , -0.750585874521218 , -1.54301895815988 , 1.57106902552313 , 0.933006735972284 , 0.336734440499444 , 0.734525662175001 , -0.673979659965626 , 0.517633057735742 , 1.18078666360011 , 0.937530178143526 , 0.295495691443326 , 0.848470709613092 , -2.21656513447735 , -0.240683411144329 , 0.582628842950331 , -0.480049426519147 , -0.0237913595563849, 0.466091561377466 , 1.10576798273391 , -0.861015624764367 , 0.946230847692309 , 1.05900598725996 , -1.04790944877223 , 0.764056212770983 , -1.49358822795511 , -1.13947800453159 , -0.896670681147276 , 0.713322837339999 , -2.34248297633513 , 1.63651489014932 , 0.732359530932183 , -0.727685962026391 , -0.646580789355316 , 0.0786128236815158 , 0.234824502419355 , 3.00017294096617 , -0.635906951433779 , -0.392083584105065 , -0.620597643032305 , 1.39495049230842 , 0.206505951788473 , -0.486929839377878 , 0.803509132654783 , -1.01448085147816 , 0.610661116631899 , 0.335722970291703 , -1.58217488149661 , 0.876107197590903 , 1.185644018571 , -0.199345322136867 , 0.0478562350835364 , 0.126349386544606 , -0.763344467674273 , -0.79214420668801 , 0.948110916691249 , 2.30408940574514 , 1.32900870365181 , 0.308462081256553 , 0.904091520433301 , -1.9531749635864 , -1.20662917430971 , 0.176146160607211 , -1.18859516231009 , -1.29992099956198 | 0.6706654 |
| 12 | 50 | 0.0 | 0.1 | 0.5 | control , control , control , control , control , control , control , control , control , control , control , control , control , control , control , control , control , control , control , control , control , control , control , control , control , control , control , control , control , control , control , control , control , control , control , control , control , control , control , control , control , control , control , control , control , control , control , control , control , control , intervention , intervention , intervention , intervention , intervention , intervention , intervention , intervention , intervention , intervention , intervention , intervention , intervention , intervention , intervention , intervention , intervention , intervention , intervention , intervention , intervention , intervention , intervention , intervention , intervention , intervention , intervention , intervention , intervention , intervention , intervention , intervention , intervention , intervention , intervention , intervention , intervention , intervention , intervention , intervention , intervention , intervention , intervention , intervention , intervention , intervention , intervention , intervention , intervention , intervention , -0.407292412028958 , -0.295750248876528 , 0.609873997636857 , 0.443151918504997 , 0.79335450608226 , 0.189826212200737 , -0.46444669947853 , -0.038054259409439 , 1.40413033652891 , -0.212379842754008 , 0.395136005720963 , -0.663690017778305 , -0.295566115288128 , 0.807841775222282 , -0.183435935919602 , -0.0796451792865894, -0.189799057737891 , -0.154565997908517 , 0.691426718455407 , 0.155188742037247 , -0.414431110054607 , -0.0137545453461433, -0.591729725052256 , 0.185133917604914 , 0.0601583677198164 , 0.100270920877185 , 0.335741244564424 , 1.20757132007384 , -0.468241518945497 , 1.41284064012422 , 0.950095635648116 , 0.500711783779877 , 0.578101682429609 , 0.115006284837578 , -0.336104899719573 , -0.121066087834953 , 0.29804202973576 , -0.0968214586634873, 0.0534158575157086 , -0.0680796254423192, 0.476366171999529 , 1.74046540763967 , 0.459318034830617 , -0.631236147020232 , 1.28688067602101 , 0.371351276263546 , 0.393471198289987 , 0.285679506729784 , 0.39703884812036 , -0.630043460763833 , 0.048438780036175 , 0.152490164135312 , 0.238300149439036 , 0.266735782087092 , -0.628105565745986 , 0.444369116392201 , 1.31834885278483 , -0.773952878076779 , 0.254704413311126 , -0.695182402821539 , -0.375654192250828 , -0.187421257917798 , -0.216274778670582 , 0.158387538897626 , -0.110061478702758 , -0.388965952460678 , -1.36325795796764 , 0.42203573660029 , -0.651518686636835 , 1.13378856482165 , -0.9737116457298 , 0.0414532321518629 , -0.460733992253962 , 0.0310344298278526 , -0.387561935831436 , 0.136664282879436 , 0.519014163662522 , -0.730657282572044 , 0.657108302419589 , 1.24359961967615 , -0.300133152758567 , 0.278371607629813 , -0.271086657144142 , 0.453231674182344 , -0.490406530295528 , 0.286504910539945 , 0.00997771608603203, -0.528522426993772 , 0.211544172507504 , 0.250469849832356 , 0.131638580809268 , 0.208062752975361 , -0.171483952122369 , 0.176619714953622 , -0.565430630010128 , -0.602404223464185 , 0.490977334739283 , -1.08236823542365 , -0.417869451720675 , 0.58156932966024 | 0.0295634 |
| 12 | 50 | 0.0 | 0.1 | 1.0 | control , control , control , control , control , control , control , control , control , control , control , control , control , control , control , control , control , control , control , control , control , control , control , control , control , control , control , control , control , control , control , control , control , control , control , control , control , control , control , control , control , control , control , control , control , control , control , control , control , control , intervention , intervention , intervention , intervention , intervention , intervention , intervention , intervention , intervention , intervention , intervention , intervention , intervention , intervention , intervention , intervention , intervention , intervention , intervention , intervention , intervention , intervention , intervention , intervention , intervention , intervention , intervention , intervention , intervention , intervention , intervention , intervention , intervention , intervention , intervention , intervention , intervention , intervention , intervention , intervention , intervention , intervention , intervention , intervention , intervention , intervention , intervention , intervention , intervention , intervention , -0.222339341286121 , 0.138232197364137 , -1.17930983438713 , 0.511607461349092 , -0.760947939421389 , 0.395140869904686 , -0.747515487625524 , -0.938086268454035 , -0.590830229577657 , 0.147832126297992 , 0.396791465357578 , -0.279056073059058 , -1.19070563450457 , 0.0237758982361973 , -1.87339683253939 , -0.0647796261236187, -0.381232117569398 , 1.3141269834749 , -1.38050008246271 , -0.0719276150465905, 0.460574951840042 , 0.710592342154817 , -1.5675567894013 , -0.196467079744177 , -0.549581103616123 , 0.515382937105104 , -1.10930392897548 , 0.877432619359254 , 1.99362462306511 , -0.356844239633953 , -0.111496373486866 , 0.823365917056207 , 1.78798681584581 , 0.958214549671452 , 2.44620841727065 , 0.269880396232629 , 0.320823249064658 , 0.763417102021776 , 0.189770797908462 , -0.119733970931323 , 1.22472775379621 , 0.760032314854466 , -0.0957642615958342, 0.020992762649343 , 1.26658417165854 , 1.25268899084809 , 0.148465138544686 , -0.145412121221153 , -0.46172609949635 , 0.497114195807518 , 0.635007280276464 , 1.23491768869795 , -0.497629378800602 , 1.48864165272512 , -0.272997102742681 , -1.18509220606757 , 0.0933189987231254 , 0.00950873380298793, -0.580679408291648 , -1.38426952026883 , -0.313231250398216 , -0.863792124139444 , -0.950061123888945 , 0.150050325416697 , 0.125967846486851 , -0.290634849943623 , -1.27384686331763 , 0.025399953680645 , 1.49473410003773 , -0.464471365672109 , 1.49683323969263 , 0.231519477585737 , -0.666591926650768 , 1.37471113570185 , 1.12759944774572 , -0.474399547322387 , -1.12692888936373 , 0.418834187229885 , -1.72909085137696 , -0.90784582777112 , 1.639437345258 , -0.688255138310685 , -0.712592524238755 , 0.223994652446792 , -0.431055388197942 , -0.551358198452851 , -0.109544112464552 , 0.529112961698052 , -0.0488903360428572, 1.17007605085057 , 0.95987528670415 , 1.23607519978006 , 0.976099037737642 , -0.97669437281007 , 0.720288750743383 , 0.547395737565408 , 0.604803872513552 , 0.751228971242624 , 0.178486570602277 , -1.54396995557754 | 0.6248522 |
| 12 | 50 | 0.5 | 0.0 | 0.5 | control , control , control , control , control , control , control , control , control , control , control , control , control , control , control , control , control , control , control , control , control , control , control , control , control , control , control , control , control , control , control , control , control , control , control , control , control , control , control , control , control , control , control , control , control , control , control , control , control , control , intervention , intervention , intervention , intervention , intervention , intervention , intervention , intervention , intervention , intervention , intervention , intervention , intervention , intervention , intervention , intervention , intervention , intervention , intervention , intervention , intervention , intervention , intervention , intervention , intervention , intervention , intervention , intervention , intervention , intervention , intervention , intervention , intervention , intervention , intervention , intervention , intervention , intervention , intervention , intervention , intervention , intervention , intervention , intervention , intervention , intervention , intervention , intervention , intervention , intervention , 0.316833771627631 , -0.913006877068389 , 1.11822695583247 , -0.531702047073533 , -1.08951458633726 , -0.346206160163409 , -1.16132402143134 , 1.08936530256754 , 0.488669057494426 , -0.0394727866756698, -0.248676786628141 , 0.9295065153844 , -0.839756561942526 , 0.249690182005456 , -0.57336604409849 , 0.590369124781071 , 0.383218955004766 , -0.0486763218667864, -0.247371870659123 , -0.644198172247106 , 0.655647258218821 , 1.02152297968271 , 1.02385841926481 , 0.120039756534558 , 0.348799307162284 , 0.847238753697998 , -0.299960568780722 , 0.681875043097162 , 0.448191362794652 , -0.184708853145337 , -0.120910300023478 , 0.134075290175483 , -0.785493473752308 , -0.734477981440842 , -0.474547291707195 , 0.634577612938733 , -0.0421848270623692, -0.655658868092278 , -0.211003681175344 , 0.0881116147939334 , -0.195699854199377 , 0.170609794916064 , 0.0825502683462847 , -0.145869305709848 , -0.488627337798504 , 0.270768909328369 , -0.184231038915653 , 0.693726245195041 , -0.313189825554249 , 0.305495665206566 , -0.122824795834493 , 0.241194305517379 , 1.13053654922756 , 0.759036652713792 , 0.442865237466191 , 1.71237478263699 , 0.53100565602736 , 0.277489436785877 , 0.569054397230322 , 1.22457658830102 , 0.909631880274677 , 0.621390418866177 , -0.0234558105291635, -0.206151365321929 , 0.871748685018203 , 0.173369314671213 , -0.173713848310636 , 0.27108146244335 , 0.735696607958448 , 0.906373072588755 , 0.806085197493915 , 0.0566105404917443 , 0.278413776700672 , -0.0490115563541865, 0.556628694273281 , 0.398226919286155 , 1.03525513404298 , 0.256177218909208 , 0.667090927884296 , 0.460781708282034 , 0.880943673590042 , -0.300791369077917 , 0.36215740897522 , 1.12583441525533 , 0.0474809721308358 , 0.276348286290409 , 0.111349578659793 , 0.0217108657552936 , 0.0852143387449693 , 0.706150766538394 , 0.22175588064827 , -0.209283793233598 , 0.303328976940342 , 0.761015593348564 , 0.0993207303588043 , 0.0556609779259236 , 0.530947548849522 , 0.529871715504671 , 0.572291976532506 , 0.305182547372693 | 0.0001193 |
| 12 | 50 | 0.5 | 0.0 | 1.0 | control , control , control , control , control , control , control , control , control , control , control , control , control , control , control , control , control , control , control , control , control , control , control , control , control , control , control , control , control , control , control , control , control , control , control , control , control , control , control , control , control , control , control , control , control , control , control , control , control , control , intervention , intervention , intervention , intervention , intervention , intervention , intervention , intervention , intervention , intervention , intervention , intervention , intervention , intervention , intervention , intervention , intervention , intervention , intervention , intervention , intervention , intervention , intervention , intervention , intervention , intervention , intervention , intervention , intervention , intervention , intervention , intervention , intervention , intervention , intervention , intervention , intervention , intervention , intervention , intervention , intervention , intervention , intervention , intervention , intervention , intervention , intervention , intervention , intervention , intervention , -2.52982115468044 , -0.199685306039666 , 0.0131063566855494 , 1.30743454278922 , -1.99233761646382 , 1.224221269974 , -0.797097996326097 , -0.757684710244634 , -1.007819772065 , -0.29969441636485 , 0.428112972708107 , 0.424696881458509 , 0.979897886884264 , -0.46664983888597 , -0.524951921648126 , 1.02637103827557 , 1.55279504815631 , 1.61707916577597 , -1.51909609191277 , -0.456318271081811 , 0.788395824027308 , -0.675207890767119 , -1.86849786510177 , -1.02566691523275 , 0.063429920469627 , 0.242437876813436 , -0.291265576290883 , -1.35929248108596 , -0.271715971653019 , -0.943733063812091 , 0.462852009241467 , -0.305328940798837 , 0.732236354505589 , -0.462979337470884 , -0.322282980158045 , -0.0277648819672968, 1.01239448673206 , 0.861380433616996 , 0.234969040951498 , -0.214923440018915 , -0.291247256333039 , 0.563495301845734 , 0.0568162792849287 , 1.55286793013012 , -0.523264877755076 , -0.941489956998249 , -0.312582326131501 , 1.13068725254703 , 0.830485985355577 , 0.676242671273717 , 1.94626552894897 , 0.325550289811398 , 2.02586295455369 , -0.061756380495962 , -0.747591726846391 , -0.271019803365524 , 0.163138113988577 , 0.252314375164232 , 0.479815437497133 , -0.129230104340037 , 0.668420025969587 , 0.25644486918856 , -1.08792203897193 , -0.901071395827324 , 1.14338563789371 , 0.32729157516018 , 0.685784621148989 , -0.0400551116050176, -0.178202366501561 , 0.834141184236854 , 1.35092246406611 , -0.323003711888746 , -1.91775535392371 , 0.977354953981957 , 1.07093227416004 , 0.468686046244999 , 0.867651797546054 , -0.457614489901803 , -0.616793058106226 , 0.237226384267301 , -0.301853258655275 , -0.480047760947813 , 2.29440991623977 , 1.79972122506771 , 0.0793592163860432 , 0.782997179624584 , 0.443408729663504 , 1.66332409310501 , 1.41694709962363 , 0.855163565331013 , 2.081103743085 , 1.25573357534509 , -0.192849838274374 , 0.455163176338911 , 1.60928196484415 , 1.13952992474266 , -0.602512739118013 , -0.543154954909516 , 0.177636107364888 , 1.60130219494332 | 0.0076031 |
| 12 | 50 | 0.5 | 0.1 | 0.5 | control , control , control , control , control , control , control , control , control , control , control , control , control , control , control , control , control , control , control , control , control , control , control , control , control , control , control , control , control , control , control , control , control , control , control , control , control , control , control , control , control , control , control , control , control , control , control , control , control , control , intervention , intervention , intervention , intervention , intervention , intervention , intervention , intervention , intervention , intervention , intervention , intervention , intervention , intervention , intervention , intervention , intervention , intervention , intervention , intervention , intervention , intervention , intervention , intervention , intervention , intervention , intervention , intervention , intervention , intervention , intervention , intervention , intervention , intervention , intervention , intervention , intervention , intervention , intervention , intervention , intervention , intervention , intervention , intervention , intervention , intervention , intervention , intervention , intervention , intervention , 0.36322762068581 , -0.482524270892811 , -0.208760272013176 , 0.259819909553078 , 0.410357329994887 , 0.627953358491073 , -0.943411367454517 , -0.0651780519333222 , 0.870061868187217 , 1.14725992590735 , 1.03524511634438 , -0.418705640202487 , -0.15721702679124 , 0.723515302948655 , -0.330414713747335 , 0.0434633193947778 , -0.00175232354307893, 0.478225942279515 , -0.00185762528576901, 0.739943548101524 , 0.396390735602136 , 0.990814485933137 , 0.888735838344162 , 0.930830627807043 , -0.115178006628312 , -0.316108738785803 , -0.474102413908557 , 0.475220964217666 , 0.177812254891501 , -0.00151318240740619, -0.147638468788311 , -0.504058270039622 , -0.0933004343698919 , 0.550446403054829 , 0.129608516025583 , 0.71131156841883 , 0.164995998938058 , 0.101279002819334 , -0.0282315099406943 , -0.0139318257929001 , -0.485541868598071 , -1.24746518845791 , -0.0685372800927209 , -0.565898786637297 , 0.391765136868766 , -0.143540181473827 , 0.245088505263394 , -0.314801590965638 , 0.752952060670474 , 0.0658480270383082 , 0.822479819210407 , -0.0362860757239835 , -0.114516730195414 , 0.684617417688779 , 0.0766612271685196 , 0.744188839329311 , -0.519490363634012 , 0.274868598656506 , 0.496053643806967 , 0.496254446882511 , 0.426521640720158 , 0.540432977729256 , 0.142521666143584 , 0.00251449189940683 , 0.521134090889384 , 0.608347985163789 , 0.598899696540458 , 0.0517579624583205 , 0.242450049780009 , 1.91634014063647 , 0.30371654976549 , 0.425299029290934 , -0.650473879841508 , 1.28158996551406 , -0.281072202422763 , 0.750613549709254 , -0.0733269033763576 , 0.954045793096785 , 0.580236739747973 , 0.396420123782959 , 0.356101564979136 , 0.687203319102444 , 0.235495119711131 , 1.0477757891208 , 0.170155406655381 , 0.588714506806795 , 0.154528161455021 , 0.635817161909409 , 0.329488363840034 , 1.22108105732502 , 0.121272606054223 , 0.620292768967755 , -0.075806738142692 , 0.546369116756392 , -0.0517768467868762 , 0.198367503310937 , 0.605358747772714 , 1.49090883489422 , 0.783243152996712 , 1.0029867378728 | 0.0022034 |
| 12 | 50 | 0.5 | 0.1 | 1.0 | control , control , control , control , control , control , control , control , control , control , control , control , control , control , control , control , control , control , control , control , control , control , control , control , control , control , control , control , control , control , control , control , control , control , control , control , control , control , control , control , control , control , control , control , control , control , control , control , control , control , intervention , intervention , intervention , intervention , intervention , intervention , intervention , intervention , intervention , intervention , intervention , intervention , intervention , intervention , intervention , intervention , intervention , intervention , intervention , intervention , intervention , intervention , intervention , intervention , intervention , intervention , intervention , intervention , intervention , intervention , intervention , intervention , intervention , intervention , intervention , intervention , intervention , intervention , intervention , intervention , intervention , intervention , intervention , intervention , intervention , intervention , intervention , intervention , intervention , intervention , -1.16557371719645 , -0.70589493837432 , 0.691802211451757 , 1.95077180442189 , 0.145510582129513 , -0.966239881427015 , 0.155654131014007 , -0.792315720898217 , 0.235100484973076 , 1.65210468211123 , 1.25394824620812 , -0.827449179670852 , -1.94391372036875 , 0.465413822811056 , -0.571366801166413 , 1.37094355809751 , -0.303730688085563 , 1.00498620418031 , -0.235652583824493 , -0.48560881576662 , 0.432171064190169 , 0.168293432294517 , 0.840534805189654 , 0.641974915949166 , -1.52415242669483 , -0.0169400873748937, -0.567694780809171 , 0.174633817976009 , 0.945321048903639 , -2.2396993188187 , -0.277165703882776 , 0.329749383920319 , -0.388042715158779 , -1.34934209383101 , 0.661052550855856 , -0.0576082089426685, 1.62777814508393 , -0.553191963382221 , -0.6412258512198 , 0.106891821847417 , -0.71790522878999 , 1.42769195215544 , -0.779288369603479 , -0.407841149112212 , -0.14182038068706 , -1.30564660341763 , -2.10095553014689 , -1.49927837638568 , 2.01883306332871 , 0.726225272112415 , 0.2190578328092 , 0.93610765584159 , -0.692431019207954 , 1.18292896698864 , 1.27393019550081 , 1.3503098434344 , -1.09565254482478 , 0.711177046911325 , -0.132848070293693 , -0.0777733656477747, 1.12786729016105 , 1.23969689664474 , -0.545732279542163 , 0.684650662626802 , -1.26800327416972 , -0.0405024631715033, 0.138712428648622 , 0.873954360814422 , -1.30404127861262 , -0.581441355354944 , -1.4829640443973 , 2.34022882702488 , 2.60700194061985 , 0.476643673584845 , 0.852788528745859 , 1.82467533856546 , 0.0960997537297372 , -1.70772695359128 , -0.0666312446026763, 0.757086964522736 , 0.40903858095611 , 0.962407673960892 , 0.223139081583157 , 0.225183963428007 , 0.174733989584557 , -0.625670590761465 , -0.718609168903473 , 0.307100866283577 , -0.719578755381311 , -0.581409336791547 , 0.810000687917636 , 0.186734109579595 , 0.755960366549026 , 0.0371842840173946 , 0.46550149617566 , 0.949921144918459 , 1.04921687774839 , 1.55155313698181 , -0.659095467519142 , 1.5483045713955 | 0.0520956 |
| 13 | 20 | 0.0 | 0.0 | 0.5 | control , control , control , control , control , control , control , control , control , control , control , control , control , control , control , control , control , control , control , control , intervention , intervention , intervention , intervention , intervention , intervention , intervention , intervention , intervention , intervention , intervention , intervention , intervention , intervention , intervention , intervention , intervention , intervention , intervention , intervention , -0.194793587486728 , 0.555047410995595 , -0.127242442377186 , -0.81488144882631 , 0.565243443077261 , -0.398090664801827 , -0.515566168499056 , -0.70697039452098 , -1.13619463769972 , -0.234192476826213 , 0.352609113641642 , 0.252666587639445 , -0.952019118166578 , -0.04342991765383 , -0.68821069683525 , -0.402811504098671 , 0.477442199425496 , -0.00124401715724416, -0.0312506487401269 , 0.0133346417592158 , -1.6910849116864 , -0.395996982435044 , -0.685583689202601 , -0.117971758055447 , 1.08555609546968 , -0.544744960817134 , 0.100599802836525 , -0.28976453197582 , -0.343794446982784 , 0.266842616385142 , -0.623115770802775 , -0.312733233287292 , -0.703947266392867 , 1.08961630944151 , 0.781614993754837 , 0.524700147766777 , 0.374138364109579 , 0.707648656802105 , -0.519710997336838 , 0.131802266355943 | 0.4591595 |
| 13 | 20 | 0.0 | 0.0 | 1.0 | control , control , control , control , control , control , control , control , control , control , control , control , control , control , control , control , control , control , control , control , intervention , intervention , intervention , intervention , intervention , intervention , intervention , intervention , intervention , intervention , intervention , intervention , intervention , intervention , intervention , intervention , intervention , intervention , intervention , intervention , 0.719158333520589 , 2.11618777269491 , 0.67882431488865 , 0.312692105852215 , 3.08139385948444 , -0.980811898404575, 0.514530207172756 , -0.269735644029349, -2.43254831550445 , -0.408289545890157, 1.68561846096984 , 1.09244862717092 , 0.48976618701161 , 0.264752933469614 , 1.70193397030217 , 0.213958535074862 , 0.169134446997929 , -0.21242156737559 , -0.453273169413187, -2.04559447197162 , 2.13028142691859 , -1.41238181080484 , -1.1377224519395 , 0.980439616371474 , -0.953805497760842, 0.716065593576321 , -0.923734862360792, 0.63344068121369 , 0.340578837042259 , -1.96387174138005 , -1.43924465564263 , 1.498255435441 , 0.527969420337432 , -0.412626600333074, -1.08703679334505 , -0.623011698416548, -1.69251402121794 , 0.771919095705526 , 0.312002880263729 , 3.08474701128053 | 0.4174401 |
| 13 | 20 | 0.0 | 0.1 | 0.5 | control , control , control , control , control , control , control , control , control , control , control , control , control , control , control , control , control , control , control , control , intervention , intervention , intervention , intervention , intervention , intervention , intervention , intervention , intervention , intervention , intervention , intervention , intervention , intervention , intervention , intervention , intervention , intervention , intervention , intervention , -0.62984645126225 , 0.364811849554143 , -1.25185231594506 , 0.239116358634556 , -0.736644254487802 , 0.208791045428379 , 0.157645463009101 , -0.850654314544856 , 0.267652573432451 , 0.0787127394236131 , -0.537566590453764 , 0.59945262120181 , -0.140032884117767 , 0.55601739427257 , -0.204823852618817 , 0.104488637682792 , 0.782305121371372 , -0.107622401928653 , 0.402618240682061 , 0.0886237773848932 , 0.180367174583851 , 0.313779227797978 , 0.345263274391167 , -0.824654951938486 , -0.320087654609515 , -0.307890332987111 , 0.484093642530854 , 1.00822852881895 , 1.10713459116132 , -0.419046218841232 , -0.482249631554219 , 0.160763392486732 , -0.507427769848194 , -0.444314694089855 , 0.52112497447805 , -0.477351667332665 , -0.45114387315126 , 0.827672334715031 , -0.0408876494679298, -0.385571604469283 | 0.7971544 |
| 13 | 20 | 0.0 | 0.1 | 1.0 | control , control , control , control , control , control , control , control , control , control , control , control , control , control , control , control , control , control , control , control , intervention , intervention , intervention , intervention , intervention , intervention , intervention , intervention , intervention , intervention , intervention , intervention , intervention , intervention , intervention , intervention , intervention , intervention , intervention , intervention , -0.159575048624022 , 0.499397074751388 , -0.294253371835155 , -0.223277365726006 , 0.44126906898152 , -0.218685152403877 , 0.688183834035991 , 1.82791835086043 , 0.215124944927949 , 0.5614271513966 , 0.245012931817647 , 0.288266936635588 , 1.38485587977882 , -1.17311077491 , 1.82743560824331 , -0.651485781174468 , 2.52853279006787 , -0.264981222673444 , 0.594944487047615 , 0.135333335856414 , -0.9383589342068 , -2.23156368561851 , 0.357494494318027 , 1.27911336000517 , -1.4447944557336 , 1.09904883604802 , 0.752182835521611 , 0.34320826846617 , -0.992272432461439 , 1.45503530578562 , -0.684242795458182 , 1.46733745695402 , -0.0731599320484095, -2.09565486222385 , -1.86529640561448 , -1.15446478677277 , -0.655278899221701 , -0.808655418002794 , 0.627483788019361 , 0.372833604226219 | 0.0509885 |
| 13 | 20 | 0.5 | 0.0 | 0.5 | control , control , control , control , control , control , control , control , control , control , control , control , control , control , control , control , control , control , control , control , intervention , intervention , intervention , intervention , intervention , intervention , intervention , intervention , intervention , intervention , intervention , intervention , intervention , intervention , intervention , intervention , intervention , intervention , intervention , intervention , 0.118995246681331 , 0.735916163620018 , 0.294949918288664 , 0.35261462135243 , 0.0131211616206337, -0.362713551646826, 0.239287730965989 , -0.696557163273753, 0.495311854022997 , 0.301637683689738 , 1.03033183342504 , -0.469973035698449, -0.811813597950668, 0.0646692658846282, 0.171733705815511 , 0.0434145166702462, -0.529677654424267, 0.230130287169099 , -0.128165399487324, 0.115103800878614 , 0.253326210022352 , 0.732697457192618 , 0.145014449499134 , 0.690622070594309 , 0.492311997287811 , 0.267046467062553 , 0.372065242587878 , 0.36236117322214 , -0.001569417464935, 0.486673881434211 , 0.817977636854238 , 1.0125147594607 , 0.493583600832865 , 0.543387805576724 , 0.386001903847271 , 0.206302782373833 , -0.523738359877541, 0.337665753940572 , 0.304983911242133 , -0.11626815326144 | 0.0234431 |
| 13 | 20 | 0.5 | 0.0 | 1.0 | control , control , control , control , control , control , control , control , control , control , control , control , control , control , control , control , control , control , control , control , intervention , intervention , intervention , intervention , intervention , intervention , intervention , intervention , intervention , intervention , intervention , intervention , intervention , intervention , intervention , intervention , intervention , intervention , intervention , intervention , -0.969244359283242, -0.299138772730123, -0.399994255877516, -1.78801074905025 , 0.514304975982141 , 0.210634131572492 , -0.450164272847014, 0.482118674166441 , -0.663188283754089, -0.62399689604566 , -0.573317083798115, 0.834272742895888 , 0.924227599194912 , -1.43615274084864 , 0.980481042678829 , 1.30148410904584 , -0.297269316637319, 0.480796513938832 , 0.2128690295257 , 0.68776322474146 , 0.72199907590352 , 2.13421532410134 , 0.914027805126162 , -0.221181818328901, 0.93920506244426 , 0.52571196585536 , 1.01253219728727 , -0.370832233406005, 1.80057392174699 , 0.290326606345745 , 2.64211592574174 , 1.37255017373694 , -0.576148290538608, 0.560781913123114 , 0.825922958225114 , 0.551266594017827 , 1.04660082139636 , 2.06860724530196 , 0.4467622631314 , 0.79914289489927 | 0.0012652 |
| 13 | 20 | 0.5 | 0.1 | 0.5 | control , control , control , control , control , control , control , control , control , control , control , control , control , control , control , control , control , control , control , control , intervention , intervention , intervention , intervention , intervention , intervention , intervention , intervention , intervention , intervention , intervention , intervention , intervention , intervention , intervention , intervention , intervention , intervention , intervention , intervention , -0.187169720628161 , 0.602577339824854 , 0.470954993172403 , -1.01952927642796 , -0.239949999052565 , -0.514594709942187 , 0.324660261859561 , 1.21914209058133 , 0.647086497957729 , -0.293721547302823 , 0.106094995234606 , 0.139501736351111 , -0.419909242672449 , -0.713837149703547 , 0.798028199682717 , 0.0740879142032075 , 0.542250912248912 , -0.0942428500063076 , 0.41605233933824 , 0.273179392530164 , 0.323636871271336 , 0.400112247605535 , 0.99398093897928 , 0.0408706284907558 , 1.35707759576193 , -0.261425306821141 , 0.271026345380543 , 0.50824799153058 , -0.00626897178463193, 0.679277147438182 , 0.8649925039122 , 0.725234498596477 , 1.88834272453806 , 0.0429529510982671 , 0.521580363150844 , 0.787834407925613 , -0.207351444055818 , 0.7070283945078 , 0.279926870478164 , 0.412662999093875 | 0.0204371 |
| 13 | 20 | 0.5 | 0.1 | 1.0 | control , control , control , control , control , control , control , control , control , control , control , control , control , control , control , control , control , control , control , control , intervention , intervention , intervention , intervention , intervention , intervention , intervention , intervention , intervention , intervention , intervention , intervention , intervention , intervention , intervention , intervention , intervention , intervention , intervention , intervention , -0.16476753091081 , -1.05131756354893 , -2.29649769119193 , 0.957471148746654 , 0.0701449780475381 , 1.23120017549579 , -0.109311780160802 , 0.708887296847131 , -0.236627862290693 , 0.763218370767822 , 1.59075063665818 , -0.712506866129405 , -0.467026832608565 , -0.330048347501661 , 0.299493978310065 , -1.16359053236294 , 0.348332024975065 , 1.12310894922037 , -1.09291688870278 , 0.787569526974467 , 1.05958682201095 , 2.6154714039506 , -1.34142531377345 , -0.37573343714354 , 2.36707552274155 , 0.832500612982467 , 0.259908211735355 , 3.43748330904502 , -0.511321257585311 , 0.49276048595008 , 0.718943906587069 , -0.0555734552530069, 2.80438016078942 , -0.631306000093562 , 0.84422172419646 , -0.181785732869001 , 1.59729532749995 , 0.498744408039026 , -1.0022055188122 , 0.466751011890304 | 0.0690421 |
| 13 | 50 | 0.0 | 0.0 | 0.5 | control , control , control , control , control , control , control , control , control , control , control , control , control , control , control , control , control , control , control , control , control , control , control , control , control , control , control , control , control , control , control , control , control , control , control , control , control , control , control , control , control , control , control , control , control , control , control , control , control , control , intervention , intervention , intervention , intervention , intervention , intervention , intervention , intervention , intervention , intervention , intervention , intervention , intervention , intervention , intervention , intervention , intervention , intervention , intervention , intervention , intervention , intervention , intervention , intervention , intervention , intervention , intervention , intervention , intervention , intervention , intervention , intervention , intervention , intervention , intervention , intervention , intervention , intervention , intervention , intervention , intervention , intervention , intervention , intervention , intervention , intervention , intervention , intervention , intervention , intervention , -0.338599865718996 , 0.838583178452304 , 0.39031546290433 , 0.989708728886245 , -0.494742408746572 , -0.0259822761189349 , -0.295946070925004 , 0.243657104283358 , -0.429448918371037 , 0.678629785782807 , -0.327872470062218 , 0.416645816078867 , -0.124195187128748 , -0.138885722170999 , 0.443663347190352 , -0.0687208524652654 , 0.430292410308855 , 0.324296044432933 , -0.57767100639274 , 0.591451925664661 , 0.0923411938148716 , -0.639658464067316 , 0.332374681069082 , -0.0569050807935743 , -0.0196794716368988 , 1.82408079778263 , -0.114441533375071 , -0.343568104152618 , 0.455969076826746 , 0.097493302953802 , -0.219504099361934 , 0.925820631075828 , -0.377215874660731 , -0.739872619601946 , -0.022271135778988 , -0.872726967603115 , -0.17064386655647 , 0.849573579287057 , 0.312224519449544 , -0.404682620853904 , -0.106342230294992 , -0.300590053318056 , 0.283995812648236 , -0.157942819630711 , 0.429857228995057 , 0.624192361923097 , 0.692231102767988 , 0.710611167153063 , -0.670064408225024 , 0.248589684403309 , -0.0825142970942595 , 0.131631479475672 , 0.0636757176509386 , 0.12774665631086 , -0.372428446691183 , 0.159828543654276 , -0.292143367356449 , 0.991899358268959 , -0.268152326799657 , 0.804532855905948 , -0.321672038738448 , 0.552943755377962 , -0.329601497125485 , 0.888789752995775 , -0.63241392553947 , 0.000780280216921986, -0.0132288083660738 , -0.16186746747018 , 0.183179057269784 , 0.30880891815927 , 0.630580794298349 , 0.54030425123136 , -0.394448059469109 , -0.613841854965076 , 0.761122443338093 , 0.211538321288803 , -0.482857149816613 , 0.401672887085018 , -0.011426007213933 , -0.0262623766298332 , -0.443799664738991 , 0.174831201872048 , -0.0436350182006332 , -0.060416230911797 , 0.109935183139493 , -0.0604365752292865 , 0.13895450070904 , -0.398964480102952 , 0.0799461684599883 , -1.0054743493658 , 0.526052579871996 , 0.578253837363029 , 0.73233851719646 , -0.0206448504555204 , 0.523889310770567 , -0.0600409108911134 , -0.812845982805845 , -0.975999205639778 , 0.918019040085339 , 0.792887981072796 | 0.7344031 |
| 13 | 50 | 0.0 | 0.0 | 1.0 | control , control , control , control , control , control , control , control , control , control , control , control , control , control , control , control , control , control , control , control , control , control , control , control , control , control , control , control , control , control , control , control , control , control , control , control , control , control , control , control , control , control , control , control , control , control , control , control , control , control , intervention , intervention , intervention , intervention , intervention , intervention , intervention , intervention , intervention , intervention , intervention , intervention , intervention , intervention , intervention , intervention , intervention , intervention , intervention , intervention , intervention , intervention , intervention , intervention , intervention , intervention , intervention , intervention , intervention , intervention , intervention , intervention , intervention , intervention , intervention , intervention , intervention , intervention , intervention , intervention , intervention , intervention , intervention , intervention , intervention , intervention , intervention , intervention , intervention , intervention , -0.206795092564664 , -0.0366852898890906, -0.535474070800001 , 0.510116157082627 , 1.38227329020249 , 1.30220342656805 , -1.90074347358963 , 0.0380725974439218 , -0.715392373007348 , -1.44703674317381 , 0.208804926045817 , -0.871148329184038 , -0.7640111055869 , -1.4493190136525 , -1.15574134137706 , -0.416242239595681 , 0.535911125590521 , -0.365699160776724 , 1.22241623941027 , -0.270531276743145 , -0.600170615403455 , -0.983482504466617 , 0.129302906422539 , -1.60654870382831 , 1.47288658688032 , -0.769915134456373 , -1.1173770444223 , 0.760994686766007 , -0.733777411482992 , 1.48627179465059 , 0.949716907026224 , 0.419460829135221 , 1.15247916820491 , 0.733004530815782 , -1.97515316233445 , -1.30503303060233 , 0.986582111531614 , 1.30223367544109 , 0.246442642974494 , -1.0869423846407 , -0.200406149448541 , 0.88322354568112 , 0.986613246390413 , 0.127294711760769 , -0.444845784391814 , -1.17517997330707 , -0.762272701711853 , 0.0627869203452009 , 0.748379130278645 , -0.0178595417928692, -0.264605187219953 , -0.694876956368053 , 0.391943739164882 , -1.77612803127787 , 0.519605803241702 , 0.432874945810431 , 0.358810534265524 , 1.41363070733612 , -1.17530176315464 , -1.18169128611109 , 0.598365056195873 , -0.70778459529187 , -1.36696685212505 , 0.541225645535547 , 0.916025190062964 , -0.514354611420127 , 0.0524261813077283 , -1.23056491066621 , 0.679450102743006 , -0.758883331281259 , -1.4723119176469 , 1.14042224870373 , -0.0628003061457705, -1.370605700466 , -1.56150406672425 , -0.101089189872726 , 0.754045224098484 , -0.47163844718024 , -2.06376561457056 , 0.32398552595554 , 0.837993184000333 , 0.825216862182403 , -0.378960148560831 , -0.878034006184122 , -0.929021641725073 , 1.47435346382407 , -0.689445896997471 , 0.710325715660739 , -0.667791149780225 , 0.258411967645282 , 1.16845956176397 , -0.571146053236665 , 1.07108099635752 , 2.01196836323377 , 1.57429360150222 , 0.350710046860218 , 1.09853359929687 , 2.3406308282635 , -0.916894873221377 , 0.322196574404617 | 0.5747236 |
| 13 | 50 | 0.0 | 0.1 | 0.5 | control , control , control , control , control , control , control , control , control , control , control , control , control , control , control , control , control , control , control , control , control , control , control , control , control , control , control , control , control , control , control , control , control , control , control , control , control , control , control , control , control , control , control , control , control , control , control , control , control , control , intervention , intervention , intervention , intervention , intervention , intervention , intervention , intervention , intervention , intervention , intervention , intervention , intervention , intervention , intervention , intervention , intervention , intervention , intervention , intervention , intervention , intervention , intervention , intervention , intervention , intervention , intervention , intervention , intervention , intervention , intervention , intervention , intervention , intervention , intervention , intervention , intervention , intervention , intervention , intervention , intervention , intervention , intervention , intervention , intervention , intervention , intervention , intervention , intervention , intervention , 0.0884517328871353 , 0.131278476695301 , 0.401588428857629 , 1.00245458502618 , -0.0609281655347718 , 0.263858364451609 , -0.724974471223843 , 0.938937621679328 , 0.458134892252875 , -0.533046627755062 , -0.212618620433801 , 0.138203802705557 , 0.277472005015684 , 0.688669652019023 , 0.992461517870232 , 0.224676160645169 , 0.374639364364287 , 1.40795563349711 , 0.198147220023635 , -0.504114452579454 , 1.1459265255812 , 0.80089428861297 , -0.251887546111438 , 0.445681824869599 , 0.136909794091265 , -0.883683013669882 , -0.0097242787224399 , 0.842514408800756 , 0.197720431407312 , -0.273636588704724 , -1.08087340990942 , 0.0971543289722879 , -0.0768250142492731 , -0.69202346507582 , -0.173210112357023 , 0.0470782721421509 , -0.00707209808376931, -0.130965917931685 , -0.521024315969914 , 0.511057572714691 , -0.626781923771346 , -0.0218605518272771 , 0.40040910705763 , 0.890328423437053 , 1.09858795513738 , 0.160307819872662 , -0.478123418165257 , -1.03487966967777 , 0.676732493877423 , -0.077645736947409 , -0.0786409500008981 , 0.361148956607915 , -0.139584545983973 , 0.232374617196172 , -0.0840671341827745 , 0.45044673299419 , -0.340523502122081 , -0.371615566866514 , 0.276741158015897 , 0.0342398533070664 , 0.231195708050549 , -0.0519234411365285 , 0.35695437255369 , 0.381983776628517 , -0.245603865021341 , -0.558230876799988 , -0.313624863006714 , -0.654972276148721 , -0.344854419152571 , 0.988336472873516 , 0.660922116483295 , -0.222438658939957 , -0.131881763489739 , -0.268363737411232 , 0.147112197917322 , 0.285557031802342 , 0.19755844759427 , -0.411824673429641 , -0.643998302773765 , 0.828534067021712 , -0.0687798635762601 , -0.635836368876899 , 0.0847508645468805 , 0.610908369049842 , -0.213337193161767 , -0.654086747194996 , -0.400606808911613 , -0.925735297804654 , -0.483660423606015 , -0.420690012689671 , 0.693511163603606 , 1.30896009123493 , -0.174664527339081 , 0.0603752851286272 , -0.177779445504465 , -0.159724046609425 , 0.271488254609417 , 0.312679966889933 , -1.08080900574274 , -0.229665077974717 | 0.1213891 |
| 13 | 50 | 0.0 | 0.1 | 1.0 | control , control , control , control , control , control , control , control , control , control , control , control , control , control , control , control , control , control , control , control , control , control , control , control , control , control , control , control , control , control , control , control , control , control , control , control , control , control , control , control , control , control , control , control , control , control , control , control , control , control , intervention , intervention , intervention , intervention , intervention , intervention , intervention , intervention , intervention , intervention , intervention , intervention , intervention , intervention , intervention , intervention , intervention , intervention , intervention , intervention , intervention , intervention , intervention , intervention , intervention , intervention , intervention , intervention , intervention , intervention , intervention , intervention , intervention , intervention , intervention , intervention , intervention , intervention , intervention , intervention , intervention , intervention , intervention , intervention , intervention , intervention , intervention , intervention , intervention , intervention , 0.228358047313088 , 0.628085578839757 , -0.629370173020538 , 0.307953429372734 , -0.276897969577013 , -0.128736496997968 , 1.05033530884376 , 0.0641121939865227 , -0.789056592958628 , 0.391218414207461 , -1.33982388652348 , 0.0749265148118779 , 1.51952885510991 , -0.184105087831932 , -1.1315963910223 , -1.13328968789999 , 0.156972602665763 , -0.9078929438782 , 0.615305231103209 , 0.119596464517772 , -0.0723360332729115, 0.481590762955382 , 1.91295937666063 , -0.426537107368569 , -0.131696180080039 , 1.01101340710362 , -0.0901105885221821, 0.363502418112314 , 0.212334480276484 , 0.180456525508801 , 0.0984371020342551 , 0.585423007316665 , -0.108776052382793 , 0.595181741237942 , -2.3336879190182 , -0.615763795671218 , -0.0719471597714901, -1.10339190981948 , -1.91631398327575 , -0.0492880359628829, -0.470737937265137 , -0.973337547163742 , 0.461817431791439 , 0.577864061427729 , -0.0783363478313698, 1.26005695834768 , 0.428663323846862 , -0.161876136683268 , -1.1435739354962 , 0.180314713167448 , 1.5042599376176 , -0.144381806383096 , -0.440715772609873 , -1.17124551944453 , -1.28266195996925 , -1.51337318876245 , 0.846427090882241 , 0.782495145980272 , -0.833426958230247 , 0.772934088128767 , 0.298206794368639 , 0.928013754758906 , 3.42182428577347 , 0.706781380662306 , -0.750215155412552 , 0.208735099753708 , -0.70220264841458 , -0.032134593091823 , -0.837283525729879 , 0.457894088754576 , 0.628133843285924 , -0.489575561734157 , -1.21243913319827 , 0.710334591907634 , -1.0716757678532 , -1.37551468298368 , -1.06256418467368 , -1.02450302481755 , 0.784107872594661 , 2.28075074091151 , 1.34093373750702 , 0.386487518351292 , -1.0668301996452 , -0.61934380558231 , 0.700175495721639 , -0.50874299537173 , -0.380709100810097 , -0.452164823900009 , 0.753697085317919 , 1.30313526187614 , 0.125764185293357 , -0.328112009495672 , 0.589882208955375 , -0.511999863448978 , -1.47597563842624 , 0.153439616695191 , -0.702935902856823 , -0.65153650621257 , 0.256955985194728 , 1.11126989554345 | 0.7318694 |
| 13 | 50 | 0.5 | 0.0 | 0.5 | control , control , control , control , control , control , control , control , control , control , control , control , control , control , control , control , control , control , control , control , control , control , control , control , control , control , control , control , control , control , control , control , control , control , control , control , control , control , control , control , control , control , control , control , control , control , control , control , control , control , intervention , intervention , intervention , intervention , intervention , intervention , intervention , intervention , intervention , intervention , intervention , intervention , intervention , intervention , intervention , intervention , intervention , intervention , intervention , intervention , intervention , intervention , intervention , intervention , intervention , intervention , intervention , intervention , intervention , intervention , intervention , intervention , intervention , intervention , intervention , intervention , intervention , intervention , intervention , intervention , intervention , intervention , intervention , intervention , intervention , intervention , intervention , intervention , intervention , intervention , 0.100199884876056 , -0.488161247252243 , -0.668931158767621 , -0.574568187628515 , 0.434866011581459 , 0.510349104711247 , 0.46146880656283 , -0.869216994771714 , 0.35777004413955 , -0.340635984896694 , 0.258847116150175 , -0.130588479957828 , 0.632331021741396 , -0.705265743466943 , -0.590433595174374 , 0.754125246885422 , -0.305048849814428 , -0.087920706292701 , 0.059733002560457 , 0.124144851690901 , 0.456230545629055 , 0.650728262028741 , -0.539820599131006 , -0.352753714373981 , -1.00992251888922 , -0.651859660749817 , 0.728036267025637 , 0.812516646364412 , -0.743661702210843 , -0.56529755478083 , -0.73693898528075 , -0.082674967463257 , -0.836746145330794 , -0.35810859987311 , -0.202218640515156 , 0.0196056755120876 , 0.390937978083156 , -0.155923986287197 , -0.0383832449598795, 0.630505053068289 , -0.643451346802687 , 0.0216325470217304 , -0.758761281951706 , -0.227544030536171 , -0.542933884903222 , -0.0431660681208843, -0.775308647568635 , -0.0465608408590054, 0.010181330360758 , 0.457222708926211 , 0.56996219947635 , 0.912068388916397 , 0.69052078810202 , 1.39632127932178 , 0.667982612693258 , 0.86813327268441 , 0.82176798201471 , 0.543541990676274 , 0.266967422873589 , -0.629629169131744 , 0.811862713386435 , 0.661195249530802 , 0.24239361450176 , 0.401677850223371 , 0.882819442267682 , 0.442631725858738 , -0.0502154621322578, 0.805660386231099 , -0.0734991259164913, 0.430584757410392 , 1.09094652518393 , 1.11610198088292 , 0.821890406338626 , 0.1984998169676 , 0.8802686487001 , 1.00907392313356 , 1.06208794817818 , 0.311657579127453 , 0.793980292090279 , 0.142333963740494 , 0.930049217473499 , 0.11988314101409 , 0.133281540864882 , 0.137677903929618 , 0.217358772981895 , 0.281871227592261 , 0.114729461228178 , -0.59709378657914 , -0.0948871281872785, -0.280503083085084 , -0.522001944738733 , 0.563038437105979 , 0.660711674121854 , 1.11864921618731 , 0.638602530370886 , 0.79607037324769 , -0.824775239284744 , 0.616357614954623 , 1.01100776431284 , 0.30892114996226 | 0.0000001 |
| 13 | 50 | 0.5 | 0.0 | 1.0 | control , control , control , control , control , control , control , control , control , control , control , control , control , control , control , control , control , control , control , control , control , control , control , control , control , control , control , control , control , control , control , control , control , control , control , control , control , control , control , control , control , control , control , control , control , control , control , control , control , control , intervention , intervention , intervention , intervention , intervention , intervention , intervention , intervention , intervention , intervention , intervention , intervention , intervention , intervention , intervention , intervention , intervention , intervention , intervention , intervention , intervention , intervention , intervention , intervention , intervention , intervention , intervention , intervention , intervention , intervention , intervention , intervention , intervention , intervention , intervention , intervention , intervention , intervention , intervention , intervention , intervention , intervention , intervention , intervention , intervention , intervention , intervention , intervention , intervention , intervention , -0.330772391594949 , -0.814706107798043 , -0.920877369920943 , -1.85690507531075 , -0.178854996082128 , -0.0769062720020658 , 0.533705135283185 , 0.441999763920904 , 0.105500359556606 , 0.720570859529398 , 1.18277258687615 , -2.02483086458232 , -0.417106861846784 , -0.435538801114742 , 0.573595573084943 , -1.55379950717627 , 0.979622922295011 , -0.195888872395541 , -0.646115015836736 , -0.277670296149375 , -1.19534515747717 , -2.43019643024164 , 1.33600369811571 , -0.213018121292249 , 0.610067169252898 , 0.862620589680677 , 1.43711843318179 , 0.774728693834086 , 0.345112609420051 , -0.38074878635277 , -0.536707300914369 , 0.654237975848781 , 1.27265058885855 , -1.86751673838145 , 0.581948953378713 , -0.720688856998412 , 1.26243988006531 , -0.947124515489819 , -1.12637487410097 , -0.00106438059814154, 0.494819828003892 , 1.22779475496339 , -1.88884893463691 , 0.158500180602809 , 0.914371073121636 , -0.29798287825262 , 0.254384770126666 , -0.285785205627284 , 0.563565081479905 , -0.0130792484326144 , 1.80254132970296 , -0.322306086515462 , 1.18518238545655 , 1.37084485177808 , 0.45546503930062 , 0.665902748711285 , 0.36401616730387 , 1.7884744314361 , -0.331325869684103 , 1.97568700058642 , 1.57623926507074 , 0.46985875892273 , 2.6101806949615 , -1.12313190677551 , 1.74129402984235 , 2.36491774927582 , 0.985291517235005 , 0.532759757030938 , 1.41568580098003 , 0.026344645872641 , 0.917045428686207 , 0.138327334979526 , 0.425868835612637 , 0.0368133832969545 , -0.455817812059926 , 1.21604386575529 , 0.346055064935868 , 0.559839573553 , -2.02474280805555 , -0.574260413487485 , -0.056697425553098 , -0.129333015886606 , -1.6198809222546 , 0.346553250952677 , 0.260876531527581 , 0.966673172753377 , -1.33950110430147 , -1.46052026482723 , 0.975971708384142 , -0.0157992397972886 , 2.25161034671731 , 1.6525109852013 , -0.132114021940827 , 0.0769039101833571 , 2.75230475488108 , 0.558809902668708 , -0.497446089691426 , 3.06271535500932 , 2.8622216998973 , 0.767412076204125 | 0.0012879 |
| 13 | 50 | 0.5 | 0.1 | 0.5 | control , control , control , control , control , control , control , control , control , control , control , control , control , control , control , control , control , control , control , control , control , control , control , control , control , control , control , control , control , control , control , control , control , control , control , control , control , control , control , control , control , control , control , control , control , control , control , control , control , control , intervention , intervention , intervention , intervention , intervention , intervention , intervention , intervention , intervention , intervention , intervention , intervention , intervention , intervention , intervention , intervention , intervention , intervention , intervention , intervention , intervention , intervention , intervention , intervention , intervention , intervention , intervention , intervention , intervention , intervention , intervention , intervention , intervention , intervention , intervention , intervention , intervention , intervention , intervention , intervention , intervention , intervention , intervention , intervention , intervention , intervention , intervention , intervention , intervention , intervention , 0.637486832254867 , 0.0317805702462873 , -0.298732066780119 , 0.391671133297428 , -0.901642343594986 , -0.309176307844265 , -0.198390461707113 , -0.0315131302018883 , -0.635397036578819 , -0.267207976130828 , 0.153105843206855 , -0.296420173675489 , -0.533320831334958 , 0.0403447267092871 , 1.31447013910985 , 0.260477060025972 , 0.820591375926668 , -0.49223186477322 , -0.201295614302115 , -0.626523216940925 , 0.808711763203344 , -0.0508362140805811 , 0.170642608050342 , 0.992452450783748 , -0.465015613479638 , -0.116372856823709 , -0.1381485680146 , -0.513851278089186 , -0.237739208081811 , -0.0419900587359582 , 0.142209568017703 , 0.32928401973128 , -1.22865334505067 , 0.512467248340742 , 0.925296832242047 , -0.984673642537472 , 0.258939011627531 , 0.143684337639428 , -0.147702504936783 , 0.725818781495155 , 0.226285616935544 , -0.119451866286532 , 1.20262171465176 , 0.179801804410735 , -0.103372877648893 , -0.211226277282045 , -0.34605465944429 , -0.39934453263412 , 0.727966310800621 , 0.285267069750292 , 0.946679579368798 , 0.599222088889233 , 0.476551049375518 , 0.000463783163619724, 0.0447159113283087 , 0.702463186879882 , 0.986374689748697 , 0.427168846847039 , 0.764236139336482 , 0.0937806751606775 , 0.553842212777985 , 0.244760075932581 , 1.00503450803993 , 0.406185929966042 , 0.56051554899636 , 1.11155136450949 , 0.71848768774816 , 0.711630352937453 , 0.825925666182584 , 0.518200580301989 , -0.122140553426583 , 0.244440378301711 , 0.808499748271897 , 0.647316947829492 , 0.769059721665193 , 0.594772325107134 , 0.444642455703915 , -0.244485172370176 , -0.600445281015525 , -0.0681795308994927 , 1.00476481149428 , 0.893900680007219 , 0.209443233755747 , 0.171943607685372 , 1.23020273264779 , 0.77583426476648 , 0.216999725325363 , 1.44324740131488 , 1.57228167022586 , 0.25082119906086 , 0.699676415749491 , -0.0639872782306313 , -0.0334537236033084 , 0.40504431777984 , 0.544262745615145 , -0.947520011130374 , 0.301143472509134 , 0.796150167155785 , 0.212277952076882 , 0.694281179066153 | 0.0000183 |
| 13 | 50 | 0.5 | 0.1 | 1.0 | control , control , control , control , control , control , control , control , control , control , control , control , control , control , control , control , control , control , control , control , control , control , control , control , control , control , control , control , control , control , control , control , control , control , control , control , control , control , control , control , control , control , control , control , control , control , control , control , control , control , intervention , intervention , intervention , intervention , intervention , intervention , intervention , intervention , intervention , intervention , intervention , intervention , intervention , intervention , intervention , intervention , intervention , intervention , intervention , intervention , intervention , intervention , intervention , intervention , intervention , intervention , intervention , intervention , intervention , intervention , intervention , intervention , intervention , intervention , intervention , intervention , intervention , intervention , intervention , intervention , intervention , intervention , intervention , intervention , intervention , intervention , intervention , intervention , intervention , intervention , 0.134976816662048 , 0.603408986821957 , 2.59269277523968 , 0.253798432073774 , 0.813454106858331 , -0.938336669148914 , 1.68200597965183 , -0.467616936357135 , 0.917320465694067 , 0.501773304241797 , 0.199800168656343 , 0.152878919252407 , -1.07836640348023 , -1.52442359434658 , 0.276174035806737 , 0.041466116968286 , 1.11384528889379 , 0.644583879234707 , 0.164846458162085 , -1.30630511061478 , -0.124060556626325 , 0.325699308560546 , 0.636212764940126 , 1.52904804615386 , 0.755203231790662 , 0.770891738265013 , -0.255324210049447 , 0.423360028897254 , -0.640281910617813 , 0.575800303708867 , -0.515047689863401 , -1.822216675454 , -0.765934766302505 , -0.553099104028865 , 1.11031236737852 , 0.97729384036786 , -0.446124331699261 , 1.47519163654207 , 0.616366371650143 , 0.970243090620059 , 0.227368587082111 , -0.785541973263283 , 1.60522449485569 , -0.358887081329755 , -0.208597254600241 , -1.13487870923976 , 0.916392475805851 , 1.31081845634016 , 1.23877697917064 , 0.598490495866485 , 0.628096404310367 , -0.292375512629478 , 0.326340831768164 , 0.21905625810964 , 0.483615641541929 , 1.7664592167316 , 0.45128082365434 , 0.22526166289506 , -0.614945693529604 , -0.758722919842059 , 1.07556161875929 , -0.0490193199196207, 0.944907300240954 , 1.57833263807486 , 0.76963330876651 , 0.971958520802898 , -1.34028519763478 , 1.62447373044448 , 0.559321743777959 , -0.562937164362745 , 0.111164085573323 , -0.271146192803415 , 2.65916081106197 , 0.926640363567439 , 1.02982527467644 , -1.14045780966864 , -0.425856745124127 , 0.165405601736752 , -0.186864617471747 , 0.263679157362943 , -1.17896423276588 , 1.51552829339661 , 0.530414022324331 , 0.735642170602096 , 0.691396380401628 , 1.31547318631385 , 0.766563593820997 , -0.167433309263093 , 1.70840183235504 , 0.0643180180943387 , 0.786673404180569 , -0.356501286749301 , 1.59514499264099 , 0.212814570283258 , 0.920057881211675 , 0.967585683011545 , -1.09686616763404 , 0.872606264844833 , 1.30836585507914 , 0.79714088856814 | 0.2667782 |
| 14 | 20 | 0.0 | 0.0 | 0.5 | control , control , control , control , control , control , control , control , control , control , control , control , control , control , control , control , control , control , control , control , intervention , intervention , intervention , intervention , intervention , intervention , intervention , intervention , intervention , intervention , intervention , intervention , intervention , intervention , intervention , intervention , intervention , intervention , intervention , intervention , -0.285073843222834 , -0.28302231194214 , -0.0582593051676423, 0.133810544670371 , 0.209320648634174 , 0.845387277709205 , 0.96243899010206 , -0.0443882466121065, -0.585235090564066 , -0.0568161752923559, 0.579306226384408 , -0.955309738220016 , -0.678142351157311 , -0.360008346981135 , -0.848233085166212 , -0.675287592623097 , 0.163529632841576 , 0.183239846408161 , -0.154008136305114 , -0.460890188139954 , -1.11977319844752 , -0.43702491267837 , 0.321525773167464 , -0.314285847904886 , -0.20333438560362 , 0.0653956018750658 , 0.0120567409684273 , 0.414183883997871 , -0.409677767416418 , -0.409046721336133 , -1.74104233841125 , 0.580050386823711 , 0.61527092931616 , 0.977191207244273 , -0.116452684031617 , -0.199341021377114 , -0.449663638925382 , 0.33354265689205 , -0.6061755869159 , -0.483215105874786 | 0.8269147 |
| 14 | 20 | 0.0 | 0.0 | 1.0 | control , control , control , control , control , control , control , control , control , control , control , control , control , control , control , control , control , control , control , control , intervention , intervention , intervention , intervention , intervention , intervention , intervention , intervention , intervention , intervention , intervention , intervention , intervention , intervention , intervention , intervention , intervention , intervention , intervention , intervention , -0.962749210607883, -0.79556548345576 , -1.24204465107141 , 0.469778399330934 , -0.156689430135869, 1.79281085961252 , -0.753345797901277, -1.41093074305345 , 0.347575881952016 , 1.79273797837103 , 0.497417745443712 , 1.98082675479201 , -0.598313031833488, 1.15365999933543 , 0.063316903450111 , -0.526187432735108, -2.3275563264631 , -0.264631052144214, 0.627842251600441 , -1.59998519080009 , 0.859909713102372 , -2.07752782463179 , -1.86109989264239 , 0.209340877508467 , 0.889863671447834 , 0.95105984096354 , 0.50503742517971 , -0.63309154066833 , 0.36509626824658 , 0.435293450617442 , -0.201647763742267, -1.60311317835727 , 0.924468061704919 , -1.03380657859378 , -0.17226030723767 , 0.144623591373109 , -0.393586369180654, 0.876546991529433 , 1.45806736337694 , 0.0834420237979672 | 0.8145595 |
| 14 | 20 | 0.0 | 0.1 | 0.5 | control , control , control , control , control , control , control , control , control , control , control , control , control , control , control , control , control , control , control , control , intervention , intervention , intervention , intervention , intervention , intervention , intervention , intervention , intervention , intervention , intervention , intervention , intervention , intervention , intervention , intervention , intervention , intervention , intervention , intervention , -0.317499292504472 , 0.138278974631577 , 0.187330738976625 , -0.207900302356765 , -0.646296946434688 , 0.235405343929167 , 0.465097050397826 , -0.172699739925858 , 0.422711456411912 , -0.619760400607902 , -0.734203257188694 , -0.0382752855248772, -0.558919745075046 , -0.765753985462259 , -0.43428468067882 , 0.465482893449678 , -0.148386005567003 , 0.569893575515589 , 0.179624490339954 , 0.942920857088527 , 0.0414588056068782 , -0.019694739015527 , -0.0588753641186346, 0.482364240114989 , 0.646835704118719 , 0.665897427993897 , -0.225884197956578 , 0.485719498244569 , -0.771948207395538 , -0.0944643144367152, 0.508596307802535 , 0.117467689764805 , 0.602705557703667 , 0.212196982365372 , 0.371939348621582 , -0.468179204184868 , -0.960896033182379 , 0.0181915964997989 , -0.570810764606904 , -0.443556381178869 | 0.6115452 |
| 14 | 20 | 0.0 | 0.1 | 1.0 | control , control , control , control , control , control , control , control , control , control , control , control , control , control , control , control , control , control , control , control , intervention , intervention , intervention , intervention , intervention , intervention , intervention , intervention , intervention , intervention , intervention , intervention , intervention , intervention , intervention , intervention , intervention , intervention , intervention , intervention , -0.257511497263139 , -1.41903062364974 , -0.0527939870217959 , -0.0317571476781431 , -0.201673696784816 , -0.840802133334171 , 0.344076063730761 , 0.502873157132031 , 0.240979700871706 , 0.32699656278957 , -0.0557703087703423 , -0.717402992231026 , -0.463981178677738 , 0.561733891353459 , 0.886840717024735 , -0.501983337056518 , -1.14376119072114 , -0.0264905303303145 , 0.919652259244427 , -1.29546156151642 , -1.54418188905446 , 0.0586410569601378 , -0.483803673737249 , 1.30918770801909 , 0.974071679510426 , -0.886397923352355 , 0.3094775458272 , 0.211207282070006 , -1.44543813163255 , -1.36519185552968 , 1.38835474207705 , 0.173403477983757 , 0.318124235951183 , -1.57383279555101 , -0.00758851003776207, -2.0302053385383 , 0.595260989905831 , 0.246726569295321 , -0.20628829682892 , -0.515634636781904 | 0.8170788 |
| 14 | 20 | 0.5 | 0.0 | 0.5 | control , control , control , control , control , control , control , control , control , control , control , control , control , control , control , control , control , control , control , control , intervention , intervention , intervention , intervention , intervention , intervention , intervention , intervention , intervention , intervention , intervention , intervention , intervention , intervention , intervention , intervention , intervention , intervention , intervention , intervention , -0.731260366968151 , -0.752047040762781 , -1.03896866540206 , -0.60672599164707 , -0.438601988370422 , 0.31892123417525 , -1.66397762396863 , -0.961180327104619 , -0.150140806164763 , -0.0614095108979027, 0.196715928983054 , -0.144638832735867 , -0.6898039569603 , -0.514536796792147 , -0.125888907619155 , -0.149325534941487 , 0.0587459113989594 , 0.0297429866699365 , 0.202246147492214 , 0.601303152224497 , 0.0830656068797996 , -0.438730192866089 , 0.877404308599412 , 0.264362187288736 , 0.574149094079684 , 0.575674464708152 , 0.337721220037539 , -0.0308278661695165, 0.505164359578732 , 0.963671591353591 , 0.453638487979383 , -0.327625952479327 , 0.683091913816644 , -0.0472316100659519, 0.440177057266657 , -0.135312277826035 , -0.0555808196125849, 1.44829835651904 , 0.639664870375291 , 0.414493021842594 | 0.0001024 |
| 14 | 20 | 0.5 | 0.0 | 1.0 | control , control , control , control , control , control , control , control , control , control , control , control , control , control , control , control , control , control , control , control , intervention , intervention , intervention , intervention , intervention , intervention , intervention , intervention , intervention , intervention , intervention , intervention , intervention , intervention , intervention , intervention , intervention , intervention , intervention , intervention , -0.903627374292807 , -0.288625672543208 , 0.205921277889886 , -0.129784178075156 , -0.331345958008264 , -1.93851181216544 , -0.186047456261058 , -1.19290448247857 , -0.825199333063655 , 1.03325368523692 , 0.153666871057339 , -0.546699987757564 , -0.113554109697459 , 0.0859685515096807 , 0.63549432913878 , 0.180107053401654 , -0.18168044861791 , -0.00730924887777934, 0.873807656166884 , -0.231920064058088 , -2.05140241476482 , 1.29364839360118 , 1.06381685422002 , -0.210547479562595 , 2.02956245587845 , 2.00445788751427 , 2.2822478028911 , 0.434308170909707 , 0.445047126223296 , 0.773739744039022 , -1.07761497614821 , 2.25428555304634 , 0.732465283688927 , 0.852671797094958 , 0.711022658015007 , -0.18958614397468 , -0.018202260539238 , 1.74049105715174 , 1.63669741791668 , 0.160122123237725 | 0.0031997 |
| 14 | 20 | 0.5 | 0.1 | 0.5 | control , control , control , control , control , control , control , control , control , control , control , control , control , control , control , control , control , control , control , control , intervention , intervention , intervention , intervention , intervention , intervention , intervention , intervention , intervention , intervention , intervention , intervention , intervention , intervention , intervention , intervention , intervention , intervention , intervention , intervention , 0.0658674381666942 , -0.66918372647375 , 0.506271735258868 , -0.175629832788827 , -0.0940273277307783, -0.978790026310407 , 0.0524866203773833 , 0.308062387639134 , 0.551270320375707 , 0.35986617717709 , -0.604425300075256 , -0.218431064245196 , -0.411203092465454 , -0.133522834350407 , 0.0947944513710104 , -0.291336210964299 , 0.0525614183193022 , 0.546192903419535 , -0.281906651862276 , -0.726373734759106 , 0.319876187935596 , 1.21861056523455 , 0.176942652354406 , 0.668737786677585 , -0.104096663938472 , 0.37393827127076 , 0.676177663259527 , 1.29141754110323 , -0.623052164131029 , -0.0834098980862229, 0.812730223508653 , 0.546672801610237 , 0.474881507018273 , 0.00954523716713607, 0.292277318366407 , 0.311061746520125 , 0.468246334407609 , 0.20451416963364 , 1.32329652798646 , 0.0535114370689855 | 0.0010227 |
| 14 | 20 | 0.5 | 0.1 | 1.0 | control , control , control , control , control , control , control , control , control , control , control , control , control , control , control , control , control , control , control , control , intervention , intervention , intervention , intervention , intervention , intervention , intervention , intervention , intervention , intervention , intervention , intervention , intervention , intervention , intervention , intervention , intervention , intervention , intervention , intervention , -1.14396643788854 , -1.23990176155609 , -0.252128085433106 , -0.910950063661026 , 0.366467004633725 , 0.174273958209642 , 1.91022455214276 , 1.15741409931264 , 0.322409321076966 , 1.60593483040819 , -0.233421685084222 , -0.235385256866736 , 2.38753620235451 , -0.687687650510021 , -1.03645439495234 , -1.55657873782582 , -0.32828327916642 , -1.2725714366666 , -0.884697542741481 , 0.0387228195335124 , 1.15402426602318 , -1.4898342307735 , -0.518518859589188 , -0.432028393643533 , -0.232551092315125 , -1.01185829063973 , 0.597775770617536 , -0.490499265068564 , 0.920535715680534 , 1.52343207152868 , -0.0878625411114202, 0.76917378129002 , 0.231652258773898 , 0.844273372046414 , 0.0847586839841904 , -0.93536462080531 , 1.00570091621522 , -0.0461930440703978, -0.338637132251617 , 0.623206122774408 | 0.5212238 |
| 14 | 50 | 0.0 | 0.0 | 0.5 | control , control , control , control , control , control , control , control , control , control , control , control , control , control , control , control , control , control , control , control , control , control , control , control , control , control , control , control , control , control , control , control , control , control , control , control , control , control , control , control , control , control , control , control , control , control , control , control , control , control , intervention , intervention , intervention , intervention , intervention , intervention , intervention , intervention , intervention , intervention , intervention , intervention , intervention , intervention , intervention , intervention , intervention , intervention , intervention , intervention , intervention , intervention , intervention , intervention , intervention , intervention , intervention , intervention , intervention , intervention , intervention , intervention , intervention , intervention , intervention , intervention , intervention , intervention , intervention , intervention , intervention , intervention , intervention , intervention , intervention , intervention , intervention , intervention , intervention , intervention , 0.501925747946674 , -0.125908536455728 , -0.824318596051689 , 0.0443041375241792 , 1.38359119843815 , 0.94392358727636 , -0.503802207117073 , -0.232311406089162 , 1.5697834530991 , 0.467584388877748 , 0.985350511772898 , -0.151065455790147 , 0.594784638908968 , -0.228880294895939 , 0.0268858398903716 , 0.3488617219269 , 0.716622826726922 , -0.580699744558548 , -0.524255225226514 , 0.72919351706116 , -0.903923376520751 , -0.18597077319702 , 0.495145318449699 , -0.398307274622876 , 0.481599666990713 , 1.08854997307222 , -0.579361527997443 , 0.225103916948397 , -0.105214110487996 , -0.232043567186885 , 0.105950889343558 , 0.293436957166141 , -0.360351147087944 , 0.844965397509199 , 0.697311787690114 , 0.249836079513198 , 0.128124386243474 , 0.816331301899162 , -0.419418588454208 , -0.453595946398023 , 1.08078808188534 , -0.570421612626294 , -0.167531100490043 , 0.329112576849204 , 0.00263414064195792, 0.016149661230345 , -0.694306750330694 , 0.247015086932586 , -0.249973582850035 , 0.193786372943623 , -0.114940850441307 , -0.127032088363565 , 0.112141524637946 , -0.178705553513257 , -0.196207553767059 , 0.188320866877955 , 0.614139269522153 , 0.407145702971351 , 0.596467273909326 , -0.163058766590154 , -0.270450920987909 , 0.399459219313655 , -0.299170073600376 , 0.616006717978574 , 0.145855543290471 , 0.123651742156882 , -0.55313064227917 , -0.0273765719977842, -0.80580951663572 , -0.373550822170532 , 0.155598797215326 , 0.285021828183704 , -0.104282213226063 , 0.325796008293336 , 0.231412548719617 , 0.334185780072618 , -0.435687672988459 , -1.11101747303962 , -0.259561654591316 , -0.284091590003649 , 0.0504872469456144 , -0.0832057042596435, 0.270521750324687 , -0.588855696761237 , 0.209878864236197 , -0.137288219838536 , -0.303584469070187 , 0.496439572681197 , 0.561855312676811 , 0.589270668789986 , -0.245557753476642 , -0.277097322596614 , -0.793398047974836 , 0.426170954028182 , 0.156328844459089 , 0.0812196411427787 , 0.0693944709647737 , -0.567431815760759 , 0.521826696041395 , -0.574848994821425 | 0.1162004 |
| 14 | 50 | 0.0 | 0.0 | 1.0 | control , control , control , control , control , control , control , control , control , control , control , control , control , control , control , control , control , control , control , control , control , control , control , control , control , control , control , control , control , control , control , control , control , control , control , control , control , control , control , control , control , control , control , control , control , control , control , control , control , control , intervention , intervention , intervention , intervention , intervention , intervention , intervention , intervention , intervention , intervention , intervention , intervention , intervention , intervention , intervention , intervention , intervention , intervention , intervention , intervention , intervention , intervention , intervention , intervention , intervention , intervention , intervention , intervention , intervention , intervention , intervention , intervention , intervention , intervention , intervention , intervention , intervention , intervention , intervention , intervention , intervention , intervention , intervention , intervention , intervention , intervention , intervention , intervention , intervention , intervention , 0.73017348270902 , -0.599704059023229 , -0.198747755682993 , 1.0013577451644 , -0.229615782737675 , -0.819725857036057 , -0.948076620842995 , -0.24815560320013 , 0.540179349040059 , -0.00755075251704763, 0.043492412011478 , 1.54176214245486 , 0.638809676091943 , 1.28423635004994 , -1.96047080389561 , -0.0281675942327678 , 0.511006704518357 , -0.0804861044889514 , 1.30279218612655 , 0.243957634202458 , -0.144015544776309 , -0.650240004427951 , 0.162775308850371 , -0.375029668356726 , 0.340877684969295 , -1.31645147885115 , 0.360699783652576 , 0.696496420066713 , 0.150342957602688 , -0.74231623060989 , -0.0666252274544248 , 0.465499487354232 , -0.285085528006817 , 1.24149437336876 , -1.64419894843023 , -1.70660998047448 , 0.411145889012774 , -1.8310962210992 , -0.043776827701856 , -1.83173062250113 , -0.00262031578445294, 0.35135158734807 , 0.0124008692328855 , 0.804722446841616 , 0.32829512682192 , -0.412600063993969 , 0.43023347314408 , 2.22566237817195 , -1.43667678904493 , -0.815417077672286 , -1.25114132959598 , 1.860949861493 , -1.74052207538404 , -0.334563032374693 , 0.806576188845978 , 0.574644711051252 , 0.327332450991332 , 0.712622954460878 , -0.580016134307437 , -0.618717182453939 , 0.18740525165911 , 1.89537110196101 , 0.989631535269322 , -0.997280317992594 , 1.85545139964613 , -1.19950216138767 , -2.16858562187116 , -0.664932543998084 , -0.220570291696622 , -0.262337474610413 , 0.893422028281752 , 1.03452972116359 , 0.578405828201511 , 0.785647411794687 , 0.380771310383994 , 1.54839725981775 , 0.594285315287308 , 0.0583480809961187 , 1.64972234666586 , 0.490931719138483 , 0.746513890345219 , 0.121346171753156 , -0.086989881925353 , 1.66999834984586 , 1.05859258407607 , 0.0500299248345132 , 0.739025405781617 , -0.0786660010451375 , -0.174983325631456 , -0.306158424299288 , 0.711971341973206 , 0.168836353081191 , 0.531507110298432 , -0.304806313766179 , -1.51252582345345 , 0.77601128665218 , 0.57414414527779 , -0.905790480830737 , 0.141620538879256 , 0.234599382650371 | 0.1340919 |
| 14 | 50 | 0.0 | 0.1 | 0.5 | control , control , control , control , control , control , control , control , control , control , control , control , control , control , control , control , control , control , control , control , control , control , control , control , control , control , control , control , control , control , control , control , control , control , control , control , control , control , control , control , control , control , control , control , control , control , control , control , control , control , intervention , intervention , intervention , intervention , intervention , intervention , intervention , intervention , intervention , intervention , intervention , intervention , intervention , intervention , intervention , intervention , intervention , intervention , intervention , intervention , intervention , intervention , intervention , intervention , intervention , intervention , intervention , intervention , intervention , intervention , intervention , intervention , intervention , intervention , intervention , intervention , intervention , intervention , intervention , intervention , intervention , intervention , intervention , intervention , intervention , intervention , intervention , intervention , intervention , intervention , -0.185069353739037 , -0.305285360818109 , -0.0133739140531289, 0.0802889782217381 , -0.675303305147447 , -0.566946714014052 , -0.242995072238818 , -0.048335745860247 , -0.119031809156949 , 0.418117320954168 , -0.434045204263644 , 0.0567893341343925 , 1.06010301134491 , 0.397515965885854 , 0.199305814415124 , -0.217915875925959 , 0.221610051940914 , 0.431304850474565 , 0.757625573916702 , -0.572234249548917 , 0.959174403285255 , 0.619283837958777 , 0.170681821123666 , 1.06558780362406 , 0.417405130470881 , 0.83567419336202 , 0.938334641636069 , 0.111842446059946 , 0.304726425118221 , 1.58724756887105 , 0.258618497460035 , 0.239169980061242 , 0.179015924982718 , -0.134102515360809 , 0.573267340324092 , 0.100798051210735 , 0.313291235216762 , 0.110126993228378 , -0.335585143505452 , 0.188834829507496 , -0.581533828506173 , 0.318880774612818 , -0.611915230395248 , -0.394107616001667 , 1.34414877039315 , -0.523640867976983 , 0.167502663992879 , 0.480117782823719 , -0.347466666334124 , -0.753387992871906 , 0.482291844478944 , -0.0517359872729823, 0.617186768763273 , 0.519534980456289 , 0.246392845928712 , -0.219123152270841 , 0.113429864709404 , -0.211634800095113 , -0.992418611412199 , 0.715043012076204 , -0.0282280710829577, 0.17157645533904 , -0.035510201376846 , -0.987809989640494 , 0.89206532715427 , -0.0635004635909746, -0.80166514652026 , 0.322655554144696 , 0.654487078509304 , 0.717810778784746 , -0.555667338967493 , -0.0147840486304156, -0.530357824254705 , 1.09240534810385 , -0.301795752185078 , 0.657062071356463 , -0.073620425694861 , -0.680277226662256 , -0.783256704930788 , -0.602694416144666 , -0.491442019661213 , -0.549579908446527 , 0.881074266940515 , 0.589001533008439 , 1.05832852717404 , -0.215349382248401 , -0.0687821412848637, -0.628724378311568 , 0.288542314675349 , -0.595290457983523 , 0.376615329685436 , 0.0838936934153112 , -0.804641370183984 , -0.661645473002371 , 0.762927383655982 , 0.552907905781912 , 0.474274225066982 , -1.19769074804589 , -0.490949645359017 , -0.905554686699431 | 0.1166751 |
| 14 | 50 | 0.0 | 0.1 | 1.0 | control , control , control , control , control , control , control , control , control , control , control , control , control , control , control , control , control , control , control , control , control , control , control , control , control , control , control , control , control , control , control , control , control , control , control , control , control , control , control , control , control , control , control , control , control , control , control , control , control , control , intervention , intervention , intervention , intervention , intervention , intervention , intervention , intervention , intervention , intervention , intervention , intervention , intervention , intervention , intervention , intervention , intervention , intervention , intervention , intervention , intervention , intervention , intervention , intervention , intervention , intervention , intervention , intervention , intervention , intervention , intervention , intervention , intervention , intervention , intervention , intervention , intervention , intervention , intervention , intervention , intervention , intervention , intervention , intervention , intervention , intervention , intervention , intervention , intervention , intervention , -0.07317611619937 , 1.21143368990853 , 0.645648952998558 , 0.752341315144542 , 0.295504561018308 , -0.149535937809889 , 0.113806398477826 , 0.267772182483611 , -0.304916424480013 , -0.378023889232701 , 0.276682260571276 , -1.20500291248771 , -0.281049328158967 , 0.0442845525537656 , 0.23525385776031 , 0.277226920447624 , 2.96769531035085 , 0.403733237732721 , 1.00541774028638 , -0.433646291947095 , -1.8983901985119 , -0.214734594266216 , -0.918686500497731 , 0.537235303570663 , -0.654271289494664 , 0.788400526217858 , -0.380487643394826 , 0.562882201640777 , 1.13909669371614 , 0.440631142107416 , 0.408712602369503 , 1.30950347688328 , -1.23338783601287 , 1.46991456666508 , -0.107851198871266 , -1.67025910138341 , 0.0746684435942552 , 0.0617003591626332 , -0.29820813738821 , -0.499518036742378 , 1.27899952969967 , 1.86889308895688 , 0.0746146934954355 , 0.0675256400473707 , 0.345021098254067 , 0.531931686490537 , 0.0459362989497549 , -0.280057914660535 , 0.991198367366098 , -0.0871168341203309, -1.79965945977626 , -1.47135456518783 , 1.02646483439827 , -2.16905313973785 , 0.517537783562266 , -1.59128755432852 , 0.540237840605587 , 0.178538705717021 , -1.26156996441378 , 0.0845267186134289 , -0.780152968161681 , 0.115895755546592 , -0.607469587017362 , -0.327824692034283 , -0.766758830805971 , -0.875001477830807 , -2.75252362786197 , -0.224000740507966 , 0.576478345593764 , -1.53710989286656 , 0.516587396356508 , 1.05041820962559 , -1.57354683317801 , -0.568688010054808 , -0.453744639105468 , 2.43522350929951 , -0.399991967654635 , -0.783513076445595 , -0.662666022899595 , -0.446025320639314 , -0.357964609855927 , -1.18749996952553 , 0.0349810532116038 , 1.50187872820381 , 0.344955741523092 , -1.12421436630617 , -0.0463428957367954, 0.992184708160417 , 0.576328280453963 , -0.700820927138075 , -0.294776955200596 , 0.781137255890892 , 2.74875401071189 , 0.307224824086787 , 0.387302042931905 , -1.41275753313549 , 1.38717498862947 , 0.908971506147867 , 1.12452865300234 , -0.565081401706535 | 0.0727842 |
| 14 | 50 | 0.5 | 0.0 | 0.5 | control , control , control , control , control , control , control , control , control , control , control , control , control , control , control , control , control , control , control , control , control , control , control , control , control , control , control , control , control , control , control , control , control , control , control , control , control , control , control , control , control , control , control , control , control , control , control , control , control , control , intervention , intervention , intervention , intervention , intervention , intervention , intervention , intervention , intervention , intervention , intervention , intervention , intervention , intervention , intervention , intervention , intervention , intervention , intervention , intervention , intervention , intervention , intervention , intervention , intervention , intervention , intervention , intervention , intervention , intervention , intervention , intervention , intervention , intervention , intervention , intervention , intervention , intervention , intervention , intervention , intervention , intervention , intervention , intervention , intervention , intervention , intervention , intervention , intervention , intervention , 0.271921500597773 , 0.163160193534374 , -0.0530982566012894, -0.885939166606833 , 0.163937251764638 , -0.249371868962454 , -0.0951771014161785, 0.349225119322815 , -0.732120345699524 , 0.152837501411475 , -0.322064090060592 , 0.18310254447329 , -0.109200800526914 , -0.10071756344718 , -0.517455251040808 , -0.107290511962575 , -0.0408132532580683, -0.252081724254814 , -0.839649025396584 , -0.467262745358537 , -0.57613716057676 , -0.667510623080285 , -0.803231784114537 , -0.0845541488994639, -0.864520463769326 , -0.0722860741671071, 0.11612497232412 , 0.0420124869438406 , 0.183562181664081 , -0.529429067056928 , -0.224712088635529 , -0.119767810270042 , -0.106457962320861 , -0.888937835887834 , -0.600438402911285 , -0.949292928639343 , -0.990426547119345 , -0.10568350942565 , 0.326215427887658 , 0.0792789091186485 , -0.691131034888095 , 0.640860922646729 , 0.523215614187521 , -0.0234285501050722, -0.23486071927662 , -0.431590302330844 , -0.134013074609789 , 0.160882001557423 , -0.724819256393961 , 0.131992876967362 , 0.123575784323757 , 0.590082887341638 , 0.72285586413169 , 0.679399663595213 , 0.409919338668677 , 0.529166016318385 , 0.885919662720498 , 0.989915438709504 , 0.0159373271231501 , 0.248670538282267 , 0.562814678078487 , 0.585631275570099 , 0.531327742364229 , 0.445954439966047 , 0.428038319456194 , 0.366716031843365 , 0.71490955846856 , 0.0924519208758239 , 0.26376285644128 , 0.0822196026650858 , 0.513570435890674 , 1.10801225787659 , 1.89722017336072 , -0.0144209245001472, 0.155042001633661 , 0.0396838278927794 , -0.0425134934179896, 0.841640191593105 , 0.71759573902646 , 0.643450403723054 , 0.269896547124385 , 1.25512093121144 , 0.227257579715891 , 1.41287981523951 , 0.509832180645169 , 1.12476529789835 , 1.19828202766506 , -0.137980603567603 , 0.207948454905759 , -0.369423831485975 , 1.1771070924887 , -0.163934126348169 , 0.80343627760991 , 0.193962221051421 , 0.307323444675409 , 1.22384457426553 , 0.695915131692483 , 0.0814953528208193 , 1.29434091621694 , 1.37899865960433 | 0.0000000 |
| 14 | 50 | 0.5 | 0.0 | 1.0 | control , control , control , control , control , control , control , control , control , control , control , control , control , control , control , control , control , control , control , control , control , control , control , control , control , control , control , control , control , control , control , control , control , control , control , control , control , control , control , control , control , control , control , control , control , control , control , control , control , control , intervention , intervention , intervention , intervention , intervention , intervention , intervention , intervention , intervention , intervention , intervention , intervention , intervention , intervention , intervention , intervention , intervention , intervention , intervention , intervention , intervention , intervention , intervention , intervention , intervention , intervention , intervention , intervention , intervention , intervention , intervention , intervention , intervention , intervention , intervention , intervention , intervention , intervention , intervention , intervention , intervention , intervention , intervention , intervention , intervention , intervention , intervention , intervention , intervention , intervention , 3.20826291891909 , 0.725270069737008 , 2.41379677672536 , 0.00609485460880204, 0.86478782771023 , -1.6137056943319 , 0.716379689866143 , 1.41254295885995 , -1.83587282158301 , -0.241288895509071 , -1.02627410953203 , 0.801858001015151 , 0.181975014435681 , -1.50383814789436 , 1.16272359328242 , 2.01141942948667 , 1.3890050210699 , 1.71863203667105 , 0.73251461811863 , -0.734786124490538 , -1.16608479033926 , -0.479086905246698 , 0.923642118322426 , -0.995200351761584 , -0.477657761393191 , 1.22115147801363 , 1.17340872076274 , 1.36211851463998 , 0.355409696214035 , -2.11610095827701 , 0.787494668193792 , -1.26297490992819 , 0.0852980233498341 , 0.744391400885127 , -0.331506962841191 , -0.502189561037346 , 1.17469720815385 , 0.511995627944918 , -0.984681890717381 , 1.52023589552936 , 2.44995464792738 , -1.48468518786681 , -0.865137876355356 , -0.759214122508049 , -0.57896665721954 , -0.510291499405179 , -2.10500693383809 , -2.75913665469173 , 0.0877038335051496 , 0.894680965760983 , -1.00582804724696 , 1.09941690170292 , -1.37118808918365 , 1.51798780102935 , 1.08401041232189 , 0.997165189823253 , -0.583442019233323 , 1.40728367319614 , -0.123846232715623 , 1.44347706865747 , -0.0460550115879695, 0.833086907602649 , 0.84872789503383 , -0.824849282660691 , -0.851075403451759 , 0.925010843583344 , 1.38903305514278 , -0.641990148986107 , -1.00714663526155 , -0.561351592936141 , 0.657286527196709 , 0.32935997292975 , 0.730734568395895 , 1.79154032546029 , 1.07835131086773 , 2.39319401407947 , -0.0238330571062824, -1.07228786583766 , 0.665919634395957 , 0.209611613151917 , -0.433408972968816 , -0.520085014386601 , 2.71536304609724 , 1.33595550882364 , 0.466549149603662 , 0.165104069525222 , -0.0313788536835693, 0.900706838080531 , 0.288408679180007 , 0.989085601338888 , 0.130393778092683 , 1.08610747941594 , -0.775990897302048 , 0.658988614248457 , -0.513979852315076 , -0.427449935907611 , 1.82596201331267 , 0.427753511579505 , 1.83669512031143 , 0.929594591037813 | 0.1666703 |
| 14 | 50 | 0.5 | 0.1 | 0.5 | control , control , control , control , control , control , control , control , control , control , control , control , control , control , control , control , control , control , control , control , control , control , control , control , control , control , control , control , control , control , control , control , control , control , control , control , control , control , control , control , control , control , control , control , control , control , control , control , control , control , intervention , intervention , intervention , intervention , intervention , intervention , intervention , intervention , intervention , intervention , intervention , intervention , intervention , intervention , intervention , intervention , intervention , intervention , intervention , intervention , intervention , intervention , intervention , intervention , intervention , intervention , intervention , intervention , intervention , intervention , intervention , intervention , intervention , intervention , intervention , intervention , intervention , intervention , intervention , intervention , intervention , intervention , intervention , intervention , intervention , intervention , intervention , intervention , intervention , intervention , 0.245951630193777 , -0.449412876115198 , 0.070777102359354 , 0.0988144296855679 , 0.484527255573777 , 0.0302398112310618 , 0.3964051644499 , -0.663977602138384 , -0.229398019175663 , -0.50065370380911 , 1.14332642507353 , -0.232253464638308 , 0.50576491275052 , -0.518361091862076 , 0.102501575031713 , 0.455600464207099 , -0.176672713334642 , -0.176995050103179 , -0.15899536576474 , 0.758821623358522 , 0.708414796408267 , 1.12121402072491 , -0.0114045761230393, -0.402417307883435 , 0.111257204284332 , 0.123439333507888 , -0.31871879966529 , 0.0285140489268135 , -0.589241048025277 , -0.0460408947353673, -0.182975337244307 , -0.0746940065954732, 0.191254652030303 , 0.496444223727841 , 0.804532035265315 , 0.222970572129002 , -0.251298665714613 , 0.274170935003482 , -0.134834722746713 , -0.254299206965197 , 0.130153441197816 , 0.410055899431048 , -0.355713832561436 , 0.0283540372501315 , -0.567411728158263 , 0.436687857175537 , 0.739528807129465 , -0.193322757040233 , 0.417110223448717 , 0.133076718578798 , 0.680997338045045 , 0.83133321441864 , 0.80171579893929 , 0.510577753310746 , 0.48794179195251 , -0.513174062787644 , 0.696586820373583 , 0.413783569296652 , 0.77013554881197 , 0.851081593877583 , -0.211458290629422 , 0.503144119614201 , -0.141686951100379 , 1.01696432416107 , 0.248168265996111 , 0.760006184664348 , -0.0491666429136772, 0.343088589791832 , 0.380924779306802 , 0.206362261469806 , 0.507688623800596 , 0.312354854194058 , -0.947547357911653 , 1.32595165113706 , 1.00854649533417 , 0.0887209136585624 , 0.276624211386883 , 1.58626959850367 , -0.257673975650077 , 0.742685614396991 , 0.570226115616684 , 1.24639407730708 , 1.01444863112618 , 0.125444595502191 , -0.0603543053048561, 1.13003844252477 , 0.610207737018373 , 0.703178200192588 , 0.367732225484321 , 0.439141461156976 , 0.325067476562115 , 0.712475726805853 , 0.169002783362368 , 1.12991841787776 , 0.785259544185705 , 0.654018084573616 , 1.10078791163384 , -0.0636190264420718, 0.826334714937916 , 0.71188044801934 | 0.0000088 |
| 14 | 50 | 0.5 | 0.1 | 1.0 | control , control , control , control , control , control , control , control , control , control , control , control , control , control , control , control , control , control , control , control , control , control , control , control , control , control , control , control , control , control , control , control , control , control , control , control , control , control , control , control , control , control , control , control , control , control , control , control , control , control , intervention , intervention , intervention , intervention , intervention , intervention , intervention , intervention , intervention , intervention , intervention , intervention , intervention , intervention , intervention , intervention , intervention , intervention , intervention , intervention , intervention , intervention , intervention , intervention , intervention , intervention , intervention , intervention , intervention , intervention , intervention , intervention , intervention , intervention , intervention , intervention , intervention , intervention , intervention , intervention , intervention , intervention , intervention , intervention , intervention , intervention , intervention , intervention , intervention , intervention , -1.2574237707102 , -0.937494454650185 , -0.623363313647823 , -0.131543057802654 , -0.158554513649785 , 0.623330318399526 , 1.21654397653785 , 0.666366712781476 , -0.937106561726746 , 0.152411101277178 , -0.981449086425273 , 0.479913155011758 , 0.142729732502354 , -3.63294297562846 , 2.48575612807 , 0.939898660181402 , -0.0540447214811681, -0.32540446961689 , 0.858128349787446 , 0.0865935980296355 , 0.325736796282315 , 2.73963037817062 , 0.684996436538875 , -0.200103193311053 , 0.662182640921095 , 1.1377274491086 , 0.271380706517762 , 0.36648600147936 , 0.531721366726594 , -0.747020303600253 , 1.09045275620042 , 0.895168043630409 , 0.452359886091498 , 0.447755221063805 , 1.96863812600867 , -2.08535546922106 , -0.0699402973101636, 0.209002872111526 , 0.757014965192445 , 0.125798290367288 , -0.620319983916658 , -1.12179150731164 , 1.34093828363844 , 0.806107858885596 , -0.499422568612531 , 0.311147390790731 , 1.02984710080004 , -0.180877184710466 , 0.461678036339934 , 0.41679595074238 , 1.08128845868278 , 2.96293161147599 , 0.91373726682074 , 0.517362051614901 , 1.29848652236608 , 1.30036341880395 , -1.31602193237815 , -0.231613798007131 , 0.0954891532433344 , 0.390347739044031 , -0.335098344070128 , 0.887755713912295 , 0.885783276709974 , -0.0654901439117638, -1.74813618743565 , 1.94128748606014 , 1.75090057580793 , 0.299878345077044 , -0.374745387273811 , 0.277201173561105 , 0.21349969204929 , -0.388903258421654 , 0.471268006253415 , 2.01710152657017 , 1.90953632535241 , 0.503991494021574 , 1.59938642217431 , 1.55918915881433 , -0.241862334255223 , 0.366722142536133 , 1.23321657777491 , 0.905381469932349 , 1.43351211783112 , 1.41337349317675 , 0.869174393501987 , -0.821581621079947 , -0.618081720682483 , 1.2522705648011 , 1.26844696121426 , 0.840727201769967 , 0.864791113281132 , -1.06749081701102 , -1.26753256740996 , 2.38820200430376 , 1.12526968106438 , 0.732578978509008 , 0.921728328230893 , -0.799839622539321 , -0.0577516494537251, 0.354071734935613 | 0.0622248 |
| 15 | 20 | 0.0 | 0.0 | 0.5 | control , control , control , control , control , control , control , control , control , control , control , control , control , control , control , control , control , control , control , control , intervention , intervention , intervention , intervention , intervention , intervention , intervention , intervention , intervention , intervention , intervention , intervention , intervention , intervention , intervention , intervention , intervention , intervention , intervention , intervention , -0.12241554147684 , -0.641372794959299 , -0.767783871807511 , -0.271950339844709 , 0.0141605420558097 , 0.0376051854955591 , -0.33509704296994 , -0.239629507266754 , -0.233336838168493 , -0.58616289026954 , -0.409085708665232 , -0.225391515601741 , -0.0980930527505019, -0.719924860855814 , 0.580812077323326 , -0.28679226402903 , 1.16030784452606 , -0.1296556691008 , -0.1353596635861 , 0.102799706907712 , -0.337983401288878 , 0.133536440271889 , -0.253753804158508 , -0.0925769423525731, -0.592220912997564 , -0.397342863029818 , 0.289939433961689 , -1.02736496757261 , -0.119192885678035 , -0.573774667467378 , 0.742117765149145 , -0.495801364121574 , -0.362658890377548 , -0.320518015773333 , 0.592406553583712 , -0.726111064714175 , 0.0402584128904415 , 0.272335701875794 , 0.0212952324340882 , -0.232523018194877 | 0.9618600 |
| 15 | 20 | 0.0 | 0.0 | 1.0 | control , control , control , control , control , control , control , control , control , control , control , control , control , control , control , control , control , control , control , control , intervention , intervention , intervention , intervention , intervention , intervention , intervention , intervention , intervention , intervention , intervention , intervention , intervention , intervention , intervention , intervention , intervention , intervention , intervention , intervention , -2.57185953476183 , 1.33062035903637 , 0.767999022819495 , -0.0681270326594719 , 0.337506422218212 , -1.03465135354666 , 2.60578868603132 , -0.796215424797371 , 0.406816058189063 , 0.202517927536609 , 0.596548972585947 , -0.00606480251391352, 0.626809501293828 , -0.842021609039937 , 0.125536119689956 , 0.557590090077899 , 1.31137994932448 , 1.19623961132179 , 0.330924046467225 , 0.952226889649479 , -1.58416397381307 , 1.11890591794956 , 0.503202941872697 , 0.137266290107115 , -0.419177093535136 , 0.289668407638649 , 2.07048978952919 , 0.356901798265691 , 0.401020861557371 , 0.199688880282407 , 0.415472081491835 , -0.200263870264147 , -1.63115715255265 , -0.352612112291137 , 2.6438075568849 , 0.396185962605654 , -0.789215294538954 , -0.89794182684296 , -0.020199231326601 , -0.207514616795266 | 0.5921494 |
| 15 | 20 | 0.0 | 0.1 | 0.5 | control , control , control , control , control , control , control , control , control , control , control , control , control , control , control , control , control , control , control , control , intervention , intervention , intervention , intervention , intervention , intervention , intervention , intervention , intervention , intervention , intervention , intervention , intervention , intervention , intervention , intervention , intervention , intervention , intervention , intervention , 0.2354202647834 , -0.202162551625478 , 0.773358853015308 , -1.10880081091122 , 0.94192160129585 , 0.674942195182506 , 0.21223552511355 , -0.0423158469707447 , -0.164467382823728 , 0.689389375123971 , -0.142349745509937 , 0.200635993616201 , -0.20718096942421 , 0.199913498124658 , 0.261368213647782 , 0.217078190145283 , 0.0471114080609792 , -0.00600551285318331, 0.695044983583968 , 0.07718098637431 , 0.101932005234897 , -0.0267598905567352 , -0.632108722144445 , -0.253027057318446 , -0.751403753839029 , -0.543831316172754 , -0.435642599706344 , 0.593472507632848 , -0.795269847883381 , 0.293590192679541 , 0.133494315490123 , 0.884056513813576 , -0.391269254112612 , -0.0299038589444678 , -0.595435417894764 , -0.353858797177664 , -1.02330569179398 , -0.778562370429025 , 0.111535679185765 , -0.802847025234152 | 0.0076142 |
| 15 | 20 | 0.0 | 0.1 | 1.0 | control , control , control , control , control , control , control , control , control , control , control , control , control , control , control , control , control , control , control , control , intervention , intervention , intervention , intervention , intervention , intervention , intervention , intervention , intervention , intervention , intervention , intervention , intervention , intervention , intervention , intervention , intervention , intervention , intervention , intervention , -1.03302170887104 , 0.312980583008503 , -1.73236641758373 , -0.0370373853297614, -0.176549579321961 , -1.83927695387932 , 0.33525395464311 , -0.855468293761503 , 0.835931977436433 , -0.0125106942477232, 1.42132007906205 , -0.564545092555624 , -2.03268365492484 , 0.310583724599751 , -1.54365437375403 , -0.423500594735304 , -0.278894236397941 , -0.27203806785423 , 0.327312129640848 , -0.0777390328958017, -2.22960273650926 , 0.314282601781017 , 0.971533023998215 , -0.204135773564649 , 0.563562846266144 , 0.812714290742104 , -0.179713643761729 , -1.16029513193845 , 0.0371409547191116 , -0.558733570325821 , -0.16803001846844 , 0.531058324354347 , 0.913473586298916 , 0.939356183719792 , -1.49468732170766 , -0.23868804677731 , 1.6732477645098 , 0.0759293747203411 , 0.278229837137603 , -0.140552315812302 | 0.1707212 |
| 15 | 20 | 0.5 | 0.0 | 0.5 | control , control , control , control , control , control , control , control , control , control , control , control , control , control , control , control , control , control , control , control , intervention , intervention , intervention , intervention , intervention , intervention , intervention , intervention , intervention , intervention , intervention , intervention , intervention , intervention , intervention , intervention , intervention , intervention , intervention , intervention , 0.196156178953683 , -1.40572483325189 , 0.102151594271978 , -1.26373708189925 , 0.317581454622984 , -0.87491622424992 , -0.0708940927318959, 0.0687361784698638 , -0.372094071045654 , -0.0119875839791922, 0.952096449506043 , -0.134203432365881 , 0.72975345828079 , -0.438718556812553 , 1.44112944359744 , 0.0986011948818144 , 0.51005601660909 , -0.418377140708406 , -0.734390556025622 , -0.151666398339927 , 0.212349077215346 , 0.810386855809913 , 0.482451605769712 , 0.801891866194439 , 0.550650436389811 , 0.569916484659316 , -0.26205129294104 , 1.13494021233834 , 0.506634876731345 , 0.266357707989853 , 0.808403453214822 , 0.939371625433674 , 0.1721918565939 , 1.10129767621238 , 0.990130868689984 , -0.157151413245091 , 0.712467139720629 , -0.155071438766123 , 0.732724724214551 , 1.04529144216232 | 0.0013029 |
| 15 | 20 | 0.5 | 0.0 | 1.0 | control , control , control , control , control , control , control , control , control , control , control , control , control , control , control , control , control , control , control , control , intervention , intervention , intervention , intervention , intervention , intervention , intervention , intervention , intervention , intervention , intervention , intervention , intervention , intervention , intervention , intervention , intervention , intervention , intervention , intervention , 0.252584858633393 , -0.381700692965322 , -1.76222948447807 , -0.737401709147953 , 1.03474222186897 , 1.54059915445174 , -0.381793922112735 , -1.2499406563256 , 0.931667563916356 , 0.516043879424095 , 0.405905246251563 , 0.672721579111877 , -0.804214373138488 , 0.458091138970583 , 0.432726441293373 , 0.288238981333632 , 0.125872028201477 , 3.056339749198e-06 , 0.765557648425251 , -1.07105645138878 , 0.745586395209465 , -0.870533494356392 , -0.0284462193499991, 0.526727890740235 , -0.53193729704325 , 1.96797927643866 , 1.31329838461602 , 1.58803070421927 , 1.50151161911945 , -0.188068302158066 , 1.82599254269915 , 0.551658086090065 , 1.2638078056979 , -0.353369053929905 , 0.863254742289813 , 0.49418256987194 , 0.751586723007831 , 0.12066660982195 , 0.635769592558957 , 2.7573976951786 | 0.0173608 |
| 15 | 20 | 0.5 | 0.1 | 0.5 | control , control , control , control , control , control , control , control , control , control , control , control , control , control , control , control , control , control , control , control , intervention , intervention , intervention , intervention , intervention , intervention , intervention , intervention , intervention , intervention , intervention , intervention , intervention , intervention , intervention , intervention , intervention , intervention , intervention , intervention , -0.00226374399391548, -0.119251171956389 , -0.706644306534307 , -0.151218304576217 , 0.401853173421482 , -0.130389290009352 , 0.673645707068311 , -0.0442586457141243 , -0.279871687145154 , -0.713645214287293 , -0.272004871612389 , -0.120542738663755 , -0.5638936986589 , -0.184036170543418 , 0.23027920173955 , -0.438844578181683 , 0.314397301992098 , -0.0182579304386937 , -0.340883505293931 , 0.305294432163554 , 0.439764414349522 , 0.84781389315611 , 0.0864509632153085 , 0.220346792957222 , -0.529452219845364 , 0.758699069511869 , 0.812556952525961 , 1.0840602902034 , 0.428275899965258 , 0.670498683025231 , 1.03424755425947 , 0.433662840993233 , -0.505202818122003 , 0.389659292382836 , 0.844239990973782 , 0.740813089319028 , 0.893536650556247 , 0.76458597020406 , 1.55035458659396 , -0.735737562073646 | 0.0002342 |
| 15 | 20 | 0.5 | 0.1 | 1.0 | control , control , control , control , control , control , control , control , control , control , control , control , control , control , control , control , control , control , control , control , intervention , intervention , intervention , intervention , intervention , intervention , intervention , intervention , intervention , intervention , intervention , intervention , intervention , intervention , intervention , intervention , intervention , intervention , intervention , intervention , 0.0350108227774898 , -1.04223877335072 , 0.224756864210242 , -0.194797578560147 , 0.21318740014512 , -1.74791183421111 , -0.68303921371009 , 1.35565190797491 , -1.27567713832147 , -0.097901095277929 , 0.0711335992057378 , -0.205367699608789 , 0.824773298477191 , -0.444966754489577 , 0.115049643257338 , -0.149993954360043 , 0.703080469420476 , 1.20718496479937 , -0.434002169107415 , -0.684030993363084 , 0.456729419405839 , 1.26587310216735 , -0.443302575117296 , 0.337170525008813 , -0.269969413391318 , 0.537676753080214 , 0.976724752560517 , 0.302655507229061 , 1.74048768856201 , 0.730642039539412 , -0.0530483168854426, -0.327203226886303 , -1.01704211133013 , 0.936908705439979 , 1.4815481046348 , 0.203309153762475 , 1.00806698224147 , 1.03034594092787 , 0.339398634122322 , -0.638480810263642 | 0.0298744 |
| 15 | 50 | 0.0 | 0.0 | 0.5 | control , control , control , control , control , control , control , control , control , control , control , control , control , control , control , control , control , control , control , control , control , control , control , control , control , control , control , control , control , control , control , control , control , control , control , control , control , control , control , control , control , control , control , control , control , control , control , control , control , control , intervention , intervention , intervention , intervention , intervention , intervention , intervention , intervention , intervention , intervention , intervention , intervention , intervention , intervention , intervention , intervention , intervention , intervention , intervention , intervention , intervention , intervention , intervention , intervention , intervention , intervention , intervention , intervention , intervention , intervention , intervention , intervention , intervention , intervention , intervention , intervention , intervention , intervention , intervention , intervention , intervention , intervention , intervention , intervention , intervention , intervention , intervention , intervention , intervention , intervention , 1.29901641868947 , 0.778201752203064 , -0.225877752022756 , 0.437924613624664 , 0.634435448417748 , -0.217320236898623 , -0.508689159128924 , 0.168535456028072 , 0.28646609207326 , 0.429288022110029 , -0.0708097985477759, -0.319626000858002 , -0.275020709321505 , 0.333203231417267 , -0.286829291324229 , 0.265109167394236 , -0.151330795483643 , 0.292791332536029 , 0.095852059256167 , 0.292593794104219 , 0.6952777348235 , 0.206671679847959 , -0.372432305691629 , -0.316267734293539 , -0.0548416360895116, 0.405125986551011 , -0.31475725939036 , -0.573612835499299 , 0.246726580983531 , -0.407649503543777 , 0.105908366861406 , 0.469856245972427 , 0.411262795101683 , -0.997516430323966 , -0.68483410995732 , -0.485073201541672 , -0.775593500371373 , 0.876540341594673 , -0.413282785260637 , 1.00587724521141 , -0.623343592273186 , 0.136526292332966 , 0.339627493998186 , -0.681685608881999 , -0.409786191362869 , 0.504804696489771 , 0.525896471400095 , -0.425422160162033 , 0.833997346078601 , -0.264497540513743 , 0.696015209147934 , 0.859761342546901 , 0.905116183998608 , 0.684424286938478 , 0.74228815282617 , -0.758691948202431 , 0.175837342563815 , 0.240681266303051 , -0.784484930544253 , -1.00288654240975 , -0.0766588171201655, -0.380052980415743 , -0.326784100133036 , -0.814879459295641 , -0.275333759747777 , 0.478492254466554 , -1.113528797399 , 0.225840987230336 , 0.177239913616994 , -0.388187289753879 , -0.411749611504696 , -0.5313770753328 , -0.562107195280106 , -0.0876900120751205, -0.285605460647503 , 0.585120712840281 , -0.602259613859796 , 1.12903993565452 , -0.738981598636671 , -0.478891606130033 , -0.729404471965196 , 0.0785213938931735 , 1.02385449629185 , -0.839862452469122 , -1.04932830291528 , -0.485866165900458 , 0.317108244943103 , -0.329781929421826 , 0.517674667202205 , -0.112907075112707 , 0.834940327849682 , -0.190944415152167 , -0.354120733501117 , -0.391890281845198 , -0.329234301042244 , 0.15161341140068 , -0.180642667812877 , -0.445344567555003 , 0.433336391222425 , -0.282219632147546 | 0.1887624 |
| 15 | 50 | 0.0 | 0.0 | 1.0 | control , control , control , control , control , control , control , control , control , control , control , control , control , control , control , control , control , control , control , control , control , control , control , control , control , control , control , control , control , control , control , control , control , control , control , control , control , control , control , control , control , control , control , control , control , control , control , control , control , control , intervention , intervention , intervention , intervention , intervention , intervention , intervention , intervention , intervention , intervention , intervention , intervention , intervention , intervention , intervention , intervention , intervention , intervention , intervention , intervention , intervention , intervention , intervention , intervention , intervention , intervention , intervention , intervention , intervention , intervention , intervention , intervention , intervention , intervention , intervention , intervention , intervention , intervention , intervention , intervention , intervention , intervention , intervention , intervention , intervention , intervention , intervention , intervention , intervention , intervention , -0.593754921365195 , 1.18915404303354 , 0.0991008443559226 , 0.228372521417767 , -1.12291324198906 , 1.20120310426783 , 1.23464507689255 , 0.581264011223001 , -1.34211629066486 , 0.452218463912124 , -0.0345677192636582, -0.440783446336314 , -0.459113126150521 , -0.819807664683348 , -0.497970905022713 , -0.581428979111097 , -0.351777163332052 , -2.0817605094874 , 0.956864283365357 , 0.135752172472034 , -1.56335893070277 , -1.13145741788044 , 0.340935689260552 , -1.1713113707206 , 0.557151475658599 , 0.248683377914483 , 2.1262124695066 , 0.0714718440624345 , -0.432114321582318 , -0.598526565408966 , -1.50679277727784 , -0.248301493060854 , 0.355343905979818 , 1.54646377450951 , -0.126392651962895 , 0.714445560004895 , -0.424010290771234 , -0.577469378976707 , -0.072751177455597 , 0.510455211398285 , 0.677694698155266 , -0.46391857022921 , -1.45546849702248 , 0.414625828147489 , 0.85986290464505 , 0.126540919164393 , 0.726109619275882 , 1.47755283670929 , 0.485664833169651 , -0.980101400693589 , 0.331393809523823 , 1.09812253879801 , -0.5453345226262 , 0.552724940444634 , 0.464070457320638 , 0.943155480319886 , 0.337985518100543 , -0.272832175021066 , 1.43859700343035 , -0.467516785250282 , 0.170378900058923 , -1.04773802563061 , -0.771307467273628 , 0.763446083460103 , -0.698068481642762 , 0.221646312191291 , -0.601390851633071 , 0.0142793760065834 , 0.348931458236862 , -3.04936613341367 , -2.52152124030676 , -0.0263439729042249, 0.469556711701346 , -0.923506671661515 , 1.6863084286005 , 0.190996754034543 , 1.30621749562964 , -2.03020044257424 , -0.36424673420264 , 0.26240033678238 , 0.309305198907973 , 1.07041600997052 , 0.702056876592428 , -1.67047290968019 , 1.72524054771064 , -0.904969898576814 , 0.858161486948458 , 2.14377638317775 , -0.422599694907369 , -1.8561153151048 , 0.621068839662467 , -0.0628578043500177, 2.2492794013411 , -0.329120955564591 , -0.253588313445404 , -0.467331380038091 , 1.05316382534873 , -0.565302301642035 , 0.44087602120916 , -1.77165033139014 | 0.8519757 |
| 15 | 50 | 0.0 | 0.1 | 0.5 | control , control , control , control , control , control , control , control , control , control , control , control , control , control , control , control , control , control , control , control , control , control , control , control , control , control , control , control , control , control , control , control , control , control , control , control , control , control , control , control , control , control , control , control , control , control , control , control , control , control , intervention , intervention , intervention , intervention , intervention , intervention , intervention , intervention , intervention , intervention , intervention , intervention , intervention , intervention , intervention , intervention , intervention , intervention , intervention , intervention , intervention , intervention , intervention , intervention , intervention , intervention , intervention , intervention , intervention , intervention , intervention , intervention , intervention , intervention , intervention , intervention , intervention , intervention , intervention , intervention , intervention , intervention , intervention , intervention , intervention , intervention , intervention , intervention , intervention , intervention , 0.602880573840536 , -0.11934295275434 , 0.516835245590976 , 0.235884902825501 , 0.647534833108701 , 1.01053177973458 , -1.17788999649551 , 0.606433521795854 , -0.219017433336747 , -0.316580368571733 , 0.255618054018291 , -0.0245439546778257 , 0.572193378929115 , 1.30698521302186 , 0.43277031348031 , 0.109389388477527 , 0.150425675551969 , 0.579374403987701 , -0.548837009410294 , -0.262214450192559 , -0.255971766235512 , 0.142317234291442 , -0.316463313304281 , 0.354752831198852 , 0.624251704167224 , -0.1433900053757 , -0.755864557650311 , 0.219634416899985 , 0.00172322845781742 , 0.138176572421832 , -0.21073819004625 , 0.0258899796181974 , -0.0119091205851565 , 0.959432424526036 , -0.546396946289967 , -0.0227256077494731 , -0.402324593562958 , 8.86848318940175e-05, 0.0968263514471079 , 0.144491965853589 , 0.617294945073802 , 1.19927668188562 , 0.0261378674075809 , 0.193312182348513 , -0.43588965874594 , -0.24674893522925 , -0.222086830817218 , 0.712471553462832 , 1.23337732441016 , 0.300142532508235 , -0.0287815931141124 , -0.24538772450886 , -0.187075808818674 , -0.756890643579939 , -0.38219219537989 , 0.71478390955481 , 0.456888578534523 , 0.0521597311741281 , -0.469815354836026 , -0.936606621073429 , 0.00548397051288596 , 0.200362062590033 , -0.230752558765136 , 0.768107373155221 , 0.322689161679099 , 0.362932629322428 , -0.602720072380298 , 0.542928528992878 , 0.660215714350611 , -0.048602586500469 , 0.446526842196606 , 0.285896109513281 , -0.110610068068144 , 0.0623930910524016 , 0.888731007870381 , 0.135237611769384 , -0.481472195636196 , 0.725906185501258 , 0.161378073673447 , 0.271931516792778 , -0.458358063558911 , 0.838320753896767 , 0.609652394799691 , 0.262472217127505 , 0.220015844525853 , 1.16828915349845 , -0.126954740485712 , -0.393409510467151 , -0.174924004710117 , 0.269546440249932 , 0.882058722492416 , 0.0963150577931278 , 0.0601401549884183 , 0.197206187221487 , -0.732962021746477 , 0.279142899637891 , 0.326192526072557 , -0.715908349142049 , -0.335123739694991 , 0.103990165189347 | 0.5727908 |
| 15 | 50 | 0.0 | 0.1 | 1.0 | control , control , control , control , control , control , control , control , control , control , control , control , control , control , control , control , control , control , control , control , control , control , control , control , control , control , control , control , control , control , control , control , control , control , control , control , control , control , control , control , control , control , control , control , control , control , control , control , control , control , intervention , intervention , intervention , intervention , intervention , intervention , intervention , intervention , intervention , intervention , intervention , intervention , intervention , intervention , intervention , intervention , intervention , intervention , intervention , intervention , intervention , intervention , intervention , intervention , intervention , intervention , intervention , intervention , intervention , intervention , intervention , intervention , intervention , intervention , intervention , intervention , intervention , intervention , intervention , intervention , intervention , intervention , intervention , intervention , intervention , intervention , intervention , intervention , intervention , intervention , 2.37343861636479 , 0.637095733381137 , 1.02923440860292 , 0.838844875061736 , -0.345473441237248 , -2.49467608988646 , -0.0979759402496878, 1.26104333585779 , -1.18948288708261 , -0.55171356553913 , 1.12312735354169 , 0.121847638930606 , 0.489758562516453 , -0.466239660141494 , 1.61522002686458 , 1.77287504805157 , 0.405815584594768 , 0.302463419634435 , 0.69820117212982 , -0.303337869218947 , -0.926406205714067 , 0.803912909350182 , 1.27412822055127 , 0.779408609661497 , 0.755348158367362 , -2.2460893109667 , -0.199190692516196 , -1.11934768191098 , 0.924668322938976 , 0.120806665964497 , -0.40507647240836 , -0.459544004353993 , 0.739166468665174 , -0.934207228147637 , 0.897693849162311 , 0.676310116785284 , -2.39699250109931 , 1.57007774640719 , -0.0234222191341308, 0.59706627289609 , -1.5415942116387 , 0.946662077908447 , 0.683065233978383 , 0.603962650504267 , -0.570197839218566 , -0.171226387570506 , 0.750158157990852 , -0.600330520887664 , -0.737998328142604 , -0.423334377187245 , 0.863008372498365 , 1.22288844077354 , 0.790316882405951 , -0.905328693655126 , -0.169359606604022 , 0.914994697680731 , 0.00864248986487383, -1.06131510651585 , -1.19905111174911 , 1.99879724402829 , -0.989420737092755 , -1.78228454545024 , 1.09522793757128 , -0.72100566448609 , -0.971209064307931 , 0.379535522848057 , 1.40903708791292 , 1.2249348478751 , -0.11500226308863 , -0.896022152622025 , 0.585919970903297 , 0.766400658474938 , -0.108005814401403 , -0.280300650448033 , 1.0729209209603 , -0.0200164270999272, -1.16792428885837 , 0.914975441353482 , -0.28852935399906 , -0.233413551801034 , -0.311605811902294 , 1.02466641492582 , -0.341634478569291 , 0.285440439450356 , -1.76161405546644 , -0.556543899623612 , 1.46536796187834 , 2.36747114737326 , -0.345331066186663 , 0.400728110536035 , 0.547047272488503 , 0.520837207016353 , 1.25146197259514 , -0.626741900594295 , -0.069587311108169 , 0.0162865661928518 , -0.416878917383348 , -0.235034379412318 , 0.215779115866147 , 0.113649470001317 | 0.9434005 |
| 15 | 50 | 0.5 | 0.0 | 0.5 | control , control , control , control , control , control , control , control , control , control , control , control , control , control , control , control , control , control , control , control , control , control , control , control , control , control , control , control , control , control , control , control , control , control , control , control , control , control , control , control , control , control , control , control , control , control , control , control , control , control , intervention , intervention , intervention , intervention , intervention , intervention , intervention , intervention , intervention , intervention , intervention , intervention , intervention , intervention , intervention , intervention , intervention , intervention , intervention , intervention , intervention , intervention , intervention , intervention , intervention , intervention , intervention , intervention , intervention , intervention , intervention , intervention , intervention , intervention , intervention , intervention , intervention , intervention , intervention , intervention , intervention , intervention , intervention , intervention , intervention , intervention , intervention , intervention , intervention , intervention , -0.0641990356329058, 0.18117259254479 , -0.068808453740977 , 0.338491718960457 , 0.570783637030916 , -0.612434526881591 , -0.201569944594267 , -0.254386372904843 , 0.761608772202479 , -0.289126325294007 , 0.845642897965002 , 0.420059785183359 , 0.403914669968658 , -0.108801816189543 , -0.921637220793408 , 0.00123890491896122, -0.13067528019971 , 0.833727092425781 , 0.10976172512681 , 0.416951585930268 , 0.0525804146460277 , 0.169967982985261 , -0.256646373458409 , 0.367700581203656 , -0.065037110365044 , 0.404827624705748 , 0.649077605465728 , -0.498048665902437 , -0.998718252214261 , -0.0740299356641365, 0.330095764655879 , 0.551510537172893 , 0.316747034911042 , -0.189506862832911 , 0.185655471804486 , -0.188702104290617 , 0.427186940655564 , -0.187137942133995 , 0.37417588501792 , 0.213292487527354 , 0.360776144700556 , -0.219882493328123 , 0.0947149380659434 , -0.930731707246175 , 0.240044960718947 , -0.0768124383587167, -0.537469256591661 , -0.355713537342956 , 0.265043261050076 , 0.918052415310891 , 0.191818750501761 , -0.0349556609051046, 0.721580002491702 , 0.136823691341848 , -0.276354813255672 , -0.0968944492194209, -0.334114355043906 , 1.22943497555101 , -0.36934473847323 , 0.554115259302192 , 0.871993690698143 , 0.0600876118377441 , 0.720053386042413 , 1.48538460344471 , 0.438785394201944 , 0.86714905602979 , 0.475210928814 , 1.75092655220622 , 0.141041850534027 , 0.303199934612752 , 0.541806175877419 , -0.0804707497074726, -0.509503972727094 , -0.20002786909608 , -0.0105311809859552, 0.309955234278491 , -0.0586463964150462, 0.941206453107425 , 0.570589710020147 , 0.163296969348953 , 0.273341182449195 , 0.64596859595625 , 0.624041147525183 , 0.23004143736911 , 0.375853470468814 , 0.831268526407 , 0.617405547898175 , -0.027343241874632 , 0.730711707657036 , -0.0709823069864222, 0.0907682846292065 , 1.57513397312729 , 0.696978279871053 , 0.269724657795332 , -0.0100255940004081, 1.16920364181794 , -0.0713853110032888, 0.199136608249304 , -0.0279506945271252, 0.93552126250292 | 0.0012293 |
| 15 | 50 | 0.5 | 0.0 | 1.0 | control , control , control , control , control , control , control , control , control , control , control , control , control , control , control , control , control , control , control , control , control , control , control , control , control , control , control , control , control , control , control , control , control , control , control , control , control , control , control , control , control , control , control , control , control , control , control , control , control , control , intervention , intervention , intervention , intervention , intervention , intervention , intervention , intervention , intervention , intervention , intervention , intervention , intervention , intervention , intervention , intervention , intervention , intervention , intervention , intervention , intervention , intervention , intervention , intervention , intervention , intervention , intervention , intervention , intervention , intervention , intervention , intervention , intervention , intervention , intervention , intervention , intervention , intervention , intervention , intervention , intervention , intervention , intervention , intervention , intervention , intervention , intervention , intervention , intervention , intervention , 0.637956921437074 , 0.389124780739528 , -0.0670128607717512, -0.633120700728213 , -1.12871772657457 , 0.910988438323068 , -0.1416534458494 , -0.323072588205473 , 0.204285762041645 , 0.0301620974227197 , -1.05179178701995 , -0.238511346283323 , 0.114931816626228 , -1.72825254710638 , -0.771816727478929 , 1.11811229995951 , 1.5747120720907 , 2.38073133758427 , -0.52647316976772 , -1.19550475385646 , 1.02803358895553 , -0.377361517491248 , -1.23318225153851 , 1.49102282439162 , 1.08263199308746 , 0.714327573753504 , 0.00839945930447869, -1.55069147551024 , 0.0667274314167339 , -0.397846525591061 , 1.03531497397345 , -0.151349389969154 , 0.250892285394713 , -0.346204965566555 , -1.32622802364937 , 1.18703741041287 , 0.0992431710088252 , 1.73004166759254 , -0.980786618247763 , 0.729222218079352 , 0.156768011838446 , -2.00806903988058 , 0.732173981383294 , -2.48543947745142 , -0.652879311036013 , -0.526226142078786 , -0.197136356766888 , 0.0168916605547476 , 0.880082855604012 , -2.5598027681826 , 0.238656912681784 , 0.73351457491434 , 2.07135251933125 , -1.37115810878999 , -0.942920428421713 , -1.25042494920588 , 1.86413096628908 , 0.658239722837683 , 0.978250029609939 , 0.100822583296806 , 1.56764558074226 , -0.138635664443428 , 0.658413260502253 , -1.18700534571915 , 1.41997582577283 , 0.962902016280606 , -0.918513463278402 , -0.206509668705525 , 1.87763272430712 , 0.736628669404614 , -0.16948510325393 , 1.50283262747269 , 0.203821611729791 , 1.56986952788522 , 0.479807959236024 , -0.249764281560122 , 0.032300064278688 , 1.00587511454042 , 1.52910462022466 , -0.0773356951632078, 0.0297588559438202 , -1.12092731974456 , 1.5767490139918 , -0.307252099517798 , 1.06274681008104 , -0.146078494954853 , 0.744199919514164 , 0.990095344409309 , -0.895397355549986 , -0.46059480321338 , 1.07651940245833 , 0.536236551383996 , 0.678559566227051 , 0.896136116576535 , 0.0139653087516659 , -0.588514298009945 , 0.777027212831695 , 0.00946154183162312, -0.0693547881763523, -0.177842225938104 | 0.0255193 |
| 15 | 50 | 0.5 | 0.1 | 0.5 | control , control , control , control , control , control , control , control , control , control , control , control , control , control , control , control , control , control , control , control , control , control , control , control , control , control , control , control , control , control , control , control , control , control , control , control , control , control , control , control , control , control , control , control , control , control , control , control , control , control , intervention , intervention , intervention , intervention , intervention , intervention , intervention , intervention , intervention , intervention , intervention , intervention , intervention , intervention , intervention , intervention , intervention , intervention , intervention , intervention , intervention , intervention , intervention , intervention , intervention , intervention , intervention , intervention , intervention , intervention , intervention , intervention , intervention , intervention , intervention , intervention , intervention , intervention , intervention , intervention , intervention , intervention , intervention , intervention , intervention , intervention , intervention , intervention , intervention , intervention , -0.349671476900626 , 0.297411397878354 , 0.341918639232532 , -0.21041112946467 , -0.909728085449532 , 0.460620624211898 , 0.864962041304416 , -0.525236979757213 , 0.0926876942161236 , 1.0055578310241 , -0.343610525681528 , 0.391473979255067 , -0.408800761791843 , 0.225302473801486 , 0.477204632663945 , 0.322789206069276 , 0.497353815356808 , 0.406536956558193 , 0.217036848865918 , -0.540252610694683 , -0.0716778915105198, 0.521265726425343 , 0.0995594052145557 , 0.334997475803777 , 0.360349461711786 , -0.73181751519365 , 0.280279285058174 , 0.640162190280423 , -0.0320713702230636, -0.613164343163043 , 0.439736528787012 , -0.255996036741637 , -0.0677355806733471, 0.138314304534741 , 0.165011293418329 , -1.05321954168569 , 0.660542128273897 , -0.106131775604429 , 0.502638932499071 , 0.863517145280722 , 0.362171424067179 , 0.519290590265237 , 0.0114164111534887 , 0.0406076439774737 , 1.41508797433751 , -0.456086326427477 , 1.37209454926662 , 0.288547806484155 , -0.260248387539699 , -0.0561984110128726, 0.0944970805720697 , 0.256985818783031 , 1.03447137489383 , 1.06994034938627 , 0.626674303732599 , 0.497033992845266 , 0.74655657395118 , 0.606158138951356 , 0.996650187431457 , 1.93221380198093 , 0.541719854348635 , -0.107737998120943 , 0.971021201357138 , 0.453605672378382 , -0.357769530029224 , -0.250217189661826 , 0.28008154649506 , 0.777851555851546 , 1.22317922255507 , -0.104024188686304 , 1.50723342438236 , 0.166467351181981 , 0.181720837265211 , 0.227182858401767 , 0.541012344880298 , 0.790667056984172 , 0.459376985912794 , 0.815876741764049 , 0.405042323849287 , 0.541163130067467 , 0.621175298415752 , 0.244717583644154 , 0.186094287086837 , 0.874106695200545 , 0.0588985665565002 , 0.337644979837891 , 0.138638165551997 , 0.203485184931949 , 0.736029135848226 , 0.625154423122077 , 0.182753504720494 , 0.658915564326283 , 1.70202403445389 , 0.0616849033517591 , 0.51534585985286 , 0.326822817892716 , 0.618315906802688 , 1.20609635472772 , 0.364142814767409 , 0.416021518317811 | 0.0001674 |
| 15 | 50 | 0.5 | 0.1 | 1.0 | control , control , control , control , control , control , control , control , control , control , control , control , control , control , control , control , control , control , control , control , control , control , control , control , control , control , control , control , control , control , control , control , control , control , control , control , control , control , control , control , control , control , control , control , control , control , control , control , control , control , intervention , intervention , intervention , intervention , intervention , intervention , intervention , intervention , intervention , intervention , intervention , intervention , intervention , intervention , intervention , intervention , intervention , intervention , intervention , intervention , intervention , intervention , intervention , intervention , intervention , intervention , intervention , intervention , intervention , intervention , intervention , intervention , intervention , intervention , intervention , intervention , intervention , intervention , intervention , intervention , intervention , intervention , intervention , intervention , intervention , intervention , intervention , intervention , intervention , intervention , -0.941671830902488 , -0.560800540143359 , -1.05983356271161 , 0.162946072162509 , -0.937350473817837 , 0.727683346728118 , 0.465289367563413 , 0.685191937991303 , -0.820604446572261 , 0.680699533913271 , 1.04801368900492 , 1.03766098055842 , -0.20562497535421 , 1.28579822120972 , 0.668989408121661 , -1.97004285090254 , -1.81040838813488 , -0.177354177965148 , 2.26375881431176 , 0.221876026536479 , 0.909717725811569 , 1.03175976284391 , 1.08854250081746 , 1.95027351518115 , -1.70941095330682 , 1.15601256058851 , 1.00892762240237 , 0.553413271972194 , -0.565913650675792 , -2.512085239479 , 0.659724993672325 , -1.5164087702466 , -0.528199960888871 , 1.35638112328057 , -1.07005218376017 , -1.20069483586844 , -0.843159735332821 , 1.64994124155946 , -2.14023254477759 , -0.985423307644943 , 1.01315849068026 , 0.516316276522279 , -1.18091181074205 , 0.915372672083845 , -2.59266433199584 , -0.152857991540079 , -0.0920903603809742, 0.225307231468199 , 0.928051362771772 , 0.377949616866207 , 2.56331452808533 , -0.444622002703762 , 0.440600079339618 , 0.358406956421453 , -1.20660323789796 , 0.570901547304534 , -0.5550642598563 , 0.152824494725114 , -2.03101291878465 , -1.67591938340995 , -0.097355546081354 , 1.74480874815928 , -1.13090769554493 , -0.140547552715478 , 1.88439716722203 , -0.0904687045393372, -0.0463747534426817, -0.248789358261159 , 0.655044400230917 , 0.789700129453396 , 1.50515910988837 , 2.44559313214839 , 1.025000709726 , 0.583792253747621 , 0.439997336938808 , 0.251055348231877 , -1.90905959348454 , 0.529841020262858 , -0.0965059096327476, 0.0640238383403074 , 1.23753284592574 , 0.557870585770079 , -0.128436651058138 , -1.07834149344977 , 0.71112307827592 , -1.7449216251458 , 0.705714004502746 , -0.770286918498127 , 1.75522395710919 , -0.878952646976352 , 1.83821904594345 , 0.514733159377396 , 2.06528087133448 , 0.39645446198309 , 0.55805513728145 , 1.59113893773401 , -0.348811623617778 , 1.66393847128713 , -0.92751899776788 , 0.319910206613231 | 0.1859993 |
| 16 | 20 | 0.0 | 0.0 | 0.5 | control , control , control , control , control , control , control , control , control , control , control , control , control , control , control , control , control , control , control , control , intervention , intervention , intervention , intervention , intervention , intervention , intervention , intervention , intervention , intervention , intervention , intervention , intervention , intervention , intervention , intervention , intervention , intervention , intervention , intervention , 0.632995368423865 , 1.08651101120615 , 0.754039582703915 , -1.62304990826777 , -0.536267874742395 , 1.11777406794962 , -0.262247679035118 , -0.267187843764896 , -0.132537387235442 , 0.646409373287757 , -0.431632815326062 , 0.02620811228833 , 0.546948588766428 , 0.0608402074593053 , 0.155421105090269 , 0.235235445672459 , -0.409915921470583 , 0.836840069914305 , 0.242539345349614 , 0.352167912168573 , -0.00129681307547552, 0.229701332274044 , -0.0937618646855493 , 0.272722681762997 , 0.537522468267332 , -0.651016550154573 , -0.233196362841402 , 0.419645062142964 , 0.694662468101251 , -0.0790242528970794 , -0.192269997513752 , 0.11632304730331 , -0.130395672861549 , -0.560985654560305 , 0.153857149155789 , 0.308060917919222 , 0.440001386483079 , -0.323719956274436 , 0.669351830544553 , 0.352174083325734 | 0.7455463 |
| 16 | 20 | 0.0 | 0.0 | 1.0 | control , control , control , control , control , control , control , control , control , control , control , control , control , control , control , control , control , control , control , control , intervention , intervention , intervention , intervention , intervention , intervention , intervention , intervention , intervention , intervention , intervention , intervention , intervention , intervention , intervention , intervention , intervention , intervention , intervention , intervention , -0.213782243324492 , 0.401973443056871 , 1.27957034927055 , -0.315212910069695 , -2.0082201304568 , 0.728419996646028 , -0.926193660322695 , 1.78122335053232 , -0.779689657131106 , 1.10678589259823 , 2.22627303475461 , -0.628366430892699 , 0.837762581750853 , -0.2084643745182 , 0.330874048117808 , -1.33863977987798 , 0.903010097865587 , 0.294259871315804 , -0.0932765327326637, 0.284214700444047 , 2.17824489254043 , 0.925317370633069 , -1.41208208665831 , 0.527204536353314 , -0.216724919196346 , -1.44773671511928 , -1.29145091052252 , 1.31364215373641 , -0.219557999906141 , 1.84013327148635 , 0.5358382537555 , -0.294925198141946 , 0.578441973917605 , -0.610113203619891 , -0.32065396866317 , -0.152205812253123 , -1.53075351412941 , -1.5413151019608 , 1.16094547341621 , 1.24996007230465 | 0.7339087 |
| 16 | 20 | 0.0 | 0.1 | 0.5 | control , control , control , control , control , control , control , control , control , control , control , control , control , control , control , control , control , control , control , control , intervention , intervention , intervention , intervention , intervention , intervention , intervention , intervention , intervention , intervention , intervention , intervention , intervention , intervention , intervention , intervention , intervention , intervention , intervention , intervention , 0.60885099377763 , -0.391733351174069 , -0.241659826575643 , -0.653166295876132 , -0.496626721963359 , -0.437860923282997 , 0.367801180467843 , 0.524813089663677 , -0.679772337017887 , -0.131370038481954 , 0.492156626781775 , 0.414209590227341 , -0.784867732518216 , 0.519134815843235 , 0.105087188930811 , 0.539591536458962 , -0.747097129408925 , -1.31228728950261 , -0.0688738682785119, -0.395399422897879 , 0.856029555114696 , -0.547778516465877 , 0.31187850289643 , 0.185367069522223 , -0.42848718963247 , -0.189586700089568 , -0.190846798124256 , 0.223052785126697 , -0.212197219986484 , -0.513177460751048 , -0.926106907210423 , 0.013844848036016 , -0.650913654076998 , -0.333169005210274 , -0.0993598688897155, 0.796586780500747 , -0.435114250906106 , -0.660403958235652 , 0.773683491266543 , -0.0537594613871439 | 0.8394312 |
| 16 | 20 | 0.0 | 0.1 | 1.0 | control , control , control , control , control , control , control , control , control , control , control , control , control , control , control , control , control , control , control , control , intervention , intervention , intervention , intervention , intervention , intervention , intervention , intervention , intervention , intervention , intervention , intervention , intervention , intervention , intervention , intervention , intervention , intervention , intervention , intervention , -0.598509984049224 , -1.02363901316602 , 0.950630114851011 , 1.11380801257465 , -1.7505301989039 , 0.0914366214161123 , 1.19797965609584 , 0.297738818065967 , -0.302771555751319 , -0.177242629050342 , -0.342782495191859 , 0.495609821560036 , -0.950301964821291 , 0.224415861825455 , -0.0977595414526651, -0.483941800511315 , 0.537557908916937 , 0.457553856515758 , -0.0314369262248904, 1.54462162771326 , -1.67060249783078 , -0.130783319216051 , -1.06155853219658 , -1.34896077179037 , 1.27359668057307 , 1.8324774351825 , -2.3584153497057 , -0.53561372060379 , 0.158975375522562 , -0.336479829093031 , -0.62696961589844 , 0.434495302630816 , -1.0105335299502 , 0.471016371698363 , 0.812202527320556 , 0.149619100186584 , 0.798629112426701 , -1.01027844125411 , 1.04161196074515 , 1.28632337803572 | 0.6311913 |
| 16 | 20 | 0.5 | 0.0 | 0.5 | control , control , control , control , control , control , control , control , control , control , control , control , control , control , control , control , control , control , control , control , intervention , intervention , intervention , intervention , intervention , intervention , intervention , intervention , intervention , intervention , intervention , intervention , intervention , intervention , intervention , intervention , intervention , intervention , intervention , intervention , -0.866447561116964, -0.122452261165105, 0.268952698297724 , -0.275468587642188, -1.08997392262158 , -0.619454350868871, -0.519554985338812, 0.253740537879938 , -0.14291658882828 , -0.134187242988367, -0.466897368815638, 0.514281254610818 , -0.162460264724444, -1.0551295437505 , -0.902310173775476, -0.651810700736252, 0.284692211448259 , 0.322306211728496 , -0.326594355363961, -0.12773822805328 , 1.08164008891991 , 0.0504923884016237, 0.392423233538324 , 0.622664260071233 , 0.431374767910002 , 0.0966175949164799, 0.335077124026807 , 0.434081710931174 , 0.538265441290013 , 0.164448720835197 , -0.57209368109074 , 0.616054016143803 , 0.117738154173102 , 1.02502254870672 , 1.04731420896975 , 0.131987048705231 , 0.168219751801906 , 1.19096805927546 , 0.178014356765455 , -0.581607442807768 | 0.0000922 |
| 16 | 20 | 0.5 | 0.0 | 1.0 | control , control , control , control , control , control , control , control , control , control , control , control , control , control , control , control , control , control , control , control , intervention , intervention , intervention , intervention , intervention , intervention , intervention , intervention , intervention , intervention , intervention , intervention , intervention , intervention , intervention , intervention , intervention , intervention , intervention , intervention , 0.270417450575331 , 0.639448464462117 , 0.357982173904711 , -0.336400575024393 , -0.572089675826003 , -0.522564738232766 , 0.57846376070251 , 0.920756971098286 , -0.315878996204297 , -1.17416595839709 , 0.637503118466683 , 1.35246550800036 , 1.61807445293194 , -0.445052610951515 , -0.907027998126792 , 0.964752216802325 , -1.71124073200153 , -0.413397578153037 , -0.888001966861441 , 0.748465046482409 , -0.829069789195477 , 1.05206050439561 , -0.296648898294534 , 0.338269663025282 , 0.58080748476793 , 0.280614889219384 , -0.483948802237165 , -0.00489970061885536, 1.67475918121494 , -0.397287115477662 , 1.52422752150507 , 0.230936580485862 , 1.70660549120757 , 0.781341647081744 , -1.23801036413979 , -0.76423690116634 , 0.0896566780979549 , 0.690192545828067 , 0.532521895768007 , 0.741686288631297 | 0.3274495 |
| 16 | 20 | 0.5 | 0.1 | 0.5 | control , control , control , control , control , control , control , control , control , control , control , control , control , control , control , control , control , control , control , control , intervention , intervention , intervention , intervention , intervention , intervention , intervention , intervention , intervention , intervention , intervention , intervention , intervention , intervention , intervention , intervention , intervention , intervention , intervention , intervention , 0.0729821972048917 , 1.36884026051617 , 0.0862573879874682 , 0.227219867590472 , 0.466275517826775 , 0.238914836039159 , 1.20047416118772 , -0.517103585011566 , 0.560441785346799 , -0.0975675719318869, -0.111038770713117 , -0.576394805072907 , -0.188727847305481 , 0.168842324856593 , 0.0605265340620861 , -0.721348628352827 , 0.508769902954881 , 0.504967814844052 , 0.0906185475225138 , -0.441527362088751 , 0.57739990117669 , 0.51604813479896 , 0.28781826771901 , 0.814711650615795 , 0.558539857024197 , -0.286359651533869 , 1.32407815015179 , 0.985539456471006 , 0.15863711276431 , 0.410410331658202 , -0.408486458708066 , -0.515760235238135 , 0.724104306217898 , 0.318476263171605 , -0.0904860468196629, -0.159233016709968 , 0.407671659038423 , 0.206588407205129 , 0.782428911752525 , 0.308242035871551 | 0.2172179 |
| 16 | 20 | 0.5 | 0.1 | 1.0 | control , control , control , control , control , control , control , control , control , control , control , control , control , control , control , control , control , control , control , control , intervention , intervention , intervention , intervention , intervention , intervention , intervention , intervention , intervention , intervention , intervention , intervention , intervention , intervention , intervention , intervention , intervention , intervention , intervention , intervention , 0.694397342300029 , -0.820776669405092, 1.18970908788711 , 0.971671869562408 , 0.13613150899255 , -1.10978203052635 , 0.831571729611173 , -0.404781410042144, -0.716999946707232, -1.79635006763461 , 0.257567022208481 , 1.36524427675528 , 0.20262745253926 , -0.672343678777888, -0.824097018177775, -1.14712509004072 , 0.407490510334955 , 0.795299448528217 , 0.0296330660412448, -0.343615460686626, 0.933077934431837 , 1.1072244283808 , 0.648473839748313 , -0.135592160573888, 0.380477320510744 , 1.61314928280651 , 1.5101825563609 , -0.240409292137051, -1.21944878073435 , 2.94672618821275 , 0.485790697195951 , 1.21837938509879 , -0.327047076297052, 1.37031784546564 , 0.187196275103621 , 0.399195459152876 , 0.320726191234229 , -0.526957252632766, 0.592391228177888 , 1.90275107826145 | 0.0198347 |
| 16 | 50 | 0.0 | 0.0 | 0.5 | control , control , control , control , control , control , control , control , control , control , control , control , control , control , control , control , control , control , control , control , control , control , control , control , control , control , control , control , control , control , control , control , control , control , control , control , control , control , control , control , control , control , control , control , control , control , control , control , control , control , intervention , intervention , intervention , intervention , intervention , intervention , intervention , intervention , intervention , intervention , intervention , intervention , intervention , intervention , intervention , intervention , intervention , intervention , intervention , intervention , intervention , intervention , intervention , intervention , intervention , intervention , intervention , intervention , intervention , intervention , intervention , intervention , intervention , intervention , intervention , intervention , intervention , intervention , intervention , intervention , intervention , intervention , intervention , intervention , intervention , intervention , intervention , intervention , intervention , intervention , 1.21121429497182 , 0.6883662781586 , 0.0513564589961292 , 0.741599778096733 , 1.10730485946017 , -0.0595001505715974 , 0.0569083521197872 , -0.390903653471769 , 0.0474448446871201 , 0.713704383710194 , -0.00133328844521247, 0.452587267238182 , 0.515670152157067 , -1.36163384403464 , -0.536992892925285 , 0.568786208355987 , -0.178803830008553 , 0.0677397664844053 , 0.163663928736995 , 0.210502364822993 , 0.0677142378535718 , 0.603379102603246 , 0.397287711020524 , 0.175684302845807 , -1.08908650879544 , 0.437714638134927 , -0.256713900717013 , -0.903582159097943 , 0.566835669981167 , -0.174435324633584 , 0.199396223715778 , -0.366398687076196 , -0.827780868301913 , 0.857943155618952 , -0.409076723471243 , 0.847065361331897 , 0.80760801009003 , -0.596971901326754 , -0.177024191171698 , 0.435760807688139 , 0.441430248009407 , 0.273881461890222 , -0.458120723588147 , -0.630866344708863 , 0.263505292545271 , -0.316895087878969 , 0.698722244498636 , -0.114622264796263 , 0.529664630468951 , -0.385505064457306 , 0.962337447182174 , -0.596365799320858 , 0.279290915422911 , 0.116212765984243 , 0.423512799108785 , -0.366842014505086 , 0.0122132651239132 , -0.551545999547005 , -0.389960924864404 , -0.70835942603731 , -0.229427385120374 , 0.324064092980074 , 0.523480487393045 , 0.0175450385746118 , -0.593069282151189 , -0.182016051521427 , -0.397642513939096 , -1.02213439678778 , -0.427343565200418 , 0.147472529767569 , -0.304493530573449 , 0.154570482232927 , -0.645388911548473 , -0.503626909946648 , -0.103622591231482 , 0.225206990364652 , 0.0368995551411824 , 0.0603445204441937 , 1.43616560912467 , 0.282962888535833 , -0.642106080992864 , 1.00709393797405 , 0.490945244715062 , -0.749081437716956 , -0.2927992690393 , 0.923120924252523 , 0.286181531316047 , 0.39504467346901 , -1.26658800877989 , 0.0893405251631414 , -0.497392875782069 , -0.319690534666687 , -0.386874848291866 , 0.349992928441161 , -0.353430715262054 , 1.14034427969939 , 0.776820052840795 , 0.73578335560892 , -0.321678766126614 , 0.0755708137767903 | 0.3342282 |
| 16 | 50 | 0.0 | 0.0 | 1.0 | control , control , control , control , control , control , control , control , control , control , control , control , control , control , control , control , control , control , control , control , control , control , control , control , control , control , control , control , control , control , control , control , control , control , control , control , control , control , control , control , control , control , control , control , control , control , control , control , control , control , intervention , intervention , intervention , intervention , intervention , intervention , intervention , intervention , intervention , intervention , intervention , intervention , intervention , intervention , intervention , intervention , intervention , intervention , intervention , intervention , intervention , intervention , intervention , intervention , intervention , intervention , intervention , intervention , intervention , intervention , intervention , intervention , intervention , intervention , intervention , intervention , intervention , intervention , intervention , intervention , intervention , intervention , intervention , intervention , intervention , intervention , intervention , intervention , intervention , intervention , 1.22867941333168 , 0.347546015886404 , -1.46651308368806 , 0.0191368584862649 , 0.057774116087816 , -0.60295004984913 , -0.692072452360408 , -0.724490054963199 , -0.81672215837608 , -0.440225228976273 , -3.30044846132516 , -0.0671492196072286, 0.133019733313945 , -0.558203874623593 , -0.730213615230379 , -0.658047612723519 , -0.288338381910991 , 0.463673296946713 , -1.06337115935376 , -1.81582436480647 , -0.194010537568726 , -1.05676837025875 , 1.44130404255029 , -0.770923928870983 , -0.112991313807355 , 0.260387094085614 , -0.0642804217302937, 0.67038088326379 , -0.291280432191437 , 1.47335995782872 , 0.60860709738942 , -0.0292924917968192, 0.345568308106379 , 0.213590256735042 , -1.68678203745222 , 0.824720815517801 , 0.20046143355236 , -0.678133575757882 , -0.681651493036394 , -1.93153476225306 , 0.146006990516023 , -0.753087182114939 , 1.24850577101295 , -0.998425615604252 , 1.01343549409685 , -1.55993222916186 , 1.8488328733993 , -1.49715630841071 , -0.770841821947125 , -1.43926849648907 , -0.179544988715084 , 0.434596586745099 , -0.254816534496997 , -1.98889933540403 , 0.418815991280178 , -1.7514753891973 , 2.47722475499651 , -0.245505673891046 , 1.36108366042945 , -0.893005826253314 , -2.49979918978375 , -0.120534470299781 , 0.137851356328666 , 0.0268502870395764 , 0.753863960008782 , -0.0334781573690947, -1.27447739086118 , 1.0341182990564 , -1.0661671738457 , -0.355011353535697 , 1.14083459195181 , -1.29610313953878 , -1.08562931893728 , -0.313857833564542 , 1.41590188985724 , 1.32575188968573 , -0.769281140083177 , -1.01513811828494 , -0.156332165460206 , 1.65839896714638 , 0.38224513743474 , -0.360365350716264 , -0.349579921631376 , -0.333027820027834 , 1.54882697681961 , 1.76849466006384 , 0.749660350722283 , 0.896636864083563 , 0.256812236164021 , 1.51116681132364 , 0.00558653837788613, 0.520832390814875 , -1.73447386883223 , -0.0102044234779372, 1.63218409585487 , 0.481681182915485 , -0.295625808088709 , -0.613669369963987 , 1.84949477935834 , -0.485541510560037 | 0.0660103 |
| 16 | 50 | 0.0 | 0.1 | 0.5 | control , control , control , control , control , control , control , control , control , control , control , control , control , control , control , control , control , control , control , control , control , control , control , control , control , control , control , control , control , control , control , control , control , control , control , control , control , control , control , control , control , control , control , control , control , control , control , control , control , control , intervention , intervention , intervention , intervention , intervention , intervention , intervention , intervention , intervention , intervention , intervention , intervention , intervention , intervention , intervention , intervention , intervention , intervention , intervention , intervention , intervention , intervention , intervention , intervention , intervention , intervention , intervention , intervention , intervention , intervention , intervention , intervention , intervention , intervention , intervention , intervention , intervention , intervention , intervention , intervention , intervention , intervention , intervention , intervention , intervention , intervention , intervention , intervention , intervention , intervention , -0.336207031517417 , 0.0509092931113747 , -0.74558060281018 , 0.0413974683411249 , 0.52181442814704 , 0.521984038857498 , -0.85219013697757 , 0.243640081164663 , 0.686496076454198 , -0.13643898717029 , -0.0380954893334703 , 0.0636044460382642 , 0.0256131721286597 , 0.600807009758185 , 0.963999124788596 , 0.172743025565041 , -0.802858385916545 , 0.990323945331294 , 0.391516624669804 , 0.534564504689271 , -0.524061762047711 , -0.21971976684675 , -0.263842023129121 , 0.129272604261492 , 0.440718965205388 , 0.805924441984629 , 0.331958596285752 , 0.115813697428293 , 1.09527377482288 , -0.372777148599432 , -0.088998731958473 , -0.318523138995455 , 0.0284262257080952 , 0.560652981295662 , -0.406232212187047 , 0.59079896024434 , 1.10906443473404 , 0.577588116170058 , 0.908386541029327 , 0.000735353745543191, 0.0233861039111173 , -0.143341044496713 , 0.0170111974155641 , 0.967762007889132 , -0.361189736251858 , 0.22694757395195 , -0.24334261964185 , 0.234411405525876 , 0.178259655116338 , -0.508237655686559 , 0.0407991736337117 , -0.586183678383559 , 0.192101310015603 , -0.524286282987366 , 0.357600319175809 , -0.74448895662894 , 0.172588280578434 , 0.596049699164735 , -0.228308832980262 , -0.971903545686365 , -0.384812797376322 , -0.356756174437739 , 0.877663113638526 , -0.0758770969801496 , 0.947868191932537 , -0.673764970694441 , -0.950441738887373 , 0.563652201582717 , -0.929169001554267 , -0.746487965894482 , 0.848579561227103 , 0.52975400078526 , -0.0336555592907727 , 0.135480712633955 , 0.251535700909099 , 1.70448145227819 , -0.836888926415369 , -0.0457655209786926 , -0.108480424976248 , -0.808644964926163 , 0.831045065445152 , -0.53025258848268 , -0.894876681260314 , 0.35404928323482 , -0.0937676479063 , 0.142739382605528 , 0.405702131505139 , 0.603017160448285 , -0.529674015568442 , -0.209084813441141 , -0.299311384709164 , 0.379212588690381 , 0.509298420696856 , -0.334100400507904 , 0.280004308249759 , -0.587074559132312 , 0.46751555752661 , 0.354026912431442 , 0.439833747399676 , -0.142298991083096 | 0.1290633 |
| 16 | 50 | 0.0 | 0.1 | 1.0 | control , control , control , control , control , control , control , control , control , control , control , control , control , control , control , control , control , control , control , control , control , control , control , control , control , control , control , control , control , control , control , control , control , control , control , control , control , control , control , control , control , control , control , control , control , control , control , control , control , control , intervention , intervention , intervention , intervention , intervention , intervention , intervention , intervention , intervention , intervention , intervention , intervention , intervention , intervention , intervention , intervention , intervention , intervention , intervention , intervention , intervention , intervention , intervention , intervention , intervention , intervention , intervention , intervention , intervention , intervention , intervention , intervention , intervention , intervention , intervention , intervention , intervention , intervention , intervention , intervention , intervention , intervention , intervention , intervention , intervention , intervention , intervention , intervention , intervention , intervention , 1.47476500299647 , -1.5564493198033 , 1.2114344422256 , -0.247946168117059 , -0.590618350367735 , -0.562252566376666 , 0.946968365017871 , 0.66463707541204 , -0.785758635813222 , -0.271935763184442 , 0.855894063161913 , -0.308375614767604 , -0.0626104037475035, -0.597366940995172 , -1.27275404353732 , 0.164556663768161 , 0.578503411288336 , 0.521789251945561 , 2.08202640742981 , -1.29213956128662 , 0.578121427495551 , 1.06851437320587 , 0.174932454533435 , 1.09410922079497 , -0.833706269130734 , 0.572935118056626 , 0.740578654004458 , 1.0753023445639 , 0.0716367398962262 , 1.71329552695727 , 0.64599256239774 , -1.38090362588366 , 0.694551650925961 , -0.0373889888820947, 0.613278239316781 , 0.767024220958786 , 0.205137641996173 , 0.952025072285056 , 1.6392229297922 , -0.491442486722763 , -1.19503162460255 , -0.0848644689210217, 0.694129046191243 , -1.62311243538276 , 1.40527324170595 , 0.149364431117495 , -0.963753889198532 , -0.494104358319091 , 1.05353057347845 , -0.187183618632817 , 0.385394779977419 , 1.51758444277056 , 0.0996887112308879 , 0.172175005235064 , 1.20807682923768 , 0.467934597917115 , 0.0781303145146452 , 1.75250829529769 , -0.360012143205882 , -0.41841083150879 , 0.489198007036256 , -1.13174231686142 , -0.333361494314936 , -0.926364126943279 , 1.8170015638014 , 0.326321442660138 , 0.533772266667778 , -0.818488249706153 , -0.0960735962749502, -1.40731491244152 , -0.235780529301236 , 0.551619169247808 , 0.40804366027928 , 1.67609967610112 , 0.0189559704095525 , -1.72317232867597 , -0.189270035115076 , -0.234466828195918 , -0.371075525876218 , 0.11129511707553 , 0.421339248670504 , -1.18501084363931 , 0.329803833787306 , 0.392563594429992 , 0.0525100626072952 , -1.56026483113395 , 0.335878572674335 , -0.746799807121696 , -0.733072875599247 , -1.26744603590475 , -0.699173308816643 , -0.894519709971035 , -1.25458210816931 , -0.052419535835162 , -0.940858138158113 , -1.5064916121514 , 0.149856714988682 , 1.58408153749451 , -0.39079690220678 , -0.0889996359538559 | 0.1169945 |
| 16 | 50 | 0.5 | 0.0 | 0.5 | control , control , control , control , control , control , control , control , control , control , control , control , control , control , control , control , control , control , control , control , control , control , control , control , control , control , control , control , control , control , control , control , control , control , control , control , control , control , control , control , control , control , control , control , control , control , control , control , control , control , intervention , intervention , intervention , intervention , intervention , intervention , intervention , intervention , intervention , intervention , intervention , intervention , intervention , intervention , intervention , intervention , intervention , intervention , intervention , intervention , intervention , intervention , intervention , intervention , intervention , intervention , intervention , intervention , intervention , intervention , intervention , intervention , intervention , intervention , intervention , intervention , intervention , intervention , intervention , intervention , intervention , intervention , intervention , intervention , intervention , intervention , intervention , intervention , intervention , intervention , 0.189227365743259 , -0.244812259048397 , -0.306437816253329 , -0.0969555221724472 , 0.542324982369691 , 0.845589005728341 , -0.187183742466743 , -0.310059419180508 , -0.233940274196118 , -0.317610331553822 , 0.361898987958562 , 0.123202295251368 , 0.103274190596309 , 0.789363297313939 , 0.0355452337951257 , 0.387766173897929 , 0.131533408270884 , -0.297218142517403 , -0.113889382743007 , 0.914363419196699 , 0.00511631707574911 , 0.610161759770382 , 0.070697750055948 , 1.00624161004026 , 0.511315064949883 , 0.207106051770723 , 0.0570051883852094 , 0.373818790374891 , 0.155442034019763 , 0.312174772666568 , -0.472666004598896 , 0.74018039188359 , 0.522761359017239 , 0.31955993532608 , -0.638818239954398 , 0.416423785284692 , 0.0498181417997427 , -1.10528511013647 , -0.810216130647651 , -0.220933957714607 , -0.780035115325642 , -0.180897643172985 , -1.02552876059384 , -0.169877674636755 , 0.275596965951624 , 1.22062574307976 , -0.193945017909129 , -0.265546441521889 , -0.174014190374947 , 0.0651701232935253 , 0.362862843400534 , 0.108166375571301 , -0.135722344776894 , 0.140662701377281 , 0.620998264517595 , 0.351736274380703 , 0.450055949648016 , 0.826669406883389 , 0.297143595823894 , 0.129697877513557 , 0.171319706868843 , 0.60713346846506 , 1.18550768377091 , 0.952509823638735 , 0.3083784444161 , 0.336619334150786 , -0.0678408077297041 , 0.468665004787701 , -0.374750023237662 , 0.336542890168369 , 0.860497996761294 , -0.167956581309092 , 0.723795056182875 , 1.78785710655941 , 1.41722111475742 , 0.433687305048396 , 0.583588729100884 , 0.883631444175119 , 0.348426729655107 , 0.769188145982197 , 1.06749091950322 , 0.237974822595862 , -0.102690862608618 , -0.0516237857685522 , 0.434302229813317 , -0.122462782037892 , 0.975518739685556 , 0.928883141290807 , 0.27649555919713 , 0.404052826588138 , 2.01146373563158 , 0.000744752080710565, 0.0875872656954184 , -0.0570086749154617 , 0.835162635980717 , 0.177114888072214 , -0.120994025538435 , 0.730607400095905 , -0.0491166723321703 , 0.94592484569254 | 0.0001168 |
| 16 | 50 | 0.5 | 0.0 | 1.0 | control , control , control , control , control , control , control , control , control , control , control , control , control , control , control , control , control , control , control , control , control , control , control , control , control , control , control , control , control , control , control , control , control , control , control , control , control , control , control , control , control , control , control , control , control , control , control , control , control , control , intervention , intervention , intervention , intervention , intervention , intervention , intervention , intervention , intervention , intervention , intervention , intervention , intervention , intervention , intervention , intervention , intervention , intervention , intervention , intervention , intervention , intervention , intervention , intervention , intervention , intervention , intervention , intervention , intervention , intervention , intervention , intervention , intervention , intervention , intervention , intervention , intervention , intervention , intervention , intervention , intervention , intervention , intervention , intervention , intervention , intervention , intervention , intervention , intervention , intervention , 1.67056027723437 , 1.5555206504544 , 0.681827280166792 , 0.435959260925862 , 2.00921957932342 , -0.122348940514403 , -0.149892941010664 , -0.943616020267208 , 0.0143597219882128 , -0.0258030742845388, -1.20631873068823 , -0.683507953657659 , 2.02525861147576 , 0.285942800366998 , 1.96791638888333 , 0.00713503407164137, -0.566174701520501 , -0.588804086566272 , -0.0211173886963358, 0.0585650869125225 , 1.0407321649395 , 0.238107822720281 , 0.527296051985409 , -0.727317914196461 , 1.88780495682321 , -1.65924802067829 , 1.32634141832634 , 1.34941311163569 , -0.418328865489214 , -0.390984727637867 , 2.49286433328274 , -0.658251918779255 , 0.150971318805437 , 0.044900594132452 , -0.636050087442274 , -0.500076098188893 , 1.50518918492503 , 0.612486964750911 , 0.628701899970014 , 0.301474817728006 , -0.170726844632139 , 0.401981785724206 , -0.823996256313108 , -0.0266988425599464, -0.368950421682443 , 2.41514426026478 , -0.513415604499245 , 0.521876357762694 , -1.22998644887376 , 0.87697704140506 , -0.205651878544945 , 2.57017146749172 , 0.300877102852532 , 1.55103128485057 , -1.60022889998074 , 1.23797899171153 , 2.76803301625284 , -1.52245321011396 , -0.394172632846217 , 1.2439267804636 , -0.215011015539444 , 2.55039208341119 , -0.146621790871399 , 0.120134685855956 , 0.0330439309625082 , 2.92977084783397 , 0.892261068581515 , -0.899904672238046 , -0.102184250048744 , -0.66583486308018 , -1.10717161333815 , -0.610210527511244 , 0.986626567223121 , 1.80190036592576 , 0.089309657163813 , 0.0350336858128584 , 0.209017210577315 , -0.660056350036959 , -0.0709553206637586, 0.990459814761152 , 1.87655460121137 , 0.0710784563651314 , 0.286528991426427 , -0.92714620322985 , -1.27254166423892 , 0.46340446262957 , 1.31005519956617 , -1.38188035376192 , 0.82861751102832 , -1.31084070807315 , 0.826604898142825 , 0.147702614930889 , 0.248675622179735 , -0.28264725620081 , -0.975690401908039 , -0.728983623761903 , 0.961647236801475 , 1.38482313916925 , 0.263254285812784 , 0.637651941934174 | 0.9950624 |
| 16 | 50 | 0.5 | 0.1 | 0.5 | control , control , control , control , control , control , control , control , control , control , control , control , control , control , control , control , control , control , control , control , control , control , control , control , control , control , control , control , control , control , control , control , control , control , control , control , control , control , control , control , control , control , control , control , control , control , control , control , control , control , intervention , intervention , intervention , intervention , intervention , intervention , intervention , intervention , intervention , intervention , intervention , intervention , intervention , intervention , intervention , intervention , intervention , intervention , intervention , intervention , intervention , intervention , intervention , intervention , intervention , intervention , intervention , intervention , intervention , intervention , intervention , intervention , intervention , intervention , intervention , intervention , intervention , intervention , intervention , intervention , intervention , intervention , intervention , intervention , intervention , intervention , intervention , intervention , intervention , intervention , -0.66651826349993 , -0.557311195772358 , 0.0906499465746223 , 0.177231388903294 , -0.454260623161158 , 1.25569714042757 , -1.05678039669658 , -0.355777194875174 , -0.468738888175026 , -0.0721834661455343, -0.143358874319513 , 0.0946446348946031 , 0.659134124230966 , 0.113780657373646 , -0.0178757835657417, 0.114523031899989 , 0.320424756395359 , -0.108970454844038 , 0.11634187421001 , -0.274892011875922 , 0.160654151774648 , 0.182977841805659 , 0.359524102201961 , -0.48954333067493 , 0.428140563335383 , -0.512949179654647 , -0.328503805920251 , 0.0585518431243548 , -0.22414750555035 , 0.726205149134559 , 0.378613547410027 , 0.335662516540596 , -1.05846953970398 , 0.532631081733195 , -0.302213584931116 , 0.263374227736577 , 0.336318990397202 , 0.0577622455700954 , 0.697959092943321 , 0.159634212813426 , 0.34060031602132 , 0.705760098961012 , 0.113919232365208 , -0.101188238371985 , -0.729939908596744 , 0.25436491915774 , -0.579915854426999 , -0.799666901481078 , -0.229317262140263 , 0.509301158092126 , 0.0711841421058778 , 1.23559436571601 , 0.569927599571194 , 0.425480818687768 , 0.554264756100772 , 0.583011375556965 , 1.83627532084169 , 1.33543768866531 , 0.897671972899565 , 0.419365511575443 , 0.262049387061836 , 0.96386172937149 , 0.778028826981518 , 0.00725922651372102, 0.984449940308742 , -0.0381714256137202, 1.07045248347004 , 0.543546588754586 , 0.317892566124132 , 1.07058448619415 , 0.869920429915973 , 1.61996631024954 , 0.352496010853154 , 0.277888498064809 , 0.697881745282936 , 1.39091192534862 , 1.53250571207424 , 0.818394527011729 , 0.991186395929773 , 0.0896384939554878 , 0.942706141033856 , 0.607687264153682 , 0.735159438398711 , 1.09662081117636 , 0.776666681039889 , 0.363999449370264 , 0.240807399023594 , 1.12312548212877 , 0.426191501634434 , 0.74774324404355 , 0.741259952434884 , 0.545757020334755 , 0.337344964150829 , 0.436258427800725 , -0.275532516733071 , -0.299858398253832 , 1.14426298547767 , 0.859905317903875 , 0.395638694322032 , 1.21703490933181 | 0.0000000 |
| 16 | 50 | 0.5 | 0.1 | 1.0 | control , control , control , control , control , control , control , control , control , control , control , control , control , control , control , control , control , control , control , control , control , control , control , control , control , control , control , control , control , control , control , control , control , control , control , control , control , control , control , control , control , control , control , control , control , control , control , control , control , control , intervention , intervention , intervention , intervention , intervention , intervention , intervention , intervention , intervention , intervention , intervention , intervention , intervention , intervention , intervention , intervention , intervention , intervention , intervention , intervention , intervention , intervention , intervention , intervention , intervention , intervention , intervention , intervention , intervention , intervention , intervention , intervention , intervention , intervention , intervention , intervention , intervention , intervention , intervention , intervention , intervention , intervention , intervention , intervention , intervention , intervention , intervention , intervention , intervention , intervention , -0.045609846017087 , 2.62005240465473 , 1.09196426017572 , 1.56640540458727 , 0.499507554343018 , -1.25022978202197 , -1.94446727594328 , -0.617795978796299 , -0.176756771665708 , -0.015559908637822 , -0.2997492565554 , -0.162947874026253 , -0.544306283236461 , -0.058260793398402 , 0.29364676367341 , -1.62938180871705 , 3.01506979725717 , -0.34458721973691 , 1.23644070151921 , -0.821301918541234 , 0.391443761130235 , 0.192289235972271 , -1.09132112833784 , 1.1635889617081 , 1.41140470006423 , -0.142440888850037 , 0.880499979131231 , 0.36146547219798 , -0.744346312946 , -0.496337997120814 , 0.844157061513263 , 0.0775278360594918 , 0.223640363160051 , -0.589545727903296 , 1.11677537801485 , -0.15408842583156 , 1.7617191387336 , -0.908689074420727 , 0.498199506540322 , -0.915440141748652 , -0.328418549434575 , 0.572846963689657 , -1.52689357117025 , 0.067072487962481 , 0.778714528557142 , 2.41781546489086 , -1.28818686826903 , -0.706975747952082 , 0.534129308002752 , 0.669435380798136 , 1.76233033678244 , 2.1312682977489 , 1.36647653228167 , 1.24680993510584 , 1.9220704202053 , 0.185683617219529 , 1.11861155249763 , 0.79704448412419 , 2.66659993263239 , -0.405764238231714 , 0.323750821188546 , 1.51618123609463 , -0.375877801478351 , 0.494989625106421 , 0.200481641401865 , 0.709504768949673 , -0.883364335195248 , 0.849588223979326 , 0.827214851780581 , 1.80392900503967 , 0.356010268061052 , -0.0936580910572637, -0.158829039485511 , 1.06376817909669 , 1.55583414292443 , -0.0103691814534393, 1.18334663753689 , 0.430397443311643 , 0.214833038296745 , -0.812758424063531 , 1.30216457366592 , -0.953946117556152 , 0.594761497516146 , 1.95919147661673 , 2.16853827701737 , 1.27997719076018 , 1.22457107986985 , -0.534424466916624 , 0.348487238121979 , 0.636989304190666 , 1.00289836335701 , 0.880193069227911 , 2.15807086870516 , -0.608095613652059 , 2.06339258650577 , 0.756257247172976 , 0.748939246244235 , 1.22748783274074 , -0.158381085252655 , 1.01136162716392 | 0.0017267 |
| 17 | 20 | 0.0 | 0.0 | 0.5 | control , control , control , control , control , control , control , control , control , control , control , control , control , control , control , control , control , control , control , control , intervention , intervention , intervention , intervention , intervention , intervention , intervention , intervention , intervention , intervention , intervention , intervention , intervention , intervention , intervention , intervention , intervention , intervention , intervention , intervention , 0.149980703325718 , 0.193274567507522 , 0.109043792033662 , -0.154151941835615 , 0.686212797903242 , 0.482251789808128 , 0.442647278984406 , -0.0612200314416149, 0.192203736073712 , -0.41858051566173 , 0.260396495294261 , 0.0970281146578329 , 0.229903579457819 , -0.0411623331002718, -0.0971399936456551, 0.0115542192797434 , 0.913294288170765 , -0.69752626244756 , -0.905739486545073 , 0.190701791271434 , -0.349050642810016 , -0.407624819525633 , -0.666558746078968 , 0.216333472300555 , 1.1067795039185 , 0.0237182133042818 , 0.491932348401141 , -0.79646446017786 , 0.323006268876627 , -0.113595905212106 , 0.0266014417344854 , 0.19760700307685 , 0.720373774836636 , -0.224844046378096 , -0.0244782471040755, 0.399352184260368 , -0.735268331507879 , -0.63075297008512 , 0.378939335140508 , 0.693106438032527 | 0.7545305 |
| 17 | 20 | 0.0 | 0.0 | 1.0 | control , control , control , control , control , control , control , control , control , control , control , control , control , control , control , control , control , control , control , control , intervention , intervention , intervention , intervention , intervention , intervention , intervention , intervention , intervention , intervention , intervention , intervention , intervention , intervention , intervention , intervention , intervention , intervention , intervention , intervention , 0.490526220489179 , -0.092725134374438 , -0.892169503248085 , -2.19218905135685 , -0.403494342055576 , -0.789258975267481 , -0.714667016359839 , -1.02601600710405 , -0.957261446896806 , 0.140879205607021 , 0.172146968634108 , -2.09438481935293 , -0.764224104891975 , 1.31415830992757 , 0.409105987399865 , 0.29608885362779 , -0.506293637187956 , -0.7237008501078 , 0.949885812586987 , 0.424582182127149 , -0.00421043543360112, -1.94673195954258 , 0.698969029272011 , -0.635882658131237 , 0.978706965706144 , 0.746999660191693 , -0.295137547571619 , 0.253017327184863 , -0.780093767657722 , 0.624133583061639 , 1.15428583762548 , 1.17878803921212 , 1.08062761825547 , 0.0380557737504288 , -0.966448048739197 , -2.267125612423 , 0.622932417669851 , -0.101590079289243 , 0.498226445845725 , 1.55011169782785 | 0.1336130 |
| 17 | 20 | 0.0 | 0.1 | 0.5 | control , control , control , control , control , control , control , control , control , control , control , control , control , control , control , control , control , control , control , control , intervention , intervention , intervention , intervention , intervention , intervention , intervention , intervention , intervention , intervention , intervention , intervention , intervention , intervention , intervention , intervention , intervention , intervention , intervention , intervention , -0.569173439876923 , 0.6977377216861 , -0.46304127414579 , 1.1012257925449 , 0.380210405422759 , 0.736790131371756 , -0.248672128967036 , -0.42054993926051 , 0.413989237006907 , 0.393277307425312 , -0.0159983309692375, 0.815519174313353 , -0.137024330697264 , -0.0133970755536024, 0.056307300149464 , -0.175646042211002 , 0.675770862698575 , -0.712299123621354 , 0.869699603312341 , -0.145302950282012 , 0.0269746613210863 , -0.692627453542266 , -0.550561040887325 , 0.169863674157124 , 0.769423554968258 , 0.21699770312871 , -0.187111782778704 , 0.0420312879205586 , 0.0804451274769062 , -0.146450310470459 , 0.298961270876026 , -0.691185005772512 , 0.811836226572927 , -0.584138091407188 , -0.664741253704015 , -0.0347929746290294, -0.473051234822534 , -0.944640742184253 , -0.320336558046998 , 0.040754152738786 | 0.0659615 |
| 17 | 20 | 0.0 | 0.1 | 1.0 | control , control , control , control , control , control , control , control , control , control , control , control , control , control , control , control , control , control , control , control , intervention , intervention , intervention , intervention , intervention , intervention , intervention , intervention , intervention , intervention , intervention , intervention , intervention , intervention , intervention , intervention , intervention , intervention , intervention , intervention , 0.130921271335156 , 0.899057466416558 , 1.49328445139013 , -1.05786518791697 , 1.04707491268112 , -0.528471602920218, -1.06572859613203 , -0.498598341094593, -0.298661729545323, -1.76923907961485 , 1.82481734446076 , 1.1194355329654 , 1.86447164058411 , -0.451475509645211, 1.26833192448224 , 0.124672782350095 , 1.42061364674023 , -0.238180706708438, 0.936153687819963 , -0.171319924488592, -0.121422999279714, -0.880174040835334, 0.305666963270103 , 0.531290142976848 , 1.04949845108251 , -0.738284610147106, -1.00322592069791 , -0.253766266106547, -0.582908055146641, -0.193361969300874, 0.819533992902487 , -0.266093462822955, -0.900625586272885, 0.84010803913752 , 0.335122869896719 , -1.21675592982701 , -0.677370697412229, 0.454976837129439 , 0.0316801796947894, 0.420490637587816 | 0.1574992 |
| 17 | 20 | 0.5 | 0.0 | 0.5 | control , control , control , control , control , control , control , control , control , control , control , control , control , control , control , control , control , control , control , control , intervention , intervention , intervention , intervention , intervention , intervention , intervention , intervention , intervention , intervention , intervention , intervention , intervention , intervention , intervention , intervention , intervention , intervention , intervention , intervention , -0.460037143471873 , -0.177669769559927 , -0.539911163572341 , -0.212195759778235 , -0.321651924549121 , -0.576704853239825 , -0.178902264677009 , 0.349629752963886 , -0.0468741466692357, -0.109228240472673 , -0.293378589970267 , -0.109113559512115 , 0.408229127245663 , -0.201415301117827 , -0.153423564410966 , 0.253729898951316 , 0.66599102414381 , 0.30959089750039 , -0.588931917995948 , -0.626853553593328 , 0.490149904848144 , 0.402154140449236 , 0.0227227337927522 , -0.0720175223967334, 0.57471228557796 , 0.21409416562422 , 0.414106056178453 , 0.786353097047185 , 0.0487486005889801 , 0.802072495588872 , -0.0143623920623225, 0.19528489959422 , 0.811153490543656 , 0.951902708754843 , 0.541481307783113 , 0.97275210581088 , 1.15130313348635 , 1.16246431413189 , 0.595713903819902 , 0.378006529375974 | 0.0000027 |
| 17 | 20 | 0.5 | 0.0 | 1.0 | control , control , control , control , control , control , control , control , control , control , control , control , control , control , control , control , control , control , control , control , intervention , intervention , intervention , intervention , intervention , intervention , intervention , intervention , intervention , intervention , intervention , intervention , intervention , intervention , intervention , intervention , intervention , intervention , intervention , intervention , 1.62280120023867 , -0.0703041928195153 , 0.800015482166791 , -0.80949090259289 , -0.129398068254556 , -0.820233214427366 , 0.594003037056409 , -0.544206681760035 , 1.06878636029759 , -2.01166817059077 , 1.07745313878425 , 0.872426160151803 , -1.20852179438314 , -0.329651207361352 , -1.10037335188298 , 0.694063593596169 , -1.11386427970426 , -1.64169297574853 , -1.6065579404385 , 1.97688167963121 , 1.28493235555879 , 0.371158028450351 , -1.56266397154081 , -0.379520135376733 , 2.07349993211793 , 2.07505980640001 , 0.841753042955781 , 0.000275006075925843, 1.73939567771659 , 1.32256172887718 , 0.674861203671189 , 2.01732728475737 , -0.515548296357878 , -0.361883970470696 , 0.655744679606433 , 1.05983010411955 , 1.00656221828663 , 0.103810529071755 , 0.229572768669156 , -1.05970827257769 | 0.0477729 |
| 17 | 20 | 0.5 | 0.1 | 0.5 | control , control , control , control , control , control , control , control , control , control , control , control , control , control , control , control , control , control , control , control , intervention , intervention , intervention , intervention , intervention , intervention , intervention , intervention , intervention , intervention , intervention , intervention , intervention , intervention , intervention , intervention , intervention , intervention , intervention , intervention , 0.155239772017714 , 0.609742677038854 , 0.353594607713496 , 0.216652723650262 , 0.0380548499858825 , 0.490500166429124 , 0.465885950408482 , -0.344676248049506 , 0.520371709758591 , 0.00985055435232059 , -0.593849363564363 , -0.885376758436242 , -0.110984789901503 , 0.643203392178807 , 0.662689506169163 , -0.021994491193085 , -0.747110168906658 , -0.00824008173127971, -0.747427244532825 , 0.0474821241099721 , 0.269894277553957 , 1.07336076120911 , 0.615871038664312 , -0.220962261024968 , 0.688278471853105 , 0.499024308084541 , 0.899916550061348 , 1.07192598826959 , 1.26805563791119 , 1.18312130298549 , 0.174286327704162 , 0.190230939861526 , 0.771934827046487 , 0.736731611886896 , 1.02162157511454 , 0.63669241805333 , 0.131472903887927 , 0.0888383089729748 , 0.0333582186064694 , 1.41288844258877 | 0.0003724 |
| 17 | 20 | 0.5 | 0.1 | 1.0 | control , control , control , control , control , control , control , control , control , control , control , control , control , control , control , control , control , control , control , control , intervention , intervention , intervention , intervention , intervention , intervention , intervention , intervention , intervention , intervention , intervention , intervention , intervention , intervention , intervention , intervention , intervention , intervention , intervention , intervention , 1.37579048268994 , 0.177835611492416 , 0.145854514506357 , 0.426046014528104 , -0.273360828176036 , -0.870722445048016 , -0.536082885646379 , 0.555913254041154 , -2.2959358764342 , -0.0530609964760788, -1.62677957256619 , 0.0901477647669589 , -0.797147244015479 , -0.10971190869832 , -0.800737975399399 , -0.347599222914129 , -0.0906352409912002, -0.860325279237134 , 1.35417829868064 , -0.0671472661162019, 0.769470692401348 , 0.762499872140888 , 0.595402101309808 , -0.185966156376079 , -0.653225625125771 , -1.23105383829772 , -1.19726310730914 , 0.324307325301536 , 2.10030457298909 , 1.09752680217855 , -0.655253240220823 , 0.861688505166322 , 0.43906145860218 , 1.73514299317999 , -0.961593655661294 , 0.318906181813008 , -1.83389871938783 , -1.22422037069373 , 0.14342045549152 , 1.31062079707742 | 0.2596163 |
| 17 | 50 | 0.0 | 0.0 | 0.5 | control , control , control , control , control , control , control , control , control , control , control , control , control , control , control , control , control , control , control , control , control , control , control , control , control , control , control , control , control , control , control , control , control , control , control , control , control , control , control , control , control , control , control , control , control , control , control , control , control , control , intervention , intervention , intervention , intervention , intervention , intervention , intervention , intervention , intervention , intervention , intervention , intervention , intervention , intervention , intervention , intervention , intervention , intervention , intervention , intervention , intervention , intervention , intervention , intervention , intervention , intervention , intervention , intervention , intervention , intervention , intervention , intervention , intervention , intervention , intervention , intervention , intervention , intervention , intervention , intervention , intervention , intervention , intervention , intervention , intervention , intervention , intervention , intervention , intervention , intervention , 0.152144546650694 , -0.462377659070415 , -0.144248420990983 , 0.68883974902394 , -0.168263798095053 , 0.0438570257414482 , 1.26311860955928 , -0.0627243823576007, 0.264229575713961 , -0.0279130475625871, 0.154862662933632 , 0.571123520061498 , 0.423347665869848 , 0.36457188727997 , 0.049297050427037 , -0.195939774574548 , -0.838557028091806 , -0.401001426826688 , 0.378228441337663 , -0.713791588863323 , 0.693595341979798 , -0.303469610723158 , -0.832476610818823 , -0.655419866309197 , -0.210239127453853 , 0.536681649151596 , -0.560258649146709 , 0.21944233801531 , -0.0487730945448319, 1.18766119757493 , -0.45727171155275 , 0.0722055335894717 , 1.00595739821223 , -0.036037156781744 , 0.650260759208637 , -0.154161861523206 , -0.3663030869813 , -0.330127574417724 , 0.828573726395623 , -0.50498971299316 , 1.03482004135577 , -1.1741862379512 , 0.230500631114924 , -0.0510140078257824, 0.543571662471531 , 0.480442299440282 , 0.148522780312523 , 0.224266468908584 , 0.419381260428339 , -0.934701053011149 , 0.110394983869104 , 0.0302092046921304 , 0.111509719422005 , -0.0948103433719545, -0.673259443523062 , 0.451491377841762 , 0.608948234299347 , -0.465053404435248 , 0.128657755583349 , -0.149840378193698 , -0.538632225019131 , -0.0457052871899685, 0.0997740323944966 , -0.321728662887252 , 0.583558676217558 , -0.810700971185147 , -0.95252382050523 , 0.417988357906161 , 0.251025030341907 , -0.828751659392264 , 0.367145317532622 , -0.489531564094716 , -0.461446799692654 , -0.0931190359708504, 0.241318162909968 , -0.944803629990333 , -0.571730173054607 , -0.256780773072274 , 0.354333035421209 , 0.78706746310566 , -1.22652111963106 , -1.04041977022596 , -0.756064727570901 , -0.0401251711188726, -0.535584739193948 , 0.20674543790304 , -0.610116993426172 , 0.318759878978798 , 0.401201800624884 , -0.394483490660911 , -0.519811438779711 , 0.108270365820053 , -0.299966183160979 , 0.321793753155362 , 0.0361227541749989 , 0.634832619607888 , 0.393109544184715 , -0.543345584535572 , -0.0444937765779405, 0.269683797706459 | 0.0762153 |
| 17 | 50 | 0.0 | 0.0 | 1.0 | control , control , control , control , control , control , control , control , control , control , control , control , control , control , control , control , control , control , control , control , control , control , control , control , control , control , control , control , control , control , control , control , control , control , control , control , control , control , control , control , control , control , control , control , control , control , control , control , control , control , intervention , intervention , intervention , intervention , intervention , intervention , intervention , intervention , intervention , intervention , intervention , intervention , intervention , intervention , intervention , intervention , intervention , intervention , intervention , intervention , intervention , intervention , intervention , intervention , intervention , intervention , intervention , intervention , intervention , intervention , intervention , intervention , intervention , intervention , intervention , intervention , intervention , intervention , intervention , intervention , intervention , intervention , intervention , intervention , intervention , intervention , intervention , intervention , intervention , intervention , 0.00502135821413978, 0.638181429218248 , 0.149436689924665 , -2.09644426854673 , 1.09387545494836 , 1.07352361208823 , 1.19844806163345 , -0.0964899475296567, 1.99956885744438 , -0.848666270024328 , -0.558396865053509 , 0.707305136223127 , -0.395411440617306 , 1.23508090303746 , -1.61537756890874 , 0.197465370762909 , -0.28489947846742 , -0.0219142209708838, -2.20071608286686 , -0.319984461412972 , -0.505074648798178 , 0.751628129300197 , -0.705847877331821 , -0.611994120606456 , -1.21311054248373 , -0.0329897479137703, -1.32056749508 , 1.12602694024927 , -2.38871401736965 , -0.126497730154401 , -0.015703834742618 , 0.816987088121261 , 0.564886473762131 , -0.334649129702189 , -0.0320598567215134, 1.45983805518911 , -1.36720584661206 , -0.0769209600586517, -0.628027347386681 , 1.17883491791867 , -1.84796047211288 , -1.62308483827283 , 0.449568250111267 , 1.12815109187945 , 0.577658306669607 , 1.52276049164466 , 0.553833009062037 , -0.139112023258609 , -0.485591850082257 , 0.19001332755127 , -0.506358297595256 , -0.941459189534154 , 0.304201585402111 , -0.38138660752022 , 1.43615581344626 , -0.701423902633733 , 0.251960204425263 , -1.85878115513407 , 0.195617492269434 , -1.25351050823853 , -0.847309425185485 , 0.513508565567569 , 0.507060864795365 , 1.66402235446912 , -0.281352400007833 , 0.0805927325711927 , -2.03603286696782 , -1.62750744318474 , -1.70895445777894 , 0.141363152082287 , -2.84597990708232 , -0.638718626932112 , -1.63238160819063 , -0.947783883858333 , -1.35246229429083 , -1.00832186347834 , -0.280445476202845 , 0.816871924899735 , 0.504810375048464 , 0.399389668863134 , -0.457616107796908 , -0.119236039120134 , -1.44257156247206 , 0.416132787858885 , 1.31192110195852 , 0.0816573230334241 , 1.03737896243816 , -0.762762505254982 , 0.0188742303720062 , 0.750426964229403 , -0.407434171130913 , -0.628054896050499 , -1.17096668823072 , 2.84580025232118 , 0.672656245861828 , -0.449421102144189 , 0.075729258640871 , 0.00348852813227816, 1.45105682554588 , 3.15012142511322 | 0.6927140 |
| 17 | 50 | 0.0 | 0.1 | 0.5 | control , control , control , control , control , control , control , control , control , control , control , control , control , control , control , control , control , control , control , control , control , control , control , control , control , control , control , control , control , control , control , control , control , control , control , control , control , control , control , control , control , control , control , control , control , control , control , control , control , control , intervention , intervention , intervention , intervention , intervention , intervention , intervention , intervention , intervention , intervention , intervention , intervention , intervention , intervention , intervention , intervention , intervention , intervention , intervention , intervention , intervention , intervention , intervention , intervention , intervention , intervention , intervention , intervention , intervention , intervention , intervention , intervention , intervention , intervention , intervention , intervention , intervention , intervention , intervention , intervention , intervention , intervention , intervention , intervention , intervention , intervention , intervention , intervention , intervention , intervention , -0.0501277379764974 , -0.207879924514178 , -0.391462257869666 , -0.714091828718012 , 0.496806054207605 , 0.813239045221044 , 0.427834014819048 , -0.882505542601866 , -0.21555449046149 , -0.203201368450051 , 0.416069156931058 , -0.0152888175736673 , 0.808549723273577 , -0.152283644997678 , 0.325928244420022 , 0.621976016604774 , 0.561669792490025 , 0.252151870536951 , 0.321840661736466 , -0.469121687611884 , -0.409976592292999 , 0.485167704185095 , 0.0166888779399322 , 0.0638097916891605 , -0.173310492398912 , -0.216692445978911 , 0.099456269297485 , 0.332743545850871 , -0.179458838375337 , -0.923782975353968 , -0.190180213991063 , 0.44688778862846 , 0.569884480498615 , 0.125570025120559 , 0.182442658438821 , -0.236207762584267 , -0.576763180959197 , 0.924973470902979 , -0.21536397373105 , 0.429542804548421 , 0.687530262555396 , -0.334298289357375 , -0.06683362109727 , -0.0667180946253153 , 0.343003084127822 , 0.0897361978773586 , 0.610186462789887 , -0.541992228041815 , 0.257750903116596 , 0.334997620897833 , -0.00327802939901981, -0.327645681241345 , 0.195875327960231 , -0.628253718383326 , 0.370284498342728 , 0.332358986967754 , 0.637696723145047 , 0.56685335569281 , -0.19824018709787 , -0.0695550483841257 , 0.311188161279556 , 0.74750562349287 , -0.415611685426812 , 0.295577129590688 , 0.453802545877322 , 0.565944366366857 , -0.21172233324072 , 1.22116786733176 , 0.180816633702755 , -0.113583855585343 , 0.324213042940676 , 0.391959397145666 , 0.740428834276779 , -0.409989440780984 , 0.510809752840835 , -0.26461241498314 , -0.582046274264941 , -0.00172746962804927, -0.226595922417402 , 0.344697507158988 , -0.328299789251226 , 0.42767845759137 , 0.416426202634643 , -0.716769819038475 , -0.300467262421935 , 0.344361261269258 , -0.443795614786328 , 0.0957791819901903 , -0.30614451478491 , 0.284291487034354 , -0.412967849313501 , -0.365945973209952 , -0.797489158261692 , 0.263021418295087 , -1.13943813161604 , 0.639114727514617 , -0.158805213911375 , -0.591668672759691 , -0.190982876132162 , 0.69071665010139 | 0.7524839 |
| 17 | 50 | 0.0 | 0.1 | 1.0 | control , control , control , control , control , control , control , control , control , control , control , control , control , control , control , control , control , control , control , control , control , control , control , control , control , control , control , control , control , control , control , control , control , control , control , control , control , control , control , control , control , control , control , control , control , control , control , control , control , control , intervention , intervention , intervention , intervention , intervention , intervention , intervention , intervention , intervention , intervention , intervention , intervention , intervention , intervention , intervention , intervention , intervention , intervention , intervention , intervention , intervention , intervention , intervention , intervention , intervention , intervention , intervention , intervention , intervention , intervention , intervention , intervention , intervention , intervention , intervention , intervention , intervention , intervention , intervention , intervention , intervention , intervention , intervention , intervention , intervention , intervention , intervention , intervention , intervention , intervention , -0.0761619454992802, 0.651983438481444 , -0.729062407287363 , -0.649783569037232 , 0.598844395728196 , 1.3497903871579 , -0.718335165083624 , 0.127235762589888 , 0.407919538842824 , -2.14194302146085 , -0.549892737154486 , -1.18156389591074 , -0.158368950252243 , -0.846708899832779 , 0.959409391119368 , 0.854448767717358 , -0.105703289034794 , 1.55790463473716 , 1.09172241062936 , -2.12064234638882 , -0.668860140974142 , 0.918505178668662 , 0.885666603130258 , 0.141074792227612 , -1.77491760405933 , 1.81927767981957 , 1.15035588436332 , 2.17672040530586 , 0.0966625317571264 , -0.166957145749845 , 1.90879178373522 , 0.258728703778419 , -0.0172155432982336, 0.406421035681377 , 1.13143864847938 , -0.0176875495379666, -0.87120288431649 , 0.967263684140269 , 2.3758249266679 , -0.412054195373282 , -0.55021834628426 , 0.880650650272256 , -0.235071465264012 , -0.0243971784804007, 0.206184311690549 , 1.81687012188654 , 1.41350172802981 , 1.78083088538781 , -1.529215747946 , -0.271589045743432 , -0.382990894334288 , -0.554993378212343 , -2.62866000197317 , 0.782944656120361 , -1.38162277143323 , 2.37866108929468 , -0.712349614036576 , -0.40704534112274 , -0.0631247923820002, 0.672192485093879 , -0.841706267072476 , -0.23387916892553 , -0.318544920043912 , 2.07959438375931 , 0.292298556042892 , -0.1990927483607 , -0.190662420508915 , 1.69080442700731 , 1.5420758043633 , 0.887728303883343 , 0.416668348632577 , -0.117219567916495 , -0.3763105130283 , -1.15258529334134 , 0.934340166952554 , -0.317165485453077 , -0.250621621590848 , 0.360723570265419 , -0.859668278474585 , -0.56708785997821 , 1.58581160390562 , -1.01579417821783 , 1.5233969979096 , -0.60031203292355 , 1.23748753951687 , -0.188795781076456 , -0.428903142985368 , -0.8278646066347 , 0.145814250928 , 0.403647534347737 , -0.329539839555751 , 2.19464748191379 , 0.541770278459203 , -1.13314262385142 , -0.155633067447882 , 0.194917198696278 , 2.37172565195214 , -0.151967060500843 , 0.377015050376894 , 0.770518257985622 | 0.6304622 |
| 17 | 50 | 0.5 | 0.0 | 0.5 | control , control , control , control , control , control , control , control , control , control , control , control , control , control , control , control , control , control , control , control , control , control , control , control , control , control , control , control , control , control , control , control , control , control , control , control , control , control , control , control , control , control , control , control , control , control , control , control , control , control , intervention , intervention , intervention , intervention , intervention , intervention , intervention , intervention , intervention , intervention , intervention , intervention , intervention , intervention , intervention , intervention , intervention , intervention , intervention , intervention , intervention , intervention , intervention , intervention , intervention , intervention , intervention , intervention , intervention , intervention , intervention , intervention , intervention , intervention , intervention , intervention , intervention , intervention , intervention , intervention , intervention , intervention , intervention , intervention , intervention , intervention , intervention , intervention , intervention , intervention , 0.553760837539632 , 0.665173131671898 , 0.329539444705775 , -0.512405644831791 , -0.509140451958266 , 0.996600968711397 , -0.878355922733715 , -0.774034327267972 , 0.613653111497186 , 0.309667124732374 , -0.41395630840001 , 0.291999376523903 , 0.167617140051991 , -0.664783021442219 , -0.640066371518688 , 0.287059970458162 , 0.791808794853653 , -0.50571608004479 , 0.243685163872386 , 0.0710520932981435 , -0.316264366766916 , -0.790308672013649 , 0.331265491190245 , 0.0254286425630477 , 0.399965953441167 , -0.0462332862594561, -0.59924610500701 , 0.326196121242134 , 0.136566870341626 , 0.0310978300956294 , -0.18482689062221 , 0.059191938514815 , 0.531706869734138 , -0.217451094572992 , -0.665574974125891 , -0.487057336893872 , 0.132412393558031 , -0.340555772339929 , 0.0898185635718263 , 0.179156294009418 , 0.553043319990062 , 0.0704579749496526 , -0.658017592468496 , 0.177000836536419 , -0.500918234368644 , -0.0116627420978854, -0.778240250900982 , 0.116979462255349 , 0.268643831649706 , -0.249378119649677 , 0.470784319848856 , 0.399546020798231 , 0.807255839330333 , 0.558563828387288 , 0.420070282539484 , 0.493849944145278 , 0.185914341106911 , 0.931059101975822 , 0.107840926478365 , 0.55919214792262 , 0.729319216383465 , 1.03744987983927 , 0.515284551080422 , 0.649694153011361 , -0.3765471730874 , 0.0649620327165302 , 1.43484801641205 , 0.931700836583164 , 0.58806519395861 , 1.23320200569727 , 0.425332567169687 , 1.83024926973868 , 1.13676902646595 , -0.31354027047332 , 0.868591447852179 , 0.42968529780747 , 0.600379280074252 , 0.0572890179942162 , 0.272297614028791 , 0.505430057485286 , 0.746138766401211 , 0.755087546634994 , 0.183250125756103 , 0.800215165973379 , 0.385975012095205 , 0.841328584530253 , 0.491754938828484 , 0.381331118068622 , 0.895339569337673 , 0.101809728071917 , 1.03756000938306 , -0.395605669007016 , 0.453103633989495 , 0.468201430340781 , 0.482251568394904 , 0.54535013774263 , 0.242781395104683 , 1.07526946185151 , 0.259168802308748 , 1.6250717395082 | 0.0000000 |
| 17 | 50 | 0.5 | 0.0 | 1.0 | control , control , control , control , control , control , control , control , control , control , control , control , control , control , control , control , control , control , control , control , control , control , control , control , control , control , control , control , control , control , control , control , control , control , control , control , control , control , control , control , control , control , control , control , control , control , control , control , control , control , intervention , intervention , intervention , intervention , intervention , intervention , intervention , intervention , intervention , intervention , intervention , intervention , intervention , intervention , intervention , intervention , intervention , intervention , intervention , intervention , intervention , intervention , intervention , intervention , intervention , intervention , intervention , intervention , intervention , intervention , intervention , intervention , intervention , intervention , intervention , intervention , intervention , intervention , intervention , intervention , intervention , intervention , intervention , intervention , intervention , intervention , intervention , intervention , intervention , intervention , 0.347818917648865 , 0.864986934921573 , -1.68379629811636 , -2.01327021370492 , 0.830403147794785 , 0.0876260460596669 , -1.65725234507699 , -0.269500374591978 , -0.248015584404532 , -0.219723747348182 , -1.75276230674516 , -1.393382775032 , -0.472148967632529 , -0.103718112809156 , -0.391538347267521 , 1.04030836394652 , 0.345392867286 , 0.322520407876248 , -0.152639098431902 , 1.6820677411378 , -1.13658233288483 , -0.20101926986152 , -1.33370448743096 , -0.0410768016926981, 0.882789187592245 , -0.0757002247139114, 0.789835473314773 , -0.195334038427017 , -0.938295231027225 , -0.236570210786927 , -0.105756798468175 , -0.468662888183006 , 0.562787875031997 , 0.613562516263786 , 1.68589291605657 , -0.905166615248652 , -0.910028183320457 , -0.448791118586314 , 1.442164905321 , 0.8209779543347 , -0.0337335477862385, 0.63826711418064 , -0.284425363411357 , -1.24707025869397 , -0.373775279959598 , 0.64838507566233 , -1.74108063517267 , 0.483904138959453 , 0.824040594976942 , -0.091726652309756 , 2.1396086058195 , 1.13646076281286 , 0.439254960492672 , 1.29052591983208 , 0.993891979719001 , 1.130981661682 , 0.498226868978102 , 0.665724402467366 , -0.0430011689896106, 0.744174590010655 , 1.29465272893376 , -0.0514919845208609, 2.18046586271026 , 1.40836088250758 , -1.12557501388963 , 0.607425768724304 , 0.170095061710994 , 0.990564927692871 , -0.446712815851228 , 0.679399830666165 , 1.3359240900077 , 0.498817913750759 , -0.257015511920331 , 0.818907064026529 , 0.417481493941898 , 0.504438944443375 , 2.00620827627733 , 1.10910241363001 , -1.3512646572644 , -0.288040212529139 , 0.382072769154206 , 2.28992648507142 , 0.920890676434474 , -1.97441599280208 , 1.8808835156914 , 0.590696197457986 , -0.286734529117998 , -0.279812011666718 , -0.473270574384598 , -0.384833776769 , 1.23980801395894 , -0.332301074744799 , -2.59224117225197 , 0.46613047792848 , -0.110987516978361 , 1.35141309026225 , 0.220520484673118 , 0.56944924461662 , -0.474685042391398 , 0.0477575346193512 | 0.0032987 |
| 17 | 50 | 0.5 | 0.1 | 0.5 | control , control , control , control , control , control , control , control , control , control , control , control , control , control , control , control , control , control , control , control , control , control , control , control , control , control , control , control , control , control , control , control , control , control , control , control , control , control , control , control , control , control , control , control , control , control , control , control , control , control , intervention , intervention , intervention , intervention , intervention , intervention , intervention , intervention , intervention , intervention , intervention , intervention , intervention , intervention , intervention , intervention , intervention , intervention , intervention , intervention , intervention , intervention , intervention , intervention , intervention , intervention , intervention , intervention , intervention , intervention , intervention , intervention , intervention , intervention , intervention , intervention , intervention , intervention , intervention , intervention , intervention , intervention , intervention , intervention , intervention , intervention , intervention , intervention , intervention , intervention , -0.361136023693105 , -0.333226793365168 , -0.361762182966836 , 0.205435883702306 , -0.0842003704578427, 0.158009644747068 , 0.498070413472381 , -0.0760005296693209, -0.229223069766968 , -0.727496181910165 , 0.466712834337375 , 0.416448038871231 , 0.257403248853811 , 1.12513659280028 , -0.0182449103523765, 0.274601029814277 , 0.648515786199361 , 0.126542895606125 , -0.0632089901886661, -0.503030961297177 , 0.633170766432271 , -0.366881769142135 , 0.0488083718781461 , -0.848397937946142 , 0.604792020359022 , -0.319162821766999 , 0.411660939013114 , 0.191472454921712 , -0.417892818883984 , -0.288260942526496 , -0.71262665431518 , 0.379027563013836 , -0.207174123947923 , -0.0044011004422615, -0.911328375361574 , 0.42318597390025 , 0.266286346754511 , 0.46204905055927 , -0.154448909658687 , 0.786548166953831 , -0.771843590297455 , -0.258808851464494 , 0.849915816729351 , 0.367332445819808 , 0.343591799327053 , -0.0725668719211971, 0.901510076452081 , -0.263492420551404 , 0.0753336653123586 , 0.0791790687631676 , 0.629070136570432 , 0.868983948901756 , 0.0971160542493201 , 0.983316259739957 , 0.0936529678350592 , 0.473373136039932 , 0.937991710105075 , 0.239687111146372 , -0.276106430103888 , -0.324859436656939 , -1.06938537508454 , 0.32027242611123 , 0.282060975186042 , 1.67899155857184 , 0.694738296303897 , 0.0487794150955554 , 0.559869952814016 , 0.420540037029094 , 1.32859227100832 , 0.939581316874849 , 1.60481304903901 , 0.109951644488709 , -0.251082337959283 , 1.39451756689879 , 1.19702389537998 , 1.24129417078156 , 0.581000954914119 , 0.240529877917494 , 1.33160231302032 , 0.689967647947867 , 1.16636689613416 , 0.81228932175463 , 0.820100616517047 , 0.485231012582013 , 0.776007544156202 , 0.0128234356702853 , -0.0602499444797352, 0.515863907434171 , 0.21244519412716 , 1.19812052649139 , 0.680010007888213 , 0.705093855985579 , 0.511093988670841 , 0.979293476967657 , 1.15576000324722 , 0.529926797821288 , 0.85758607254586 , -0.416592600506075 , 0.611386284434551 , 0.407273173481951 | 0.0000016 |
| 17 | 50 | 0.5 | 0.1 | 1.0 | control , control , control , control , control , control , control , control , control , control , control , control , control , control , control , control , control , control , control , control , control , control , control , control , control , control , control , control , control , control , control , control , control , control , control , control , control , control , control , control , control , control , control , control , control , control , control , control , control , control , intervention , intervention , intervention , intervention , intervention , intervention , intervention , intervention , intervention , intervention , intervention , intervention , intervention , intervention , intervention , intervention , intervention , intervention , intervention , intervention , intervention , intervention , intervention , intervention , intervention , intervention , intervention , intervention , intervention , intervention , intervention , intervention , intervention , intervention , intervention , intervention , intervention , intervention , intervention , intervention , intervention , intervention , intervention , intervention , intervention , intervention , intervention , intervention , intervention , intervention , 0.708491798162948 , 0.0797458580493037 , 0.950154015869849 , 0.0188209563231867 , 1.15803670685064 , -1.43484085404801 , -0.0709837156985799 , -1.28069012810251 , 1.50260233850953 , -0.154541013570919 , 0.592778711212547 , 0.202330426091982 , -0.836584575988508 , -0.39791017773029 , -0.928921115195544 , 1.6985359310528 , 0.167126656923726 , 0.867182587685176 , 0.0086874312533468 , -2.02862132123489 , -1.32062228925181 , 0.621436622226752 , 0.661075379405689 , 1.60207529216639 , -1.15503153348716 , -0.405831685350664 , 1.44723802282699 , -0.791888468809625 , 1.06091948312676 , 0.353524270937461 , 0.862737377980903 , 2.32557272824325 , 0.630085583400098 , -0.620066322213736 , -0.826118681516245 , -1.0576326366028 , 0.233949269605045 , 0.251765581861434 , -0.637743655104453 , 1.48947831629365 , -1.31135161818176 , 0.771673741021686 , 1.47437377443051 , -0.444727866796016 , -1.33024515354282 , 0.879301246720707 , 0.210133587887053 , -0.0379344420204324 , 1.01217710267303 , 1.33501360695024 , -0.276768134792226 , -0.720391451919436 , 1.87810791712716 , -0.0861248424122764 , 1.16291152078402 , 0.680252165762846 , 0.322510570891416 , 0.515041017671613 , 1.35064861352532 , 0.721740106838679 , -0.000736672459250576, -0.299913742147196 , 1.74362867339583 , 1.09218599602994 , -0.35605465441614 , -0.00296350177686988 , -0.313908331632355 , -0.672943437270641 , 1.08198003766493 , -0.375484218669184 , -0.0320416623437976 , 1.38708424731632 , 2.67326815378072 , -0.806963063298213 , 0.208404722601782 , -0.309951150125252 , 0.837321554149508 , 1.01622593945672 , 0.0100933430471188 , 0.9411363805468 , 0.696602480735098 , 0.026165245307865 , 0.971046517820659 , 1.17901066754093 , -2.55485114003363 , 1.26359397570777 , 0.902891523389573 , 0.412741894658702 , 1.0455302231145 , 1.53104557703675 , 0.223467439643932 , 0.464416689080286 , 0.93263052814769 , 0.76163324532351 , 1.79866907305835 , 0.733070711504296 , 0.648183274719467 , 1.12081103829652 , -0.628582559365942 , 0.0696912900726493 | 0.0772839 |
| 18 | 20 | 0.0 | 0.0 | 0.5 | control , control , control , control , control , control , control , control , control , control , control , control , control , control , control , control , control , control , control , control , intervention , intervention , intervention , intervention , intervention , intervention , intervention , intervention , intervention , intervention , intervention , intervention , intervention , intervention , intervention , intervention , intervention , intervention , intervention , intervention , 1.15410884290997 , -0.00327016469865959, -1.40281819541859 , -0.043470885545166 , 0.476053476709739 , 0.472762999278312 , 1.4143000110341 , 0.120891763870796 , -0.333619397425159 , 0.173566319770912 , 0.186935052215467 , 0.225246772777051 , -0.715972778504745 , -0.0560093796648007 , -0.0316299773726217 , 0.0695149078337423 , 0.696038556286686 , -0.075382773659667 , -0.265984193845882 , 0.193480693386643 , 0.17324184752229 , -0.121781357929211 , 0.57202751310536 , -0.370329280946363 , -0.213942306323258 , 0.0627793117658973 , -0.0657198072921224 , -0.258279148456283 , 1.23090995904441 , 0.623011627359404 , -0.336264910280619 , 0.581712687150265 , 0.262595978556742 , 0.906779660960489 , 0.171018192612249 , -0.222048317216066 , 0.104126439614188 , -0.0789161986296926 , -0.543861788673857 , -1.19063002585672 | 0.7906420 |
| 18 | 20 | 0.0 | 0.0 | 1.0 | control , control , control , control , control , control , control , control , control , control , control , control , control , control , control , control , control , control , control , control , intervention , intervention , intervention , intervention , intervention , intervention , intervention , intervention , intervention , intervention , intervention , intervention , intervention , intervention , intervention , intervention , intervention , intervention , intervention , intervention , -2.02063162344738 , 1.74911357112115 , 1.72304816682501 , 0.720720030004038 , 1.717947362206 , 0.380765359810298 , 0.507446043237591 , 0.179717671915423 , -0.5012286544672 , -0.467028098971934 , 0.439876713462636 , 0.57122059384449 , 0.124583228411463 , 1.36070005050471 , -1.60360904211093 , -0.918360121021371 , 2.84011808666281 , -0.900812895747394 , -0.285228885738172 , -0.806664924436084 , 2.14395339792428 , 1.40652344113293 , 1.09365642011733 , 1.01808118575875 , -1.08188423062488 , -0.299944302397374 , -0.885523359781188 , -0.45120280380463 , 0.422234087129587 , 0.502512027737538 , -0.256187904405043 , -0.343777480614141 , 0.0837493215987651 , -0.0799255065253127, 0.361156237366753 , -0.21938252706213 , -0.55663356856383 , 0.676642042252906 , -0.0998230875340646, -0.330049236794964 | 0.7963478 |
| 18 | 20 | 0.0 | 0.1 | 0.5 | control , control , control , control , control , control , control , control , control , control , control , control , control , control , control , control , control , control , control , control , intervention , intervention , intervention , intervention , intervention , intervention , intervention , intervention , intervention , intervention , intervention , intervention , intervention , intervention , intervention , intervention , intervention , intervention , intervention , intervention , 0.194398906754419 , -0.258327985319501 , -0.267511418337851 , 0.0976345363074463 , -0.280248992392622 , 0.205222216411079 , -0.469936211030101 , -0.644062092042078 , -0.888617366045487 , 0.39175898163208 , -0.866618988208361 , -0.12756999566016 , -0.0352459232304153, -0.504239812314314 , -0.011696536792538 , 0.539239305388212 , -0.226826217736111 , -0.178745564040779 , -0.133002115576092 , -0.302949792050673 , -0.426369700215011 , -0.108857470524846 , 0.135937521630378 , 0.34560396415887 , 0.0991270910956756 , -0.257859179912957 , 0.397246636239352 , 0.928121464551571 , 0.245307918379035 , 0.0766368641842709 , -0.0135003781384167, -0.334825598747511 , 0.350930226887319 , -0.0409792609667677, 0.358481850825975 , -1.08684363564156 , 0.563279229396891 , -0.87943075558384 , -1.26599917488063 , -1.33806619725714 | 0.6423434 |
| 18 | 20 | 0.0 | 0.1 | 1.0 | control , control , control , control , control , control , control , control , control , control , control , control , control , control , control , control , control , control , control , control , intervention , intervention , intervention , intervention , intervention , intervention , intervention , intervention , intervention , intervention , intervention , intervention , intervention , intervention , intervention , intervention , intervention , intervention , intervention , intervention , 2.17221417251519 , 0.283085308791596 , 0.906016200483827 , 1.29379627615983 , 0.956299386870234 , -0.458209767590824 , -2.12972335109164 , 0.78377956304286 , 0.00446779742149672, -0.291994730099066 , -0.427155326430311 , 1.55289734095317 , 0.713586788941202 , -0.197580564373637 , -0.806179781668445 , -0.355712103986139 , 0.436662137342833 , 0.705578405992729 , -0.965531113146256 , 0.783764692593959 , 1.20717181452382 , 0.641808391281854 , 1.24695103131316 , -0.493200491449295 , -0.97047981136864 , -0.931744223140042 , 1.02158033734131 , 1.31236891003715 , -0.136820911443921 , 0.173994804631395 , -0.0834214333693062, 0.325188724933386 , 0.0276702241284966 , 0.0105170545720124 , -0.544125100199524 , 0.952535675615774 , 2.45584207193522 , 0.146505156899832 , -2.08153021842813 , -0.0650276697080992 | 0.9065568 |
| 18 | 20 | 0.5 | 0.0 | 0.5 | control , control , control , control , control , control , control , control , control , control , control , control , control , control , control , control , control , control , control , control , intervention , intervention , intervention , intervention , intervention , intervention , intervention , intervention , intervention , intervention , intervention , intervention , intervention , intervention , intervention , intervention , intervention , intervention , intervention , intervention , 0.200485176827959 , -0.379974376780487 , 0.230458860369421 , -0.530552954073791 , -0.0166658638090321 , 0.384318896485419 , 0.491357465191844 , 0.303704773944725 , -0.260474008313548 , 0.0669287236182517 , 0.500127818059362 , 0.3011192570346 , 0.126668256182015 , -0.247436563795678 , -0.417172972382857 , -0.863263637408252 , -0.234964511004043 , -0.744967602351272 , -0.926594012468219 , -0.568253621652528 , 1.01584234835241 , 0.0516217188630318 , -0.000690971770388571, 1.11440252335785 , 0.156128747475352 , 0.529961535428826 , 0.0682609158006804 , 0.837727226501034 , 0.641734992945358 , 0.0932235124979566 , 0.811639881231125 , 1.10662755963095 , -0.744763397824353 , 0.0554377132170801 , 0.980649878408737 , -0.468309663990308 , 0.685571316364583 , 0.699877493840175 , 0.586620027503817 , 0.548613992788352 | 0.0006842 |
| 18 | 20 | 0.5 | 0.0 | 1.0 | control , control , control , control , control , control , control , control , control , control , control , control , control , control , control , control , control , control , control , control , intervention , intervention , intervention , intervention , intervention , intervention , intervention , intervention , intervention , intervention , intervention , intervention , intervention , intervention , intervention , intervention , intervention , intervention , intervention , intervention , -0.991314674120012 , -1.16870192199724 , -1.36630451773984 , 1.76521432770813 , 0.862986882272623 , 1.29330695516875 , -1.58167833071753 , -0.109863358606093 , -0.00257404718977244, 0.686616682453227 , -0.9722131482859 , -1.33569741230111 , -1.95703199110232 , -1.07598364811317 , 0.214727889232373 , 0.80784942372405 , 0.0274205630466776 , -1.16583926595018 , -0.519456356371082 , -0.0034073956304713 , 0.083724297909956 , 0.724200927761199 , 1.42528269303973 , 0.809331891908547 , 1.92339961236755 , 0.00493387257724404 , 1.06080670536805 , 0.29349982170321 , 1.5548138423867 , 1.30785779878061 , -0.56786371583666 , 2.23025246295032 , 0.385653891030587 , 0.342126501967758 , 1.86451607219949 , 0.263669381775414 , -0.260265676899466 , 0.0688189029886653 , -1.40657763088109 , 0.818045938677159 | 0.0031266 |
| 18 | 20 | 0.5 | 0.1 | 0.5 | control , control , control , control , control , control , control , control , control , control , control , control , control , control , control , control , control , control , control , control , intervention , intervention , intervention , intervention , intervention , intervention , intervention , intervention , intervention , intervention , intervention , intervention , intervention , intervention , intervention , intervention , intervention , intervention , intervention , intervention , -0.134493681514175 , -0.182698280606523 , 0.212662196855602 , -0.277297966212091 , 0.620023118611562 , 0.749337101192232 , -0.333569753973819 , 0.327412977700686 , 0.792229908077743 , -0.127443822908477 , 0.0849528976132284 , -0.644199604728158 , 0.109598551245607 , 0.129884628257172 , 0.473674117395654 , 0.67474175495429 , 1.0345667984602 , 1.15778920941995 , -0.769186382676831 , -0.587345095504721 , 0.921887837563803 , -0.0067867619266202, 0.117258432215912 , 0.83999981659332 , 0.827317108997028 , 0.184988358094975 , -0.0243061160861843, 0.301764938453523 , 1.65640829514598 , 0.384365609858586 , 0.43295290571522 , 0.291305988285376 , 1.36566743521901 , 0.969572335604325 , 0.869085613275184 , 0.425492860922159 , 0.268609080503404 , 0.827900315762256 , 0.316391718421024 , 0.237917527912828 | 0.0187792 |
| 18 | 20 | 0.5 | 0.1 | 1.0 | control , control , control , control , control , control , control , control , control , control , control , control , control , control , control , control , control , control , control , control , intervention , intervention , intervention , intervention , intervention , intervention , intervention , intervention , intervention , intervention , intervention , intervention , intervention , intervention , intervention , intervention , intervention , intervention , intervention , intervention , -0.504025636532817 , 0.486868771284473 , 1.09530608251212 , 0.0446991923406715 , 0.188233835436374 , 0.0664412477883965 , 0.702520936489107 , 0.110740870874715 , 0.630494427928548 , 1.69873894779423 , 0.0665291421379313 , -1.35151878501275 , -0.0809345213754148 , 1.33870973205533 , 0.664557561614309 , -0.920870153872325 , -0.650109701593932 , 0.88474676010325 , -0.669148425791236 , 0.474294303333934 , 1.57061502985142 , -1.36586374734704 , 0.695313298576671 , 3.86535797549112 , 0.50673753665697 , 0.625534937395996 , 1.20750953951324 , 1.45943259046059 , 0.000885962307133004, 1.58148558363361 , 0.803950278393937 , -0.478659919112234 , 0.677425957293265 , -1.15732863695778 , 0.668287191476119 , 0.757993918365242 , 0.629950301756788 , -0.571968699557787 , 2.73753839218519 , -0.748066371319473 | 0.1715047 |
| 18 | 50 | 0.0 | 0.0 | 0.5 | control , control , control , control , control , control , control , control , control , control , control , control , control , control , control , control , control , control , control , control , control , control , control , control , control , control , control , control , control , control , control , control , control , control , control , control , control , control , control , control , control , control , control , control , control , control , control , control , control , control , intervention , intervention , intervention , intervention , intervention , intervention , intervention , intervention , intervention , intervention , intervention , intervention , intervention , intervention , intervention , intervention , intervention , intervention , intervention , intervention , intervention , intervention , intervention , intervention , intervention , intervention , intervention , intervention , intervention , intervention , intervention , intervention , intervention , intervention , intervention , intervention , intervention , intervention , intervention , intervention , intervention , intervention , intervention , intervention , intervention , intervention , intervention , intervention , intervention , intervention , 0.119811110161483 , 0.0350766684792323 , -0.0368569498594401, 0.633762898263535 , -0.602935727605977 , -0.0498394039186211, -0.613988400706656 , 0.0374231576508004 , -0.112576777754312 , 0.188372217512765 , -0.155233958414604 , 0.145761068710469 , 0.55817084680764 , -0.27414186319795 , 0.228382698339398 , -0.996233226247589 , 0.53995117995922 , -0.0433541712070703, 0.494298038854758 , 0.0137093135911319 , -1.15388827693925 , 0.362786598603618 , 0.245531211080439 , 0.50603774684557 , -0.18218548749324 , -0.726547830065346 , 0.21704393341226 , -0.357072887614478 , 0.30528396257699 , 0.332496084966077 , -0.0685020690158181, -0.46566079338243 , -0.431442167455794 , -0.720812300424805 , -0.621954258186578 , -0.384784272678917 , -0.31997966307019 , 0.134923967063936 , 0.988594197621456 , 0.49471320405417 , -0.333331150423297 , -0.111020325253797 , 0.180184948066545 , 0.250029493538519 , -0.359159037723483 , 0.403011294928054 , 0.0539026312187507 , 0.0155733799039382 , 1.30126047811887 , -0.284028042869191 , 0.0540960270102638 , 0.00929731618930619, -0.550283225278724 , -0.505425606404508 , 0.654444368500671 , 0.0624132053615902 , -0.151938537319165 , 0.344402987079936 , -0.0347604060130427, 0.0494623186467905 , -0.348695586275696 , -0.1856420991606 , 0.452641809932421 , -0.576581153027484 , 0.0622247395324896 , -0.173367952093508 , 0.958877546513679 , 0.124784749333052 , 1.1353906305887 , -0.404649867343178 , 0.887942334098265 , -0.238497026329094 , -0.667531051221468 , -0.811826052654779 , 0.00138081250079615, 0.651742890655911 , 0.178783809192595 , -0.0712867574394296, -0.287654419696449 , 0.233605952832208 , 0.55581862370984 , -0.248500729847664 , 0.0907273949077623 , -0.234720367139947 , 0.557444970257268 , -0.214311067160798 , -0.173517236825534 , 0.571699540924129 , -0.104242237544291 , -0.326343325445815 , 0.419377530891726 , 0.690275796815849 , -0.503085734792845 , 0.288480688171553 , -0.33021208877502 , 0.27248415585396 , -0.955248553939216 , 0.232203521830273 , 0.10092142172786 , -0.128939659045254 | 0.6631476 |
| 18 | 50 | 0.0 | 0.0 | 1.0 | control , control , control , control , control , control , control , control , control , control , control , control , control , control , control , control , control , control , control , control , control , control , control , control , control , control , control , control , control , control , control , control , control , control , control , control , control , control , control , control , control , control , control , control , control , control , control , control , control , control , intervention , intervention , intervention , intervention , intervention , intervention , intervention , intervention , intervention , intervention , intervention , intervention , intervention , intervention , intervention , intervention , intervention , intervention , intervention , intervention , intervention , intervention , intervention , intervention , intervention , intervention , intervention , intervention , intervention , intervention , intervention , intervention , intervention , intervention , intervention , intervention , intervention , intervention , intervention , intervention , intervention , intervention , intervention , intervention , intervention , intervention , intervention , intervention , intervention , intervention , -0.887235233806742 , 0.390955385415183 , 1.16487764948632 , 1.35109118726995 , 2.44721954811446 , -0.2987686835692 , 0.594260477990781 , -1.20645876859027 , -0.837584313309857 , 2.02403632423123 , -0.393798859436568 , 1.12904011877658 , -0.374836519466156 , 0.906415643374178 , -0.0170655410387474, -0.87803555847102 , -0.192277046534028 , 1.71183877917945 , 0.414429621378167 , -0.449246467798122 , -0.274254042115063 , 0.707849686408156 , -0.222405944150966 , 1.66745245535969 , -0.319671429862596 , 0.0769198026881044 , 1.93130692600259 , 2.12478170370984 , -0.128740806865326 , 1.29813130934537 , -0.23019309085403 , 1.09787974009439 , -0.672711544993282 , 1.37531774681685 , 2.15263866703678 , 1.31184048004198 , 2.224607020849 , -2.3850540011116 , -0.844614723856704 , 0.927868051281276 , 0.150582048766167 , 0.0548739187607868 , 0.448243393694827 , 0.106601459077947 , -0.154132170051837 , -0.0929222718040426, -0.121642133343428 , -1.14634809670899 , -0.741128550419177 , -1.03648381746145 , 0.518181270889443 , -0.165575051692825 , -0.105909963425438 , 0.259500581750049 , 0.0289920229425493 , 1.41539929726497 , -1.32734795949235 , -0.149732666570373 , 1.76270892928275 , -1.13455522358497 , -0.402738593963708 , 1.96799395785545 , 1.25715277489614 , 0.519435686058353 , -1.26828939218775 , 0.341639201007931 , 0.546883767005491 , -0.225495419485109 , 0.0771060984643215 , 1.21968019421274 , 0.48724773456843 , 0.495123616632853 , 2.2170718713393 , 0.832821262099506 , 0.38111432662991 , -0.0188017444998972, 0.937137411729564 , 1.58405678469062 , -1.6629968649342 , -0.500823146880725 , 2.00997456560743 , 0.660527063789147 , 1.33765549635426 , 0.610917231306138 , 0.531539160971086 , -0.9052777193131 , 2.09780047426628 , 1.5805678081374 , 1.44321401728654 , -0.252194943914581 , 0.300112489346777 , 0.305506015977085 , 0.0931832406049264 , -0.798049065463918 , 1.20198612998038 , -0.346950680327459 , -1.77411706935767 , 1.95550820106069 , -0.516604044720264 , -0.527943704805375 | 0.7743233 |
| 18 | 50 | 0.0 | 0.1 | 0.5 | control , control , control , control , control , control , control , control , control , control , control , control , control , control , control , control , control , control , control , control , control , control , control , control , control , control , control , control , control , control , control , control , control , control , control , control , control , control , control , control , control , control , control , control , control , control , control , control , control , control , intervention , intervention , intervention , intervention , intervention , intervention , intervention , intervention , intervention , intervention , intervention , intervention , intervention , intervention , intervention , intervention , intervention , intervention , intervention , intervention , intervention , intervention , intervention , intervention , intervention , intervention , intervention , intervention , intervention , intervention , intervention , intervention , intervention , intervention , intervention , intervention , intervention , intervention , intervention , intervention , intervention , intervention , intervention , intervention , intervention , intervention , intervention , intervention , intervention , intervention , 0.0454407679934648 , -0.0531305902725999, 0.561114090780054 , -0.302914611760211 , -0.669592335285281 , 0.30445296543736 , 0.829190071579326 , 0.337288753799449 , 0.207902436030625 , -0.0841559568042828, 0.296876801271063 , -0.605233773869372 , 0.0112342833598886 , 0.0664485351652068 , 1.27186813975918 , 0.74965762112121 , 0.310852434838092 , 0.774151785701792 , 0.628207162390394 , -0.108313638236311 , -0.822314766107298 , -0.302862143850713 , -0.314607983212727 , -0.377456502591338 , 0.364161233267728 , 0.522657910800665 , -0.0842537765626754, -0.336843916486062 , -0.443093065551075 , 0.988428153608995 , 0.574020381506976 , -0.135534421269449 , 0.242780491073862 , -0.249001395973079 , 1.27792033763629 , -0.335000020309913 , -0.450580418589285 , -0.208754707794426 , -1.11938268818165 , -0.336581686671999 , 0.154455590922061 , 0.333482984994317 , -0.0535616646228438, 0.140033515189388 , 0.0841396991653173 , 0.588918426513892 , 0.318275399277449 , -0.249416886943014 , -0.997302857828199 , 0.777694010344041 , 0.257663025199335 , -0.208313461328146 , -0.357584130281612 , 0.483684621123058 , -0.0777905148144906, 0.351899933277984 , -1.28499024956265 , -0.346519870375749 , -0.0820787585753154, 0.480224280734579 , 0.521921222533601 , -0.240694965631688 , 0.293289573373853 , -0.765330772915273 , -0.256709920775005 , -0.592989076943384 , 0.163373233013124 , 0.765970884868551 , 0.0821238231396115 , -0.336772321732953 , 0.460555248125775 , -0.761655707120084 , 0.457043602277162 , -0.327297249084873 , 0.234704610957931 , -0.332796196174033 , -0.200743370202936 , -0.339742453155847 , -0.341852364594425 , -0.92911661050094 , -0.21426287465106 , -0.494437034802491 , -0.287786679249804 , 0.743617675359622 , -0.27024616553725 , 0.233313850719356 , -0.85142809136713 , -0.446103535932275 , 0.263834789629635 , 0.438713865259092 , 0.250549655421762 , -0.52437812843602 , -0.69627557036929 , -0.0751096756336269, -0.423082456618556 , -0.469636671686217 , 0.197478880097939 , 0.857602072591296 , 0.913453340459001 , -0.49436550740876 | 0.0949196 |
| 18 | 50 | 0.0 | 0.1 | 1.0 | control , control , control , control , control , control , control , control , control , control , control , control , control , control , control , control , control , control , control , control , control , control , control , control , control , control , control , control , control , control , control , control , control , control , control , control , control , control , control , control , control , control , control , control , control , control , control , control , control , control , intervention , intervention , intervention , intervention , intervention , intervention , intervention , intervention , intervention , intervention , intervention , intervention , intervention , intervention , intervention , intervention , intervention , intervention , intervention , intervention , intervention , intervention , intervention , intervention , intervention , intervention , intervention , intervention , intervention , intervention , intervention , intervention , intervention , intervention , intervention , intervention , intervention , intervention , intervention , intervention , intervention , intervention , intervention , intervention , intervention , intervention , intervention , intervention , intervention , intervention , -1.04899011270414 , -0.34260491750693 , -0.54308746927845 , 0.44659102571884 , -0.00258367459476505, 0.500231889846071 , 1.9589318706233 , 1.1245561926322 , 0.514813601192898 , 0.569567773237008 , 0.2189366835775 , -1.11487174444427 , 0.276793019733821 , 1.08420448620304 , -0.353133794972399 , 1.34648680337747 , 0.0779928667528073 , -0.48642796504703 , -1.15681325319655 , -0.326789259848169 , 0.67603133953523 , 1.15949979746075 , 0.239273840377406 , -0.356214130715161 , 0.501539611450819 , -1.23658121775618 , -0.0115950080462954 , 1.65991944293897 , -2.51940550306399 , 1.4706757320088 , 0.856586859064855 , 0.515048564286091 , 1.13327003392482 , -1.80945369160268 , 1.4074120686906 , 0.223494913051361 , 1.62505763224617 , 0.762226895691381 , 1.35767877606467 , 0.410425479038504 , -0.354303743833859 , -1.28680811975691 , -1.4852563299084 , -0.577749411831901 , 0.673981400525892 , -0.60115479365148 , 0.905262506858438 , -0.150720229021717 , 0.435069689954183 , -0.778404457031685 , 0.318640918926043 , -1.02661147593399 , 0.912607073646376 , 1.15136218767899 , -1.44954184920905 , -0.19263044766602 , -0.319326779195102 , -0.868487878990687 , 0.59478433880006 , -0.164322856003791 , -0.992952714176808 , -1.72546630580481 , 0.232647314031924 , 2.17357733762498 , 1.21577687748482 , 0.735471099790709 , -0.545075016529533 , 0.496848648072177 , -0.68443988604841 , -1.95896910672812 , -0.0342913835280689 , 0.107852632937749 , 0.638563355175021 , 1.46193174395194 , 0.987584397066003 , 0.583389934972542 , 0.093343673978864 , 0.000892321403823025, 2.05886449323225 , -0.554067813709872 , -0.25841889592163 , -0.568036705529406 , 0.507523851502841 , -0.620582416514617 , 0.436241681667913 , -0.210275966186957 , 0.0649618454000833 , -0.387886849243409 , -0.52282304054721 , -0.376926199184572 , -1.24678441747977 , -1.04466024438014 , -2.11261112793549 , -0.462761461330665 , 0.585280182477595 , 0.42977147314278 , -0.536851546565027 , -0.958152708849763 , -1.45361812210043 , -1.69150872326782 | 0.1324416 |
| 18 | 50 | 0.5 | 0.0 | 0.5 | control , control , control , control , control , control , control , control , control , control , control , control , control , control , control , control , control , control , control , control , control , control , control , control , control , control , control , control , control , control , control , control , control , control , control , control , control , control , control , control , control , control , control , control , control , control , control , control , control , control , intervention , intervention , intervention , intervention , intervention , intervention , intervention , intervention , intervention , intervention , intervention , intervention , intervention , intervention , intervention , intervention , intervention , intervention , intervention , intervention , intervention , intervention , intervention , intervention , intervention , intervention , intervention , intervention , intervention , intervention , intervention , intervention , intervention , intervention , intervention , intervention , intervention , intervention , intervention , intervention , intervention , intervention , intervention , intervention , intervention , intervention , intervention , intervention , intervention , intervention , -0.0877052663302341 , -0.291585831796669 , -0.589609946377539 , -0.13621854756473 , -0.716042568769745 , -0.258459875217883 , -0.120769014511267 , 0.622427010356088 , 0.624233145932827 , -0.00434015739645989, 0.321512044741925 , 0.276707234353293 , -0.240515430421075 , -0.9095565852871 , 0.964557582759783 , 0.181287346612187 , -1.05466163244506 , 0.132193524010697 , -0.209749516622496 , -0.0182099386387573 , -0.300254507869471 , 0.0564200052409171 , 0.657402893953354 , -0.842747671622907 , -0.65139698319927 , -0.171111691949626 , -0.977272517924381 , -0.1744057501038 , -0.691340683997875 , -0.379318976553219 , -0.489056451148432 , 0.476813588079553 , -0.0601794864471429 , -0.732993467574413 , -0.0940262138848993 , 0.197986776708398 , -0.349402643188509 , 1.30542755774625 , -0.210160903254848 , 0.1114723619335 , -0.916041409960028 , 0.0482710916974622 , -0.0523972069894957 , 0.27941331614166 , -0.161434955044256 , -1.27337927554229 , -1.06470022332502 , -0.879588652684891 , -0.446220571720803 , -0.0928110562526454 , -0.554189935788637 , -0.313829923910624 , -0.476388762249542 , 0.726633706463709 , 0.626465892535378 , 0.491986484855206 , 1.3982131529093 , -0.627727530612014 , 0.870884057376937 , 1.06448604163388 , 0.380988192194886 , 1.07096750748002 , 0.950209688474361 , 0.721288900594852 , 0.406255987635022 , 0.264238850285224 , 0.802619029570277 , 0.709805965156569 , 1.12772800440301 , 0.613334350225544 , 1.20378442706186 , 1.20904481237807 , -0.328106486414861 , 0.0527421765538649 , 0.943914564375971 , 0.802991756965965 , 1.67118519710609 , 0.465738213566752 , 0.907957257016383 , 0.0630016452118053 , 0.723514682267733 , 0.106812482585974 , 0.447949727402189 , 0.729810746211116 , 0.574296919385915 , 0.74749148312737 , 0.983872219434002 , 1.11814547074638 , 0.204871087655299 , 0.284965887354582 , 0.635117697666909 , -0.423392408866332 , 0.768207600294259 , 0.054796341087988 , 0.517190560986521 , 0.753775468407454 , -0.262200319658288 , 1.03318663713805 , 1.21068542342835 , -0.0464255657236787 | 0.0000000 |
| 18 | 50 | 0.5 | 0.0 | 1.0 | control , control , control , control , control , control , control , control , control , control , control , control , control , control , control , control , control , control , control , control , control , control , control , control , control , control , control , control , control , control , control , control , control , control , control , control , control , control , control , control , control , control , control , control , control , control , control , control , control , control , intervention , intervention , intervention , intervention , intervention , intervention , intervention , intervention , intervention , intervention , intervention , intervention , intervention , intervention , intervention , intervention , intervention , intervention , intervention , intervention , intervention , intervention , intervention , intervention , intervention , intervention , intervention , intervention , intervention , intervention , intervention , intervention , intervention , intervention , intervention , intervention , intervention , intervention , intervention , intervention , intervention , intervention , intervention , intervention , intervention , intervention , intervention , intervention , intervention , intervention , 0.769502203706421 , 0.413658092329258 , -0.192837199289342 , 0.0923347737045531 , -1.45165241519681 , 0.195722260464959 , -1.05465212792012 , -1.47956877936779 , -0.314289819675184 , -0.0055913210235223, 0.070772715642158 , -1.77042859530049 , -0.845763276784205 , 0.269309378789851 , -0.645862855805365 , 0.517289688777211 , -0.240194213018245 , 0.686109418360407 , -1.72393030045226 , 1.21122220419788 , 0.230822246035488 , -1.37034832421026 , 1.6463825052537 , 0.397281217404762 , 1.31935860069742 , 2.0656112321396 , -1.49850030452961 , -2.08195300079221 , 0.876433363402805 , 1.05077056130981 , 0.182203438163947 , 1.01528363314983 , 0.958929095875882 , -0.304987641866513 , -1.41347189369543 , 1.09943044430995 , 0.350193903857839 , -0.0146193789598083, -1.92965616979972 , 0.831753718297845 , 0.657435506334556 , -1.19537535821172 , -1.12129361330597 , 0.171668813815083 , -2.34112557498005 , -1.25134408343455 , 0.265864681858878 , 1.62313897900864 , 1.07185072053646 , -1.12606749000162 , 0.310208468290022 , 1.47190624365187 , 0.281011828426333 , 1.11760038324458 , 0.748169123538974 , -0.172783447617539 , 0.474411175817312 , 1.36920133280329 , 2.36907924800031 , 0.201057917614196 , 1.10624079032093 , 2.39735258333964 , 0.142163641029526 , 0.822642195898026 , 1.79494809236363 , 1.60033937201154 , 0.214928037390042 , 0.352181359823507 , 1.00598221195751 , 0.792296996913237 , 3.24662320594748 , 0.36959665061417 , 1.69351499818283 , 0.287337459102396 , 1.3350565049219 , 1.32342664520839 , 1.29318208324377 , 0.460647337888649 , -0.372334439004434 , -0.135372270187984 , -2.03250603143212 , 1.60282560467978 , 1.10518436909299 , 1.19614329192258 , 0.348775475311919 , 0.576255777080298 , 0.886820174668997 , 0.167210021287091 , -1.07110875870884 , 0.708199004753404 , -0.084291140693157 , -0.5995334036591 , -0.448800501529268 , 0.447454582759412 , -0.683140014651869 , 0.718194995507307 , 2.13990555099316 , 0.0775584791477752 , 3.86701800036149 , -0.513728034395291 | 0.0001980 |
| 18 | 50 | 0.5 | 0.1 | 0.5 | control , control , control , control , control , control , control , control , control , control , control , control , control , control , control , control , control , control , control , control , control , control , control , control , control , control , control , control , control , control , control , control , control , control , control , control , control , control , control , control , control , control , control , control , control , control , control , control , control , control , intervention , intervention , intervention , intervention , intervention , intervention , intervention , intervention , intervention , intervention , intervention , intervention , intervention , intervention , intervention , intervention , intervention , intervention , intervention , intervention , intervention , intervention , intervention , intervention , intervention , intervention , intervention , intervention , intervention , intervention , intervention , intervention , intervention , intervention , intervention , intervention , intervention , intervention , intervention , intervention , intervention , intervention , intervention , intervention , intervention , intervention , intervention , intervention , intervention , intervention , -0.280202473253782 , -0.0514086240372965, -0.450965340428933 , -0.399597695605351 , 0.283179354472709 , -0.214539099809244 , 0.150641652023919 , 0.236049188925738 , -0.513814868398607 , 1.43902945920561 , 0.487944986302772 , -0.25879223057202 , -0.203557624226807 , -0.417216236517138 , 0.229425234819027 , -0.133284835017908 , 0.304500998408756 , -0.0881914231043397, 0.127176469330149 , -0.163208270407622 , 0.0991125384571978 , 1.04114764189203 , 0.136255526627115 , -0.434069676083484 , 0.811179060083658 , 0.787623517377274 , -0.437822797951242 , -0.0429007100223152, 0.701739636936178 , 0.189669402811991 , -0.380586152502161 , -0.860459220325193 , 0.247984357350539 , 0.871178409253527 , -0.0779569560501192, -0.0641114335476206, -0.730652107752422 , -0.200169668830039 , -0.769820943372892 , -0.257445394455969 , 0.566647222326128 , -0.121816708648119 , 0.47994177212779 , 0.493212430113879 , -0.34561461385016 , 0.61345571969455 , 0.440246090442109 , 0.228570848520996 , -0.396117881186165 , 0.931437873056764 , 0.422600962140012 , 0.100277695652976 , -0.252005040981866 , 1.11501640406831 , 1.11208962417161 , 0.071726855175471 , 0.811998082885056 , 0.334587883510576 , 0.939556675326376 , 0.364962663313757 , -0.0484293261957321, 0.235930002808784 , -0.144837978748604 , 0.0199761785702348 , 0.122588497393453 , 0.25455482874279 , 0.720380578058264 , -0.0917210255909412, 0.995082000502369 , 0.920735301068774 , 0.376762109776593 , 1.54935098565383 , 0.861011495937638 , 0.902325942102379 , 1.01789302759904 , 0.115808336454708 , 0.744554583606899 , 0.915126518390629 , 0.296564937479101 , 0.971257751144397 , 1.26342803647032 , 0.405796735931744 , 0.238577258030274 , 0.0992626999010856 , 0.158482495313821 , 0.0723846256819898 , 0.564392154092165 , 1.21724655114519 , 0.767345669434099 , -0.590799441993168 , -0.070590825601171 , -0.034438382876227 , 0.0734094621169082 , 0.0651753814413626 , 0.65511859139782 , 1.10953355689229 , 1.16503728330673 , 0.160235996270307 , 0.0583274588053359 , 0.391322305240695 | 0.0001004 |
| 18 | 50 | 0.5 | 0.1 | 1.0 | control , control , control , control , control , control , control , control , control , control , control , control , control , control , control , control , control , control , control , control , control , control , control , control , control , control , control , control , control , control , control , control , control , control , control , control , control , control , control , control , control , control , control , control , control , control , control , control , control , control , intervention , intervention , intervention , intervention , intervention , intervention , intervention , intervention , intervention , intervention , intervention , intervention , intervention , intervention , intervention , intervention , intervention , intervention , intervention , intervention , intervention , intervention , intervention , intervention , intervention , intervention , intervention , intervention , intervention , intervention , intervention , intervention , intervention , intervention , intervention , intervention , intervention , intervention , intervention , intervention , intervention , intervention , intervention , intervention , intervention , intervention , intervention , intervention , intervention , intervention , 0.506814245324004 , 0.197918336280498 , -1.20470155308451 , 1.49596128391228 , -0.884915426195295 , -0.399876874182726 , 1.10489600780517 , -0.360088978068351 , 2.4476819138201 , -0.019739173638093 , 2.51045320369313 , -0.476170748099851 , -0.868323764830347 , -0.956147754193117 , 0.26456358812644 , -0.272685886440883 , 0.0161854599362425 , 0.630472865374488 , -0.151971600898357 , 0.113717000218268 , 0.292583871227851 , 1.1406801204154 , -2.68648262036379 , 0.057358783636685 , 0.0230292206600717 , 1.24953667265338 , 1.00670654880819 , -1.5723467299876 , -0.633854035406112 , 1.20133986010846 , 0.0416237457732412 , 0.601122298234484 , -1.26508143907859 , 1.27847556957222 , 1.56556474642296 , 0.137335192081376 , -2.45471600574369 , -1.75615956634401 , 1.25844519409297 , 1.48872688426778 , -0.794676103665477 , 0.0644641773098269 , -0.271730284534356 , -0.0923744410804224, 1.66900753259064 , -0.954666307988147 , -0.837742191497191 , 0.915905653730885 , -0.0169514685697785, 2.97215652825952 , 0.408943849789513 , -0.108157429101354 , 0.183064041996076 , 1.03864880837282 , 1.56651220573696 , -0.550082023948519 , -0.892978738429322 , 0.685725005572932 , 1.03839787090222 , 1.87958287870135 , 0.0775850022352225 , 1.5334487776287 , 0.439500639069534 , 1.68193247957215 , 0.544816905799626 , 1.53187400897497 , 1.38468045882307 , -0.905428721464553 , 2.13238332651783 , -1.15005681202349 , 0.905813566789767 , -0.658447995935993 , -0.693327130952459 , 1.23718469099875 , 0.479903184624676 , 0.526261675424781 , -0.0433802996908937, 0.113002852890461 , 0.205893004049514 , 2.5784090214943 , 1.91360207773835 , 1.69309138182192 , 1.40517125275746 , 0.567276773527603 , 1.1035380694222 , -2.22234330288108 , -0.0301879047757708, 0.810531993858673 , 0.214139051833307 , 0.102385291274165 , 0.175547642208802 , -0.195946488052531 , 1.09503853894895 , 0.964642693098348 , 1.08607696737646 , 1.91464298765925 , -1.69357605369891 , -0.177115388879425 , 1.67232918181201 , 0.606771067205194 | 0.0615695 |
| 19 | 20 | 0.0 | 0.0 | 0.5 | control , control , control , control , control , control , control , control , control , control , control , control , control , control , control , control , control , control , control , control , intervention , intervention , intervention , intervention , intervention , intervention , intervention , intervention , intervention , intervention , intervention , intervention , intervention , intervention , intervention , intervention , intervention , intervention , intervention , intervention , -0.0499086159340267 , -0.388914807498491 , -0.586495398686034 , -0.162219590228492 , 0.603221540861524 , -0.618478622650718 , 0.178416954637734 , 0.613903449218099 , 0.026493322839233 , 0.490832913254216 , -0.35237910379695 , -0.0345211553936786 , -0.265804974937231 , -0.245398083058565 , -0.493869562809917 , 0.146209034639243 , 0.171019003367559 , -0.0127898134294437 , -0.328838551424638 , -0.263453906266306 , -0.00745227269595895, 0.442814252004815 , -0.275779833122316 , 0.431655893125968 , -0.246667315330992 , -0.0933589118515791 , 0.581771512824677 , 0.150043386794406 , 0.0750712793600372 , 0.0149295407865456 , 0.588636987316886 , -0.0449562547156646 , 1.0059740264756 , -0.837052829121171 , -0.266762605019011 , -0.472030389761779 , -0.136799130111623 , -0.534003041268944 , -0.551749462213067 , -0.829205871727762 | 0.8355990 |
| 19 | 20 | 0.0 | 0.0 | 1.0 | control , control , control , control , control , control , control , control , control , control , control , control , control , control , control , control , control , control , control , control , intervention , intervention , intervention , intervention , intervention , intervention , intervention , intervention , intervention , intervention , intervention , intervention , intervention , intervention , intervention , intervention , intervention , intervention , intervention , intervention , -0.0451141226989787, 0.0621057825351868 , 0.610567286568167 , -0.391169056941135 , -0.820825399987563 , 0.15419311954668 , 0.665310292466124 , -0.453776047776077 , 0.0931174889026535 , -0.295164347074438 , -1.45587655224417 , 1.52621390055116 , 0.156445915400615 , -0.331061441642131 , -0.414324370159297 , -0.580953745381174 , 1.52547534979281 , -1.2500424113747 , -0.78644546079419 , 0.361979402261076 , -0.232793987069221 , -1.07600477574786 , 1.70549265562502 , -2.85191096069321 , -1.18577396945003 , -1.04955135005638 , -0.71591620989804 , -0.360362290793965 , 0.958724394326355 , 1.03428771246716 , -1.35540534441826 , 0.511620911577608 , -0.321509979035687 , -2.93440863124749 , -1.39418202210171 , -1.23195762322758 , 0.331639829894089 , -0.593917123158117 , 0.768381265186806 , 0.686528806527575 | 0.2489613 |
| 19 | 20 | 0.0 | 0.1 | 0.5 | control , control , control , control , control , control , control , control , control , control , control , control , control , control , control , control , control , control , control , control , intervention , intervention , intervention , intervention , intervention , intervention , intervention , intervention , intervention , intervention , intervention , intervention , intervention , intervention , intervention , intervention , intervention , intervention , intervention , intervention , 0.223252502066618 , -0.0425522287910508, -0.383297445841772 , -0.324732855205688 , 0.249552050219068 , -1.40972226581999 , 0.211028070080161 , 0.943013846644279 , -0.278551121963444 , 0.62904359245801 , 0.739694436093326 , -0.317955886052279 , 0.210344096551844 , 1.05544945103848 , 0.41169158352166 , 0.0331074372559422 , 0.227063797942406 , -0.143608109933728 , 0.620636767501176 , -0.522935278614724 , 0.11837751821237 , -0.0899474493930257, 0.723840546422406 , -0.81031995443916 , 1.15067133130967 , 0.450862386313419 , 0.290676212889462 , 0.36442809038025 , 0.311781145973807 , -0.535353769663338 , -0.871701434114246 , 0.129904260404445 , -0.211264194385953 , -0.451511818287991 , 0.576145702013262 , -0.182407649606766 , 0.122176683114478 , -0.214869487419015 , -0.300892106714934 , 0.406694548344118 | 0.7391808 |
| 19 | 20 | 0.0 | 0.1 | 1.0 | control , control , control , control , control , control , control , control , control , control , control , control , control , control , control , control , control , control , control , control , intervention , intervention , intervention , intervention , intervention , intervention , intervention , intervention , intervention , intervention , intervention , intervention , intervention , intervention , intervention , intervention , intervention , intervention , intervention , intervention , 0.601565064611928 , 1.37000879396201 , -0.400521045383404 , 0.0786321204658343 , -1.1204739553225 , -0.0824655528961739, -1.29280981921773 , 1.82371121212862 , -0.828993658134873 , -0.326516719103734 , 0.450372491109222 , -0.443912516426088 , 0.0499470482290177 , 1.55478902718994 , -0.559508842114413 , 1.70588394289212 , 0.609793299623445 , 1.01733792432419 , 0.981083408786987 , 0.356599102847762 , -1.3924811592662 , 0.324442355292526 , 1.77313626574416 , 0.872280272811412 , 2.0070163366687 , -1.2621079527741 , 0.613889190827851 , 0.466081304854967 , -0.0540034823624702, 0.35724308771109 , 0.497566117730052 , 0.910190482990812 , -0.942532552154844 , 0.19322230577071 , -0.833064219686643 , -0.506709406178227 , 0.886790352335522 , -1.55586090272029 , 0.450973454015884 , -1.1524562830047 | 0.5328804 |
| 19 | 20 | 0.5 | 0.0 | 0.5 | control , control , control , control , control , control , control , control , control , control , control , control , control , control , control , control , control , control , control , control , intervention , intervention , intervention , intervention , intervention , intervention , intervention , intervention , intervention , intervention , intervention , intervention , intervention , intervention , intervention , intervention , intervention , intervention , intervention , intervention , -0.350789586912682 , 0.0491451028859492 , -0.555356069872361 , -0.560372750178618 , 0.235386499340752 , 0.118976866649377 , -0.143656880505779 , 0.150455915188106 , 0.289566634882448 , 0.341568619709434 , 0.134006323639818 , 1.54289513267233 , 0.690467939375387 , 0.0390079119199745 , -0.390448284041272 , 0.470196660109157 , -0.214789812421992 , 0.00960821933390171, 0.555468708670087 , 0.0629843533258738 , -0.145098104104402 , -0.911676922484789 , 0.994093049097492 , 0.813030475348193 , 0.733674254321101 , 1.12796917378636 , 0.501992596356555 , 0.757840752636488 , 0.477614379391153 , 0.656099735097895 , 0.947018798444593 , 0.41484063050226 , 1.74116887515526 , 1.45395932836115 , 0.307716901750808 , 1.63013014388235 , 0.588136464545896 , -0.149189560681452 , 0.5064730804774 , 0.315481057979255 | 0.0057050 |
| 19 | 20 | 0.5 | 0.0 | 1.0 | control , control , control , control , control , control , control , control , control , control , control , control , control , control , control , control , control , control , control , control , intervention , intervention , intervention , intervention , intervention , intervention , intervention , intervention , intervention , intervention , intervention , intervention , intervention , intervention , intervention , intervention , intervention , intervention , intervention , intervention , -0.2502755489705 , 1.15951100900384 , 1.97472100347379 , 1.88005356989578 , 0.243357718126151 , -1.85443607888757 , 1.11159126352402 , 0.0910155971379825 , -0.239303639458319 , 0.521899530880559 , 1.57814174962651 , 0.122616462069298 , -1.186081832225 , 1.32511592068528 , 0.0562928136066936 , 0.571691383831755 , 0.515887441735827 , 0.964561423356323 , -0.567960661292027 , 1.50542480375118 , 1.60990315432968 , 0.827838487486889 , -0.0430653677686952, 0.576198849379553 , -0.487481565525937 , 2.53936120855038 , 0.623564398692151 , -1.46263855539993 , -0.0664176330392658, 1.04720157271564 , 0.980987400978729 , 2.03412720937937 , 0.459035051233581 , 1.41236216111457 , 0.150845204817098 , -0.123110610228664 , 0.510711697154065 , 1.0914731640289 , 0.112425131872679 , 0.411571223785072 | 0.6594578 |
| 19 | 20 | 0.5 | 0.1 | 0.5 | control , control , control , control , control , control , control , control , control , control , control , control , control , control , control , control , control , control , control , control , intervention , intervention , intervention , intervention , intervention , intervention , intervention , intervention , intervention , intervention , intervention , intervention , intervention , intervention , intervention , intervention , intervention , intervention , intervention , intervention , 0.424955275490962 , -0.213074639428741 , -0.182880143149425 , -0.254385933062004 , 0.77414795157641 , 0.708445172074291 , -0.622242617336266 , 0.297926386405662 , -0.2030424803308 , -1.09125435117263 , -0.426408733990539 , -0.107453845242088 , -0.0888320387489802, -0.787210761713034 , 0.721788449343726 , -0.719448015608655 , 0.088323488605621 , 0.543077795302812 , -0.219708151157803 , -0.270200730459952 , 1.03205348493635 , 0.637955948118673 , 0.190603666676423 , 0.890313760692669 , 1.05317120659858 , 1.14578296942474 , 0.297924466039674 , 1.38929874904668 , 0.901710756293844 , 1.13841342500897 , 0.382170648201037 , 0.0292283003225 , 1.44164424972758 , -0.389450100083289 , 0.0861795063229159 , 1.17206225252013 , 0.759405294604828 , 0.988645314018535 , -0.598540766185318 , 0.219531611891784 | 0.0002087 |
| 19 | 20 | 0.5 | 0.1 | 1.0 | control , control , control , control , control , control , control , control , control , control , control , control , control , control , control , control , control , control , control , control , intervention , intervention , intervention , intervention , intervention , intervention , intervention , intervention , intervention , intervention , intervention , intervention , intervention , intervention , intervention , intervention , intervention , intervention , intervention , intervention , 1.32698321797148 , -1.33560814354529 , 0.841981629335524 , 0.413584102269937 , -0.177694626335979 , -0.204592540466917 , -0.0634947394724419, 0.573673340350249 , 0.259299918829086 , 0.444612221811086 , -1.10662619599202 , 0.468044192379688 , 1.47270633930977 , -0.0763836885234393, 1.24580398652777 , -0.527250888115157 , -1.10116197480183 , 1.86369175213742 , 0.0278014797405695 , 0.112950380188962 , 1.13820977805482 , 0.428924003545642 , -0.174584656949523 , -0.0787944214253898, 0.772245197368402 , 0.99701520082311 , 0.55791212658623 , 2.26615998535358 , 1.32194983422145 , -0.775879392070158 , -1.25546715150255 , 1.40060446197013 , 0.596968228217623 , 0.99251233750296 , 0.393447528826225 , 0.878085086698859 , 0.681402563329686 , 0.323971557269702 , 0.597580605996704 , 0.228282315884317 | 0.1956926 |
| 19 | 50 | 0.0 | 0.0 | 0.5 | control , control , control , control , control , control , control , control , control , control , control , control , control , control , control , control , control , control , control , control , control , control , control , control , control , control , control , control , control , control , control , control , control , control , control , control , control , control , control , control , control , control , control , control , control , control , control , control , control , control , intervention , intervention , intervention , intervention , intervention , intervention , intervention , intervention , intervention , intervention , intervention , intervention , intervention , intervention , intervention , intervention , intervention , intervention , intervention , intervention , intervention , intervention , intervention , intervention , intervention , intervention , intervention , intervention , intervention , intervention , intervention , intervention , intervention , intervention , intervention , intervention , intervention , intervention , intervention , intervention , intervention , intervention , intervention , intervention , intervention , intervention , intervention , intervention , intervention , intervention , 0.342903891669929 , 0.385008069239217 , 0.494874358032186 , 1.08574600536117 , -0.0989643997358071, -0.338225564572707 , -0.884919034938743 , -0.128356777716797 , 0.554245248281702 , 0.261472809776365 , -0.194125863150465 , -0.715235390621481 , -0.0345568957979149, -0.628539406406638 , -0.311609955801907 , 0.318855807764777 , 0.351504926630654 , -1.20190915839888 , -0.641484804476975 , -0.231843445495848 , -0.553288802068467 , -0.746352340013247 , 0.960598005535074 , -0.166672160643845 , 0.0956154712734028 , 0.750151532667465 , 0.318106092187073 , 0.691399374622509 , -1.17164514033107 , -0.158543603822873 , 0.76476620211752 , 0.185506704988083 , -0.477265175761461 , -0.0361000601173136, 0.00442069831164034, -0.160962718851043 , -0.0251024164929246, 0.239060101573988 , 0.20753677560329 , -0.303164848941257 , 0.232951625388143 , -0.0646422983509844, 0.148401295417755 , 0.522936308887317 , -0.31446178994429 , -1.22532499792214 , -0.337813699391761 , 0.87735446019361 , 0.35110042394704 , 0.457281325141461 , 0.347859399985544 , 0.0552037857988054 , -0.415511183565557 , -0.0700776486412806, -0.55685351928923 , 0.28926348724674 , 1.40685271769487 , -0.525514028834035 , 0.447939316632335 , -0.373504470264846 , -0.0903625331292726, -0.351460545271014 , -0.657805932834805 , 0.803991254045864 , 0.0683742364125773 , 0.309442988638441 , 0.0710870640087038 , 0.0726483472017217 , -0.62775043659876 , 0.487537054632076 , 1.20494520288775 , 0.281580961174703 , -0.109306235668854 , -0.0393721275692024, 0.826500637262606 , 0.146363350422257 , 0.504390135437269 , 0.199718434675803 , 0.764123278493005 , 0.591268918527812 , 1.05747498044753 , -0.931944715375744 , 0.133921866028687 , -0.23891543127115 , 0.385353046347018 , 1.30239945689895 , 1.16318099783388 , -0.213453688531848 , 0.103402717093915 , -0.0916231436102377, -0.1192156422028 , -0.0113855373946451, -0.953233357869545 , -0.245928397506593 , 0.0419350267542853 , -0.670646765982501 , -0.052120908161391 , -0.768896102300993 , 0.0153541223165048 , -0.96506107212482 | 0.4236353 |
| 19 | 50 | 0.0 | 0.0 | 1.0 | control , control , control , control , control , control , control , control , control , control , control , control , control , control , control , control , control , control , control , control , control , control , control , control , control , control , control , control , control , control , control , control , control , control , control , control , control , control , control , control , control , control , control , control , control , control , control , control , control , control , intervention , intervention , intervention , intervention , intervention , intervention , intervention , intervention , intervention , intervention , intervention , intervention , intervention , intervention , intervention , intervention , intervention , intervention , intervention , intervention , intervention , intervention , intervention , intervention , intervention , intervention , intervention , intervention , intervention , intervention , intervention , intervention , intervention , intervention , intervention , intervention , intervention , intervention , intervention , intervention , intervention , intervention , intervention , intervention , intervention , intervention , intervention , intervention , intervention , intervention , -0.173413389101348 , 1.1174871438562 , -1.82161627400029 , 0.352116830765728 , -1.32472870047589 , -0.153417751998195 , 1.47914857461083 , 2.74355280124513 , -1.0762337276646 , -0.126234811640161 , -0.99118980616911 , -0.614083100037784 , 0.139838379128756 , 0.620772879337231 , 0.387886680345505 , 1.30193074810544 , -0.915228904262482 , 0.91574223066736 , -1.48776949348164 , -0.627500105150303 , 1.1986407391206 , -0.97918080869155 , -0.602636812520144 , 0.652548420912693 , 0.659834686188265 , -2.01299066686407 , -0.994831959123587 , 0.236607995190569 , 0.817580949390628 , 1.26227251502235 , 0.630704034911292 , 0.0913748233032584 , 0.277157795151636 , 0.424923756544132 , -0.370594234040701 , 1.21542192864385 , -0.0394234346348262, 2.05412086923792 , -0.797707044060501 , -0.102941049655016 , -0.475042984270708 , 1.5107626596831 , -0.79376357318371 , 1.20110028270624 , -0.421386436566791 , 0.165799583918236 , -2.13038253422405 , -0.126892098984797 , 1.51855086588216 , -0.100757496977118 , 0.0184829775620645 , 1.69700103916637 , 0.25427200104341 , -0.86945361232543 , -0.84298967774725 , 0.541826355980598 , -0.39858435003768 , 0.73332108455919 , -0.138853833070167 , 1.26897867852478 , -0.935465375016865 , -1.02170339898743 , 0.425072780079889 , 1.58662200699637 , 0.324791228722961 , 0.670924385890944 , 0.743747007684868 , 0.908274624021666 , -0.206401607209117 , 0.101675979889138 , -0.39999667544475 , -1.06374833465846 , 1.44900692267773 , -0.49180606784834 , -1.47700735578014 , 1.8265714926553 , 1.11529370662562 , -0.793517515844666 , -1.59058528680744 , 0.662557229547847 , 0.767783039966931 , 0.169102790036472 , 0.0355162577832164 , -0.70629543512394 , 0.198570584749165 , -0.880143746471838 , 0.843094695512391 , 0.0346708474832337 , 0.26081471820132 , -0.561385005452608 , -0.488697287739317 , 0.297735120689658 , -1.29945986885058 , 0.0384779186433723 , 0.157133788057488 , -0.46387581539144 , 0.901176953860341 , -0.963361241481221 , -0.0427373524054581, -0.816384368121897 | 0.8241506 |
| 19 | 50 | 0.0 | 0.1 | 0.5 | control , control , control , control , control , control , control , control , control , control , control , control , control , control , control , control , control , control , control , control , control , control , control , control , control , control , control , control , control , control , control , control , control , control , control , control , control , control , control , control , control , control , control , control , control , control , control , control , control , control , intervention , intervention , intervention , intervention , intervention , intervention , intervention , intervention , intervention , intervention , intervention , intervention , intervention , intervention , intervention , intervention , intervention , intervention , intervention , intervention , intervention , intervention , intervention , intervention , intervention , intervention , intervention , intervention , intervention , intervention , intervention , intervention , intervention , intervention , intervention , intervention , intervention , intervention , intervention , intervention , intervention , intervention , intervention , intervention , intervention , intervention , intervention , intervention , intervention , intervention , 1.0394844688517 , -0.337246005406214 , 0.511046961346352 , 1.076266926332 , 0.334496400452528 , -0.235098615680497 , 0.45279620615651 , -0.265765317323686 , -0.824800500993244 , 0.78453082033187 , -0.638714258719599 , 0.33615832117387 , 0.151975926252459 , 0.386393175822065 , 0.520025300147427 , -0.374477339925961 , -0.538836562831995 , -0.432491173422519 , -0.145102809139343 , 0.465660403514089 , 0.181272137566941 , -0.0950757753765225, -0.30364099407348 , 0.285404115187824 , 0.559408796401291 , 1.03756717767648 , 0.588104499044767 , -0.326765381433124 , 0.172330860574996 , 0.325512417684473 , 0.599897959285438 , 0.212353206627195 , -0.0586376458974854, 0.25047715341645 , 0.225525966482639 , 0.641572787831325 , -0.298980632358382 , -0.650425370968152 , 0.953728855873213 , -0.07617356155794 , -0.658356739954947 , 1.39011373731836 , 0.370747152003326 , 0.374460806133208 , 0.261344954740139 , 0.884910938522025 , -0.207181947171911 , -0.059599440654458 , 0.213786230049791 , 0.0446347491755869 , -0.803146925311693 , 0.0183289234852615 , 0.727134526253943 , 0.013782798451327 , -0.515311050036792 , -0.148096019200879 , -0.916869327634835 , -0.535257371360309 , 0.910580579779849 , -0.05739432325754 , -0.288658581050172 , 0.0776693377023544 , 1.01976703611007 , -0.334171253565713 , -0.136434919307697 , -0.497723244833501 , 0.220087312982025 , -1.0222634308149 , -0.0287351303727675, -0.220257031360455 , 0.287170711863602 , -0.966112758876436 , -0.394396318888416 , -0.823712059026972 , -0.126818891215901 , 0.357972592761179 , -0.0847080362474008, -0.333355436167636 , -0.689907171912355 , -0.533480306643254 , -0.331391849874004 , -0.535389502661311 , 0.191303463538243 , -0.980936775354465 , 0.650100042980434 , -0.460749518513878 , 0.543786559264528 , -0.83565157771327 , 0.558805691954901 , -0.0475267567328488, -0.779037888307582 , 0.214894159607003 , 0.509410831872712 , -0.68089951521546 , 0.227891419429635 , -0.145023654343802 , -0.194616030526141 , -0.72783717345617 , -0.0987679226876488, -0.22249850117387 | 0.0005948 |
| 19 | 50 | 0.0 | 0.1 | 1.0 | control , control , control , control , control , control , control , control , control , control , control , control , control , control , control , control , control , control , control , control , control , control , control , control , control , control , control , control , control , control , control , control , control , control , control , control , control , control , control , control , control , control , control , control , control , control , control , control , control , control , intervention , intervention , intervention , intervention , intervention , intervention , intervention , intervention , intervention , intervention , intervention , intervention , intervention , intervention , intervention , intervention , intervention , intervention , intervention , intervention , intervention , intervention , intervention , intervention , intervention , intervention , intervention , intervention , intervention , intervention , intervention , intervention , intervention , intervention , intervention , intervention , intervention , intervention , intervention , intervention , intervention , intervention , intervention , intervention , intervention , intervention , intervention , intervention , intervention , intervention , 0.745491761914877 , 0.507616567089697 , -0.0653098368857726, -0.998046118147616 , 0.219890785391901 , -0.73538140305415 , -1.54825629711011 , -0.626922464398316 , -1.29161449930156 , 0.634068357646976 , -0.668246569086948 , -2.03391356751257 , 0.671061998724015 , -1.17778262946053 , 1.31971813583769 , 0.111925312397444 , -2.4303364308774 , 1.8653178493498 , -0.50013245560984 , -1.06315103918979 , -0.223681708164166 , 1.11233162352753 , 0.425450438315327 , -0.890743015199085 , -0.257043965070961 , -1.16240305410123 , -0.0376385258110241, 0.33159415115874 , -1.93679539210601 , -2.0029145543922 , 0.342671939004556 , 0.988062974959146 , -1.17848868166213 , 1.7323076753801 , 0.952012419218663 , -0.355617324950981 , 0.700285677774734 , 2.43764421674158 , -0.0717286749881216, -0.291633548988238 , -1.46805276811673 , 1.3187844165456 , 0.647860902473322 , 1.0582249834286 , -1.59613632349647 , -0.57701363852091 , 0.826289158999085 , -0.849503515244008 , 0.0189191649490325 , 0.271249896874579 , 0.452800908008288 , 0.604101359864174 , -0.512220406566427 , 0.0983111083049168 , -0.672358333611083 , 0.550297005172953 , -0.510240314618098 , -0.654855076183212 , -0.566866530111436 , 1.09336363911987 , 0.955779833708805 , 0.339447419913229 , -1.03152514455504 , -0.397688580052328 , 0.158808040602492 , -0.492702800451284 , 1.80450247266967 , 1.30792970718252 , -0.451589572664335 , 0.310329611379731 , 0.0230223906384173 , 0.0474607160095478 , -1.73083188601138 , -0.617396272586416 , -0.597476478152067 , 1.1743622528076 , -0.588174865002154 , 1.29502621101626 , 0.723448271884204 , 0.22907147054454 , 0.187849998646744 , 0.126861301897701 , 0.445751684030372 , -0.169088560674871 , -0.381742857396167 , 0.198528333256694 , 1.10165577932968 , -1.56362209182759 , 0.563697596084894 , 0.173385441765989 , 0.937609192713585 , 0.13955930363362 , -0.131013599496019 , 1.70439094615445 , 1.41025183416998 , 1.19459576764577 , -0.721015014532482 , -1.01213048207997 , 0.0756098516169259 , 2.47577380723105 | 0.1126530 |
| 19 | 50 | 0.5 | 0.0 | 0.5 | control , control , control , control , control , control , control , control , control , control , control , control , control , control , control , control , control , control , control , control , control , control , control , control , control , control , control , control , control , control , control , control , control , control , control , control , control , control , control , control , control , control , control , control , control , control , control , control , control , control , intervention , intervention , intervention , intervention , intervention , intervention , intervention , intervention , intervention , intervention , intervention , intervention , intervention , intervention , intervention , intervention , intervention , intervention , intervention , intervention , intervention , intervention , intervention , intervention , intervention , intervention , intervention , intervention , intervention , intervention , intervention , intervention , intervention , intervention , intervention , intervention , intervention , intervention , intervention , intervention , intervention , intervention , intervention , intervention , intervention , intervention , intervention , intervention , intervention , intervention , -1.0565421564488 , 0.143302729943887 , -0.180061875173092 , 0.533227417221753 , 0.104397069855146 , 0.902973206768629 , 0.233536292263595 , -0.477590138681429 , 0.0509718002048641 , -0.0810170217360193, -0.340642696822131 , -0.688453106054506 , -0.0252915289041189, -0.293265658127124 , 0.215482017975507 , 0.482167047260285 , -1.25843779900983 , -0.815966553162057 , -0.0741336206480611, 0.277057878759669 , 0.520423904239543 , -0.727352878475598 , 0.492919708624818 , 0.0748680690842179 , -0.0772576059743693, -0.401007069606823 , -0.11655302590473 , 0.0976605545026975 , -0.252425473011892 , -0.71305297143849 , -0.95416541259409 , -0.950569179732238 , -0.308768849089677 , -0.37407538395714 , -0.434376793288635 , 0.393540541910787 , -1.07888066065871 , -0.299912325557126 , -0.900054795987037 , -0.0441843231773181, 0.101465994936783 , 0.886562896319245 , 0.934076520768502 , -0.839754819941991 , 0.22115448450836 , -0.0559351429518753, 0.801558306962945 , 0.0554921746527161 , -0.174603637037578 , -1.27367526074085 , 0.134058101627727 , 0.0783276123017705 , -0.347774223348291 , 0.508340440892002 , 1.1487258036611 , 0.497083420637939 , 0.364756610927914 , 0.189318206782786 , 0.247707944932073 , 0.982158324006765 , 1.09902658383345 , 0.73973529071449 , 0.903185657484952 , -0.226596004655781 , 0.769267517055201 , -0.214568542376274 , -0.241026975476773 , 0.22622370706497 , 1.41902158070318 , 0.516169881908041 , 0.76387157620149 , 1.25631115668665 , 0.572736462850451 , 0.0419296785036916 , 1.26339911187732 , -0.340277221336012 , 0.476171454450363 , 0.879584029169404 , 1.58535811929182 , 0.709648852166509 , -0.0413124274682958, 0.0855179501779289 , 0.150160753885238 , 0.894886822471218 , -0.0075978336186161, 0.888166547561163 , 1.13612721030872 , 0.0444505879573495 , 0.30477180989744 , 0.671121507680549 , 0.368465996057251 , 0.292466440766157 , 1.02831667949829 , 0.671380688741448 , -0.190228406736991 , 1.54000675356761 , 0.838657958871847 , -0.0509827477521675, 0.148768712883708 , 0.489157411089692 | 0.0000000 |
| 19 | 50 | 0.5 | 0.0 | 1.0 | control , control , control , control , control , control , control , control , control , control , control , control , control , control , control , control , control , control , control , control , control , control , control , control , control , control , control , control , control , control , control , control , control , control , control , control , control , control , control , control , control , control , control , control , control , control , control , control , control , control , intervention , intervention , intervention , intervention , intervention , intervention , intervention , intervention , intervention , intervention , intervention , intervention , intervention , intervention , intervention , intervention , intervention , intervention , intervention , intervention , intervention , intervention , intervention , intervention , intervention , intervention , intervention , intervention , intervention , intervention , intervention , intervention , intervention , intervention , intervention , intervention , intervention , intervention , intervention , intervention , intervention , intervention , intervention , intervention , intervention , intervention , intervention , intervention , intervention , intervention , 0.186465443533708 , 0.794905278137248 , -0.410575563019573 , -0.991847070024281 , -0.629389188146729 , 1.33257510153063 , 0.38678848683593 , 0.136685939340257 , -0.825230226291482 , -0.140805021139358 , -0.182053295844325 , -0.979900084408505 , 0.329603601291384 , 0.215461129756142 , -0.166483284258381 , -0.537995380254963 , -1.55730190777433 , 0.325005213370131 , 0.425209051885393 , 1.82438142535233 , -1.5760556470134 , 0.56532772121751 , -1.30275144492064 , -0.569274319156947 , 1.37206613923198 , 0.669746592750889 , -0.386813914897838 , -1.37714458717029 , 1.03824027828211 , -0.444663250147251 , 1.91594536034388 , 0.186289624247118 , -0.671451957079124 , -1.80897687889249 , 3.60136419171712 , -0.250603627425573 , -0.520977185233533 , -0.27339489939722 , -1.08731353977342 , -0.563528327854305 , -0.533998621685643 , 0.127210183191703 , -0.373561716431717 , 0.276388323396597 , -0.100891614153068 , 0.426845281579082 , -0.710052888253911 , -2.07002481179708 , -0.500329190086055 , -0.465152771461472 , -0.304958027509289 , 0.42908964955737 , -0.152629099211792 , 0.524691001522651 , 0.750439823655957 , 1.62335493522686 , 0.198083134114968 , 0.500300859979997 , 0.143860375207041 , 0.325798703678377 , 1.1734306953116 , 0.274174905076177 , -1.36053005484928 , -0.0783797676393135, 1.79955084965317 , 0.782997464539581 , -0.233363517670883 , 1.14212454566161 , 0.939352527733302 , -0.665749524681593 , 0.65302499185659 , 0.953739382490652 , 0.440789009964153 , 1.59140267239995 , -0.0328859472076276, 0.291138680493681 , 1.8350893343991 , -0.873736166508518 , -1.23459591793042 , 0.904414923743886 , -0.794617435098896 , 0.268941935995812 , 0.795611166820674 , 0.421510987393567 , -0.274528364145302 , 0.191862586977194 , -0.591175748192817 , 0.541971125836899 , -0.861543011612695 , 1.01395244336554 , -0.232728539379209 , -0.498585205710769 , -0.699504356264105 , 1.29590526770907 , 0.375148116156284 , 0.256295016453928 , 1.64167462804181 , 1.83997486867912 , 1.44229522146617 , -0.293518999896573 | 0.0105742 |
| 19 | 50 | 0.5 | 0.1 | 0.5 | control , control , control , control , control , control , control , control , control , control , control , control , control , control , control , control , control , control , control , control , control , control , control , control , control , control , control , control , control , control , control , control , control , control , control , control , control , control , control , control , control , control , control , control , control , control , control , control , control , control , intervention , intervention , intervention , intervention , intervention , intervention , intervention , intervention , intervention , intervention , intervention , intervention , intervention , intervention , intervention , intervention , intervention , intervention , intervention , intervention , intervention , intervention , intervention , intervention , intervention , intervention , intervention , intervention , intervention , intervention , intervention , intervention , intervention , intervention , intervention , intervention , intervention , intervention , intervention , intervention , intervention , intervention , intervention , intervention , intervention , intervention , intervention , intervention , intervention , intervention , -0.770394101216568 , -0.208733342423711 , 0.288951281337122 , 0.122945790589812 , -0.0983930709018273 , -0.338461652203944 , -0.21385261470352 , 0.110120502803702 , -0.037911917736341 , 0.840441237412011 , -0.437066711979679 , -0.980963763210465 , -0.285249278103741 , 0.901067156661719 , -0.071619109719662 , 0.590948437900633 , 0.307531372965916 , 0.766597639242024 , 0.26187211326624 , 0.787487749951169 , 0.0924290985855347 , -0.140219481572429 , 1.04656711079848 , 0.102321584290588 , -0.142601045295468 , -0.547040285773207 , 0.460886095096057 , 0.647733992506304 , 0.556009818231092 , 0.280444824255562 , -0.165046965497057 , 0.277011201720651 , 0.717536787368187 , 0.0404966719336439 , 0.46007302391598 , 0.329282152201169 , 0.197863836857317 , 0.266065708066517 , 0.277496391330618 , -0.259383994013362 , 0.632355868098928 , 0.390988609389167 , 0.491401218282288 , 0.453530395678722 , 0.901666828995136 , -0.00401101531089801, 0.0231227249426564 , 0.327063962762803 , 0.512946671516418 , -0.0760626012564863 , 1.44689923874272 , 0.43742340536687 , 0.574319035971985 , 1.66496656648011 , 0.411905665105192 , -0.208240473934517 , 0.280983389204575 , 0.302492433710344 , -0.764984513060385 , 0.785328720034741 , 1.11291575159588 , 0.454565737288075 , -0.701821658902543 , 0.85447466423534 , -0.0308004043997298 , 1.17512990016771 , 0.174612311549691 , 0.651266856670105 , 0.781453782242022 , -0.143097284008869 , 0.599473162685637 , -0.899816659005952 , 0.521922204273705 , 1.0211965487875 , 0.770184748642056 , 1.34845119741357 , -0.194958007071715 , 0.125514085381111 , 0.559199952976158 , -0.24727160994433 , 1.45160115698596 , 1.4137853837476 , 0.546884487271141 , 0.27894468826172 , 0.298159447538976 , 1.03064459707637 , -0.358415713467146 , 0.540706920725463 , 0.88883520606811 , 1.07398129053678 , 0.753824141994031 , 0.534010376969913 , 0.152279166449767 , -0.970801440633548 , 0.724434545926064 , -0.06258403419291 , 0.870804697546144 , 0.9125142550065 , 0.569559744055599 , 0.720547065607043 | 0.0075293 |
| 19 | 50 | 0.5 | 0.1 | 1.0 | control , control , control , control , control , control , control , control , control , control , control , control , control , control , control , control , control , control , control , control , control , control , control , control , control , control , control , control , control , control , control , control , control , control , control , control , control , control , control , control , control , control , control , control , control , control , control , control , control , control , intervention , intervention , intervention , intervention , intervention , intervention , intervention , intervention , intervention , intervention , intervention , intervention , intervention , intervention , intervention , intervention , intervention , intervention , intervention , intervention , intervention , intervention , intervention , intervention , intervention , intervention , intervention , intervention , intervention , intervention , intervention , intervention , intervention , intervention , intervention , intervention , intervention , intervention , intervention , intervention , intervention , intervention , intervention , intervention , intervention , intervention , intervention , intervention , intervention , intervention , 1.04389956546785 , 0.12003240023993 , 1.28437192614518 , 0.389094068334753 , -1.21366423745036 , -1.02775085662755 , 1.453840611292 , 1.81157859265409 , 0.563828519996123 , -0.0955976899223162, -1.73472086630418 , 2.31826606106738 , -1.39480412720373 , 1.08859518856996 , 0.210443667452444 , -0.711460237658095 , -0.323017915808256 , -1.91472149832607 , -0.754490281607855 , 1.8860064778187 , -0.063465898800403 , 1.54067113343859 , 2.88427031661629 , -0.839348594598396 , -1.36738585183838 , 0.924631831823174 , -1.22847186930842 , 1.17944543780402 , 0.0693451368059265 , 0.0814838859171645 , 0.295800599332272 , 1.08466182629593 , 0.217804948919197 , -0.106691485551488 , -0.139949786519684 , -1.2568531014188 , 0.767158392856873 , -1.14601243550963 , 1.17366238652141 , 0.37288539173229 , -1.47804121638267 , -1.12283129162078 , 0.95846777085414 , 1.28777154179377 , -3.16095319574133 , -0.951764106737991 , 0.817707452734573 , 0.985716673631479 , -1.42209777023194 , -2.31674381726305 , 1.2715509330466 , 1.15114636182859 , -0.0585140604474331, 1.2115964930981 , 1.56492353927767 , 1.63609241405149 , 0.355688222751919 , 1.91855584601526 , -1.20959975915986 , -0.115378957052536 , 0.17101103323321 , 0.922867500761298 , 0.743613269838819 , 0.344143807956775 , 0.373303500808224 , 0.687676396518725 , 0.887622693913716 , 0.131981802517619 , -0.153022706442738 , 0.0251433884917042 , 0.142912948973961 , -0.490208439651574 , 0.195810542651958 , -0.106876649871763 , 1.99205435306786 , 0.435082542806725 , -0.116067371095158 , 1.78666485629141 , 0.78854843187164 , 1.34016902561054 , 0.723489541148638 , -0.143888858201829 , -0.0875681739599374, 0.0177924030162138 , 1.25960132876184 , -2.78115824963916 , -1.02100957738526 , 0.73909453029453 , 0.283896680794571 , 1.26413725134562 , 0.42764729220959 , 0.304862861881633 , 0.223272259358705 , 1.45821882678383 , 1.44292701481696 , -0.963239618228319 , 1.65596783161551 , 0.512427606597356 , 1.42603796158873 , 0.605398369195086 | 0.0313325 |
| 20 | 20 | 0.0 | 0.0 | 0.5 | control , control , control , control , control , control , control , control , control , control , control , control , control , control , control , control , control , control , control , control , intervention , intervention , intervention , intervention , intervention , intervention , intervention , intervention , intervention , intervention , intervention , intervention , intervention , intervention , intervention , intervention , intervention , intervention , intervention , intervention , -0.109196019889837 , 0.0267210243782207 , 0.304955022081307 , -0.625940647260532 , 0.412158857774524 , 0.356836507173506 , -0.360317182508834 , 0.513232958974748 , -0.694575876595173 , 0.541261630245885 , 0.234254582362241 , 0.103966614963649 , -0.163249306629105 , 0.998988372118134 , 0.652426916103294 , 0.0329528277722619 , -0.525626448872864 , 0.282693302058891 , 0.642107381380339 , 0.413241325329145 , 0.897200283183714 , 0.125554491625353 , 0.441583897969322 , 0.212307182647182 , -0.809852239496802 , -0.0236318655532325 , 0.0222834081703805 , -0.218760204949058 , 0.0798482798317472 , -0.0965503873999239 , 0.451364465450545 , -0.584372901643994 , -0.29009857398757 , -0.269511867839015 , 0.948847653060798 , 0.122158453517868 , -0.0836907403293847 , 0.246341832677024 , 0.308634971811583 , -0.000835654643907792 | 0.5802142 |
| 20 | 20 | 0.0 | 0.0 | 1.0 | control , control , control , control , control , control , control , control , control , control , control , control , control , control , control , control , control , control , control , control , intervention , intervention , intervention , intervention , intervention , intervention , intervention , intervention , intervention , intervention , intervention , intervention , intervention , intervention , intervention , intervention , intervention , intervention , intervention , intervention , -0.273919222558235 , -0.239541167553231 , -0.35939775535259 , -0.284759773703694 , -2.06503374395162 , -0.401322227187335 , -0.220788043317458 , -0.224737800797759 , 0.50805244343679 , 0.98882381813387 , 1.5431807911303 , 0.204308154957954 , -1.02022352921625 , 1.02373856538097 , 1.44278227175074 , -0.735727119202284 , 1.27242855774479 , 0.557449998860763 , -0.364264960169763 , -1.15088616502557 , 2.04726958376359 , -2.9106184867827 , -1.43386970314531 , 1.53679770761657 , -0.707027311168599 , 1.21164390623944 , -1.91662066613403 , -0.115206890964353 , 0.216616089858088 , -0.770606058679001 , 1.23980168758059 , -1.43134348455532 , 0.119876988495772 , 1.40486507396663 , -0.721806526597283 , 0.682593804709622 , -1.55641847367684 , -0.887669638225306 , -0.181780822377364 , -0.0542781151604607 | 0.5408521 |
| 20 | 20 | 0.0 | 0.1 | 0.5 | control , control , control , control , control , control , control , control , control , control , control , control , control , control , control , control , control , control , control , control , intervention , intervention , intervention , intervention , intervention , intervention , intervention , intervention , intervention , intervention , intervention , intervention , intervention , intervention , intervention , intervention , intervention , intervention , intervention , intervention , 0.333510414501314 , -0.166359562704269 , 0.664651997897256 , -0.492550336539397 , 0.783250559178468 , -0.0751163854911766 , 1.24001223174879 , 0.807697207460494 , 0.816912351253555 , 0.0987569099678842 , -0.0413750646709356 , -0.549892376604274 , -0.543364416678844 , 0.20323090659317 , 1.43391362831722 , -0.322192989478458 , -0.191351751333946 , 0.123087147983434 , 1.02929002025522 , 0.429389378476686 , 0.484476765734077 , 0.691119234176771 , 0.674032571658261 , -0.169566765405002 , 0.144859163140989 , 0.880637906525613 , -0.0471179316059659 , -0.498493609952591 , 0.0789310295808865 , -0.792599156243587 , 1.08876715482239 , -0.157400454655961 , 0.507066992617545 , -0.506253808340481 , -0.00458425999942559, 0.0624672821275172 , -0.897077506576769 , -1.15748670962881 , -0.00494628505648692, 0.135251456969865 | 0.1882947 |
| 20 | 20 | 0.0 | 0.1 | 1.0 | control , control , control , control , control , control , control , control , control , control , control , control , control , control , control , control , control , control , control , control , intervention , intervention , intervention , intervention , intervention , intervention , intervention , intervention , intervention , intervention , intervention , intervention , intervention , intervention , intervention , intervention , intervention , intervention , intervention , intervention , -1.59724336749987 , 0.423701115838406 , -0.338669088094509 , 1.92929413896047 , -0.583540532777992 , -0.0334395757688224 , -0.981800612708799 , 0.140813562986921 , 0.0732665007422679 , -0.744244693269135 , 0.207109502678599 , 1.45191902756718 , 1.39031277333729 , -0.122071828243524 , 0.212941804280362 , -0.00953680989503083, 1.59337765467424 , 0.252320461255429 , -1.7493541407127 , -0.843833659252347 , 0.117863950498269 , 0.366273401493926 , -0.640637708625695 , 0.135672323000802 , -0.0857949014414149 , -0.411897798342082 , 0.479583426243038 , -0.145064339119062 , -1.12134456031929 , -0.083536907984573 , -0.301731364644489 , 0.916426992591859 , 0.0520255331195073 , 0.616535197843538 , 0.634714244571754 , -1.26855783175103 , 0.238647276293813 , -0.821904789534599 , 0.566626635646739 , 1.8905042931326 | 0.9337658 |
| 20 | 20 | 0.5 | 0.0 | 0.5 | control , control , control , control , control , control , control , control , control , control , control , control , control , control , control , control , control , control , control , control , intervention , intervention , intervention , intervention , intervention , intervention , intervention , intervention , intervention , intervention , intervention , intervention , intervention , intervention , intervention , intervention , intervention , intervention , intervention , intervention , 0.327985324615452 , -0.749577747570276 , 0.408243396334622 , -0.123141765342171 , -0.464509268001489 , 0.243382672989889 , 0.247805682989026 , 0.41553442244421 , -0.437690531264419 , 0.691901460270692 , 0.802071819763092 , 1.01919463980163 , -0.189794349899625 , 0.646473459596997 , 0.15519114213804 , 0.198797909261774 , -0.794554786663 , 0.0741048667622593 , 0.476907306328838 , -0.0726507166758918, 0.40841329485246 , 0.985853878677798 , 0.334638653801434 , -0.76680868943648 , 1.42867519174588 , 0.901325737222262 , -0.10983006951302 , 0.783329221724122 , 0.292608144176286 , 0.778846243428913 , 0.310817079896635 , 1.33946948293861 , -0.129548790716627 , 0.985573703133196 , 0.230892225963021 , 0.782405187558949 , 0.619684784904052 , 1.1728915605129 , 1.0106188609134 , 0.922123534302604 | 0.0069789 |
| 20 | 20 | 0.5 | 0.0 | 1.0 | control , control , control , control , control , control , control , control , control , control , control , control , control , control , control , control , control , control , control , control , intervention , intervention , intervention , intervention , intervention , intervention , intervention , intervention , intervention , intervention , intervention , intervention , intervention , intervention , intervention , intervention , intervention , intervention , intervention , intervention , -0.164842333722132 , 1.68012468109552 , -0.263567721369448 , -0.796540165233804 , -0.533671264662731 , 0.0435728581642804 , 0.551585058498104 , 2.64287193159085 , -1.5128589074709 , -0.444630484805298 , -0.634013132130244 , 0.36037969642429 , -0.823426356676229 , 0.546265604171618 , -0.396967329761242 , -0.131734381130903 , 0.253097921445902 , 0.0365684961926869 , 1.03483173787381 , 0.152298609957547 , 2.17796736407873 , 1.0007153409362 , 0.911548049327908 , 0.301496868193653 , 1.40789012826191 , -0.787465509780894 , 0.725202038434908 , 1.67931144220735 , 1.88796873481301 , 0.685886563699724 , 1.08665321140295 , 0.708116307867935 , 0.599624637105126 , 1.54255996405532 , 0.00321660386669947, 0.33862844492755 , 0.67448528874808 , -0.506888825076208 , 0.207672391621147 , -0.211926935858397 | 0.0230744 |
| 20 | 20 | 0.5 | 0.1 | 0.5 | control , control , control , control , control , control , control , control , control , control , control , control , control , control , control , control , control , control , control , control , intervention , intervention , intervention , intervention , intervention , intervention , intervention , intervention , intervention , intervention , intervention , intervention , intervention , intervention , intervention , intervention , intervention , intervention , intervention , intervention , -0.123488489087919 , -0.0135095166163513, -0.221920426530741 , -0.0781123781721128, 0.295226550769839 , -0.113115096612935 , 0.257963723255081 , -0.0476010171635834, 0.591286852267874 , -0.248859114701178 , -0.305506765915572 , 0.50723853320185 , 0.0805889989288695 , 0.337452945861448 , 1.06541571569985 , 0.334107143489414 , 0.0168131641433939 , -0.138627982419403 , -0.295714849312375 , 0.120939650924402 , 0.841743335653959 , -0.576800322475622 , 0.813079828963978 , 0.517143597148112 , -0.444232191276669 , 0.149463672934293 , 1.15090714719915 , 0.670455700400212 , 0.970189230080942 , 0.914540926978651 , 0.614430262685073 , 0.337066048580912 , 0.852982192327405 , 0.0720430270037887 , 0.819170080049662 , 0.191178943436646 , 0.33835194078817 , 0.109736356804066 , 0.135153921747924 , 0.841713108021393 | 0.0080659 |
| 20 | 20 | 0.5 | 0.1 | 1.0 | control , control , control , control , control , control , control , control , control , control , control , control , control , control , control , control , control , control , control , control , intervention , intervention , intervention , intervention , intervention , intervention , intervention , intervention , intervention , intervention , intervention , intervention , intervention , intervention , intervention , intervention , intervention , intervention , intervention , intervention , 1.34633343624777 , -1.43682788416447 , 0.326096149295651 , -0.264331828553387 , 0.482741052486709 , 0.229648394711245 , 1.13462054277223 , -0.62804976091605 , 0.427195996661267 , 0.246038922472976 , -0.383612425802013 , -0.765268374001227 , 1.0156532487277 , -0.160859872086129 , 0.313010720094 , 1.32109630734401 , 0.661291975396271 , -0.194004239215469 , 0.807925206677533 , 0.587956479061827 , 1.42181408025621 , 0.910746382596744 , -0.0418686754024429, 0.543259400812809 , 0.107681139689782 , 2.06820489662138 , -1.02559923882443 , 0.0337902756028033 , -1.10523713592394 , 0.968032168543112 , 0.737685356498225 , 1.90544902123111 , 1.93279562486138 , 1.40269390082999 , -0.453965674195755 , 1.90047161512994 , -0.172958488640195 , 1.74868057065256 , 1.26061843846544 , 0.0662512201412336 | 0.1063502 |
| 20 | 50 | 0.0 | 0.0 | 0.5 | control , control , control , control , control , control , control , control , control , control , control , control , control , control , control , control , control , control , control , control , control , control , control , control , control , control , control , control , control , control , control , control , control , control , control , control , control , control , control , control , control , control , control , control , control , control , control , control , control , control , intervention , intervention , intervention , intervention , intervention , intervention , intervention , intervention , intervention , intervention , intervention , intervention , intervention , intervention , intervention , intervention , intervention , intervention , intervention , intervention , intervention , intervention , intervention , intervention , intervention , intervention , intervention , intervention , intervention , intervention , intervention , intervention , intervention , intervention , intervention , intervention , intervention , intervention , intervention , intervention , intervention , intervention , intervention , intervention , intervention , intervention , intervention , intervention , intervention , intervention , -1.00762194087446 , -0.220437676095638 , -0.0578257140099023, 1.36245056890045 , -0.770332613814049 , -0.178208313194551 , -0.0871836297660246, 0.0396028170681726 , 0.556031646076064 , -0.834136643232969 , -0.21934706223798 , -0.139312708529008 , -0.175581072440812 , 0.650059966291194 , -0.581285652108665 , -0.0542578295814401, -0.377797861604225 , -1.11152362744063 , -0.0485947552210997, -0.260786485231817 , 0.25762932043173 , -0.123759591891988 , -0.0175988529441505, 0.357892942772875 , -0.877844013793958 , -0.0647511743198141, -0.626453780633255 , 0.0700264763922677 , -0.0111920537536806, -0.779068425901927 , 0.432511135871803 , -0.0689239198844383, 0.575135303959099 , 0.395124012854998 , -0.622055648122012 , 0.456217126366623 , -0.147678742556414 , 0.444586250552801 , 0.658095616797242 , -0.0661157746522507, 0.27324052704828 , 0.10006159019592 , -0.263058433598101 , -0.191607955588454 , 0.151360054676105 , 0.461414391698184 , -0.738492458508999 , -0.120891032463204 , -0.49606288231649 , -0.340855235697729 , -0.0861605284491198, 0.135041222892006 , -0.913614449337213 , 0.538552715912389 , 0.299645201236945 , 0.190750197532547 , -0.283492990439971 , -0.150887618061101 , -0.0965976834904806, 0.0700691550232065 , -0.922251809593759 , -0.386600129079477 , -0.0821401398633192, 0.0239928302989692 , -0.352838944554727 , 0.576659834716915 , 0.679492175640496 , 0.557966138932832 , -0.411442957092281 , 0.486752521844685 , -0.491202445164681 , -0.202316769789507 , -0.691903308694947 , 0.105990156374656 , 0.344303537349844 , 0.519173040351854 , -0.320446197206848 , -0.0802967642252778, 0.896868694984449 , -0.244620188529202 , -0.180333007171946 , -0.129022540843595 , 0.459967926765389 , 1.08854146980463 , -0.82709333233793 , 0.879705860346179 , 0.016015045507038 , 0.698257947912682 , 0.46784572619552 , 0.751940903106194 , 0.295627280418129 , 0.0363966946384509 , -0.0244677956956301, -0.0164949228017263, -0.0024127890648165, -0.51981268677142 , -0.0228546514898534, 0.476408507963476 , -0.489419866049338 , -0.25973490650976 | 0.1595936 |
| 20 | 50 | 0.0 | 0.0 | 1.0 | control , control , control , control , control , control , control , control , control , control , control , control , control , control , control , control , control , control , control , control , control , control , control , control , control , control , control , control , control , control , control , control , control , control , control , control , control , control , control , control , control , control , control , control , control , control , control , control , control , control , intervention , intervention , intervention , intervention , intervention , intervention , intervention , intervention , intervention , intervention , intervention , intervention , intervention , intervention , intervention , intervention , intervention , intervention , intervention , intervention , intervention , intervention , intervention , intervention , intervention , intervention , intervention , intervention , intervention , intervention , intervention , intervention , intervention , intervention , intervention , intervention , intervention , intervention , intervention , intervention , intervention , intervention , intervention , intervention , intervention , intervention , intervention , intervention , intervention , intervention , 0.105088059741203 , -2.13571698349179 , -0.257903704568279 , 0.587675465748281 , 0.256682090637273 , 1.60669527824053 , -0.399790207827472 , 0.0482979883806784 , -0.646416535142666 , -1.00421597620429 , 0.164376461935883 , -0.944016847441659 , -2.73865766027586 , 0.432864554034705 , 0.278701011021474 , -0.54891840096161 , -1.88405282850136 , 0.359506895781795 , 0.482639741475232 , -0.170809177031347 , -0.408962574036201 , -0.225819075534481 , -0.794132945177525 , -1.78298264287856 , -1.47349283192147 , 1.42694909897953 , 1.49485189048845 , -0.157142489253145 , -0.9315523718422 , -0.547702728224354 , 0.428411752948104 , 0.859418249798106 , -0.0324810054833562, -0.458221075910912 , 1.815065097021 , -0.530481385862335 , -0.534151937719265 , 0.513568948188801 , -0.278805497995989 , 0.134029902138781 , 0.386316646854769 , -1.9116100790697 , 0.497998267490818 , 1.04587470149603 , -0.749952713039285 , 0.929157557520975 , 0.0394959298663982 , -0.217536363401039 , 1.88261879620887 , 0.648593153804225 , -1.82187106349193 , -1.20243995377838 , -0.103790400699536 , -0.348365304396541 , -2.15569300922472 , 0.0163888210680897 , 0.438101871970824 , -0.681836376477563 , -0.66819874895362 , -1.22870621918506 , 0.681152274633267 , 1.33938456826337 , -1.41397102338954 , 0.742121127711223 , 0.12177824850211 , -0.738532838342551 , 0.702461935663949 , -1.94352836348825 , 0.0463844766975448 , -0.27040952640349 , -0.340777047147595 , 1.80793015004595 , 0.483119431593138 , -0.141182094921068 , -1.55936088849956 , 0.547031886294919 , -0.102284431220233 , -1.66903356429775 , -1.60553214905701 , -0.874350276449927 , -0.956213622012463 , 0.169380087007453 , -0.207958585430888 , 0.430001248110085 , 0.552249606824602 , 0.425752184372142 , -0.582558518887406 , 0.826752459795245 , -0.0575445632693173, 0.323011217428838 , 0.0690917696644332 , 0.102813649121511 , -0.149448223508999 , -1.44604385593185 , 0.360366292567458 , -0.865179421443343 , -0.0853715863032913, -0.0346316152073154, 1.15909407963844 , 2.59895157470576 | 0.6887212 |
| 20 | 50 | 0.0 | 0.1 | 0.5 | control , control , control , control , control , control , control , control , control , control , control , control , control , control , control , control , control , control , control , control , control , control , control , control , control , control , control , control , control , control , control , control , control , control , control , control , control , control , control , control , control , control , control , control , control , control , control , control , control , control , intervention , intervention , intervention , intervention , intervention , intervention , intervention , intervention , intervention , intervention , intervention , intervention , intervention , intervention , intervention , intervention , intervention , intervention , intervention , intervention , intervention , intervention , intervention , intervention , intervention , intervention , intervention , intervention , intervention , intervention , intervention , intervention , intervention , intervention , intervention , intervention , intervention , intervention , intervention , intervention , intervention , intervention , intervention , intervention , intervention , intervention , intervention , intervention , intervention , intervention , -0.112833597397789 , 0.581891761990228 , -0.145821858782941 , 0.512130427253041 , -0.634621062397368 , 0.0642465567046801 , 0.608122380001896 , -0.183484043855564 , 0.335321234506005 , -0.162735384455685 , -0.103220440664361 , 0.150836582426725 , 0.230738799032074 , -0.0945255390003003 , 0.341195251728084 , -1.62749349165385 , 0.586082572728965 , -1.06965922867562 , 0.0480858085799642 , 0.757475258284972 , 0.0928443479549233 , -0.294650586334196 , 0.281085951182449 , 0.613989622322273 , 0.670577621964548 , 0.22238869810975 , 0.00155358358520448 , -0.297585863231462 , -0.0627411376529058 , 0.182142022914725 , 0.566680725119344 , 0.620297573472153 , 0.498414994856456 , 0.617875635745277 , -0.296130455886561 , 0.37626601822711 , 0.0957412041475712 , 0.307480656599059 , 0.322493054859375 , 0.605340462235215 , 0.142997169706024 , 0.321857892803945 , 0.083697748879924 , 0.374726937278947 , 0.243412235661823 , -0.322459646859504 , -0.0261615484262847 , 0.290037327311788 , 0.0837810200384533 , -0.357129714364723 , -0.821865613945518 , -0.00831937076313019, 0.313607472285899 , -0.361097764224529 , 0.249959506052828 , 0.890086881492325 , -0.197576210089237 , 0.112563495645913 , 0.420568470845399 , -0.197484592613982 , 1.35232591472206 , 0.346615113341051 , -0.0195796011122339 , 0.124028101301029 , -0.133940274683446 , 0.166629389032176 , 0.11840931262194 , 0.328312155969142 , -0.09253165996723 , -0.197850180320456 , -0.0817390908489426 , 0.317527191741642 , -0.24212014664291 , 0.114933271643564 , 0.379057185969568 , 1.04252658489545 , 0.0768985710517251 , -0.00339945393348604, 0.870083534774056 , 0.192958935735194 , -0.200319404899574 , 0.235838629925626 , -0.411421436310145 , -0.327699708409206 , 0.223756264893114 , -0.215170245556774 , 0.295671655515798 , -0.659796018442469 , 0.421982133478979 , 0.359695098136252 , 1.36812359624581 , 0.535636764336709 , 1.43918066453384 , -0.615645734789864 , 1.1474664008033 , -0.659580218642206 , -0.277216101027841 , 0.17701362209532 , 0.937850596495748 , -0.151074378669321 | 0.5891923 |
| 20 | 50 | 0.0 | 0.1 | 1.0 | control , control , control , control , control , control , control , control , control , control , control , control , control , control , control , control , control , control , control , control , control , control , control , control , control , control , control , control , control , control , control , control , control , control , control , control , control , control , control , control , control , control , control , control , control , control , control , control , control , control , intervention , intervention , intervention , intervention , intervention , intervention , intervention , intervention , intervention , intervention , intervention , intervention , intervention , intervention , intervention , intervention , intervention , intervention , intervention , intervention , intervention , intervention , intervention , intervention , intervention , intervention , intervention , intervention , intervention , intervention , intervention , intervention , intervention , intervention , intervention , intervention , intervention , intervention , intervention , intervention , intervention , intervention , intervention , intervention , intervention , intervention , intervention , intervention , intervention , intervention , 0.544186456951798 , -0.145781669802375 , -1.26804914136478 , -1.11342268789448 , -1.73509515710386 , -1.09147240225077 , 0.0033748162673642 , 0.23100611121691 , 0.19065641249529 , 0.0108730984158201 , 0.0738623785341962 , 0.98244877306273 , -0.529369338786162 , -0.751942447840864 , 0.548821763846297 , 1.43492258868398 , 1.01313567868667 , 2.49276898177055 , -0.721243428561129 , 0.0203649167095746 , 0.21633418647052 , -0.513839111681165 , -0.653138611600138 , -0.256979048003071 , 1.37832003511161 , 0.594987406352997 , 1.22091185582495 , -0.206946182568244 , -0.112736097434527 , -1.92538012504244 , -0.467750862518357 , 0.664477950875573 , 1.09321680518494 , -0.89590388376219 , 0.437256574539464 , 1.10202017376053 , 1.02432354722921 , -0.824093751605018 , -1.30517797528694 , -0.134206651795164 , -0.478708631238975 , 1.36939812955192 , 0.202723363668128 , 0.838999432666913 , 0.456413091272092 , 0.961352851994098 , 0.712417113605638 , 0.522882886530728 , 1.86153970196439 , 0.194965121621157 , -0.73115831107693 , -0.818216916289685 , -1.3567205914039 , -0.381977214103912 , 0.236514987954103 , 1.48786231567094 , 0.0494366741766059 , -0.292143957205863 , -0.316522681350679 , -0.712481131252645 , 0.984891273571712 , 1.29657295661863 , 1.48594203480623 , -0.625733867051045 , -0.867809027145196 , -1.32611768139415 , -1.70216663536085 , 0.223786682794145 , -0.503706281673229 , 1.29733241098748 , 0.954525166388133 , 0.026710432148107 , -0.443399153992648 , 2.2073635353182 , -1.03595280207561 , 0.654061900979696 , 0.0295327969985395 , -1.0944161473278 , 1.07018223309266 , -0.688637427907454 , 0.00388784034970425, -0.783986389527582 , 1.92385712410534 , 0.604428887238746 , 1.53635576069326 , 0.565201759357529 , 0.838268022752553 , 0.120240432090305 , -1.38350702164411 , -0.571753300797699 , 0.723440932330676 , -0.742266292944304 , -1.93629096972076 , -1.06760667962658 , 0.746090218255624 , 0.533035056508679 , -0.133945629915565 , 0.471480825487919 , -1.9494013764267 , -0.219628311096579 | 0.3633198 |
| 20 | 50 | 0.5 | 0.0 | 0.5 | control , control , control , control , control , control , control , control , control , control , control , control , control , control , control , control , control , control , control , control , control , control , control , control , control , control , control , control , control , control , control , control , control , control , control , control , control , control , control , control , control , control , control , control , control , control , control , control , control , control , intervention , intervention , intervention , intervention , intervention , intervention , intervention , intervention , intervention , intervention , intervention , intervention , intervention , intervention , intervention , intervention , intervention , intervention , intervention , intervention , intervention , intervention , intervention , intervention , intervention , intervention , intervention , intervention , intervention , intervention , intervention , intervention , intervention , intervention , intervention , intervention , intervention , intervention , intervention , intervention , intervention , intervention , intervention , intervention , intervention , intervention , intervention , intervention , intervention , intervention , 0.118165550688297 , 0.0517030303770645 , -0.788133528305549 , 0.192462071768956 , -0.673450323608244 , 0.0860293651340449 , -0.072922463843686 , -0.605835721428961 , -0.0635888388839012, 0.265554589225323 , 0.071322685026889 , -0.141939774188562 , 0.168615947887263 , 1.27162938169818 , -0.237044850391214 , 0.627722871671439 , -0.0583060369378944, -0.404217417880059 , -0.189534188674444 , 1.0067371724674 , -0.434621561090219 , 0.700730950074754 , -0.129827421710265 , -0.0106757779557201, -0.80672588376765 , 0.682320427370727 , -0.478685184250187 , -0.243249935112648 , 0.169114735239157 , 0.200246725016018 , -0.188987538376406 , 0.249704198427937 , -0.126271158357903 , 0.0372573488503605 , 0.372744791284169 , -0.0101751190582666, -0.744770640595325 , 0.210027030176354 , -0.0638665404005771, -0.449234624081148 , -0.27118882132539 , 0.40852342458927 , -0.373772253916092 , -0.259824337786584 , 0.302651756859033 , -0.186125666540056 , -0.464583503352159 , -0.401329290262814 , 0.611166677815904 , 0.0998711153356344 , 0.848030632609091 , 0.939688764021217 , 0.697314754232465 , 0.413600489620217 , 0.27870429498499 , 1.59438907543239 , 0.657882610349225 , 0.136010385438468 , 1.8098411122679 , 0.0296174507943617 , 1.11928400355156 , 0.0241856650532373 , 0.558404441669336 , 0.013786999431575 , 0.80037595890812 , 0.618942584457799 , 0.71415090536379 , 0.718860790644082 , 0.781536780349754 , 1.60705494989258 , 0.197529967398296 , 1.22728616237361 , 0.63672546424788 , 0.622530145534943 , 0.236154663058653 , 0.882837424093161 , 1.09751204959689 , 0.776150128245985 , 0.799609310558308 , 0.303249033075901 , 0.113823862584698 , 0.344693628696103 , -0.214256043195492 , 1.20666953504445 , 1.31280402943889 , 0.59225409193175 , 0.768069924076395 , 0.657479605170348 , 0.483170623375481 , 0.234331151281632 , -0.410995405964888 , 1.34189297600182 , 0.37607339448417 , 1.52698379211861 , 0.776690122292901 , 0.249903159515588 , 0.189342466856241 , 1.21257294447961 , 2.05068928617354 , 1.53143224789905 | 0.0000000 |
| 20 | 50 | 0.5 | 0.0 | 1.0 | control , control , control , control , control , control , control , control , control , control , control , control , control , control , control , control , control , control , control , control , control , control , control , control , control , control , control , control , control , control , control , control , control , control , control , control , control , control , control , control , control , control , control , control , control , control , control , control , control , control , intervention , intervention , intervention , intervention , intervention , intervention , intervention , intervention , intervention , intervention , intervention , intervention , intervention , intervention , intervention , intervention , intervention , intervention , intervention , intervention , intervention , intervention , intervention , intervention , intervention , intervention , intervention , intervention , intervention , intervention , intervention , intervention , intervention , intervention , intervention , intervention , intervention , intervention , intervention , intervention , intervention , intervention , intervention , intervention , intervention , intervention , intervention , intervention , intervention , intervention , -1.03721668853959 , 0.083785672247047 , -0.00356835451573161, 0.435260352929822 , 1.84922779590407 , 0.254053021315177 , 0.0530689479253429 , 1.15717105014872 , -0.907515756577342 , -0.131390234884333 , -0.618283538257021 , -1.15521000618 , -0.611679193280204 , 0.56420535410887 , -0.703397220803101 , 0.369239443874629 , -0.773439171802372 , -1.04894144329687 , -0.374744094902871 , -1.39424124673663 , -1.65540603999711 , -1.5765081833276 , 0.3520764518556 , -0.998396511603642 , 0.541732504151979 , 0.0718227404061559 , -1.14930740993781 , 1.63521972750735 , 1.32939860481051 , 1.00212933491043 , -0.317320895548585 , 1.14211441483624 , 1.04325215011995 , 0.89600531463744 , -1.48710191436925 , 0.0616643109815246 , -2.09392009069244 , -1.34460800985713 , 1.46566933166168 , -0.0365474157573258 , -0.177323339437657 , -1.5695378721065 , -0.474053526448713 , -0.913068519808129 , 0.935291716283358 , 0.119967695269043 , -0.133573960623878 , 1.8400922820628 , 0.63760468183872 , -0.393771253246929 , 0.480346619963554 , -0.072430941181865 , 0.456261523150923 , 0.845130999404254 , 1.71453233441152 , 0.443388775318779 , -0.565918730772702 , 0.605527227597525 , 0.547028008672278 , 2.0025944007543 , 0.860691820285602 , 0.374550890274903 , -0.245771910934165 , -1.99073782351287 , 0.592871624308845 , 1.01797257341287 , -0.410680458986619 , 0.73695147945323 , 0.931287526305606 , 0.688330350673002 , 0.747506131646557 , -0.720256405761542 , -0.424759490007976 , 0.083689284217076 , -0.338152021962784 , 0.463673760382575 , 0.583117713844936 , -0.512417345547767 , 0.0860528774104323 , 0.449726433411583 , -1.17824931554253 , 1.12961948002293 , 1.23963971295922 , 0.582105032137153 , 0.968192864338189 , 0.591174630071039 , 0.631295643362142 , 2.73194727016199 , 1.85842330706822 , -0.177327305497326 , -0.0119293924765181 , -0.032568913722927 , 0.872279683525202 , 0.80917195651583 , 1.32192016352278 , 1.09855851566568 , 0.617658491276768 , 0.691470292354961 , 0.169612127295771 , 1.15953480994613 | 0.0014491 |
| 20 | 50 | 0.5 | 0.1 | 0.5 | control , control , control , control , control , control , control , control , control , control , control , control , control , control , control , control , control , control , control , control , control , control , control , control , control , control , control , control , control , control , control , control , control , control , control , control , control , control , control , control , control , control , control , control , control , control , control , control , control , control , intervention , intervention , intervention , intervention , intervention , intervention , intervention , intervention , intervention , intervention , intervention , intervention , intervention , intervention , intervention , intervention , intervention , intervention , intervention , intervention , intervention , intervention , intervention , intervention , intervention , intervention , intervention , intervention , intervention , intervention , intervention , intervention , intervention , intervention , intervention , intervention , intervention , intervention , intervention , intervention , intervention , intervention , intervention , intervention , intervention , intervention , intervention , intervention , intervention , intervention , -0.561756204393776 , -0.0136965449710436, -0.654259750721099 , 0.00762828679249586, 0.321443424912162 , -0.268015524408035 , 0.472114029264124 , -0.564647579984313 , 0.885359971011921 , 1.13755416292478 , -0.0440245144332704, 0.42533983184037 , 0.895503520532283 , 0.273249022231622 , 0.243748162719381 , 0.50968683471322 , -0.187037782505465 , 0.799432137682604 , -0.0238328135680832, -0.024776542871233 , -0.134500191428836 , 0.461697719123583 , 0.205222599385049 , 0.308022633696258 , -0.0243871895029422, 0.721303297967513 , 0.140473376329033 , 0.298483550669354 , 0.422869289397342 , 0.721296626640792 , 0.657112007994368 , 0.910546957261009 , -0.461512074673941 , 0.969577181521407 , 0.167952003295748 , 0.0374212473366155 , -0.339478085820881 , 0.10170696466428 , 0.179212716474025 , 0.419980766769398 , -0.216596214430467 , -0.460674547024142 , 0.187727785669563 , -0.168920866847435 , 1.40447712131409 , -0.0982056736784953, -0.647592052057215 , 0.380066197938627 , 0.227777034698196 , -0.419282219631698 , 0.56350963389393 , 0.928982172282062 , 0.36098014149493 , 0.647099953592332 , 0.686049105790628 , 0.380220419202316 , 0.402765908299856 , 0.695820876863519 , 0.618730847667755 , 1.45507400145544 , 0.795643550598487 , 0.112105345206582 , 0.239339519106687 , 1.54181886293727 , 0.977801647865323 , 0.33764932034008 , -0.556793871784394 , 0.98132386066316 , 0.402111915209015 , 0.640443881445316 , -0.172704764337404 , 0.506011241620639 , -0.0782857931558408, 0.564877798152111 , 1.74411332162511 , 0.0184404104240374 , 0.233043112234162 , 0.377037651361233 , 1.27268109220551 , -0.824989106378755 , 0.736315670302281 , 0.30212314214941 , 1.0701012838477 , 0.300078672296667 , 0.369858537120887 , 0.177886735695015 , 0.647162863786906 , 0.380462638083024 , 1.49779314264963 , 0.747961388116437 , 1.37292087580698 , -0.211390614841333 , 0.0156136004267537 , 0.47201637633426 , 0.109337431228054 , -0.100804534386371 , 1.31221655102469 , 0.623473001019794 , 1.04091211812095 , 0.898168141043585 | 0.0005948 |
| 20 | 50 | 0.5 | 0.1 | 1.0 | control , control , control , control , control , control , control , control , control , control , control , control , control , control , control , control , control , control , control , control , control , control , control , control , control , control , control , control , control , control , control , control , control , control , control , control , control , control , control , control , control , control , control , control , control , control , control , control , control , control , intervention , intervention , intervention , intervention , intervention , intervention , intervention , intervention , intervention , intervention , intervention , intervention , intervention , intervention , intervention , intervention , intervention , intervention , intervention , intervention , intervention , intervention , intervention , intervention , intervention , intervention , intervention , intervention , intervention , intervention , intervention , intervention , intervention , intervention , intervention , intervention , intervention , intervention , intervention , intervention , intervention , intervention , intervention , intervention , intervention , intervention , intervention , intervention , intervention , intervention , 1.2502059843211 , -0.537771719423862 , -0.947276928183003 , -1.20152787014422 , -0.954736341641352 , -0.989920859503092 , -0.66453035547292 , 0.606654511155213 , 0.520066290319021 , -0.483493479926349 , -0.462909253965968 , -0.613689227571873 , 1.2947893598978 , 0.364635843785508 , 0.0464636413218624 , 0.618850706734976 , -0.599613737347896 , -0.0834648208871681 , -0.229339154991158 , 0.355920161425818 , 0.754730705533253 , -1.28276260316751 , -1.45120220172442 , -0.722961894088389 , 0.505061328427203 , 2.63584657412847 , -0.693897063544126 , -0.407517426004738 , 0.880648854287696 , 1.79598782990895 , 0.433466890091488 , -1.08178847014546 , 0.55309503510551 , 1.561959400146 , 0.956447741753196 , 1.64268814566023 , -0.636157842318222 , -0.234272555506544 , 1.29165753748277 , 1.07770379416095 , 1.1491329079379 , -1.22290951390489 , 0.282510407825721 , 0.105342097766647 , 0.427586132936549 , -0.34528915584872 , 0.921354129336667 , 0.000608918531722957, 0.475445396769851 , 0.949633217897235 , 1.49962561182945 , 2.50532518389045 , 0.253958280041971 , 1.48730137147405 , 0.281956751577863 , 1.25809856806368 , 0.282391116702232 , 0.961829870421304 , 0.279996637161711 , 0.193752868210514 , 0.70505560118696 , 0.267032052043253 , -0.0393088844051646 , 1.29477485024421 , 1.90684041976479 , 0.25102026317692 , 1.91890658807862 , 0.746455862567829 , 0.231923785095901 , -0.466097972007986 , 1.27234332277502 , 0.696195737249763 , 0.620642552673426 , -0.132865077637435 , 0.508218221985167 , -0.971145196397775 , -0.598516698699128 , 1.95190311546124 , -0.637425437284488 , -0.797921658389428 , 0.910495423244528 , 0.662598343294745 , 0.0697695762005186 , 0.0351990124128331 , 0.560610941357605 , -0.834241222685663 , -0.588193666116241 , -0.337011206011035 , 0.486316898019305 , 1.49409185544842 , -0.306536555774031 , 0.439581173634876 , 2.11303128980052 , 0.329598290768248 , -0.650619738131539 , -0.543447732023927 , 0.162768253575475 , 1.21166354079102 , 0.294185564662821 , 0.993864669098134 | 0.0637548 |
| 21 | 20 | 0.0 | 0.0 | 0.5 | control , control , control , control , control , control , control , control , control , control , control , control , control , control , control , control , control , control , control , control , intervention , intervention , intervention , intervention , intervention , intervention , intervention , intervention , intervention , intervention , intervention , intervention , intervention , intervention , intervention , intervention , intervention , intervention , intervention , intervention , 0.636745424752214 , 1.26574303591376 , 0.460598212544935 , 0.855341894937016 , 0.102136976416322 , 0.267969295415804 , 0.17976564886094 , -0.179738950694471 , 0.124158736394874 , 0.208881490504158 , -0.0030581605178365 , 0.0519500891222274 , 0.342234396694552 , -0.407271773012845 , -0.0258025273130169 , 0.171617314119019 , 0.0169669128595716 , -0.45854678023877 , -0.54101599798117 , 0.910148550972933 , 0.213918021378613 , -0.223182991338341 , -0.527636344803703 , 0.428941204230301 , -0.096710628178373 , 0.35469859870907 , -0.232256641082544 , 0.261854112378691 , 1.15119427828618 , -0.00960847526444423, 0.154696494336654 , 0.0873897215032576 , 0.149515004085338 , 1.52556939772675e-05, 0.29149381425443 , 0.327349746735567 , 0.33862797459453 , 0.456651912169045 , 0.179945529994648 , -0.231557468206977 | 0.7283963 |
| 21 | 20 | 0.0 | 0.0 | 1.0 | control , control , control , control , control , control , control , control , control , control , control , control , control , control , control , control , control , control , control , control , intervention , intervention , intervention , intervention , intervention , intervention , intervention , intervention , intervention , intervention , intervention , intervention , intervention , intervention , intervention , intervention , intervention , intervention , intervention , intervention , 0.211740867188169 , 0.15159303954186 , -2.21341740779388 , -0.22107321106696 , 0.561989911337268 , 1.74594528634868 , 1.08157480663019 , -0.340878524444564, -0.516713678368219, -1.30178590629285 , 1.02156189957873 , 1.19568870893609 , -0.285920016170984, -0.418865796340483, 0.424788324867837 , 0.223174751420866 , -2.18196153447452 , 1.04698831537106 , 0.433478059989377 , 1.65693681531637 , -0.210228168783082, 0.279374985966708 , -1.24845150940421 , 0.24104619662945 , 0.53103466152257 , -0.729954718603507, 1.35316305867276 , -0.807488257884229, -0.567344917981117, 1.42714093706949 , 0.923554984175617 , -1.90107284790683 , -1.00207433587414 , -1.75300423485284 , 0.866729048618187 , -0.776680531395743, 0.956362932873715 , -0.285776782383587, 0.133012842578087 , -0.293601160100764 | 0.4394798 |
| 21 | 20 | 0.0 | 0.1 | 0.5 | control , control , control , control , control , control , control , control , control , control , control , control , control , control , control , control , control , control , control , control , intervention , intervention , intervention , intervention , intervention , intervention , intervention , intervention , intervention , intervention , intervention , intervention , intervention , intervention , intervention , intervention , intervention , intervention , intervention , intervention , -1.38665899953157 , 0.328632531980453 , 0.179518278952572 , -0.0267994926533044 , 0.0354973990554161 , 0.433253915633315 , 0.384603278685008 , 0.698402864465304 , 0.866104409861405 , -0.00568493299150295, 0.30025957961202 , 0.398919676549478 , -0.943993192060003 , -0.886237515598028 , 0.470790509952689 , 0.0203310775719133 , -0.483725232991711 , -0.235308673156701 , 0.139769023956264 , 0.511129166461685 , 0.0151953126123357 , -1.01408489489715 , 0.149917652312657 , -0.0308817897994242 , -0.107252321939899 , 0.290185200816094 , -0.148404310285914 , 0.690555614850692 , -0.400498240055404 , -0.360643112998623 , -0.346870588564698 , 0.296147621526692 , -0.25795875084602 , -0.325735614573853 , 0.850140077327003 , -0.374933482545709 , -0.430059262980935 , 0.602911825247819 , 0.245682817130801 , 0.0457947540856225 | 0.6679295 |
| 21 | 20 | 0.0 | 0.1 | 1.0 | control , control , control , control , control , control , control , control , control , control , control , control , control , control , control , control , control , control , control , control , intervention , intervention , intervention , intervention , intervention , intervention , intervention , intervention , intervention , intervention , intervention , intervention , intervention , intervention , intervention , intervention , intervention , intervention , intervention , intervention , 0.791503372438157 , -0.873919352771375 , 0.0884220535029809 , -0.890863751659283 , 0.378223406384928 , -1.08917944287837 , 1.23152327004518 , 1.27990382555954 , -1.87784615647765 , -2.29570957130924 , -1.69421936736157 , -1.4079921828768 , 0.220779873727739 , 0.446352575388445 , 1.1293873103511 , -1.28620963768657 , -1.36925001597234 , 0.00366907196620257, -0.867901223775415 , -0.86891728954691 , 0.195463266631047 , 0.802619174929358 , -0.898934626163676 , 0.753574379673998 , -0.201356576439073 , -0.810518519944095 , 1.46536054987454 , 0.55380966031748 , 0.288966924603256 , -1.2811222525224 , -0.707063335787288 , 0.483006115179579 , -2.79404263372736 , -0.153979918138077 , -0.0381861553517638, -0.679193351071225 , 0.168905750250769 , 0.175386213296607 , 0.0929876839940334 , -0.457246525167216 | 0.3599748 |
| 21 | 20 | 0.5 | 0.0 | 0.5 | control , control , control , control , control , control , control , control , control , control , control , control , control , control , control , control , control , control , control , control , intervention , intervention , intervention , intervention , intervention , intervention , intervention , intervention , intervention , intervention , intervention , intervention , intervention , intervention , intervention , intervention , intervention , intervention , intervention , intervention , 0.699790716624374 , 0.571467287485008 , 0.618740721088467 , 0.521263568888716 , 0.0553326729738432 , -0.0208695552386198, 0.0321582991886299 , 0.450620712654811 , -0.0154971619718173, -0.0781779435293023, 0.683465401780234 , 0.369545787862849 , -0.209381540651459 , 0.360584498799502 , -1.0628751850156 , 0.0628229458527569 , 0.163458421188466 , 0.0152456690976827 , 0.363662421010504 , 0.157610656431689 , 0.649519168879254 , 0.940683052954565 , 0.292423647196224 , 0.139118209375336 , 0.636298427252373 , 0.288072166537797 , 0.494606201199803 , 0.149111326801924 , 0.119517809990444 , 0.45476571871999 , 0.58280978313044 , 1.24538834084137 , -0.218414829394133 , -0.0967590547307414, 0.97230386128164 , 0.91299454441349 , 0.163618890345398 , 1.05086288746756 , 0.440303078830762 , -0.080819165561875 | 0.0436300 |
| 21 | 20 | 0.5 | 0.0 | 1.0 | control , control , control , control , control , control , control , control , control , control , control , control , control , control , control , control , control , control , control , control , intervention , intervention , intervention , intervention , intervention , intervention , intervention , intervention , intervention , intervention , intervention , intervention , intervention , intervention , intervention , intervention , intervention , intervention , intervention , intervention , -0.575626401717593 , -0.515856634672496 , 0.112775100120317 , 0.0754932347753588 , 2.28773464278445 , 0.373048091719501 , 0.550105440150666 , -0.63313097900533 , -0.0450543064759014, 1.5285926973857 , 0.240737319682291 , -0.106132660272017 , 0.981882850598724 , -1.9922366677287 , -0.0569454627006423, -1.21471433089378 , 1.32790786267335 , -0.384143877201582 , -1.17637394951128 , -2.11361590957705 , 2.13962637913468 , 0.79766199656836 , -0.621910588596893 , 0.861652557682954 , 0.392913515999753 , -0.528675152414984 , 0.60039250276161 , -0.472138347855088 , 0.287253769452628 , 0.852055724939007 , 1.04042009488067 , 0.780044560041165 , 1.10355627558339 , 0.201827823717355 , 2.14855066495738 , 0.0982844933520612 , -0.491304366622749 , -0.543885131299698 , -0.132196186728521 , 0.639311036620733 | 0.0952421 |
| 21 | 20 | 0.5 | 0.1 | 0.5 | control , control , control , control , control , control , control , control , control , control , control , control , control , control , control , control , control , control , control , control , intervention , intervention , intervention , intervention , intervention , intervention , intervention , intervention , intervention , intervention , intervention , intervention , intervention , intervention , intervention , intervention , intervention , intervention , intervention , intervention , -0.458196064856371 , -0.572283912788658 , 0.104136584428996 , -0.31922660723219 , -0.152612923999763 , -0.278716488861792 , 0.581174344426656 , -0.384001242043077 , -0.0976282737859204, -0.156577372808457 , 0.255787344069502 , 0.0373749812923247 , 0.0293750297927631 , -0.0844052656181483, 0.683328740435844 , 0.140959649006294 , 0.0152026673670166 , 0.273649123030902 , 0.519986835111952 , 0.485048421012347 , 0.662480654979832 , 0.941803617354273 , 1.65597668550775 , 0.278093784841541 , 0.319744829562176 , 0.488891384468227 , 0.616083721768179 , 0.814176936084236 , 0.0947269193226071 , 0.992140253998711 , -0.217967547741733 , 0.128317569578975 , 0.374019196518714 , 0.834702099189433 , 0.700051656530443 , 0.0786565763978107 , -0.0424624230257995, 0.472150097398283 , 0.592546175968721 , 0.289253652707992 | 0.0005194 |
| 21 | 20 | 0.5 | 0.1 | 1.0 | control , control , control , control , control , control , control , control , control , control , control , control , control , control , control , control , control , control , control , control , intervention , intervention , intervention , intervention , intervention , intervention , intervention , intervention , intervention , intervention , intervention , intervention , intervention , intervention , intervention , intervention , intervention , intervention , intervention , intervention , 1.09480776030174 , 0.805157954172555 , -0.164701367489434, -1.39161572351673 , 0.705425980171483 , 0.683962395797733 , 0.284370045344088 , 0.070170326474181 , 0.202110067292682 , -0.477658869628857, -0.481552695063406, -1.36382747815439 , 1.86632260666275 , 1.09627039219752 , 0.144717056205939 , 0.661425285200398 , 0.645076133340103 , 0.0318279018959224, -1.59396936520498 , -1.35211683307872 , -2.12968466034352 , 0.166118581034055 , -0.616601247928204, 1.01978916316703 , 0.459464104516015 , -0.208553462584555, 1.04629784219614 , 0.335561435132942 , 0.49752583120713 , 2.31581668850742 , 0.671343370261466 , 1.43058177620105 , -0.544777502346974, 2.17729912277517 , 1.79733203811276 , 0.0763343675546897, 0.17641317841962 , 1.66797865119228 , 0.711390455323655 , -0.113324013686382 | 0.1437020 |
| 21 | 50 | 0.0 | 0.0 | 0.5 | control , control , control , control , control , control , control , control , control , control , control , control , control , control , control , control , control , control , control , control , control , control , control , control , control , control , control , control , control , control , control , control , control , control , control , control , control , control , control , control , control , control , control , control , control , control , control , control , control , control , intervention , intervention , intervention , intervention , intervention , intervention , intervention , intervention , intervention , intervention , intervention , intervention , intervention , intervention , intervention , intervention , intervention , intervention , intervention , intervention , intervention , intervention , intervention , intervention , intervention , intervention , intervention , intervention , intervention , intervention , intervention , intervention , intervention , intervention , intervention , intervention , intervention , intervention , intervention , intervention , intervention , intervention , intervention , intervention , intervention , intervention , intervention , intervention , intervention , intervention , 1.40241701770052 , 0.666039347944507 , -0.550910085748479 , -0.551392916964596 , 0.47625694081948 , -0.0389886601310428 , -0.340578526014609 , 0.00993592360716444 , -0.576339673255279 , -0.386151700004371 , 0.741175693290384 , -0.371964905138425 , 0.234926275755933 , -0.890023269682427 , 0.0666447846730532 , 0.740322428469774 , -0.794390295130609 , 0.0231434415737618 , 0.65779056623438 , 0.564105731960452 , 0.11660695994781 , -0.532601969640387 , -0.210748655158396 , 0.685571321859571 , 0.751857350645923 , -1.0259842473146 , 0.844516064923974 , 0.158053634822643 , 0.481985032973476 , 0.188521805479959 , 1.02524554214696 , 0.980309579679665 , -0.014837247114656 , 0.87784147129666 , -0.456480386682895 , 0.739789637666203 , -0.637450881213718 , -0.482331960137174 , 0.0953616139203398 , 0.228300050345995 , 0.090005168830436 , -0.231127471718288 , -0.11324003767826 , -0.172599180309637 , 0.0324937396301907 , -0.412994990925069 , 0.296254752144019 , 0.908069316399728 , 0.480467378140432 , -0.0644986987154255 , 0.0920828134644337 , 0.264296618682774 , 0.452582907070391 , 0.370939687239942 , 0.506864672241006 , -0.717605435998946 , 0.340262821878273 , 0.309783792915332 , -0.53119148386251 , -0.565999332731943 , -0.412031094719078 , -0.558367894546765 , 0.275764169578671 , 0.776381556697023 , -0.57393027702254 , 0.165495577124198 , -0.0432467092681901 , 0.395113276565431 , 0.439375497667817 , 0.310576137336797 , -0.319738229371684 , -0.0294142956482204 , -0.539308424269419 , -0.776119270860139 , 0.659319972710836 , 0.394107597373281 , -0.562778128587913 , 0.229820938859912 , 0.234870936869549 , 1.07892746407592 , -0.905841768389987 , -0.177538013652274 , -0.173656440978328 , -0.212399742167763 , -0.313628853396712 , 0.0224536184967554 , -0.232988679547533 , -0.00651192447553974, 0.157827193339458 , -0.120951887305963 , -0.515720326960375 , 0.114187543232762 , -0.0722882632253117 , 0.308611496405508 , 0.383049472531386 , 0.141091981463395 , 0.460410880481003 , 0.305682810045884 , -0.497766867042857 , 0.34121666729586 | 0.3233873 |
| 21 | 50 | 0.0 | 0.0 | 1.0 | control , control , control , control , control , control , control , control , control , control , control , control , control , control , control , control , control , control , control , control , control , control , control , control , control , control , control , control , control , control , control , control , control , control , control , control , control , control , control , control , control , control , control , control , control , control , control , control , control , control , intervention , intervention , intervention , intervention , intervention , intervention , intervention , intervention , intervention , intervention , intervention , intervention , intervention , intervention , intervention , intervention , intervention , intervention , intervention , intervention , intervention , intervention , intervention , intervention , intervention , intervention , intervention , intervention , intervention , intervention , intervention , intervention , intervention , intervention , intervention , intervention , intervention , intervention , intervention , intervention , intervention , intervention , intervention , intervention , intervention , intervention , intervention , intervention , intervention , intervention , -0.938773980585738 , -1.29702631865005 , 0.297981321899779 , 0.0126176699200346 , -1.08439100196872 , -0.790547240275555 , -0.514129261863079 , -0.537704968466593 , 1.02622280148991 , 0.456821507894153 , 0.519051071511375 , 0.393376379567386 , 0.637793375882647 , 0.832000219072023 , 0.433324171796755 , -0.273614917943241 , -0.83263348178211 , -0.253353032179878 , 1.47916336378028 , 0.572612416670684 , 0.855201669616629 , 0.932109850409648 , 0.824049745857388 , 2.41922285814559 , -1.0060492938948 , -2.81900689989796 , -2.41864139899894 , 1.26412490885504 , -0.359738111727955 , -0.637497760575334 , -1.03693846889368 , -0.877745219594594 , -0.141881036916451 , 1.00810288748228 , -0.675375338777099 , 0.685701806217838 , 0.176139623903538 , 0.645912161311344 , 0.862910037423976 , -1.44261837429681 , -1.00327006088645 , 0.570869349411777 , -1.23046301257991 , -0.810779099107049 , -0.899968410251431 , -0.764184928292873 , -0.536074550722861 , 1.45115136288313 , 0.00058688747216683, -0.390244074501884 , -0.627829120673365 , 2.45164267585173 , 0.0512545720738326 , -0.793928393170678 , 1.3281058056858 , 0.614031604748763 , -0.270165115548987 , -2.42242993417028 , 1.34063289035507 , -0.741271243595453 , -0.0163856566421047, 0.629558811028935 , -1.81403671741747 , 0.0578063187932106 , 0.0810449026859573 , 0.599726760629933 , -2.2741947603623 , -0.068088551482077 , -1.08952400763179 , -0.421635670491954 , 0.0169800296075653 , 0.208162588130326 , -2.23254356716436 , 0.701721362076663 , 0.73638726099427 , 1.91477509293834 , 1.49488033891557 , 0.117301967678316 , 0.115214049657453 , -0.108701392858889 , -0.0180481161201152, 0.630960352424261 , -0.370095000733884 , 0.949302533970471 , -0.988390865753738 , -0.153210455529303 , -0.396932171309461 , -0.260230531631065 , -0.684788713718945 , -0.0954295277267219, -0.237786110717142 , -0.949435080419945 , -0.466285558368006 , -0.576596690548186 , 0.0147108114180228 , -0.554882364820468 , -2.9342395980661 , 2.10752148694618 , -0.378204394809263 , -0.556753350797818 | 0.9149406 |
| 21 | 50 | 0.0 | 0.1 | 0.5 | control , control , control , control , control , control , control , control , control , control , control , control , control , control , control , control , control , control , control , control , control , control , control , control , control , control , control , control , control , control , control , control , control , control , control , control , control , control , control , control , control , control , control , control , control , control , control , control , control , control , intervention , intervention , intervention , intervention , intervention , intervention , intervention , intervention , intervention , intervention , intervention , intervention , intervention , intervention , intervention , intervention , intervention , intervention , intervention , intervention , intervention , intervention , intervention , intervention , intervention , intervention , intervention , intervention , intervention , intervention , intervention , intervention , intervention , intervention , intervention , intervention , intervention , intervention , intervention , intervention , intervention , intervention , intervention , intervention , intervention , intervention , intervention , intervention , intervention , intervention , -0.563169578638472 , 0.393453814085171 , 0.164517786399529 , 0.361288556356007 , -0.274136554244946 , 0.173065328050438 , -0.715213460299154 , 0.783047687795298 , 0.098672862397413 , 0.0374969807828182 , -0.436747359095513 , 1.43578942097124 , 0.475780136968305 , 1.20770276471687 , 0.0516358070675937 , 0.135297772084749 , -0.650305696527249 , -0.346237534354465 , -0.777221068935844 , 0.63146118340247 , -0.135691109296598 , -0.120832737217517 , -0.198387624828053 , 0.529869719295939 , 0.398072578742852 , -0.236960019072628 , 0.163644415372999 , -0.560752000612985 , -0.0225762141766906 , 0.291657451097338 , -0.254985160867291 , -0.035198607439814 , -0.249045769238998 , 0.859422116283975 , -0.466919548562657 , 0.513453164893662 , 0.337201063474637 , -0.194794594539367 , -1.00390454344535 , -0.247489836718803 , -0.509775121790706 , 0.755875545011592 , -0.225021085559355 , 0.440364707941941 , -0.317947694170415 , 0.109859440959499 , 0.155683018471143 , -0.23235197875089 , -0.0416429499665857 , -0.206640156159709 , 0.547978724498743 , 0.550884527972435 , -0.403870202580546 , 0.228700107583835 , -0.304043061449445 , 0.34676190310854 , -0.417115636695592 , 0.133164518532052 , -0.203585080253709 , 0.101635617355534 , 1.1834620472593 , -0.260753089533155 , -0.746449201538829 , 0.624135282454805 , -1.19810340536999 , -0.310910816228506 , 0.0871039591114352 , 1.14968154026442 , 0.681947276647547 , 0.799946249401902 , 0.0866783529268373 , 0.333769461966695 , -0.101774320529022 , 0.665241588794181 , 0.438174856817489 , 0.100722491006924 , -0.381439541907877 , -0.0448490467953588 , -0.256764246423561 , 0.015321785323486 , -0.394726897601371 , -0.0352691270402029 , -0.412947533378146 , 0.637842881751503 , -0.326519276732833 , -0.349356884628884 , 0.476100769334922 , 0.230343914803453 , -0.197368642571013 , 0.0271744170466796 , 0.771204457322188 , -0.288491785346052 , 0.314548290355987 , -0.707833987008309 , 0.819604685322892 , -0.304103253476129 , -0.00651807649379864, -0.174461361746462 , -0.923042944208992 , -0.198675754397469 | 0.8553557 |
| 21 | 50 | 0.0 | 0.1 | 1.0 | control , control , control , control , control , control , control , control , control , control , control , control , control , control , control , control , control , control , control , control , control , control , control , control , control , control , control , control , control , control , control , control , control , control , control , control , control , control , control , control , control , control , control , control , control , control , control , control , control , control , intervention , intervention , intervention , intervention , intervention , intervention , intervention , intervention , intervention , intervention , intervention , intervention , intervention , intervention , intervention , intervention , intervention , intervention , intervention , intervention , intervention , intervention , intervention , intervention , intervention , intervention , intervention , intervention , intervention , intervention , intervention , intervention , intervention , intervention , intervention , intervention , intervention , intervention , intervention , intervention , intervention , intervention , intervention , intervention , intervention , intervention , intervention , intervention , intervention , intervention , -1.31485340569836 , 0.492073769674302 , -1.02625480376594 , 0.497048202543986 , 0.666890856726193 , 1.82691106167229 , 0.623746865590857 , -0.354010438727123 , -1.01401406763612 , -1.48649540743432 , 0.137130872204793 , 0.681664201749173 , 0.0310176952398408 , -0.872270720048509 , 1.40258276427757 , -0.552375019166066 , 0.423160071177488 , -1.51153828211443 , -0.883916740311705 , 0.0119339876025864 , -0.686361661480771 , 1.29031486291213 , 0.25015846113871 , 1.42434381253195 , -0.676154729794482 , 1.59386702302114 , 1.26247821268555 , -0.181470826312253 , 0.991707714873057 , -0.204255611778881 , -0.157748030722359 , -2.35864584283883 , -0.220421080723844 , 1.16880640148855 , -0.957521906480852 , 0.814199853317875 , -2.14412082674433 , 0.144151738069773 , 2.16494839513642 , 0.801084323180592 , -0.579700241215675 , -1.24445347914315 , 0.659371137632055 , 0.869659981150932 , 0.702119000000429 , -0.198815764410726 , 0.733814836616225 , 0.278784140868775 , 0.891423821040545 , 2.03251570811675 , -0.299554080180244 , -0.235023864213251 , -0.353212654517525 , -0.447872094171936 , 0.606734309121327 , -1.2026882759872 , -0.94717009728501 , -0.164855413697963 , 0.440393936394278 , 2.0832757266785 , -0.949225049748666 , 1.8443376662234 , -0.0574723219727449, 0.134242532340166 , -0.226611197525102 , -1.40880370791719 , -1.60058574618977 , 1.02613867931604 , -0.783878043386844 , -0.204498324827764 , -1.10559148852821 , 0.612048503611004 , 1.91142110286853 , 1.07583119536508 , 0.0134699886389625 , 0.274471134571782 , -0.188148834157191 , -1.54482063655525 , 0.186072600536149 , -0.496386901963567 , -0.613394414287631 , 2.07785976996677 , -0.299473511199048 , 0.0994290688923315 , -1.23278614912376 , -0.0124513944459481, 0.865886445761103 , -0.305894800453841 , -1.61448999995788 , -0.846032363573499 , -1.70022616378271 , 0.278910361411256 , -0.91355603350118 , 0.291542388775606 , 0.90787483396558 , -0.717787515404925 , -0.0827910298414996, 1.18904421865911 , -0.178578761335164 , -0.280899771448156 | 0.2611382 |
| 21 | 50 | 0.5 | 0.0 | 0.5 | control , control , control , control , control , control , control , control , control , control , control , control , control , control , control , control , control , control , control , control , control , control , control , control , control , control , control , control , control , control , control , control , control , control , control , control , control , control , control , control , control , control , control , control , control , control , control , control , control , control , intervention , intervention , intervention , intervention , intervention , intervention , intervention , intervention , intervention , intervention , intervention , intervention , intervention , intervention , intervention , intervention , intervention , intervention , intervention , intervention , intervention , intervention , intervention , intervention , intervention , intervention , intervention , intervention , intervention , intervention , intervention , intervention , intervention , intervention , intervention , intervention , intervention , intervention , intervention , intervention , intervention , intervention , intervention , intervention , intervention , intervention , intervention , intervention , intervention , intervention , -0.264260022693625 , -0.42465480515246 , -0.588156290913902 , -0.440741914050503 , 0.427111513183667 , 0.117355814336147 , -1.20210453465088 , -0.288228208538175 , 0.0680107877238945 , -0.54973583032723 , -0.234318014134732 , -0.744201266109279 , -0.914095489873555 , -0.148252868078424 , 0.398178171264114 , 0.482933811309079 , 0.0122766244621444 , -0.0241603639481912, 0.646990484755896 , -0.228245425032683 , 0.234245174842545 , 0.131501996640606 , -0.465175202392686 , 0.373645858846453 , 0.210811707627341 , -0.100498818400136 , -0.0353201469620037, 0.372107872606641 , 0.339424944671107 , 0.188477526805134 , 0.196227380603356 , -0.691359044313257 , 0.403985734098225 , -0.130006085315001 , 0.6581318142877 , 0.955089936139245 , -0.732050469222995 , -0.142137063788032 , -0.135722638610949 , -0.59807002139666 , 0.223372973701978 , 0.123740667535281 , -0.65197849683145 , 0.0144497885330898 , -0.5249074538735 , -0.6661838291511 , 0.334956758189917 , 0.378359809332836 , 0.431596200350626 , -0.182796233783694 , -0.838770397652827 , 0.627921640351262 , 0.50190395431858 , 0.76784179048724 , 1.32217809649121 , 0.658988023193009 , 0.481498166446398 , 0.294325431264544 , 0.733962896401051 , 1.20328078723193 , 0.252430590173497 , -0.931330451459937 , 0.981596046852426 , 0.412318104481874 , 0.307692808219488 , 0.549503451952425 , 0.430266810666096 , 1.44845301890826 , -0.213848332929774 , 0.693304231024638 , -0.26276056121872 , 0.569867218357138 , 0.29466003359403 , 0.246243011963462 , 0.20195154480967 , 1.05228143355602 , 0.405254297136258 , 0.58406309025986 , 0.962976064514179 , 1.06364587541802 , 0.710764293322028 , 0.165297880418376 , 0.631625390825193 , 0.501799845131471 , 0.925209172381214 , -0.128855497644544 , 0.198833073384569 , 0.214513463875603 , 0.352559319257511 , -0.0339690129418242, 1.61550883802618 , 0.366357480262451 , 1.23668323578722 , 0.90878270918116 , 0.489984029571741 , 0.589200838532494 , 0.807414209573663 , -0.323069677048367 , 0.515788197714551 , -0.316492163722626 | 0.0000002 |
| 21 | 50 | 0.5 | 0.0 | 1.0 | control , control , control , control , control , control , control , control , control , control , control , control , control , control , control , control , control , control , control , control , control , control , control , control , control , control , control , control , control , control , control , control , control , control , control , control , control , control , control , control , control , control , control , control , control , control , control , control , control , control , intervention , intervention , intervention , intervention , intervention , intervention , intervention , intervention , intervention , intervention , intervention , intervention , intervention , intervention , intervention , intervention , intervention , intervention , intervention , intervention , intervention , intervention , intervention , intervention , intervention , intervention , intervention , intervention , intervention , intervention , intervention , intervention , intervention , intervention , intervention , intervention , intervention , intervention , intervention , intervention , intervention , intervention , intervention , intervention , intervention , intervention , intervention , intervention , intervention , intervention , 0.38589209930962 , 0.28007111580503 , 1.14021756043684 , 1.7254430776765 , -0.374481604768016 , -0.302206031775765 , 1.33531482508448 , 0.18312945802409 , -1.71315884358518 , -1.56851767187671 , -0.742531103287395 , -0.957423387361662 , -0.0164515910413205, 0.479246972135372 , -0.841993361358901 , 0.339497453321808 , 1.75226538006869 , 1.54887651927186 , 1.8488386596593 , 0.567725696073221 , 0.346818970146143 , 1.31269795936619 , -0.250867201457138 , 1.47934484381642 , 1.15581014719173 , -2.09239190070096 , 1.83394286028475 , 0.768558534558796 , -0.303356301209307 , 0.187308689127542 , -0.0623583726943061, -0.782328661153276 , -0.176135416492292 , -2.17279876609229 , -1.06138574470337 , -1.45534890651736 , -0.254288950600656 , -0.12908543837184 , 1.04844859498536 , 1.71681736412828 , -0.3348474853263 , -1.47793847386463 , -0.668223530606735 , 0.900381152412063 , -1.925478530393 , 0.607790395170113 , -0.174241222288942 , -2.02022929779488 , 1.6992508540841 , -0.0312904788433598, 0.832144262658392 , 3.2782627884435 , 2.23390096423902 , -0.172291504318471 , -0.0672752243086667, -0.0153431259547073, -1.59034157484889 , 0.193216540868664 , -0.244376879525065 , 1.31009891336 , 1.11755418955167 , -1.06874193140391 , -0.61709531719122 , 0.409018835720045 , -0.0694193436009689, -0.277505634108909 , 0.549315795760203 , -0.297490072842107 , 0.441445642661365 , 0.0526166429253805 , -0.0523441911044065, -0.800628536870419 , -0.172203763361154 , 1.32062964355489 , -0.42148012500466 , 0.426328883679949 , 0.37273536583878 , 1.0752594701774 , -0.189336049888561 , -0.122869065488329 , 2.25185886298204 , -1.66131796068152 , 1.24777317606035 , 0.472921923019281 , 0.191887031037098 , -0.0390544641710676, 2.48573480143328 , 1.18770021142865 , 0.209345713420247 , 0.995165730062652 , 1.06390181696325 , 1.55860091652026 , -0.509439281993826 , -1.1222224803725 , 0.449660259108903 , 0.53962193050944 , 1.16229786333555 , -0.347500368540986 , 2.81793551302805 , 2.6675487691903 | 0.0731059 |
| 21 | 50 | 0.5 | 0.1 | 0.5 | control , control , control , control , control , control , control , control , control , control , control , control , control , control , control , control , control , control , control , control , control , control , control , control , control , control , control , control , control , control , control , control , control , control , control , control , control , control , control , control , control , control , control , control , control , control , control , control , control , control , intervention , intervention , intervention , intervention , intervention , intervention , intervention , intervention , intervention , intervention , intervention , intervention , intervention , intervention , intervention , intervention , intervention , intervention , intervention , intervention , intervention , intervention , intervention , intervention , intervention , intervention , intervention , intervention , intervention , intervention , intervention , intervention , intervention , intervention , intervention , intervention , intervention , intervention , intervention , intervention , intervention , intervention , intervention , intervention , intervention , intervention , intervention , intervention , intervention , intervention , -0.0252863992045227 , 0.993877628587044 , 0.979934701838843 , 0.318070296969093 , -0.273256926643662 , -0.385796031562859 , -0.82568618824303 , 0.0430416154981051 , 0.00392510434212971 , -0.536858740283382 , 0.606681806953712 , 0.849754192245381 , -0.260659392875464 , 0.189722933277089 , 0.544145360801684 , -0.100442996678108 , -0.422651214136106 , -0.0483769926535966 , -0.186053014868819 , 0.163639044039202 , 0.891782567725068 , 0.96134091297114 , -0.402636445199661 , -0.544197229294273 , -0.40970010310318 , 0.155868102211657 , -0.140988004047461 , -0.376857085841615 , 0.696619154771878 , 0.404556850091539 , -0.111494697807326 , -0.0960287893358148 , 0.0945915079925634 , -0.238389077861273 , -0.0747617818932053 , -0.865403524502531 , -0.667546276648511 , -0.692956997581009 , 0.00684638455027754 , 0.0587686409514158 , 0.0264682516021355 , -0.305395766999612 , 0.937477750636372 , 0.35147618748426 , -0.290724313741972 , 0.381402278892595 , 0.820230386127694 , -0.231636470705642 , -0.226181724943798 , 0.164593514421165 , 0.417413888271445 , 0.948355379409581 , 0.161542450194103 , 0.18940353452934 , -0.186375053868826 , 0.405630550528905 , 0.511196862750287 , 0.275552194559976 , -0.215588406808137 , -0.09724259091585 , -0.349250329923081 , 1.02744808150136 , 0.996777308056761 , -0.457001646699847 , 0.617114151850669 , -0.0279040700677216 , -0.371152163694207 , 0.94864842674492 , 1.16458820029466 , 0.514508033907288 , 0.213142877413566 , 0.191890612417119 , -0.534155554819544 , 0.0408192499230773 , -0.651273758421042 , 0.572870614358884 , 0.145443444378418 , 0.373173009770727 , -0.0222745322394188 , 0.169801477735814 , 0.526548901076423 , 1.24627138658284 , 1.74115627479358 , -0.432841940128226 , 0.448352915823965 , 0.69372188024121 , 0.434912559097589 , 0.416106688864822 , 0.923344293279667 , 0.572038968829492 , 0.223382974739105 , 0.0392325375987189 , 0.75751550264724 , -0.00210327611301975, -0.0783767683210239 , 0.852473349265175 , -0.296403200121104 , -0.0390658735372643 , 0.113098944035503 , -0.102696644793785 | 0.0104590 |
| 21 | 50 | 0.5 | 0.1 | 1.0 | control , control , control , control , control , control , control , control , control , control , control , control , control , control , control , control , control , control , control , control , control , control , control , control , control , control , control , control , control , control , control , control , control , control , control , control , control , control , control , control , control , control , control , control , control , control , control , control , control , control , intervention , intervention , intervention , intervention , intervention , intervention , intervention , intervention , intervention , intervention , intervention , intervention , intervention , intervention , intervention , intervention , intervention , intervention , intervention , intervention , intervention , intervention , intervention , intervention , intervention , intervention , intervention , intervention , intervention , intervention , intervention , intervention , intervention , intervention , intervention , intervention , intervention , intervention , intervention , intervention , intervention , intervention , intervention , intervention , intervention , intervention , intervention , intervention , intervention , intervention , 1.08424937397437 , 0.243052983632208 , 0.215976135679634 , -0.776676230231266 , -0.149854763584418 , 1.73752080978081 , 0.297028754875043 , 1.98477767422066 , -1.0008652240785 , 0.79181640807613 , 0.0259059543659642 , 0.0586710248827374 , -0.110703385866321 , -0.565502347287127 , -2.44767650804177 , 1.80727394221424 , 0.84839599390881 , 0.00324695340337755 , 1.02606822549702 , -0.34859724138569 , -1.63397318566746 , -0.111873487308193 , 1.82552607981618 , 0.984579761714307 , -0.946270071625765 , -0.0917033172417172 , 0.659131689409933 , -1.57729382292366 , 0.523597212125248 , 1.21273711072072 , 0.661329765380742 , 0.314464582120464 , 0.445816718446022 , 0.671377030019998 , -0.723227240036615 , 0.2427377972572 , 0.423052032066191 , -2.6062794176296 , -0.340799202537266 , -0.810488124604163 , -0.588877945407694 , 0.361780685664041 , 1.49592643718468 , 0.0142471018353456 , -0.0143735739874509 , -0.00707055833866156, 0.000276998728443639, -0.516530640177675 , -1.14167732235728 , -0.72683133220974 , 0.348658265596247 , 1.30426934914563 , 1.48236566382522 , 0.955876536637122 , 0.424336503789175 , -1.2190923689345 , 0.186622454974367 , 0.499954934596829 , 1.75105753465119 , 1.40787685795367 , 0.717371028320253 , 2.28768504487804 , -0.923380630315162 , -0.889903947544069 , -0.0564803212747763 , 1.66578675008172 , 0.631328900202275 , -0.277274540613494 , -0.236081792329653 , -1.14343640612259 , 0.227388089243948 , 0.47546265777185 , 0.303773990042396 , 0.210567538524172 , 0.0854056209925699 , 0.867523172173003 , -0.231449906219584 , 2.28448636109124 , 0.431194269169415 , -0.902773049038988 , -1.79306685068548 , 1.39683413589392 , -0.659331463186539 , 0.313053916708535 , -0.732311839774952 , 0.789946253982692 , 1.4914296912333 , -1.4535723370619 , 2.52603554483845 , 1.93743634876821 , 0.300191594617994 , 0.0734869801644953 , 1.58152074911317 , 0.429567202110199 , 1.07672094016422 , -1.32233738628663 , 0.809357063226378 , 1.00143401972653 , 1.39329279571035 , 0.631493658257542 | 0.0548888 |
| 22 | 20 | 0.0 | 0.0 | 0.5 | control , control , control , control , control , control , control , control , control , control , control , control , control , control , control , control , control , control , control , control , intervention , intervention , intervention , intervention , intervention , intervention , intervention , intervention , intervention , intervention , intervention , intervention , intervention , intervention , intervention , intervention , intervention , intervention , intervention , intervention , 0.113334321039602 , -0.255293297405738 , 0.0860772048358415 , 0.460063079729465 , 0.96556957906979 , -0.233442911104198 , -0.201708083696524 , -0.242537971240859 , -0.100310314627266 , -0.611059829628544 , -0.699299914090537 , -0.32086383252931 , 0.345027684978701 , 1.0443536491287 , -0.489938270951988 , 0.601788048219743 , 0.0602438929297198 , 0.0741174414681613 , -0.360321477816392 , -0.128274533241413 , -0.0766463186451733, 0.803497308210486 , 0.233786128502171 , -0.402677889416232 , -0.649863888493975 , 0.356607817882062 , 0.441419130858871 , 1.05510302447117 , -0.172385813822339 , 0.500549950097418 , 0.20305775964829 , -0.816434845402723 , 1.34915021813981 , 0.213949890462832 , -0.590735654318864 , 0.109961879244915 , 0.122445549216361 , 0.194490163872428 , -0.207998464307092 , -0.389069945852181 | 0.5127942 |
| 22 | 20 | 0.0 | 0.0 | 1.0 | control , control , control , control , control , control , control , control , control , control , control , control , control , control , control , control , control , control , control , control , intervention , intervention , intervention , intervention , intervention , intervention , intervention , intervention , intervention , intervention , intervention , intervention , intervention , intervention , intervention , intervention , intervention , intervention , intervention , intervention , -1.11307007515411 , -0.739940777423561 , 0.317429171431059 , 0.820679025086804 , -1.1697154256348 , 0.481515804679743 , 0.854127682966448 , -0.0678278452932628, 0.845568034937616 , -0.198087500195562 , 0.783767929892051 , -1.3270550335408 , 1.33236200783557 , -0.303211861195767 , 0.10747581075134 , -1.09020665050551 , 0.308398254116725 , 0.24357219345804 , 1.63845864270322 , 2.21862720789529 , 1.41027741670782 , -1.50036434746475 , -0.55636653449999 , 1.19202889088119 , -0.85096590888591 , -0.664589597774285 , 0.0618833881713063 , -1.6182075560648 , -0.621771949455894 , -0.0982399541517154, 0.26451130290152 , 0.593501782828037 , 0.0582270406547867 , -1.22574542303809 , -1.06172595261177 , -0.390375577379391 , 0.63464041242892 , -0.019781535365297 , -0.286500443214466 , -0.167405730225501 | 0.1308057 |
| 22 | 20 | 0.0 | 0.1 | 0.5 | control , control , control , control , control , control , control , control , control , control , control , control , control , control , control , control , control , control , control , control , intervention , intervention , intervention , intervention , intervention , intervention , intervention , intervention , intervention , intervention , intervention , intervention , intervention , intervention , intervention , intervention , intervention , intervention , intervention , intervention , 0.896830779112098 , -0.0357426665308452, 0.46556990255101 , 0.0587993749388475 , -0.136762467244292 , 0.12710615351466 , 0.166912907174968 , -0.618484781069909 , 0.641800856994445 , -0.515875366165079 , 0.472134721320763 , 0.926408955874492 , 0.0562543931427056 , -1.02843542539354 , -0.0439211961364831, 0.698035476118629 , 0.276384182442045 , 0.0369252853469601 , -0.0693539926404661, -0.410635356511769 , 0.31602329935583 , 0.485900910675047 , 0.162546318623354 , -0.13841449247648 , 0.26389999840851 , 0.478767313083232 , 0.770658997556324 , -0.157804214118238 , -0.0831397257052998, 0.767650681221594 , -0.305274244937179 , -0.83512501848099 , -0.886640601226227 , -0.803308865354586 , 0.713683286326018 , 0.1182522439652 , -0.532490751766326 , 0.0246049865530714 , -0.269491409648881 , 0.0300070004621436 | 0.5700486 |
| 22 | 20 | 0.0 | 0.1 | 1.0 | control , control , control , control , control , control , control , control , control , control , control , control , control , control , control , control , control , control , control , control , intervention , intervention , intervention , intervention , intervention , intervention , intervention , intervention , intervention , intervention , intervention , intervention , intervention , intervention , intervention , intervention , intervention , intervention , intervention , intervention , 1.62181576864562 , -0.356452266116775, -0.583649071746598, 0.239561887076377 , 1.09783849994466 , 1.4957786999478 , -0.19823739983642 , 0.816048090967134 , 0.718342120893198 , 0.0136163788890757, 0.183715300198312 , -0.339147777177209, -1.53016132818202 , 0.0745410161299418, 0.102523060183842 , 0.250324479732672 , -0.369673439478598, 1.15677639325837 , 0.244970414081354 , 0.737696122467385 , 0.223280186289927 , 0.783837819336991 , 0.642674856968166 , 0.274892456895986 , -0.987106567956213, -0.699342404741807, -1.37694152565918 , 0.272638987252809 , 0.974485004683142 , -0.1663816682363 , 0.954208371773865 , -1.76021316466189 , 0.377356470584629 , 1.86084352990615 , -0.565271084566599, 1.36953963960558 , -0.70899892860744 , -0.322971138892299, 0.646018882841611 , -0.203848027931614 | 0.4844404 |
| 22 | 20 | 0.5 | 0.0 | 0.5 | control , control , control , control , control , control , control , control , control , control , control , control , control , control , control , control , control , control , control , control , intervention , intervention , intervention , intervention , intervention , intervention , intervention , intervention , intervention , intervention , intervention , intervention , intervention , intervention , intervention , intervention , intervention , intervention , intervention , intervention , -0.623662536178229 , 0.0595810427472488 , -0.00726505858965097, 0.489703102156565 , -0.413654812006708 , -0.151893428967464 , 0.378175294467512 , 0.445343890453151 , -0.407980865154164 , -0.331604629229229 , -0.593486631523168 , 0.232922447067023 , -1.14865861460829 , -0.321889187483986 , 0.251126277329501 , -0.241419018182028 , -0.878643096123659 , 0.0580637110869483 , -0.626974255001164 , 0.5153724575278 , -0.442849350326335 , -0.0642017903319092 , 1.39238720854251 , -0.0939716163374902 , 0.298794767405284 , 0.643418457918423 , 0.684175045747344 , 0.403952754162926 , -0.373198680297285 , 1.00337813614215 , 0.700447884214931 , 0.892690348002646 , 0.316146807936079 , 0.767280229284856 , 0.674724039739231 , 0.477036244951269 , 0.339970069191451 , 0.423166585775885 , 0.996291220831105 , 0.0802694351604215 | 0.0001766 |
| 22 | 20 | 0.5 | 0.0 | 1.0 | control , control , control , control , control , control , control , control , control , control , control , control , control , control , control , control , control , control , control , control , intervention , intervention , intervention , intervention , intervention , intervention , intervention , intervention , intervention , intervention , intervention , intervention , intervention , intervention , intervention , intervention , intervention , intervention , intervention , intervention , 1.12571196124163 , -0.683429950819479 , -1.73174723101627 , -0.651321314797756 , 2.41575142889871 , -0.557193770892131 , 1.02276066712246 , 0.648308946504606 , -0.859321724890988 , 0.202835259597226 , 0.203449067407044 , 1.10970187422786 , 0.224134891165534 , -0.522930281807153 , 0.883882738818148 , 0.352799942667177 , -0.0430702157302575, -0.387898306818475 , -0.286220726513484 , -0.716054635687557 , -0.392584242450462 , 0.599747924052852 , -1.70573448399859 , 1.31785906548498 , 1.49123072973679 , -0.491919633093888 , 2.19873745885815 , 1.67604366187797 , 0.172335927056862 , 0.498813818441582 , -0.235045688966234 , 1.44273378855411 , -0.594851142688876 , -0.204084174717555 , 0.161125250258148 , 0.0857152104094371 , -0.36825535447635 , 1.85747436774362 , 0.210293128754427 , 2.21949918335338 | 0.2053858 |
| 22 | 20 | 0.5 | 0.1 | 0.5 | control , control , control , control , control , control , control , control , control , control , control , control , control , control , control , control , control , control , control , control , intervention , intervention , intervention , intervention , intervention , intervention , intervention , intervention , intervention , intervention , intervention , intervention , intervention , intervention , intervention , intervention , intervention , intervention , intervention , intervention , -0.14748146934867 , 0.328658996505069 , 0.420013482164583 , 0.183040692576601 , 0.061257361754476 , -0.269568545007166 , 0.176886947752781 , 0.00222214323145058 , -0.00965398197006891, 0.922223755055926 , 0.000395657416042777, 0.712295427032009 , 0.331304746172075 , 0.121360218137172 , -0.341193339821287 , 0.467376363869349 , 0.410660834999764 , 0.392048203005 , -0.238522485420115 , -0.152723797818442 , 0.504934982399654 , 0.287074174289616 , 0.874528396627771 , 0.709615446758113 , 0.496571641424395 , 0.797749665621199 , 0.164901165755233 , 0.593529767542184 , 0.635279491520261 , -0.529205763805675 , 1.01774434302455 , 0.251403104485684 , 0.323715266526969 , -0.250905092365145 , 0.58178362267147 , 0.463843488683418 , 0.425225015240533 , 0.891316431521868 , -0.0503492583256149 , 0.761545619006933 | 0.0201044 |
| 22 | 20 | 0.5 | 0.1 | 1.0 | control , control , control , control , control , control , control , control , control , control , control , control , control , control , control , control , control , control , control , control , intervention , intervention , intervention , intervention , intervention , intervention , intervention , intervention , intervention , intervention , intervention , intervention , intervention , intervention , intervention , intervention , intervention , intervention , intervention , intervention , -0.0863889319260566, 1.38545278384903 , 1.20054804818432 , 1.1869714648514 , -1.6011472011079 , 0.0534414796871572 , 0.0781748708505107 , -0.945220297332272 , -0.480888132797717 , 0.499491181916259 , 1.14827535405907 , -0.604452541456323 , -0.0718506138580526, -0.477154789447362 , -2.28452978968751 , -2.89053840485496 , -0.380530671693763 , 0.267638967536178 , -0.963971161418615 , 0.765233443319123 , 0.935325429957564 , 1.03965956975191 , -1.17117068172724 , -0.0063884487515774, -0.4148201946502 , 1.03486763710172 , 0.608565613067796 , -0.0266055050648286, 0.120825756889568 , -0.846657119932292 , 0.280549093099013 , -0.126560180177713 , 1.08953621865404 , -0.829493419343372 , 1.55179100075415 , 2.39140368142008 , 0.151870344718857 , 1.00617264234601 , 1.32520541445196 , 1.3405269327134 | 0.0443291 |
| 22 | 50 | 0.0 | 0.0 | 0.5 | control , control , control , control , control , control , control , control , control , control , control , control , control , control , control , control , control , control , control , control , control , control , control , control , control , control , control , control , control , control , control , control , control , control , control , control , control , control , control , control , control , control , control , control , control , control , control , control , control , control , intervention , intervention , intervention , intervention , intervention , intervention , intervention , intervention , intervention , intervention , intervention , intervention , intervention , intervention , intervention , intervention , intervention , intervention , intervention , intervention , intervention , intervention , intervention , intervention , intervention , intervention , intervention , intervention , intervention , intervention , intervention , intervention , intervention , intervention , intervention , intervention , intervention , intervention , intervention , intervention , intervention , intervention , intervention , intervention , intervention , intervention , intervention , intervention , intervention , intervention , -0.914386013594275 , -0.459629461923459 , -0.181822120594852 , -0.602083390586992 , 0.422168156251341 , -0.27491347949579 , -0.56137432863632 , -1.3440418784895 , 0.360882319216999 , 0.217886655524159 , -0.671602841547462 , 0.190085151089083 , 0.355815732267026 , -0.0196913457887439 , -0.0485107017532313 , 0.895430165458604 , 0.124502887417351 , -0.0384861032669552 , -0.0345654914051287 , 0.341323806569457 , -0.311885716903675 , -0.0989341769235495 , -0.483636490281367 , -0.260001543780067 , 0.492531404578006 , 0.375402846159493 , -0.942867705272869 , -0.344625489792355 , 0.324587175698995 , -0.285572752704275 , 0.339159014773208 , -0.473203744703016 , -0.520742640298416 , -0.662764635730316 , -1.32969280919873 , -0.880251558987544 , -0.310324954779837 , 0.391294079686441 , -0.283918937216261 , 0.273498377821321 , 0.499114769803769 , 0.262727763341972 , -0.389557871225657 , -0.334510076452334 , -1.26075151092587 , 0.13465537522952 , 0.173024187204633 , 0.325113373341939 , -0.0886883896505529 , -0.124050464196873 , 1.20777435630017 , -0.270431973133192 , 0.0327902890576178 , -0.203489839178144 , -0.546355111194216 , 0.000494005574017585, 0.0549707199865119 , 0.709283542498906 , 0.782990523241544 , -0.580073608988968 , 0.853982071033849 , 0.48760234614629 , 0.293448690016797 , -0.551500579737342 , 0.131670386114163 , 0.938052437332916 , -0.544407282236581 , -0.188940279526394 , 0.314345732039095 , 0.17779332599596 , 0.108847932335968 , 0.323348830597805 , -0.453603324324288 , -0.195506036236621 , -0.130149380920354 , -0.0190824935430953 , -0.136178130968266 , -0.353400531302635 , -0.129743514915945 , -1.06607957479526 , -0.868676200072407 , -0.137299521732574 , 0.268345675559406 , 0.447002456903717 , -0.0985518512388909 , 0.903127224391672 , -0.0149228953959755 , 0.365557973492001 , -0.409930954713199 , 0.411797920444644 , 0.264476021650567 , -0.590078671972238 , 0.0105596134615364 , -0.0404508338288101 , 0.413075718291199 , 0.0126970601212278 , -0.41144902912717 , -0.532183247442505 , 0.435880768356164 , -0.437251301431007 | 0.0699332 |
| 22 | 50 | 0.0 | 0.0 | 1.0 | control , control , control , control , control , control , control , control , control , control , control , control , control , control , control , control , control , control , control , control , control , control , control , control , control , control , control , control , control , control , control , control , control , control , control , control , control , control , control , control , control , control , control , control , control , control , control , control , control , control , intervention , intervention , intervention , intervention , intervention , intervention , intervention , intervention , intervention , intervention , intervention , intervention , intervention , intervention , intervention , intervention , intervention , intervention , intervention , intervention , intervention , intervention , intervention , intervention , intervention , intervention , intervention , intervention , intervention , intervention , intervention , intervention , intervention , intervention , intervention , intervention , intervention , intervention , intervention , intervention , intervention , intervention , intervention , intervention , intervention , intervention , intervention , intervention , intervention , intervention , -0.919263711941474 , 0.609765501683687 , 0.333198845934505 , -1.3671662387338 , -0.23643476679837 , -0.0242452163256986 , -0.312941224813744 , 0.996293055241896 , -3.24983085974203 , -2.33609164094356 , 1.35451271591041 , 1.04828559322232 , -0.48120413873032 , 0.506604367177687 , 0.337868568759605 , 1.30997570926954 , 0.411992956698177 , 0.637616302220169 , -0.567330239664364 , -0.27750937488981 , 0.302854407417642 , -0.199594743316114 , 0.39866596780614 , -0.0132581109534786 , 0.243981217531336 , -0.611384769414227 , -0.504898398878087 , -1.94438332114022 , -0.0403842352614592 , -0.26481691608985 , -0.405427548585351 , 0.858151468770518 , -1.47160003827804 , -0.351444781607632 , -1.00371139523232 , 0.649961654846915 , -2.25943388745229 , 0.394236066895002 , -0.248817274353875 , 0.373307584994792 , -0.0699021742206113 , 0.4975548455462 , -0.00400535631141385, -0.683949168960436 , 0.424589222456615 , -1.45737260006392 , 0.0910001833023447 , 0.471596305578502 , -1.0767523658844 , -0.782711681589662 , 0.151766888573637 , -0.287616154623491 , -0.887060051435252 , 0.655876283911228 , 1.89320158104869 , 0.235985784740869 , -1.84160235865147 , 0.371856996486612 , 0.64683695002146 , 0.154427568468435 , -0.90526813468037 , -0.462888100637522 , -1.07874125728737 , -2.65330607522299 , -0.758006298072217 , -0.479329428266085 , 0.725187671810635 , -0.693326988745771 , -0.58851372166739 , 0.267308236254265 , 0.998248227166319 , 1.21467917421459 , -0.427627510813328 , 0.778756045241315 , -0.849886273118423 , 2.15499559012515 , 0.0437818610554002 , -1.16620633237503 , -0.050586524294874 , 0.256719203972348 , 0.0146845594230386 , 0.210533316753392 , 0.0089606956371247 , 0.581882363749136 , -0.698686163300345 , 2.04926069211608 , 1.63163244429887 , 0.360977113455782 , 0.980715244405677 , -0.292422209868253 , 0.191352708773794 , 0.422250457307648 , 1.21257902098251 , 0.638495477372487 , 0.641794258147724 , 0.17857130912501 , 0.594815077822272 , -0.252832989015888 , 1.73470339286921 , 0.689899274255592 | 0.0457937 |
| 22 | 50 | 0.0 | 0.1 | 0.5 | control , control , control , control , control , control , control , control , control , control , control , control , control , control , control , control , control , control , control , control , control , control , control , control , control , control , control , control , control , control , control , control , control , control , control , control , control , control , control , control , control , control , control , control , control , control , control , control , control , control , intervention , intervention , intervention , intervention , intervention , intervention , intervention , intervention , intervention , intervention , intervention , intervention , intervention , intervention , intervention , intervention , intervention , intervention , intervention , intervention , intervention , intervention , intervention , intervention , intervention , intervention , intervention , intervention , intervention , intervention , intervention , intervention , intervention , intervention , intervention , intervention , intervention , intervention , intervention , intervention , intervention , intervention , intervention , intervention , intervention , intervention , intervention , intervention , intervention , intervention , 0.0213806257290869 , 0.287478002581661 , 1.02738599892669 , 0.60851780952534 , -1.77534376516422 , -0.736213665744383 , 0.0806160676361991 , -0.535891534476778 , 0.687893653412515 , -0.467560429895914 , 0.109455609449885 , 0.515292542138802 , 0.307485397581846 , -0.2908871421338 , -0.163585486324733 , 0.60136105525601 , 1.14227029791203 , -0.716177508097274 , 0.113662450703802 , -0.129485541083402 , 0.221161703010613 , -0.399651426856288 , 0.628191435673888 , -0.683074840692459 , 0.122809990715265 , -0.693659949460552 , 0.848726318020566 , 0.756546992847478 , 0.432178336408961 , 0.213701186299329 , -0.285558392755129 , 0.20603863482357 , -0.384954220646156 , 1.13119550803722 , 0.608044404137606 , 0.560836110145975 , 1.17519766322092 , -0.323864871378671 , -0.368638467677665 , 0.425572689137189 , -0.705138655248078 , 0.413930575817582 , 0.94094133806056 , 0.257138093762921 , 0.0677330620958117 , 0.842541387355894 , 0.458822925530711 , -0.131796149469474 , 0.239249841846741 , 0.150212856192641 , 0.200656333810786 , 0.0171089693679879 , 0.558053938554669 , -0.39132883325423 , -0.133829050544568 , 0.264530298474845 , -0.13459549336017 , -0.191759284078772 , -0.502717413374043 , 0.279034153424297 , 1.70509659629453 , -0.42417833846317 , -0.469142260908092 , -0.112269113431222 , -0.779105574092043 , -0.777721959302311 , 0.0781395052028448 , -0.131211124849106 , -1.33959402366635 , -0.0616732945569302, -0.412239638765431 , 0.186191600955889 , 0.0804318711206814 , -0.139653210821504 , -0.976656963704513 , -0.196847315798625 , 0.0485059428984014 , 0.22454973852745 , 0.187068658035145 , 0.872324162791429 , 0.446153351560435 , -0.247139275263883 , -1.22276640133837 , 0.247352184827342 , -0.416387027204399 , 0.242420324477545 , -0.324404632590248 , -0.0974472139026362, 0.00287335310069636, 0.455394532720914 , 0.160448967091255 , 0.277186641060368 , -0.977455819022034 , -0.431531139032117 , 0.863260884071365 , 0.493260213587488 , 0.479549622995518 , 0.138371390840183 , -0.0508204162287159, -0.107913449234511 | 0.0831825 |
| 22 | 50 | 0.0 | 0.1 | 1.0 | control , control , control , control , control , control , control , control , control , control , control , control , control , control , control , control , control , control , control , control , control , control , control , control , control , control , control , control , control , control , control , control , control , control , control , control , control , control , control , control , control , control , control , control , control , control , control , control , control , control , intervention , intervention , intervention , intervention , intervention , intervention , intervention , intervention , intervention , intervention , intervention , intervention , intervention , intervention , intervention , intervention , intervention , intervention , intervention , intervention , intervention , intervention , intervention , intervention , intervention , intervention , intervention , intervention , intervention , intervention , intervention , intervention , intervention , intervention , intervention , intervention , intervention , intervention , intervention , intervention , intervention , intervention , intervention , intervention , intervention , intervention , intervention , intervention , intervention , intervention , 1.23517550954614 , -0.129419865751987 , -0.51847973358605 , -1.1045142089347 , 0.404936488466646 , 0.273510079673136 , -0.446022212473418 , 1.76337991728806 , 0.805929920973097 , -0.62529607991543 , 0.32548308359357 , 1.89612016246418 , 0.123427814698281 , -0.303056594134353 , 0.785736981657939 , 0.734514201488898 , -0.814164836686231 , -1.72286398491112 , 0.958629614621931 , 0.724491452584516 , 0.471269521374151 , 0.294729346740381 , -0.0197095941944868 , 0.501759552596295 , -0.040278115016929 , -0.468129447934763 , 1.92208848957138 , -0.347264842210004 , -0.128737496963209 , 1.58798261536542 , 1.80896442214891 , -0.623204176894851 , -0.159030018253912 , -0.417680588346362 , 0.197631199150985 , 0.305483377250343 , 1.58654833558561 , -0.838491277832672 , -0.903382142680026 , -0.0831133081117875 , 1.66043318454925 , 0.384226439237852 , -1.47065135503377 , -0.0297227801275664 , 0.814272705057993 , -0.858120313777435 , -0.561935391317307 , 1.84560614997788 , 0.0700113964576951 , 0.98781936926935 , -0.00155465362753364, 0.637033080290176 , -0.658473856158963 , 1.13164064779886 , 0.408730592452808 , -0.446444601699229 , 1.21606714170472 , 0.457831417702752 , -0.991693262080547 , 0.132887603408072 , -1.22586746449379 , 0.0593249539798459 , 0.738634514467953 , 0.910744412040568 , 0.430916424701971 , -0.327614634925907 , 1.20333326760783 , 1.64962726185543 , 0.645176301566907 , -0.0321643376979633 , 0.62551449675625 , 1.52203308176728 , -0.158301673552282 , 0.138048666518881 , 0.877571600905114 , -0.532332334656486 , -0.134655046363627 , -0.355643877748045 , 0.618477053349033 , 0.189195332186678 , -1.16130245790091 , -0.0100211492257986 , -0.883620975835261 , 0.389028754574267 , -0.533583715126287 , -0.0714890582035833 , 0.640180856030674 , 0.427694975884941 , 0.547349912916848 , 0.930466501075219 , -1.45899600149142 , -0.486705880254222 , 0.365142152139154 , 0.91928447130443 , -0.0909161565115813 , -0.471747147193319 , 0.377786731101031 , -0.319592114217545 , -0.270089504290932 , -0.98667022336296 | 0.5243072 |
| 22 | 50 | 0.5 | 0.0 | 0.5 | control , control , control , control , control , control , control , control , control , control , control , control , control , control , control , control , control , control , control , control , control , control , control , control , control , control , control , control , control , control , control , control , control , control , control , control , control , control , control , control , control , control , control , control , control , control , control , control , control , control , intervention , intervention , intervention , intervention , intervention , intervention , intervention , intervention , intervention , intervention , intervention , intervention , intervention , intervention , intervention , intervention , intervention , intervention , intervention , intervention , intervention , intervention , intervention , intervention , intervention , intervention , intervention , intervention , intervention , intervention , intervention , intervention , intervention , intervention , intervention , intervention , intervention , intervention , intervention , intervention , intervention , intervention , intervention , intervention , intervention , intervention , intervention , intervention , intervention , intervention , 0.0598466219442607 , -0.526159095777655 , -0.560972969085734 , 0.554034841508718 , 0.161158997406517 , -0.647172554741335 , 0.513001017574271 , 0.988532565688292 , 0.174610728656701 , 0.512366990723233 , -0.0827929325782504, -0.398655012322131 , 0.262262233811469 , 0.600820879516945 , -0.0304914205608222, 0.442278681584496 , 0.306152587392925 , -0.43669815817375 , 0.429563102482453 , 0.367649517948791 , -0.489472165161803 , 0.206080618697061 , 0.189408148081232 , -0.784509763821888 , -0.335007453773348 , 0.758121596234183 , -0.57405286197814 , -0.0826168179987419, -0.754149418213699 , -0.297318594410878 , -0.593139049244185 , -0.500669669090223 , -0.296314938203113 , -0.296979186649641 , 0.255435394274326 , 0.252582233989642 , -0.135276496506411 , 0.116322599595128 , -0.340307400000471 , -0.18559553452489 , -0.455172725555447 , 0.189160896454794 , 0.301528471995066 , -0.11557916157584 , -0.41735871085698 , -0.501474265413225 , -1.24640056792193 , 0.0838747584508732 , 0.299739019782307 , 0.0833803599182386 , 1.02086105256778 , 1.53107259195002 , 0.23440882696113 , 0.98054806915028 , 0.377718418622714 , 0.775348116323848 , 0.0785468034613208 , -0.570858395520565 , 0.776857579402369 , 0.64564501847291 , 0.076475828278918 , 0.453770128375113 , 1.07688965920711 , 0.511062857307133 , 0.746746882673247 , 0.0153269940513257 , 1.05725753142909 , 0.333808753644486 , 0.206098449346701 , 0.532467680070381 , 0.00573413503343267, 0.560696184707285 , 0.527376236633858 , -0.325038335672802 , 0.490974458447892 , 0.633511153461625 , 1.01401760647716 , 1.35048395590142 , 0.0382221573481226 , 0.175646352525739 , 0.340015151873446 , 1.24968570405813 , 1.32527865932241 , 0.531649995043014 , 0.849662496275396 , 1.13104548517773 , 1.22368496576106 , 0.253072076418927 , 0.247542996005273 , 0.0488996337209617 , 0.43151316649227 , 1.03262040270367 , -0.100169598936369 , 1.64950737264941 , 0.330907532380589 , 0.939148204812596 , 0.159116640015843 , 0.669497859608532 , 0.183700914471872 , 0.125081414747964 | 0.0000000 |
| 22 | 50 | 0.5 | 0.0 | 1.0 | control , control , control , control , control , control , control , control , control , control , control , control , control , control , control , control , control , control , control , control , control , control , control , control , control , control , control , control , control , control , control , control , control , control , control , control , control , control , control , control , control , control , control , control , control , control , control , control , control , control , intervention , intervention , intervention , intervention , intervention , intervention , intervention , intervention , intervention , intervention , intervention , intervention , intervention , intervention , intervention , intervention , intervention , intervention , intervention , intervention , intervention , intervention , intervention , intervention , intervention , intervention , intervention , intervention , intervention , intervention , intervention , intervention , intervention , intervention , intervention , intervention , intervention , intervention , intervention , intervention , intervention , intervention , intervention , intervention , intervention , intervention , intervention , intervention , intervention , intervention , -1.81102219466073 , 2.0694831364094 , 1.01603745183347 , -0.510455608526076 , -1.34828395100433 , 0.0907950883673495 , 0.930065205396532 , 1.29611590530448 , 0.574104972774432 , -0.214291379914387 , 0.237316776675685 , -1.07915613657728 , -0.0536327095409578, -0.0646808240615654, -0.621385374516762 , 0.178350774851066 , 0.969232785247303 , 0.830690655085506 , -0.610892319132342 , -2.40942315194913 , -1.61960288472016 , 1.29591345734047 , 1.26347174283713 , -1.85467834798121 , 0.429189791858435 , -0.625512395018121 , 0.247907651991927 , -0.425916188360234 , -0.159116693706662 , 0.0623643338883255 , -1.63099258143483 , 2.12263865065392 , 0.0858655439680798 , -1.29020345844634 , -0.342061357720545 , 0.266731451445878 , 1.35457997905931 , -1.05613591696508 , -1.26703144706192 , -1.48884111217956 , -0.378233055263343 , 0.668958942930493 , -0.124254098802851 , 0.128924114309738 , -0.498131561740078 , -0.0794016221378943, 0.533519647503888 , 0.444638962476719 , -0.212785557714944 , 0.124922573518731 , 0.393767124358483 , -1.08546059620474 , 1.65700524339186 , 3.59332726612847 , 0.232279477023822 , 0.542269415986909 , 2.1286863168469 , 1.00926242140493 , -1.40412450621861 , -0.58985949764143 , 0.1368691967549 , 0.2323377516405 , 0.576701673146163 , -0.300797226073729 , -0.501382916067913 , 1.14298282298642 , 1.04084331348596 , 1.56331767382974 , 0.733575537434991 , 1.21112662566652 , 1.23306009354089 , 1.66453928687224 , 1.70158295988576 , -0.129997545955696 , 0.169346505783945 , 0.138102237107842 , 1.30315840239117 , 0.931397569999452 , 0.928338777360084 , -1.11749991630474 , -0.0855945959859116, -0.925416276256617 , -0.115775676550193 , -0.0266930253219847, -0.105359437201858 , 0.390247399525423 , -0.183453452443425 , -0.327012734009587 , 0.300768021506607 , 0.777152400948658 , 0.307461397386337 , 0.640216080269604 , -1.48740808704869 , 0.389133155804281 , 0.00662650035080142, 0.190153947638055 , 0.103915653233525 , 1.74627342079985 , 2.00931229563601 , -0.595614660984304 | 0.0086169 |
| 22 | 50 | 0.5 | 0.1 | 0.5 | control , control , control , control , control , control , control , control , control , control , control , control , control , control , control , control , control , control , control , control , control , control , control , control , control , control , control , control , control , control , control , control , control , control , control , control , control , control , control , control , control , control , control , control , control , control , control , control , control , control , intervention , intervention , intervention , intervention , intervention , intervention , intervention , intervention , intervention , intervention , intervention , intervention , intervention , intervention , intervention , intervention , intervention , intervention , intervention , intervention , intervention , intervention , intervention , intervention , intervention , intervention , intervention , intervention , intervention , intervention , intervention , intervention , intervention , intervention , intervention , intervention , intervention , intervention , intervention , intervention , intervention , intervention , intervention , intervention , intervention , intervention , intervention , intervention , intervention , intervention , -0.132769950714246 , 0.201559465461121 , 0.639294755779012 , 0.0532081669978711 , 0.237259797291594 , 0.667869140608337 , 0.610357143662548 , -0.0862805259866657 , -0.682835740976058 , -0.390666915125791 , 0.657308324226679 , -0.790966329510304 , -0.249069770887271 , 0.591926705078342 , 0.461189731699097 , 0.372591479289742 , -0.0814698816862909 , 0.785718014324188 , 0.728489131230774 , -0.869834721786154 , -0.214661122848709 , -0.139107005924703 , 0.417458134962264 , 0.594296094812234 , 1.12061874450976 , -0.80785156567475 , 0.316999980453608 , 0.144615286871527 , 0.300146053924207 , 0.613283011714109 , 0.859195232267064 , 0.537510314707518 , 0.485952593543818 , -0.0252871814322554 , -0.441363220022946 , 0.468408560695894 , -0.436061486703751 , 0.75824508263187 , 0.442425965042209 , 0.0552436665922642 , 0.356203531838477 , 0.579530410895388 , 0.22864806389625 , -0.365172411808546 , -0.125750266209935 , -0.915677014253857 , 0.653445939228723 , 0.994688051074014 , -0.483225635466233 , -0.211963664690756 , 0.4272237634177 , -0.40513686886332 , 0.214971346913345 , -0.200883004781227 , 0.975006543709618 , 0.467252023843377 , 0.527104434253495 , 0.183106173995774 , 0.781529999221573 , -0.577701962216433 , 0.151920774370865 , 0.114435551967144 , 0.135017459510521 , -0.175501254777048 , -0.454111533641134 , 1.3337149616204 , 0.189925438337009 , 0.305616949585431 , 0.784416653833709 , 1.00558925910836 , 0.329347591560583 , 0.7639015898626 , -0.0296050041106618 , 0.415065556350131 , 0.368266245204478 , 0.430162713876373 , 1.17286479187953 , 1.63183260806035 , 1.02364410233511 , 0.403221987883532 , 0.744801003450777 , 0.153651299189962 , 0.223174756072344 , 0.000719764685430502, 1.04324109192036 , 1.20773459388836 , 1.22110848194997 , 1.1232595232448 , 1.34413194845029 , 0.110020553553058 , -0.121796287809293 , -0.13625004264393 , 0.715081296289784 , 0.637465288719513 , 0.947361368638015 , 0.0134854109603977 , 1.3649412145893 , 0.779919068942962 , 0.637122194891348 , 0.710973644990124 | 0.0020858 |
| 22 | 50 | 0.5 | 0.1 | 1.0 | control , control , control , control , control , control , control , control , control , control , control , control , control , control , control , control , control , control , control , control , control , control , control , control , control , control , control , control , control , control , control , control , control , control , control , control , control , control , control , control , control , control , control , control , control , control , control , control , control , control , intervention , intervention , intervention , intervention , intervention , intervention , intervention , intervention , intervention , intervention , intervention , intervention , intervention , intervention , intervention , intervention , intervention , intervention , intervention , intervention , intervention , intervention , intervention , intervention , intervention , intervention , intervention , intervention , intervention , intervention , intervention , intervention , intervention , intervention , intervention , intervention , intervention , intervention , intervention , intervention , intervention , intervention , intervention , intervention , intervention , intervention , intervention , intervention , intervention , intervention , -0.9531451580022 , 0.211038965637515 , 0.273506557536263 , 0.678232736521872 , 1.49115575854104 , -0.682906345677879 , 0.318987310405258 , -0.553255502993143 , 2.07597459597765 , -0.0459440695094242, -0.451405119125954 , -1.03038694499976 , 0.907414972758422 , 0.182363089002178 , -0.73400411312772 , 0.615881059998326 , -0.203798592026808 , 0.956248650470408 , 0.584958767021068 , 0.390657243206597 , 0.488878301598428 , -0.229332319077937 , 0.278796418347316 , -0.721727953106828 , 0.490371709631757 , -1.18728213991238 , 0.606387426214633 , -0.284482158634415 , -0.705270823661169 , 0.647544874387659 , 1.15615313683419 , 0.266838869145839 , 0.08437792230283 , 1.43687990942131 , 0.342917535755659 , 0.120329024732754 , 2.18338360549224 , 0.559732183916658 , 0.374170255164708 , 0.212315362562326 , 1.4039749918073 , -0.205497664239668 , -0.785220836017687 , -0.354804261172813 , 2.13325542753672 , -1.69693062894463 , 0.274283913362232 , 0.604611308375101 , -0.599413921887353 , 0.544024581383079 , 0.219470604779753 , -0.559918468033319 , -1.05282766209179 , 1.78373983360552 , 0.768432362121027 , 0.543349779597886 , 1.037145123862 , -0.954707713792031 , -0.359845453866148 , 0.644072927172007 , 0.158680615496537 , 0.113859591211806 , 0.956630742155561 , 2.49589101492963 , -0.0676957262855898, 0.274884865455295 , 0.863368241399345 , -0.535823324195811 , 0.399210735481726 , 0.756144222162824 , -0.951303900446014 , 1.31272839101887 , 2.6723967152792 , 2.98838921403854 , 0.0507707622295128 , 0.861568125097234 , 0.186122370759228 , -0.0642770642716389, -0.825680718644995 , 1.64801751809404 , -0.497823734816383 , -0.284251836924005 , -0.125234632008794 , -0.502983563545506 , 0.793583217003364 , 0.827199017218659 , 0.821725184047226 , 0.38925607255185 , 1.60219670484126 , 0.756596680946407 , 0.400546015305758 , 1.07189981339522 , -0.148886011649651 , 0.729951902793394 , -0.0695161738529184, 1.03784748582006 , 1.15021634385131 , 0.0284347024071694 , -0.41733769294307 , -0.317619879893181 | 0.2059731 |
| 23 | 20 | 0.0 | 0.0 | 0.5 | control , control , control , control , control , control , control , control , control , control , control , control , control , control , control , control , control , control , control , control , intervention , intervention , intervention , intervention , intervention , intervention , intervention , intervention , intervention , intervention , intervention , intervention , intervention , intervention , intervention , intervention , intervention , intervention , intervention , intervention , -0.548539841046249 , 0.138408653838545 , 0.151431743764742 , -0.493076311262396 , -0.73977601001281 , 0.205048752416916 , 0.183491004282616 , 0.221672704388541 , -0.0129049822567732, -0.529990184905931 , 0.156798612456658 , -0.427196377367975 , -0.639506676590267 , 0.185736934495881 , 0.178097716104425 , 0.0904857663239251 , 0.652955158983131 , 0.476962366813 , -0.257559312449605 , -0.655574714627999 , 0.458668177547022 , 0.505314703614417 , 0.0884807957409521 , 0.224604938399829 , -0.349334492519951 , 0.526926745703863 , -0.665208589359289 , -0.202020235738589 , -0.170130556210832 , 0.607393530980092 , -0.0922267496017047, -0.318299495285907 , 0.344701047339458 , -0.0145398376235535, -0.023448479018674 , -0.417705069516524 , -0.0648085877468755, -0.627017401591999 , -0.0805344188645808, 0.02321332827578 | 0.5713779 |
| 23 | 20 | 0.0 | 0.0 | 1.0 | control , control , control , control , control , control , control , control , control , control , control , control , control , control , control , control , control , control , control , control , intervention , intervention , intervention , intervention , intervention , intervention , intervention , intervention , intervention , intervention , intervention , intervention , intervention , intervention , intervention , intervention , intervention , intervention , intervention , intervention , -0.51704557795615 , 1.0608211004907 , 0.166116364532563 , -0.18881160691086 , -0.520379123349309 , -1.3778475001454 , -0.0520431468544978, -0.985803050998624 , 1.68950246750102 , -1.7616604181291 , -0.329911792812315 , 0.226627739638849 , -0.148982215458703 , 0.579048663623864 , -0.872519795077962 , 0.233504795452464 , 1.42044802720753 , 0.346346685150241 , -0.635554158603431 , 1.45654446202408 , 0.488046707403919 , -0.89882888222105 , -1.54659910082194 , 0.188822145642887 , -0.496395670835517 , -1.44707393315307 , -0.0837427917188741, -0.678720175992583 , 1.08260866900833 , -1.26491226956472 , -0.0455860252630672, -0.144763472317155 , 2.21786498432238 , 0.148190652951968 , 1.03497896675361 , -0.0707724059850406, -0.873308028920041 , 0.290789915507687 , -1.29462215685161 , 0.666269749151566 | 0.6774971 |
| 23 | 20 | 0.0 | 0.1 | 0.5 | control , control , control , control , control , control , control , control , control , control , control , control , control , control , control , control , control , control , control , control , intervention , intervention , intervention , intervention , intervention , intervention , intervention , intervention , intervention , intervention , intervention , intervention , intervention , intervention , intervention , intervention , intervention , intervention , intervention , intervention , 0.16221908295749 , 0.615107683282507 , -0.171349508832068 , 0.86861138629351 , 0.983871818447265 , -0.131208607152791 , -0.402310580168195 , 0.698299469494558 , -0.0904453004724567, -0.399252771020336 , 0.605757845974235 , -0.232947199699165 , 0.300818647041583 , -1.1389066023448 , -0.343956122672227 , -0.288263855063755 , 0.22456854352504 , 0.0391617082143929 , 0.26786941025435 , -0.344732008530063 , 0.668517085684866 , 1.23673172897432 , -0.426730038145321 , 0.0769114015129911 , 0.701677691785741 , 0.576590504429542 , -0.458220975639469 , 0.295369260875188 , -0.533192233752987 , 0.477358071030827 , -0.347858966310954 , -0.56854541696955 , 0.33921854200995 , 0.662863040859998 , -0.386520159535944 , -0.0357727154830519, 0.095539598417651 , 0.504899319574964 , -0.987143795535796 , -0.393039839432624 | 0.9369669 |
| 23 | 20 | 0.0 | 0.1 | 1.0 | control , control , control , control , control , control , control , control , control , control , control , control , control , control , control , control , control , control , control , control , intervention , intervention , intervention , intervention , intervention , intervention , intervention , intervention , intervention , intervention , intervention , intervention , intervention , intervention , intervention , intervention , intervention , intervention , intervention , intervention , -0.832463559496859 , -0.910273451317201 , 0.748123276285677 , 1.22450180508183 , 1.98336756287256 , -0.430098438074877 , -0.850830437301124 , -0.828671535696119 , 0.344234100529799 , -0.0586889553939506 , 0.164425360126172 , 0.897708783536694 , 0.488408992074061 , 2.546020226034 , 0.61132094595286 , 0.007297534537671 , 1.61264371780714 , 0.182152957643592 , 1.36012501793381 , -0.625319383213463 , 0.293152780325624 , 0.153669851399561 , -1.04888576362349 , -0.275080207870225 , -0.549020793303295 , 0.987872799991105 , 0.478868106216014 , 1.01586339244147 , 1.13156033760877 , 0.706756733566031 , -0.619850324789329 , 0.32752218428886 , -0.633873303126973 , -0.177549178036172 , 0.615619130825445 , -0.814899359760011 , 1.57434837277594 , 0.000972271633760196, 1.33364319768527 , 0.773668867963413 | 0.6777166 |
| 23 | 20 | 0.5 | 0.0 | 0.5 | control , control , control , control , control , control , control , control , control , control , control , control , control , control , control , control , control , control , control , control , intervention , intervention , intervention , intervention , intervention , intervention , intervention , intervention , intervention , intervention , intervention , intervention , intervention , intervention , intervention , intervention , intervention , intervention , intervention , intervention , -0.5110755768238 , 0.897608591114107 , 0.952527496864931 , -0.458098743866458 , 0.167216338603964 , 0.492488329087594 , -0.494639453138751 , -1.26892870570484 , -0.247012434639254 , -0.361579791863303 , 0.56899115901017 , 0.863336912694546 , -0.939418231555931 , -0.499009464860255 , -0.309503234429745 , 0.188090245299485 , 0.412008045998495 , 0.192121597883344 , -0.401350639003022 , -0.297367274308633 , 1.18898359767913 , 0.692269414319215 , 0.0857359669218442 , -0.16209416924819 , -0.0813648349633674, -0.0753638673786785, 0.850936830290953 , 0.026562510811916 , -0.0112375780898469, 0.473180185753262 , 0.452042179485474 , 0.290883001101774 , -0.0445391992902949, 0.972286175694498 , 0.331869769480561 , 0.86951061643387 , 0.314238741636106 , 0.759076126350173 , 0.879283112200537 , 0.72227288088402 | 0.0065516 |
| 23 | 20 | 0.5 | 0.0 | 1.0 | control , control , control , control , control , control , control , control , control , control , control , control , control , control , control , control , control , control , control , control , intervention , intervention , intervention , intervention , intervention , intervention , intervention , intervention , intervention , intervention , intervention , intervention , intervention , intervention , intervention , intervention , intervention , intervention , intervention , intervention , 1.10844893150026 , -2.48956447619261 , -0.630112257879187, -0.210523096815873, 0.117170017491476 , 1.13423924426529 , -0.217112771888673, -0.175423188371297, 0.38755083862707 , -0.490292531865404, 0.542375102560027 , 1.34423970420772 , 0.41308674610843 , -0.221014206650791, 1.95456773634233 , -1.83658759819234 , 0.278135694352921 , 0.167589089283039 , -0.413137303526683, -1.48075103725061 , 0.797596812714382 , 0.854475912933695 , -1.14181036942387 , -1.11848673993912 , -0.485948424696951, 0.33781120072206 , 2.65477608545181 , 2.2211626485696 , -0.119211737025437, 0.720230387760918 , 0.116774067081011 , 1.24138311457568 , 2.61677626446191 , -0.203416129856103, 0.701470851579839 , 0.495383834309623 , -0.669342256852032, 1.03105166375337 , 0.218658425618547 , 1.61365040742803 | 0.0739427 |
| 23 | 20 | 0.5 | 0.1 | 0.5 | control , control , control , control , control , control , control , control , control , control , control , control , control , control , control , control , control , control , control , control , intervention , intervention , intervention , intervention , intervention , intervention , intervention , intervention , intervention , intervention , intervention , intervention , intervention , intervention , intervention , intervention , intervention , intervention , intervention , intervention , 0.468895552093471 , 0.70073208986175 , 0.251517785015084 , -0.544908207440539 , -0.267243504925668 , -1.0007280649433 , 1.09032434012861 , -0.412930061754772 , -0.339701289382989 , 0.00387408276060439, -0.236452165215614 , -0.413384769326185 , 0.459777088052259 , 0.955471477407246 , 0.347263138222192 , -0.0709083119012933, 0.480952669238355 , -0.824717923703083 , -0.587701962969074 , 0.504711130354488 , 0.0421471257187472 , 0.237034459159067 , 0.661478590752845 , 0.49474897978439 , 0.572001757800762 , 0.49894744819659 , 1.03406815788271 , -0.0348212221836586, 0.626661482542515 , 1.30765847056131 , 0.753651312592522 , 1.4217462070932 , 0.931670676765182 , 0.371104709456581 , 0.0727851519070106 , 0.0776989578986826 , -0.485707320565658 , -0.165906889953292 , 0.338686183654114 , -0.444348488021832 | 0.0341775 |
| 23 | 20 | 0.5 | 0.1 | 1.0 | control , control , control , control , control , control , control , control , control , control , control , control , control , control , control , control , control , control , control , control , intervention , intervention , intervention , intervention , intervention , intervention , intervention , intervention , intervention , intervention , intervention , intervention , intervention , intervention , intervention , intervention , intervention , intervention , intervention , intervention , 0.016664391932649 , 1.0439372129127 , 0.477352363410199 , -1.13244282871053 , 1.18278715670298 , 1.15544690556512 , -0.879404739916506, -0.666974410246608, 0.931040386835742 , -0.716414386745126, -0.305979618345562, 0.071940435848907 , -1.65156917596186 , 0.575793456540736 , 0.630245353693385 , -0.995611978212695, -0.383980733407804, 0.388058073511885 , -0.731400298930223, -0.334047537892876, -0.294964524531678, -1.31822841374322 , 1.09286643635245 , 0.388300157148941 , 0.924756708405247 , -1.28592440786774 , 1.00126010168304 , 0.317972883065016 , 1.90558696605406 , 0.837103384774599 , 0.324242539397453 , 0.216113914174992 , -0.532677353003233, 1.12522971379892 , 0.989526029464344 , -1.23714208308112 , 1.35707391352506 , 2.52130724643761 , 0.528868655643507 , 0.178774025854715 | 0.0870983 |
| 23 | 50 | 0.0 | 0.0 | 0.5 | control , control , control , control , control , control , control , control , control , control , control , control , control , control , control , control , control , control , control , control , control , control , control , control , control , control , control , control , control , control , control , control , control , control , control , control , control , control , control , control , control , control , control , control , control , control , control , control , control , control , intervention , intervention , intervention , intervention , intervention , intervention , intervention , intervention , intervention , intervention , intervention , intervention , intervention , intervention , intervention , intervention , intervention , intervention , intervention , intervention , intervention , intervention , intervention , intervention , intervention , intervention , intervention , intervention , intervention , intervention , intervention , intervention , intervention , intervention , intervention , intervention , intervention , intervention , intervention , intervention , intervention , intervention , intervention , intervention , intervention , intervention , intervention , intervention , intervention , intervention , 0.785654436376028 , -0.86138310568891 , -0.0111616758534193 , 0.251105264186622 , 0.542744355365594 , 0.466887370801773 , 0.329374235646004 , -0.36599663755044 , 0.568479340414294 , -0.170832485980106 , 0.703371981001718 , -0.337695492267078 , 0.094730565828037 , 0.124293195930866 , -0.231397328603082 , -0.475068531580923 , 0.533837431283401 , 0.0746089375236758 , -0.0751204596445304 , 0.468287298628686 , -0.437945325265442 , -0.371627035812407 , 0.237205577288303 , -0.221573612644574 , 0.36731432214451 , -0.379548185782945 , 0.164085650249231 , -0.327472088842056 , 0.681988721289466 , 0.879254899233661 , 0.197860586229478 , 0.569653251628566 , 0.712668032830665 , -0.0780323077060178 , 0.189223278104619 , 0.859058388843789 , 0.578828593765437 , 0.317621399640558 , -0.451225699629764 , -0.620224856082711 , -0.10436684112011 , 0.141127203388265 , -0.281828667852243 , -0.676294406202011 , 0.558636300297602 , -0.11992410322788 , 0.134665860703247 , 0.0453830215976528 , -0.444627732367412 , 0.6388046073333 , 0.0159013823366131 , 0.336764965116402 , -0.216458940514664 , 0.268766926214212 , -0.523176724120476 , -0.51571688579823 , -0.15861779387131 , -0.0657540756324606 , -0.146730650897331 , 0.447596128153463 , 0.260105594427105 , -1.21907949153436 , -0.186501753267337 , -0.212644942978943 , -0.294319812063378 , 0.215374419068129 , 0.680650784027026 , -0.943658379171836 , -0.68445466920188 , -0.945755652388991 , -0.349413058302642 , -0.0313327024444375 , 0.228869284183676 , -0.302898118166158 , -0.936040398538578 , -0.306992534907078 , -0.535385129319741 , 0.422807880168632 , 0.514276444329191 , -0.880727709988493 , -1.06028610870364 , -0.0716501552726751 , -0.000799490314857232, -0.523738925600421 , 0.926024105973281 , 0.128385396919989 , -0.532151450986275 , 1.05679627908523 , -0.212938618900762 , 0.520672030880085 , -0.0662163347607107 , -0.490689341787543 , 0.612464367973339 , -0.914951046704309 , 0.866955105260945 , 1.29721578073809 , -0.190865766769586 , -0.768988854334136 , 0.435057336429514 , 0.478947590715155 | 0.0636552 |
| 23 | 50 | 0.0 | 0.0 | 1.0 | control , control , control , control , control , control , control , control , control , control , control , control , control , control , control , control , control , control , control , control , control , control , control , control , control , control , control , control , control , control , control , control , control , control , control , control , control , control , control , control , control , control , control , control , control , control , control , control , control , control , intervention , intervention , intervention , intervention , intervention , intervention , intervention , intervention , intervention , intervention , intervention , intervention , intervention , intervention , intervention , intervention , intervention , intervention , intervention , intervention , intervention , intervention , intervention , intervention , intervention , intervention , intervention , intervention , intervention , intervention , intervention , intervention , intervention , intervention , intervention , intervention , intervention , intervention , intervention , intervention , intervention , intervention , intervention , intervention , intervention , intervention , intervention , intervention , intervention , intervention , -1.58907261802134 , -0.428369316066828 , -0.128099707821579 , 0.0569933822961536 , -2.24613636079265 , -0.970271739544175 , -0.886232493554572 , 0.121433944947981 , -0.48038667435181 , -0.149569840581493 , -1.15171245136137 , 0.177580942175352 , 0.173681021805754 , -0.0417931824725743 , -0.805180547237837 , -0.643750533012545 , -0.643629787122283 , -0.695066038276819 , -2.26913694513402 , -1.63266452133703 , 1.04174873817237 , 1.15376817797675 , 0.891199089422865 , -1.31460550479585 , 0.33932479363962 , -0.699785753849125 , -0.628531253014464 , -0.442453192865358 , -0.60877462752067 , -0.380158612101446 , -0.565958076261455 , -2.01761085971283 , 0.191523011272511 , 0.0458348932168427 , 1.73673735567525 , 0.664127058228124 , -0.336369933505248 , -0.872341752395056 , 0.26288019620372 , 0.630833001339997 , -0.948873977686017 , -0.858490370293 , 1.70919567752391 , 0.45683457521799 , 0.476242523525488 , -0.747199097304998 , 1.30731132485775 , -0.422207561503715 , -0.169509634791007 , 1.29336970376425 , 1.25623805880331 , 0.0955720425943846 , -1.45049996902336 , -1.63017172255439 , -0.63162192753013 , -0.0531112840305321 , -1.16712754603722 , 1.79342936948932 , -0.299236682394327 , -0.109469674249895 , -0.647410705127613 , 0.83949263306995 , -0.664039412695763 , 0.237249262868838 , -0.0849091687198333 , -0.386116408013945 , 0.413638086792782 , -1.25270934889328 , -0.217242213159416 , -1.52084529220864 , 0.354557349182466 , 1.48442102531847 , -0.862758882582143 , 0.453939171516441 , 2.54233542353135 , 0.46460701515702 , 0.660767357019076 , -0.096920137723157 , -0.349426717674384 , -0.27306396803069 , -0.200850207206465 , -0.00132791044505565, 0.389500710002098 , -1.2362557915909 , -1.31744151597707 , 0.0382238547209951 , -1.89126049478347 , -0.0299960291042217 , 0.872675289430599 , 1.02096511524042 , -0.591520889023101 , -1.05727817916755 , -0.993701952955477 , -1.31145561479875 , 1.31524527167335 , 0.522696627081852 , 0.0471328878452282 , 2.03030479706464 , -0.568063837399175 , 1.18900658361528 | 0.2943207 |
| 23 | 50 | 0.0 | 0.1 | 0.5 | control , control , control , control , control , control , control , control , control , control , control , control , control , control , control , control , control , control , control , control , control , control , control , control , control , control , control , control , control , control , control , control , control , control , control , control , control , control , control , control , control , control , control , control , control , control , control , control , control , control , intervention , intervention , intervention , intervention , intervention , intervention , intervention , intervention , intervention , intervention , intervention , intervention , intervention , intervention , intervention , intervention , intervention , intervention , intervention , intervention , intervention , intervention , intervention , intervention , intervention , intervention , intervention , intervention , intervention , intervention , intervention , intervention , intervention , intervention , intervention , intervention , intervention , intervention , intervention , intervention , intervention , intervention , intervention , intervention , intervention , intervention , intervention , intervention , intervention , intervention , -0.00659344023420506, -1.4147677503261 , 0.192457393230533 , 1.21175764229117 , 0.83165634301944 , -0.50338272079632 , 0.481418713720029 , 0.376103276991428 , 0.00981325737199375 , 0.108429269765986 , 0.363107762254459 , -0.476048807493374 , -0.232690998542363 , 0.536994299341768 , -0.863437552909392 , 0.397567221736788 , -0.595508013240427 , 0.325782381199909 , -0.0370939196619293 , -0.398176558982457 , 0.552716229970356 , -0.136599463880227 , 1.04680356880092 , 0.192338023405354 , -0.0329416828968941 , 0.241687215927362 , -0.383740869471243 , 0.450073390060569 , 0.43006615798626 , -0.0955158793451584 , 0.261031123327746 , 0.425251789310925 , -0.377113464182238 , 0.412032807436646 , -1.26036661667844 , 0.54638173361955 , 0.513315341190194 , 0.415180744453624 , -0.565454654373387 , 0.00761242946620778 , 0.0942119869327105 , 0.395623563780661 , 0.464508399891768 , -1.03079025785 , -0.422533229036268 , 0.239872554072328 , -0.19337602591529 , 0.660169064768632 , 0.748426119467501 , 0.0319730610845832 , -0.770567764490528 , -0.486490870939173 , -0.0941372647497765 , -0.0478292855748818 , 0.217033247539354 , -0.358935984849996 , 0.0872705433600813 , 0.163836974740773 , -0.0428967840418212 , -0.611468028505608 , 0.393021562986043 , -0.0741425583439941 , 0.377694834337422 , 0.199394582822191 , 0.305915837168161 , -0.593319404498248 , -0.932176198608043 , 0.174324874997613 , 0.0390881403835701 , 0.0273435846270704 , 0.1957357269989 , -0.193817099364892 , 0.0441419274127984 , 0.468528151431258 , 0.759261275647956 , -0.305024583433237 , -0.899472855893462 , -0.34239610806793 , -0.188022825976308 , -0.643093293387214 , -0.184532905169871 , 0.545191311053591 , -0.0971462263405177 , -0.104616988076901 , -0.215600817490347 , -0.51886830014586 , -0.291307211580784 , -0.355830833555512 , -0.224150996701584 , 0.0396678904379515 , -0.118063422463831 , 0.926079887774635 , 0.37801597679918 , 1.4850262487758 , 0.00815993969165975 , 0.348151737613211 , 0.278677089188771 , -0.141515013508122 , 0.660649143768807 , -0.0203268689510973 | 0.3571158 |
| 23 | 50 | 0.0 | 0.1 | 1.0 | control , control , control , control , control , control , control , control , control , control , control , control , control , control , control , control , control , control , control , control , control , control , control , control , control , control , control , control , control , control , control , control , control , control , control , control , control , control , control , control , control , control , control , control , control , control , control , control , control , control , intervention , intervention , intervention , intervention , intervention , intervention , intervention , intervention , intervention , intervention , intervention , intervention , intervention , intervention , intervention , intervention , intervention , intervention , intervention , intervention , intervention , intervention , intervention , intervention , intervention , intervention , intervention , intervention , intervention , intervention , intervention , intervention , intervention , intervention , intervention , intervention , intervention , intervention , intervention , intervention , intervention , intervention , intervention , intervention , intervention , intervention , intervention , intervention , intervention , intervention , 0.658517747430322 , 0.706480124945977 , 1.20247259218905 , 1.82781445761198 , -0.235606392905823 , 0.845086674930325 , -1.47110558835695 , 1.0383710430921 , -0.842296291603782 , 0.197174725894896 , -0.201494168620586 , 0.134274945264122 , -1.36032126878348 , -0.0589340893083003, 0.0104262730617217 , 0.0568687405565244 , -0.455350530522594 , 0.314069517829513 , 0.585025636165605 , 0.410150951055619 , 1.1061742853727 , -1.2349070604507 , 0.661553999287609 , 0.994906870519514 , 0.730718101096876 , -0.239886010612597 , -0.173733103006001 , 0.047771284467936 , 0.86710458559887 , -1.88903901389158 , -0.266470568383607 , -2.10646588133994 , 0.44798092830828 , -0.552857353907242 , 0.457797969207875 , 0.62127257959189 , 0.420957293742929 , 1.23344774998571 , 1.05188698952003 , 1.19301403454944 , 0.780765597814385 , -1.01050163576872 , 1.70627860199091 , -0.689309370062176 , -0.896085924844453 , -0.984538592057479 , -1.52349794988981 , -0.0783150559412139, 0.0445870625294225 , 1.42429385339894 , 0.252160086910265 , 0.89390584268237 , -1.45409685170309 , 1.09018838496573 , -0.433299502644927 , 2.60556676785893 , 0.695667999264794 , -1.27893661775674 , 0.557508280145867 , 2.2348210742719 , 2.024954177017 , 0.41559187265948 , 0.18265359113412 , -1.26179542591113 , -0.270217902259427 , 0.464200611322792 , -0.536982017716051 , 2.46065926291889 , 0.407985908334153 , -2.0564440871527 , 0.805378248985785 , -0.671169861569487 , 2.31172814293228 , 0.853681973304585 , 1.61672095539648 , -1.59351103579899 , 0.185006392110161 , 0.26126437424415 , 0.60289458785094 , 1.41154948350812 , 0.958442707037695 , 0.398389582145173 , -0.954014436236081 , -2.03964978537309 , 0.0172707321340292 , -0.542171574809785 , -1.27833813463818 , -1.4843277818089 , 1.09803798251951 , -0.0274822053304804, -0.343666184434107 , -1.97010998528816 , 0.526638522797654 , -0.136234345071505 , -1.54927235453637 , 1.37914901824763 , 0.917455219741721 , -0.847702557298814 , -2.58542330165932 , -0.142596644764547 | 0.9046463 |
| 23 | 50 | 0.5 | 0.0 | 0.5 | control , control , control , control , control , control , control , control , control , control , control , control , control , control , control , control , control , control , control , control , control , control , control , control , control , control , control , control , control , control , control , control , control , control , control , control , control , control , control , control , control , control , control , control , control , control , control , control , control , control , intervention , intervention , intervention , intervention , intervention , intervention , intervention , intervention , intervention , intervention , intervention , intervention , intervention , intervention , intervention , intervention , intervention , intervention , intervention , intervention , intervention , intervention , intervention , intervention , intervention , intervention , intervention , intervention , intervention , intervention , intervention , intervention , intervention , intervention , intervention , intervention , intervention , intervention , intervention , intervention , intervention , intervention , intervention , intervention , intervention , intervention , intervention , intervention , intervention , intervention , 0.256570021827032 , -0.365106413029966 , 0.54064046664214 , 0.186250150117077 , 0.752573638186737 , -0.430742594401001 , -1.09955081189982 , -0.610824475484193 , 0.365315149614654 , 0.574448612114933 , 0.313964505454256 , 0.308264324808339 , 0.030268811850499 , -0.0501342135613862, -1.24246067101699 , -0.300184420133449 , -0.167096843233711 , 0.210600373950245 , 0.529361139262102 , -0.617334714319688 , -0.373246432111856 , 0.715360226726734 , 0.239607534122966 , -0.343353977586601 , 0.597848170097132 , -0.362692818036368 , 0.808562109364407 , -0.109245402054241 , -0.96630037010915 , 0.355004310414393 , 0.630170628229215 , 0.084616764589185 , 0.785277406165344 , -0.0498513369963046, 0.794603422763673 , 0.0598554094737613 , 0.0067476641279051 , 0.782126622991457 , 0.671679535549863 , -0.774079256210754 , 0.245112590436874 , 0.0359988127506488 , 0.0140916431217745 , -0.219669754554737 , 0.065596851305931 , -0.865213285208182 , -0.0280476695902661, 0.37877260904578 , -0.486320102615517 , 0.470797403519341 , 0.21586203659851 , 0.456787309497371 , 0.426004765921286 , 0.956940447450347 , -0.187318218180753 , 1.09479038925331 , -0.115518858465311 , 0.727851633093893 , 1.00212348490145 , 0.902887083856824 , -0.115176119084155 , -0.0668563992806024, 1.09641603967933 , 0.49270817926288 , 0.206696175739367 , 0.948318589784758 , 0.354726411453995 , 0.134853252163022 , 1.4548049321608 , 0.383177890392763 , 1.12748606756526 , 0.435673315927282 , 0.656157386151127 , 1.22795718291853 , 0.199554487732474 , 0.571920287547607 , 0.971268698507962 , 1.0662541212981 , 0.0681349895903723 , 0.481325507025287 , 1.47574763239158 , 0.363596634588161 , 0.847781221339047 , 1.52607779115178 , -0.0380642848430655, 0.861689599105366 , 0.366426815158724 , -0.292037757262322 , 1.05073420904608 , 0.496757644415161 , 0.427501014379513 , 0.337319471175868 , -0.205101792192501 , -0.773234386298721 , 0.0198371732791923 , 0.0611851929642827 , 1.02402642234302 , 0.420400329206503 , 0.955261855706713 , 0.167781750481192 | 0.0000123 |
| 23 | 50 | 0.5 | 0.0 | 1.0 | control , control , control , control , control , control , control , control , control , control , control , control , control , control , control , control , control , control , control , control , control , control , control , control , control , control , control , control , control , control , control , control , control , control , control , control , control , control , control , control , control , control , control , control , control , control , control , control , control , control , intervention , intervention , intervention , intervention , intervention , intervention , intervention , intervention , intervention , intervention , intervention , intervention , intervention , intervention , intervention , intervention , intervention , intervention , intervention , intervention , intervention , intervention , intervention , intervention , intervention , intervention , intervention , intervention , intervention , intervention , intervention , intervention , intervention , intervention , intervention , intervention , intervention , intervention , intervention , intervention , intervention , intervention , intervention , intervention , intervention , intervention , intervention , intervention , intervention , intervention , -0.493248016542677 , -0.586877060685223 , 1.16828397656534 , 0.349045049056612 , 0.44032091742121 , -0.311702166457573 , 0.19221100809724 , -1.30641282229359 , 0.94917146573815 , 2.05205491435805 , -1.02569995103054 , 1.54886827004309 , 1.3026908198978 , 0.234872898150036 , -0.145921621618574 , 0.505655069405031 , -1.2455790169853 , 0.0835583480900542 , -0.414074313417077 , -1.07119930769856 , 0.794314813945185 , 1.3849889071315 , -0.966790012749832 , 0.464484517225037 , 0.591979025926463 , -0.333489846623654 , -0.00296163981624866, 1.4951055804778 , 0.19453761380319 , -0.325123560156204 , 1.1978011371648 , 1.44438248711627 , -0.0354988598050789 , -0.420898925258352 , -0.486596126467612 , 0.646767059999782 , -0.108688049038898 , -0.345022996858461 , -2.09105828464012 , 0.876999303050661 , 0.494137621892398 , 0.688845842711836 , -0.755817505169786 , -2.24877930028328 , 0.342390224076678 , -0.375236320170315 , 0.8646832524724 , -0.857391035342381 , -0.636421674590738 , -0.27978497674074 , -0.629790979242227 , 1.72314352543139 , 1.09956171750952 , 1.15251554075419 , -0.656232850474824 , -0.574830581749404 , -0.43733842002246 , 1.42646563120585 , 0.563926868548829 , 1.73741411555028 , -0.275025207880564 , 1.21072982569255 , 1.19174532569882 , 0.914937703515701 , -0.137618477701968 , 2.03435039182535 , 0.772201562266126 , 1.08189168163939 , 0.96173187595208 , -1.39810384979304 , 1.47117495423089 , 0.532271669439343 , -0.541011336087309 , 0.834028647598541 , 0.212364680839752 , 0.161903964955531 , 1.166447036182 , 0.423168644859275 , -0.54255782913165 , -0.00854235746555843, 0.826981175478094 , -0.5037545069736 , 0.243873042477039 , -0.712252759611242 , 1.69778556149303 , -1.37618419483767 , 0.65730818140518 , 0.908107594709718 , 0.330690896755819 , 1.09395227960517 , 2.02752049187837 , 0.999381583605008 , 0.935387941387389 , 1.73428159870151 , -1.065140651522 , 0.321657200250697 , -0.585372273769 , 0.131390177872381 , 0.579875463338586 , -0.323066916782793 | 0.0307071 |
| 23 | 50 | 0.5 | 0.1 | 0.5 | control , control , control , control , control , control , control , control , control , control , control , control , control , control , control , control , control , control , control , control , control , control , control , control , control , control , control , control , control , control , control , control , control , control , control , control , control , control , control , control , control , control , control , control , control , control , control , control , control , control , intervention , intervention , intervention , intervention , intervention , intervention , intervention , intervention , intervention , intervention , intervention , intervention , intervention , intervention , intervention , intervention , intervention , intervention , intervention , intervention , intervention , intervention , intervention , intervention , intervention , intervention , intervention , intervention , intervention , intervention , intervention , intervention , intervention , intervention , intervention , intervention , intervention , intervention , intervention , intervention , intervention , intervention , intervention , intervention , intervention , intervention , intervention , intervention , intervention , intervention , -0.0575682020233833, 0.217602491240395 , -0.102190190384834 , -0.397476703913967 , 0.27607523214717 , -0.166984072751849 , 0.602153616700761 , 0.579675427272517 , -0.34658030164893 , 0.154998163145931 , -0.220880225818784 , -0.52412905527749 , -0.216930582064375 , 0.182302823343407 , -0.516097256607256 , 0.986958142697578 , -0.479567875434597 , -0.651679532072166 , -0.193447090929059 , -0.231510375409794 , 0.111550012422132 , 0.487825527900202 , 0.051952924442849 , 0.297738542451986 , -0.726832884863301 , 0.166871046606373 , -0.852156014087229 , -0.330135746426619 , -0.128674446200381 , -0.574246622914702 , -0.22081509663783 , -0.154341342514575 , 1.08766654988724 , 0.366054557978787 , 0.435667413730516 , 0.0496429688861111 , -0.0188873648311106, -1.3105770114935 , 0.168809053123487 , -0.629173980620728 , 0.074596473308462 , 0.59786493251877 , 0.368193578981003 , -0.0688900981994224, 0.0289304378842569 , 0.386762415683449 , -0.218448440869949 , -0.340203198089561 , 0.509318149441003 , 0.0400823372984803 , -0.13158719168065 , 0.922990174959632 , -0.0242671628995277, -0.0417999972529075, 0.812051595242162 , 0.739337526922806 , 0.345384977065515 , 0.561400501577024 , 1.47954696578402 , 0.548772631903502 , 0.100356803127286 , -0.0532155921115943, 0.564855344232037 , 0.481903551089057 , 1.32156204712393 , 1.0755026527281 , 1.06784013254038 , 0.577992730330085 , 0.864828847602782 , 0.760717894251573 , 0.643242965883815 , 0.275291830280033 , 1.22998927705577 , 0.306275457615049 , -0.102154741469998 , 1.04977516406112 , 0.218529090180091 , 0.288075867601217 , 0.346230363484874 , 0.392556695627661 , 0.668461799916028 , 0.777811177395354 , 1.34155546652672 , -0.661954435598797 , 0.435871212405868 , 0.603850152638829 , 0.343544921484058 , -0.210078176105742 , 0.0998464338588031 , 0.727440049269999 , 0.167750082770144 , -0.414289161736077 , 0.0711791177793115 , 0.320534977854297 , 0.864093671083463 , 0.571003442400404 , 0.139124622050262 , 0.532661307145665 , -0.0776719144642662, 1.6832706777154 | 0.0000003 |
| 23 | 50 | 0.5 | 0.1 | 1.0 | control , control , control , control , control , control , control , control , control , control , control , control , control , control , control , control , control , control , control , control , control , control , control , control , control , control , control , control , control , control , control , control , control , control , control , control , control , control , control , control , control , control , control , control , control , control , control , control , control , control , intervention , intervention , intervention , intervention , intervention , intervention , intervention , intervention , intervention , intervention , intervention , intervention , intervention , intervention , intervention , intervention , intervention , intervention , intervention , intervention , intervention , intervention , intervention , intervention , intervention , intervention , intervention , intervention , intervention , intervention , intervention , intervention , intervention , intervention , intervention , intervention , intervention , intervention , intervention , intervention , intervention , intervention , intervention , intervention , intervention , intervention , intervention , intervention , intervention , intervention , 1.10366244644558 , -0.345039354619152 , 1.4274853933894 , -1.44189482065169 , 2.89234582682791 , 1.63706460829751 , 0.132172030793052 , -1.52599470455789 , -1.24906916203694 , -0.29854490658655 , 1.12672900998735 , -0.541187230442081 , -1.52462909116567 , 1.53564918538354 , -1.25405870689593 , 0.94980668366364 , -0.345034334534947 , 0.404471406906295 , -0.40237589417142 , 0.605485068009152 , 1.01287749712014 , 1.16173971077572 , 0.793337259589712 , 1.36907875013185 , -0.497295220988964 , 0.897726474901473 , -0.717138647936745 , -0.368964860722498 , 1.74316508199886 , 0.784542062272418 , 0.529832475838397 , -0.400558346566656 , -1.04897829029742 , 0.787475468717992 , 0.661322306091791 , -0.482905219162961 , 0.942862949989885 , 0.252721862509143 , -0.858215366632704 , -0.181630326618299 , 0.071221234357342 , 1.03551908467339 , -0.191339172098218 , 0.548030918695007 , 1.78830344240834 , -1.14061542369708 , 0.171808676374156 , -0.651392413547638 , -0.748660499184109 , 0.793447048018079 , 2.02316376982584 , 0.0495031629847976 , 0.0244574614313132 , -1.06025230020197 , 0.152314606839209 , -0.074330760222438 , 1.03385146688539 , 0.452604689358707 , 1.81757203310643 , -0.0856050082587734, 0.833861349300027 , 1.05017818958 , 1.303923869654 , 1.46598841757048 , 0.0775652607292683 , -0.155120562834829 , 1.02795726656999 , -0.737955839636042 , 0.909517006245117 , 1.13668142885013 , 0.818940148576792 , 2.45698697828476 , -0.102181050765331 , 0.331158222655058 , -0.167319918838526 , 1.1008286274627 , -0.311046195418332 , 1.26957383148087 , 1.1849578642382 , 1.39801627624896 , 2.05802476338148 , 1.24345139935534 , 1.8727027767416 , 1.466669952168 , -0.282802617790219 , -0.176784329581231 , 1.32778018802524 , -0.851792159965559 , -0.247137069083352 , -1.94884567829743 , 0.4169093962403 , -1.23280767377354 , 0.949072400385754 , 1.67324461420987 , -0.140124173318801 , 1.83208951256558 , 1.54117872472755 , -0.462429737406478 , 2.16906955746032 , -0.84476217986766 | 0.0672991 |
| 24 | 20 | 0.0 | 0.0 | 0.5 | control , control , control , control , control , control , control , control , control , control , control , control , control , control , control , control , control , control , control , control , intervention , intervention , intervention , intervention , intervention , intervention , intervention , intervention , intervention , intervention , intervention , intervention , intervention , intervention , intervention , intervention , intervention , intervention , intervention , intervention , -0.675276056872545 , -0.212413977168545 , -0.0650978992850241, -0.301423340728683 , -0.529555136348921 , 0.0678110335761697 , -0.777918843920815 , 0.396282533489837 , 0.427710053445846 , -0.404632442512727 , 0.169567184621581 , 1.59969042940878 , 0.362457823626958 , 0.0784167882636419 , -0.0333021202601675, -0.559984187848234 , -0.38540496341608 , -0.336284581626151 , 1.04740417041271 , -0.46524130866976 , -0.0557648628764777, 0.602807629356214 , 0.0519548084965846 , 0.463606904150991 , 0.769359882915447 , 0.260795896465283 , -0.345616006281663 , -0.468682364993099 , -0.41168593152375 , -0.293621673698778 , -0.103550006550864 , 0.177064008392913 , 0.0345570360874356 , -0.486754696572721 , -0.726601538777206 , -0.0518249668286709, 0.0569770421335798 , 0.248933244469247 , 0.28245463624935 , 0.770123908296469 | 0.6739861 |
| 24 | 20 | 0.0 | 0.0 | 1.0 | control , control , control , control , control , control , control , control , control , control , control , control , control , control , control , control , control , control , control , control , intervention , intervention , intervention , intervention , intervention , intervention , intervention , intervention , intervention , intervention , intervention , intervention , intervention , intervention , intervention , intervention , intervention , intervention , intervention , intervention , -0.0285355490951487, 0.654443291701889 , -1.91704378312979 , -1.13257848552008 , 1.09311518614665 , 0.444554246858931 , 0.597877743810915 , -1.16989716544988 , 1.64529307950985 , 0.202149575968998 , -0.132845181936156 , 0.521569144415005 , 1.75214201849431 , 0.348094366379966 , 1.19434337270445 , 0.462331864658252 , -2.79303378106925 , 1.77318952338134 , 1.33863649535168 , 0.378980006559675 , 0.287202184225398 , 1.36244621104151 , -0.196133210880665 , -2.41199643067566 , 2.01012271618052 , -0.179452392609784 , 1.87587140953195 , 0.219154981249843 , -0.126795035905712 , -1.20289135798275 , 1.07382607345229 , -0.177110492046187 , -0.147951104821846 , -0.185876079743853 , -0.892669918488344 , -1.35679340056275 , -0.419654266474916 , 0.328294161383219 , -1.40568794389711 , -0.0367653373759364 | 0.3571902 |
| 24 | 20 | 0.0 | 0.1 | 0.5 | control , control , control , control , control , control , control , control , control , control , control , control , control , control , control , control , control , control , control , control , intervention , intervention , intervention , intervention , intervention , intervention , intervention , intervention , intervention , intervention , intervention , intervention , intervention , intervention , intervention , intervention , intervention , intervention , intervention , intervention , -0.0797829337334235 , -0.0942420018474901 , -0.941709319994026 , 0.516981055886581 , 0.33197512217904 , 0.287972025940686 , 0.133650989035755 , 0.916261735823619 , -0.647831172079659 , 0.581170092686104 , -0.561639771318578 , -0.271979393776836 , 0.151261838125478 , 0.567607925586851 , 0.303705206215318 , 0.267731841585875 , -0.669438312524712 , 0.0441606896396974 , -0.544528422315331 , 0.72088950451308 , 0.550939615464041 , -0.724142324072551 , 0.0253991604792214 , -0.533581876915492 , 0.439989179520328 , 0.000110075369824392, -0.408557580224608 , 0.222993453017023 , -0.367868752383973 , 0.30632579531514 , 0.7433753847477 , -0.0542843063722886 , 0.301758374944403 , -0.197488944743159 , -0.721055027833773 , -0.297731234360789 , -0.80967706408627 , 0.18894251362861 , -0.0211214192247348 , 0.597910134300093 | 0.5719862 |
| 24 | 20 | 0.0 | 0.1 | 1.0 | control , control , control , control , control , control , control , control , control , control , control , control , control , control , control , control , control , control , control , control , intervention , intervention , intervention , intervention , intervention , intervention , intervention , intervention , intervention , intervention , intervention , intervention , intervention , intervention , intervention , intervention , intervention , intervention , intervention , intervention , -0.63183022620941 , -2.62596033303628 , -0.235388543989582 , 0.861332889808412 , -0.800968476296745 , 0.3075694792284 , 1.85414720304253 , 0.528222802295498 , 1.22446369339927 , 1.21556397442558 , 0.130160144165701 , 0.664485291033854 , 0.397156752933783 , 0.603611216204134 , -0.275375336927309 , -0.0129204530142386 , -0.713862160147165 , -0.411360580811183 , 0.653832650567208 , -1.13897196373065 , -0.0549323831299919 , 1.02848644682992 , -2.4941726516124 , 0.890862584425074 , 0.578183442431371 , 0.142202818451055 , 1.30448209636924 , -0.103518270969345 , 0.687269638753287 , -0.334804672923616 , 0.972776647733717 , 0.341811625380547 , -0.00655583993972061, -1.09370481896235 , -0.800797500753189 , -1.24436602403222 , -1.79662438783817 , 1.06510536088257 , 0.241923367101886 , -0.0840447730267991 | 0.7133161 |
| 24 | 20 | 0.5 | 0.0 | 0.5 | control , control , control , control , control , control , control , control , control , control , control , control , control , control , control , control , control , control , control , control , intervention , intervention , intervention , intervention , intervention , intervention , intervention , intervention , intervention , intervention , intervention , intervention , intervention , intervention , intervention , intervention , intervention , intervention , intervention , intervention , -0.500118268559939, -0.38715622700943 , -0.692260616142843, 0.114702440073105 , 0.453093760108241 , -0.375448314347481, 1.18611992022654 , -0.190778178516083, -0.146680041189972, 0.984555037889724 , 0.968116023773395 , 0.0429035422942876, -0.29030368734592 , 0.0199409568929178, 0.215870814138354 , 0.311081232249597 , 0.148183212788437 , 0.173524312149231 , -0.889212281124391, 0.107781308536438 , 0.0779890704881838, 0.529937777292969 , 0.42659983105574 , 0.798444684153468 , 0.423932208359614 , -0.032612291363818, 0.979804680398691 , 0.388756403226102 , 0.429567996925042 , 1.12257565041865 , 0.581962770335218 , 0.702208112367064 , 0.120098029211119 , 0.922681351075012 , 0.784048194198728 , 1.60887491354823 , 0.822081946992293 , -0.499081782468036, 0.10507072338812 , 0.462974584123995 | 0.0051404 |
| 24 | 20 | 0.5 | 0.0 | 1.0 | control , control , control , control , control , control , control , control , control , control , control , control , control , control , control , control , control , control , control , control , intervention , intervention , intervention , intervention , intervention , intervention , intervention , intervention , intervention , intervention , intervention , intervention , intervention , intervention , intervention , intervention , intervention , intervention , intervention , intervention , 1.6579563412417 , 0.264743901037837 , -0.884019519114419, 2.20064710072082 , -0.672379921178447, 1.00845458431436 , 0.460077985553933 , 1.18356863222529 , 0.104319442646323 , -1.09795291459674 , 0.84254330383282 , 0.333400426053574 , 0.141330833289571 , 1.13450003064037 , -0.246207279740526, -1.14658712075923 , -1.13291960098567 , -0.201417897428365, -1.21957092307967 , -0.413859933433465, 2.34958773971611 , 1.19261492615443 , 0.995393312547624 , 0.599120153554873 , 1.15986135666388 , 0.0746425686069007, 0.0898353228289865, -0.189852484909759, 0.676726544149467 , -0.278371377195568, 0.121899279197888 , 0.023825561217822 , -1.30188905665159 , 0.856050568543231 , -0.514645508407899, 0.398047600234319 , 1.31852374365571 , -0.207931464115611, 0.286416021123352 , -1.33071278481534 | 0.5055541 |
| 24 | 20 | 0.5 | 0.1 | 0.5 | control , control , control , control , control , control , control , control , control , control , control , control , control , control , control , control , control , control , control , control , intervention , intervention , intervention , intervention , intervention , intervention , intervention , intervention , intervention , intervention , intervention , intervention , intervention , intervention , intervention , intervention , intervention , intervention , intervention , intervention , 1.2602801344193 , 1.04557018212171 , -0.32736218853904 , 0.475445938323491 , 0.343895113495303 , 0.232798596535809 , 1.09393714049168 , -0.0889155198434884, 0.227918168414732 , 0.567505611035227 , 0.512662762373445 , 0.0523527725578974 , 0.076846696806005 , 0.113621209619955 , -0.901506065036692 , -0.88279504165036 , 0.646634045646795 , -0.239319506888368 , 0.587132575304826 , 0.884104419689866 , 0.809252255973842 , 1.10111651691086 , 0.505580445217278 , 0.277819444228246 , 0.105722450884102 , 1.26746335922685 , 0.773041403763427 , 0.42756010005892 , 0.666016178992805 , 0.429694954225775 , 1.08220245883592 , 0.945533425661329 , -0.336682375229805 , 1.02875222801145 , 1.12932129615528 , 0.0754904787220059 , 0.330080748559709 , 0.758902704477302 , 0.112242755599449 , 0.175169149571505 | 0.0770854 |
| 24 | 20 | 0.5 | 0.1 | 1.0 | control , control , control , control , control , control , control , control , control , control , control , control , control , control , control , control , control , control , control , control , intervention , intervention , intervention , intervention , intervention , intervention , intervention , intervention , intervention , intervention , intervention , intervention , intervention , intervention , intervention , intervention , intervention , intervention , intervention , intervention , 0.48035850225392 , 1.11940809957518 , -0.264330984791273 , 0.0983538917565911 , 0.907966527036768 , 0.730968598564646 , -0.117909664346449 , 1.24674219680169 , 1.65593577299578 , -0.240454619316528 , 3.01593202458816 , 0.706913154476201 , 0.595758575726568 , -1.2426383400646 , -0.852840030863413 , -0.732324994589006 , 0.956906932860157 , 0.795661931095353 , 0.181377475673964 , 1.28868911932218 , -0.000993127880763556, 1.14424187899877 , 1.06144466742283 , 1.29131277263643 , 1.96033865473693 , -0.0849732958795661 , -0.24689281506722 , 0.0619593160969841 , 1.12377020230925 , 0.450104075898403 , 1.39855182582754 , 0.0864142083556513 , 1.53969761009976 , 1.14985814937541 , -0.408775864962171 , 2.45411023403674 , 1.37190613128919 , -0.092667658841415 , 0.747324637503429 , 1.20601998559856 | 0.3021878 |
| 24 | 50 | 0.0 | 0.0 | 0.5 | control , control , control , control , control , control , control , control , control , control , control , control , control , control , control , control , control , control , control , control , control , control , control , control , control , control , control , control , control , control , control , control , control , control , control , control , control , control , control , control , control , control , control , control , control , control , control , control , control , control , intervention , intervention , intervention , intervention , intervention , intervention , intervention , intervention , intervention , intervention , intervention , intervention , intervention , intervention , intervention , intervention , intervention , intervention , intervention , intervention , intervention , intervention , intervention , intervention , intervention , intervention , intervention , intervention , intervention , intervention , intervention , intervention , intervention , intervention , intervention , intervention , intervention , intervention , intervention , intervention , intervention , intervention , intervention , intervention , intervention , intervention , intervention , intervention , intervention , intervention , 0.398800907765333 , -0.650713930763674 , -0.347415550407919 , 0.864089518008833 , 0.0603595721528249 , -0.562969106166242 , 0.522267319373563 , -0.544490047536341 , 0.205112814380672 , -0.652212323933431 , 0.456264832404061 , -0.431911207053095 , -0.0921794595428311, -0.905742841325754 , -0.317832907986697 , -0.239847760709924 , -0.037545419115092 , -0.958348552877446 , 0.601495820562617 , 0.233827771078743 , 0.710911561783117 , 0.900634210788881 , 0.303909768534776 , 0.530964716835654 , 0.690819020054642 , 0.0141224291743091 , 0.992840578064781 , -0.235854017560897 , -0.865469777141005 , -0.100426121471628 , -0.138760347780097 , 0.131264598325206 , -0.134967209950361 , -0.0349283002389828, 0.530806604713406 , -0.116031005695776 , 0.576095329205276 , -0.498826970021345 , 0.358576810499638 , -0.211513956517314 , -0.019514925015839 , -0.724907623848402 , 0.449803434231605 , -0.551633625613576 , -0.227132459249506 , -0.485601374269406 , -0.32923594207561 , 0.215545888352975 , 0.59271531736038 , 0.189102156363352 , -0.285838800520253 , 0.340363953618787 , 0.202725892653159 , -0.688279256541004 , 0.647643339798224 , -0.304490594083093 , 0.507822837663507 , 0.349754948720085 , -0.0557229104111864, 1.02741739018928 , 0.167031611450016 , 0.629631857311347 , -0.157896194148067 , 0.881857364032476 , 0.206718934393627 , -0.419304255808554 , 0.680161815658373 , 0.0020560252993146 , 0.755261534231632 , 0.0931547920180484 , -0.429027923738014 , -0.407718117367937 , 0.298029798500507 , -0.312102603046335 , 0.148848157911281 , 0.397039795851063 , -0.427787868922982 , 0.671064461936593 , 0.184330704499441 , -0.0906319150834698, 0.570233912222618 , 0.413295319226229 , -0.358845730033274 , 0.930101311491347 , -0.186870172316786 , 0.823737308481034 , 0.2892731360501 , -0.43744595536023 , -1.11160467935139 , -0.101744516156007 , -0.0239970672333091, -0.328444955830012 , 0.45572773814021 , -0.489019951190541 , -0.352654693448541 , 0.72136639536145 , 0.839081380822388 , -0.629891399147052 , 0.704359148983834 , -0.252332274043434 | 0.2384739 |
| 24 | 50 | 0.0 | 0.0 | 1.0 | control , control , control , control , control , control , control , control , control , control , control , control , control , control , control , control , control , control , control , control , control , control , control , control , control , control , control , control , control , control , control , control , control , control , control , control , control , control , control , control , control , control , control , control , control , control , control , control , control , control , intervention , intervention , intervention , intervention , intervention , intervention , intervention , intervention , intervention , intervention , intervention , intervention , intervention , intervention , intervention , intervention , intervention , intervention , intervention , intervention , intervention , intervention , intervention , intervention , intervention , intervention , intervention , intervention , intervention , intervention , intervention , intervention , intervention , intervention , intervention , intervention , intervention , intervention , intervention , intervention , intervention , intervention , intervention , intervention , intervention , intervention , intervention , intervention , intervention , intervention , 1.24060155374314 , -0.839180183285003 , 0.670491114420893 , 1.00603746718423 , -0.57434949837423 , 1.08232772037803 , 0.746760726437037 , -0.0757783642648605, -1.1331496645807 , -0.141429751265684 , 0.559498926313781 , 0.422469657326655 , 0.422973664130918 , -0.687914493792834 , 0.189545766478871 , 0.208206026692377 , 0.127971264519651 , 0.600797136300289 , -0.815678883818654 , -1.2396564963652 , -1.56568260456179 , 0.219038919991103 , -2.47162729023076 , 0.107631175947733 , 1.75239989900072 , -0.574667711811365 , 0.141317965932298 , 0.182187048346802 , 0.103107355174448 , 0.910735453983848 , 0.18528527160646 , 1.29996368907444 , 1.06739478186699 , 0.584488497322001 , 0.0178251947207423 , 1.26295672434288 , 1.21475547097653 , 0.6304517696204 , 0.437272987435183 , 1.4140199012897 , -0.99922524683283 , 1.42831020046824 , 0.757766226465523 , -0.838958167877121 , 0.172175829721085 , -0.325733532137462 , -0.581854746730927 , -0.068833111531915 , -0.524773409580233 , -0.183983809620036 , -0.0606998953942561, 0.413109783650518 , -0.365402676255015 , -1.05870811339522 , -1.42145165643317 , -0.53879508424097 , 1.67098553689256 , 0.0897584067034261 , -0.528737260473562 , 0.0321263778085937 , -0.323059289147724 , -0.201751316814771 , -1.17178336879764 , 0.337244420303398 , -0.739086952618395 , -0.789267769864998 , -0.5483325614922 , 0.819125398877811 , -0.443884416024629 , 0.104024073630577 , 0.65474108465871 , -0.13664519772322 , 0.378064927318157 , 1.22605875958365 , -1.3132897506107 , 0.414262245219253 , -0.427314900815957 , -1.41585984111458 , 0.432595142714665 , 0.483217493970121 , 0.463885849180297 , -0.462494576278948 , -0.851535394061682 , -1.16922080333536 , 0.249741957819753 , 2.15605633679178 , 0.105206805298789 , 0.681576548310608 , -1.39687132861477 , 0.521974904944031 , 1.50628360062968 , -0.853882612995392 , 0.482632058565087 , -0.705514399333695 , 0.785385714317336 , -0.305806557818605 , 1.10920067004766 , 0.0859211166681358 , 0.00598235082043872, -0.683017366425136 | 0.2289865 |
| 24 | 50 | 0.0 | 0.1 | 0.5 | control , control , control , control , control , control , control , control , control , control , control , control , control , control , control , control , control , control , control , control , control , control , control , control , control , control , control , control , control , control , control , control , control , control , control , control , control , control , control , control , control , control , control , control , control , control , control , control , control , control , intervention , intervention , intervention , intervention , intervention , intervention , intervention , intervention , intervention , intervention , intervention , intervention , intervention , intervention , intervention , intervention , intervention , intervention , intervention , intervention , intervention , intervention , intervention , intervention , intervention , intervention , intervention , intervention , intervention , intervention , intervention , intervention , intervention , intervention , intervention , intervention , intervention , intervention , intervention , intervention , intervention , intervention , intervention , intervention , intervention , intervention , intervention , intervention , intervention , intervention , 0.242779156019059 , 0.00192669356313252 , -0.374355795633405 , 0.136533367585332 , -0.0140380497433227 , -0.136704381761176 , -0.0832717258452435 , 0.678836320636866 , -0.0336217729091417 , 0.865410001973599 , 0.0332729523576529 , 0.250994300343688 , -0.0177689700091377 , -0.0116863316944787 , 0.188631940063227 , 0.0329448834723576 , -0.259101477860732 , 0.497343551041558 , 0.324296674476956 , -0.678560706193253 , -0.279183023518089 , 0.0250221384439813 , -0.342499462827009 , 0.699778884327695 , -0.273307015081722 , 0.253781028955681 , 0.129767505238307 , 0.183019690873813 , -0.319372959260226 , -0.00831709706945888, -0.0947349812648441 , -0.0246188303286628 , 0.562433684998932 , 0.678290368897134 , -0.477048892105165 , -0.244977196100256 , 0.022116398946843 , -0.160521498820356 , -0.335544880150098 , 0.41862641265492 , -0.719327179167323 , 0.0816285454270209 , 0.380381502176111 , -0.261383969568304 , -0.153775702412989 , 0.211135037853496 , -0.070818805571357 , 0.72697369229521 , 0.428911640887338 , -0.350145500603866 , 0.102133424749454 , 0.149847340869512 , 0.1577916318454 , -0.19301417801131 , 0.715518794789639 , 0.133854653128586 , -0.380867508416464 , 0.859075067920334 , 0.401120195494811 , 1.18796588123369 , 0.155536339959166 , -0.48881837634779 , 0.222623316930532 , -0.131582385283443 , -0.452168448207922 , -0.283842127522112 , -0.200545058833547 , -0.123681923126031 , -0.386219252793943 , 0.081805484341857 , -0.399630394713344 , -0.788608842042028 , -0.496086303681225 , 0.357907457549582 , 0.609409828188198 , 1.17300479806818 , 0.62327532837531 , 0.51125973822377 , -0.649920932249047 , 0.934133184154269 , -0.0170357355307253 , -0.206126620631441 , -0.0706366240679396 , 0.284179441304915 , -0.777523987397494 , -0.279873628841019 , -0.475310355751897 , 0.0789114075682478 , 0.3883759372281 , 0.557375753017937 , -1.20323501043713 , -0.0241510339061032 , -0.281004758068565 , -0.377735677593185 , -0.462160593759752 , -0.128712389841451 , -0.390059563796936 , -0.151353856277817 , 1.13811399581029 , -0.0760098687522927 | 0.7565556 |
| 24 | 50 | 0.0 | 0.1 | 1.0 | control , control , control , control , control , control , control , control , control , control , control , control , control , control , control , control , control , control , control , control , control , control , control , control , control , control , control , control , control , control , control , control , control , control , control , control , control , control , control , control , control , control , control , control , control , control , control , control , control , control , intervention , intervention , intervention , intervention , intervention , intervention , intervention , intervention , intervention , intervention , intervention , intervention , intervention , intervention , intervention , intervention , intervention , intervention , intervention , intervention , intervention , intervention , intervention , intervention , intervention , intervention , intervention , intervention , intervention , intervention , intervention , intervention , intervention , intervention , intervention , intervention , intervention , intervention , intervention , intervention , intervention , intervention , intervention , intervention , intervention , intervention , intervention , intervention , intervention , intervention , 0.607999404811817 , 0.337179349276872 , -0.861131400806501 , 0.0661576921857887 , -0.449824380548075 , 0.154368582604488 , -0.207844750782269 , 0.988452719665678 , -0.0261268019605909 , 1.32702168903498 , -0.0215663909189196 , -2.11851895830711 , 0.0114634800085988 , -1.46021998925737 , 0.53531447257218 , 0.930766607968641 , 0.694854367169599 , 0.975381445241626 , 2.10255842329063 , -0.439947389845535 , 0.493256982626348 , -1.53351155510545 , -0.275968400948843 , -0.264928883066862 , -0.358995126889671 , 0.172215906162457 , -1.14376366094096 , 1.88479385719168 , -2.2965501976197 , -1.76956703138695 , -1.0517938487302 , -1.19914368416273 , -0.717253766862126 , 0.359452962665472 , -3.18361897971925 , -0.752614482734004 , -1.3199608024763 , 0.646530389495852 , -1.61372017707052 , -0.379087134589614 , -1.25273701268456 , 1.37316471143607 , 0.373498029530495 , -0.370491281525026 , -0.421795342758394 , -1.23067693086945 , -1.03507462336246 , -0.401197372135397 , -0.108833537574135 , -1.86151732950562 , 0.909974618426307 , -0.449733859626984 , -2.05703692957901 , -0.18093587945742 , 0.147587301555838 , -0.0842173109503671 , -0.287527823077909 , -0.0591862284726789 , 0.410215307518859 , 1.67876980872198 , -0.181872770903895 , 0.271209723879651 , -1.69516252141016 , -0.731131821391419 , 0.368781783817956 , -2.73769456952684 , 0.0490800022132481 , 0.43525486631964 , -1.53396687550995 , 0.554904019175816 , -0.809811566935842 , -0.580097666504502 , 0.786988366684125 , 0.0172609823635251 , 0.35084266915078 , -0.175161266105241 , 0.401961696824746 , -0.599023056117418 , -2.76030266505175 , -0.329389488872647 , 0.803132138201103 , -0.537110592668071 , 0.886454177702776 , -0.623119986016456 , 0.169238155994168 , -0.755928082075491 , -0.0913365469513463 , -0.884088590077519 , 0.631711487124235 , 0.681700108598058 , -0.242680855971299 , -0.855929485998744 , 0.552326448193984 , -0.431931102915165 , -0.0481667736265817 , -1.74867812657277 , -0.00649746272442873, 1.92686036562255 , 1.11445497436158 , 0.470224282593645 | 0.4238493 |
| 24 | 50 | 0.5 | 0.0 | 0.5 | control , control , control , control , control , control , control , control , control , control , control , control , control , control , control , control , control , control , control , control , control , control , control , control , control , control , control , control , control , control , control , control , control , control , control , control , control , control , control , control , control , control , control , control , control , control , control , control , control , control , intervention , intervention , intervention , intervention , intervention , intervention , intervention , intervention , intervention , intervention , intervention , intervention , intervention , intervention , intervention , intervention , intervention , intervention , intervention , intervention , intervention , intervention , intervention , intervention , intervention , intervention , intervention , intervention , intervention , intervention , intervention , intervention , intervention , intervention , intervention , intervention , intervention , intervention , intervention , intervention , intervention , intervention , intervention , intervention , intervention , intervention , intervention , intervention , intervention , intervention , -0.196749291584288 , -0.464145410785041 , -0.509785101869768 , -0.134896854037597 , 0.223966443327713 , -0.237922993497394 , -0.402539445028469 , 0.376263811972899 , 0.3919882610152 , -0.184006362244535 , 0.507805791849888 , -0.175397296208271 , -0.103726325073876 , 0.599079243487901 , 0.241444723311122 , 0.437351079775303 , -1.03310674164218 , -0.108695825271668 , 0.336686630397704 , -0.456558153671247 , 0.0845212823578974 , 0.711463001546698 , 0.19126594552404 , 0.179620782258077 , -0.378919476132618 , -0.600578455581639 , -0.0206505250119949, 0.0941956484739135 , 1.53584689368038 , -0.0195578216801023, 0.105066618012223 , -0.0322829601207043, -0.130379845583018 , -0.133768912330335 , 0.0947843313571833 , -0.653444751243355 , -0.192193010326939 , 0.861938289243049 , -0.185360395074287 , 0.296701346117546 , -0.402512012715424 , 0.492822042430643 , 0.136965685176681 , -0.622651286452349 , 0.955064408592164 , -0.160634330133961 , -0.0260909194524278, 0.170938921748208 , 0.21937254438447 , -0.380669356098196 , 0.556111507012109 , 0.0932087277007309 , 0.846984226024109 , 0.744986812095163 , -0.154352992377553 , -0.0623846485411763, 0.463610150108744 , 0.846214427710468 , 1.19052203793136 , 0.841216657070129 , 0.733061312462011 , 0.201697434443478 , 0.730312004994626 , 1.42064083944518 , 0.19552206968187 , 0.0642737660674955 , 0.623070163426298 , 1.59332863199083 , 0.480032093010357 , 0.343052080605849 , 0.387285452381512 , -0.166051100114534 , 0.642730870341454 , 0.0416466436138453 , 0.360191057941647 , 0.388985305586318 , 0.606831403124408 , 0.289069057721436 , 0.622130953987628 , 0.718352065500111 , 0.445446441143778 , -0.0996709717987367, 0.388939203874395 , 0.935720596965102 , -0.970053831880048 , 0.871157270961717 , 0.0119904964783648 , 0.350433720831393 , 1.25516770789684 , -0.112097375148788 , 0.725495175691292 , 0.181488234104008 , 0.128263173918621 , 0.224451800267341 , -0.323815665319593 , 0.221008147100957 , 1.01213452380257 , 0.894082984015756 , -0.0332834188846539, 0.588304804587551 | 0.0000170 |
| 24 | 50 | 0.5 | 0.0 | 1.0 | control , control , control , control , control , control , control , control , control , control , control , control , control , control , control , control , control , control , control , control , control , control , control , control , control , control , control , control , control , control , control , control , control , control , control , control , control , control , control , control , control , control , control , control , control , control , control , control , control , control , intervention , intervention , intervention , intervention , intervention , intervention , intervention , intervention , intervention , intervention , intervention , intervention , intervention , intervention , intervention , intervention , intervention , intervention , intervention , intervention , intervention , intervention , intervention , intervention , intervention , intervention , intervention , intervention , intervention , intervention , intervention , intervention , intervention , intervention , intervention , intervention , intervention , intervention , intervention , intervention , intervention , intervention , intervention , intervention , intervention , intervention , intervention , intervention , intervention , intervention , -0.0958280871592112, -0.628875106136897 , 0.300674996069746 , -1.77822502971094 , -0.579675935545912 , -0.51718621151173 , 0.730527874133289 , -1.90709165694175 , -0.159123507712123 , -2.36454005143558 , 0.669859335994518 , -0.0564402152862765, 0.354141682714304 , 0.595702209422492 , 0.593897238236738 , -1.13893880933484 , 0.859905121239689 , -1.1226397661827 , -0.253694200779923 , -0.677200528749195 , -0.732156462813532 , 0.657120849276107 , 0.903245462317039 , -0.0575768644161489, 0.505897405912539 , 0.604313083920066 , -0.064063046790731 , 1.98461490493061 , 0.933332551270609 , 0.232762581556374 , 0.0808592197852938 , 0.950602308915342 , 0.954310840840576 , 2.23129273985929 , -0.517417183739473 , 1.65831692501943 , 0.676578838557484 , 0.229954298024637 , 0.106909466557612 , 0.965473019481891 , -0.420948867845199 , 0.0808961548798133 , 0.271690302388619 , 0.625148546118778 , 0.0213540697093665 , -0.977149071085028 , 0.627614441987747 , 0.294346339143055 , 1.00666771334032 , 1.3121128048706 , -0.186343521599077 , 0.997021666063613 , -0.631685028046629 , -0.532417373966234 , -0.930297789437059 , -0.0296016826069597, 1.68717771234201 , -0.0445651236743242, 1.17255955093854 , -0.397357820293534 , -1.02325932977393 , 1.97322814319219 , 1.3426945288078 , 0.992885904464177 , -0.774640952748704 , -0.72038126402255 , 2.60353197562642 , 0.0840107756303556 , 1.74760540162501 , -1.3535317760661 , -0.332591179258066 , 0.904723409754731 , -0.801786853184776 , -0.200383533413281 , 2.12232341723211 , 2.38322405978349 , 0.650744628668557 , -0.399336175794828 , 0.72228966943693 , -0.243229971699748 , 0.0853588806866432 , 1.46236614539259 , 3.01939188582499 , 0.37950090969756 , 1.50053505462648 , 0.985879930183903 , -0.515460129668901 , 2.05650147183013 , -0.235449476656859 , 1.03483360587246 , 0.951751430530563 , 2.61287823903241 , 0.483488948248844 , -0.543276386167922 , 0.556158535343252 , 1.15805739401445 , 1.74049768969413 , 0.914573111119597 , 0.531714940940885 , 3.13876583762406 | 0.0219444 |
| 24 | 50 | 0.5 | 0.1 | 0.5 | control , control , control , control , control , control , control , control , control , control , control , control , control , control , control , control , control , control , control , control , control , control , control , control , control , control , control , control , control , control , control , control , control , control , control , control , control , control , control , control , control , control , control , control , control , control , control , control , control , control , intervention , intervention , intervention , intervention , intervention , intervention , intervention , intervention , intervention , intervention , intervention , intervention , intervention , intervention , intervention , intervention , intervention , intervention , intervention , intervention , intervention , intervention , intervention , intervention , intervention , intervention , intervention , intervention , intervention , intervention , intervention , intervention , intervention , intervention , intervention , intervention , intervention , intervention , intervention , intervention , intervention , intervention , intervention , intervention , intervention , intervention , intervention , intervention , intervention , intervention , 0.752301550250631 , -0.361601242430839 , 0.215405092803378 , 0.319376968723642 , 0.0427175951340558 , -0.239023442435891 , -0.158508646566429 , -0.249508602338 , 0.142369182239338 , -0.189627179713348 , 0.697379629179056 , 0.461680346381522 , 0.559640281973164 , -1.24922107904473 , 0.0848661930342248 , 1.16960689670912 , 0.290052515350672 , 0.442804389759663 , 0.539306554513579 , -0.256114206110593 , 0.50880055523648 , 0.183289216037709 , 0.304728154470621 , 0.502893442909857 , -0.568737930947115 , 0.426061518146478 , 0.388895034898173 , 0.0389308223581512 , 0.475025352981531 , 0.135775256593921 , 0.0196317581103177 , -0.279259742782446 , 0.712716175389599 , 0.755826658712622 , 0.298922647186651 , 0.170236407054526 , 0.155093653868586 , 0.140995645956164 , 1.22861816328902 , -0.00328859102188232, -1.01056097312989 , -0.100281808748378 , 0.53424077932432 , -0.217390113645805 , 0.210864988777077 , -0.315938473021799 , -0.256989111665156 , -0.927022870286 , -0.0506994658676138 , -0.243332929033738 , 0.852304338838101 , 1.09294117767139 , 0.716303604073218 , 0.851433177923603 , 0.477934036086648 , 0.428001420207566 , 0.315337562646833 , 0.365169554117537 , 0.41120009865059 , 0.574454428882121 , -0.185727839911434 , 1.04926288203968 , 0.6945948230539 , 1.11345769573833 , 0.367652576130352 , 0.336809615987147 , -1.00164991524621 , 0.278757863671394 , 0.716923305861974 , -0.172838488634253 , 0.615637849528227 , 0.893495883063175 , 0.282521719171495 , 0.199408422254375 , 0.440433479730448 , 0.138230448348958 , 0.241951853020442 , -0.38785432494936 , 0.684626869451793 , 0.6523943900286 , 1.57167593264443 , -0.390616916036219 , 1.16436133068442 , 1.47855788953644 , -0.552318633959488 , 1.2709259937003 , -0.0157055210195021 , 1.00040946763766 , 0.860071208481509 , 1.32416865516222 , 0.769971495443873 , 0.278921096898837 , -0.151356451718014 , 0.173717112522486 , -0.0684625185595626 , -0.251094483249998 , 0.61714560322643 , 0.780615566642717 , 0.0275394545452452 , 0.882002922341474 | 0.0009678 |
| 24 | 50 | 0.5 | 0.1 | 1.0 | control , control , control , control , control , control , control , control , control , control , control , control , control , control , control , control , control , control , control , control , control , control , control , control , control , control , control , control , control , control , control , control , control , control , control , control , control , control , control , control , control , control , control , control , control , control , control , control , control , control , intervention , intervention , intervention , intervention , intervention , intervention , intervention , intervention , intervention , intervention , intervention , intervention , intervention , intervention , intervention , intervention , intervention , intervention , intervention , intervention , intervention , intervention , intervention , intervention , intervention , intervention , intervention , intervention , intervention , intervention , intervention , intervention , intervention , intervention , intervention , intervention , intervention , intervention , intervention , intervention , intervention , intervention , intervention , intervention , intervention , intervention , intervention , intervention , intervention , intervention , 1.03888032167574 , -0.0387531590593116 , 1.03359068802926 , -0.203030891537387 , 0.881240952265362 , -0.514274808661746 , -0.0696749432776806 , 0.594676619966842 , 2.3676056048362 , 1.45279694686725 , 1.55091628748689 , 0.541027378387263 , -0.070373156085162 , 0.890104344772932 , -0.0648531952446859 , -0.494662563109474 , -1.23125566836588 , 1.69796341455157 , -0.709880898378526 , -0.46536500931889 , -0.737424896364853 , 0.599570601351616 , -0.32853721553993 , 0.0583873345370924 , -1.50575080535958 , 0.710156368733284 , 0.529376284317592 , -1.20907421775075 , -2.0645001148831 , -0.137670390095108 , -0.310985130496275 , -1.69223828327372 , -0.153617281488656 , 0.56627036733154 , 1.34697861986679 , 0.713211642935442 , 1.4169439361659 , -1.18453547650686 , -0.940973271225488 , -0.921452435618702 , -1.08735470407676 , 0.745556519602641 , 0.84179655684154 , 0.209974957096045 , 0.57976258275558 , 0.437503118048633 , 0.795654548330088 , 0.360927229309595 , -0.335205544106116 , -0.123116564372615 , -0.331718158102605 , 2.02447791634529 , 0.172639101257601 , 0.0756625719437744 , 1.51242822936643 , 0.394433011233811 , 1.17355402070138 , 0.281576551857693 , 0.452043389007746 , 1.72551038277524 , 1.04603620444258 , 1.78789441690352 , 1.92796617570314 , 0.589605473815012 , 0.154262696903062 , -0.671258527627476 , 1.11082656928031 , -0.477231593989817 , 0.361171987333711 , 0.620641690996756 , -0.068126981722546 , 0.873501851453433 , 0.625926507078391 , -0.00443660389961376, -1.41151613874286 , 1.87512491966947 , 0.590654075731012 , -0.423747555417678 , 0.89390374114344 , 0.781239548393075 , 0.363945530800985 , 1.07999718316329 , 0.312752060521939 , 0.0965965890259682 , 0.0472520252703597 , 0.376652637180278 , -0.115625753564617 , 1.38083579104588 , -0.332946001556548 , -1.39439393630728 , -0.813749603817012 , 1.05692729670475 , 0.617544824016986 , 0.40059905794917 , -0.944376883983052 , 0.3064109299386 , 0.0537998461792536 , 2.01559284092809 , 2.14504522535303 , -0.407572797018268 | 0.0441625 |
| 25 | 20 | 0.0 | 0.0 | 0.5 | control , control , control , control , control , control , control , control , control , control , control , control , control , control , control , control , control , control , control , control , intervention , intervention , intervention , intervention , intervention , intervention , intervention , intervention , intervention , intervention , intervention , intervention , intervention , intervention , intervention , intervention , intervention , intervention , intervention , intervention , -0.724329141407251 , -0.070552849964128 , 0.288741058604344 , 0.134602695806054 , 0.176741203592637 , -0.279204015634637 , -0.0940455617571889, -0.144773592307357 , 0.449683821359023 , -0.120212697414366 , -0.105957134968003 , -0.137470831596276 , 0.288497490554415 , 0.337630264142115 , 0.234012142331898 , -0.276782796541929 , 0.110850019775054 , 0.477385711592053 , -0.0274885414531173, 0.136144505933642 , -0.183224744687761 , -0.0677135480320216, 0.552820349438267 , -0.0495553898903687, 0.20821566313633 , -0.642520474118075 , -0.231025873885113 , -0.470055642616287 , -0.208591452767786 , -0.702537015808339 , 0.0320936323756665 , -0.321806452304938 , -0.427012570340932 , 1.23477411431727 , 0.0539737245220724 , 0.859558968082015 , 0.088598130693806 , -0.224278566413213 , 0.100159437697021 , -0.584284404305152 | 0.5228411 |
| 25 | 20 | 0.0 | 0.0 | 1.0 | control , control , control , control , control , control , control , control , control , control , control , control , control , control , control , control , control , control , control , control , intervention , intervention , intervention , intervention , intervention , intervention , intervention , intervention , intervention , intervention , intervention , intervention , intervention , intervention , intervention , intervention , intervention , intervention , intervention , intervention , -0.173510675838629 , 1.55458230829097 , 0.411434289806947 , 1.44226099463083 , 0.878839580200964 , -0.0197314248770782, -0.60019677986033 , -0.996306541007183 , 0.378921547505239 , 0.140030982432418 , 1.39031842612913 , -0.0833559877817791, -0.330865514412782 , 1.00884068904153 , -0.571752769017037 , -0.288429888097599 , 0.347902177636325 , -0.382145006627843 , 0.642890679189052 , 0.349402805809999 , 1.3223895455935 , 0.464060038807412 , -0.837076496406386 , -1.64726568503958 , 0.931026032405778 , -0.262099533424288 , -0.765420818848739 , 2.15810476053382 , -2.27296944286327 , -1.24573608945431 , -2.00035825630448 , 0.154707510719389 , 1.25860074567663 , 1.58858312499884 , -0.182964335549283 , 1.46261492141098 , 0.126599009141451 , 0.05947870869617 , -0.104584026555633 , 0.0672361403154898 | 0.4536899 |
| 25 | 20 | 0.0 | 0.1 | 0.5 | control , control , control , control , control , control , control , control , control , control , control , control , control , control , control , control , control , control , control , control , intervention , intervention , intervention , intervention , intervention , intervention , intervention , intervention , intervention , intervention , intervention , intervention , intervention , intervention , intervention , intervention , intervention , intervention , intervention , intervention , -0.512997061469161 , -0.273763898734957 , 0.0956618791194177 , 0.650783213440458 , 0.115867969877335 , 0.100490747583803 , 0.397340251800865 , 0.40449364017036 , -0.576156430191539 , -0.524374910410523 , 0.672240746569082 , -0.127367346251852 , 0.0199061467085529 , 0.257804344340977 , 1.22714772616254 , 0.412639573267034 , -0.296028488709133 , 0.500814554191615 , 0.297931679001724 , 0.0232525851446655 , 0.380620043210158 , -0.470356755949175 , 0.194872940335401 , 0.569901167882248 , -0.128451259022033 , -0.345759703044157 , 0.206962195392169 , 1.1997102951167 , 0.0357423316115972 , 0.151891758788404 , 0.835408374973745 , -0.206972333055942 , 0.265162992015908 , 1.15275902448301 , 0.604024126293416 , -0.507571588190938 , -0.100738118189449 , -0.203079037738356 , 0.00167408316181834, -0.523188705371722 | 0.9362160 |
| 25 | 20 | 0.0 | 0.1 | 1.0 | control , control , control , control , control , control , control , control , control , control , control , control , control , control , control , control , control , control , control , control , intervention , intervention , intervention , intervention , intervention , intervention , intervention , intervention , intervention , intervention , intervention , intervention , intervention , intervention , intervention , intervention , intervention , intervention , intervention , intervention , 0.0673592888832884 , 1.1295483518703 , -1.61035680073873 , 0.0739086942396323 , 0.623028375914606 , 0.0632799752234551 , 1.35825468387867 , 0.218271035891705 , 1.61848494358855 , 0.192039251515791 , 0.139259606641798 , -0.931373885892329 , -1.19634878720176 , 1.22642111046447 , -1.31103786663168 , -0.513981053409363 , 0.053144103883803 , 0.0441040465618544 , 0.0312945010709149 , -0.143067217106351 , 1.70604545262445 , -0.0241063674362612, -0.81974271896973 , -0.186968245614132 , 0.0160967195686145 , 1.01785080330554 , -0.61071762164198 , -0.52135711849605 , 0.801581515098792 , 0.297564256449111 , 1.25373951620676 , -0.55616346477278 , -0.895417282364095 , -0.927486888945287 , 1.43154353899096 , 1.285329293654 , 0.743123493015504 , 0.173534250728247 , 1.55733659612446 , 0.552611947153792 | 0.3576275 |
| 25 | 20 | 0.5 | 0.0 | 0.5 | control , control , control , control , control , control , control , control , control , control , control , control , control , control , control , control , control , control , control , control , intervention , intervention , intervention , intervention , intervention , intervention , intervention , intervention , intervention , intervention , intervention , intervention , intervention , intervention , intervention , intervention , intervention , intervention , intervention , intervention , -0.48553953380416 , -0.157889521255013 , 1.18022538423577 , -0.0443809201492833, 0.672457924202515 , 0.41233370236111 , 1.01037718966884 , 0.186280127946332 , -0.639502987489582 , -0.193906620796616 , -0.158623852162672 , 0.202218995407157 , -0.820405389662445 , 0.730124727227854 , -0.825897700291118 , -0.291384295691695 , 0.236579402006901 , -1.13283706225774 , 0.291946537026086 , -0.394748588267538 , 0.653073661458424 , 1.37344360599874 , 1.1369291722259 , 0.511198436381903 , 0.987122551104488 , 0.199021994491819 , 0.176136719884344 , 0.616997132376874 , 0.999168238330095 , 1.37412083028719 , 0.844339883267092 , 0.109134900926449 , 0.48328197989274 , 1.23683954736764 , 0.678092140268148 , 1.20423469200517 , 0.717955927581017 , 0.972343149462771 , 0.464075198198557 , 1.03814841009181 | 0.0000204 |
| 25 | 20 | 0.5 | 0.0 | 1.0 | control , control , control , control , control , control , control , control , control , control , control , control , control , control , control , control , control , control , control , control , intervention , intervention , intervention , intervention , intervention , intervention , intervention , intervention , intervention , intervention , intervention , intervention , intervention , intervention , intervention , intervention , intervention , intervention , intervention , intervention , -0.503289276582255 , -0.161362868548776 , -0.0726852241122091, 0.338324669994129 , 1.45371519648508 , -0.285540473633912 , -1.15355873279161 , -0.455352549850705 , -0.339168907902655 , -0.15394999222218 , 0.311317663255547 , 0.483560548262039 , -1.2875283297776 , -0.79647603623274 , 0.294738689428327 , -1.72906781252319 , 1.00126892338105 , -0.100241008212553 , -1.0030573666313 , 0.605570356012312 , 0.158885078542374 , 1.07486013737147 , -1.47017781026226 , 0.296288229544718 , 0.476637964034566 , 1.01846407392216 , 1.37869680113574 , 1.50423543635612 , 0.688631389108475 , -0.890071106109611 , -0.21580977632248 , 1.11925416403576 , 0.84673641218819 , -0.516428649196726 , -0.0104234323929369, 0.709877746941799 , 1.01486911610248 , 0.975875755808954 , 0.943482183271863 , 0.70917402259674 | 0.0101692 |
| 25 | 20 | 0.5 | 0.1 | 0.5 | control , control , control , control , control , control , control , control , control , control , control , control , control , control , control , control , control , control , control , control , intervention , intervention , intervention , intervention , intervention , intervention , intervention , intervention , intervention , intervention , intervention , intervention , intervention , intervention , intervention , intervention , intervention , intervention , intervention , intervention , -0.893115788936564 , 1.15471564974232 , 0.0355022167352999 , 0.134078842348183 , 0.485451672524369 , 0.0748834813279731 , -0.78019035178472 , -0.096699786434806 , 0.142467019069898 , 0.631496670462539 , 0.0515839237527665 , 0.594693379745976 , 0.455127182040734 , 0.7776872072174 , -0.384469083609931 , 0.0259619113759975 , -0.116296147215028 , -0.62058309734452 , 0.579344542731068 , -0.772206820797828 , 1.4562983791132 , -0.887971228686053 , 0.430382672964891 , 1.27849048982226 , 0.650089364834612 , 0.826595993897576 , 1.49411075839034 , 0.294652982596564 , -0.074628269712618 , 0.0510550832616641 , 0.720478096411973 , 0.323635709098201 , 0.385863410779675 , 0.489157629223342 , 0.212882785581045 , 1.47991221155793 , -0.0190592187600516, 0.709658638678094 , 0.649666882567051 , -0.366736217348719 | 0.0268829 |
| 25 | 20 | 0.5 | 0.1 | 1.0 | control , control , control , control , control , control , control , control , control , control , control , control , control , control , control , control , control , control , control , control , intervention , intervention , intervention , intervention , intervention , intervention , intervention , intervention , intervention , intervention , intervention , intervention , intervention , intervention , intervention , intervention , intervention , intervention , intervention , intervention , 1.39269928018275 , 0.277345943868104 , 2.6268912635457 , -0.143315438904126 , 0.299242485066954 , -1.30116441934895 , 0.0677422049242096 , -0.617527548813198 , 1.30164922591288 , -0.793499609492379 , 0.286840428752578 , -1.66834003112238 , 0.48745119568341 , 1.05391353063075 , 0.606359419344322 , 0.476960967305391 , 0.778477818278493 , 0.544449954366139 , 0.420773348173574 , 0.143463649253165 , 0.130106256654481 , 0.979822636605166 , 0.680387532744648 , 0.727538267219881 , -0.623203994496395 , 0.557899417070319 , -0.166052181301507 , -0.0136593187146896, 2.14406336185719 , 1.08785208431082 , 1.54373805054068 , 0.0555209423009586 , 1.11281543751733 , -0.734920805566912 , 0.967305920844184 , 1.87513648091751 , 0.966292089172351 , 1.00179152916216 , 2.32858529397628 , -0.460470071332368 | 0.1805998 |
| 25 | 50 | 0.0 | 0.0 | 0.5 | control , control , control , control , control , control , control , control , control , control , control , control , control , control , control , control , control , control , control , control , control , control , control , control , control , control , control , control , control , control , control , control , control , control , control , control , control , control , control , control , control , control , control , control , control , control , control , control , control , control , intervention , intervention , intervention , intervention , intervention , intervention , intervention , intervention , intervention , intervention , intervention , intervention , intervention , intervention , intervention , intervention , intervention , intervention , intervention , intervention , intervention , intervention , intervention , intervention , intervention , intervention , intervention , intervention , intervention , intervention , intervention , intervention , intervention , intervention , intervention , intervention , intervention , intervention , intervention , intervention , intervention , intervention , intervention , intervention , intervention , intervention , intervention , intervention , intervention , intervention , 0.414059868288597 , -0.983801053497978 , 0.351827321608913 , 0.34899060415211 , -0.757586917926912 , -0.479443572022926 , 1.1330138219443 , 0.418208347107834 , -0.22151966820644 , 0.010358429334527 , 0.186009867210859 , 0.478123182763358 , 0.363879508733672 , 1.22077129336426 , -0.0605645939195266 , -0.0689107386093937 , -0.111203467986686 , 0.0617105858919266 , 0.494645811717727 , 0.717827865445391 , 0.449046821545609 , -0.0513349461949629 , 0.484596107358794 , -1.05633402528449 , 0.0378965892947211 , -0.77479734463874 , -0.950388988515473 , 0.0618917620750298 , 0.226206785964125 , 0.0251611544781521 , 0.243800254365525 , 0.245625408298886 , -0.946481900088664 , -0.359846316053278 , 0.206673846258675 , 0.7998634148591 , 0.819239375046292 , 0.565295952373734 , 0.656574737158627 , -0.250645040202587 , -0.468089320622766 , 0.510878766163999 , -0.00453886713779455, -0.025254341938837 , 0.102747673868858 , -0.157341618958799 , -0.357481924269764 , -0.458051197274082 , 0.2599431004405 , 0.376363487822418 , -0.557811905621548 , 0.50000260050103 , 0.00350269866915675 , -0.0978681141192352 , 0.57417417852151 , -0.58508871420743 , 0.309363865993961 , -0.59865631067249 , -0.336335726792806 , -0.0413752530924492 , 0.33851681801026 , -0.636553059026074 , -0.101095554419309 , 0.717407212988179 , 0.0144713695436865 , -0.493670176068411 , 0.214806911346427 , 0.165604900712956 , -0.392940160844665 , -0.448383056607094 , -0.464370262609728 , 0.370376721205015 , -0.215076029433448 , 0.0840931588048453 , -0.641774780060978 , -0.893736494447616 , -0.21803156480679 , 0.439405736587562 , -0.441042552679567 , -0.770209142257962 , -0.0649684737741639 , -0.351299538339465 , -0.191182655298839 , 0.591276334701991 , 0.142450315410377 , -0.42996109134461 , 0.86067762826668 , 0.0554071274643159 , -0.331400862458974 , 0.0858421494778889 , -0.10835892751089 , 0.274889723407945 , 0.45055983324879 , -0.425329591582344 , 0.603007698415803 , -0.312501727272586 , 0.318990530398831 , -0.586586197006844 , -0.24606174535505 , -0.00406702504487278 | 0.1157908 |
| 25 | 50 | 0.0 | 0.0 | 1.0 | control , control , control , control , control , control , control , control , control , control , control , control , control , control , control , control , control , control , control , control , control , control , control , control , control , control , control , control , control , control , control , control , control , control , control , control , control , control , control , control , control , control , control , control , control , control , control , control , control , control , intervention , intervention , intervention , intervention , intervention , intervention , intervention , intervention , intervention , intervention , intervention , intervention , intervention , intervention , intervention , intervention , intervention , intervention , intervention , intervention , intervention , intervention , intervention , intervention , intervention , intervention , intervention , intervention , intervention , intervention , intervention , intervention , intervention , intervention , intervention , intervention , intervention , intervention , intervention , intervention , intervention , intervention , intervention , intervention , intervention , intervention , intervention , intervention , intervention , intervention , -0.593511657719545 , -1.06981331415924 , 0.784587498625277 , 0.228594278760991 , 2.57070332386854 , -0.316306247866236 , -1.11314397088574 , -0.902766424897457 , -0.498206925085775 , -1.27875115917555 , -2.04654124372429 , 0.135273540671302 , 0.822722765334541 , -0.818614807728426 , 0.288985870350242 , -0.295757755890357 , 0.07826559824186 , 1.06226229377087 , 0.753969134710637 , -0.426707133655751 , 0.305997377348866 , 0.604338091881051 , 0.136586517911762 , -1.99076799527878 , 0.0943132169173086 , 0.840496422503827 , 0.444164088074196 , -0.508859191347331 , 1.34895192143496 , -0.366835697814731 , -0.942303628576128 , 0.188521401922582 , 0.130766397842489 , 0.378540283491339 , -0.846413101915575 , -2.77307309608888 , -0.128999128169454 , -0.00274683085524118, 0.790377040149944 , 0.136492930107774 , 0.0536978031810905 , 0.946866779525382 , 1.00372639902531 , -0.249087766670716 , 0.808211649655464 , 0.696270719242726 , 0.651824093044594 , -0.844321465681766 , -0.381365569632692 , -0.558132646474129 , -0.489560062654518 , -1.55895725216151 , 0.864363899833732 , 1.69419902940711 , 2.05588485540801 , -0.798975415742674 , -0.634290694926075 , -1.64472105855269 , -0.470887402462057 , -1.40900788490677 , -1.34426715759609 , -0.64474344037974 , -0.192583042574515 , 0.835516728337464 , 1.84342590572797 , 0.543168725364958 , -0.522594062172194 , 1.34558120132073 , 0.3638979624886 , -0.00440596304779752, 0.628133664638062 , 0.848292895307074 , 0.303386791142343 , -0.62089055255109 , -0.28680285295894 , -1.82279258915329 , 1.32766409912446 , -1.60379742464743 , 0.342992571678495 , -0.452033645670889 , -0.609867255823193 , 0.162309457468586 , -1.11458262875608 , -0.878641752742141 , 0.140897080184486 , 1.01248750884144 , 0.076491936372691 , -0.0137572443578084 , 1.02881105493245 , 0.677731516492359 , 0.301836076342872 , -1.93281230315091 , -0.30756405863505 , 1.32224035488587 , 0.702039139243013 , -1.46756688313208 , 0.747005660286779 , -0.404886837553592 , 1.20727901939298 , -0.435770823683768 | 0.8881197 |
| 25 | 50 | 0.0 | 0.1 | 0.5 | control , control , control , control , control , control , control , control , control , control , control , control , control , control , control , control , control , control , control , control , control , control , control , control , control , control , control , control , control , control , control , control , control , control , control , control , control , control , control , control , control , control , control , control , control , control , control , control , control , control , intervention , intervention , intervention , intervention , intervention , intervention , intervention , intervention , intervention , intervention , intervention , intervention , intervention , intervention , intervention , intervention , intervention , intervention , intervention , intervention , intervention , intervention , intervention , intervention , intervention , intervention , intervention , intervention , intervention , intervention , intervention , intervention , intervention , intervention , intervention , intervention , intervention , intervention , intervention , intervention , intervention , intervention , intervention , intervention , intervention , intervention , intervention , intervention , intervention , intervention , -0.17312997024998 , -0.129006597836854 , -0.281447949007049 , 1.65173304165948 , -0.167085451808189 , 0.450914896347844 , 0.122141781294952 , 0.36127692515084 , 0.119373681620356 , -0.25522165942478 , -0.409425535750534 , -0.289523347459953 , 0.435137759315376 , 0.670115224122394 , 0.404151092392708 , 0.842533664783115 , -0.431485160690585 , 0.451249572477459 , -0.237207235647469 , 0.79300930464573 , 0.205599310154075 , 0.843325574754518 , -0.314188655277101 , -0.0446644866525721, 0.142581215892239 , 0.169413905401176 , 0.0410052486801581 , 0.433965882232065 , 0.489241613512268 , 1.04145806017467 , 0.045552898127694 , -0.403592665330141 , -0.0955289821226192, 0.639509374063248 , -0.49943919595842 , -0.235547097836447 , 0.0424458046238018 , 0.827807334620906 , -0.161291130404729 , -0.0220356369063667, 0.124469637740108 , -0.395683841144698 , 0.298760844684374 , 0.29660373278594 , -0.657553424716525 , -0.64841208492826 , 0.620747898327576 , -0.333206703550787 , 0.309197230167214 , 0.274152322008124 , 0.530035297817192 , -0.111017008664823 , -0.23523806557004 , -1.07615712153241 , -0.575887591946492 , -0.536994830337385 , 0.0648504925914067 , 0.0989275744299671 , 0.244194637227643 , -0.131832220817004 , 0.0704418814824181 , 0.338255612852344 , -0.307645474405701 , -0.270673642541339 , 0.850395807538404 , -0.577329493968259 , -0.607342929182814 , -0.471581020673079 , 0.360746133125623 , -0.0656945598985643, 0.227317095053154 , -0.0524905504459808, 0.568964493043853 , 0.200240228932426 , 0.611168281366713 , 0.0667746819370696 , 0.1623019963703 , 0.67306835334311 , 0.575961324972098 , -0.0547429195687525, -0.202929849575066 , 0.427281782077785 , -0.084259890205615 , -0.384186064570206 , 0.014484582310959 , -0.465756697984821 , -0.539477517332228 , -0.978294363925573 , -0.267211160049705 , 0.0779671630129176 , -0.249058878231819 , 0.0124732827648271 , 0.00234363718778123, -1.05184917525461 , -0.318750466781609 , 0.605180430084562 , 0.205356401339392 , 0.175497662802317 , 0.0577562910659545 , 0.964097591721364 | 0.0761420 |
| 25 | 50 | 0.0 | 0.1 | 1.0 | control , control , control , control , control , control , control , control , control , control , control , control , control , control , control , control , control , control , control , control , control , control , control , control , control , control , control , control , control , control , control , control , control , control , control , control , control , control , control , control , control , control , control , control , control , control , control , control , control , control , intervention , intervention , intervention , intervention , intervention , intervention , intervention , intervention , intervention , intervention , intervention , intervention , intervention , intervention , intervention , intervention , intervention , intervention , intervention , intervention , intervention , intervention , intervention , intervention , intervention , intervention , intervention , intervention , intervention , intervention , intervention , intervention , intervention , intervention , intervention , intervention , intervention , intervention , intervention , intervention , intervention , intervention , intervention , intervention , intervention , intervention , intervention , intervention , intervention , intervention , 1.27695023088344 , -1.18975602504109 , -1.70778491153635 , 0.430053871710861 , -0.677782260657463 , -0.189920304124381 , 1.88415115502195 , -0.241471828399649 , -1.20770756019538 , 2.71792454551463 , -0.790292082492973 , 1.60635122212288 , 0.554688554455431 , 0.527364855260437 , 1.1879011278404 , 0.894231799254148 , 0.455894820674053 , 1.19651280729184 , -1.58071093820468 , -0.478464332825393 , 1.52698394722822 , 0.0849551976334914 , 0.891424888687163 , -0.200172063061459 , 1.2275773210308 , 1.19486830688869 , 1.16413171628643 , 1.46372614554884 , -0.877736312075665 , -0.564958902783057 , -0.202435493028233 , 0.174753891842326 , -0.6417215827054 , -1.22961404463849 , -0.230247620676649 , -1.79046166673143 , 2.60524399458002 , 1.52454749241912 , 1.43271646932188 , -1.51800550968448 , -0.53228017695418 , 0.0798680738652164 , -0.625657821041706 , 0.322268499604903 , 0.46235210265245 , 2.62529117630251 , 0.12237000781079 , -0.341311708485744 , 0.377311535963346 , -0.279322161970332 , -2.48272662406029 , 0.0814064530851465 , 0.159120562849246 , -0.379126528190155 , -2.72438234636361 , -1.43138134294253 , 0.752240279732348 , 0.582713570214541 , 0.387160902713678 , 0.365147221148482 , 1.6617617173121 , 1.21193787651503 , -2.03095632564175 , 1.03410565343098 , -0.691252118793401 , -1.04730350251999 , -1.60421428141483 , 0.595752676972805 , -0.317518899356163 , 1.34157173452055 , 1.51827844060152 , -0.348696766124702 , -1.63736980039673 , -0.216746680276012 , -1.2388614841446 , -0.683242373856633 , 0.800140767541043 , 1.03625075447561 , -1.80776141587033 , 0.226584768158986 , -0.280292092446649 , -0.232539817748623 , 0.0453883062010536 , -0.226885892483627 , -0.429861236716972 , 1.11332824469639 , 0.0814158122443552 , 0.710351869154241 , -1.06236234820674 , 0.497768634049123 , 1.06887713296275 , 0.00647746790122649 , 0.716017400581037 , 1.03405292335384 , -1.33924942439766 , -0.931707542265052 , 0.280275650349394 , -0.766768978454235 , 0.932482215984963 , -0.000262758670088181 | 0.0942929 |
| 25 | 50 | 0.5 | 0.0 | 0.5 | control , control , control , control , control , control , control , control , control , control , control , control , control , control , control , control , control , control , control , control , control , control , control , control , control , control , control , control , control , control , control , control , control , control , control , control , control , control , control , control , control , control , control , control , control , control , control , control , control , control , intervention , intervention , intervention , intervention , intervention , intervention , intervention , intervention , intervention , intervention , intervention , intervention , intervention , intervention , intervention , intervention , intervention , intervention , intervention , intervention , intervention , intervention , intervention , intervention , intervention , intervention , intervention , intervention , intervention , intervention , intervention , intervention , intervention , intervention , intervention , intervention , intervention , intervention , intervention , intervention , intervention , intervention , intervention , intervention , intervention , intervention , intervention , intervention , intervention , intervention , 0.114519619427321 , -0.636912645617883 , -0.654032864328008 , 0.501555175016235 , -0.195311841945049 , 0.364689922384322 , -0.0417181400444421, -0.0349148125482336, -0.499723501378126 , 0.74797372305155 , 0.468825669665917 , -0.539462308868049 , -0.880008911529739 , -0.287168504453707 , 0.0944652210535266 , -0.252322244802057 , 0.39275064037981 , -0.41223896668406 , 1.25878156667166 , -0.323404444152 , -0.882457861439678 , -1.38536680581607 , 0.400392377286684 , -0.417111259191984 , -0.266955534035672 , -0.243521385641868 , -0.249535696847609 , 0.939183653873467 , 1.16870784430358 , 0.144295833454744 , 0.320748334443647 , 0.00151296844491073, -0.205875938898132 , -1.0819785133833 , -0.12695779612245 , -0.703022455913306 , 0.215720554872406 , -0.23441073844954 , -0.54717119615631 , 0.461441523211688 , -0.0770715649948877, -0.551175032481442 , -0.306995363417003 , -1.08097889536564 , 0.676128559630674 , 0.352522253084361 , 0.325764290130981 , 1.08819400572076 , -0.408868041196566 , -0.0611269540240488, -0.481314166065689 , 0.95332620087918 , 0.96164969726546 , 0.190170658567759 , 0.369640861636782 , -0.296374830872769 , 1.01673720081573 , -0.0502683509916971, 0.531336757426548 , 0.416666794548558 , 1.24549268894873 , 0.27003801666184 , 0.958154613458751 , -0.242939688698283 , 0.888983201969692 , 0.39223248923475 , 0.523377463579079 , 0.647692161009624 , 0.425630292668734 , -0.214380665150247 , -0.320855065364698 , 0.803679122781925 , -0.16500084650479 , 1.08754081616253 , 0.597415545199082 , 0.840917686670568 , 0.149185326034966 , 0.696753789505311 , 0.840870551072797 , 0.843220129836963 , 1.28822523198492 , 0.604912644903101 , -0.222389143775215 , 1.37257741110966 , 1.06179599984839 , 0.640288496580853 , 0.815259107845809 , 0.132658908146997 , -0.351760068158773 , -0.102397526592934 , -0.329898152668451 , 0.885529051122283 , -0.167280929478188 , -0.143956334458082 , 0.195817229575678 , 0.00734339024329111, 0.480366077146294 , -0.0799574095175211, 0.882225102838572 , -0.0207690765256624 | 0.0000247 |
| 25 | 50 | 0.5 | 0.0 | 1.0 | control , control , control , control , control , control , control , control , control , control , control , control , control , control , control , control , control , control , control , control , control , control , control , control , control , control , control , control , control , control , control , control , control , control , control , control , control , control , control , control , control , control , control , control , control , control , control , control , control , control , intervention , intervention , intervention , intervention , intervention , intervention , intervention , intervention , intervention , intervention , intervention , intervention , intervention , intervention , intervention , intervention , intervention , intervention , intervention , intervention , intervention , intervention , intervention , intervention , intervention , intervention , intervention , intervention , intervention , intervention , intervention , intervention , intervention , intervention , intervention , intervention , intervention , intervention , intervention , intervention , intervention , intervention , intervention , intervention , intervention , intervention , intervention , intervention , intervention , intervention , -0.805134735314193 , 0.548855582469725 , 1.5893053329636 , -0.759692716928887 , 0.0638609037828667 , -0.443732709685091 , 1.19526679868401 , 3.01014938122134 , -1.0460992805369 , 1.12819613128328 , 0.607762162224726 , -0.376930520412484 , 1.91240576749548 , 1.32962991375934 , -0.701044563893855 , 0.846204008078589 , 1.25256155114232 , -0.00591336900241095, -0.563321775283245 , 0.214291833464599 , 0.218092984767532 , -0.850368801349448 , -0.664473902755527 , 1.82596962541648 , -1.63828014492865 , -0.869713257164764 , 0.206681002803489 , -0.116871052371263 , -0.345626264869866 , -1.72785662831005 , -0.720986670875428 , -1.16061900839147 , -1.334400985824 , -1.04644071510011 , -0.397585797815317 , 1.44536143079364 , 0.618766346353264 , 1.17421018708018 , 1.34721527126715 , 0.925980521174656 , 0.465794264149103 , 1.41548916375343 , 0.0554427505132248 , 1.04796177453297 , -1.87055631883628 , -0.401555278303956 , 0.690997385017108 , 1.57279517385178 , -0.731796533454028 , -1.45258301851325 , 2.21427512078981 , 0.0693774605385845 , 1.19163368294786 , 0.238617913660317 , 0.0908172991365116 , -0.799887884322645 , -0.384150226314563 , 0.507505546629112 , 0.899370695651534 , -0.159293501053954 , 0.943693521478526 , -0.402994139695047 , -1.26350518045839 , 0.359324542821152 , 1.03284927050292 , 1.61320941148349 , -0.339041919745716 , -0.266197125331386 , 1.26092639379066 , 0.650676049850395 , -0.631203369110074 , 1.03938329300332 , 1.52379549045641 , 0.00483559025019925 , 1.63404638686045 , 1.17999503153757 , 0.096456477514197 , 0.702711859741536 , -0.424752368674907 , 0.714593242975121 , 0.540107597098904 , -0.457736671960873 , 0.812555143975094 , 0.507153877714651 , -0.742622208061287 , -2.38241724771956 , 0.286479032913219 , 0.49216483297228 , -0.0563100483721186 , 0.468628057667473 , 0.862522616027746 , 0.864560809424869 , -0.16694803022215 , 0.484536289166469 , 0.00752638374285591 , 0.873503791662692 , 0.41081854793648 , 0.943940136882873 , 0.469492348385408 , -1.35608770728759 | 0.3380008 |
| 25 | 50 | 0.5 | 0.1 | 0.5 | control , control , control , control , control , control , control , control , control , control , control , control , control , control , control , control , control , control , control , control , control , control , control , control , control , control , control , control , control , control , control , control , control , control , control , control , control , control , control , control , control , control , control , control , control , control , control , control , control , control , intervention , intervention , intervention , intervention , intervention , intervention , intervention , intervention , intervention , intervention , intervention , intervention , intervention , intervention , intervention , intervention , intervention , intervention , intervention , intervention , intervention , intervention , intervention , intervention , intervention , intervention , intervention , intervention , intervention , intervention , intervention , intervention , intervention , intervention , intervention , intervention , intervention , intervention , intervention , intervention , intervention , intervention , intervention , intervention , intervention , intervention , intervention , intervention , intervention , intervention , -0.23803709873563 , 0.230143043551988 , 0.159706370110023 , 0.434327773870293 , -0.372328348528464 , -0.137028672508266 , 0.00540537993982319, 0.518409777357336 , -0.0776503633846077, -0.237559764288637 , 0.741352024572839 , 0.0811691417812496 , -0.354752019863625 , 0.434224358821426 , -0.17456167657125 , -0.603286940686203 , -0.397683550424875 , 0.799927887686846 , 0.438424357001985 , 0.500550451229416 , -0.599817539007846 , -0.434284460867052 , -0.0320125369610682, 0.474061800407905 , 0.123330844556506 , 0.981314199302899 , -0.793060783865188 , 0.758885958034392 , -0.489404077887039 , 0.231195441623702 , -0.235741002415614 , 0.18324653654799 , 0.167892948404301 , -0.049581703638502 , 0.309529940700511 , 0.398461109918707 , 0.310932522383874 , -0.0170318017210091, -0.653631388812639 , -0.213514022961702 , 0.881149364276259 , 1.05250481174098 , 0.327622646176151 , 0.64909029729929 , 0.222873041183486 , -0.474583596156831 , -0.547765940391053 , 1.04301016576922 , 0.887169158807347 , 0.962571424663041 , 0.28792473018394 , 0.139402102407562 , 0.503094091798557 , 0.106567139587463 , 0.0516221109925452 , 0.387729537486796 , 0.577102313931866 , 1.22732270303818 , 0.93835110838837 , 0.196189973971148 , 0.931003881530138 , 0.623428164191491 , 1.02821194169265 , 0.888272209608922 , 1.03053970018457 , -0.22459640792282 , 1.10169362206015 , -0.0728970172917948, 1.4020539283662 , 0.196492075383505 , 0.867630005628339 , 1.01499801172101 , 0.728818039187436 , 0.74315019569438 , -1.12586040019032 , 0.507433067714966 , -0.204370245356987 , 0.584027402246202 , -0.508205669303495 , 0.589438953108889 , 0.317931888840539 , 0.166655192528536 , 0.301105879140775 , -0.413029969885584 , 0.437840542508767 , 0.922564941279507 , 0.848422631450395 , 0.188726650482622 , 0.373553302134487 , 0.240067388322907 , 1.06339961777513 , 0.715307105619092 , 1.17649065566165 , 1.27247304804673 , 0.650717565472955 , 0.0904658072399616 , 0.133336075417598 , 0.0134434484201448 , 1.28286683393391 , 0.32908292939531 | 0.0009044 |
| 25 | 50 | 0.5 | 0.1 | 1.0 | control , control , control , control , control , control , control , control , control , control , control , control , control , control , control , control , control , control , control , control , control , control , control , control , control , control , control , control , control , control , control , control , control , control , control , control , control , control , control , control , control , control , control , control , control , control , control , control , control , control , intervention , intervention , intervention , intervention , intervention , intervention , intervention , intervention , intervention , intervention , intervention , intervention , intervention , intervention , intervention , intervention , intervention , intervention , intervention , intervention , intervention , intervention , intervention , intervention , intervention , intervention , intervention , intervention , intervention , intervention , intervention , intervention , intervention , intervention , intervention , intervention , intervention , intervention , intervention , intervention , intervention , intervention , intervention , intervention , intervention , intervention , intervention , intervention , intervention , intervention , -1.14108903824171 , -0.219868215651963 , -0.486430114540266 , 1.99259758281899 , -0.482419105385011 , 0.208508723805464 , 0.0274942832682194 , 1.31951145187777 , 0.975047759784407 , -0.23532949320464 , -0.698993618747772 , -0.00133816662956435, 0.251704826334586 , -0.138832301492481 , -1.05649498646814 , -0.642161070892122 , -0.434640421258077 , 1.19487693482158 , -0.698778203103218 , -0.922573856106954 , 1.14724066144842 , -1.11849777417259 , 0.982877293839036 , 0.879682430257724 , 0.763957198020074 , 1.53244215225577 , -1.38841616710221 , -1.16497367648236 , 0.263774567680506 , 0.536075691007864 , 1.03763451288707 , 1.83382711710923 , -1.72284065159229 , 0.614425740238668 , -0.0140968221284462 , 0.105537927924629 , -0.821695502680905 , -1.22675356389671 , 0.442484875934927 , 1.27259518154493 , 0.628326532968222 , 0.0764485419817899 , 2.12594110817856 , -1.9096745711989 , -0.826724130603169 , -1.25306071999234 , -0.693204499477345 , 1.10583572987881 , 0.894877701876072 , -0.805985305578864 , 0.415164645956609 , 1.4064988962796 , 0.928117503708649 , -0.616973388396858 , 1.31218460707907 , 1.54190436675684 , 0.213945937080912 , 2.16827671594831 , 1.24718116914834 , -1.3726666130546 , 0.192848745966351 , 0.422701175637244 , 1.41562687188078 , 0.82205337125131 , 0.000184866281054796, 1.02834423378817 , -0.142819824719699 , -1.14099297684053 , -1.16108115673181 , 0.636415468427732 , 0.745699469895767 , 1.05300282834353 , -0.930039114410443 , -0.0970789432982135 , -0.402596322337123 , -0.24203395602749 , -0.762950246030631 , -0.281928814958428 , 1.16640958969682 , 0.830387536529046 , -1.58706954872708 , 0.396478427339866 , 0.686984731786474 , -0.318939250185723 , 0.4826608785558 , -0.429846134231472 , 0.477142263309677 , 0.11823323021347 , -0.979026433611332 , -0.319653876921521 , -0.94323610614433 , 0.903435749318599 , 1.20449665834228 , 1.96070548912736 , 0.272991865426924 , 0.207957053154726 , -0.506604383676151 , 1.81792284164166 , 1.12999316767914 , -0.59338010965112 | 0.2072669 |
| 26 | 20 | 0.0 | 0.0 | 0.5 | control , control , control , control , control , control , control , control , control , control , control , control , control , control , control , control , control , control , control , control , intervention , intervention , intervention , intervention , intervention , intervention , intervention , intervention , intervention , intervention , intervention , intervention , intervention , intervention , intervention , intervention , intervention , intervention , intervention , intervention , -0.242322686576677 , -0.336317784678108 , -0.234908923113506 , -0.403107958478785 , 0.812301942844724 , -0.205894227084761 , -1.25974134076858 , 0.688155793815256 , -0.123132101908142 , -0.0864785731109953, -0.25622604154669 , -0.394434261455416 , 0.32200288758235 , -0.0641916595039727, 0.589851505414714 , 0.140189190454999 , -0.629986975105693 , -0.16422368212421 , -0.39380378363236 , -1.36066677833745 , -0.50364461801159 , 0.199326924591747 , 0.136078570617923 , -1.14666541095144 , 1.17070962941962 , 0.0868746538893364 , 0.931436400392221 , -0.275985920427456 , -0.242428893943168 , 0.658628863942318 , -0.350570742591889 , -0.511659720628874 , -0.154158111910069 , 0.227882002796883 , -0.165049392123737 , -0.14916672597075 , -0.180835342001861 , -0.101069951851919 , 0.543135989334048 , 0.53119012145089 | 0.2173528 |
| 26 | 20 | 0.0 | 0.0 | 1.0 | control , control , control , control , control , control , control , control , control , control , control , control , control , control , control , control , control , control , control , control , intervention , intervention , intervention , intervention , intervention , intervention , intervention , intervention , intervention , intervention , intervention , intervention , intervention , intervention , intervention , intervention , intervention , intervention , intervention , intervention , 0.60280648695676 , 0.68706148021947 , 0.846442208501686 , -0.605889814040533, 0.520109011873736 , -0.138680938927347, -1.11330966031587 , -0.425449971085886, -0.284997801391206, 0.503278629947718 , -1.24620802748352 , 0.116341191469672 , 0.680230993494883 , -1.37981856578269 , -1.26520495233332 , -0.322169681470822, 1.33849410855862 , 0.561214435724304 , -1.12365303167491 , 0.588126616834466 , 0.59721918483688 , 0.440632662045236 , 1.06144804319938 , -1.41052086131525 , -1.19482616370121 , 1.1776448996562 , 0.121983114843926 , 0.820745780554666 , 0.0172081093872422, -0.725694554586214, -0.894567694592241, 0.664329770009514 , -1.98921311469321 , 1.58893397065563 , -0.806336646808078, 0.247591756032396 , 0.560609602272612 , -0.686570860170128, 0.027534380001539 , 0.47169892624745 | 0.7852411 |
| 26 | 20 | 0.0 | 0.1 | 0.5 | control , control , control , control , control , control , control , control , control , control , control , control , control , control , control , control , control , control , control , control , intervention , intervention , intervention , intervention , intervention , intervention , intervention , intervention , intervention , intervention , intervention , intervention , intervention , intervention , intervention , intervention , intervention , intervention , intervention , intervention , 0.389333533687569 , -0.288030460948998 , 0.477062592802986 , -0.179316202991539 , -0.0862291389207573, -0.0581011488841625, -0.152795471268189 , -0.106537736283673 , 0.158189012193884 , 0.874481296730903 , 0.468018419862898 , 0.00422468469279158, -0.0999262978858566, 0.1811645560954 , 0.0251669194653567 , -0.14997400544076 , 0.0250854741613804 , 0.532575220753428 , 0.964328203490215 , -0.778104857225203 , 0.638212105298394 , -0.888487933631608 , -0.0165249474389055, 0.256546106463234 , 0.135743828176204 , 0.349943728317593 , -0.99460331116761 , 0.0820029944414963 , 0.10329869115242 , -0.360146194676723 , -0.109551777667152 , -0.512229749749324 , -0.0467328014916701, 1.09419529380506 , 0.536440793389102 , 0.0174829167201436 , 1.61402411020669 , -0.97152904587868 , -0.088129419428613 , -0.945866353362843 | 0.5192989 |
| 26 | 20 | 0.0 | 0.1 | 1.0 | control , control , control , control , control , control , control , control , control , control , control , control , control , control , control , control , control , control , control , control , intervention , intervention , intervention , intervention , intervention , intervention , intervention , intervention , intervention , intervention , intervention , intervention , intervention , intervention , intervention , intervention , intervention , intervention , intervention , intervention , 0.685811428637662 , 0.234666566370866 , -0.695789965604366, 1.60647701308617 , 1.67863722340182 , -1.73296401948009 , -0.408793472445226, 0.235558074414302 , -0.696246347537896, 0.352280835991241 , -0.918520896654849, 0.132898768467267 , 0.175994577308893 , 1.71875522010754 , 0.495518545452751 , -0.73549542188494 , 0.317416210178777 , -0.558738065770779, -0.588742298417053, -0.20305224122078 , 1.65609577605638 , 0.737054810162451 , 0.828270290640722 , -1.46501676320022 , 0.57604097362563 , -1.45953392193159 , 1.15623296483453 , -0.80074079781613 , 0.472661657664619 , 0.812791370654468 , 0.661423503252362 , 0.0689827444700657, -0.714290405085894, -0.475774994108188, 0.157110103216145 , 1.21896052246343 , 1.69076769230344 , -0.32943667716435 , 0.259428853369539 , 0.5242844176513 | 0.4414418 |
| 26 | 20 | 0.5 | 0.0 | 0.5 | control , control , control , control , control , control , control , control , control , control , control , control , control , control , control , control , control , control , control , control , intervention , intervention , intervention , intervention , intervention , intervention , intervention , intervention , intervention , intervention , intervention , intervention , intervention , intervention , intervention , intervention , intervention , intervention , intervention , intervention , 0.411260072492223 , 0.4509040199146 , -0.192981665235089 , -0.58814858255575 , 0.958521879750715 , -0.187104873878794 , -0.673721927195055 , -0.927418382974014 , 0.211227727210561 , 0.162297310028605 , -0.0448941968341019, -0.371426271332933 , -0.685612724005367 , 0.1831083059463 , 0.0199895516191953 , 0.904136968985456 , -0.109852050752331 , 0.56946767664716 , -1.55667551488462 , 0.168902161649331 , 0.95153227442976 , 0.619034764163324 , 1.17316153422917 , 0.511543949210662 , 0.0142405751420271 , 0.0129458914573234 , -0.0270902605276179, 1.32108503254551 , 0.956030888001598 , 0.475666905143944 , 0.189361177946831 , 0.57865231743962 , 0.925830328780287 , 1.18613084204763 , 0.943061147207333 , 0.942167914425359 , 0.909721052538908 , 1.19669113216576 , 0.254697108351516 , 0.59630060111134 | 0.0000684 |
| 26 | 20 | 0.5 | 0.0 | 1.0 | control , control , control , control , control , control , control , control , control , control , control , control , control , control , control , control , control , control , control , control , intervention , intervention , intervention , intervention , intervention , intervention , intervention , intervention , intervention , intervention , intervention , intervention , intervention , intervention , intervention , intervention , intervention , intervention , intervention , intervention , -1.19070144364405 , -1.1169956177032 , 1.82251140732806 , -1.2139916879873 , -0.523925875905172 , -2.75105676938039 , -0.0474867293484353, -1.85966436455937 , -0.0328089541132775, 0.585280119854267 , 0.205813312037876 , 0.0573815395290899 , -2.19353489131122 , 0.15420499708787 , -0.193045386493053 , 0.729648625878253 , 0.177483985560954 , -1.36730846113953 , 1.02256717021144 , 1.57623258175775 , -0.637752868740531 , -0.723909800703122 , 0.0250761147827353 , 1.68990535817034 , 0.547566250748673 , 0.159242500288957 , 0.652695843362958 , 0.718143478668562 , 0.18198665231212 , 0.409571155930775 , 0.188577269598969 , -0.721778489145273 , 2.3370315357976 , 0.270291330755018 , 0.366483308481125 , -0.524529204794137 , -0.545771163945447 , -0.0466534908917902, -0.766025869010468 , -0.358033775434351 | 0.1581673 |
| 26 | 20 | 0.5 | 0.1 | 0.5 | control , control , control , control , control , control , control , control , control , control , control , control , control , control , control , control , control , control , control , control , intervention , intervention , intervention , intervention , intervention , intervention , intervention , intervention , intervention , intervention , intervention , intervention , intervention , intervention , intervention , intervention , intervention , intervention , intervention , intervention , 0.0390646006601355 , -0.470465259509471 , -0.28825583673534 , 0.828968867709831 , 0.79290195250311 , -0.0500876182529595, 0.282815160517499 , 0.688362463182528 , 0.756139397511438 , 0.325783668867059 , 0.261180024335231 , -0.148721824499091 , 0.354869579424886 , -0.231546591845093 , -0.137874095293556 , 0.0768632215208343 , 0.292516111369839 , 0.345737524971255 , 0.142964198304678 , -0.973546725072778 , 0.457960829330892 , 0.974591758896844 , 0.726849853175296 , 0.214172732146623 , -0.0304345605450904, 0.597376015460618 , 0.831391642277926 , 0.10551908607415 , -0.0926861955613005, 0.553329473366892 , 0.77307921766238 , 1.1215476172908 , 0.714558159961019 , 0.659849972554938 , 0.772352351574315 , 1.16752012143277 , 1.47146245185512 , 0.36114450179735 , 0.89971327273752 , 0.902652326825842 | 0.0005238 |
| 26 | 20 | 0.5 | 0.1 | 1.0 | control , control , control , control , control , control , control , control , control , control , control , control , control , control , control , control , control , control , control , control , intervention , intervention , intervention , intervention , intervention , intervention , intervention , intervention , intervention , intervention , intervention , intervention , intervention , intervention , intervention , intervention , intervention , intervention , intervention , intervention , 0.75457309141484 , 1.34346248497323 , 0.064197461147079 , 0.194894022159898 , 0.361774688822551 , 0.482613871848198 , -0.0537330292903563, 0.427080249530674 , 0.113154895381578 , -0.695647449926497 , 1.79718075786154 , -0.686852385689825 , -0.798745597197531 , -0.912578849368848 , 0.270026729926222 , 2.30075122989166 , -1.02212464192934 , -0.999623574201894 , 0.391962205394553 , -1.8338849853768 , 0.534254578496272 , 1.01275177309795 , 0.0816609173208288 , 1.695753358578 , 0.17406941677717 , 1.5255680650561 , 0.93482496748925 , 2.14455912721593 , -0.371257407563369 , 0.261273898536572 , -0.555067689321154 , 1.35058517511971 , -0.345056544344797 , -0.674465645080782 , 1.20017274949159 , 1.02257485333086 , -0.497424970486121 , 2.57187297788377 , -0.402307660623949 , 1.1960793312905 | 0.0767671 |
| 26 | 50 | 0.0 | 0.0 | 0.5 | control , control , control , control , control , control , control , control , control , control , control , control , control , control , control , control , control , control , control , control , control , control , control , control , control , control , control , control , control , control , control , control , control , control , control , control , control , control , control , control , control , control , control , control , control , control , control , control , control , control , intervention , intervention , intervention , intervention , intervention , intervention , intervention , intervention , intervention , intervention , intervention , intervention , intervention , intervention , intervention , intervention , intervention , intervention , intervention , intervention , intervention , intervention , intervention , intervention , intervention , intervention , intervention , intervention , intervention , intervention , intervention , intervention , intervention , intervention , intervention , intervention , intervention , intervention , intervention , intervention , intervention , intervention , intervention , intervention , intervention , intervention , intervention , intervention , intervention , intervention , 0.661715432391315 , -0.687732875260586 , 1.06050972362923 , 0.112703851694949 , -0.21130749802 , 0.468524939606958 , 0.125165459474312 , -0.143080461626169 , 0.272726314755748 , 0.0819757175079727 , 0.290812213945197 , -0.881271901585948 , 0.276119037154801 , -0.0239574819309912 , -0.160278418512582 , 0.0961032040660088 , -0.205979812994128 , -0.955643039021075 , 0.277767541603842 , 0.217606882240629 , -0.38716431549889 , -0.0703898540536711 , 0.276311902894925 , -0.843532142744677 , 0.310206558019563 , -0.00681396153314485, -0.140526173431057 , -0.170327003397838 , -0.109555477509595 , -0.389784151841101 , -0.730210352982963 , 0.587921882529457 , 0.499732477689964 , -0.200985011531291 , -0.0205569576293411 , -0.0580659326134787 , 0.419748167840652 , 0.0278951805294785 , 0.520273773141179 , 0.266565696070671 , 0.155250555127643 , 0.454612776659598 , -0.72584107568452 , 0.795606912877601 , 0.395151388763655 , -0.756431682489609 , 0.324274276302433 , -0.671317352163248 , -1.16089950759062 , 0.711469373412579 , -0.164253141664061 , -0.116835048966165 , 0.379892077322804 , 0.217329045440727 , -0.806001601267813 , -0.936096558478375 , -0.151100660307326 , 0.852159133862605 , -0.66486175260104 , 0.44649555235621 , -0.354621859512639 , 0.224094930479701 , -0.547607865126814 , 0.645149824934397 , -0.275768091017007 , 0.287415408849058 , -0.605010464488902 , 0.113617907533086 , -0.728863657320527 , -0.445452502557887 , 0.238632070697436 , -0.523976796740424 , -0.717647617206917 , 0.102630639150691 , 0.723981868289519 , -0.273662763312849 , 0.634777442604018 , 0.391944190899966 , -1.00223634628504 , 0.0476069478431954 , 0.458811318162395 , 0.818726200179074 , 0.897876837971498 , -0.0186215994725105 , -0.124759676785499 , 1.35479820857218 , 0.432826716819839 , 0.374790314606112 , -0.0202106883562723 , 0.931551084990734 , -0.245791291936508 , -0.901587891179733 , 0.692687229937378 , -0.124105174153958 , -0.544503876324246 , 0.110834138683264 , 0.864739601886045 , -0.329277948822909 , -1.07887800552031 , -0.267586169907735 | 0.9561218 |
| 26 | 50 | 0.0 | 0.0 | 1.0 | control , control , control , control , control , control , control , control , control , control , control , control , control , control , control , control , control , control , control , control , control , control , control , control , control , control , control , control , control , control , control , control , control , control , control , control , control , control , control , control , control , control , control , control , control , control , control , control , control , control , intervention , intervention , intervention , intervention , intervention , intervention , intervention , intervention , intervention , intervention , intervention , intervention , intervention , intervention , intervention , intervention , intervention , intervention , intervention , intervention , intervention , intervention , intervention , intervention , intervention , intervention , intervention , intervention , intervention , intervention , intervention , intervention , intervention , intervention , intervention , intervention , intervention , intervention , intervention , intervention , intervention , intervention , intervention , intervention , intervention , intervention , intervention , intervention , intervention , intervention , 1.06034430641326 , -1.068719421866 , 0.265119820926612 , 1.82647237739747 , -0.664786813632529 , 1.17985035655537 , 0.546966727507934 , -1.17262784399077 , -0.245885069372325 , 1.23556859679854 , -2.36293051915875 , -0.828014491127261 , 0.788795692809224 , -0.494537078274637 , -0.188629106196001 , 1.71961908222957 , -2.48649255887375 , -0.580854791221461 , -1.04201553542849 , 2.23373821022799 , -0.168901678750858 , -0.0960963213471309, 0.758954772527984 , -0.395948221272054 , 0.151056874118427 , 0.150575365757804 , 0.176042051400131 , 0.376471312670037 , 0.832224418117653 , 0.50571145105316 , 1.67973293277887 , 0.185857299822554 , -0.854518202694084 , 0.544429784481341 , 0.0788549645373698 , -1.04068758402874 , 0.789952348662216 , 0.553740499512223 , -2.1357639018521 , 1.47498241633445 , -1.05843382897714 , -1.46816764944674 , 0.248550999217802 , -1.54366512657578 , 0.105563426242801 , -0.64533627097455 , 0.130928825043763 , -0.834098635583359 , 0.334221931894122 , 0.80891067584659 , -1.83982214618271 , -0.029791664158929 , -0.0788183899872154, 0.911386045730613 , -0.488843943395077 , -0.39350944646777 , 0.129147009965189 , -1.10808622693697 , 0.675769707683687 , 0.0553151906936399 , -0.357403762166476 , -0.62562122279586 , 1.28552495612353 , -0.841155689373195 , -0.468568014560368 , 0.0366263873695103 , 0.252868696463672 , -1.67309159705464 , 1.04869537583695 , 1.18286273275987 , 1.40770521207381 , -2.23347259703654 , 0.234838147614411 , 0.862109428574753 , -1.34956773715233 , 0.694371881257561 , -0.291927343088907 , 0.0456966375023335 , -1.57520495230616 , -0.999823407471054 , 1.90814015890735 , 1.28348791843681 , 0.637636029279964 , -0.459378396398178 , 0.731717197859081 , -0.945559228771929 , 0.0561154899783535 , 1.24434706430418 , 1.72286797453064 , 1.39647635606869 , -0.29068402212618 , -1.48313214436144 , 0.724808344265554 , -1.21638251058949 , 0.89459923524138 , 1.25712609531344 , 0.848540985536557 , -0.680717026409873 , 0.687526269195135 , 0.99086218332423 | 0.6737944 |
| 26 | 50 | 0.0 | 0.1 | 0.5 | control , control , control , control , control , control , control , control , control , control , control , control , control , control , control , control , control , control , control , control , control , control , control , control , control , control , control , control , control , control , control , control , control , control , control , control , control , control , control , control , control , control , control , control , control , control , control , control , control , control , intervention , intervention , intervention , intervention , intervention , intervention , intervention , intervention , intervention , intervention , intervention , intervention , intervention , intervention , intervention , intervention , intervention , intervention , intervention , intervention , intervention , intervention , intervention , intervention , intervention , intervention , intervention , intervention , intervention , intervention , intervention , intervention , intervention , intervention , intervention , intervention , intervention , intervention , intervention , intervention , intervention , intervention , intervention , intervention , intervention , intervention , intervention , intervention , intervention , intervention , -0.653150567586092 , 0.218432977361096 , 0.967344878265002 , 0.742145142598079 , -0.362291601970453 , -0.455768343683129 , -0.201454340928738 , -0.199185058298277 , 0.921130609379072 , 0.209490977003963 , -0.397107621258153 , -0.684697595520094 , -0.631028503712118 , -0.265657377197267 , 1.26521464978162 , -1.04382770332937 , 0.353525122993799 , 0.337323874287503 , -1.00589880843521 , 0.1084376888968 , 0.838231701715855 , -0.641392104888335 , -0.23858245864499 , 1.41631409886516 , -0.0458095432293804 , 0.846908999942195 , -0.226796259317846 , 0.167671844451286 , 0.097014638532546 , 0.264889303266557 , -0.0262291234330459 , 0.558072210657559 , -0.653367876341094 , 0.458268134881589 , 0.0824707137981812 , 0.27586443702286 , -0.458936720186143 , -0.0909611156164442 , -0.573299103336139 , 0.73030002716625 , -0.312661198035492 , -0.704751543721752 , 0.0469859206515196 , 0.419668689615552 , -0.334031201447805 , -0.610540766998787 , 0.432510024824459 , 0.404895410736071 , 0.873251512416501 , -0.358505791741682 , 0.302328625514106 , 0.513670163900495 , -0.247530843576096 , 0.25869422109513 , -0.781986002331382 , 0.463953406148294 , 0.0626640700934093 , 0.45324269003338 , -0.328226725546224 , -0.120393886393142 , -0.429690765788022 , 0.0626875188041441 , 0.0930478663515772 , -0.755158300613744 , -0.43985696488334 , 0.349674969135081 , -0.551614914245275 , -0.265499646823781 , 0.104606603430189 , -0.339906563477742 , 0.774159389247944 , -1.17002087807377 , 0.668782840808324 , -0.0415798769504857 , 0.0729750300591012 , -1.03764058231647 , 0.276703095392531 , -0.0579993125185838 , -0.518599007630512 , 0.308779469969181 , 0.853325892534138 , -0.858200850255154 , -0.597569519849275 , 0.509548035162585 , 0.320222728429074 , -0.027709995774092 , -0.0965196378663543 , 0.157415348163878 , -0.190002368298856 , 0.206861458659734 , 0.54496258964446 , -0.679224946056135 , -0.87387180850192 , 0.505758929715559 , 0.000472816434121357, -0.0122840815347843 , -0.318498026619314 , -0.249821082145759 , 1.13832117019402 , -0.418442724209316 | 0.4401858 |
| 26 | 50 | 0.0 | 0.1 | 1.0 | control , control , control , control , control , control , control , control , control , control , control , control , control , control , control , control , control , control , control , control , control , control , control , control , control , control , control , control , control , control , control , control , control , control , control , control , control , control , control , control , control , control , control , control , control , control , control , control , control , control , intervention , intervention , intervention , intervention , intervention , intervention , intervention , intervention , intervention , intervention , intervention , intervention , intervention , intervention , intervention , intervention , intervention , intervention , intervention , intervention , intervention , intervention , intervention , intervention , intervention , intervention , intervention , intervention , intervention , intervention , intervention , intervention , intervention , intervention , intervention , intervention , intervention , intervention , intervention , intervention , intervention , intervention , intervention , intervention , intervention , intervention , intervention , intervention , intervention , intervention , 0.441019402109874 , -1.03001293229168 , -0.487571307718835 , 0.140072897041454 , -0.0754922571796819 , -0.792880570875642 , 0.0160679517434411 , -1.95969074149079 , 0.660734550521754 , 0.515627275258533 , -1.66034054886795 , 1.20291786329018 , 0.367105204354342 , -0.0538704422855039 , -0.00127763123050936, 0.951921126571798 , -0.0602352632626416 , 0.859167289724053 , -1.04599049194333 , -0.0108801119581846 , 1.74876617929574 , 0.774702316802359 , -1.65551932453706 , -0.660915744748354 , 1.95968151706245 , 1.92820988688768 , -0.118966686633536 , -1.25676044590612 , 0.702408215387463 , 1.59513870519896 , -0.519125243943574 , 0.63365605996383 , -0.899512683263913 , -1.75695839803451 , 0.315448011362992 , -1.16148283733125 , 0.819681506903498 , 0.801839681511204 , 0.150831633993685 , -0.999801848514352 , 1.82232551697324 , 1.11406105153976 , -0.938159614831989 , -0.271896823327725 , 0.101192952713539 , -0.0931093233163971 , 0.165178672923576 , 1.24658178711658 , -0.588902514295397 , 0.927567850248159 , 0.54937525165673 , -0.692348795614764 , 1.02050068917943 , 1.51334840623113 , -0.562501500559122 , -0.972830402818846 , -1.18220005170407 , 1.19094595315227 , -0.242513075982633 , 1.45275140543894 , 0.518468163424118 , -0.545164518651354 , -0.929581794088191 , -0.439556434332691 , -1.03959587558043 , 0.767080037729545 , -1.18317252924875 , 0.940702168070873 , -1.65093767589186 , -1.05678769805126 , 0.738917179334835 , -0.493658866916308 , -1.38254683554577 , 0.656535936222068 , -1.82421973231876 , 0.181296411393418 , -1.42389252604403 , -0.411214693076511 , 0.52981878720438 , -0.0990338666855889 , -2.02837742737903 , 0.972691183121866 , 2.09572851596709 , -0.0246725379675962 , -0.893714724061174 , 1.47724017084893 , -0.248147218421917 , -0.31406613979867 , 0.891696292213754 , 0.229066106350335 , 0.411994212385743 , 0.560078039524492 , -0.342187748111911 , -0.212950509401319 , -0.159759899807221 , 1.3236549373038 , 1.45741879654035 , -0.850513312794783 , -1.09015251892398 , -0.944398916465578 | 0.4486879 |
| 26 | 50 | 0.5 | 0.0 | 0.5 | control , control , control , control , control , control , control , control , control , control , control , control , control , control , control , control , control , control , control , control , control , control , control , control , control , control , control , control , control , control , control , control , control , control , control , control , control , control , control , control , control , control , control , control , control , control , control , control , control , control , intervention , intervention , intervention , intervention , intervention , intervention , intervention , intervention , intervention , intervention , intervention , intervention , intervention , intervention , intervention , intervention , intervention , intervention , intervention , intervention , intervention , intervention , intervention , intervention , intervention , intervention , intervention , intervention , intervention , intervention , intervention , intervention , intervention , intervention , intervention , intervention , intervention , intervention , intervention , intervention , intervention , intervention , intervention , intervention , intervention , intervention , intervention , intervention , intervention , intervention , 0.889121651091347 , 0.127507217563907 , -0.961952870670979 , 0.560890753856307 , -0.246703770210562 , 0.355879034027291 , -0.599837549475442 , 0.672955769061724 , -0.65147700244903 , 0.683940497001606 , -0.245115523993365 , 1.07207396944351 , -0.179749804189253 , 0.870055834994819 , -0.293143223851508 , 0.00790124280068223 , -0.31309248316376 , -0.424358740230514 , 0.547444436247485 , 0.41467474548663 , 0.799968331178525 , 0.0360822869001847 , 0.0734316761761133 , 0.039757544051629 , -0.0508030000639881 , -0.292574606817751 , -0.314254699631682 , 0.356595785422151 , 0.0535339924739021 , -0.178256841515762 , -0.399892490406359 , -0.237765900980031 , -0.243279038656084 , 0.413467509112905 , -0.106494087002962 , -0.72224121406162 , 0.655563451593237 , -0.534483881780976 , 0.22173607970802 , 1.11004661298772 , -0.367348787227682 , 0.587830673026219 , -0.180967022466534 , 0.602730250396185 , 1.13893355181463 , 0.131371546473464 , 0.216781801699309 , 0.756186229513685 , 0.21714859540421 , 0.130441233861066 , 0.60743454980348 , -0.337079875227537 , 0.304036012268848 , 1.23243520243451 , 0.635703094955687 , 0.355012034103597 , 0.348069313037903 , 1.18952651659021 , 0.729896920007617 , 0.880738394095934 , 0.152295210493546 , -0.130299586834341 , 0.918307323156577 , 0.15280820268888 , -0.00645331222360701, 0.571646318557054 , 0.460167412423619 , -0.143175557022061 , 0.8213109153964 , 0.436679600873345 , 0.656700577542303 , 0.00371731221652594 , 1.6113126178861 , 0.714118789656236 , 0.449088667066842 , 1.09843758252281 , 1.02104936517712 , 0.262625568695901 , 1.10107652835596 , 0.871172006612905 , -0.585289250565808 , 0.980545022091181 , -0.747074206584696 , 0.657395687037023 , 0.939989530613965 , 1.26080224566109 , 0.88004086947455 , -0.389194898119176 , 0.824944288486056 , 0.222813142779725 , 0.7384854049146 , 0.745355236075563 , 1.1415785424813 , 0.846011679894692 , 1.672382209953 , 0.817892160319499 , 0.900747134944057 , -0.0660970924077441 , -0.23018562413921 , 0.771133274102541 | 0.0000559 |
| 26 | 50 | 0.5 | 0.0 | 1.0 | control , control , control , control , control , control , control , control , control , control , control , control , control , control , control , control , control , control , control , control , control , control , control , control , control , control , control , control , control , control , control , control , control , control , control , control , control , control , control , control , control , control , control , control , control , control , control , control , control , control , intervention , intervention , intervention , intervention , intervention , intervention , intervention , intervention , intervention , intervention , intervention , intervention , intervention , intervention , intervention , intervention , intervention , intervention , intervention , intervention , intervention , intervention , intervention , intervention , intervention , intervention , intervention , intervention , intervention , intervention , intervention , intervention , intervention , intervention , intervention , intervention , intervention , intervention , intervention , intervention , intervention , intervention , intervention , intervention , intervention , intervention , intervention , intervention , intervention , intervention , -1.46773707836739 , 0.361751675882459 , 0.24127371766478 , -1.91810412587947 , -0.344284234009581 , -0.918687393280517 , -0.94803176346078 , 1.17071452558337 , 0.187101800937703 , 0.0584741347542409 , 1.12529366768154 , -0.756396550543152 , -0.156375708352725 , 1.04565401381275 , 0.15845716899698 , 0.674273605129278 , -0.154412633123522 , 1.09166363215833 , 1.18107842093739 , 0.017775630320964 , 0.431417036477074 , -0.441393658482484 , -0.532930435456456 , -0.54512857488706 , 0.275771879250537 , -0.325356076861152 , 0.266488867951463 , -0.10783668592748 , -1.96206461165555 , -0.803011855671572 , 0.470098572774625 , -0.40718492982634 , 0.977301796506874 , 1.10401909330078 , -0.610687444039365 , -0.85337884862649 , -1.71261308849297 , -0.64255847346472 , 0.412300822648701 , -0.248814123089063 , 0.547445965637236 , -1.50201830853121 , -0.0592301952286705, -2.18025825166509 , 0.987874115622512 , 0.248133601202761 , -0.0408125735510229, 1.71156931372336 , 1.36982617251301 , -0.58881990956941 , -0.0293936661280719, 0.313973724153345 , 0.371660191987076 , -1.01461083738056 , 0.170980390949495 , 0.258689658593214 , -0.0393871631913935, 2.01142359155636 , 0.340776167596119 , -0.128761427995482 , -0.929395076308883 , 2.81935437598381 , 0.00580843212371784, 0.978520625605446 , 0.942968977874773 , -1.35586871816946 , -0.238825696144006 , -0.443461636044151 , -0.858742570423799 , -0.0348058783983647, 2.54070143809389 , 0.102044079023311 , 0.530467001908434 , 0.317166941867486 , -1.02211177273706 , 0.978003605678762 , -0.645154219086858 , 2.06100596084275 , 1.27913914302295 , -0.197901457313364 , -0.143122521678947 , 0.853667439926031 , 0.200792263984897 , 0.979299501274382 , 0.371145422534179 , 0.19841903667949 , 2.0532052233638 , -0.647773518719074 , 0.924071882824574 , 1.78986264441315 , 1.87668326042356 , 1.94909285579088 , 0.457422689247574 , 0.831596775587519 , 0.011034296546423 , -0.177811487434055 , 1.29778558545036 , 0.881644582622756 , 1.70506918170717 , 0.29634402852424 | 0.0028979 |
| 26 | 50 | 0.5 | 0.1 | 0.5 | control , control , control , control , control , control , control , control , control , control , control , control , control , control , control , control , control , control , control , control , control , control , control , control , control , control , control , control , control , control , control , control , control , control , control , control , control , control , control , control , control , control , control , control , control , control , control , control , control , control , intervention , intervention , intervention , intervention , intervention , intervention , intervention , intervention , intervention , intervention , intervention , intervention , intervention , intervention , intervention , intervention , intervention , intervention , intervention , intervention , intervention , intervention , intervention , intervention , intervention , intervention , intervention , intervention , intervention , intervention , intervention , intervention , intervention , intervention , intervention , intervention , intervention , intervention , intervention , intervention , intervention , intervention , intervention , intervention , intervention , intervention , intervention , intervention , intervention , intervention , 0.838255386501499 , 0.276909442663099 , -0.0814334495042507, 0.209999080168331 , 0.752884624751553 , 0.600374323248407 , -0.327723680381901 , -0.172903203679728 , -0.381319242249634 , -0.107660508866362 , 0.097102398913897 , 0.406827347031749 , -0.654502047885861 , -0.070760266619677 , 0.36574961271856 , 0.392364648117412 , -0.13547693311232 , 1.02997828811605 , -0.251501069812005 , 0.361561319338876 , 0.424023362034611 , -0.125164042245904 , 0.524785973933709 , 0.125637972234181 , 1.5543654879025 , 0.448660400260397 , -0.315439198368267 , -0.135019625150562 , -0.971722438661543 , 0.0310285796636203 , 0.130526408694182 , 0.86120986056918 , 0.785139383034784 , 0.160781696695283 , 0.576979541947824 , -0.0538873910541455, -0.0667469705262918, -0.30802236288212 , 0.994420154097597 , -0.247222531210115 , -0.405710448297455 , 0.12435412691813 , 0.47362683440862 , 0.119121688359954 , 0.492075632625045 , -0.479507770685428 , -1.17844011051909 , -0.333615589139499 , -0.802277248663456 , 1.12843124391352 , 0.358213377666085 , -0.0489785551417611, -0.803251318641106 , 0.0507397786211182 , 0.440509192578183 , 0.680667898752557 , 0.456515579106273 , -0.637040483347094 , 1.56987234385165 , 0.112894757740715 , 0.542105286050221 , 0.0588983136240188 , 0.480599845498149 , -0.295699205561249 , 0.855697412243415 , 0.13131422687827 , 0.492120289930807 , 0.146930138063074 , 0.430523031647864 , 0.813169741449011 , 0.436744931514728 , 0.940437843064766 , 0.0282189758135707 , 0.512678626723726 , 0.413139636516885 , 0.719769249001159 , 0.4223522393831 , 1.44552371358975 , 0.137327249251142 , 0.683860331832942 , -0.047650391217567 , 0.21990608784455 , 0.409867073892211 , 1.25481469522498 , -0.372596412724602 , 0.144148716942978 , 0.673694168303366 , 0.484335178611873 , 0.806764114763598 , 0.209756301618855 , 0.421671945624249 , 0.630047488767459 , 0.832887930121834 , -0.369920567142507 , -0.154946842551161 , 0.817626233061234 , 0.796189249356176 , 0.00426212938436116, 0.507595818383573 , 0.0329409461083051 | 0.0191087 |
| 26 | 50 | 0.5 | 0.1 | 1.0 | control , control , control , control , control , control , control , control , control , control , control , control , control , control , control , control , control , control , control , control , control , control , control , control , control , control , control , control , control , control , control , control , control , control , control , control , control , control , control , control , control , control , control , control , control , control , control , control , control , control , intervention , intervention , intervention , intervention , intervention , intervention , intervention , intervention , intervention , intervention , intervention , intervention , intervention , intervention , intervention , intervention , intervention , intervention , intervention , intervention , intervention , intervention , intervention , intervention , intervention , intervention , intervention , intervention , intervention , intervention , intervention , intervention , intervention , intervention , intervention , intervention , intervention , intervention , intervention , intervention , intervention , intervention , intervention , intervention , intervention , intervention , intervention , intervention , intervention , intervention , -0.375136798362559 , -0.769263996891469 , 2.05140702420402 , -0.123295069528033 , -0.0142606042708064 , 1.27584686512012 , 0.604721458268352 , -1.53491381701153 , 0.331800083858107 , -1.40373273512895 , -0.310631350076305 , -0.274838270957984 , -0.396712696113741 , -0.849107133486066 , 0.903700764796917 , -0.0264897693950581 , -1.71275724021277 , 1.83927523463067 , 0.719935911343381 , -0.770149221383114 , 1.55385629307555 , 0.169050113519651 , 2.09082361507892 , -1.18310414485565 , 0.323496726118035 , 2.30810071667134 , -0.386116356948715 , 0.103195528999441 , -0.746257368528157 , 0.749792654794078 , -0.952802749047831 , -1.08759515656753 , 0.688438453494075 , 1.72222263274149 , 0.231379994294366 , -0.34783138843795 , 0.394647070667148 , -0.0238230716867141 , -0.355371028140219 , 0.132630398615065 , 1.01946964398924 , 0.760218778543586 , -0.216383779276971 , 0.292004561875917 , 2.89745839071276 , -0.774938988332669 , -0.586454045973439 , 1.48138722122067 , 0.035512824182413 , 1.213745464325 , 1.60911014784093 , -0.438270248836856 , 1.21745388098589 , -1.31245634082084 , 2.3974204319775 , 2.4341895788852 , 0.238428022378018 , -0.00216315974713011, 0.989500495246545 , 2.46467535861034 , -0.0646882649462588 , 1.47293900605616 , 0.976031549111875 , 1.69333091109139 , -1.29313710169782 , 1.48618674812886 , -0.67819700998554 , 0.481918887584066 , 1.02258504127247 , 1.80072312434277 , 1.17095410758155 , 0.362296634848807 , -0.767474702552888 , 1.9831570375943 , 0.564069880255555 , 3.5889071118463 , 0.584292811888047 , 1.4667650312571 , 0.792930387927921 , 0.180822487183992 , 0.370187693286775 , 0.269972790182777 , 0.45126404595063 , 0.800291329688965 , -0.199211051178209 , 1.38631344592401 , 0.0124690472031557 , 0.320922247110259 , -0.376445901831396 , 1.08513265102092 , 1.47644515524286 , 0.887209550098289 , 2.3330796144929 , 0.163231179281125 , 0.776235101938465 , 0.572536389421142 , -0.477140855514426 , 2.84926430384878 , 1.32750940957327 , -1.45944366125782 | 0.0093262 |
| 27 | 20 | 0.0 | 0.0 | 0.5 | control , control , control , control , control , control , control , control , control , control , control , control , control , control , control , control , control , control , control , control , intervention , intervention , intervention , intervention , intervention , intervention , intervention , intervention , intervention , intervention , intervention , intervention , intervention , intervention , intervention , intervention , intervention , intervention , intervention , intervention , 0.278043285882984 , 0.123958705026557 , -0.21370889923249 , 0.813357085517853 , 0.51191893954437 , -0.366103810702529 , 0.522570000437698 , -0.425899457948297 , -0.03058711814467 , -0.584928631541521 , 0.580050163314938 , -0.615590053836326 , -0.465729890106946 , -0.438831132907576 , -0.097334194553554 , 0.10538220573689 , 0.205005734370957 , 1.20965166150903 , -0.187962839278406 , 0.102902995074246 , -0.211833410423236 , 0.368148678190324 , -0.0684647558095093, 0.134755872685993 , -0.0263562204551349, -0.530323029309818 , -0.253272753294894 , 0.958410287356223 , 0.163595538205851 , -0.143869267558693 , -0.213606138011763 , -0.0234807360180214, 0.116724681548611 , -0.170605120998903 , 0.430533673374765 , -0.0184914626521061, 0.205215035788126 , -0.244542791629659 , 0.142631302872537 , -1.38821929645549 | 0.5498394 |
| 27 | 20 | 0.0 | 0.0 | 1.0 | control , control , control , control , control , control , control , control , control , control , control , control , control , control , control , control , control , control , control , control , intervention , intervention , intervention , intervention , intervention , intervention , intervention , intervention , intervention , intervention , intervention , intervention , intervention , intervention , intervention , intervention , intervention , intervention , intervention , intervention , 0.553719365623414 , 0.471550078316956 , -0.575037817585964 , 0.0272033096626729 , 1.66505230956055 , 1.60850273054096 , -0.208795063701262 , -0.309987363091981 , 0.329993938641189 , -0.166491884559141 , 1.05240765750594 , -0.167324986770415 , 0.00508874269003247, 0.122180262585698 , 1.03774756028305 , -0.0365885142915554, 1.18556578374218 , -0.952788348636317 , 0.350024431259465 , -0.575430249891965 , 0.897665369560191 , 1.40236898429006 , -0.0292172999032849, 0.0271310243744063 , 0.0616037091135221 , 1.27638079825576 , -0.020914358993162 , -0.489989369359485 , -0.854018954129169 , -0.481977244100055 , 1.81941843817086 , 0.284101192052958 , 1.30166631325161 , -1.43648358844288 , -1.08615368748958 , -0.128480163755637 , -2.10251983694877 , 0.398447490424942 , 2.53326419257108 , -1.57293111196268 | 0.5670976 |
| 27 | 20 | 0.0 | 0.1 | 0.5 | control , control , control , control , control , control , control , control , control , control , control , control , control , control , control , control , control , control , control , control , intervention , intervention , intervention , intervention , intervention , intervention , intervention , intervention , intervention , intervention , intervention , intervention , intervention , intervention , intervention , intervention , intervention , intervention , intervention , intervention , 1.05251848546696 , 0.789262463135769 , 0.406224501078463 , -0.317041818960646 , 0.874782567460733 , 0.907694823342224 , -0.536174237426322 , 0.0972082640375323 , -0.22013172721487 , 0.153089770570615 , 0.305248434944988 , 0.112028735291994 , 1.22638316250842 , 0.15428114083459 , 0.327759056520255 , 0.0350691625477543 , 0.437386290989247 , 0.458037684787806 , 0.566039200365807 , 0.0984469957333672 , -0.396348787514023 , 0.0681504491969578 , -0.318356978270356 , 0.136714576445165 , -0.0980821778972116, -0.402748231639543 , -0.105939492334843 , -0.258424325525249 , -1.10269806139507 , -0.119509018268895 , -0.0549586664071709, 0.799273447852523 , -0.20074630178154 , -0.256270349185173 , 0.104550506704066 , 0.180269574417847 , -0.812540297587505 , -0.400061657997178 , -0.0723679386742742, 0.590397707959053 | 0.0013480 |
| 27 | 20 | 0.0 | 0.1 | 1.0 | control , control , control , control , control , control , control , control , control , control , control , control , control , control , control , control , control , control , control , control , intervention , intervention , intervention , intervention , intervention , intervention , intervention , intervention , intervention , intervention , intervention , intervention , intervention , intervention , intervention , intervention , intervention , intervention , intervention , intervention , 2.46676760445948 , 0.423192134380682 , -0.618188189223569, 0.408153920278202 , 0.955870456151499 , 0.364883744256781 , -1.76864931659217 , -0.199078764649123, -1.17322379836977 , -0.799131338352048, -0.669075471149582, -1.91260375358188 , 0.102888095806812 , -1.14743784481203 , 0.785975985008316 , -0.287266264082307, 0.111462366692781 , -1.10169903154168 , 1.04522815647046 , -0.738929309469393, -0.223526214330547, 0.121148771013395 , -2.74665788245949 , -0.115371166545481, -0.478478712966588, -1.50604506595832 , 0.612897126130607 , 0.05493884325077 , 1.41939668470744 , -1.29331316725045 , 0.329961154970832 , 0.316477837327297 , -1.22544198817812 , -1.31727442697 , 1.45866589060177 , 0.421630855119274 , -1.78082337826042 , -1.53343584286292 , -1.91086837707692 , -0.601706863540727 | 0.3740071 |
| 27 | 20 | 0.5 | 0.0 | 0.5 | control , control , control , control , control , control , control , control , control , control , control , control , control , control , control , control , control , control , control , control , intervention , intervention , intervention , intervention , intervention , intervention , intervention , intervention , intervention , intervention , intervention , intervention , intervention , intervention , intervention , intervention , intervention , intervention , intervention , intervention , -1.01295111905165 , 0.66543183873509 , -0.538367135421613 , -0.106870875353614 , 0.520081380227626 , -0.923988017977436 , -0.405058571351306 , 0.179289115633716 , -0.0715090525696515, -0.227442387548396 , 0.37583293981232 , -0.132746631013194 , -1.03814849343698 , 0.0333306552757359 , 0.288567829118259 , -0.159813849890953 , 0.679325177109816 , 1.05980946857451 , 0.854137785231049 , -0.776318285933446 , 1.40474126854259 , 0.849450219563094 , 1.1979287416604 , 0.659467027125404 , 1.3914387225666 , 0.795021902712451 , -0.921178784890726 , 1.10476151696417 , 0.504341578605191 , 0.223195872779758 , 1.17280655790683 , -0.150474300122625 , -0.293266981833692 , 0.962535896018085 , 0.847923479407411 , 1.10780031316401 , 0.939353654947056 , 0.0856867910271613 , 0.27237346133659 , 1.44778237657157 | 0.0009019 |
| 27 | 20 | 0.5 | 0.0 | 1.0 | control , control , control , control , control , control , control , control , control , control , control , control , control , control , control , control , control , control , control , control , intervention , intervention , intervention , intervention , intervention , intervention , intervention , intervention , intervention , intervention , intervention , intervention , intervention , intervention , intervention , intervention , intervention , intervention , intervention , intervention , -0.728419163375897 , 2.11920790273013 , -0.258748627061627 , -0.978233231012322 , -0.0479664767881972, -0.273885441577326 , 0.944172921320892 , 0.82054376086308 , 0.527571616187886 , 0.19983667151186 , -0.134158727833249 , 0.279245253331815 , -1.83715400123043 , -1.14482770553647 , 0.769994300829138 , -0.137708577471539 , 1.17294549000745 , -0.708425602907061 , -0.500116232419378 , -1.46090390886221 , 2.58844319291447 , -1.09173701539251 , 1.14147983709871 , 0.842356927076323 , 0.502655791369522 , 0.264633989565041 , 0.0456228804877273 , 0.435535831156145 , 0.378691413338587 , 1.26382407547631 , -0.108127585776025 , 0.158870475822871 , -0.430563293026923 , 0.825380355436497 , 1.43200850363521 , 1.63240351973685 , 0.278203921910612 , -0.626663277081008 , -0.460201945352838 , 2.97020788653087 | 0.0394243 |
| 27 | 20 | 0.5 | 0.1 | 0.5 | control , control , control , control , control , control , control , control , control , control , control , control , control , control , control , control , control , control , control , control , intervention , intervention , intervention , intervention , intervention , intervention , intervention , intervention , intervention , intervention , intervention , intervention , intervention , intervention , intervention , intervention , intervention , intervention , intervention , intervention , -1.28418338312177 , 0.390222811456602 , 0.291661854982199 , -0.07389739218019 , 0.268090774803847 , 0.240525638691981 , 0.533778685513428 , -0.0216996529388173, 0.0820118038886572 , -0.576471851205699 , 0.497278468958461 , -1.03833294635937 , 0.557002517526113 , -0.97451578061885 , -0.577515779759044 , -0.0479160994215237, 0.667688587506676 , -0.436919620473015 , -0.237366243085512 , 0.00108291033639701, 0.485584054791364 , -0.0754739357081025, 0.230103368903974 , -0.739427125116953 , 0.326494784793321 , 0.786951791320359 , -0.673314356348076 , 0.962890501769245 , 0.512019642506417 , 1.3860305565189 , 0.235583518837005 , 0.406270292872749 , 0.173912971042743 , 1.13958448504733 , 1.01846445025728 , 0.855032971788344 , -0.0820808839877045, 0.234203350065827 , 1.48936777724739 , -0.642421576727693 | 0.0152048 |
| 27 | 20 | 0.5 | 0.1 | 1.0 | control , control , control , control , control , control , control , control , control , control , control , control , control , control , control , control , control , control , control , control , intervention , intervention , intervention , intervention , intervention , intervention , intervention , intervention , intervention , intervention , intervention , intervention , intervention , intervention , intervention , intervention , intervention , intervention , intervention , intervention , 0.0242336400954291 , 1.32742593447937 , 0.11199891303369 , -0.0710682545256588, 0.409165354705408 , 1.00754859642868 , 0.851194937556052 , 1.12361365418453 , -1.60048368764245 , -0.322953391846867 , -0.348497598174177 , 3.5209403543308 , -0.920544406166845 , 0.103772255924459 , 0.352247642458821 , 0.204138596999361 , -0.323523205541955 , -0.134685850793639 , 0.505772386750658 , 0.094664885928748 , 2.12453299569218 , -0.477209088789345 , -0.0425562019602205, -1.42532311036711 , 0.110853747636619 , -1.74153261042115 , 2.29803138386777 , -0.411625214167193 , 0.771693794232438 , 3.10862784859982 , 1.22249737920156 , 1.32287225507565 , -0.0678469486859163, -0.730264312113589 , 0.21907806715075 , -0.0547635269908621, -0.343726431815482 , 0.61744323757122 , -0.725290180278286 , 1.48183968797328 | 0.8538210 |
| 27 | 50 | 0.0 | 0.0 | 0.5 | control , control , control , control , control , control , control , control , control , control , control , control , control , control , control , control , control , control , control , control , control , control , control , control , control , control , control , control , control , control , control , control , control , control , control , control , control , control , control , control , control , control , control , control , control , control , control , control , control , control , intervention , intervention , intervention , intervention , intervention , intervention , intervention , intervention , intervention , intervention , intervention , intervention , intervention , intervention , intervention , intervention , intervention , intervention , intervention , intervention , intervention , intervention , intervention , intervention , intervention , intervention , intervention , intervention , intervention , intervention , intervention , intervention , intervention , intervention , intervention , intervention , intervention , intervention , intervention , intervention , intervention , intervention , intervention , intervention , intervention , intervention , intervention , intervention , intervention , intervention , -0.366654894364392 , -0.268235575747392 , -0.314595842153146 , 0.126726557446803 , 0.760271047224023 , 0.110667943539616 , -0.344955316630514 , 0.141322744820324 , -0.294569786764408 , 0.272373749825335 , -0.218571178317972 , -1.07511518280153 , 0.518813229287641 , -0.485792899576325 , 0.526082893879938 , 0.204521435061813 , -0.0443983415481513, 0.875778958834252 , -0.30884655999364 , -0.435567874069527 , 0.824007571119748 , 0.0851613143607643 , 0.507988367204861 , -0.336635197070462 , -0.0274591805762893, 0.0730667741429416 , -0.280706899894032 , 0.244240952784746 , -0.453353244565816 , -0.778040791895062 , 0.730349695525745 , -0.0630404472757403, 0.37160417456172 , 0.33602785616276 , -0.630164267064007 , 0.09607165358677 , 0.384745243930204 , 0.402629296323447 , -0.174784063596057 , 0.275498946611855 , -0.742654659889255 , 0.503943233541392 , 0.412368093002488 , 0.322825755356226 , 0.154626439221748 , -0.476208218488791 , 0.363066462593917 , -1.14818883971491 , 0.878051821523043 , -0.255382289466923 , -0.220219480376921 , 0.426620548739578 , -0.186694016901741 , -0.0486520408214167, 0.673655463073172 , -0.901913036580139 , 0.280977216298159 , -0.299953954095918 , -0.250866340376489 , 0.452049083142739 , -0.157731189319317 , -0.605638728637404 , 0.508601586813882 , -0.549689851182614 , -0.140868456639132 , 0.191996770865348 , 0.360116465274053 , 0.290820898635334 , -0.289577312349948 , 0.0280313412709505 , 0.0971734643827911 , 0.269575280773002 , 0.182013448093899 , 0.063566299738909 , -0.907819303166099 , 0.00181874846686304, -0.219612940644825 , 0.686889198845003 , -0.371970084663594 , 0.32120312152153 , 0.497553476682215 , -0.348689719678166 , -0.443597216142491 , -0.28827629642484 , -0.341301050791958 , -0.380549338900933 , 0.0760204479456442 , -0.0660291773580748, -0.12415441249606 , -0.602457939329252 , -0.672543986682961 , -0.68392735004642 , 0.246268954326499 , 0.13753207323216 , 0.29339481605279 , 0.145481397605132 , -0.355792482215541 , -0.237148599797618 , 0.0459644150690467 , 1.06738281666278 | 0.4641428 |
| 27 | 50 | 0.0 | 0.0 | 1.0 | control , control , control , control , control , control , control , control , control , control , control , control , control , control , control , control , control , control , control , control , control , control , control , control , control , control , control , control , control , control , control , control , control , control , control , control , control , control , control , control , control , control , control , control , control , control , control , control , control , control , intervention , intervention , intervention , intervention , intervention , intervention , intervention , intervention , intervention , intervention , intervention , intervention , intervention , intervention , intervention , intervention , intervention , intervention , intervention , intervention , intervention , intervention , intervention , intervention , intervention , intervention , intervention , intervention , intervention , intervention , intervention , intervention , intervention , intervention , intervention , intervention , intervention , intervention , intervention , intervention , intervention , intervention , intervention , intervention , intervention , intervention , intervention , intervention , intervention , intervention , -0.446052421126507 , 0.955243723344502 , 0.880593717981979 , -0.102432820401638 , -0.134099465839107 , -0.942182303276887 , 0.493062016222793 , 1.06023892432462 , 0.942161990405737 , 1.54782422634937 , 0.115991346340266 , 0.950352773412961 , -0.91644469987559 , 2.20091580385874 , -2.61469210711138 , 0.661305117358952 , 1.60258454984696 , -0.213904398049309 , -0.019707303303919 , 1.31338862482645 , -2.44799158051158 , 1.08449060862789 , -1.41955954135463 , -0.950119962016106 , -0.228372122443376 , -1.02129874559116 , 0.98263430488715 , 0.818011876682731 , -1.2029723906548 , -0.743827527811045 , -0.279868752824529 , -0.312879073056246 , -0.514287977384557 , 0.252182831694371 , -0.645053147610723 , 0.827659957583035 , 0.576746859225264 , -0.576752971261747 , 0.498015470858831 , -1.89059044226194 , 1.25509230462998 , 0.806645448579838 , 0.765659252720212 , -0.138615531980289 , -1.07432090605069 , 0.662902565097335 , 2.16787276507238 , -0.182794804354366 , 0.561890789880351 , -1.15420879786906 , -0.380297279789443 , 1.66497673725283 , 0.261611296765087 , 0.538174226072086 , -0.623387803236761 , 1.42963424085481 , -1.16603201496074 , -0.824272867580901 , 1.24520047644007 , -1.514149526121 , -0.508371477898157 , -0.505904867317115 , -1.28151702630919 , -0.183722720402948 , 0.851295359575521 , 0.165832460079504 , -0.450935282257437 , -0.741616958091596 , 0.200499570469679 , 0.145771242332991 , 0.910081034613962 , -1.63849067020912 , 0.258697831940041 , 0.610135112772613 , 0.855299783417005 , -0.297556823795338 , 0.179489961985604 , -1.88041783448903 , -0.605506756932745 , -0.690046818148078 , -0.187013918949332 , 1.37137233653576 , -0.473449285693748 , 1.76171843844027 , -0.345317742284839 , -2.09367679736391 , -1.16784559882336 , 1.14125246795617 , -0.0692159620677343, 0.646880611147127 , 0.483679847853561 , -0.193195241748058 , -0.0940415883865769, 0.507447416158268 , 0.716591313505221 , -0.840890294148105 , -1.96865333376551 , -0.812998208154193 , 0.586305851541197 , 0.0250436071380246 | 0.3876495 |
| 27 | 50 | 0.0 | 0.1 | 0.5 | control , control , control , control , control , control , control , control , control , control , control , control , control , control , control , control , control , control , control , control , control , control , control , control , control , control , control , control , control , control , control , control , control , control , control , control , control , control , control , control , control , control , control , control , control , control , control , control , control , control , intervention , intervention , intervention , intervention , intervention , intervention , intervention , intervention , intervention , intervention , intervention , intervention , intervention , intervention , intervention , intervention , intervention , intervention , intervention , intervention , intervention , intervention , intervention , intervention , intervention , intervention , intervention , intervention , intervention , intervention , intervention , intervention , intervention , intervention , intervention , intervention , intervention , intervention , intervention , intervention , intervention , intervention , intervention , intervention , intervention , intervention , intervention , intervention , intervention , intervention , 0.362880270423051 , 0.585040512360668 , 0.197177762158171 , -1.65260356619256 , -0.0616494702701774 , 0.365013790367638 , -0.57129186002641 , 0.0273393094696912 , -0.507747502614792 , 0.9329093025926 , -0.29372083007253 , -0.240375560207623 , 0.289693038703121 , 1.04400173511907 , 0.452853577419572 , -0.232924455581356 , -0.599583038708015 , -0.196228011822871 , -0.326784825666115 , -0.717313092021649 , 0.797494758286231 , 0.179833383402957 , -0.71569832863697 , -0.222984972263125 , 0.4939482039128 , 0.441739036817086 , 1.23471433954911 , -0.36841707997264 , 0.259673372485939 , 0.702907758851267 , 1.30436078659729 , -0.159482669925946 , -0.247762820660345 , -0.339055152338375 , 0.392966264351081 , 0.438520795729 , -0.698280779478137 , 0.500275766083522 , 0.827324773031843 , -0.881140189167218 , -0.475722968786101 , 0.4322109285539 , -0.381936849544406 , -0.78029022217052 , 0.85036743780184 , 0.572449142425153 , -1.39121019243539 , 0.320603938874828 , -0.371353996438289 , -1.09150332510109 , 0.0124884138979711 , -0.548543059257879 , 0.614276189909821 , 0.213920186459165 , 1.18792723522797 , 0.173284152152128 , 0.0277803942891847 , 0.306054438473207 , -0.085273672734193 , -0.466749708804743 , 0.309395562439871 , -0.128283178013518 , -0.282805470836994 , 0.125145196147032 , 0.0145028392620848 , -0.584880999132203 , 0.324387807054184 , -0.427686663740786 , -0.436433376790959 , 1.02428447379594 , 0.100713871355305 , 0.66798122155609 , -0.117354571126462 , 0.319379680242323 , -0.262212247673881 , 0.777374306793892 , -0.439952560952834 , 0.45104702473537 , 0.330183745570083 , -0.248027157122879 , -0.737621399413616 , -0.542792941591452 , 0.568875716045475 , -0.10164073778301 , -0.0167211001033427 , 0.144800653701122 , 0.46397472670789 , -0.00475432747479982, -0.678576552091388 , 0.508996601987195 , 0.80425437360574 , -0.00751363124586301, -0.123822921168039 , 0.685848871117382 , -0.755791158689427 , -0.160212874925441 , -0.350829675720847 , -1.55984948211028 , 1.15445404133403 , 0.250140773081989 | 0.7385839 |
| 27 | 50 | 0.0 | 0.1 | 1.0 | control , control , control , control , control , control , control , control , control , control , control , control , control , control , control , control , control , control , control , control , control , control , control , control , control , control , control , control , control , control , control , control , control , control , control , control , control , control , control , control , control , control , control , control , control , control , control , control , control , control , intervention , intervention , intervention , intervention , intervention , intervention , intervention , intervention , intervention , intervention , intervention , intervention , intervention , intervention , intervention , intervention , intervention , intervention , intervention , intervention , intervention , intervention , intervention , intervention , intervention , intervention , intervention , intervention , intervention , intervention , intervention , intervention , intervention , intervention , intervention , intervention , intervention , intervention , intervention , intervention , intervention , intervention , intervention , intervention , intervention , intervention , intervention , intervention , intervention , intervention , 0.0219320837300856 , 0.875595096990783 , 1.41211345639986 , -0.124055688320407 , 1.42986304592559 , -1.60244307962668 , 0.484543321150999 , 0.108442278166727 , -0.102252166973439 , -0.884076772182702 , 0.773001695177477 , 2.0139147212252 , -0.192237794180289 , -1.3886926692914 , -1.68649131104581 , 0.478241875812436 , -0.0195089677361377 , 1.32548477116204 , -1.28427952257444 , 2.53297983512926 , 0.963853746463275 , -0.829215936642179 , -0.343062298893232 , 0.428462447252369 , -0.985168006360523 , 0.231969280393736 , 1.74464837412997 , 0.536244571700325 , -0.861251665517441 , 0.347694832423394 , 2.03193042864118 , 2.0766121311175 , 0.534046547342401 , 1.19861958629515 , 2.27861965683986 , -1.45419131449972 , 0.719474946453657 , 0.192987826198702 , 0.351755981631529 , 0.854019006282677 , 2.20569509166813 , 1.45312117455231 , 1.02326507993713 , -1.18348994690438 , 0.283024895985543 , -0.528781384834151 , 1.29976031442313 , -0.477754894211566 , -0.105058789102673 , -0.764236508745472 , 1.7339172691048 , -0.435339687782514 , 1.35486666553018 , 0.216154545215577 , -1.31171908187442 , -0.881764866355146 , 0.619745512301314 , -0.712341836849995 , -0.00817654982677347, 0.68060296545624 , -0.766285271169212 , 0.392606123338947 , -0.243691889111194 , -0.0480145307189198 , 0.846926701271906 , 0.622593541222976 , 0.750720800362961 , 1.03697462944502 , -0.149823545791724 , -0.709990621328554 , 0.80478129940525 , -1.03275798345033 , 1.68356956289874 , -1.18672282614767 , 0.482284931166129 , 1.92464279504141 , -0.785402939630941 , -0.430388957711342 , 0.324095410090306 , 1.10288650271832 , 0.71456204767551 , -0.00543160289408942, -1.38400263166668 , 0.474529739076056 , 1.14042393788355 , 1.27942103970206 , 0.35475800189382 , -0.556879804572313 , -0.0400533573241609 , 0.360130439997844 , 1.66045839336772 , 1.34970736352612 , 1.81361378964218 , -0.892684539112645 , 0.302112197960343 , -0.491581348553171 , 1.71728395467622 , 1.06394450776151 , 2.84109226332341 , 1.31209284505863 | 0.8867533 |
| 27 | 50 | 0.5 | 0.0 | 0.5 | control , control , control , control , control , control , control , control , control , control , control , control , control , control , control , control , control , control , control , control , control , control , control , control , control , control , control , control , control , control , control , control , control , control , control , control , control , control , control , control , control , control , control , control , control , control , control , control , control , control , intervention , intervention , intervention , intervention , intervention , intervention , intervention , intervention , intervention , intervention , intervention , intervention , intervention , intervention , intervention , intervention , intervention , intervention , intervention , intervention , intervention , intervention , intervention , intervention , intervention , intervention , intervention , intervention , intervention , intervention , intervention , intervention , intervention , intervention , intervention , intervention , intervention , intervention , intervention , intervention , intervention , intervention , intervention , intervention , intervention , intervention , intervention , intervention , intervention , intervention , 0.404195000978203 , 0.0858645583420469 , -0.433804674734388 , -0.661883289060914 , -0.146194978640175 , 0.989572163578814 , -0.603377537553738 , 0.0741142937172585 , 0.311571841227481 , -0.573035160767894 , 0.307846111429358 , -0.358147333597299 , 0.627981631407045 , -0.206694751751194 , -0.27761515835083 , 0.188568574163952 , -0.554108448184565 , 0.119954246023317 , 0.184809586066731 , 0.722353983693086 , 0.0597057075172358 , -0.278679918667616 , -0.825412505977968 , 0.234287429397163 , 0.560115047340767 , -0.317766830440221 , -0.162150819650324 , -0.213443989224322 , 0.808003228689948 , -0.397474367948264 , -0.253348460563337 , -1.28270331760041 , -0.202989743554821 , 0.0820491939505067 , -1.45589031603819 , -0.371081119835878 , -0.00285596892222565, 1.17336195335533 , 0.136015193690503 , -0.489883854639574 , -0.331641050787508 , -0.0537445418295462 , -0.829211702927161 , 0.216359150928779 , -0.540137734037961 , 0.216782016317061 , 0.507291258935662 , 0.365911033852318 , -0.994197282761033 , -0.7323827145569 , 1.59222444588905 , -0.099348577658192 , 0.671502801285676 , -0.156271918106671 , 0.899987558803182 , 0.0966389269811455 , 0.0209942951683958 , 0.00332601760054191 , 0.557565606868035 , 0.753797473426219 , 0.537015735195775 , -0.343393208065856 , 0.910430250177488 , -0.297332705614154 , 0.169098932995804 , 0.560922344986882 , 0.151538898617702 , 0.0933603153903776 , 0.207237499495166 , 0.56906667623651 , 0.118147951800439 , -0.258393512078108 , 0.48766404414974 , 0.0485356435149021 , 0.0725911504626835 , 0.466963221368893 , 0.304296498831001 , 0.366011142120641 , 0.493238086005916 , -0.306666664260775 , 0.979509044871458 , 0.0892623375576024 , 0.747082035523926 , 0.375088976179304 , 1.01203633712454 , 0.398865244114167 , 0.765819078362223 , 0.49742233988674 , 0.55626871046074 , 1.86412213586412 , 0.18501233099062 , -0.320512882896794 , 0.424074658878588 , 0.104388912182286 , -0.383370601877437 , 1.1418583908749 , 1.28610488728601 , 1.30515600831679 , 0.77822506800417 , 0.466624863147219 | 0.0000028 |
| 27 | 50 | 0.5 | 0.0 | 1.0 | control , control , control , control , control , control , control , control , control , control , control , control , control , control , control , control , control , control , control , control , control , control , control , control , control , control , control , control , control , control , control , control , control , control , control , control , control , control , control , control , control , control , control , control , control , control , control , control , control , control , intervention , intervention , intervention , intervention , intervention , intervention , intervention , intervention , intervention , intervention , intervention , intervention , intervention , intervention , intervention , intervention , intervention , intervention , intervention , intervention , intervention , intervention , intervention , intervention , intervention , intervention , intervention , intervention , intervention , intervention , intervention , intervention , intervention , intervention , intervention , intervention , intervention , intervention , intervention , intervention , intervention , intervention , intervention , intervention , intervention , intervention , intervention , intervention , intervention , intervention , -0.389292485547452 , -0.43056048544626 , 0.615943850716309 , 0.164166763314418 , -0.82256956611389 , 0.99535864945903 , 3.00999081351617 , 0.846118596455113 , 0.0011918129819595 , 0.280187202231985 , 1.66532763544297 , -0.505262250215358 , 0.648718342550545 , 0.979308880316739 , -0.323604415582489 , -1.51594874588289 , 0.675525860650213 , -1.43167733710049 , 0.20180574178131 , -1.14700606274349 , 0.136369489162308 , -0.480690740807574 , -0.962831875401034 , -0.264820898182649 , -1.10202018088038 , 1.51218891037052 , 1.58267748068 , -0.230373965545993 , -2.04151853681174 , 1.9630697851294 , -0.0760226882401068, 0.494880027657966 , -1.07242922653041 , 1.26610991389059 , 0.544033069336277 , 0.201659501229138 , -1.08910949496855 , 1.4680325210686 , 0.686076105114699 , 1.49463076715968 , 0.669161288082146 , -0.789940584203977 , 1.85834532945511 , -0.0971243808240948, 0.325900064917251 , 0.0205267907832661 , 1.12161419690244 , -2.18771236958147 , -1.08039677083285 , 0.636747162454065 , 0.878608168057399 , -0.74301615338104 , 1.10173474860329 , -0.308415533125688 , 1.16125562219263 , 2.43294906996913 , 1.15987397003332 , -0.485595938461085 , 0.976795475140276 , 0.412166056992176 , 1.12831852568127 , -0.0925660259222649, -0.0213793022229877, -0.596058601263355 , -0.682924234748539 , 1.18294473533931 , 2.43535598235837 , -0.179143858598724 , -0.156594507755088 , 1.36743926737233 , 0.996919697182519 , 1.77781773233267 , 0.651535796186364 , 1.28234444247651 , 0.83143329156911 , 0.740945955629746 , 0.580614474583536 , 2.74678988315849 , 1.14072199142179 , -0.403205413212924 , -0.420530585244538 , 1.19371205037799 , 2.00795588720886 , 1.18168785845229 , -0.229183800749242 , 1.02578485158966 , 1.05235827365416 , 2.46505308616263 , -0.654501672221387 , 0.626674366321101 , -2.14220244823562 , -0.782408902206472 , 1.05339271913636 , -0.831444360361049 , 1.09165691898326 , -0.397702099243937 , -2.2223161229592 , 0.0875145537992673 , 1.58026304306555 , -0.573572229946574 | 0.0962423 |
| 27 | 50 | 0.5 | 0.1 | 0.5 | control , control , control , control , control , control , control , control , control , control , control , control , control , control , control , control , control , control , control , control , control , control , control , control , control , control , control , control , control , control , control , control , control , control , control , control , control , control , control , control , control , control , control , control , control , control , control , control , control , control , intervention , intervention , intervention , intervention , intervention , intervention , intervention , intervention , intervention , intervention , intervention , intervention , intervention , intervention , intervention , intervention , intervention , intervention , intervention , intervention , intervention , intervention , intervention , intervention , intervention , intervention , intervention , intervention , intervention , intervention , intervention , intervention , intervention , intervention , intervention , intervention , intervention , intervention , intervention , intervention , intervention , intervention , intervention , intervention , intervention , intervention , intervention , intervention , intervention , intervention , 1.26917750187875 , 0.116723009617239 , -0.770369467985827 , -0.0737764891045598, 0.0419318668082554 , -0.101564875619344 , -0.696011269013155 , 0.575846954320571 , 0.325697048354377 , -0.496672275828764 , 0.323988081572921 , -0.0685083261413453, 0.68223124471203 , 0.780709330726605 , 0.10606714653309 , -0.302779115295973 , 0.843922939238748 , 0.956920983937362 , 0.0487714132531478 , 1.38959210398039 , 0.709912193768738 , 0.172739525943836 , 0.0536931463559196 , 0.681839117773084 , -0.316831654218884 , -0.351546403277361 , 0.434473391398796 , -0.067076204531026 , 0.135875882349193 , 0.345419349332003 , 0.448343682501319 , -0.507352409327594 , -0.0291254839309527, 0.567068741927623 , 0.274952942960087 , 0.0311448416797185 , -1.20230628695139 , 0.0801571594766992 , 0.602101305505171 , 0.17938300250033 , 0.372394292999498 , -0.396239297383289 , -0.460737600123624 , 0.410991908440996 , 0.0268169038914787 , 0.187597464625199 , -0.217253350005947 , -1.00702668656843 , 0.146120352736605 , 0.0177911910571568 , 0.577789757781763 , -0.185856778027922 , 1.53370444510646 , 0.385343790498423 , 0.285661606507697 , 0.345344570289018 , 0.25772685756546 , -0.0602328130718812, 0.480077324162858 , 0.331606962798838 , 0.556813448705362 , 0.524993605099655 , 0.910178346059689 , 0.77943134182114 , 1.1323021975833 , 0.846556368140188 , 1.00442817524397 , 1.00882831495229 , 1.52203176484325 , 0.0770181590025609 , 0.809971821841064 , 0.805605046593051 , 1.2430509796479 , 0.642739619877241 , 1.02709383816054 , 1.85951242444891 , 0.337678542846145 , 0.740780273656608 , 0.882291236750775 , 0.08418825944947 , -0.071541582585019 , 0.954249227581377 , -0.0557595131342878, 0.779547615218669 , 0.211909747331071 , 0.843008263175623 , 0.0451114945514228 , 0.751053710009774 , -0.417029278944254 , -0.077325856770453 , -0.076453474907109 , -0.250892419223233 , 1.31371082244668 , 0.787022673129897 , 0.939215162969534 , 0.574898260942586 , 0.0499347661347408 , 1.32341157774271 , -0.0583195043312941, 0.717048993340574 | 0.0000319 |
| 27 | 50 | 0.5 | 0.1 | 1.0 | control , control , control , control , control , control , control , control , control , control , control , control , control , control , control , control , control , control , control , control , control , control , control , control , control , control , control , control , control , control , control , control , control , control , control , control , control , control , control , control , control , control , control , control , control , control , control , control , control , control , intervention , intervention , intervention , intervention , intervention , intervention , intervention , intervention , intervention , intervention , intervention , intervention , intervention , intervention , intervention , intervention , intervention , intervention , intervention , intervention , intervention , intervention , intervention , intervention , intervention , intervention , intervention , intervention , intervention , intervention , intervention , intervention , intervention , intervention , intervention , intervention , intervention , intervention , intervention , intervention , intervention , intervention , intervention , intervention , intervention , intervention , intervention , intervention , intervention , intervention , 1.13402311433938 , -0.0424985521300376, 0.508638010663135 , -0.260042570976402 , 0.315189094139715 , 0.913634509453866 , 0.990113268227155 , -0.531097502720593 , 0.502813301724789 , 1.64132207717367 , -0.0257946854694403, -0.532137935635385 , 1.62441633361364 , 0.0392889971917935 , 0.81368363368887 , -3.06592714879029 , 1.33166364224706 , -0.528021318560429 , 0.521233765995895 , 0.208453838378855 , -0.0446342869446759, -0.126640874255575 , -1.20480669408489 , -0.602914068830242 , 0.54061250087382 , -0.940558718054852 , 1.9290705585273 , -1.17490528178411 , 0.0767214896970908 , -1.19037600580203 , 0.334372369367671 , 1.28111894231933 , -1.22327537805577 , -0.0607235221111903, -0.673894257615456 , -0.14441082762552 , -1.21785127729632 , 0.597975664153905 , 0.805874850473024 , -0.310128747772508 , -0.866314075604947 , -1.23564367025695 , 0.427824416465049 , 0.701187090321419 , -0.244428792638596 , 0.340042132819397 , -1.02521900599049 , 0.84107125440942 , -1.62375344212998 , -1.71741296662531 , 0.95858299414003 , 0.214288546759182 , 0.0551597507396772 , -0.638452097412452 , -0.5317924216846 , 0.826436193433457 , -0.442953512074357 , 0.664930731973187 , 0.723482665074407 , 0.277212648824779 , -0.438889472079373 , 1.77276918612447 , -0.796491609426178 , 0.445584547086486 , 0.793293536722037 , -0.516138189548267 , 0.550881353928462 , -0.353774992639617 , 1.76208587443513 , 0.304665684514304 , 1.40982919375132 , -0.95171120817757 , 1.30151911997855 , -0.130145800542775 , 0.535172368553839 , 0.862268914899036 , 2.5404447382357 , -0.972903157224466 , 0.141770521005336 , 1.63856923351234 , -0.319888078703608 , -0.617602457637158 , 0.665472006032109 , 0.918277605354692 , -0.284985166039046 , -0.634447628085928 , 1.55696305030722 , 0.732936695624174 , -0.469583509910507 , 0.390971533796838 , -0.415146114327255 , 0.696448830392764 , -0.568498753527579 , 0.0915291419583439 , -0.645219117249196 , 0.878132997438574 , 1.71243011211009 , -1.06904428513587 , -0.281134671464511 , -1.06592269996328 | 0.1016008 |
| 28 | 20 | 0.0 | 0.0 | 0.5 | control , control , control , control , control , control , control , control , control , control , control , control , control , control , control , control , control , control , control , control , intervention , intervention , intervention , intervention , intervention , intervention , intervention , intervention , intervention , intervention , intervention , intervention , intervention , intervention , intervention , intervention , intervention , intervention , intervention , intervention , 0.678230595765841 , 0.304529184398887 , -0.215171610087714 , -0.0752060881531317, -0.482885772771846 , 0.0862788028148626 , 0.107503306342684 , 0.408262628949037 , 0.138724844039954 , 0.0102953620124254 , -0.203973388042074 , 0.128450185993913 , 0.846170881846493 , 0.504515771748583 , -0.152135967838452 , 0.747251389718344 , -0.106945877189789 , 0.191226474771757 , -0.479367244204947 , 0.00129399932866748, -0.184590586308606 , -0.285091850011748 , 0.454287394805279 , 0.677772087357558 , -0.0210740444783085, 0.37898365992601 , -1.24614205090484 , 0.781041140888021 , -0.31105138817766 , -0.903214335785693 , 0.466379838660493 , -0.385146853464827 , 0.595635513538741 , 0.474694201179551 , 0.244209085278916 , -0.542220737589943 , -0.034443628766816 , 0.524917747071857 , 0.133086371113794 , -0.479041849750676 | 0.4861051 |
| 28 | 20 | 0.0 | 0.0 | 1.0 | control , control , control , control , control , control , control , control , control , control , control , control , control , control , control , control , control , control , control , control , intervention , intervention , intervention , intervention , intervention , intervention , intervention , intervention , intervention , intervention , intervention , intervention , intervention , intervention , intervention , intervention , intervention , intervention , intervention , intervention , -0.207796732912485 , 0.213464053469071 , 1.14877818335022 , 2.14190490230983 , 0.19747998222173 , -1.24080853689508 , 0.269810798112691 , -1.21776248272656 , 0.115751345204824 , 1.04974737068911 , 1.18492975208133 , -1.37083008009884 , 0.405969779788364 , 1.21987808097536 , -1.83149455103761 , -0.193581418295328 , 0.65817462250135 , -0.479413457337884 , 1.17535821196911 , -0.0651922414104282, 1.02955197779834 , -0.105645006891501 , 0.136873545010088 , 0.909565847970616 , -0.0207317978140785, 0.641596409834178 , 0.105129239778298 , -1.37709902612594 , -0.758646274933889 , -0.0614670506493833, 0.970631007340407 , -1.72993264054487 , -0.888042888232034 , -0.503213318962843 , 1.63213218522647 , -1.39366199055437 , -1.01975727439874 , -0.125602163541289 , 0.795493026026515 , -1.86337579042367 | 0.2953394 |
| 28 | 20 | 0.0 | 0.1 | 0.5 | control , control , control , control , control , control , control , control , control , control , control , control , control , control , control , control , control , control , control , control , intervention , intervention , intervention , intervention , intervention , intervention , intervention , intervention , intervention , intervention , intervention , intervention , intervention , intervention , intervention , intervention , intervention , intervention , intervention , intervention , -0.45533058756073 , 0.3239897157609 , -0.563987258964804 , -0.0876137898995216, 0.464032868645796 , 1.06479479635271 , 0.12892109186336 , 0.103350973655722 , 1.02029060847406 , 0.331714973168885 , 0.347871166965265 , 0.846622598928867 , -0.394816445703728 , 0.816564200838513 , -0.522209841681214 , -0.248237774690886 , 0.519149576686893 , -0.80503915126811 , 0.570456833789965 , -0.0978752186263884, 0.240318911818418 , -0.541599735131014 , -0.353324481031057 , 0.0984834013121612 , 0.292477446116411 , 0.173912326034667 , -0.117248563866934 , -0.660488942097856 , 0.0449596832861941 , -0.11845973977948 , -0.0821949339947559, 0.136988818449304 , -0.445555707213651 , -0.0976853283110289, -0.300956176588295 , -0.661866029101585 , -0.330337810304391 , -0.227014607414209 , 0.124666265071851 , 0.299655254580275 | 0.0444794 |
| 28 | 20 | 0.0 | 0.1 | 1.0 | control , control , control , control , control , control , control , control , control , control , control , control , control , control , control , control , control , control , control , control , intervention , intervention , intervention , intervention , intervention , intervention , intervention , intervention , intervention , intervention , intervention , intervention , intervention , intervention , intervention , intervention , intervention , intervention , intervention , intervention , -0.110144858736923 , -0.546639597901687 , -0.221027423727031 , -0.739270312850987 , -0.653957979411936 , 0.835581217024341 , -0.611059811799304 , -0.795629779321953 , 1.97255858115302 , 0.0744291180162342 , 0.367862669232463 , 1.30895970180499 , -0.0446899047985369, -0.491738432921939 , -0.313639701220843 , -0.717738086927503 , 2.869423912262 , 1.43455906560605 , 0.504877192573311 , -1.67913554440264 , -0.723538512173029 , -0.688614951322459 , -1.3713523362646 , 1.086636815653 , -0.87568184737339 , -0.636634058892253 , -0.412827824380394 , -2.03390070168932 , -0.839667135699971 , -0.585457275049358 , -1.29390337304797 , -0.432107274732749 , 1.35893301069786 , 0.86489053882207 , 2.56913343527472 , 0.486597254534488 , 1.11020394507394 , -0.65730184916204 , -1.63622530034968 , 2.83232498118414 | 0.5793864 |
| 28 | 20 | 0.5 | 0.0 | 0.5 | control , control , control , control , control , control , control , control , control , control , control , control , control , control , control , control , control , control , control , control , intervention , intervention , intervention , intervention , intervention , intervention , intervention , intervention , intervention , intervention , intervention , intervention , intervention , intervention , intervention , intervention , intervention , intervention , intervention , intervention , 0.573128908125985 , -0.252716227543111 , -0.469081591424432 , 0.476502240164774 , -0.780222533760448 , -1.19429738687174 , 0.221734781742023 , 0.302378496526095 , -0.0907350740651657, 0.757541782308354 , 0.0601652001934273 , 0.617992544787072 , -0.211744424882467 , -0.597151085832833 , 0.0284647371236317 , -0.0757908505913384, 1.32764610996045 , 0.464188805615072 , -0.572674216853636 , 0.235090917990216 , 0.37606040209721 , -0.44953890194218 , 0.567889242845491 , 0.203382123625308 , 0.837634531298098 , 1.26819354699731 , 0.408108054409664 , 0.960707791619052 , 0.380745370849425 , 0.728023843934001 , 0.0273037112811387 , 0.553091153699429 , 0.606328933721141 , 0.809519112862666 , 0.750218932966308 , 0.368630546842505 , -0.103226526866888 , 0.202406307271202 , 0.536466990535822 , 1.90070393579316 | 0.0060776 |
| 28 | 20 | 0.5 | 0.0 | 1.0 | control , control , control , control , control , control , control , control , control , control , control , control , control , control , control , control , control , control , control , control , intervention , intervention , intervention , intervention , intervention , intervention , intervention , intervention , intervention , intervention , intervention , intervention , intervention , intervention , intervention , intervention , intervention , intervention , intervention , intervention , 1.04263172668604 , 1.18502402900799 , 0.510471512053787 , 0.0114740225984444 , 0.182063805058358 , 1.73883197810737 , -0.0860853122064707 , -0.00172827954058982, -0.477938595362868 , 0.696495007775683 , -0.630872906003623 , -0.10619814849059 , -0.179666969959361 , 0.681128598219846 , -0.106112033199778 , 0.0183706888199539 , -0.437532875801394 , 0.709186362997898 , -1.52547817689069 , -0.143979112352572 , 1.03936847213819 , 0.642926994123163 , 2.0285010931067 , 0.459543514654431 , -0.0839645671176301 , -0.63248578956788 , 0.569567288862298 , 0.195131012938412 , 1.56807346264743 , -0.39393762351027 , 2.07045482494447 , 0.508886534109037 , 0.855618703267672 , 1.14606457354837 , 1.11156074639098 , -0.307257255307957 , 1.78569952247018 , -1.7209853957991 , 1.5418140907538 , -0.520915204663162 | 0.1195594 |
| 28 | 20 | 0.5 | 0.1 | 0.5 | control , control , control , control , control , control , control , control , control , control , control , control , control , control , control , control , control , control , control , control , intervention , intervention , intervention , intervention , intervention , intervention , intervention , intervention , intervention , intervention , intervention , intervention , intervention , intervention , intervention , intervention , intervention , intervention , intervention , intervention , -0.180712683133608 , 0.560018085738463 , -0.545687788380036 , -0.155607667403216 , 0.73638412567762 , -0.773446167428265 , -0.30285457086162 , 0.346380417539996 , 0.659156057133911 , -0.134919875318252 , -0.491384740958621 , 0.528608615671074 , -0.046894004825136 , 0.207648929234604 , 0.275865917504126 , 0.0909570009127317 , -0.502137417412163 , -1.34841283843425 , 0.0921409996530839 , -0.0169853638530502, -0.377421123241772 , -0.210460021554346 , 0.446078908066329 , 0.544477546259558 , 0.320450370600714 , 0.433833243085019 , 1.02562265767503 , -0.0802972460518884, 0.304359498606379 , 0.058220209426198 , 0.57201512991965 , 0.422268199797783 , 0.613133139760717 , 0.350293385911309 , -0.103799337726686 , 0.0368582546140375 , 0.772194200649434 , 0.319014690290296 , 0.322339570464483 , 1.08583950798969 | 0.0097946 |
| 28 | 20 | 0.5 | 0.1 | 1.0 | control , control , control , control , control , control , control , control , control , control , control , control , control , control , control , control , control , control , control , control , intervention , intervention , intervention , intervention , intervention , intervention , intervention , intervention , intervention , intervention , intervention , intervention , intervention , intervention , intervention , intervention , intervention , intervention , intervention , intervention , 0.971738443798133 , -0.455086530215691, 1.31949161489532 , -1.44515391242174 , 0.388422507361654 , 2.0530489285318 , 0.666860557289248 , 0.456542493040133 , -0.646875690415768, 0.79198320971661 , 0.665719412163843 , -2.46183564262021 , 0.724641987901087 , 0.419294504577577 , -0.545908887678794, -1.10867323604511 , -0.083088188782977, 1.31948205214261 , 0.268405636063302 , 0.257466069676156 , 0.43673814627741 , -0.682889079058276, 0.444556683160525 , 1.24227500328598 , 0.638236963135675 , 0.15774075063705 , 1.0096609508935 , 1.20900650126247 , 0.434924923764713 , 0.84602316822476 , 0.184437511100461 , 0.207280445419867 , -0.609999056350249, 0.6444102134845 , 0.345753171910874 , -0.154263106646507, -1.7864252503372 , 1.80413087393867 , 1.41705322736912 , -1.06030844472708 | 0.6072107 |
| 28 | 50 | 0.0 | 0.0 | 0.5 | control , control , control , control , control , control , control , control , control , control , control , control , control , control , control , control , control , control , control , control , control , control , control , control , control , control , control , control , control , control , control , control , control , control , control , control , control , control , control , control , control , control , control , control , control , control , control , control , control , control , intervention , intervention , intervention , intervention , intervention , intervention , intervention , intervention , intervention , intervention , intervention , intervention , intervention , intervention , intervention , intervention , intervention , intervention , intervention , intervention , intervention , intervention , intervention , intervention , intervention , intervention , intervention , intervention , intervention , intervention , intervention , intervention , intervention , intervention , intervention , intervention , intervention , intervention , intervention , intervention , intervention , intervention , intervention , intervention , intervention , intervention , intervention , intervention , intervention , intervention , 0.538903583111942 , -0.976375182040775 , -0.761216078833053 , -0.398625743237584 , 0.214299738179706 , -0.316546759768415 , -0.0344722242175199, 0.103751022175883 , -0.433337311607531 , -0.272579929245651 , 1.02794004780712 , -0.888475634386553 , -0.186993501987103 , 0.0643649483665907 , 0.474303318515887 , -0.535180363514756 , 0.0412491093669638 , 1.22191086215671 , -1.07335307842857 , -0.785636018931851 , 0.418121716863695 , -0.241535277804638 , 0.495636432771442 , 0.338355013066305 , -0.54815502426964 , -0.277853456140807 , 0.00669797131361487, -0.116494621551294 , -0.100988742863872 , 0.68551659541105 , 0.437943044507511 , 0.429225681878685 , 0.465985528186819 , -0.45500919647039 , 0.232044218288214 , -0.0687493826080124, 0.205590015189389 , 0.259750701832691 , 1.06024737121351 , 0.123776680927322 , -0.253192167030292 , -0.114421462638438 , 0.159908913285302 , -0.191401584674513 , -0.515561864130335 , -0.755489941504645 , 0.708137895539276 , -0.308186034921947 , -0.2522186236894 , 1.24256893797781 , -0.300583785379379 , -0.874702875895368 , -0.28843035295128 , 0.566181863524107 , -1.03844191264906 , 0.470707446965546 , 0.992990446417285 , 0.273327263754397 , 0.495291626845065 , 0.0884801409156375 , -0.0823584538178281, -0.0486516275001751, -0.633933126778599 , 0.583184426726008 , -0.117380271370533 , -0.385690034398601 , -0.353634034710206 , -0.269522606211657 , 0.189354872049961 , -0.257265191389475 , -0.869471080391716 , -0.0130400312390533, 0.356902856791589 , -0.258731934074075 , -0.172618214744731 , 0.84886215398862 , 0.079068697946964 , 0.676426136956725 , -0.22321653291973 , -0.0674715463454365, 0.754360336094275 , -0.170865056423679 , -0.828962081548303 , -0.122551986790303 , -0.354361202806355 , -0.441006460433529 , -0.0790967750655349, 0.480264297719703 , -0.565406871953145 , -1.1689866843156 , -0.440362925670625 , 0.585459863655223 , -0.233490844509869 , -1.0504803915938 , -0.142749310703292 , 0.359300272434404 , -0.576318094704156 , -0.362809205731147 , 0.2138714828052 , 0.849148791511464 | 0.4568369 |
| 28 | 50 | 0.0 | 0.0 | 1.0 | control , control , control , control , control , control , control , control , control , control , control , control , control , control , control , control , control , control , control , control , control , control , control , control , control , control , control , control , control , control , control , control , control , control , control , control , control , control , control , control , control , control , control , control , control , control , control , control , control , control , intervention , intervention , intervention , intervention , intervention , intervention , intervention , intervention , intervention , intervention , intervention , intervention , intervention , intervention , intervention , intervention , intervention , intervention , intervention , intervention , intervention , intervention , intervention , intervention , intervention , intervention , intervention , intervention , intervention , intervention , intervention , intervention , intervention , intervention , intervention , intervention , intervention , intervention , intervention , intervention , intervention , intervention , intervention , intervention , intervention , intervention , intervention , intervention , intervention , intervention , 0.759655670632226 , -0.828170762041466 , 2.79839893623726 , -0.0382117262002801 , 0.236921660295647 , 0.18918722073668 , -0.113870825842614 , 1.24522557972538 , 0.986607548402434 , -0.0873863116179293 , -0.569569803495534 , -0.221348501669506 , 0.659686783541212 , 0.570579837619009 , 0.437742188832075 , -0.709076114480993 , -1.29690298352391 , -0.223356972820727 , 1.07410287291488 , -1.11411025322186 , -1.77743138189772 , 0.607385251584903 , -0.884166315419806 , -0.0269399299304962 , 1.07470750598539 , -0.0548834062018302 , -1.65858645813141 , -1.19383736976043 , 0.244214092965213 , -1.29079821174213 , -0.70755934148222 , -1.19294520680431 , -0.970732769893858 , -0.475526574120174 , 1.46350682155449 , -1.01708143866339 , 1.39911206736136 , -0.0775987909488634 , -0.841462095731949 , -0.161778099807706 , -0.713940612555035 , 1.38670298550449 , 0.0595602865078057 , 0.62879444554731 , 0.21119353384639 , 0.0654252252769569 , -0.982149418928467 , 0.462115296174205 , 1.18380441131083 , 1.87319004302873 , 0.287350968773799 , -1.59420395047616 , 0.464742275967443 , 1.41920248527706 , 1.48493215456251 , -0.0750290922646834 , -0.423056329007005 , 1.04711908487919 , -1.75656951481061 , -1.32279120082095 , 0.294236017636696 , 1.02549719524599 , 0.333493951396862 , 0.542496454288037 , -0.51602446232274 , -1.834016137803 , -0.895959369871568 , -0.181315239409255 , 1.81847066101031 , -0.93435580519705 , -0.122299801976719 , -2.28581414761229 , 0.743566465777475 , 2.00787135566562 , 0.295558961850483 , -1.66234932866851 , 1.06060699530718 , -1.55764296448383 , 0.161700337309734 , -1.47910758757754 , 0.745867672915841 , 0.076221664690277 , -1.35114352785372 , 0.983943385183107 , 0.792892421802849 , -0.449278753250211 , 1.91167830296593 , 0.912189936899293 , -1.92560000729255 , -0.153113763252434 , -1.13133371708033 , -0.113426694143472 , -0.00880392070345375, 1.19486985064271 , -2.04856893485242 , 2.21872346409092 , 0.16583446478428 , 1.28266629132116 , 0.0871503335402064 , 0.157162372822293 | 0.9489800 |
| 28 | 50 | 0.0 | 0.1 | 0.5 | control , control , control , control , control , control , control , control , control , control , control , control , control , control , control , control , control , control , control , control , control , control , control , control , control , control , control , control , control , control , control , control , control , control , control , control , control , control , control , control , control , control , control , control , control , control , control , control , control , control , intervention , intervention , intervention , intervention , intervention , intervention , intervention , intervention , intervention , intervention , intervention , intervention , intervention , intervention , intervention , intervention , intervention , intervention , intervention , intervention , intervention , intervention , intervention , intervention , intervention , intervention , intervention , intervention , intervention , intervention , intervention , intervention , intervention , intervention , intervention , intervention , intervention , intervention , intervention , intervention , intervention , intervention , intervention , intervention , intervention , intervention , intervention , intervention , intervention , intervention , -0.0578466002770727 , 0.119802211902153 , 1.01456917000049 , 0.87912282691557 , 0.54467253254962 , -0.0508462509021796 , 0.787041202817987 , -0.564989431294871 , 0.36974755206168 , 0.130785508824388 , 0.464847793545307 , 0.206016060470181 , 0.239055771436861 , -0.61466668381322 , -0.636195011615782 , 0.53922307204958 , 0.155993043406843 , -0.456480824929852 , -0.622047083157089 , 0.00456892113629571 , -0.26069059751137 , 0.101539384713425 , -0.271065872476202 , 0.181205908186984 , 0.880787594734583 , -0.284230123968026 , -0.307600650407654 , 0.159302570039777 , 0.374476497236916 , -0.791037422360665 , -0.187066015977462 , 0.554359981082515 , -0.601880401038277 , 0.423498118632708 , -0.347194249480495 , 0.553024001091296 , 0.90691504452351 , 0.573434876897559 , 0.996176035643783 , 0.380611951667222 , -0.162839910128536 , 0.647872289316972 , 0.36397407167973 , -0.00547668617286022, 0.00958530111126631 , 0.65200388407171 , -0.216218152983137 , 0.588820170607473 , 0.0469325983649818 , 0.331263849692514 , 0.24356507836264 , 0.42637288260224 , -0.187692267643907 , -0.218935714313117 , -0.428953730641905 , 0.224847882198396 , 0.218834190112674 , 0.479872954994255 , 0.280874588498572 , 0.101666113888225 , -0.191996408652225 , 1.11653980734843 , -0.926640120706548 , -0.277348473462083 , 0.378908528010151 , -0.201846824360548 , -0.438059295835366 , -0.194914294863577 , -0.362157484428019 , 0.504779789333523 , -0.0865701893187767 , -0.0135803369203075 , 0.463929541713389 , -0.414180054266818 , -0.247551749561208 , 0.123428124820174 , -0.298974454393668 , -0.827226735112161 , 0.639718231623567 , -0.776751283465072 , 0.511565821634014 , -0.175202787568781 , -0.131689931000818 , -0.56152982183143 , -0.681732212571501 , -0.577878538770048 , 0.131819953989389 , -0.138097544225548 , 0.161306052225063 , -0.333335288273636 , -0.667943944307589 , 0.128206878516532 , 0.917997228772336 , -0.363788522798154 , -0.239208968133812 , -0.439070766173153 , 0.982218370034247 , 0.439522942163822 , -0.387156159676245 , 1.05899727861013 | 0.0659310 |
| 28 | 50 | 0.0 | 0.1 | 1.0 | control , control , control , control , control , control , control , control , control , control , control , control , control , control , control , control , control , control , control , control , control , control , control , control , control , control , control , control , control , control , control , control , control , control , control , control , control , control , control , control , control , control , control , control , control , control , control , control , control , control , intervention , intervention , intervention , intervention , intervention , intervention , intervention , intervention , intervention , intervention , intervention , intervention , intervention , intervention , intervention , intervention , intervention , intervention , intervention , intervention , intervention , intervention , intervention , intervention , intervention , intervention , intervention , intervention , intervention , intervention , intervention , intervention , intervention , intervention , intervention , intervention , intervention , intervention , intervention , intervention , intervention , intervention , intervention , intervention , intervention , intervention , intervention , intervention , intervention , intervention , 1.01434391581803 , 0.88428350526221 , -0.768394597530703 , -0.143198567779814 , -0.689980174713434 , -2.06157681828455 , 0.660158171420249 , 0.551319645804643 , -1.34884886634101 , 0.0899576516225357 , -0.823235376828248 , -0.522646260041283 , 0.558913405822342 , -0.847838617814307 , 0.526002271299031 , 0.853007531659234 , -0.407551875308675 , 0.00347004895258109, -0.36356557659281 , -0.3366515023141 , -1.44137865406335 , -1.72364055550859 , 1.32317502464606 , 0.335723237528562 , 0.0512718716483907 , 0.787926092508915 , -0.635420579189437 , 1.29426182875056 , -0.276150688439183 , 2.58250688448198 , -1.05402575946628 , 1.44260051002475 , 0.980253999238782 , 0.231153493202141 , -0.442233745267927 , 1.27863128424323 , -1.06927929042734 , 0.610721976466361 , -0.993825359897354 , 2.75281100068519 , -1.07474651343345 , -0.966534192454443 , -0.392274634822705 , 0.358475373988743 , 0.0352463399148907 , 0.532118200737445 , -0.802464158031605 , -0.900872522643713 , 0.821199941901658 , 1.43368228703072 , -1.41700214742285 , 0.522160391714768 , 0.417010637289632 , 0.710240889543576 , -0.991182572976574 , -1.66378536520893 , 0.548137369998122 , -0.590098108784466 , 0.52657372131412 , 0.735245307353247 , 0.884030210353907 , -0.217638780224729 , -1.94955638447703 , 0.485235975273608 , 0.798550775939903 , 0.83594732822892 , -1.72228712287566 , 1.07402491215644 , 0.481270007309702 , -0.282871615444953 , -0.477476359356585 , -0.759669254136565 , -0.442423161960591 , -0.821874277730537 , -0.994779053351894 , 0.992593355152842 , 2.42563857859812 , -1.73211533490053 , 0.437695184023694 , -0.0551810951447752, -0.487348365199438 , -1.46019392053082 , -0.302624542987214 , -0.529003818391867 , -1.15682140568589 , 1.42664152057686 , -0.962756360946079 , -0.657211305673971 , -0.338955260241796 , -1.64601031437664 , 1.81236953362882 , -0.328040971187438 , 0.200861649212598 , 0.891395785304488 , -0.0937470544500863, -2.40335965927254 , 0.0968626860334408 , -0.5635806673928 , -0.111122822573924 , -0.792020426772018 | 0.2631670 |
| 28 | 50 | 0.5 | 0.0 | 0.5 | control , control , control , control , control , control , control , control , control , control , control , control , control , control , control , control , control , control , control , control , control , control , control , control , control , control , control , control , control , control , control , control , control , control , control , control , control , control , control , control , control , control , control , control , control , control , control , control , control , control , intervention , intervention , intervention , intervention , intervention , intervention , intervention , intervention , intervention , intervention , intervention , intervention , intervention , intervention , intervention , intervention , intervention , intervention , intervention , intervention , intervention , intervention , intervention , intervention , intervention , intervention , intervention , intervention , intervention , intervention , intervention , intervention , intervention , intervention , intervention , intervention , intervention , intervention , intervention , intervention , intervention , intervention , intervention , intervention , intervention , intervention , intervention , intervention , intervention , intervention , 1.00307915503734 , 0.340281857848648 , -0.551534401121803 , 0.0296447915516639 , 0.54709994432915 , -1.14077842417094 , -0.234500483636883 , 0.0970519730553281 , -0.175243635547955 , 0.0824118987774681 , 0.459651296948087 , 0.0599949110276947 , -0.313508064011933 , 0.029920858137256 , 0.449570417381333 , 0.731534071032309 , 0.511595459760162 , 0.438946931947319 , -0.139131240438349 , 0.349871011714384 , 0.656685299776069 , 0.171235541263859 , 0.807115959082201 , 0.669196636229021 , 0.682270904734798 , 0.346464283709262 , -0.533558224959735 , -0.0929115445911987, -0.0887910281277029, 0.00608377335351656, 0.573544159708636 , -0.651135095271182 , -0.195534027060634 , 0.290172372389953 , 0.143696201544855 , -0.208719323051705 , 0.00743045692738545, 0.00674235833229685, 0.325559478267956 , -0.0679821716277231, -0.427276052164272 , -0.676140998638456 , -0.0916474313009598, -0.339045215061868 , -0.294054044489127 , 0.147042545313026 , 0.0755880240880863 , -0.577068729155202 , -1.09241221984506 , 0.0582220252759277 , 0.946416336070536 , 0.248602027311415 , 1.33388987162464 , 0.058222575770055 , 0.432489071408058 , 0.0370008709436755 , 0.0728987810336442 , -0.475041344587282 , 0.354460955459832 , 0.0684061704700729 , -0.820038400767906 , 0.836050918823853 , 0.240423234805401 , 0.96845840535165 , 0.359336910357694 , -0.195951219305826 , 0.906866920346314 , 0.715811674551763 , 1.29317219668151 , 0.405334618540152 , 1.61912515671018 , 0.601776395151732 , 0.606509902773311 , 0.76920789058752 , 1.37893808444033 , -0.963963830155344 , -0.402429606420892 , 0.360147395559058 , 1.14606063421806 , 1.28614642599113 , -0.281527365774707 , 0.0845220447332954 , 0.361191203095725 , 0.505070563597364 , 0.762976060556361 , 0.116097955442745 , 0.832999059245063 , -0.42200836590249 , 0.285437478759554 , 0.138242678966301 , 0.506578238838503 , 1.0996892469525 , 0.326334374643025 , 1.00845636196098 , 0.334420317136796 , 0.560217007015792 , 0.191634496378838 , 0.325723704278117 , 0.579791988445162 , 0.408126688725277 | 0.0002127 |
| 28 | 50 | 0.5 | 0.0 | 1.0 | control , control , control , control , control , control , control , control , control , control , control , control , control , control , control , control , control , control , control , control , control , control , control , control , control , control , control , control , control , control , control , control , control , control , control , control , control , control , control , control , control , control , control , control , control , control , control , control , control , control , intervention , intervention , intervention , intervention , intervention , intervention , intervention , intervention , intervention , intervention , intervention , intervention , intervention , intervention , intervention , intervention , intervention , intervention , intervention , intervention , intervention , intervention , intervention , intervention , intervention , intervention , intervention , intervention , intervention , intervention , intervention , intervention , intervention , intervention , intervention , intervention , intervention , intervention , intervention , intervention , intervention , intervention , intervention , intervention , intervention , intervention , intervention , intervention , intervention , intervention , 0.586021189770896 , 0.489952951173477 , -1.01904596155294 , -0.197572993489943 , -1.72828619734977 , -1.16896046254949 , -0.026731399219557 , 0.234145843927214 , -0.0615034158019604, 0.0193392707623394 , 1.35952058439839 , -0.422865250577948 , 0.569595518955728 , -0.660327768368379 , 1.69520648316202 , 0.533179736250515 , -0.0416275359932821, -0.532337606492559 , 0.124288568242225 , 0.424666471737904 , 0.237400549049009 , 0.172115445472512 , 1.25117737802999 , 0.928607840446754 , -0.426014790818328 , -0.742147439305912 , -0.866934466612051 , 1.44297350704665 , -0.467092381921739 , -0.968329002389058 , 0.0970126261723615 , 1.22657284483912 , 0.182953740425823 , 0.203932000658356 , 0.907896722748972 , -0.996670287262472 , -0.908726898872348 , 0.415185164484958 , -0.602989981225295 , 0.363184528585867 , -0.251122233785636 , -1.28748048303378 , -0.0368032966144205, -1.28579667108282 , 0.20874964432146 , -0.858117643368224 , -1.45881362615352 , -1.5628601075506 , 0.618566693912184 , -1.02309535824021 , -0.801640478525056 , 0.984647797277051 , -0.147500719921875 , 0.756188343954664 , 0.63613651389645 , 1.9964607923714 , 2.19730835360479 , 1.66332911973694 , -0.399953606195519 , -0.240266507269847 , -0.0334760697785662, 0.250144674471023 , -1.00590069479908 , -0.0230454220025862, 2.58908814411307 , -1.44242127972776 , 1.58097787665309 , 0.759689642906548 , 0.849239609970916 , 2.75224597643451 , 0.98258695426476 , 0.964737843674439 , 0.429974568754843 , 1.31486942717894 , 0.319086324093378 , 1.28141604884041 , 1.15890073976151 , -0.440054637608677 , 1.23406281715955 , -0.39665983460437 , 1.20698507303502 , 1.08647795970754 , 1.25423669644233 , 0.793663559375421 , 2.42114055647747 , 0.430568571132314 , 0.578848331377226 , 0.91442561698678 , -0.56019357858194 , -0.721468604792234 , 0.805631907722681 , 1.5196975524246 , 0.625771186087452 , 1.0029487105081 , -0.0883307732004771, -0.543749523297698 , 0.778660649255382 , 1.59716539775843 , 0.548526639117367 , -0.850170242744797 | 0.0000557 |
| 28 | 50 | 0.5 | 0.1 | 0.5 | control , control , control , control , control , control , control , control , control , control , control , control , control , control , control , control , control , control , control , control , control , control , control , control , control , control , control , control , control , control , control , control , control , control , control , control , control , control , control , control , control , control , control , control , control , control , control , control , control , control , intervention , intervention , intervention , intervention , intervention , intervention , intervention , intervention , intervention , intervention , intervention , intervention , intervention , intervention , intervention , intervention , intervention , intervention , intervention , intervention , intervention , intervention , intervention , intervention , intervention , intervention , intervention , intervention , intervention , intervention , intervention , intervention , intervention , intervention , intervention , intervention , intervention , intervention , intervention , intervention , intervention , intervention , intervention , intervention , intervention , intervention , intervention , intervention , intervention , intervention , 0.487836916536411 , 0.466429482557715 , -0.193003781745569 , 0.0592245210174054 , 0.083044390934913 , -0.718635936265422 , -0.252891339505588 , 0.378145488166388 , 0.422079720575897 , -0.496644404035517 , 1.04721029152674 , -0.291476728410815 , 0.411807881017518 , 0.367811901962996 , 0.0575514763480838 , 0.39588540664104 , -0.190333926078099 , -0.178470537880754 , 0.291505671087154 , -0.488581964764962 , 0.247837262441921 , -0.147804971180546 , 0.212830695050006 , 0.372871359258279 , -0.193061037942956 , 0.757652449068823 , 0.26459059110462 , -0.778551791441548 , 1.00339798828026 , 0.148460356182537 , 0.153865916389159 , -0.0544775853025195, -0.221838867375575 , 0.87501493157948 , -0.45461016343379 , -0.0205845613976092, -0.249787793919165 , -0.475576237273677 , 0.132326192670931 , -0.403317368981376 , -0.102247291152322 , 0.317903245652504 , 0.0719549333984314 , 0.714389516066198 , -0.745959031552415 , 0.40747941027818 , -0.102250081140017 , -1.00468259575333 , 0.0326725932955359 , -0.276451789192769 , 0.405375843385388 , 0.622229902576088 , 0.744115969322953 , 0.658931152433589 , 0.321493714694702 , -0.0243458617162707, 0.73186546014397 , 0.894994561359305 , 0.150137925121361 , 1.28402837123435 , 1.30265479206256 , 0.349616190938999 , 0.728033761570447 , 0.108802290747372 , 1.2833363808286 , 0.915673911009366 , 0.0937212368254216 , 0.307056289495535 , 0.735073129983622 , 0.733339697095521 , 0.818110238517138 , -0.166574139301815 , 0.338966744691603 , 0.468297248613034 , -0.206105544833891 , 0.110639060777212 , 1.37019805321566 , 1.11624745648046 , 0.674940233878205 , 1.1542713276132 , 0.51985326487249 , -0.0950762451374709, 0.274929783753695 , 0.0229275071357739 , 0.790582876791694 , -0.262283160913543 , 1.11610231761272 , -0.430526836667999 , 0.971523353067324 , 0.581921082716057 , 1.07843590817401 , 0.395235409944902 , 0.04549654931213 , 0.484130302660189 , 0.573673632855548 , 0.84771477513461 , 0.632767382755178 , 1.30025640482002 , 0.0963265325250119 , 0.635317108676541 | 0.0000002 |
| 28 | 50 | 0.5 | 0.1 | 1.0 | control , control , control , control , control , control , control , control , control , control , control , control , control , control , control , control , control , control , control , control , control , control , control , control , control , control , control , control , control , control , control , control , control , control , control , control , control , control , control , control , control , control , control , control , control , control , control , control , control , control , intervention , intervention , intervention , intervention , intervention , intervention , intervention , intervention , intervention , intervention , intervention , intervention , intervention , intervention , intervention , intervention , intervention , intervention , intervention , intervention , intervention , intervention , intervention , intervention , intervention , intervention , intervention , intervention , intervention , intervention , intervention , intervention , intervention , intervention , intervention , intervention , intervention , intervention , intervention , intervention , intervention , intervention , intervention , intervention , intervention , intervention , intervention , intervention , intervention , intervention , -0.554441343302996 , 1.83614461637897 , 1.21558299673783 , 0.358986662667672 , 0.494347086003731 , 0.714308182831547 , -0.342987522609812 , -0.451147965433787 , -0.0300098709740748, 0.121926953278289 , 0.62829751412523 , -0.668478342271526 , -0.545767704813593 , 0.42777792307669 , -0.403623896335548 , 1.16063069086321 , -1.02894017657945 , 0.387704869531269 , -2.26873201527088 , 1.04181756442046 , 0.790103701187421 , -0.527047799244812 , -0.6535651733899 , 0.220866730673149 , 1.77379868058857 , -0.642485723809042 , 0.393087734498971 , 0.0237744247255057 , 0.791085253863255 , -0.300243640218143 , 0.675811210781867 , 0.262373540189259 , -0.402937588450754 , -0.215339200897305 , -0.999486718560185 , -0.166744038081487 , 0.688793829705293 , 0.517216304945786 , -0.791211103543721 , -0.071373068549002 , -0.244330240928399 , -0.67307881146887 , 2.25098285840861 , -0.702497701966929 , 0.727957842170965 , -0.84871825779814 , -1.10613856340347 , 1.87757968481044 , 0.120022062481184 , -0.634153198087018 , 1.48443958972039 , 1.70258001280754 , 0.218831759283341 , 0.159522368250249 , 0.51784955846308 , -0.248667769541505 , 1.84389911037819 , 1.13628563360526 , 1.09614935814624 , 2.66218409701713 , -0.70591181590959 , -0.739383612014841 , 1.55246656844392 , 2.36689368810155 , -0.945751364778904 , 1.27124079473322 , 1.20231219042097 , 0.692984436983868 , 0.014141131346283 , -0.739147565588122 , -0.432245049830624 , 0.731619660965551 , 0.960027712232102 , 1.62227515804325 , 0.834519858203389 , 0.520329815361315 , -0.079963847724653 , 1.42175864887372 , 0.226608193751804 , 1.08825135841451 , 1.88626759921715 , -0.549307765808197 , 1.42952101069969 , 2.18642652289831 , 0.311405483322202 , -0.0429573571715258, 2.35143497226568 , 2.49200450431407 , 1.47369056984476 , -0.122003465570552 , 2.06279588316592 , -0.90428908129549 , 1.65912221450126 , 1.7915218563594 , -0.508253977080291 , -0.303894234897845 , 1.34041859908041 , 0.483907836599908 , 1.41091054253059 , 0.321420977150546 | 0.0002290 |
| 29 | 20 | 0.0 | 0.0 | 0.5 | control , control , control , control , control , control , control , control , control , control , control , control , control , control , control , control , control , control , control , control , intervention , intervention , intervention , intervention , intervention , intervention , intervention , intervention , intervention , intervention , intervention , intervention , intervention , intervention , intervention , intervention , intervention , intervention , intervention , intervention , -0.17308890506645 , 0.229938454142574 , -0.102675422448426 , 0.864538911495905 , 0.412385342995346 , -0.624142508248654 , 0.356839122264834 , -0.536677321274604 , -0.034762904651458 , -0.425030586395016 , 0.376179922212674 , 0.482406721300479 , -0.466926792151461 , 0.0599545705225384 , 0.984701153143135 , -1.16551442732532 , -1.04514966584165 , 0.127962153368221 , 0.238476700315681 , -0.474001159355377 , -1.02764727187779 , -0.456418343714824 , -0.0342000860795676, 0.0727261881284384 , -0.161503671006411 , 1.48582736799153 , 0.120577705495351 , -0.518924666063628 , 0.434793136070017 , 0.298411004237418 , 1.34469768885597 , 0.384969721777488 , -0.176592026018969 , -0.254152433221066 , -0.721733222303349 , 0.380584763734946 , -0.188327866672257 , 0.953776841922456 , -0.323279796754667 , -1.04400499615885 | 0.7124669 |
| 29 | 20 | 0.0 | 0.0 | 1.0 | control , control , control , control , control , control , control , control , control , control , control , control , control , control , control , control , control , control , control , control , intervention , intervention , intervention , intervention , intervention , intervention , intervention , intervention , intervention , intervention , intervention , intervention , intervention , intervention , intervention , intervention , intervention , intervention , intervention , intervention , -1.41755383164931 , 0.0974259617346053 , -1.59122528677255 , -1.26842482013028 , 0.14510480772873 , -0.262920212852832 , -0.117331065853294 , 1.09431923648782 , 0.421694979803282 , 0.781381489416923 , 0.411948540684529 , -0.668483826328781 , -0.311663824967768 , 0.594979135881782 , 0.318507516594219 , 0.741807676470224 , 2.03166544802639 , 0.388633276544264 , 0.0391034806426024 , 0.308754875518018 , -1.57923257426251 , -1.02604345323374 , 0.231503931760158 , 0.405968891126828 , -0.127607988710881 , 0.628992246027907 , -0.225470736078181 , -1.00732969787956 , -0.0948073159668731, 1.05182798547007 , 1.05178895078124 , 0.296071675028323 , -0.988668452732355 , 1.5731497702709 , -1.25774611512049 , -0.94198525926258 , 0.179158918113645 , 0.232366177580458 , -0.71131066295942 , -0.612788529873385 | 0.3978163 |
| 29 | 20 | 0.0 | 0.1 | 0.5 | control , control , control , control , control , control , control , control , control , control , control , control , control , control , control , control , control , control , control , control , intervention , intervention , intervention , intervention , intervention , intervention , intervention , intervention , intervention , intervention , intervention , intervention , intervention , intervention , intervention , intervention , intervention , intervention , intervention , intervention , -0.593007967136211 , 0.365606909701402 , -0.837650237419519 , 0.132137678694638 , 0.0889138311101199 , -0.242255057514914 , 0.252097714849837 , 0.430414236673427 , 0.607196168919487 , 0.180706951287119 , 0.894051716007652 , 0.296663077390689 , 0.962778798129447 , 0.46425963096222 , -0.0634573024874495, 0.285847227865096 , 0.605201785210262 , 0.688835454856687 , 0.73339391228132 , -0.413494608928888 , 0.39659608555322 , -0.356748686421964 , 0.950186875283874 , -0.282375944211994 , 0.305273805094452 , -0.265837118684896 , 0.104841522767445 , -0.165256877108394 , 0.207077772387802 , 0.208842058274541 , -0.717115741556835 , -0.269553535014958 , -0.141101549332169 , 0.456061963084636 , 0.177933342009168 , -0.339998195749345 , -0.324337967297685 , -0.54117369503879 , -0.29460840059311 , 0.451153934376372 | 0.0699674 |
| 29 | 20 | 0.0 | 0.1 | 1.0 | control , control , control , control , control , control , control , control , control , control , control , control , control , control , control , control , control , control , control , control , intervention , intervention , intervention , intervention , intervention , intervention , intervention , intervention , intervention , intervention , intervention , intervention , intervention , intervention , intervention , intervention , intervention , intervention , intervention , intervention , -0.746904992388462 , 0.789280603587677 , -0.455362245980932 , 0.64742036384507 , 0.0216137300063233 , 0.782557886450569 , 0.173702807678177 , -0.235279193781211 , -1.82539425798167 , 1.12776497185789 , -1.48900544684465 , 0.042263373643528 , 0.494607198315148 , 0.605870689967419 , 1.52270594220323 , 1.06971668620013 , 1.33849589562937 , -0.505872567830239 , -0.0410729929763785, 0.295775294274806 , -0.0986486930128449, 0.169409996254118 , -0.442689261624477 , 0.38295446736079 , 0.227216906586188 , -0.992994889968686 , -1.20466307464298 , -1.75409726109685 , -0.41667742338853 , -0.43193595381607 , 0.0452079702582623 , -0.772459871652004 , -0.214206493534112 , -0.455086815203153 , 0.757837636536261 , -0.582402959459955 , 1.84259585638987 , 0.882172008315242 , 0.511756122472942 , -2.74238425527316 | 0.1422108 |
| 29 | 20 | 0.5 | 0.0 | 0.5 | control , control , control , control , control , control , control , control , control , control , control , control , control , control , control , control , control , control , control , control , intervention , intervention , intervention , intervention , intervention , intervention , intervention , intervention , intervention , intervention , intervention , intervention , intervention , intervention , intervention , intervention , intervention , intervention , intervention , intervention , -0.0692135647530161, 0.102032405087996 , 0.550611737398319 , 0.275249445784248 , -0.544145563251524 , 0.983814312177108 , 0.520048350198312 , -0.572445014499279 , 0.131746927626423 , 0.965033927556264 , 0.0713109748344913 , 0.534884816639841 , -0.29064156673826 , -0.435882783568511 , -0.0938046967624508, -0.580770444575217 , -0.552062170245568 , 0.0132584310930056 , 0.194143636172347 , 0.272822441862051 , 0.306419654396637 , 0.0591475021020795 , -0.184640649384465 , 0.274115464585052 , 0.436068679252659 , -0.0699970293129176, -0.0919855902814354, 0.240338261364867 , 1.15556547660054 , 0.58343077581327 , -0.536171815950175 , 0.466165603851976 , 0.463748345047778 , 0.437929250693314 , 0.229557965703951 , 0.644311037059184 , 0.731269407951886 , -0.251945757140385 , -0.407419099608572 , 0.993157767818303 | 0.1809840 |
| 29 | 20 | 0.5 | 0.0 | 1.0 | control , control , control , control , control , control , control , control , control , control , control , control , control , control , control , control , control , control , control , control , intervention , intervention , intervention , intervention , intervention , intervention , intervention , intervention , intervention , intervention , intervention , intervention , intervention , intervention , intervention , intervention , intervention , intervention , intervention , intervention , 1.75669832076223 , -0.136631895550587, -1.61047223266151 , -0.362852914191007, 1.62191644558623 , -0.604532694963785, 1.15468381503104 , -0.165619173665302, -0.96170826124687 , -0.152150039990758, -0.880971805625513, -0.88792669891399 , -0.747840683781281, 0.0683118310906918, 0.494720031000668 , -1.57916041305508 , 0.843166509914601 , 0.843086038076439 , 0.0964158724778643, -0.308560593891947, -0.681079314138652, 0.706810175769559 , 0.90097048156086 , 0.847917286268973 , -0.160171700060915, -0.447262277583221, 0.771227869906942 , 0.393431584777474 , -0.379400639833797, -0.400887184925862, -1.86877633850257 , -1.21898783347026 , 0.9116145393678 , 1.12460645423882 , 0.108808044780542 , -0.186180914144347, 0.139895056888741 , 1.24715712378695 , -0.800425298879651, 0.497305629235459 | 0.5973546 |
| 29 | 20 | 0.5 | 0.1 | 0.5 | control , control , control , control , control , control , control , control , control , control , control , control , control , control , control , control , control , control , control , control , intervention , intervention , intervention , intervention , intervention , intervention , intervention , intervention , intervention , intervention , intervention , intervention , intervention , intervention , intervention , intervention , intervention , intervention , intervention , intervention , 0.792550452811891 , -0.194653018324908 , -0.192142735749889 , -0.384765156726348 , 0.336396339088029 , 0.798335821496191 , -0.22267390880018 , 0.519444166245298 , -0.187789002085207 , -0.457261180229803 , 0.592994968973244 , 0.573379866830972 , 0.00943309112779515, 0.271360844876347 , 1.3625412119686 , -0.500737891171381 , 0.307579035094674 , 0.165028131052955 , -0.209218948151335 , -0.167376563992234 , -0.234876124528753 , -0.181718540624871 , 0.427566151192464 , 0.237458750581526 , -0.27498303474282 , 0.916231757170271 , 1.1601237579353 , 1.41938267983161 , 1.49955658438054 , 1.20751875219854 , 0.36885776542974 , 1.49579979276321 , 0.78720640229273 , 0.075300611160426 , 0.454757154089071 , 0.997552890610175 , 1.33711075829547 , -0.0757318603149426, 1.0110862238894 , 0.414026317774701 | 0.0079613 |
| 29 | 20 | 0.5 | 0.1 | 1.0 | control , control , control , control , control , control , control , control , control , control , control , control , control , control , control , control , control , control , control , control , intervention , intervention , intervention , intervention , intervention , intervention , intervention , intervention , intervention , intervention , intervention , intervention , intervention , intervention , intervention , intervention , intervention , intervention , intervention , intervention , -0.186377642627727 , -0.0770365608205299, 0.769134349247085 , -0.29333492403682 , -1.04270041638697 , -2.09887874840012 , -0.0845634627342652, -1.77331406499016 , 0.0422081706653694 , -0.440492033825204 , -0.783751527153546 , 1.03127041246531 , -0.535752440591033 , 0.538103425023799 , -0.670732881146549 , 0.491516524395257 , 0.895708376069081 , 0.634960373477945 , 0.107219953557942 , 0.812164959091322 , -1.01361159808634 , 0.29750042961509 , -0.130822307247438 , -1.28446369883761 , -1.04461439787052 , -0.398690864764132 , -1.11261063715658 , 1.09897323241811 , 1.47747946797025 , 0.58957964686688 , 1.88039356144655 , -0.370420729389861 , -0.404599100017615 , 0.90124609748099 , 0.966506960979839 , 1.63391282947063 , -0.210766483936295 , -0.263382084467094 , -0.0766888777006229, 1.18147278791307 | 0.2793187 |
| 29 | 50 | 0.0 | 0.0 | 0.5 | control , control , control , control , control , control , control , control , control , control , control , control , control , control , control , control , control , control , control , control , control , control , control , control , control , control , control , control , control , control , control , control , control , control , control , control , control , control , control , control , control , control , control , control , control , control , control , control , control , control , intervention , intervention , intervention , intervention , intervention , intervention , intervention , intervention , intervention , intervention , intervention , intervention , intervention , intervention , intervention , intervention , intervention , intervention , intervention , intervention , intervention , intervention , intervention , intervention , intervention , intervention , intervention , intervention , intervention , intervention , intervention , intervention , intervention , intervention , intervention , intervention , intervention , intervention , intervention , intervention , intervention , intervention , intervention , intervention , intervention , intervention , intervention , intervention , intervention , intervention , -0.410137852248251 , -0.410749299330653 , 0.206870966379269 , 0.574586749009946 , 0.108535739085148 , 0.490322159741156 , -0.440595771677956 , 0.888425824459221 , -0.34689172800675 , -0.340358252104795 , 0.607304475137275 , -0.27851449575874 , 0.200818567761671 , 0.246156650844374 , 0.138803561320248 , 0.228303146349429 , -0.190566565085986 , 0.100921434351636 , -0.0657778245385571, 0.177890843669638 , 0.278519708599863 , -0.535869322695538 , 1.0308681073454 , 0.074607116966389 , -0.295652518888377 , 0.412026050550243 , -0.063119072939045 , 1.14167549788006 , 0.651974327658481 , 0.738808752308115 , -0.14368949371567 , 0.026235102146467 , -0.0467523664441383, -0.173654662098215 , 0.252139940245483 , 0.113072104849171 , 0.399809776476607 , -0.120439714157037 , -0.251272600530964 , 0.16167679154155 , -0.960915376834793 , 0.655923415377201 , 0.170359190299535 , 1.07232044837922 , 0.239753479631266 , -0.0839911757718626, -0.210726178735097 , 0.104515279289009 , -0.0925664747709501, 0.384011618120498 , 0.421993303706827 , 1.1990754359563 , -0.862020171612831 , 0.094453726031322 , -0.190630233404323 , -0.974646096748387 , 0.236212444731783 , -0.209835140917478 , -0.499121429671084 , -0.250738748311131 , -0.0012334673810604, -0.240905729933555 , -0.498372110263101 , 0.00499263544816093, 0.324791559814318 , -0.417195733358167 , -0.0581390262392248, -0.459152134072411 , 0.811716908993889 , -0.68133150998843 , 0.828846633317844 , 0.748480679674796 , -0.523711986902489 , 0.157005559369752 , 0.58569026551946 , -0.359645521731051 , -0.352417327754397 , 0.376944878407121 , 0.929759232569614 , 0.0788001541358969 , 0.0294470188090444 , -0.645102924211116 , 0.486253206154985 , 0.560995790114204 , -0.254903385970368 , -0.441415123436182 , -0.115336889956003 , -0.593393325752043 , -0.302057683450696 , 0.624472524662595 , 0.479117413315448 , 0.333911172531216 , -0.143011498496134 , 1.17903167138018 , 0.0466953544280651 , -0.124949636594105 , -0.446309553907082 , -0.179493416209446 , 0.12635134527617 , 0.014994779901154 | 0.2450569 |
| 29 | 50 | 0.0 | 0.0 | 1.0 | control , control , control , control , control , control , control , control , control , control , control , control , control , control , control , control , control , control , control , control , control , control , control , control , control , control , control , control , control , control , control , control , control , control , control , control , control , control , control , control , control , control , control , control , control , control , control , control , control , control , intervention , intervention , intervention , intervention , intervention , intervention , intervention , intervention , intervention , intervention , intervention , intervention , intervention , intervention , intervention , intervention , intervention , intervention , intervention , intervention , intervention , intervention , intervention , intervention , intervention , intervention , intervention , intervention , intervention , intervention , intervention , intervention , intervention , intervention , intervention , intervention , intervention , intervention , intervention , intervention , intervention , intervention , intervention , intervention , intervention , intervention , intervention , intervention , intervention , intervention , 0.0158452844934138 , 0.615015368375112 , -0.710375033387742 , 0.982679744625732 , -0.668546180274377 , 0.177912752901076 , -0.753042538459949 , -0.0920469834986062, -0.382305945987085 , -0.0190937541763369, -0.670072304920728 , -0.011295869304519 , -0.912654310487288 , -0.546661652835175 , -0.100401892437493 , 0.91866875347575 , 0.585381993048036 , -0.396533989998844 , 1.3366585462822 , 0.122973371897024 , 0.162999466067953 , 0.849751007940096 , 0.671935626108102 , 0.290522710599622 , -0.0622171619150606, -0.841833946854014 , -0.796186914554059 , 0.774310469585003 , 1.47975886454849 , -0.344350532501175 , -0.100786291116119 , -2.50170567296823 , 0.926621627913713 , -1.62999117318468 , 1.01460216579009 , 0.268269230976838 , -0.600939588219452 , -1.27799723584467 , -0.164420972813574 , -0.193443064037494 , -0.639273932613956 , -0.121528335357169 , 1.20011317105352 , 0.541467680260871 , 0.261673066853605 , -2.11261245390417 , 0.959711860976533 , -0.819485401728146 , 0.690602079937675 , 0.913178984962249 , 0.586821978154645 , -0.309457369687681 , -1.97064978853374 , -0.280760458867226 , 0.29635516159145 , 0.593556756244848 , -0.487058456079596 , -2.6398245760015 , 0.443120197123616 , -1.42214653374093 , -0.242340766344415 , 1.45780222503673 , 0.424616347558713 , 0.108162478789361 , -0.932954060443289 , 1.87040934181323 , 0.0918709805003513 , 1.45670820983962 , -1.74304929703989 , -1.30919448461772 , 1.35276536621926 , -0.834883049419112 , -1.85739516884054 , -0.0154071075584072, 0.0954708985540473 , -1.01054991770867 , 0.313314951587193 , -0.174870798008607 , 0.902154749434566 , -0.0566657327515378, -0.931372845044664 , -0.0133014683374523, 0.0392640880145881 , 0.433492573689023 , -0.315918735415001 , 0.845329871667236 , 1.57512881628495 , -0.818527413618391 , -1.78974785770755 , -0.722707301072111 , 1.03461998814564 , 1.21810334666904 , -0.6000222788169 , 0.45707280775146 , -0.757759110720354 , -0.531311694060436 , -0.409500557629854 , -0.576982295660621 , 1.19162841269542 , -1.40870131228164 | 0.5494308 |
| 29 | 50 | 0.0 | 0.1 | 0.5 | control , control , control , control , control , control , control , control , control , control , control , control , control , control , control , control , control , control , control , control , control , control , control , control , control , control , control , control , control , control , control , control , control , control , control , control , control , control , control , control , control , control , control , control , control , control , control , control , control , control , intervention , intervention , intervention , intervention , intervention , intervention , intervention , intervention , intervention , intervention , intervention , intervention , intervention , intervention , intervention , intervention , intervention , intervention , intervention , intervention , intervention , intervention , intervention , intervention , intervention , intervention , intervention , intervention , intervention , intervention , intervention , intervention , intervention , intervention , intervention , intervention , intervention , intervention , intervention , intervention , intervention , intervention , intervention , intervention , intervention , intervention , intervention , intervention , intervention , intervention , 0.812415564279493 , 0.700143123040854 , 1.22823101464275 , -0.925532842628362 , 0.606323556694026 , 0.0546105094966185 , -0.637803478234793 , 0.164094124063108 , 0.0677420541247011 , -0.858340641899854 , 0.841047203825248 , -0.696508731804277 , 0.632128241911407 , -0.293748308696598 , 1.51690653219334 , -0.165769746623985 , -0.060191710241219 , -0.608576046832733 , -0.667165048521508 , -0.450919773830558 , 0.105711272507789 , 0.25216628313195 , -0.0989920888618176, 0.42806272484603 , 0.475125328795575 , -0.20582447047142 , 0.153017346751022 , -0.65441245140115 , 0.0689982025148114 , -0.545338750920908 , -0.160763804964737 , -1.16101416298653 , -0.380381317569693 , 0.139198140755868 , 0.147452724559261 , -0.328269920540275 , -0.178743757083514 , 0.897816777932383 , -1.13062917362603 , 0.421256416222673 , 0.559291315825129 , 0.145419049378306 , -0.202343925054826 , 0.492879584906188 , 1.31940400037955 , -0.0337168675751786, 0.976464821434925 , 0.0592376189116267 , -0.181212447145531 , 0.47863022261667 , -0.16589047558793 , 0.0428999741931102 , -0.0082039213944504, -1.15678799728131 , 0.444753351319316 , 0.0701847927677287 , 0.813508474421216 , -0.505723282782988 , 0.0693601291253792 , -0.0807886133249693, -0.333416499645096 , 0.211825155703945 , 0.85789374874725 , -0.713778898126395 , -0.40540846555552 , 0.147222308450962 , -0.416642213213942 , -0.644495673712271 , 0.01511295508363 , -0.325592135323304 , -0.6728283757476 , 0.829831605362673 , 0.206611101680667 , -0.489199910234065 , -0.402824770095553 , 0.37082951208101 , 0.564665713307142 , 0.17863363808081 , 0.130820454399679 , 0.48904541969594 , 0.270494381692279 , 0.590751029260932 , -0.469255838012749 , -0.118951776394101 , 0.554899635429265 , 0.408988990044646 , 0.315517773659804 , 0.131920933695003 , 0.415248438988165 , 0.0293855732197229 , 0.296267987355597 , -0.536272177047437 , -0.0260866841728341, 0.446793264584483 , 1.09834171244098 , -0.0925731546464253, -0.505332991954068 , -0.361120962936544 , -0.6707114461646 , 0.431358299961128 | 0.7476419 |
| 29 | 50 | 0.0 | 0.1 | 1.0 | control , control , control , control , control , control , control , control , control , control , control , control , control , control , control , control , control , control , control , control , control , control , control , control , control , control , control , control , control , control , control , control , control , control , control , control , control , control , control , control , control , control , control , control , control , control , control , control , control , control , intervention , intervention , intervention , intervention , intervention , intervention , intervention , intervention , intervention , intervention , intervention , intervention , intervention , intervention , intervention , intervention , intervention , intervention , intervention , intervention , intervention , intervention , intervention , intervention , intervention , intervention , intervention , intervention , intervention , intervention , intervention , intervention , intervention , intervention , intervention , intervention , intervention , intervention , intervention , intervention , intervention , intervention , intervention , intervention , intervention , intervention , intervention , intervention , intervention , intervention , 0.642425200212702 , 0.771623416610614 , 2.05280612829873 , -0.00685946286151386, -0.997431615820524 , 0.16753210348605 , -1.08317035629406 , 1.71138734251714 , -0.032224433792485 , 0.512864414547036 , -0.939384574623804 , 0.203265010296364 , -1.46659169352947 , 0.136568794969309 , 0.822027964264684 , 2.02123945620531 , 0.0312364586030295 , -0.430728933004125 , -0.49761151253636 , 0.963640134134064 , 2.33550618457967 , -0.494801355393495 , 0.0460448854689945 , 0.0812009295860742 , 0.310239283179044 , 0.299781851978613 , 0.57207344494951 , -1.10071550201524 , 1.03711520891757 , 0.596178268204115 , 0.109348449599894 , -0.279595222418738 , 1.422545372206 , -0.701140755177354 , 0.692376803552253 , 0.0254265624572124 , -0.488208126747895 , -1.12127736740339 , 0.282165550848378 , -2.04477130063958 , -0.133402922990289 , 0.507484295703509 , 1.06057166840806 , 0.218345082762618 , -1.17265876965068 , 0.184750306321004 , 0.463516297682849 , -0.0791592719113271 , 0.601832441304306 , -1.05052123203588 , -0.659537832404921 , 0.022291259914627 , -1.99403649538987 , -0.830634569805622 , 0.81038766387035 , -0.445455155502393 , 1.65383664729664 , -1.59173497231326 , -0.805092737685852 , 0.935253449198724 , -1.86602237554632 , -0.111818373283945 , -0.804561176730325 , -0.139750710348811 , 0.980257883371935 , 0.319598036167159 , 0.906924797796851 , 0.0648387020350759 , 1.3323510692543 , -1.00783068149045 , 1.0834211010378 , 0.926148175143836 , -0.21595902292635 , -0.971400621706638 , -0.194775452153749 , -0.401894612786561 , -0.312768776899619 , 0.713252141094337 , 0.414519894201416 , 0.216960351974064 , 0.95548395839582 , -0.148706864941548 , 2.00320042223151 , 1.5137918899886 , 0.0618917604188829 , 0.397169053571651 , -0.633851453459655 , 0.257287949635723 , -1.31085045518099 , 0.982727277860004 , 0.3984772314587 , -0.131498909559105 , -0.132642109231028 , -0.612906409458392 , 0.47216892846773 , 0.18603452201207 , 2.31860653959369 , 0.208651929348522 , 0.829358791004673 , -1.52464942184852 | 0.7785022 |
| 29 | 50 | 0.5 | 0.0 | 0.5 | control , control , control , control , control , control , control , control , control , control , control , control , control , control , control , control , control , control , control , control , control , control , control , control , control , control , control , control , control , control , control , control , control , control , control , control , control , control , control , control , control , control , control , control , control , control , control , control , control , control , intervention , intervention , intervention , intervention , intervention , intervention , intervention , intervention , intervention , intervention , intervention , intervention , intervention , intervention , intervention , intervention , intervention , intervention , intervention , intervention , intervention , intervention , intervention , intervention , intervention , intervention , intervention , intervention , intervention , intervention , intervention , intervention , intervention , intervention , intervention , intervention , intervention , intervention , intervention , intervention , intervention , intervention , intervention , intervention , intervention , intervention , intervention , intervention , intervention , intervention , -0.524503029939286 , -0.603081897008375 , 0.155302025611254 , 0.421207878064637 , -0.233510036850962 , 0.310253546343417 , 0.766949718486388 , 0.0315041179096208 , 0.14719990998848 , 0.467876029641789 , 0.610717436251109 , 0.340827156475536 , 0.0484950690992283 , 0.327066253802604 , 0.26522407674036 , -0.685840256528289 , 0.160946438211916 , 0.945992617879651 , 0.688330237460388 , 0.154879759054365 , -0.218075964349862 , 1.0376830493615 , -0.455217486825548 , 0.306835355943087 , 0.752394005846434 , 0.189118952568577 , 1.02011687317439 , -1.08052165552365 , 0.197823822488653 , -0.0255397233362441, -0.610012877461625 , 0.471453254147211 , -1.2104048899067 , 0.0527159767139765 , 0.207054946700865 , -0.420457635318802 , -0.0703181792476482, 0.110480220403943 , 0.330190345844809 , -0.280691716380691 , -0.285569445295147 , -0.826536546885727 , 0.459840798652873 , -0.332117478280837 , 0.532057477299538 , 0.466148785825486 , 0.271607036672042 , 0.0728909527045457 , -0.555477149537382 , 0.604532894627759 , 0.0350913654522031 , 0.282887658210759 , 0.29393672060923 , -0.141681844508958 , 0.920687872346111 , 0.717014242755744 , 0.324206498722292 , 0.613425810277091 , 0.78650812634099 , 0.739094297926162 , 0.933720267118383 , 0.491894319248701 , 0.846119790472785 , -0.309496050235192 , 0.0492424152089916 , -0.247231089396171 , -0.275072172591756 , 0.308894645256489 , 1.04623728110332 , 0.711631956023898 , 1.07201168253432 , -0.25510097833089 , -0.32028739268845 , -0.501015603916437 , 0.468040516528665 , 0.85144802472755 , 0.0211622604856734 , 0.577543740549491 , 0.624387746274717 , 1.43149778579944 , 0.535738266036078 , 1.19141960816817 , 0.429504952828206 , 1.0113969669993 , 0.833439377099435 , 0.699867424952105 , 1.69486278839216 , 0.617980363867776 , 0.245755598593688 , 0.820014777718207 , 1.30767482930798 , -0.25216195281363 , 1.29088642710108 , 0.63611794602011 , 0.539610905912879 , 0.545735635941291 , 0.535341668019419 , 0.2279723094083 , -0.43222184948328 , 0.976533678133904 | 0.0000968 |
| 29 | 50 | 0.5 | 0.0 | 1.0 | control , control , control , control , control , control , control , control , control , control , control , control , control , control , control , control , control , control , control , control , control , control , control , control , control , control , control , control , control , control , control , control , control , control , control , control , control , control , control , control , control , control , control , control , control , control , control , control , control , control , intervention , intervention , intervention , intervention , intervention , intervention , intervention , intervention , intervention , intervention , intervention , intervention , intervention , intervention , intervention , intervention , intervention , intervention , intervention , intervention , intervention , intervention , intervention , intervention , intervention , intervention , intervention , intervention , intervention , intervention , intervention , intervention , intervention , intervention , intervention , intervention , intervention , intervention , intervention , intervention , intervention , intervention , intervention , intervention , intervention , intervention , intervention , intervention , intervention , intervention , 1.19669318801886 , 0.148900173695584 , -0.719015661016602 , -0.232464801983512 , 0.515839752646663 , -0.902738976010505 , -0.148427966772677 , 0.217058560862154 , -0.456038232678807 , 1.46461211197016 , 0.150314611999994 , -0.391126109603538 , 2.01875622505385 , 2.43627428829551 , -1.79810604535808 , 1.29962292611169 , 1.2295998235791 , 0.38153752714087 , -1.82424438344335 , 0.613155119337294 , 1.3635470799986 , -0.251631720799972 , 1.28916495622259 , 1.096221610507 , 0.785044612765319 , -0.812075973664174 , -2.26518713310692 , 0.0690957720387648 , 0.409582017008681 , -0.243006693734293 , -0.0701588442759896, 0.522345554806124 , -1.41880045058307 , -1.32995679585248 , -0.0065947818226022, 0.824408466759553 , 0.0179590624431073 , 1.72207548195692 , -0.356449215198159 , 0.10949980564552 , -1.82707983225567 , -0.386508757985703 , -0.256163165044131 , -1.38647752531504 , 0.234943592227151 , -0.466283578000222 , -2.1846798330965 , -0.49619661379884 , 0.274391572665093 , 0.0528305382778564 , 0.564024563084978 , 1.1068580792197 , 0.427874929945042 , 1.31154422304911 , -1.28339604983363 , 2.36627563829515 , 1.02737360143096 , -1.4043413676636 , -0.371039882074953 , -0.673472489183406 , -0.131494367957273 , 0.465986072773236 , -0.763216945385436 , 0.0717844546196048 , 0.322147702240636 , 0.766494049891537 , -0.566914267090197 , -0.524758361812937 , 1.34379345864533 , -0.522445590325112 , 0.675257195082314 , 1.0842811653368 , 1.82944953183927 , -0.405547715465085 , 1.33485917800318 , 0.0397960790279295 , 0.112350281303631 , -0.226867420705513 , 0.0886228751508839 , -0.761169391963907 , -2.08587211867564 , 0.69655202043229 , 1.22934632339227 , -0.761058237821024 , -0.826482012295557 , -1.67297012779558 , 0.919968076205223 , -0.265585983382456 , 0.400252312675723 , 0.154748465933304 , 1.32981458323996 , 2.27881702954142 , 0.412904551048714 , -0.3944508812088 , -1.47979788714723 , 0.465654785395786 , -0.480436005670187 , 1.09820110386255 , -1.33963030386393 , -0.434290819096883 | 0.5437202 |
| 29 | 50 | 0.5 | 0.1 | 0.5 | control , control , control , control , control , control , control , control , control , control , control , control , control , control , control , control , control , control , control , control , control , control , control , control , control , control , control , control , control , control , control , control , control , control , control , control , control , control , control , control , control , control , control , control , control , control , control , control , control , control , intervention , intervention , intervention , intervention , intervention , intervention , intervention , intervention , intervention , intervention , intervention , intervention , intervention , intervention , intervention , intervention , intervention , intervention , intervention , intervention , intervention , intervention , intervention , intervention , intervention , intervention , intervention , intervention , intervention , intervention , intervention , intervention , intervention , intervention , intervention , intervention , intervention , intervention , intervention , intervention , intervention , intervention , intervention , intervention , intervention , intervention , intervention , intervention , intervention , intervention , -0.896033450723158 , -0.294479966309304 , 0.277441283437929 , 0.238329496186672 , -0.776510156130617 , 0.172491760150875 , -0.403858939224931 , 0.185447280115173 , 0.66343344042215 , 0.000797222502536263, 0.194779706749633 , 0.553610064810064 , -0.764092106022481 , -0.246890477347829 , 0.404386277640274 , -0.488877980095005 , -0.0561467853261969 , -0.158730954903845 , 0.291842642326406 , 0.00436965198791181 , 0.713812159522751 , 1.16969213768722 , -0.288700052866483 , 1.21744850261971 , 0.713002025452859 , 1.14221937871659 , 0.0783531148628958 , -0.764770835142899 , 0.762472796975218 , 0.0744177656787442 , -0.22612164586057 , 0.392425445351175 , 0.527081666076618 , -0.0270464127331616 , 0.162302942088275 , -0.309140402431934 , -0.646117590228402 , -0.807859817830861 , -0.458722901460066 , -0.218297157039194 , -0.229478402180201 , -1.04604334986719 , 0.173379167498956 , -0.919958712441617 , -0.120457794663028 , 0.316452193132046 , -0.148218117979496 , 0.331476562645651 , -0.138334340217404 , -0.314940766014034 , -0.610658472629051 , 0.554336489347035 , 0.554883347392425 , 1.23165975042971 , -0.173425093712492 , 0.324574849581342 , 0.211997580966365 , 0.194767540173897 , 0.461632831115526 , 0.676608536757473 , 0.943095106359155 , -0.0395949973762962 , 0.946016833998429 , 0.166866744823537 , 0.15832908084336 , 1.14853920857528 , 0.783257823774772 , 0.623688151160887 , 0.849314269103693 , -0.0918071683037405 , 0.576841505210589 , 0.14118744836587 , -0.281969024061239 , 0.393367588872917 , -0.861728051731736 , -0.350591908983551 , 0.685692273595548 , -0.27731322134022 , -0.120336789976863 , 1.14064546314567 , 1.16842069705742 , 0.0667166390805298 , 0.398025849180434 , 1.15877655873161 , 0.945294867064492 , 1.14387077722215 , 0.219177588902553 , 0.707468741873732 , 0.666879062344154 , 1.1866615751873 , 1.08204598159025 , 1.4379778091596 , 1.92954536569024 , 0.768373450732181 , 0.148599915931228 , 0.335049130650493 , 0.0734984414700587 , 1.24766960947851 , 0.752393438686591 , -0.257027630526705 | 0.0000205 |
| 29 | 50 | 0.5 | 0.1 | 1.0 | control , control , control , control , control , control , control , control , control , control , control , control , control , control , control , control , control , control , control , control , control , control , control , control , control , control , control , control , control , control , control , control , control , control , control , control , control , control , control , control , control , control , control , control , control , control , control , control , control , control , intervention , intervention , intervention , intervention , intervention , intervention , intervention , intervention , intervention , intervention , intervention , intervention , intervention , intervention , intervention , intervention , intervention , intervention , intervention , intervention , intervention , intervention , intervention , intervention , intervention , intervention , intervention , intervention , intervention , intervention , intervention , intervention , intervention , intervention , intervention , intervention , intervention , intervention , intervention , intervention , intervention , intervention , intervention , intervention , intervention , intervention , intervention , intervention , intervention , intervention , -0.44490768339184 , 0.0760604868341374 , -0.400071560245767 , -0.622520174597697 , 0.204634492466942 , -0.0104458724194693, 1.78586094318817 , -0.161095659841317 , 0.339554057957701 , 0.682335975780387 , -1.38222686077736 , 0.729638930681414 , -0.291405735689656 , 0.418735909056073 , -0.611513614084888 , -0.203496746225046 , -0.0602190730209845, 0.447496547802657 , -0.473701368641201 , -0.439452842372772 , -0.483462943124487 , -0.264379227705447 , 1.81923872100018 , 0.572398101565565 , -1.22830194047711 , -0.333850419953795 , -0.329742098451795 , 0.649083213470858 , 1.03478430111937 , 0.22146796883213 , -1.94799024377389 , 0.169016516581 , -1.61967128189112 , -0.383072900622126 , -0.446371283047716 , -0.536144758079186 , 1.37405340694512 , -0.0722468511119942, 0.673076441403726 , 1.40417197605379 , -0.433509437300547 , 0.783406393070866 , 0.0890606474693397 , -0.431674259796686 , -0.983557011948935 , 1.19331873702176 , 2.09869081414337 , -0.530161221200066 , 1.17933828234706 , -0.834289717340393 , 0.0339438546361189 , 0.834146907745257 , 0.714344901764845 , -0.946322858554593 , -0.402217072088096 , 1.28770915405913 , 1.40251197946166 , 1.0029451496029 , 1.09743171238678 , 1.88525809214359 , 1.90146720027228 , 0.0465381219529324 , -0.114973551854686 , 0.847796346733175 , -0.382953702944858 , 1.6389217225021 , 0.128052705238161 , -0.251589327948471 , -0.525529766158446 , -0.512898240938482 , 1.2583789159773 , 0.414269553760244 , 1.4336542177529 , 0.0633579013564513 , 0.390452785046923 , -0.438867319220679 , -0.055790512746128 , -0.792559876506231 , -0.0194928088389251, -0.135650367196777 , 2.33627046744481 , 0.0686174379027981 , 1.13937723889365 , 0.669993404259696 , 0.787087945878109 , 0.570046648134723 , 2.14151747742879 , 0.870167742657338 , -0.0182355199262353, 1.1628640045643 , 1.88370135796588 , -0.588565465056753 , 0.201488410439971 , -0.472168852677274 , -0.377719664925378 , -0.856321814571883 , 0.68101223848178 , 1.95812854628922 , 0.761367617823083 , 1.29087536506621 | 0.0068700 |
| 30 | 20 | 0.0 | 0.0 | 0.5 | control , control , control , control , control , control , control , control , control , control , control , control , control , control , control , control , control , control , control , control , intervention , intervention , intervention , intervention , intervention , intervention , intervention , intervention , intervention , intervention , intervention , intervention , intervention , intervention , intervention , intervention , intervention , intervention , intervention , intervention , -0.636260279265621 , 0.147120258597025 , -0.0593279235934461 , 0.361778433096059 , 0.114824464833106 , -0.078682155736942 , 0.364944345603414 , -0.37938637325126 , 0.724351728376823 , 0.413709796960984 , 0.368069418263742 , -0.126017957821102 , -0.903425677803759 , -0.707426175748953 , 0.532348514135362 , -0.332153561118876 , -0.408364490436356 , -0.471064671261306 , 0.284507252651801 , -0.478766467389948 , -0.125325424360963 , 0.570086130593003 , -0.152877158941523 , 0.365233903323588 , -1.30654251256976 , -0.599641643058362 , 0.188885928664374 , 0.596048152462822 , 0.361379522669936 , 0.318349537882721 , 0.398564586161012 , 0.0406539760732239 , -0.181909579481784 , -0.3927953124602 , -0.204768322296889 , -0.00813389370870718, 0.10398335403016 , -0.13471778570106 , 0.323044048070042 , 0.0643396648947531 | 0.6040675 |
| 30 | 20 | 0.0 | 0.0 | 1.0 | control , control , control , control , control , control , control , control , control , control , control , control , control , control , control , control , control , control , control , control , intervention , intervention , intervention , intervention , intervention , intervention , intervention , intervention , intervention , intervention , intervention , intervention , intervention , intervention , intervention , intervention , intervention , intervention , intervention , intervention , -0.0233501112521137, 1.89457345262471 , 1.27134896957519 , -0.735148515544768 , 0.567443937915049 , 1.48210816281859 , 0.261335449932841 , 1.06562416848103 , 0.501846374388287 , 0.207315485995231 , -1.1576255343312 , 1.5728450238043 , 0.688479167553745 , -0.304450528523022 , 0.939292037642715 , -0.0772414883864024, -0.405484127084333 , -0.516415249443124 , 0.195849403450706 , -2.2963341230853 , 1.59840914889709 , 0.421623912244106 , 0.852127296406933 , -0.0983536176923032, 1.08893507108489 , 1.58905745736958 , 0.714480615862174 , 0.431868767286795 , 0.951809868978467 , 0.122394664525834 , 0.912559065624467 , 0.931674118166594 , 1.23578651750642 , 0.621880841744866 , 0.348347324543165 , 1.74662475526015 , -0.0434461710422192, 1.75969071953723 , 0.597677793836495 , -2.38374480547696 | 0.1824346 |
| 30 | 20 | 0.0 | 0.1 | 0.5 | control , control , control , control , control , control , control , control , control , control , control , control , control , control , control , control , control , control , control , control , intervention , intervention , intervention , intervention , intervention , intervention , intervention , intervention , intervention , intervention , intervention , intervention , intervention , intervention , intervention , intervention , intervention , intervention , intervention , intervention , -0.0135755327974666, -0.279527824200258 , 0.275608542789059 , -0.0693413871917109, 0.832283773343566 , 0.583146751090373 , -0.155482146894869 , -0.280306982159166 , 0.34934447983895 , 0.0822079845903523 , 0.371835263655893 , 0.47092925094498 , -0.473348655686005 , 0.0624129898049524 , 0.250281789022175 , -0.92567155025842 , -0.205621990719253 , -0.376659816680016 , -0.235959198089315 , 0.392170757419482 , 0.474775299890701 , 0.267384312629888 , -0.311608371147238 , -0.189962275179118 , -0.085926621609777 , -0.726300170761125 , 0.961126643370604 , -0.691350895545163 , 0.401469506357417 , -0.0675932258887621, 0.681637874996579 , 1.1699836692999 , -0.0636825953248559, 0.101083928196166 , 0.448022799584518 , -0.560671531368078 , -0.276448533515033 , -0.129160661513398 , -0.255386459588889 , -0.516451578866479 | 0.9937351 |
| 30 | 20 | 0.0 | 0.1 | 1.0 | control , control , control , control , control , control , control , control , control , control , control , control , control , control , control , control , control , control , control , control , intervention , intervention , intervention , intervention , intervention , intervention , intervention , intervention , intervention , intervention , intervention , intervention , intervention , intervention , intervention , intervention , intervention , intervention , intervention , intervention , 0.786307706895108 , -1.34006469012275 , -0.264991802241761, 1.17596687018088 , 0.0246237612758174, -0.303499104261957, -0.375265957117212, -0.401100877292775, 0.990098496220479 , 1.15060016965133 , -0.166247669441031, 1.25021762793749 , -1.46691774603119 , 0.78379362973787 , -0.313685382306782, -0.023721019214611, -1.30808548035339 , -0.217719219497251, 0.179337771839639 , 1.86775662711679 , -0.60199640306105 , 0.52309516028841 , 1.60516579948185 , -0.345226920090712, -0.613595590443542, 0.190537872001403 , 0.564254709351961 , -0.405939251963935, -1.32565119706651 , 0.439862072556462 , -0.766018286396964, 0.494448696747218 , -0.544192344037167, -0.125860111559548, -1.32298120112723 , 0.913670034483156 , 0.545811991249291 , -1.43384890377085 , -0.457441881884229, 0.615242553842064 | 0.4629375 |
| 30 | 20 | 0.5 | 0.0 | 0.5 | control , control , control , control , control , control , control , control , control , control , control , control , control , control , control , control , control , control , control , control , intervention , intervention , intervention , intervention , intervention , intervention , intervention , intervention , intervention , intervention , intervention , intervention , intervention , intervention , intervention , intervention , intervention , intervention , intervention , intervention , 0.12232326161797 , -0.157914217682129, 0.433406314627926 , 0.0242611814661472, 0.147881941682822 , 0.91041598924591 , 0.866809715185531 , 0.814022342044305 , -0.141027189336483, 0.169285533125519 , -0.419198886074441, -0.291806305036992, 0.150437777971143 , 0.829902443368959 , 0.047654016815161 , 0.433431320545841 , 0.325378379464119 , 0.556017013384356 , -0.389500697255445, 0.418617735735512 , 1.36929715917112 , 0.329072965502804 , -0.128260300105523, 0.64371846821684 , 0.23924830428654 , 0.598969876300071 , 0.825031397278896 , 1.59081124117964 , 0.449339775149087 , -0.144863801591957, 1.56514722553526 , 0.792621172915615 , 0.993254206470861 , 1.69468389694722 , 0.405892280306096 , -0.671614184986468, 1.16046444348379 , 0.458808215792442 , 1.35958221000655 , -0.611676460269142 | 0.0322617 |
| 30 | 20 | 0.5 | 0.0 | 1.0 | control , control , control , control , control , control , control , control , control , control , control , control , control , control , control , control , control , control , control , control , intervention , intervention , intervention , intervention , intervention , intervention , intervention , intervention , intervention , intervention , intervention , intervention , intervention , intervention , intervention , intervention , intervention , intervention , intervention , intervention , 1.48259596082292 , -0.196384830666452 , 1.14409264366501 , 0.418794732193025 , 0.0558044517241395 , -0.61337191171386 , 0.951315142294191 , -0.393263707636957 , -1.17636766844728 , -1.58436298524038 , 0.85448257367842 , 0.247647070681199 , -0.477588203862948 , 1.56384673446445 , -0.0627079332134477, -0.222050173579218 , -0.184558079068221 , 0.123243349964218 , 2.36317821981653 , 0.041648806502956 , 0.772397551395488 , 0.50376360578895 , 1.87511647483963 , -0.0745309723629834, 1.20771346669554 , 0.831165206642516 , -0.119794325149214 , -0.0786118436104722, 0.454940443471264 , -0.280047747898503 , 0.921826131512035 , 0.929181371224 , 1.559531393315 , 1.21959193203773 , -0.201236875019861 , -0.780732971701932 , 2.10240630675933 , 0.0613158540744506 , -2.59058588339452 , -0.806872217006708 | 0.6250924 |
| 30 | 20 | 0.5 | 0.1 | 0.5 | control , control , control , control , control , control , control , control , control , control , control , control , control , control , control , control , control , control , control , control , intervention , intervention , intervention , intervention , intervention , intervention , intervention , intervention , intervention , intervention , intervention , intervention , intervention , intervention , intervention , intervention , intervention , intervention , intervention , intervention , 0.40033132171891 , -0.00738907727545696, 0.0391416937458775 , 0.45613309983137 , 0.0973089426246365 , 0.172826870126389 , 0.459961434352626 , 0.228218461726931 , 0.76373932185049 , -0.160279372713855 , 0.341904086983283 , 0.504412759221484 , 0.674143550527341 , 0.576457626739149 , 0.239329945884431 , -0.422962838715542 , 0.41559013509029 , 0.2684077068583 , 0.107525585298158 , 0.401781318164011 , 0.427680406363105 , -0.348516458085227 , 0.569111362144137 , 0.149769326912207 , 0.287120343697716 , 0.0998039836235541 , -0.170136302802956 , 1.59422304165592 , 0.905313947268409 , 0.835398497542889 , -0.0491533064777487 , -0.064505714115772 , 0.578431901172388 , 0.156520498940028 , 0.56379606954998 , 0.0743597936190891 , -0.00102282273211884, 0.619080013585246 , 0.73001633886251 , 0.564932718907679 | 0.4180690 |
| 30 | 20 | 0.5 | 0.1 | 1.0 | control , control , control , control , control , control , control , control , control , control , control , control , control , control , control , control , control , control , control , control , intervention , intervention , intervention , intervention , intervention , intervention , intervention , intervention , intervention , intervention , intervention , intervention , intervention , intervention , intervention , intervention , intervention , intervention , intervention , intervention , 0.785476602996978 , 0.337550634407381 , 0.268107891090925 , 1.42235255414317 , 0.8507145450562 , 0.968239410595697 , 1.2168167833862 , 0.0092059433416562 , 0.0921849645687647 , -0.495753641224573 , 1.26876572671474 , 1.24176179268902 , -0.0795609835806745, 0.2091999624789 , 0.915633270725712 , 0.022195252531151 , -1.51508135773011 , -0.384622857642248 , -0.0984167778602147, -0.1550172638816 , 0.0774439428201086 , -0.384106218183883 , 2.62330589948395 , 0.167028309430392 , -0.968733674538164 , 0.587571288939661 , 0.438140005261596 , -0.622731988283589 , 1.06318459499591 , 0.0614451576699666 , 1.43073131413108 , 1.17376190528219 , 1.28053992760618 , 0.159165580715616 , 0.355183904236321 , 0.629136530859169 , 1.34403585477498 , 1.79330816235026 , -0.132351266689484 , 1.2005987432384 | 0.2993390 |
| 30 | 50 | 0.0 | 0.0 | 0.5 | control , control , control , control , control , control , control , control , control , control , control , control , control , control , control , control , control , control , control , control , control , control , control , control , control , control , control , control , control , control , control , control , control , control , control , control , control , control , control , control , control , control , control , control , control , control , control , control , control , control , intervention , intervention , intervention , intervention , intervention , intervention , intervention , intervention , intervention , intervention , intervention , intervention , intervention , intervention , intervention , intervention , intervention , intervention , intervention , intervention , intervention , intervention , intervention , intervention , intervention , intervention , intervention , intervention , intervention , intervention , intervention , intervention , intervention , intervention , intervention , intervention , intervention , intervention , intervention , intervention , intervention , intervention , intervention , intervention , intervention , intervention , intervention , intervention , intervention , intervention , -1.34284528128592 , -0.309927502165989 , 0.366354106711578 , -0.0217412170835002 , 0.480205105694982 , 0.60348412407864 , 0.194908460191617 , 0.241732205203023 , 0.438610359365137 , 0.791963269343998 , -0.196802317892073 , -0.772986123237436 , -0.439812807186517 , 0.155656767093278 , -0.0480856431816296 , 0.712697542188551 , 0.525345006494558 , -0.616091156854438 , 0.0363763786071262 , 0.73556766165965 , -0.189059482886981 , 0.365902498002494 , -1.00826806863377 , 0.600121246929503 , 0.228089567477201 , -0.238585280369419 , -0.385398835398462 , -0.364383207727696 , 0.3992820606707 , 0.825672373829333 , 0.140242295490009 , -0.375969018145514 , 0.0030502893008599 , 0.222887025706435 , 0.11746084067457 , 0.529389813194618 , 0.316454127338077 , -0.222026385125898 , 0.310652922255945 , 1.00587664436376 , -1.12614816688946 , 0.510045391622942 , 1.40300856828631 , -0.0916075925184298 , 0.157481897645668 , 0.717871846167602 , 0.0766376050602868 , -0.155932262608096 , 0.282916473717296 , 0.733370181529512 , -0.349281816149679 , -0.924840821471516 , 0.517650952780171 , 0.298548553846519 , -1.31592339581934 , -1.44604200254972 , -0.644491978292983 , -0.427014179943031 , 0.621310051637347 , -0.612661825350113 , -1.17716223828274 , 0.0371937296894138 , 0.327111494058165 , 0.33224596992054 , -0.347207804055042 , -0.601738182495995 , -0.27465926526169 , -0.00478670572581177, 0.216186942277328 , -0.860432605978715 , 0.0574294068370186 , 0.0860226936693274 , 0.669269454968395 , -0.180944818596186 , 0.402529243148232 , 0.0605235621342461 , -0.155695992209348 , 0.402395346936992 , 0.129545886291292 , 0.0156432803058442 , 0.118216370979876 , -0.73665178370253 , -0.324011301984085 , -0.417347114604547 , -0.502558716710062 , 0.493150322724111 , 0.530650847789566 , -1.07163563553387 , -0.0366322226560687 , -0.783341025777521 , -0.144788919018007 , -0.307801638611873 , -0.026670907149193 , 1.18630814227428 , -0.675358428171572 , -0.517792649923716 , -0.0150683680239343 , 0.35719544565931 , 1.0511428636579 , 0.396597387973425 | 0.0239919 |
| 30 | 50 | 0.0 | 0.0 | 1.0 | control , control , control , control , control , control , control , control , control , control , control , control , control , control , control , control , control , control , control , control , control , control , control , control , control , control , control , control , control , control , control , control , control , control , control , control , control , control , control , control , control , control , control , control , control , control , control , control , control , control , intervention , intervention , intervention , intervention , intervention , intervention , intervention , intervention , intervention , intervention , intervention , intervention , intervention , intervention , intervention , intervention , intervention , intervention , intervention , intervention , intervention , intervention , intervention , intervention , intervention , intervention , intervention , intervention , intervention , intervention , intervention , intervention , intervention , intervention , intervention , intervention , intervention , intervention , intervention , intervention , intervention , intervention , intervention , intervention , intervention , intervention , intervention , intervention , intervention , intervention , -0.364836877230382, -1.19901389057151 , 0.428483700822877 , 0.144656861351235 , -0.758696304637992, -1.53624110312581 , 1.03097118607564 , 0.976039839976184 , 0.879738757751289 , 0.799283091840343 , -1.29416452641442 , 0.491283587059285 , -0.913085841557662, -0.144868734887168, 1.117637205002 , -0.079721642429902, 0.117970752296697 , 1.3733877390154 , -0.621938830538785, -0.379729042559887, -0.896849899813846, -0.35606405042902 , 0.889293294664455 , -0.104170961748639, -0.409853895860387, 1.35233300337046 , 0.58846293921174 , -0.306167202303403, -1.44589742290439 , 2.58922471463972 , 0.026422812667814 , 2.59988822547304 , -1.99499830519206 , 0.111476171911381 , -0.582785638325681, 0.46692584178618 , 1.31543205527877 , -0.488236862155846, -1.00877546735672 , 0.581767405109862 , -0.487965632975506, -1.84072189799979 , 0.822500016497324 , -1.55934785482984 , -0.987195550148262, -0.740974532129526, 1.00613721007475 , -1.53503362830926 , -0.410543261345183, 0.597246658194449 , -0.675777689332333, 0.373407200523279 , 0.0305793202245735, 1.32559093148434 , -0.747972870800337, -1.48603871175763 , -0.3130090701418 , 0.427686017691372 , -2.52551391972105 , -2.37547619529575 , 0.314742977113897 , -0.205356972745219, 0.300029576050474 , -0.187019879570109, -0.998887689829439, 1.74687762725959 , -2.34492829564988 , 0.74323499995924 , 1.47861860301854 , 0.0145826216257043, -0.425220132737192, 1.24878778900991 , 2.55743560426903 , -0.922236572465494, 0.890020543761724 , 0.752765238332504 , 1.6992335734037 , 0.0121123661159595, 0.295317563920838 , -0.345607300989583, -0.690111995714329, -1.02363223649549 , -0.42124870264307 , 2.32580908788632 , 0.2528022162633 , 0.987861651791114 , 1.2966504331054 , -1.69753356637452 , 0.950866524721845 , -1.0412320152556 , 1.52493134182038 , 0.860306950581585 , -0.122454258688441, -0.535677508873799, -0.188823030973841, 0.769493692737059 , -0.222690828288836, 1.19772931904491 , 0.647089919606822 , 0.481839477319444 | 0.4592162 |
| 30 | 50 | 0.0 | 0.1 | 0.5 | control , control , control , control , control , control , control , control , control , control , control , control , control , control , control , control , control , control , control , control , control , control , control , control , control , control , control , control , control , control , control , control , control , control , control , control , control , control , control , control , control , control , control , control , control , control , control , control , control , control , intervention , intervention , intervention , intervention , intervention , intervention , intervention , intervention , intervention , intervention , intervention , intervention , intervention , intervention , intervention , intervention , intervention , intervention , intervention , intervention , intervention , intervention , intervention , intervention , intervention , intervention , intervention , intervention , intervention , intervention , intervention , intervention , intervention , intervention , intervention , intervention , intervention , intervention , intervention , intervention , intervention , intervention , intervention , intervention , intervention , intervention , intervention , intervention , intervention , intervention , 0.631845379752926 , -0.26806726623554 , 0.777068642024785 , -0.218945495016606 , 0.642164147494367 , 0.0130725778163583 , 0.407668496573657 , -0.241596173219696 , -0.116941515195472 , 0.027698191220915 , 0.25567839564178 , -0.312566826382394 , 0.426360279844522 , -0.301890176385615 , 0.652697128460807 , 0.03409330435434 , -0.447242951058494 , -0.3972687218676 , -0.0139404644536205, -0.691817087312836 , 0.334185437854102 , 0.112313565464281 , -0.606030091595591 , -0.435387201364447 , -0.559912810422488 , 0.0949204846366982 , 0.409004884007028 , -0.731302974112406 , 0.47698251636226 , -0.375639386693968 , 0.209201380795995 , 0.576698879025709 , -0.528538163036805 , -0.574509306752263 , -0.52801365681186 , 0.600997448303513 , 0.179438809484344 , 0.418886084149405 , -0.0423440498725015, 0.59843970927292 , -0.32890709708203 , 0.404536096430869 , -0.401226559359481 , 0.0746896994553614 , 0.545175663260397 , 0.636806773081968 , -0.162136894886644 , -0.347576859064977 , 0.279302707539194 , 0.433410195894041 , -0.205602144724112 , 0.12121309525206 , 0.109112678427436 , -0.610972534394056 , -0.286160903293208 , 0.246185167667613 , 0.164473396681147 , -0.49696833899352 , 0.17244233711627 , 0.382122699153707 , -0.54138590973198 , -0.299818414989082 , 0.941795719315194 , 0.774888198815643 , -0.387877947842453 , 0.63399010289795 , 0.91718183429553 , -0.0426480000688407, -1.06363812797505 , -1.0575232154136 , 0.30247394461704 , -0.37528476079663 , 0.129829972047557 , -0.425360708554532 , -0.204668632252956 , 0.578553141950991 , 0.12963589699823 , -0.692195566249057 , -0.226915710461356 , -0.0540674459514373, -0.121819370498569 , -0.469424634992319 , 0.175951431554121 , 0.116342656939709 , 0.170723128787598 , 0.334171471187865 , 0.223884446157995 , 0.661599906796589 , -0.546805880159434 , 0.402562738484513 , 0.0728225814188023 , -0.423296013813434 , 0.304787292722161 , 0.207179966490859 , 0.515262792951148 , 0.212585211568042 , -0.797090810231341 , 0.207247433854449 , 0.552162487241863 , -0.0857032607788434 | 0.7790077 |
| 30 | 50 | 0.0 | 0.1 | 1.0 | control , control , control , control , control , control , control , control , control , control , control , control , control , control , control , control , control , control , control , control , control , control , control , control , control , control , control , control , control , control , control , control , control , control , control , control , control , control , control , control , control , control , control , control , control , control , control , control , control , control , intervention , intervention , intervention , intervention , intervention , intervention , intervention , intervention , intervention , intervention , intervention , intervention , intervention , intervention , intervention , intervention , intervention , intervention , intervention , intervention , intervention , intervention , intervention , intervention , intervention , intervention , intervention , intervention , intervention , intervention , intervention , intervention , intervention , intervention , intervention , intervention , intervention , intervention , intervention , intervention , intervention , intervention , intervention , intervention , intervention , intervention , intervention , intervention , intervention , intervention , -0.468371706546439 , 0.496613518472713 , -0.511103387515684 , 0.960594564655354 , -1.82868268462245 , -0.0838865921586381, 0.0527984899188777 , -0.481657386355117 , -0.0142362521740285, 1.67550426469065 , 0.159363659282348 , -0.173243389785623 , -0.295937824989803 , -2.54945357698753 , -0.0921425613620804, 0.26178929106729 , 0.892048769787043 , 1.53176282340013 , 0.814189873164206 , 1.25523914716005 , -0.0908342050215669, 0.0977056533357767 , -0.124749323985264 , 1.57908705008278 , 0.990769984676662 , -0.47289621486571 , -0.532281324190694 , -0.203454646888698 , 0.296558391523562 , 1.64479949166582 , 0.195786431264995 , -0.42098254714075 , 0.929768693773649 , -1.38197403130797 , 0.66360993160132 , 1.3541437171116 , 0.14965605945094 , -0.453021095021208 , -0.118644320712896 , -0.629365009943922 , 1.02535906307321 , -0.630189372577106 , -1.91599651002925 , -0.422411061968414 , 1.21730226335084 , 0.393632054576986 , -0.356960279606708 , 1.65763129586813 , 0.300860625236493 , 0.896163570818694 , 0.582879423394736 , -0.070983007368574 , 1.59781297086789 , 0.235813536106313 , 0.0698515445999784 , -0.415887662186319 , 0.116502241020124 , -1.10004537536934 , -1.02209323585886 , 0.892745563816989 , 0.552358425891999 , 1.92118517214252 , -0.483351821663085 , -0.0278839740211277, -0.685016134108802 , 1.25927970447579 , 0.483949280716983 , -0.453437006402822 , -0.737376968850309 , -0.168344424505208 , -2.06823481875404 , -0.458976901301483 , -0.325308297803979 , -0.90556097861527 , 1.74655336720906 , 1.61508178077081 , -0.779521162636626 , 1.7873706509295 , -0.691437447306126 , 0.582823377196849 , 0.0755724509188707 , 1.06230112589676 , -0.195394737872266 , 0.918224019192645 , 0.435045375999889 , 1.08323359356966 , -0.655252215943184 , -1.35836488918862 , -0.783831001984144 , 0.278581818463422 , -0.569216184424268 , -0.205068380901592 , 0.862739402556486 , -0.0218696665091919, 0.0746827179826076 , -0.138179747694732 , 0.624216860762512 , 0.79865172303167 , -3.24348668796342 , -1.92299783821245 | 0.4731732 |
| 30 | 50 | 0.5 | 0.0 | 0.5 | control , control , control , control , control , control , control , control , control , control , control , control , control , control , control , control , control , control , control , control , control , control , control , control , control , control , control , control , control , control , control , control , control , control , control , control , control , control , control , control , control , control , control , control , control , control , control , control , control , control , intervention , intervention , intervention , intervention , intervention , intervention , intervention , intervention , intervention , intervention , intervention , intervention , intervention , intervention , intervention , intervention , intervention , intervention , intervention , intervention , intervention , intervention , intervention , intervention , intervention , intervention , intervention , intervention , intervention , intervention , intervention , intervention , intervention , intervention , intervention , intervention , intervention , intervention , intervention , intervention , intervention , intervention , intervention , intervention , intervention , intervention , intervention , intervention , intervention , intervention , -0.50823186385931 , 1.3120490096551 , 0.97898009057664 , -0.739004938333471 , 0.773561745201973 , 0.56418703197722 , 0.901530654750388 , 0.406734486008027 , -0.077265986964931 , -0.758966997673625 , -0.0971110322189072, 0.0311622395932393 , 0.0248080405514555 , 0.0282440351704334 , 0.22002340729774 , -0.593122132381306 , 0.615931047710475 , -1.06392512554229 , -0.391413966111539 , 1.10709529913052 , 0.157922684822588 , -0.208160791023889 , -0.758288531490589 , 1.1166099464196 , -0.624421753275283 , -0.481636702422475 , 0.0648542734862702 , 0.236186324861915 , 0.963149859746284 , -0.112231953665276 , 0.160081676439143 , -0.200955414790844 , 0.324925946868858 , -0.631752151027282 , 0.543416556999598 , 0.95163748183259 , 0.740269268300648 , -0.299985009944369 , 1.00840829405964 , -0.0955625367920169, 0.883805423329687 , 0.611452568657747 , 0.45183709969238 , 0.698229832147807 , -0.0727175157059771, -0.633783274875313 , 0.00635320029344164, 0.565998388138871 , 0.107960507198695 , 0.0379902351677823 , 0.369457680284212 , 0.836472591806474 , 0.675271315033387 , 0.692366763896825 , 0.00511095942976991, 0.237893860592551 , 1.20085969266057 , 1.23969004556454 , 0.923031372961821 , 0.0427627660558029 , 0.615979532639316 , -0.0520893232549198, 0.997764036499217 , -0.244040201173881 , 0.90260653119004 , 0.129978464590304 , 0.172573707552373 , 0.945392689138546 , 1.73679943495322 , 0.306889268074824 , 0.0652100815060295 , 0.483934856356433 , 0.50682662047834 , 0.348036694752401 , 0.141469151241434 , 0.841011789007789 , 0.703202055699211 , 0.491412681452731 , -0.196008720994072 , 0.548751559975072 , 0.707218136305562 , 0.187632583072787 , 0.246127633059586 , 1.1871738410359 , 0.716922184409666 , 1.34840488244108 , 1.01566253113131 , 0.37125260949104 , -0.81916828192059 , 0.470225353749251 , -0.281566260240481 , 0.522905866751625 , -0.720360492527337 , 0.233910293820538 , 0.389644745568403 , -0.0778834726295862, -0.0261928893535468, -0.0389239853017416, 0.964322463033846 , 0.617710929901218 | 0.0109057 |
| 30 | 50 | 0.5 | 0.0 | 1.0 | control , control , control , control , control , control , control , control , control , control , control , control , control , control , control , control , control , control , control , control , control , control , control , control , control , control , control , control , control , control , control , control , control , control , control , control , control , control , control , control , control , control , control , control , control , control , control , control , control , control , intervention , intervention , intervention , intervention , intervention , intervention , intervention , intervention , intervention , intervention , intervention , intervention , intervention , intervention , intervention , intervention , intervention , intervention , intervention , intervention , intervention , intervention , intervention , intervention , intervention , intervention , intervention , intervention , intervention , intervention , intervention , intervention , intervention , intervention , intervention , intervention , intervention , intervention , intervention , intervention , intervention , intervention , intervention , intervention , intervention , intervention , intervention , intervention , intervention , intervention , 1.70015164769317 , -0.779323558685276 , 0.805369224626742 , -0.70915621691667 , -0.869227811800801 , 0.435820806992329 , -0.313345747184655 , -0.215382212652382 , -0.694474519976066 , 0.0949571107167512 , 0.258347417090131 , -0.0390300190874992, -0.378911946098405 , -0.107844363380399 , 1.3021081925747 , -0.584063961083552 , 2.27449276690401 , 0.168195483358694 , 0.0805690300473333 , -0.510921917375567 , 1.609615889012 , 1.76667432587382 , 1.6906418693175 , -1.64387868070638 , 2.08617755194383 , 0.879326850299475 , 1.23076604841297 , -0.114622219827745 , -1.73972468302935 , -2.27880752640084 , 0.581229712371037 , 0.703373303252516 , 0.350482751135647 , 0.814975021578034 , -1.5401550790139 , 1.01057519275985 , 0.576284580705009 , -1.05828298037001 , 1.28178074586443 , -0.202826068260696 , -0.329082905621869 , -0.87762660720792 , -0.199041789632073 , -0.69985157596069 , 1.06345947211718 , -0.709773929838485 , -1.4444984613073 , 0.0795744187861707 , -0.400741660866804 , 0.68900830230627 , 0.653134120874612 , 0.00420599428098806, 1.07428749231202 , 1.61696210035171 , 2.07351869845549 , 0.675407945098888 , 1.8182502056298 , 1.25162467783122 , 1.06469434035467 , -0.68069768066141 , 0.950104651985479 , 1.22685612658834 , -0.242024064399847 , -0.643045079031001 , 0.855757412124717 , -0.252310933903197 , -0.361107869187378 , 2.23857383251827 , 2.20323688030007 , 1.08528489768676 , -0.147443599919982 , 3.30974041342056 , -1.04470211051264 , 1.90822135897756 , 0.231258712351903 , 0.27862287373417 , 2.72582958820183 , 1.35763921007636 , -0.395090105346278 , -1.63545170129084 , 1.56709288651124 , 0.0669562655375223 , 0.485656030881933 , 0.97477033953399 , 0.62522693507151 , 0.153572634421097 , 0.796106429015943 , -0.529820164972094 , 2.45149519758645 , -0.0342948872805628, -1.08457965882402 , 1.57693510023081 , -0.517842101035073 , -0.286045565648989 , 1.88512579473868 , -0.863961801943802 , -0.822372611936438 , -0.251455988345501 , 0.924643419892561 , -0.492257907440372 | 0.0246192 |
| 30 | 50 | 0.5 | 0.1 | 0.5 | control , control , control , control , control , control , control , control , control , control , control , control , control , control , control , control , control , control , control , control , control , control , control , control , control , control , control , control , control , control , control , control , control , control , control , control , control , control , control , control , control , control , control , control , control , control , control , control , control , control , intervention , intervention , intervention , intervention , intervention , intervention , intervention , intervention , intervention , intervention , intervention , intervention , intervention , intervention , intervention , intervention , intervention , intervention , intervention , intervention , intervention , intervention , intervention , intervention , intervention , intervention , intervention , intervention , intervention , intervention , intervention , intervention , intervention , intervention , intervention , intervention , intervention , intervention , intervention , intervention , intervention , intervention , intervention , intervention , intervention , intervention , intervention , intervention , intervention , intervention , 0.711598021682279 , 0.00156411018454321, -0.490555827960817 , -0.592351581650988 , -0.309452862471797 , 1.07491074510394 , 0.718115315559599 , -0.0193060192151595, 0.456277848990744 , 0.209324601766931 , -0.191636640729789 , -0.0492781481583164, -0.199642045126538 , -0.166559208939545 , 0.294058688092632 , 1.19947364225302 , 0.687712199849293 , 0.127300078859497 , -1.1400517837092 , 0.253111086908105 , 0.210000232956529 , 0.828599898219472 , 0.644213480257536 , -0.167676695892766 , 0.312017428896153 , -0.472647207594627 , -0.4000401642466 , 0.852254724215079 , -0.709595572242703 , -0.109858733435316 , 0.132003169447066 , 0.548350770708657 , 0.059315651855489 , -0.591123546322166 , -0.073497373477982 , 0.551694757945289 , 0.191244246987871 , -0.417248918693414 , -0.171943401766243 , 0.235223679353687 , -0.0716047379666742, 0.804154011694072 , -0.261828768912507 , -0.107808458669885 , 0.653090975934855 , 0.293977226606546 , -0.216383181032156 , -1.11072337283163 , 0.107431041928637 , -0.587905814703496 , 0.820616287843137 , -0.354335611752979 , 0.0490599578981545 , 0.489555920669162 , 0.518395433869873 , 0.40564738315846 , 0.0425392981854078 , -0.0382392274183876, 1.31311187002398 , -0.517585346798278 , -0.127868515761145 , 0.0309965346971792 , 0.505432661944256 , 0.458633696751487 , 0.57899480178845 , 0.357520545535567 , 0.849464047343648 , -0.731703553823423 , 0.865982088936676 , 0.60617730013022 , 0.130020402071562 , 1.04594402170972 , -0.226144948001294 , 0.898349916286994 , 1.19169541785675 , 0.509306818095864 , -0.397815089476627 , 0.806326095258383 , 0.679699930527773 , 0.174828770173063 , 0.493581916121217 , 0.0883729804361561 , 0.78840300955382 , 0.601025402622803 , -0.172366013019078 , 1.83312536497221 , 1.45970284568472 , 0.0215690411361745 , -0.339756895217317 , 0.645904660271726 , 0.948900596089979 , -0.511851588210566 , 0.173095874542754 , 0.89670961423315 , 1.11936883379066 , 0.353547306840737 , 0.314272466049295 , 0.512644116222156 , -0.296481092146259 , 0.267249576842351 | 0.0025758 |
| 30 | 50 | 0.5 | 0.1 | 1.0 | control , control , control , control , control , control , control , control , control , control , control , control , control , control , control , control , control , control , control , control , control , control , control , control , control , control , control , control , control , control , control , control , control , control , control , control , control , control , control , control , control , control , control , control , control , control , control , control , control , control , intervention , intervention , intervention , intervention , intervention , intervention , intervention , intervention , intervention , intervention , intervention , intervention , intervention , intervention , intervention , intervention , intervention , intervention , intervention , intervention , intervention , intervention , intervention , intervention , intervention , intervention , intervention , intervention , intervention , intervention , intervention , intervention , intervention , intervention , intervention , intervention , intervention , intervention , intervention , intervention , intervention , intervention , intervention , intervention , intervention , intervention , intervention , intervention , intervention , intervention , 1.30249406470418 , -0.266955989382543 , 0.978286558856464 , -0.236701599888382 , 0.0826237457604759 , -1.11121778968909 , 0.288099504028187 , 0.458088506033985 , -0.437526255562985 , 2.85972564519906 , 1.00017145512711 , 0.253862941780989 , -1.12769653676929 , -1.00624261738868 , -1.6218149153398 , -0.870287726859895 , -0.804002012615824 , -0.442006860985373 , 0.21563301726961 , 2.03049473443129 , 0.532827367310783 , -0.344983817157444 , 0.964903560840861 , -1.70709294599032 , 0.141491201534667 , 0.163427239334456 , -0.675920692667679 , 1.94920768306545 , -0.929887401602975 , -2.62331356347636 , -0.618279012172444 , 0.758053015392406 , 0.689393469704294 , -0.787512401595858 , -1.07224127452365 , 0.243128736689103 , 1.56606765393858 , 0.309645862857109 , 1.01702950801388 , 0.127436712146158 , 1.90912367622999 , -0.180993820920027 , 0.559203770677768 , 1.32111482213662 , -2.36653123120191 , 0.146854224442763 , -0.0498591489778655 , 0.771491210554565 , 0.167897557029083 , 0.0408972215527921 , 1.12484023793966 , 1.38080386399835 , 0.775165160307467 , -0.650209448663491 , -1.40332713828693 , 0.788965206963151 , -0.532192102136811 , 0.509375385023571 , 0.43233369855388 , -0.877257828247312 , 1.6727474884852 , 0.388653813886457 , -1.14352801545399 , -0.526190606114584 , -0.358974906896769 , 1.02943692557482 , 1.64886365548231 , -0.708481538050724 , -2.00015176007584 , -1.12740326676801 , 0.530625920496151 , -0.0490000550346678 , -0.033846296019606 , 1.7030417096074 , 0.608279537840645 , 0.0229756372603752 , 0.992848451194139 , 1.21106817328705 , 1.38971900138792 , -0.947350484782577 , 2.22745653661133 , -0.274442529256371 , 0.653872500198301 , -0.68395376079575 , 1.14985965452759 , 1.26634006843559 , 0.834604063586476 , -0.00910241995914884, 2.55639096806956 , -0.156730493346933 , 0.0887701443919511 , 0.601603237212994 , -0.0241880577433101 , 0.216705789560405 , 0.541942062929424 , 1.88266256587174 , -0.869269770647424 , 0.562312326550732 , 0.640845241905999 , 0.0604747802260935 | 0.1970279 |
| 31 | 20 | 0.0 | 0.0 | 0.5 | control , control , control , control , control , control , control , control , control , control , control , control , control , control , control , control , control , control , control , control , intervention , intervention , intervention , intervention , intervention , intervention , intervention , intervention , intervention , intervention , intervention , intervention , intervention , intervention , intervention , intervention , intervention , intervention , intervention , intervention , -0.347782213371193 , -0.0742893583637428, 0.439872852246224 , -1.15776104586638 , -0.341076040526121 , -0.80082295999115 , 0.617990260667754 , -0.532352469629006 , 0.858528198556255 , -0.51316186959735 , -0.305535606245013 , 0.34027173636508 , -0.849582879212762 , -0.0861099649895989, -0.325436541417083 , -0.379626282645112 , 0.0168649092372619 , 0.71470656150961 , 0.398865468866808 , 0.144858877352773 , 0.384520168051482 , -0.166464597242633 , 0.344508613229496 , 0.118699175934565 , -0.710284335257603 , -0.489580094507349 , 0.0973828509587408 , 0.0799170788285179 , 0.572528979867324 , 0.0777943337863751 , 0.343274509416905 , 0.0461409087836811 , 0.117161467526892 , -1.09601287707484 , -0.0975542198089385, -0.617265456702817 , 0.2723488511473 , 0.0167864539857027 , 0.132242782630766 , 0.0828654155939839 | 0.5847861 |
| 31 | 20 | 0.0 | 0.0 | 1.0 | control , control , control , control , control , control , control , control , control , control , control , control , control , control , control , control , control , control , control , control , intervention , intervention , intervention , intervention , intervention , intervention , intervention , intervention , intervention , intervention , intervention , intervention , intervention , intervention , intervention , intervention , intervention , intervention , intervention , intervention , 2.08167630225017 , -2.19326313129949 , -1.91524568002292 , -2.49382892995332 , 0.184533467004519 , 1.68806585720285 , -0.44888474990922 , 0.578094062635961 , 0.00898813847130311, 0.709589752467794 , -1.3587754539736 , -0.337705732120618 , -0.959997751092709 , 1.78671021970881 , -0.659571282063905 , -1.61054478918471 , -0.122904201833038 , -0.188651602308762 , -0.881222806670158 , 0.293549385505824 , 2.04238926439016 , 1.85781575133768 , -0.111940270628166 , -0.855135329228198 , -0.260457976423861 , -1.54992300439109 , 0.488758225291466 , 0.747374177722647 , 1.29969399029783 , 1.36301857472985 , -0.200920617706766 , -0.301995468031824 , -0.53159030431716 , -1.6306591933885 , 2.20986591540171 , 0.807639366518585 , -1.00902567868675 , 0.369963164738126 , 0.705446546079027 , 0.252889776851847 | 0.1384031 |
| 31 | 20 | 0.0 | 0.1 | 0.5 | control , control , control , control , control , control , control , control , control , control , control , control , control , control , control , control , control , control , control , control , intervention , intervention , intervention , intervention , intervention , intervention , intervention , intervention , intervention , intervention , intervention , intervention , intervention , intervention , intervention , intervention , intervention , intervention , intervention , intervention , -0.436899855325259 , -0.278944466678782 , 0.678869975343204 , -0.0396839569813622, -0.309064467040464 , 0.499814825350145 , -0.575013487206632 , -0.845458780269757 , 0.727592415581746 , 0.284841973430402 , 1.15987297744588 , 0.737268290079536 , 0.0777530554068108 , 0.820369859855753 , -0.432452939004143 , -0.893747846054527 , 0.21775464239158 , 0.428149697710624 , 0.320650354641973 , 0.580696361040001 , 1.3908343312596 , -0.486902145668377 , -0.0852777543801798, -0.0641679691581202, -0.365228200456031 , 0.72613317355007 , 0.193709311360355 , -0.196393829737432 , -0.393252684420335 , 0.107874552548871 , -0.49199962272366 , -0.198215897659994 , 0.244793035019026 , -0.0369668717910123, -0.853233836325534 , -0.0705287761053372, -0.673810453209464 , -0.504844275700955 , 0.376386543006286 , 0.103931144034626 | 0.2580825 |
| 31 | 20 | 0.0 | 0.1 | 1.0 | control , control , control , control , control , control , control , control , control , control , control , control , control , control , control , control , control , control , control , control , intervention , intervention , intervention , intervention , intervention , intervention , intervention , intervention , intervention , intervention , intervention , intervention , intervention , intervention , intervention , intervention , intervention , intervention , intervention , intervention , 1.12642812217383 , -0.75815269072312 , -1.86537139363869 , 0.192503736205164 , 0.323815281709843 , 2.11043577223949 , -1.3492088136317 , -0.108354211094093 , 2.14431846155059 , -0.775812798397326 , -0.391062252109185 , 0.512118009651991 , 0.0421320275466214 , -1.43788786928425 , 1.27855176447039 , -1.12942028225271 , -0.314522823899959 , 0.641894481056099 , 1.31390552564282 , 0.749791489819004 , 1.05641500983723 , -0.772660550949362 , -0.804005841754637 , -0.0070737819070363, -0.928910103344764 , 1.72379664225666 , -2.57495379819262 , -0.0905738682332244, -0.160293631483266 , 1.18279471381937 , 0.508732088081812 , -0.839871092095787 , 1.55854733100498 , -0.761075004395984 , 1.39094903736593 , 0.344650279970551 , -0.402454817829203 , -1.36730830572612 , 1.05565617574432 , -0.371664580167892 | 0.7213944 |
| 31 | 20 | 0.5 | 0.0 | 0.5 | control , control , control , control , control , control , control , control , control , control , control , control , control , control , control , control , control , control , control , control , intervention , intervention , intervention , intervention , intervention , intervention , intervention , intervention , intervention , intervention , intervention , intervention , intervention , intervention , intervention , intervention , intervention , intervention , intervention , intervention , 0.296498499598343 , 0.366867487565512 , 0.985164889956088 , -0.188892325202271 , 0.759825068274575 , -0.0678839137248943 , 0.175760550165694 , -0.306670406081407 , 0.454936101738123 , 0.645714804029223 , 0.47632581247233 , 0.265784494997899 , -0.859572150600871 , -0.193832070412301 , -1.13225253543756 , -0.119987590563568 , 0.237931015544598 , -0.0916572547612375 , 0.601791460645905 , 0.728521583589612 , 1.02409210648535 , 0.451957931428346 , -0.154671213370662 , 0.206078779643821 , 0.381927865254544 , 0.463085617821714 , 0.00943396764055193 , 0.402948926221833 , -0.0854737116652646 , -0.284823376891502 , 0.803869145061124 , 1.11529341600158 , 0.521158788721414 , 0.823799618497228 , -0.164931492288607 , 0.917283358774217 , 0.000730961589899104, -0.226776818354278 , 0.134892865530981 , 0.816826872956784 | 0.1942030 |
| 31 | 20 | 0.5 | 0.0 | 1.0 | control , control , control , control , control , control , control , control , control , control , control , control , control , control , control , control , control , control , control , control , intervention , intervention , intervention , intervention , intervention , intervention , intervention , intervention , intervention , intervention , intervention , intervention , intervention , intervention , intervention , intervention , intervention , intervention , intervention , intervention , 1.7195528408953 , 0.552041020972659 , 0.467793382320774 , 1.44535381365713 , 0.153987483519045 , -1.77824610207115 , 0.438006504259609 , 1.1797078053648 , -0.324517559492056 , -1.94920210689302 , 0.848414338446999 , -0.00929853027839984, 1.48496454134086 , 1.7457885975156 , -0.201098142082582 , 0.617842500827707 , -0.740569276230246 , -0.144633638346322 , 1.23396223371392 , -0.410432227962329 , -1.41438523298082 , 1.21876639820869 , 0.382006645204667 , 0.161324994906776 , -0.396659721136008 , 0.7740028256272 , 1.6586889203451 , 1.07629524345105 , 0.731048275807409 , 1.15631144576503 , -0.0567483092413265 , -0.0873543414423178 , -1.20304193823893 , -0.774482084019599 , -0.75624521455792 , -0.611564414699472 , -1.31777420423687 , 1.68395402044986 , 0.301909771140114 , 0.0675860411375285 | 0.5604172 |
| 31 | 20 | 0.5 | 0.1 | 0.5 | control , control , control , control , control , control , control , control , control , control , control , control , control , control , control , control , control , control , control , control , intervention , intervention , intervention , intervention , intervention , intervention , intervention , intervention , intervention , intervention , intervention , intervention , intervention , intervention , intervention , intervention , intervention , intervention , intervention , intervention , 0.463990799071992 , -0.49946009906586 , 0.226013152752306 , 0.0416049391582472 , -0.33023152680224 , 0.469704821056468 , 0.750887751619642 , -0.0421664376107304, -0.615929786300877 , -0.135129938656808 , 0.361880206779364 , 0.426854471471363 , -0.184862127876986 , -0.0635315528335091, 0.247520344701642 , 0.301359355779518 , -0.233883409121361 , 0.0658610687349374 , -0.234161478872062 , 0.0301419847223885 , 0.53582226179874 , 0.957292410026694 , 0.939025748869907 , 1.026817643622 , 0.779236475561851 , 0.678142280958134 , -0.0182858763382384, 1.17607035978107 , 0.409065541835839 , 1.56545144030569 , -0.0883464425225174, 0.0606481490936311 , 0.952067875794081 , 0.550902523504467 , 0.652543489840014 , 0.360481720334097 , 0.414914533608007 , 0.502263300165461 , 0.0163494054958456 , 0.281519320517766 | 0.0001239 |
| 31 | 20 | 0.5 | 0.1 | 1.0 | control , control , control , control , control , control , control , control , control , control , control , control , control , control , control , control , control , control , control , control , intervention , intervention , intervention , intervention , intervention , intervention , intervention , intervention , intervention , intervention , intervention , intervention , intervention , intervention , intervention , intervention , intervention , intervention , intervention , intervention , -1.86232567465975 , -0.012112649425252 , -0.580639880963885 , 1.0893387938236 , 0.327091729949836 , 2.26430013045016 , -0.107075289859766 , 0.503523275895654 , 1.42165527236914 , -1.75963138897903 , 0.402186591823805 , -1.0577462918428 , 0.759850989037162 , -0.247765175510852 , -0.608367000918449 , -0.559217995438217 , -0.860050826576923 , 2.04901236125965 , 1.27373845956661 , -0.574015793296961 , 0.916696977934997 , -0.956806162310652 , 0.358839730239216 , 0.281313572996212 , -0.0106842712496559, -1.04526177050672 , 1.4531371489302 , 0.240504349843897 , 2.19813068100521 , 0.456707221698993 , 1.31494855199574 , 1.55349545369 , 0.850644146572371 , -0.628355660839426 , -0.482564881946271 , 1.12811965252157 , 0.527170776138834 , 0.584417770036341 , 1.49145999222188 , -0.0957724793922072 | 0.2081783 |
| 31 | 50 | 0.0 | 0.0 | 0.5 | control , control , control , control , control , control , control , control , control , control , control , control , control , control , control , control , control , control , control , control , control , control , control , control , control , control , control , control , control , control , control , control , control , control , control , control , control , control , control , control , control , control , control , control , control , control , control , control , control , control , intervention , intervention , intervention , intervention , intervention , intervention , intervention , intervention , intervention , intervention , intervention , intervention , intervention , intervention , intervention , intervention , intervention , intervention , intervention , intervention , intervention , intervention , intervention , intervention , intervention , intervention , intervention , intervention , intervention , intervention , intervention , intervention , intervention , intervention , intervention , intervention , intervention , intervention , intervention , intervention , intervention , intervention , intervention , intervention , intervention , intervention , intervention , intervention , intervention , intervention , -0.195825999881475 , -0.293933208013766 , 0.131502817735747 , 1.02422944855072 , 0.970609698555441 , 0.199523235496311 , 0.0484162004769126 , -0.716685646299802 , 0.524234978794188 , -0.642363066670541 , -0.252620726768615 , -0.647624853291862 , 0.150520174252724 , 0.287968093927618 , -0.790377494614662 , 0.195731753919829 , 0.99285127463403 , -0.44689732881936 , 0.232237484862909 , 0.562312842705806 , 0.359962668789677 , -0.163168119531129 , 0.12860375992633 , 0.382879955274856 , 0.859047336155727 , -0.351327256719722 , 0.472401825382138 , -0.707427341322572 , 0.150818393717474 , 0.361850547672947 , 0.376767240590845 , 0.245290132328233 , 0.633867937356099 , -0.976275185045059 , -0.0232870413479602 , -0.553960210924685 , 0.152108197352955 , -0.297060838060219 , 0.717487159770189 , 0.0322541797565215 , -1.27100639091392 , 0.140030255792306 , 0.278146686465083 , -0.361114614473925 , 0.0973572191312396 , -0.753183668485507 , -0.947299706304234 , -0.247704674104002 , -0.450316712849231 , -0.288008557551892 , -0.267276174780064 , 0.30890438103185 , -0.729325438385444 , 0.928642434066796 , 0.811802976940951 , -0.152536645273527 , 0.807380495719916 , 0.305039398794959 , 0.262986266239437 , -0.123889540567303 , -0.285696834530151 , -0.148071304889899 , 0.172923124475177 , -0.24091808430557 , -0.167445004634214 , -0.537688437103557 , -0.178331431317143 , -0.628876235677327 , -0.283340372241341 , -0.778070693024093 , 0.285727812946876 , -0.309853159752284 , -0.68665268932173 , -0.287712005685332 , -0.382484943137407 , 0.245855360839045 , -0.398871527628439 , 0.406711999625267 , 0.126681272780188 , 0.557982523244727 , -0.516489222357083 , -0.0792725471357015 , 0.0608761610500344 , 0.394023285054975 , 0.423393343444585 , -0.695564537430337 , -0.00308044759532415, -0.326876465534349 , -0.234179911643728 , 0.0331676424928397 , -0.025310409191236 , -0.289309377276957 , 0.23537469193312 , 0.401922143067385 , -0.279199025398001 , -0.505930731701657 , 0.662771282179264 , -0.421606449403716 , 0.821818447574992 , -0.721438195046836 | 0.7238748 |
| 31 | 50 | 0.0 | 0.0 | 1.0 | control , control , control , control , control , control , control , control , control , control , control , control , control , control , control , control , control , control , control , control , control , control , control , control , control , control , control , control , control , control , control , control , control , control , control , control , control , control , control , control , control , control , control , control , control , control , control , control , control , control , intervention , intervention , intervention , intervention , intervention , intervention , intervention , intervention , intervention , intervention , intervention , intervention , intervention , intervention , intervention , intervention , intervention , intervention , intervention , intervention , intervention , intervention , intervention , intervention , intervention , intervention , intervention , intervention , intervention , intervention , intervention , intervention , intervention , intervention , intervention , intervention , intervention , intervention , intervention , intervention , intervention , intervention , intervention , intervention , intervention , intervention , intervention , intervention , intervention , intervention , -0.626076888490629 , 1.32267605396521 , 0.0603584205994291 , -0.567030889404518 , -0.124742101184848 , 0.525912808698381 , 1.3398379486719 , 0.506525971852654 , -0.886035159924436 , -1.46333271970898 , 0.235069438136358 , 0.963589821948711 , 0.504895377396353 , -0.293703675956079 , 1.42499357732681 , -0.159440797602465 , -1.26422108257881 , 0.157378638001089 , -1.06218215548556 , -1.14980619030028 , -1.77430779006134 , 2.39178244783686 , -0.770797486626512 , 0.40099701833063 , -1.94089061616325 , -0.573153083009151 , 0.324492851071989 , 0.0747742263479253 , -0.952285195567252 , -1.16092162616845 , -0.039672004266066 , 0.173760748172165 , 0.676001308232595 , -0.396109467642819 , -1.38452198677519 , -0.0981889778505877, -1.67383546255882 , -0.843748862181435 , 0.451295661420076 , 0.0442185428357637 , 1.35661183285498 , -0.123176960732618 , -0.480902974524505 , 0.31044021045163 , 0.333014618975635 , 0.193528135044062 , 0.0930072831654468 , 0.87202815228728 , -0.382658662313123 , -0.493173735468106 , -0.336557842273151 , 0.967826156481637 , 0.866823260217522 , 1.07102140696822 , 1.00972116624999 , -0.763396593937247 , -1.03506053187084 , -0.697817508058012 , -0.30830289885447 , 0.815710821703684 , 0.884430199355998 , -0.273237319489979 , 0.161674600670772 , -1.38726563665351 , -1.82584992507724 , 0.272468166977523 , 0.0500418438216217 , 0.566160867131708 , 0.0405965810826963 , 0.565290167875692 , -0.296680612948519 , -0.0165631830592111, -1.24134991327617 , 0.936571889054525 , -2.90752658201564 , 0.140510614683787 , -0.0464355778608287, 0.613907174117781 , 0.0648563160659866 , 1.20933241109136 , -1.2625256988655 , 0.304462832785291 , 0.587039211288937 , 2.42481191087276 , 0.168926215990866 , 0.887579475040955 , -1.38063460467631 , -0.135544677295451 , -0.835705215153377 , -0.0223099468307205, 0.137319393615347 , 0.311041322963184 , -0.0287274330336318, -1.52231941296229 , 0.556738524055389 , 2.50240481073811 , -0.0753545531448182, 1.02754039741117 , -0.374340262100236 , -0.899714911709129 | 0.4387133 |
| 31 | 50 | 0.0 | 0.1 | 0.5 | control , control , control , control , control , control , control , control , control , control , control , control , control , control , control , control , control , control , control , control , control , control , control , control , control , control , control , control , control , control , control , control , control , control , control , control , control , control , control , control , control , control , control , control , control , control , control , control , control , control , intervention , intervention , intervention , intervention , intervention , intervention , intervention , intervention , intervention , intervention , intervention , intervention , intervention , intervention , intervention , intervention , intervention , intervention , intervention , intervention , intervention , intervention , intervention , intervention , intervention , intervention , intervention , intervention , intervention , intervention , intervention , intervention , intervention , intervention , intervention , intervention , intervention , intervention , intervention , intervention , intervention , intervention , intervention , intervention , intervention , intervention , intervention , intervention , intervention , intervention , 0.230813396244767 , -0.650282201442328 , -0.560776145106067 , 0.608668558512625 , 0.437972201383479 , 0.311298700632787 , 0.378880825268311 , -0.252441024792427 , 0.6238519972059 , -0.0469809464716012 , -0.0244593413027754 , 0.25384950270868 , 0.29654305112624 , 0.879504649876107 , -0.30208984062703 , 0.555773287891228 , -1.45413084640917 , 0.521786854330572 , -0.303553201225113 , -0.158420708719057 , -0.366249864028809 , -0.287674695503382 , 0.834457188951777 , 0.190245022953523 , 0.161096027195186 , -0.560785874918193 , 0.512790154274443 , 0.061534470894219 , 0.458693950952464 , -0.114368608341116 , 0.7791759699606 , -0.449986049139006 , 0.910807830592926 , 0.254288203193665 , -0.443352130842311 , 0.348950613611378 , 0.25984601713029 , 0.102327906280032 , -0.111072720623053 , 0.479413522522964 , -0.758536176520433 , 0.626650961992822 , -0.0377831012570215 , 0.323967943193914 , -0.26974557023226 , 0.97813308145109 , 0.616689543123588 , 0.0882021559038911 , 0.00218196845399803 , 0.0669689163643442 , 0.378377333958237 , 0.812212229878787 , -0.135271919435443 , 0.348424228191652 , -0.324447060633283 , -0.07161656569161 , -0.759488490830739 , 0.050700074794184 , 0.134969356792249 , -0.143438331149378 , 0.131582996718038 , -0.228677824883554 , -0.683967321930989 , -0.0725056384202381 , 0.332413404306148 , 0.588146198041129 , -0.385888802833881 , 0.0708347238671193 , -0.903839783576207 , 0.487038147881458 , 0.236925579729917 , 0.102496258722623 , -0.393965116715137 , -0.141497832019658 , 0.789379488258638 , -0.469868813223906 , 0.175814036454196 , -0.0676265685177095 , -0.377328638644813 , 0.829419895639315 , -0.0625251126779201 , -0.467704559273546 , 0.691560619852434 , -0.276324433319902 , -0.136639989663363 , -0.252372443721481 , -0.686681682927681 , 0.302635117675285 , 0.136962250540907 , -0.953558776752842 , -0.169687375389728 , -0.00391941191220237, -0.998332158801182 , -0.464176334279337 , 0.122652765741899 , 1.02941481421335 , 0.433092299750179 , -0.060341812769416 , -0.134661934567356 , 0.163798018981363 | 0.1214448 |
| 31 | 50 | 0.0 | 0.1 | 1.0 | control , control , control , control , control , control , control , control , control , control , control , control , control , control , control , control , control , control , control , control , control , control , control , control , control , control , control , control , control , control , control , control , control , control , control , control , control , control , control , control , control , control , control , control , control , control , control , control , control , control , intervention , intervention , intervention , intervention , intervention , intervention , intervention , intervention , intervention , intervention , intervention , intervention , intervention , intervention , intervention , intervention , intervention , intervention , intervention , intervention , intervention , intervention , intervention , intervention , intervention , intervention , intervention , intervention , intervention , intervention , intervention , intervention , intervention , intervention , intervention , intervention , intervention , intervention , intervention , intervention , intervention , intervention , intervention , intervention , intervention , intervention , intervention , intervention , intervention , intervention , -0.729790734559281 , 0.540890981188576 , -0.824782808428623 , 1.97883810478635 , -0.74181641879304 , -0.243720422974879 , -0.127980153978182 , 2.13269902841834 , -0.454288946847007 , -0.465080738332232 , 0.608893608322569 , 0.389912280481442 , 0.905503875597893 , -0.723004389783762 , -1.00275412309775 , 0.717227599961133 , 1.13685676475745 , -0.660140963776022 , -0.386966952652322 , 0.706436954307262 , 0.683078909584933 , 0.442614093668424 , 0.168721945371638 , 1.00620525340108 , -0.575549923509992 , -0.325626219698324 , 0.641425134383719 , 0.171466278829509 , 0.305801133686444 , -1.81228815497899 , -1.54001000176397 , -0.755927093913426 , -1.1777084073325 , 1.81126867833761 , -1.10319277477614 , -1.05725719093613 , 0.0101697576599933 , -0.667983827650062 , 2.26901248678729 , -0.141784120591195 , -1.43578062221926 , 0.426226823014705 , 0.808421576317062 , 0.379713201211055 , -1.25925662437466 , -0.968085832979455 , -0.0103466240563637 , -0.088584446263705 , 0.195828432109585 , -0.58466828997688 , 0.283024449268282 , -0.476480751901456 , -0.398182961076224 , -1.17610943189411 , -1.12428144759039 , -0.676463678155085 , -1.18600918393904 , -1.06175292535522 , -0.308122545490404 , -2.03277428648128 , -0.395450287041504 , 1.25795987270631 , -0.328556751266285 , -1.14462771534486 , -0.905080194138566 , -1.38867888695555 , -1.29682578893203 , 0.189071788717712 , 1.18887897985679 , -0.477613647286197 , -0.270790677000369 , -0.29307820558506 , 0.0709234003911835 , 1.09519129210105 , 0.885440616176028 , -0.245485361315833 , -1.4942347092117 , -0.00631288309038504, -0.345445736770544 , 0.0402104973359329 , 0.603646775073945 , 1.53750826466093 , 1.1578759465115 , -1.18497618734156 , -0.524431188040838 , 0.906582936384194 , -0.800654813746416 , -1.84589217763147 , 0.917869290502701 , -0.0895719641057733 , 0.808159454685595 , 0.432046199332614 , -1.41899335245593 , 0.695318964070458 , -2.33536686772162 , -0.764422541380671 , -1.5366659370713 , 0.409166715814426 , 1.70477856410872 , 1.51455336838463 | 0.2908827 |
| 31 | 50 | 0.5 | 0.0 | 0.5 | control , control , control , control , control , control , control , control , control , control , control , control , control , control , control , control , control , control , control , control , control , control , control , control , control , control , control , control , control , control , control , control , control , control , control , control , control , control , control , control , control , control , control , control , control , control , control , control , control , control , intervention , intervention , intervention , intervention , intervention , intervention , intervention , intervention , intervention , intervention , intervention , intervention , intervention , intervention , intervention , intervention , intervention , intervention , intervention , intervention , intervention , intervention , intervention , intervention , intervention , intervention , intervention , intervention , intervention , intervention , intervention , intervention , intervention , intervention , intervention , intervention , intervention , intervention , intervention , intervention , intervention , intervention , intervention , intervention , intervention , intervention , intervention , intervention , intervention , intervention , 0.607554727165667 , -0.52996318185964 , -0.664911432945807 , 0.157747165652845 , 0.0706586785838222 , 0.249415857804343 , 0.507352414089324 , -0.349258733209399 , -0.362942150441301 , 0.322551686771833 , -0.320626640054482 , -0.43022452094811 , 1.00975084470354 , 0.23781925610219 , 0.721465125936017 , 0.490604373520909 , 0.399182011905124 , -0.103694856503612 , -0.105686465095529 , -0.404618021602242 , -0.0988259373457406, 1.25930855856014 , -0.626642637655539 , 0.585722186293527 , 0.126390579101914 , 0.299813075742773 , -0.681906883520928 , 0.790857918533431 , 0.221048426332202 , 0.341092098116927 , 0.168922229510001 , -0.357604816275928 , 0.0376476264840115 , 1.13157088563348 , 0.120882369452965 , 0.512961910582782 , 0.525601047468694 , -0.494118275020562 , -0.444420803560468 , -0.843389474427622 , 0.335163912217054 , -0.236172552131693 , 0.487621719558868 , -0.444366621905386 , -0.303641489019025 , -0.251327828760528 , 0.275896628187027 , -0.222595716611236 , -0.570495124116013 , 0.0171581645005803 , -0.193943464211694 , 1.54874300014767 , 0.753730862539181 , 0.766329566391304 , 0.0533861665239795 , 0.910028510877736 , 0.801454158058906 , 0.185003819460637 , 0.283151158893188 , 0.68318197480139 , -0.228020695444973 , 0.271931253460894 , 0.664268580244565 , 1.46667262412111 , 0.288681343597409 , 0.772238318722572 , -0.195017928052086 , 0.173663572936089 , 0.484701725412976 , 0.645175596205726 , 1.00603797128876 , 0.694789591258516 , 0.826872961936346 , 0.684553871216808 , 0.510798515920477 , 1.47307939836787 , 0.0465380912865436 , 0.233749435511866 , 0.285977673590936 , 0.54773971806552 , 0.469497908095937 , 0.0639969888238148 , 0.57400351761252 , -0.635062536183475 , 0.63003089499333 , 0.994116974006908 , -0.45751270301625 , 0.371276898495157 , 1.10857100047475 , 0.709920744719198 , 0.604375483860459 , 0.395124373878599 , 0.619998287497896 , 0.82768061716664 , 0.0822648950589054 , 0.661120123581997 , 0.595262244205214 , -0.131911218137654 , 0.927119971918262 , 0.722610216399622 | 0.0000094 |
| 31 | 50 | 0.5 | 0.0 | 1.0 | control , control , control , control , control , control , control , control , control , control , control , control , control , control , control , control , control , control , control , control , control , control , control , control , control , control , control , control , control , control , control , control , control , control , control , control , control , control , control , control , control , control , control , control , control , control , control , control , control , control , intervention , intervention , intervention , intervention , intervention , intervention , intervention , intervention , intervention , intervention , intervention , intervention , intervention , intervention , intervention , intervention , intervention , intervention , intervention , intervention , intervention , intervention , intervention , intervention , intervention , intervention , intervention , intervention , intervention , intervention , intervention , intervention , intervention , intervention , intervention , intervention , intervention , intervention , intervention , intervention , intervention , intervention , intervention , intervention , intervention , intervention , intervention , intervention , intervention , intervention , 0.217013620616741 , -0.382715659972247 , 0.841663483947442 , 0.465491501989908 , 0.352830965334435 , -1.01311379754252 , -0.234757265491327 , 0.556826605563819 , -0.976291313251056 , -0.239092519205426 , -0.253463181124614 , 0.55811149832011 , 0.0848162276804344 , 1.45617586493903 , -2.04810353973326 , -2.31531148223665 , 0.86114799526822 , -0.126981167553487 , 1.20059941814313 , 0.0333737017126456 , -0.626804890549582 , -1.49039355357519 , 1.26553516814965 , -0.0969258740320929, 0.425204643394294 , -1.96710588317116 , -0.793869170558029 , 1.29191826532254 , -1.82933973713631 , 0.10346091935783 , -0.812793901682636 , -0.407259935261181 , -0.798873529843622 , -0.0301658034472212, 0.00905461917606185, 0.462921375198684 , -1.09722258831181 , 0.289255219517696 , -0.510269296664611 , 1.9393642618404 , 0.0647103541707614 , -0.765173225068203 , 0.686147418471999 , 0.888406569446036 , -1.08790470175005 , -0.524039604678382 , -0.34515601111108 , 0.356923228107306 , 0.307385359310719 , -1.40257905847829 , 1.53527344185432 , -0.0273844888730348, -1.11533531658145 , 1.28895949374132 , 0.405358670481879 , 0.112501280998545 , 0.553253319785536 , 0.752554456955394 , 0.00302303601768455, 1.7481960029725 , 0.871208608205651 , 2.00088586430651 , -0.9096143861973 , 0.827484698912446 , 0.125527004810827 , 0.294355216930771 , -0.441892237499377 , 1.21782668935612 , 0.488479864464435 , 0.394663787696222 , 0.289522966996565 , 1.78072900054672 , -0.114267689886026 , -0.947829164438027 , -0.438915705482582 , 0.16350940035354 , 1.78863176507764 , 0.265488154979636 , 1.92682134365282 , 0.794180911445332 , 0.874376437610948 , 0.954752916030271 , 2.02444076139228 , 0.414078757700266 , 0.23453093606967 , 2.26647185795156 , 1.21856579703586 , 0.835369416146098 , 0.663786452430749 , 0.297337746030385 , -0.486986413749801 , -1.05123451287632 , 0.294283751696073 , 0.306882955969214 , 2.21020946903846 , -0.447320651103648 , -1.10195804881704 , 1.79656997429047 , 1.80047350852304 , -0.174672064137212 | 0.0001978 |
| 31 | 50 | 0.5 | 0.1 | 0.5 | control , control , control , control , control , control , control , control , control , control , control , control , control , control , control , control , control , control , control , control , control , control , control , control , control , control , control , control , control , control , control , control , control , control , control , control , control , control , control , control , control , control , control , control , control , control , control , control , control , control , intervention , intervention , intervention , intervention , intervention , intervention , intervention , intervention , intervention , intervention , intervention , intervention , intervention , intervention , intervention , intervention , intervention , intervention , intervention , intervention , intervention , intervention , intervention , intervention , intervention , intervention , intervention , intervention , intervention , intervention , intervention , intervention , intervention , intervention , intervention , intervention , intervention , intervention , intervention , intervention , intervention , intervention , intervention , intervention , intervention , intervention , intervention , intervention , intervention , intervention , -0.2295338492611 , -0.0816563159564977 , -0.6294604120864 , 0.613219577068973 , 1.14221946874959 , 0.0388881779782169 , 0.53540301961184 , 0.521276050547266 , 0.498321360455635 , 0.270449102115204 , 0.105206241206167 , -0.152943746666948 , 0.498681987474093 , -0.261828017452076 , -0.20734727963117 , -0.00607893153485145, 0.509811217337205 , 0.288986400540797 , -0.66942752620463 , 0.356140135336876 , -0.562851238733174 , 0.331498730632633 , 0.306765485502519 , -1.46097058614421 , -0.826455255014236 , 0.234648141588478 , -0.57742692048746 , 0.67097130152238 , 0.028755419373924 , -0.117359695232501 , 0.535213628203208 , -0.457858223373273 , 0.163165049965517 , 0.56095291655807 , 0.0842571744269171 , 0.644388420865002 , -0.702500913596258 , -0.149686608712628 , -0.331779177268689 , 0.134202008383974 , -0.118189931582428 , -0.0673569650034594 , -0.0389644705832551 , -0.349821981822498 , 0.223523982308173 , 0.852507884037257 , 0.0697966164298397 , 0.0189922954444935 , -0.286209075325201 , 0.0762437673494657 , 0.519471600686506 , 0.592118941157729 , 0.714606269692301 , 0.484155329090707 , 1.47167510814798 , -0.177035487077094 , 0.370361729934322 , 0.794565637669761 , -0.368955238585911 , 0.23161639506199 , 0.603777924416372 , 0.791110542620306 , 0.268888961673812 , 0.4559752136136 , 1.17950905482573 , 0.247712779736933 , 1.45737549692394 , 0.0409834038051068 , -0.819507718146256 , -0.0304646933277118 , 0.677341000045272 , 0.489384721777351 , 0.83483829666588 , 0.54486408179074 , 0.676289091365663 , 1.46886772336565 , 0.497772303409343 , 0.463365822918316 , -0.176918255837483 , -0.206059287289744 , 0.433543824581735 , -0.0969151101197261 , -0.348015593203899 , -0.0164443407609807 , 1.0050367431946 , 0.103207650480079 , 0.51275761947768 , 0.973202458822691 , 0.425934326280713 , 0.0548480011218521 , 0.60051054802428 , 0.384001716925333 , 0.333754412211104 , -0.57106954753535 , 1.43744642213164 , 1.47738175735048 , 0.850752665900201 , 0.459697004097675 , 0.662415546404849 , 0.0185773443356268 | 0.0000853 |
| 31 | 50 | 0.5 | 0.1 | 1.0 | control , control , control , control , control , control , control , control , control , control , control , control , control , control , control , control , control , control , control , control , control , control , control , control , control , control , control , control , control , control , control , control , control , control , control , control , control , control , control , control , control , control , control , control , control , control , control , control , control , control , intervention , intervention , intervention , intervention , intervention , intervention , intervention , intervention , intervention , intervention , intervention , intervention , intervention , intervention , intervention , intervention , intervention , intervention , intervention , intervention , intervention , intervention , intervention , intervention , intervention , intervention , intervention , intervention , intervention , intervention , intervention , intervention , intervention , intervention , intervention , intervention , intervention , intervention , intervention , intervention , intervention , intervention , intervention , intervention , intervention , intervention , intervention , intervention , intervention , intervention , 0.5849065317339 , 0.827499368987015 , 1.61618112791022 , -0.255441097039731 , 0.293089501355376 , -0.141213411909819 , -1.88575657205093 , -0.562468112839052 , 1.27720042343374 , 1.28748982791562 , -0.58822059680822 , 0.890465720237552 , 0.608642599020244 , -0.809949386709401 , 1.01935818018716 , -0.377933376768509 , -0.517734205254152 , 1.37852299316594 , -0.318608290209332 , 0.751054594852369 , 0.386038240402157 , -0.877423439689819 , -1.29485897113548 , 1.78504470405678 , 0.157678336497474 , -0.0575758049544721, -0.980541490149798 , -0.0482503381302554, -0.134109443227659 , -0.230592497290492 , 1.24955003563405 , 0.665755065273984 , 1.16655326177767 , 0.162984809092722 , 1.71902853544928 , 0.34384416726185 , -0.580341257594937 , -0.338398621674487 , 0.846771840580032 , 0.754758101765202 , 1.72151936363726 , -1.21977859875421 , -0.982817418146386 , -0.299751428468376 , -0.832388024862542 , -1.2207268496466 , -0.782380741833118 , -2.39632114017012 , 0.714997063036976 , 3.45321388063286 , -0.120465288964208 , 0.121190069290126 , 0.766123434187179 , -1.02548637515323 , 0.154237108630691 , -0.348917722104383 , 0.400122674491328 , 0.448398525914139 , 1.95295395690271 , 1.50361532413574 , 0.994486318235032 , -0.878865153727532 , 1.30351772471142 , 1.74442306974529 , -0.804148377922389 , -1.29620747876355 , 0.10606303656547 , -0.30574793976807 , 1.84414361036877 , -0.232345375939845 , -0.357050329407285 , -0.640757763295889 , -0.3200479402607 , 0.802095625706613 , 0.0732287642938544 , -0.281426753666774 , 1.27417444735963 , -0.0329781893805777, 0.221149223582367 , 0.824835004543404 , -0.0487971388600177, 0.0672648918814022 , -1.03144295882938 , 1.26542628165707 , 0.152878208377853 , -0.73710268283434 , -0.346390871356486 , 0.470013463778894 , -0.674176247742218 , -0.102279126517063 , 0.496170544198203 , 1.04292776044514 , -0.762881616307124 , 2.63342177281956 , 1.94741571172105 , 1.19673571188165 , 1.81617145578771 , 0.431650884763871 , 1.22222994092645 , 0.212494451947727 | 0.3616869 |
| 32 | 20 | 0.0 | 0.0 | 0.5 | control , control , control , control , control , control , control , control , control , control , control , control , control , control , control , control , control , control , control , control , intervention , intervention , intervention , intervention , intervention , intervention , intervention , intervention , intervention , intervention , intervention , intervention , intervention , intervention , intervention , intervention , intervention , intervention , intervention , intervention , -0.855591023618839 , -0.352520212619872 , -0.454933544826249 , -1.27985420326261 , 0.879610090201245 , 0.314822518538698 , 0.795600909331276 , 0.324551114678758 , 1.06170632038272 , -0.830919490497845 , 0.602333549316353 , -0.265482002083447 , -0.040804354870868 , -0.550742922677455 , -0.194297912929114 , -0.135888808110487 , -0.0110821316800386, 0.206856835072489 , 0.863531072972023 , -0.716543396939756 , -0.981817868063154 , -0.143578643929555 , 0.295677679561136 , 0.288218879984243 , 0.812887538474098 , -0.401024473479949 , 0.203053029458818 , -0.74035906278471 , 0.387043977613101 , 0.172033376267629 , 0.380051689444195 , 0.0165613442078819 , 0.211378137746935 , 0.564702026642108 , 0.453942838897107 , -0.446670718520252 , -0.823142104321102 , 0.0593056673179628 , 0.27548051773906 , -0.223109017294419 | 0.7856074 |
| 32 | 20 | 0.0 | 0.0 | 1.0 | control , control , control , control , control , control , control , control , control , control , control , control , control , control , control , control , control , control , control , control , intervention , intervention , intervention , intervention , intervention , intervention , intervention , intervention , intervention , intervention , intervention , intervention , intervention , intervention , intervention , intervention , intervention , intervention , intervention , intervention , 0.114903381969552 , -1.56361806030894 , 1.04021735006008 , -0.472450452244199, 1.17074709533215 , -0.793452428700396, -1.56596012864982 , 2.17490950331244 , 0.197857802589034 , 1.08048345034772 , 1.12171493490295 , 0.0218828901991249, 0.263809138083947 , 1.01567812744874 , -0.690535282252087, 1.22799506909784 , 0.434694438461923 , 1.21070651074295 , 0.822864246323812 , -1.15426084786441 , 0.10360018921913 , 0.0611035440518309, 0.0797878154805714, 2.09572248629778 , -0.878153278690411, -0.654994904426784, 1.26557926097221 , 0.855816158377553 , 0.89730170681297 , -0.401982027567657, 1.94266242670341 , -0.839999951529555, -1.96412080736472 , 0.229863563882808 , -0.60177389457238 , -1.09417426144334 , -1.03954851620278 , 1.86129099072518 , -0.512401637697988, 0.188995333389608 | 0.5546095 |
| 32 | 20 | 0.0 | 0.1 | 0.5 | control , control , control , control , control , control , control , control , control , control , control , control , control , control , control , control , control , control , control , control , intervention , intervention , intervention , intervention , intervention , intervention , intervention , intervention , intervention , intervention , intervention , intervention , intervention , intervention , intervention , intervention , intervention , intervention , intervention , intervention , 0.160321030749795 , -0.0749630991527063, 0.951249527761187 , -0.991101886915637 , 0.0442035009590352 , 0.385049766013031 , -0.918048231557032 , 0.157091947154867 , -0.520313797333732 , 1.038929274291 , 0.681517385453622 , -0.0234759703051466, 0.0302072491755352 , -1.14454594694691 , -0.615945321187873 , 0.319676303893909 , 0.00943745465265763, -0.557799882243502 , 0.396988286827142 , 0.484717760727925 , 0.267530831980306 , 0.724655446392034 , 0.0125029091535206 , -0.180788251029874 , 0.264211562210774 , 0.610753947445897 , -0.981025919432637 , 1.34478069274003 , 0.267082265906783 , 0.251876040516197 , 0.113238861718416 , -0.253824264922379 , -0.727820776962685 , 0.088522966521251 , 0.670420238504974 , 0.0223431185582916 , -0.650586850680172 , -0.0320732583604387, 0.0773500995214635 , -0.296178518940583 | 0.6289427 |
| 32 | 20 | 0.0 | 0.1 | 1.0 | control , control , control , control , control , control , control , control , control , control , control , control , control , control , control , control , control , control , control , control , intervention , intervention , intervention , intervention , intervention , intervention , intervention , intervention , intervention , intervention , intervention , intervention , intervention , intervention , intervention , intervention , intervention , intervention , intervention , intervention , -0.510996549645185 , -0.840424589990938 , 0.177312019535944 , 0.570057533793486 , -1.83863206557318 , -0.118455638514517 , -0.305007063499774 , 0.400335464245163 , -1.00925259500253 , -0.599470888282348 , -0.873886854806668 , -1.77689938088759 , -1.08348518731563 , 0.723866179524431 , 0.589942386387569 , -1.60342467450056 , -0.445908167551931 , -0.974535158990978 , 0.923463704685403 , 0.0617049885461905 , 0.668969514977605 , 0.239033662429894 , -0.338124301768746 , -2.74268949340022 , 0.505184612025398 , -0.937240611300365 , 0.136002865831049 , -0.60872038401586 , 0.00686890682254975, 0.360228347208208 , 0.656373694178113 , 0.398636466977619 , -0.0434517982760215, -0.44647264973444 , -1.59508122308464 , -0.846215577064065 , 0.268039319046349 , 0.708792917252398 , -1.11391109126972 , -0.329958339485301 | 0.5234736 |
| 32 | 20 | 0.5 | 0.0 | 0.5 | control , control , control , control , control , control , control , control , control , control , control , control , control , control , control , control , control , control , control , control , intervention , intervention , intervention , intervention , intervention , intervention , intervention , intervention , intervention , intervention , intervention , intervention , intervention , intervention , intervention , intervention , intervention , intervention , intervention , intervention , -0.0615986572730917, 0.606708509985571 , -0.0836471899180172, 0.368649182050381 , -0.18948734323194 , 0.396554845341428 , -0.391544681884019 , 0.177945884133206 , 0.641354584104128 , 0.104331607917673 , 0.370808159350869 , 0.0788788234155719 , -1.09856107479015 , -0.0110033565729482, -0.6157395900131 , 0.682874627414982 , -0.733885323844134 , 0.380808136927942 , -0.467602756919178 , 1.11565311560662 , 0.0886394875863978 , 1.12021669264431 , 0.607505506171515 , 0.264390968919511 , 0.582316003650461 , 0.0904176120284853 , 1.27542388086663 , -0.342288341067467 , -0.297508309091414 , 0.469029086402665 , 0.511344886814613 , -0.135804131639908 , -0.204303033832636 , 1.6295382379226 , 0.159963743879482 , 0.055339718374364 , 0.431598312615636 , 0.519501327794828 , 0.467590481058903 , 0.0585797200267823 | 0.0774224 |
| 32 | 20 | 0.5 | 0.0 | 1.0 | control , control , control , control , control , control , control , control , control , control , control , control , control , control , control , control , control , control , control , control , intervention , intervention , intervention , intervention , intervention , intervention , intervention , intervention , intervention , intervention , intervention , intervention , intervention , intervention , intervention , intervention , intervention , intervention , intervention , intervention , -0.565286179826187 , -0.278969402751358 , -0.00314727831360573, 0.521340926767043 , -0.490661038879171 , -0.108327659424707 , 0.424092000385211 , -0.936385128067006 , -0.382567105837713 , -0.101741098176336 , 1.73450001609617 , -2.08278058321791 , 1.61954244010205 , -0.454783486827584 , 0.610028249230438 , -2.00045867783461 , -1.07506890505263 , -0.352894822113099 , -0.427377992985188 , 0.408599285278579 , -0.542626779158173 , -0.429012367475194 , -0.824294034496658 , -1.15403211773705 , -0.508917798200074 , -0.988154526194443 , 0.209819121642196 , -0.219520145852586 , -1.81101179536325 , -0.89434247928857 , 0.0810000585392891 , 0.516283019219605 , 1.41370448715486 , 0.513290553173046 , 1.11970634548494 , 2.19781706860357 , 0.786824256632022 , 0.262285166406058 , -0.662471026852711 , -1.91130744567247 | 0.8639290 |
| 32 | 20 | 0.5 | 0.1 | 0.5 | control , control , control , control , control , control , control , control , control , control , control , control , control , control , control , control , control , control , control , control , intervention , intervention , intervention , intervention , intervention , intervention , intervention , intervention , intervention , intervention , intervention , intervention , intervention , intervention , intervention , intervention , intervention , intervention , intervention , intervention , -0.133054526437672 , 0.19988457402267 , -0.0646332733043152, 0.587495995397133 , 0.512976278175837 , 0.729084405363595 , 0.124215423198803 , -0.532991906305182 , -0.183167896115534 , 0.0610531730540855 , -0.763140241676547 , 0.980882126157633 , -0.505347168336596 , -0.273407475056458 , 0.635636416563327 , 0.245989302592451 , -0.174659290197768 , -0.666784790822364 , 1.05998132754845 , -0.0477885989169602, 1.24517750365785 , 0.739775126657594 , 0.355567564286835 , 0.916846813075391 , 1.19520016047637 , 0.0217796115645239 , 1.1250264823766 , 1.0688233434504 , 0.178031098357819 , 0.132972898312771 , 1.29961028350786 , 0.320902931754842 , 1.14706725344958 , 0.0317888923504838 , 0.658789827123211 , -0.249331239619554 , 0.6123687348658 , 1.26136377240717 , -0.553842739254111 , 0.707559337432656 | 0.0042968 |
| 32 | 20 | 0.5 | 0.1 | 1.0 | control , control , control , control , control , control , control , control , control , control , control , control , control , control , control , control , control , control , control , control , intervention , intervention , intervention , intervention , intervention , intervention , intervention , intervention , intervention , intervention , intervention , intervention , intervention , intervention , intervention , intervention , intervention , intervention , intervention , intervention , 1.8931435282244 , 0.47599753094127 , -0.13197994006058 , -1.18607114162748 , 0.86792530542886 , -1.48268152930621 , 1.31721212286265 , 0.209150652455587 , 1.05712271609958 , -1.01384698375701 , -0.690452249953032, -0.378570921217419, -0.924636526563174, -1.01455812197136 , -1.13031140923841 , -0.892325207363034, -0.638065196285658, 1.0527621522257 , -0.090085823059694, -0.196751373340995, 0.561291061842266 , 0.139509117662442 , 1.17240183330441 , 1.60390384658974 , 1.63988640875243 , -0.874651388771193, 1.59368988373433 , -0.623254401256767, -0.88399145285981 , -1.17180937703545 , 0.959629730430728 , 1.93946376080708 , 0.361475175639356 , 0.913252977910821 , 0.89735822076828 , -0.718008885190412, 0.49717521704593 , -0.15345689324087 , -1.01583148926054 , -1.17149820803324 | 0.1875817 |
| 32 | 50 | 0.0 | 0.0 | 0.5 | control , control , control , control , control , control , control , control , control , control , control , control , control , control , control , control , control , control , control , control , control , control , control , control , control , control , control , control , control , control , control , control , control , control , control , control , control , control , control , control , control , control , control , control , control , control , control , control , control , control , intervention , intervention , intervention , intervention , intervention , intervention , intervention , intervention , intervention , intervention , intervention , intervention , intervention , intervention , intervention , intervention , intervention , intervention , intervention , intervention , intervention , intervention , intervention , intervention , intervention , intervention , intervention , intervention , intervention , intervention , intervention , intervention , intervention , intervention , intervention , intervention , intervention , intervention , intervention , intervention , intervention , intervention , intervention , intervention , intervention , intervention , intervention , intervention , intervention , intervention , -0.760379222931273 , 0.888410620129167 , -0.0726714270705973 , -0.83827668823726 , -0.0954989696154438 , 0.17872277896643 , 0.0314009841134266 , 1.51156844307549 , 0.178830891708898 , -0.346405064636612 , 0.661041005622146 , 0.863333186095072 , -0.653566432133087 , -0.708578019914726 , -0.000513720843324859, -0.545535785995437 , -0.468725193993227 , 0.603855081876902 , 0.406741273443404 , -0.00107200597962657 , 0.253397444721902 , -0.334219759991041 , -0.273425947068618 , -0.167173960763219 , 0.821304310689119 , 1.74199762823328 , 0.826092506099869 , 1.09743434178296 , 0.0139209752282015 , 0.203287726982794 , -0.752741640977355 , -0.0323424585392338 , -0.319531625488343 , -0.387597718419672 , -0.0919779311755145 , -0.940692484726385 , -0.294922091031024 , 0.81365606025752 , -0.406500246562669 , -0.745302098709333 , -0.699623245877783 , 0.451760566349556 , -0.785060559734055 , 0.335830594183162 , -0.421603737057358 , -0.0148799104319591 , 0.194123815046379 , 0.841159786246207 , 0.00611199219091802 , -0.508795638628465 , -0.179893547449926 , -0.707781900926606 , -0.0311442190113173 , -0.212404707735343 , 0.183243914686964 , 0.201109980108097 , 0.807482383731129 , 0.643359193027201 , -0.0350098685132293 , 0.0783661922213717 , -0.339293369623156 , 0.158043388056883 , 0.971344639306659 , 0.0691634810179756 , -0.0510594720969572 , -0.161719320225183 , -0.442616427208241 , -0.124916420547933 , -0.142013029926023 , -0.330521473193557 , 0.237544981654189 , 0.272273709361036 , 0.403718955229835 , 0.48825449489912 , 0.463908519692082 , 0.0311963185859736 , -0.752811579149065 , 0.51386111154884 , 0.562957072208875 , 0.544830067875969 , 0.708144461380317 , -0.756362738366456 , 0.216171714810653 , 0.219077572701836 , 0.171572532768153 , -0.276769377035928 , -0.55434593574113 , 0.527930799771198 , -0.140286754027753 , 0.945374204413526 , -0.194039303719891 , -0.000423246210924967, -0.947535144348547 , -0.551167046188074 , 1.26672726321588 , 0.176361702596377 , 0.0173278680336749 , -0.291486222497566 , 0.444865996260764 , -0.280011186232044 | 0.6466904 |
| 32 | 50 | 0.0 | 0.0 | 1.0 | control , control , control , control , control , control , control , control , control , control , control , control , control , control , control , control , control , control , control , control , control , control , control , control , control , control , control , control , control , control , control , control , control , control , control , control , control , control , control , control , control , control , control , control , control , control , control , control , control , control , intervention , intervention , intervention , intervention , intervention , intervention , intervention , intervention , intervention , intervention , intervention , intervention , intervention , intervention , intervention , intervention , intervention , intervention , intervention , intervention , intervention , intervention , intervention , intervention , intervention , intervention , intervention , intervention , intervention , intervention , intervention , intervention , intervention , intervention , intervention , intervention , intervention , intervention , intervention , intervention , intervention , intervention , intervention , intervention , intervention , intervention , intervention , intervention , intervention , intervention , -1.19066391215352 , -0.063777466069351 , 0.714881802563389 , 1.56586116752776 , 0.249816789145887 , 0.0598258908083155 , 2.36988343125135 , -1.15694037544223 , 0.382667816965081 , -0.619213852003739 , 0.429924998446304 , 0.354114446701876 , 0.0698780855399955 , -0.300713306804921 , -1.53768601770067 , -0.296712874453073 , 0.983154339649859 , -1.82529139050499 , 0.884142912004671 , -0.773739198570858 , 0.176327224118278 , -1.01262247562767 , -1.3910064513026 , -0.258518824964285 , -0.637152444699635 , 0.343042529957967 , 1.4033179060088 , -0.222672871305558 , -1.29489304150878 , 0.449569192673931 , -0.774191043785387 , -0.423732044628028 , -0.856763096024968 , -0.106486043210952 , 0.0747611524924899 , -2.12494635876928 , 0.755860590774297 , 1.0203554976754 , 0.369351228951937 , -0.403190258730051 , -1.96454653505333 , 0.401858897317363 , 0.039423867307628 , 0.463313564418619 , -0.191570326131154 , 0.977292099289727 , 1.18100572195603 , 0.341399154529434 , -1.05047855052123 , -0.0203820374540845, 0.389280986547474 , 0.643858156466441 , 0.954632593880534 , -0.757803892993545 , 0.689547733136109 , 0.0435364197444286 , 1.12640844308851 , -1.46608001993897 , 0.0979247212805865 , -0.443180897240514 , 0.424863523192568 , -0.457877786757122 , 1.72004594154756 , -0.11603742444009 , -0.665731981830248 , -1.49411087884244 , -0.218956594366336 , -2.03463822522548 , -0.590014888513596 , 1.22917174609897 , 0.114121270052164 , 0.325598051547321 , 0.314864349930541 , 0.254641649695124 , -1.11111868309533 , 0.487991818804576 , 0.182020773390173 , -1.26456728976717 , 0.775447053282552 , -0.384068940645151 , 0.442180481450672 , -0.0708451889337953, 0.278372556682234 , 0.0218300045953079 , -0.0373430930786997, -1.96524857809399 , 1.10266784562105 , 0.177675145560493 , -0.218258626043459 , -1.05211309480953 , -1.19606171056572 , -1.28782054388108 , 1.21288860162792 , -0.52647281194103 , 0.0222733165605083 , -0.346428952071012 , 0.976910908975051 , 0.835705196309372 , -1.5240058765042 , 0.912149097353819 | 0.9161247 |
| 32 | 50 | 0.0 | 0.1 | 0.5 | control , control , control , control , control , control , control , control , control , control , control , control , control , control , control , control , control , control , control , control , control , control , control , control , control , control , control , control , control , control , control , control , control , control , control , control , control , control , control , control , control , control , control , control , control , control , control , control , control , control , intervention , intervention , intervention , intervention , intervention , intervention , intervention , intervention , intervention , intervention , intervention , intervention , intervention , intervention , intervention , intervention , intervention , intervention , intervention , intervention , intervention , intervention , intervention , intervention , intervention , intervention , intervention , intervention , intervention , intervention , intervention , intervention , intervention , intervention , intervention , intervention , intervention , intervention , intervention , intervention , intervention , intervention , intervention , intervention , intervention , intervention , intervention , intervention , intervention , intervention , -0.188826169015348 , -0.389473401003596 , -0.546851875703306 , -0.175903064631271 , -0.0413839380813004 , 0.052671871362095 , -0.150887595591682 , -0.00883153779265354, -0.415750334149837 , 0.170947664729521 , 1.05146055376915 , 0.653457442773784 , 0.908413785029086 , -0.779377989736192 , -0.219362490346281 , 0.258193939265703 , -0.279621493291879 , 0.172931453869101 , 0.391098974238808 , 0.113615657295746 , -0.277682294045872 , 0.281562981609478 , -0.20806901648099 , 0.508346860147889 , 0.314832160974089 , -0.109433620312965 , -0.070003728575947 , -0.18764576718773 , 0.28287073460666 , 0.389189241895615 , 0.893771139546793 , 0.646851207140522 , 0.855945976024436 , 0.00501807602134502 , -0.511281221575514 , -0.0596284907159001 , -0.444624453963574 , -1.29969281913086 , -0.528029614953809 , -0.367423230741337 , 0.00427345692091569 , -0.00213503271898137, -0.214322893644435 , -0.345360841629779 , 0.5062524126217 , 0.490382510730873 , -0.577408755992247 , -0.557079854130787 , 0.573043034209013 , 0.231529191726928 , 0.10112239021734 , 0.497820490172178 , -1.06461597031398 , 0.291007671318509 , -0.786818406596371 , -0.320904158877117 , -0.234323780986058 , 0.197325348438256 , 0.461173592164692 , 0.121217724020202 , -0.223483809541837 , 0.37395008760848 , -1.24535314421934 , 0.732866127289247 , 0.362184811744335 , 0.685603783161082 , -0.493502728186292 , -0.61343077673262 , 0.276410697635972 , 0.463677268425267 , 0.956276165947843 , 0.952948758894979 , 0.0107874540955782 , 0.740725143225246 , 0.00768582649667361 , -0.103018374894302 , -0.557183726689948 , -0.490846413672496 , -0.135405738067847 , -0.981268488393715 , 0.208119311258982 , -0.685953159454036 , 0.180220721836801 , 0.322708283804502 , -1.03525949162367 , 0.456625185528469 , 0.0592083001126522 , 0.482926894654356 , -0.584678297978882 , -0.290560344663329 , 0.512191877004444 , -0.00727467049100618, 0.784670112009229 , -0.614298552081354 , 0.440600085962724 , 1.05272690739779 , -0.154722150319411 , 0.00987523737651614 , 0.178477378226711 , 0.0107782863514783 | 0.9223534 |
| 32 | 50 | 0.0 | 0.1 | 1.0 | control , control , control , control , control , control , control , control , control , control , control , control , control , control , control , control , control , control , control , control , control , control , control , control , control , control , control , control , control , control , control , control , control , control , control , control , control , control , control , control , control , control , control , control , control , control , control , control , control , control , intervention , intervention , intervention , intervention , intervention , intervention , intervention , intervention , intervention , intervention , intervention , intervention , intervention , intervention , intervention , intervention , intervention , intervention , intervention , intervention , intervention , intervention , intervention , intervention , intervention , intervention , intervention , intervention , intervention , intervention , intervention , intervention , intervention , intervention , intervention , intervention , intervention , intervention , intervention , intervention , intervention , intervention , intervention , intervention , intervention , intervention , intervention , intervention , intervention , intervention , 0.221477173195403 , 0.882679314593835 , -1.61235146543814 , 0.572211039378404 , -0.807279123542825 , 3.12290328237731 , -0.284155832982861 , -0.59452247420529 , 0.0904003374260786 , -0.935079636229196 , -0.532279513704919 , 0.0958079096179658 , -1.29020303859271 , 1.70109570816102 , 1.37290692097955 , 0.336122392952034 , 0.310799411423389 , 0.912600550755165 , 0.551614114087113 , 1.42811405527764 , 0.087648724589827 , 0.533785258232374 , -0.586049797837985 , -0.579575256383737 , 0.347662945931877 , -0.827248078294678 , -1.91075656901592 , -0.299694096167275 , -0.313028459851716 , -0.465341816438105 , -0.883488723157876 , 0.738516308435461 , -0.127620147117295 , -1.15660786690216 , 0.634707228963718 , -1.12354679157287 , -1.20235350014746 , 0.200073675333898 , 1.17852231348642 , 0.550323638070386 , -0.698751783441848 , 0.180742249096071 , -0.024826299547274 , -0.672812551087261 , -0.566533149997767 , -0.785446121262634 , -0.599957889141229 , 0.780343662425076 , -1.68554342532668 , 0.175961520085984 , 0.0192221506031946 , 0.906918838221359 , 0.415686744964764 , -0.128439616662043 , -1.24417091088167 , 0.547164733086434 , 0.475087336277554 , 0.115035220198726 , -0.603386773999859 , 0.816528405001473 , 1.90030768594849 , 0.05760302313153 , -0.663593842966648 , 1.419764954472 , -0.445541478487527 , -0.385608207228652 , 2.3545307288141 , -1.46132457594651 , -0.639893213806239 , -1.07826982968709 , 0.225805451737172 , 1.14134808868774 , -0.901477400257265 , 1.03030154230254 , -2.01162310733853 , -0.418644450268343 , 0.0633545479334958 , 0.0691535084503608 , 0.604197316795133 , -0.989397272772397 , 0.599438154998971 , 0.172952348719856 , -0.0787080868570022, -0.518373700239508 , -1.12463241038486 , -0.681760718712521 , 0.117471863616266 , 0.502368629907829 , -0.22098142703228 , 0.299427390030439 , 0.163884936800656 , -0.447026156488513 , 0.198081385027389 , -0.233075430381289 , 0.716912564738805 , 1.05952852311571 , 0.169538338595546 , 0.283007346112938 , -0.708352621355282 , 1.3015455983772 | 0.4857997 |
| 32 | 50 | 0.5 | 0.0 | 0.5 | control , control , control , control , control , control , control , control , control , control , control , control , control , control , control , control , control , control , control , control , control , control , control , control , control , control , control , control , control , control , control , control , control , control , control , control , control , control , control , control , control , control , control , control , control , control , control , control , control , control , intervention , intervention , intervention , intervention , intervention , intervention , intervention , intervention , intervention , intervention , intervention , intervention , intervention , intervention , intervention , intervention , intervention , intervention , intervention , intervention , intervention , intervention , intervention , intervention , intervention , intervention , intervention , intervention , intervention , intervention , intervention , intervention , intervention , intervention , intervention , intervention , intervention , intervention , intervention , intervention , intervention , intervention , intervention , intervention , intervention , intervention , intervention , intervention , intervention , intervention , 0.423521454440055 , 0.363885194962575 , -0.213869062508906 , -0.443382388151305 , -0.260038235501335 , -0.268296097067166 , 0.685633272492403 , 0.205264989496336 , -0.25283419303548 , -0.00624763160709465, -0.305353476847783 , -0.0619439194076359 , 0.397033749056794 , -0.305265600156802 , 0.248699122347199 , 0.175952650456063 , 0.421759404084669 , 0.147101476758141 , -0.0574672431830704 , 0.219520375771255 , -0.239089626455175 , -0.0476412598813535 , 0.577967355818774 , -0.1800418666831 , -0.476144837429456 , -0.617129778504449 , -0.716987380596038 , -0.140142203265363 , -0.101355945686967 , -0.581002465553791 , -0.535550170108265 , -0.583069700623504 , -0.164041949172528 , 0.129528089847584 , 0.286757184784102 , -0.35265281942598 , -0.395216482776739 , 0.141397632389977 , -0.204555786693203 , 0.150565107294553 , 0.726165419982361 , 0.558227670694774 , 0.367411140217562 , -0.639510505403424 , -0.291552061482526 , -0.719894021192105 , 0.63781520311187 , -0.0528319746592994 , 0.295376234596402 , -0.589604911247455 , 0.759933358729092 , 0.269607688759384 , 0.101980699042492 , 0.21526117751136 , -0.304129071643859 , 0.31021588407178 , 0.62095309680548 , -0.119637352494965 , 0.407655991486894 , -0.291248403398682 , -0.471610358413076 , 1.28111670288203 , 0.906566413737822 , 0.645652258186359 , -0.155994170832581 , 0.186224099476061 , 0.294690172554506 , -0.136632147212829 , 1.01475050200739 , 0.807269575815813 , 0.253234721010767 , 0.0861217783748223 , -0.160288694785694 , 0.318906673607629 , 0.849461472317432 , 1.3862912147165 , 0.506313481666032 , 0.807632643404381 , 0.669706831776829 , 0.23179437265405 , -0.223869925869602 , 1.02227815530698 , 0.747387521714068 , 0.758402308820203 , 0.946230053337332 , 1.35995299337563 , -0.105385515560805 , 0.895843380171466 , 0.0976452186309812 , -0.461794807092313 , 0.827729583233039 , 0.963606874690016 , -0.163912744595277 , 0.516399447444805 , 0.895857915223811 , 0.747691442500842 , 0.746063436397658 , 0.421781275637551 , 0.341013119389605 , -0.318978742241311 | 0.0000006 |
| 32 | 50 | 0.5 | 0.0 | 1.0 | control , control , control , control , control , control , control , control , control , control , control , control , control , control , control , control , control , control , control , control , control , control , control , control , control , control , control , control , control , control , control , control , control , control , control , control , control , control , control , control , control , control , control , control , control , control , control , control , control , control , intervention , intervention , intervention , intervention , intervention , intervention , intervention , intervention , intervention , intervention , intervention , intervention , intervention , intervention , intervention , intervention , intervention , intervention , intervention , intervention , intervention , intervention , intervention , intervention , intervention , intervention , intervention , intervention , intervention , intervention , intervention , intervention , intervention , intervention , intervention , intervention , intervention , intervention , intervention , intervention , intervention , intervention , intervention , intervention , intervention , intervention , intervention , intervention , intervention , intervention , 0.247525968646945 , 1.13761419140659 , 0.225716722901038 , -0.2289743891482 , 0.308158706693364 , 0.117009111237959 , -0.96272212775654 , -0.462249622073631 , -0.178098106419419 , -0.284611548567198 , -0.663887638770374 , 2.64493087519923 , -0.186568172324419 , -0.862915171516089 , 0.653397396817556 , -0.770486346226188 , 2.62065829206684 , -0.18273797345087 , -0.346994770437031 , -0.586018029328617 , 0.374367238221712 , 0.444489490041377 , -0.382172327193346 , -0.322392297709295 , 0.0745138165448436 , -0.251613665691344 , -0.269253814842712 , 0.964328472414989 , -0.488281592918991 , 1.81986477907091 , 0.713280435739643 , 0.779947175310114 , 1.79532302447332 , 2.0709883482088 , -0.036592066538573 , -1.45338476082883 , -0.052057060312256 , 0.208610043112671 , -0.727521424257403 , 0.0577160238155157 , 0.321974215031229 , 1.254270645778 , -0.0379586151775405 , -0.237101680209749 , -1.18271230250113 , -0.779404017095579 , -0.820532251585533 , -0.287879862090424 , -1.28098520932555 , -0.0628439053304939 , -0.332007325975525 , 0.121989795287133 , 0.187803388510733 , 0.683992209149084 , -0.774219220496137 , 1.15076433630084 , -0.314018053992283 , -0.978198516252144 , -0.495115436612466 , -0.00302117186217543, 1.87559744094464 , -0.76550665561992 , -0.754446653066658 , -0.093587669744755 , -2.40461762310742 , -0.0324468558389346 , -1.08072102462071 , 1.57463400757826 , 1.19239665686469 , 0.242206920622459 , -0.785514452630761 , 2.18801631522908 , 0.335046063707912 , 0.0746320573875578 , -1.23778848618381 , 1.41791807205056 , -0.0094821468919869 , 1.71060578938306 , 1.55225126942672 , 0.650291741689283 , -0.737334971996222 , 0.90606742055053 , -0.521946536357213 , 0.801801050650564 , 2.03072067268878 , 1.24163228866362 , 0.572884432603901 , 0.542460753553664 , 0.349287747953754 , 0.233606234392203 , 1.33039329120361 , -0.904567906651281 , 0.462648632417592 , 1.11832594342227 , -0.151522305485385 , 2.00246582619377 , 0.965242409354423 , 1.09375620123009 , 1.24108909921175 , -0.404083428491033 | 0.1927381 |
| 32 | 50 | 0.5 | 0.1 | 0.5 | control , control , control , control , control , control , control , control , control , control , control , control , control , control , control , control , control , control , control , control , control , control , control , control , control , control , control , control , control , control , control , control , control , control , control , control , control , control , control , control , control , control , control , control , control , control , control , control , control , control , intervention , intervention , intervention , intervention , intervention , intervention , intervention , intervention , intervention , intervention , intervention , intervention , intervention , intervention , intervention , intervention , intervention , intervention , intervention , intervention , intervention , intervention , intervention , intervention , intervention , intervention , intervention , intervention , intervention , intervention , intervention , intervention , intervention , intervention , intervention , intervention , intervention , intervention , intervention , intervention , intervention , intervention , intervention , intervention , intervention , intervention , intervention , intervention , intervention , intervention , 0.471329095626603 , 0.70309439530793 , -0.982476227582866 , -1.01942423906929 , 0.473073850409869 , 0.264519858453349 , 0.461262492233507 , -0.423484688778825 , 0.263779259726985 , 0.432246782517461 , -0.385603249374088 , -0.0565642022421118, 0.00399543822085413, -1.07057342827817 , -0.519173238746643 , 0.32134089446723 , 0.348076521817378 , 0.0458285262475652 , 0.915692176710241 , -0.176176433899689 , 0.331453704011449 , 1.2869197133892 , -0.250751718554081 , 0.0551987023323383 , -0.381196743061791 , -0.228677315942338 , 0.936642921871718 , -1.46038607039116 , -0.510861283572161 , 0.371463783417268 , 0.399804678943149 , -0.21803913843913 , 0.780605817320087 , 0.786944052238642 , -0.535010523148307 , -0.059261670229567 , 0.427227319523714 , 0.15665379824114 , -0.357960010027136 , 0.058792494194837 , 0.190136594949676 , -0.821739126521259 , 0.50905079149597 , 0.386811412762211 , -0.204668869105258 , 0.198145196069256 , -0.431973007958902 , -0.0303580815978072, 0.226454489820687 , -0.146805694984298 , -0.16592542583089 , 0.434034771419588 , 0.898682938417333 , 0.0106217341590994 , 0.634375483859834 , 0.937761768114236 , 0.973713628897606 , 0.0328209653198146 , 0.931446970129106 , 1.18905253665255 , 0.958394062947487 , 1.24278727937949 , 1.68806650959896 , 0.203847196150862 , 0.513817670506055 , 0.317397010542761 , 0.652697189152699 , 0.965969815906211 , 1.47991027311563 , -0.0672075907333732, 0.299697669650843 , 0.854686023012704 , 0.727865667726374 , 1.504992633936 , 0.369802146127538 , 0.876139611372109 , 0.517025705457755 , 0.313704659024002 , -0.137270017326915 , 0.364290502508479 , -0.0456702189427216, 0.601095352754561 , 1.33225038474046 , 0.219999569919105 , -0.217847301082676 , 0.310392744630551 , 0.422990475491465 , -0.204538064656911 , 1.2748201773836 , 0.673544661165918 , 0.340134915392626 , 0.463107726475735 , 0.42118217144435 , 0.232363514022338 , 0.217126454773497 , 0.206626547999425 , -0.380199723876549 , 0.739462594502158 , 1.07417276202771 , 0.973501934387473 | 0.0000020 |
| 32 | 50 | 0.5 | 0.1 | 1.0 | control , control , control , control , control , control , control , control , control , control , control , control , control , control , control , control , control , control , control , control , control , control , control , control , control , control , control , control , control , control , control , control , control , control , control , control , control , control , control , control , control , control , control , control , control , control , control , control , control , control , intervention , intervention , intervention , intervention , intervention , intervention , intervention , intervention , intervention , intervention , intervention , intervention , intervention , intervention , intervention , intervention , intervention , intervention , intervention , intervention , intervention , intervention , intervention , intervention , intervention , intervention , intervention , intervention , intervention , intervention , intervention , intervention , intervention , intervention , intervention , intervention , intervention , intervention , intervention , intervention , intervention , intervention , intervention , intervention , intervention , intervention , intervention , intervention , intervention , intervention , -0.544622884660157 , 1.27380520890168 , 0.00771156131015538 , 0.192306651594897 , 1.00970823905022 , -1.12161029988572 , -0.0855412240699214 , 0.0820473415660519 , -1.53905824860318 , 0.822184621009693 , -0.100185737560783 , 0.989766375194593 , -0.318741415945653 , 2.05513969309792 , -0.148172662020425 , -0.274597220854098 , 0.192646723828662 , 0.622046526542133 , -0.520907434584417 , 1.01577742385375 , 1.05220915186771 , 0.201777512613158 , -0.831267595696984 , -0.231594559732408 , 1.88801347725598 , 0.964668278127114 , -0.987144154987967 , -0.960517655710108 , 0.108936859061796 , -1.10992507230598 , -1.25344148435851 , 0.348553067913123 , 0.98425714676971 , 0.559250095180981 , 0.635650182831749 , 1.04620833139466 , 0.605408102323784 , -0.0894372434329722 , 0.768786365537065 , -1.21154721230646 , -0.969758715636595 , 1.30065051756492 , 0.0930639011673479 , 0.0907457755424278 , 0.711428262660543 , -0.739425300068708 , 1.00089937602616 , -1.74597194285263 , 0.87304045785166 , -0.797049068023093 , -1.5016280967078 , 0.505683499642544 , 1.13300483372919 , 1.19956488587132 , 1.01301665776708 , 0.682048587528723 , -0.0662734528103983 , -0.00807323343775257, -0.74253774592509 , 1.00783600446358 , 1.19640447553567 , 1.04348042314565 , -0.842409143064508 , 0.720470414989538 , 0.487933616783477 , 2.49812550751142 , 2.44565402475652 , 0.42767136823293 , 0.301349365285461 , 0.443996336638647 , 2.71687661145866 , -1.48041155258846 , 0.469919198307561 , 1.48985739325309 , 1.65888522421544 , 0.342009676668545 , 2.25010345123935 , -0.199935207876316 , 2.60009194829234 , 0.463950310513554 , 0.230108938416235 , -1.36577121061558 , 0.349549739211718 , 2.67723980292009 , 1.15682323105222 , 0.806623334533858 , -0.235456558582165 , 0.67626010453537 , -0.0635480612759879 , 0.530010658784435 , 0.959555873119249 , 1.59302657782754 , 0.820593308965842 , -0.201144019840887 , 2.51926324393388 , 0.636314820517802 , 0.54281656527155 , -0.483994910214486 , 1.0940603304023 , 0.988458732217351 | 0.0028795 |
| 33 | 20 | 0.0 | 0.0 | 0.5 | control , control , control , control , control , control , control , control , control , control , control , control , control , control , control , control , control , control , control , control , intervention , intervention , intervention , intervention , intervention , intervention , intervention , intervention , intervention , intervention , intervention , intervention , intervention , intervention , intervention , intervention , intervention , intervention , intervention , intervention , 0.592998883655431 , -1.33979547859901 , 0.411258434660571 , -0.815140864581935, -0.556419091537272, -0.216021402327387, -0.418100094009029, -0.854374035818174, -0.450301855662305, -0.48619733461505 , -0.606390051143438, 0.122122443177992 , -0.49491989503898 , -0.974982555632384, -0.266466521885869, 0.381593678693093 , -0.448899733059329, 0.455805713914255 , 0.668377350302377 , 0.555828827119636 , 0.0300892861237572, 0.0998965467733859, -0.233196432841564, 0.188036396470056 , 0.603925735752237 , -0.14010717546539 , 0.0686262251290631, -0.063894368628971, -0.498985748773199, -0.279084113079867, 0.531783507663596 , 0.199751511007319 , -0.236494101317897, 0.41947790134824 , -0.181671761970227, -0.345922178370287, -0.239135218543065, -0.169399118625557, 0.460595130655548 , -0.433513375009208 | 0.1396068 |
| 33 | 20 | 0.0 | 0.0 | 1.0 | control , control , control , control , control , control , control , control , control , control , control , control , control , control , control , control , control , control , control , control , intervention , intervention , intervention , intervention , intervention , intervention , intervention , intervention , intervention , intervention , intervention , intervention , intervention , intervention , intervention , intervention , intervention , intervention , intervention , intervention , 0.396443848523321 , -1.36430661982984 , -0.11317790810766 , 0.788247998291786 , -0.589124767017658, 1.08426362624178 , -0.734126274828309, 0.168516859678079 , -0.671208527800514, 1.70319760703095 , 0.271497577654274 , 0.458683932461074 , 0.700325753619844 , 0.560043481864503 , 0.50672241434675 , 0.75892617073059 , -0.701169052241803, -1.03369566181979 , 1.42319651442321 , -0.294125079725876, 0.0937301315154845, -2.74456730767896 , 0.872926666124363 , -1.07157484772194 , -0.292812240531761, -1.2402369944753 , 0.784324012182955 , 1.0235922241452 , 0.847910093859468 , -1.26193856613756 , 0.0903923702376826, -0.80974986624052 , 1.22537207647801 , 0.321334049535911 , -0.891099679143156, 2.67352402753035 , 0.044197915008599 , 0.690226667497456 , 0.461482767665242 , -0.631447777761276 | 0.6297228 |
| 33 | 20 | 0.0 | 0.1 | 0.5 | control , control , control , control , control , control , control , control , control , control , control , control , control , control , control , control , control , control , control , control , intervention , intervention , intervention , intervention , intervention , intervention , intervention , intervention , intervention , intervention , intervention , intervention , intervention , intervention , intervention , intervention , intervention , intervention , intervention , intervention , -0.804717723739214 , -0.601838422316576 , -0.492709302733552 , -0.0407126187840689, -0.27379228096409 , -0.817801662545718 , -0.501659394355697 , 1.23227585989829 , 0.138797791895686 , -0.186844947327091 , -0.0643853182768779, -0.204556994244649 , 0.362917952466778 , 0.668398208350089 , 0.72003293740999 , -0.231733732252462 , 0.186329494152129 , -0.367604921905199 , 0.366551527202463 , -0.282856161447696 , 0.665031323319558 , -0.0338161805271195, 0.177679689397469 , 0.337593152960919 , 0.0342167861877062 , 0.1017514763217 , 0.918835067090805 , -0.413773900862716 , 0.636918773489429 , 0.346270882845674 , -0.493764377684842 , -0.287326269215715 , 0.411006312782036 , 0.512269381663463 , 0.0270486689923294 , -0.53406068952433 , 0.383225249480142 , 0.34711751112368 , 0.239625801345191 , -0.131458405239535 | 0.1420613 |
| 33 | 20 | 0.0 | 0.1 | 1.0 | control , control , control , control , control , control , control , control , control , control , control , control , control , control , control , control , control , control , control , control , intervention , intervention , intervention , intervention , intervention , intervention , intervention , intervention , intervention , intervention , intervention , intervention , intervention , intervention , intervention , intervention , intervention , intervention , intervention , intervention , -0.196451598735861 , -1.26904787432584 , -1.82483607599959 , -0.260047318901723 , -0.180914797287992 , -0.267634334176683 , 1.52487814104293 , 0.857329500492059 , 0.164947838831785 , -1.31270756128342 , 0.646219727824639 , 1.32338277199331 , 0.82624393107483 , -0.98512316767635 , 0.186829930693947 , 1.08015225478131 , -0.201662002497051 , 0.200543705624951 , -1.56216684352369 , 0.864603875756168 , -2.07464873286674 , 0.99698760534734 , -0.129246397882731 , -0.796998811697275 , -1.74041195496726 , -0.0973401345883062, 1.353104849416 , 0.307454775980477 , -0.115052964728576 , 0.66700014809141 , 0.325100235738185 , 0.244751450458484 , 0.673114033152563 , 1.52223792005868 , 0.370697738276796 , 0.862266167857456 , 0.602246304252927 , 0.838175275744368 , -0.780448485647952 , -0.195533709062238 | 0.5976535 |
| 33 | 20 | 0.5 | 0.0 | 0.5 | control , control , control , control , control , control , control , control , control , control , control , control , control , control , control , control , control , control , control , control , intervention , intervention , intervention , intervention , intervention , intervention , intervention , intervention , intervention , intervention , intervention , intervention , intervention , intervention , intervention , intervention , intervention , intervention , intervention , intervention , 0.394935248251323 , -0.255159489040975 , 0.192575765065395 , -0.272142124010907 , 0.0827002179888009 , 0.130571149619558 , 0.465832902305076 , -0.0865557504331568, 1.02467473870559 , 0.0758945114739051 , -0.260299817254008 , -0.657389483611235 , 0.161894795638759 , -0.389153822101559 , 0.316812560770153 , -0.14951122386062 , 0.28950380277622 , 0.380002474224102 , -0.557690564946791 , -0.122515900147792 , 0.586734426117728 , 0.085692124803412 , 0.212762198681326 , 0.399056372818837 , 0.149604653416923 , 0.76226741266142 , 0.616848373402252 , 0.279009597327955 , 1.00874305304869 , 0.0535106609475858 , 0.239687421524625 , -0.342424304928631 , 0.93237056942341 , 0.29524104906275 , 0.391763196230261 , 1.45036818806005 , -0.36379896619403 , 0.723769877161154 , 0.198437716198303 , 1.07857179860273 | 0.0055269 |
| 33 | 20 | 0.5 | 0.0 | 1.0 | control , control , control , control , control , control , control , control , control , control , control , control , control , control , control , control , control , control , control , control , intervention , intervention , intervention , intervention , intervention , intervention , intervention , intervention , intervention , intervention , intervention , intervention , intervention , intervention , intervention , intervention , intervention , intervention , intervention , intervention , 1.19223789106944 , 1.28704459487879 , -0.237858992215733, -0.609599823814797, -2.08198788738649 , -0.106658862884519, -1.39758182217173 , -0.261223646288114, -2.70084234393026 , -0.899611179951835, 0.810429451731538 , 0.97873009316323 , -1.54237505691344 , -1.3393090366209 , -0.873973007516918, -1.98478309946129 , 0.552321852012113 , -0.145894541855318, -0.673485976243071, -0.19196840754142 , -0.115242274577724, 1.27961123153043 , 2.10549112623231 , -2.13687406954587 , 1.23254405490755 , -0.796814406847439, 0.375550493161796 , 0.328126692840547 , -0.19133395675804 , 0.996306031416892 , -1.96922505442238 , 0.747179719323449 , 1.61023759483254 , -0.298907765756007, 1.21959992087772 , 0.0140103970448779, 1.49020884485905 , 0.277171640518059 , -0.676518598893562, 1.04105728459687 | 0.0242560 |
| 33 | 20 | 0.5 | 0.1 | 0.5 | control , control , control , control , control , control , control , control , control , control , control , control , control , control , control , control , control , control , control , control , intervention , intervention , intervention , intervention , intervention , intervention , intervention , intervention , intervention , intervention , intervention , intervention , intervention , intervention , intervention , intervention , intervention , intervention , intervention , intervention , 0.223478224214319 , 1.32789128959607 , 0.0797429695800808 , 0.33646532661405 , -0.295913275449766 , -0.233367678020967 , 1.08188077417415 , -0.213223932228471 , -0.357807281983514 , -0.387259671735663 , -0.481840561558317 , 0.458141589091021 , 0.540465646748608 , 0.0688098986948434 , -0.706388785885123 , 0.276810139647376 , -0.131174842643348 , -0.0936435356065882, -0.289680653328923 , 0.58573895220272 , -0.171742236063623 , 0.635461915541532 , -0.930056839710146 , -0.54640250047967 , 0.21789527686103 , 0.0263544545507243 , 1.70755484340143 , 1.28750481894228 , 0.287996207631028 , 0.600542629247833 , 1.17658609949357 , 0.219258213253846 , -0.320429523540516 , -0.739177422998985 , 0.35866409916455 , 1.04900485967514 , 0.950126138797373 , 0.787344414192607 , -0.499397620746131 , -0.180568007192703 | 0.3087157 |
| 33 | 20 | 0.5 | 0.1 | 1.0 | control , control , control , control , control , control , control , control , control , control , control , control , control , control , control , control , control , control , control , control , intervention , intervention , intervention , intervention , intervention , intervention , intervention , intervention , intervention , intervention , intervention , intervention , intervention , intervention , intervention , intervention , intervention , intervention , intervention , intervention , -0.0609109264840798, 2.12029971412423 , 0.0910074587741562 , -1.21250412072712 , 0.938816994999111 , 1.9682604660468 , -0.847670698887299 , 0.557609269931304 , -2.16252784194403 , -0.114402127251072 , 0.682066199031008 , -0.334145747426952 , -0.36397667022724 , 0.257144239670259 , -0.349760040641735 , -0.34898893597053 , 0.400165440527877 , -0.582608973270691 , 0.277047377577457 , -0.742616523909943 , -0.902238825758181 , 0.0493141204524381 , 1.14118566613482 , 1.5677483014108 , -0.4651420087037 , 0.909596207813122 , 1.81427661831919 , 0.791922504054798 , 1.79184151954734 , 0.030901127660672 , 0.959560176170854 , -0.634602158172195 , 1.429355446783 , -0.104739116218205 , 0.0214286545963747 , 0.931083646213718 , 1.37038845894096 , 2.34772169235474 , 0.153109917189287 , 0.161508302888645 | 0.0338241 |
| 33 | 50 | 0.0 | 0.0 | 0.5 | control , control , control , control , control , control , control , control , control , control , control , control , control , control , control , control , control , control , control , control , control , control , control , control , control , control , control , control , control , control , control , control , control , control , control , control , control , control , control , control , control , control , control , control , control , control , control , control , control , control , intervention , intervention , intervention , intervention , intervention , intervention , intervention , intervention , intervention , intervention , intervention , intervention , intervention , intervention , intervention , intervention , intervention , intervention , intervention , intervention , intervention , intervention , intervention , intervention , intervention , intervention , intervention , intervention , intervention , intervention , intervention , intervention , intervention , intervention , intervention , intervention , intervention , intervention , intervention , intervention , intervention , intervention , intervention , intervention , intervention , intervention , intervention , intervention , intervention , intervention , -1.02004263214539 , -0.169941834349598 , -0.0892577088889693 , -0.63110049052644 , 0.102893343403439 , 0.910431715017586 , -0.400347312617049 , -0.200210474996886 , -0.559545886900668 , -0.319319102900194 , 0.252160301710565 , -0.250701721140411 , -0.526917453550562 , 0.40738381621189 , -0.189946619242934 , -0.079747131174621 , -0.574645449667746 , 0.218404138191007 , -0.288324100383458 , -0.582755289830757 , 0.425441579400038 , 0.0375237842498515 , 0.782256175590133 , -0.382742637233269 , 0.0531023060136956 , -0.0940670859391397 , -0.0336693318283331 , 0.396321208758223 , -0.784946189926547 , 0.0192056564398691 , 0.672722269058184 , 0.656328266366729 , -0.403255567169354 , 0.390703024583915 , 1.43332349481027 , 0.160605799262907 , -0.517920202202294 , 0.0750983084239474 , -0.0750277232567982 , -0.202118161531365 , 0.22611104848717 , 0.199765590163748 , -0.0575132174397894 , -0.89216759590975 , 0.0826480985746281 , 0.0120678154784817 , 0.277562889468568 , 0.468575095732756 , 0.660095221897411 , -0.330270852284373 , -0.603402771912172 , 0.346664131500299 , -0.640583454601222 , 0.220561772606761 , 0.0323340835844525 , -0.33668466283256 , -0.269197849465736 , 1.0687932321342 , 0.210696809295803 , 0.224406661763257 , 0.807666733290879 , 0.199057774974395 , -0.471185417453067 , -0.919744808760856 , -0.00766713383675172, -0.591692016704599 , 0.642806257128835 , 0.224059765801357 , -0.690089672506857 , 0.749261676834964 , -0.157009894145233 , -0.354130275115426 , -0.110201329116997 , 0.477461992559002 , -0.234759742782335 , -0.120016620646993 , 0.0717266221081784 , 0.589121138556762 , 0.232898797188491 , -0.247544380911787 , -0.700078994540156 , 0.425084241659636 , 0.30920714034828 , 0.445314568187997 , 0.0978878591386301 , 0.756222951058859 , 0.161640266889779 , -0.504709272548616 , -0.360915618635682 , -0.711192517430176 , 0.136374086538201 , 0.310664274656964 , 0.0168318530892678 , -0.478208011462717 , -0.610184870340845 , -0.193833948897466 , 0.433987302577247 , 1.07163941134656 , 0.66479145943573 , -0.831986567678415 | 0.7596001 |
| 33 | 50 | 0.0 | 0.0 | 1.0 | control , control , control , control , control , control , control , control , control , control , control , control , control , control , control , control , control , control , control , control , control , control , control , control , control , control , control , control , control , control , control , control , control , control , control , control , control , control , control , control , control , control , control , control , control , control , control , control , control , control , intervention , intervention , intervention , intervention , intervention , intervention , intervention , intervention , intervention , intervention , intervention , intervention , intervention , intervention , intervention , intervention , intervention , intervention , intervention , intervention , intervention , intervention , intervention , intervention , intervention , intervention , intervention , intervention , intervention , intervention , intervention , intervention , intervention , intervention , intervention , intervention , intervention , intervention , intervention , intervention , intervention , intervention , intervention , intervention , intervention , intervention , intervention , intervention , intervention , intervention , -1.64776932848831 , -0.263174476520188 , -0.70115893209917 , 1.4188179518974 , 0.205629873072607 , -0.406817551765045 , -1.10210115223518 , -0.83382061807604 , -0.754558412160518 , 0.334172746353572 , -0.1526003064875 , -2.0474801204039 , 0.228334742621965 , -1.71098430015802 , 0.838857163354761 , -0.738517445397349 , 2.0534333420088 , -0.081225415590828 , 0.340094886707494 , 1.53046908217068 , -0.136148877461409 , 0.247817927740181 , -1.94219706346094 , 0.241540820061103 , 1.95459590696029 , 0.508829252301345 , -0.272280928206906 , -0.494166433235337 , 0.284899685063367 , 1.1741003832779 , -0.118042450542708 , -0.78100832233624 , -0.248369784558109 , -1.05077433663711 , -0.824335302421022 , -0.102879030609794 , -0.125581461470541 , 2.26764999967493 , 0.506394391739442 , -1.10006628844513 , 0.793339006638816 , -2.8087988881741 , 0.33901547979115 , -1.29574759250669 , -0.285384298572375 , 0.446626127108973 , 0.705233689247046 , 0.737499400994216 , -0.69622568481175 , 0.589877485237118 , -1.38755130240434 , 0.406785019475294 , -1.71758842049026 , 0.695961043743779 , -1.6203570255586 , -1.18470761444806 , -0.11295268083078 , 0.455991139636703 , -0.44012969653662 , 0.420435624736588 , -1.16957527861299 , 0.0620751696030473 , 0.405177668354125 , 0.632827897407041 , 0.440633069612222 , 0.807099267235894 , -0.276456270589635 , -0.247107926244692 , -2.32706237257106 , -0.898536800568699 , 0.309269338904363 , -0.800651350476351 , -1.64670676949357 , 1.26800089602246 , -2.25270474811169 , -0.801119977684491 , -0.638636945974426 , 0.190523980045194 , -0.685159579670465 , -0.600112423653187 , -0.0202020900065618, 0.706020938332937 , 1.15318693021665 , -0.153633395580118 , 1.6704194536408 , 1.3933661807992 , -0.869605073348068 , 0.545568954985795 , -1.41112179767043 , -0.0851406492475343, -1.19175093454208 , 2.34090462067189 , 0.70008619205442 , -1.73529541075711 , -1.21488755545165 , 0.457938669151216 , 0.735203241411392 , -0.761298126380545 , 0.343550907079499 , -2.20275151870353 | 0.4905999 |
| 33 | 50 | 0.0 | 0.1 | 0.5 | control , control , control , control , control , control , control , control , control , control , control , control , control , control , control , control , control , control , control , control , control , control , control , control , control , control , control , control , control , control , control , control , control , control , control , control , control , control , control , control , control , control , control , control , control , control , control , control , control , control , intervention , intervention , intervention , intervention , intervention , intervention , intervention , intervention , intervention , intervention , intervention , intervention , intervention , intervention , intervention , intervention , intervention , intervention , intervention , intervention , intervention , intervention , intervention , intervention , intervention , intervention , intervention , intervention , intervention , intervention , intervention , intervention , intervention , intervention , intervention , intervention , intervention , intervention , intervention , intervention , intervention , intervention , intervention , intervention , intervention , intervention , intervention , intervention , intervention , intervention , 0.150883046759939 , -0.029392567138842 , -0.48053525704496 , 0.64932018579342 , 0.400553782661092 , 0.326954206255948 , -0.440767981247826 , -0.373895956901554 , -0.347913654964888 , -0.359424366604672 , -1.28332054968563 , -0.149322251862453 , 0.577507641742183 , 0.0522547733695265 , 0.230672028734741 , 0.0890973775578244 , 0.82684150281458 , 0.521531101492519 , -0.444367594111951 , 0.00223155468293537, -0.068310816832023 , 0.530599160255967 , 0.50220203089243 , -0.365859033237927 , -0.0941943788426338, 0.37125800140593 , 0.0655501907888927 , 0.0775272765999319 , 0.218102607876613 , -0.0863490967895306, 0.574956766317593 , -0.693077011625773 , 0.839135290950539 , -0.370587101607593 , 0.556105433071761 , -0.0106005502308909, -0.426871790793082 , -0.330519650118033 , -0.340706662693237 , -0.230196038249809 , 1.43738336022697 , 0.0988827000208936 , 0.660349734862871 , 0.180346070907909 , 0.368099583625913 , -0.362799945211748 , 0.592659966002915 , 0.43513114687688 , 0.551624230711783 , 1.0096854231556 , 0.667833648837552 , -0.549412483372353 , -0.325557798102137 , 0.82278017170608 , -0.221551557997175 , 0.553012077837775 , 0.89402226365725 , 0.491285509224633 , -0.0397902480004131, -0.798832708327632 , -0.394267796255196 , 0.180947371056243 , -0.114415430001166 , -0.195217244088271 , -0.0973963847381216, -0.132118479789737 , -0.425963707065571 , 0.348211198900901 , -0.65808259328899 , 0.572122123996744 , -0.796663508801819 , -0.774593940058303 , 0.192179488053391 , 0.327419319023008 , 0.513265168399073 , 0.63491863299625 , 0.460228306681187 , -0.0851915744068858, -0.0548396876428619, -0.237576745577772 , 0.314445688704987 , 0.0282976504596848 , 0.179622454588245 , -0.297967492395251 , -0.726012982090665 , -0.399848780638996 , -0.311643738755001 , 0.569840873964284 , 0.17728800969234 , 0.472643345985428 , 0.248286834203401 , -0.176671165984068 , -0.40530960542144 , -0.317485930290737 , 0.407676153967426 , 0.127875069836264 , -0.641193715523539 , 0.867111638644403 , 0.451347338967329 , 0.437613662140768 | 0.4286196 |
| 33 | 50 | 0.0 | 0.1 | 1.0 | control , control , control , control , control , control , control , control , control , control , control , control , control , control , control , control , control , control , control , control , control , control , control , control , control , control , control , control , control , control , control , control , control , control , control , control , control , control , control , control , control , control , control , control , control , control , control , control , control , control , intervention , intervention , intervention , intervention , intervention , intervention , intervention , intervention , intervention , intervention , intervention , intervention , intervention , intervention , intervention , intervention , intervention , intervention , intervention , intervention , intervention , intervention , intervention , intervention , intervention , intervention , intervention , intervention , intervention , intervention , intervention , intervention , intervention , intervention , intervention , intervention , intervention , intervention , intervention , intervention , intervention , intervention , intervention , intervention , intervention , intervention , intervention , intervention , intervention , intervention , -0.342530641044537 , -1.46100650981051 , 0.663578791629751 , -0.666085069379793 , 1.80539563852644 , 1.36083152371881 , -0.746984356557751 , 0.356417628742585 , 0.623357997350344 , 0.786581929980067 , 1.02180071873091 , 1.3051825669314 , -1.38785667175122 , 1.73091574944532 , 1.09977076930031 , 0.25819509496476 , 0.605378739782625 , -1.4581557532318 , -0.0345775799348869, 0.566953430558875 , -1.10004113663722 , -0.739917983654501 , -0.257113660625935 , 0.374260940324717 , -0.635306335589151 , 1.19660191050694 , 0.796553765686098 , -2.0468758033141 , -0.568868555940645 , -0.836131129336269 , 0.131905140910848 , 0.909373670756776 , 1.12867376224514 , 0.11668640381948 , 0.541299981322892 , -0.74454872131973 , -0.05866374282368 , -0.0157781561775161, -0.422632669924997 , 0.818999341212691 , -0.0378424911410244, 0.183193517579622 , -0.324840893947551 , -1.80441962487274 , 2.29940679598362 , 1.35769661770378 , 0.813326675148457 , 1.48398344226481 , 0.130177479519894 , 0.400962871060587 , -0.0874122344936169, 0.78702543664834 , -0.40091817544654 , 2.00360948886873 , -2.11249687550232 , 0.692192182561675 , 0.737452010480969 , 0.918609263836912 , 0.566178586913205 , -1.49706052541568 , -0.423998645240366 , -0.54494595275687 , 0.163080979178772 , 0.235335050466194 , -0.0178118640562858, 1.50718102183936 , 1.5166714309324 , 0.197353723800347 , 0.897030313859281 , -0.219316061076199 , 1.35887102541079 , -2.32368843981021 , -0.477875960058149 , 0.684790902565015 , -0.0659536589971926, -0.908996045784994 , 0.117168194101107 , -0.95595583079596 , -0.149670152799564 , 1.87499326902904 , -0.361385330631913 , 0.518825792241086 , -0.635883413070747 , -1.06096673873409 , -2.34336239780251 , 0.176774677313638 , 0.527341234771019 , -0.81022779169952 , -1.29387226515681 , 0.213204212885685 , 1.28876152405265 , 0.976886289624188 , 0.151594235538919 , -1.67994371619202 , 0.481267556363232 , 0.994885240809176 , 0.843888277445531 , -0.724033256442957 , 1.04885425511641 , -1.23499585077723 | 0.4301498 |
| 33 | 50 | 0.5 | 0.0 | 0.5 | control , control , control , control , control , control , control , control , control , control , control , control , control , control , control , control , control , control , control , control , control , control , control , control , control , control , control , control , control , control , control , control , control , control , control , control , control , control , control , control , control , control , control , control , control , control , control , control , control , control , intervention , intervention , intervention , intervention , intervention , intervention , intervention , intervention , intervention , intervention , intervention , intervention , intervention , intervention , intervention , intervention , intervention , intervention , intervention , intervention , intervention , intervention , intervention , intervention , intervention , intervention , intervention , intervention , intervention , intervention , intervention , intervention , intervention , intervention , intervention , intervention , intervention , intervention , intervention , intervention , intervention , intervention , intervention , intervention , intervention , intervention , intervention , intervention , intervention , intervention , 0.337998867404925 , -0.587522222245337 , 0.653213906363205 , -0.108855307259797 , -0.460212434333693 , -0.0605973225389368, -0.247597284415192 , 0.841795857792294 , -0.790078066013946 , 0.462611748327012 , -0.0438481649077215, -0.556187242793155 , 0.0333492055478829 , 0.884933758391372 , -0.32280057072524 , 0.461367746425987 , 0.0539895900086814 , -0.30247845325191 , 0.777826227303674 , -0.0511148690536736, -0.361503463044339 , 0.725103483918967 , -0.781294853767384 , 0.0900769266250075 , 0.00590229932000735, 0.649405496908863 , 0.199227751442578 , -0.134337461703064 , -0.172666587183399 , -0.377242953806756 , -0.336435585511869 , -0.0144365914946736, 0.285437364473909 , 0.411212839964154 , 0.0681347875879882 , -0.0285911457217493, 0.583123661063585 , -0.562886378844447 , 0.647582749082876 , -0.694898694326798 , -0.154770259482609 , 0.426975943376464 , -0.9778065486616 , 0.356321028357066 , -0.176785523668734 , -0.225221355166053 , -0.786309187374132 , 0.642878702885831 , -0.72269167733596 , 0.795608041416834 , -0.0109406618534973, 0.0619929082060865 , -0.284747043008366 , 0.12931914472312 , 1.00047030423213 , 0.351534782739478 , 0.780505244030027 , -0.348772893480242 , -0.0536655687507425, 0.991024161097974 , -0.666309077071781 , 1.4557118265099 , 0.438373386901013 , -0.399202658288344 , 0.258897190332116 , 0.476947158929072 , 0.779779877777597 , 0.802287532163641 , -0.318007440451243 , 0.664284051506412 , 0.0908613476187051 , 0.832408416090251 , 1.1277282736787 , 0.138661963324467 , -0.0868274359830498, 1.80890770467075 , 1.10807801099853 , 0.637612448165361 , -0.0894978558637637, -0.059294477183353 , -0.382319421099653 , 0.109961367810811 , 1.12223536690784 , -0.742320453597397 , 0.91540720131127 , 0.82933874990199 , 0.608439028204584 , -0.0803569498016905, 0.93294852904404 , 1.17962327351495 , -0.026568207420824 , 0.749325440865725 , 0.145484324256629 , 0.604718476410519 , 0.306629485663669 , 0.206856426530662 , 1.13320419449374 , 0.0365473933897015 , 0.15889603445857 , 0.495078623876201 | 0.0004031 |
| 33 | 50 | 0.5 | 0.0 | 1.0 | control , control , control , control , control , control , control , control , control , control , control , control , control , control , control , control , control , control , control , control , control , control , control , control , control , control , control , control , control , control , control , control , control , control , control , control , control , control , control , control , control , control , control , control , control , control , control , control , control , control , intervention , intervention , intervention , intervention , intervention , intervention , intervention , intervention , intervention , intervention , intervention , intervention , intervention , intervention , intervention , intervention , intervention , intervention , intervention , intervention , intervention , intervention , intervention , intervention , intervention , intervention , intervention , intervention , intervention , intervention , intervention , intervention , intervention , intervention , intervention , intervention , intervention , intervention , intervention , intervention , intervention , intervention , intervention , intervention , intervention , intervention , intervention , intervention , intervention , intervention , -3.07135665789652 , 0.346817972882205 , -1.18931669436076 , -1.01424598777984 , -0.471677449921815 , -0.9117218505739 , -0.592364696498179 , 0.23510800907843 , -1.01470183637387 , 0.753513645919184 , 1.2059301875136 , 0.913685568521625 , 0.12304281778374 , 0.85551724021518 , 0.590952682442216 , -1.28556761246922 , -0.861652089051835 , 0.935565204945278 , 0.723846364074132 , 0.15720929470087 , -0.378257479934138 , 1.20053836847365 , 0.317633805504631 , 1.18544992719378 , -0.590286872086399 , -0.00424733268754239, 2.13115830505196 , -0.530049860148446 , 0.0118547018999945 , 0.518956863543263 , -0.101494381414668 , 0.389291195444696 , -0.00660295457244267, -0.24262663489526 , -1.7221531662616 , -0.345278882499651 , 0.723467064353013 , 0.377886699378748 , 0.0854323907151229 , -0.240799413101873 , -0.332170789315631 , -2.07605940361452 , -1.12834124858214 , -0.0191310563733195 , 0.150998249564426 , -0.70226160175178 , -1.27600678491098 , -1.10725532912019 , 2.67850965498613 , -0.39208090083592 , 1.65444006898341 , -0.257338337080388 , -0.830868225970427 , 1.02247957425976 , 0.0370962275751566 , -0.721865434091116 , 1.48333451901387 , -0.383131847179446 , -0.72188403668754 , 0.266739337770696 , -0.225401187037339 , 0.821720388331028 , 1.57545286509913 , -1.79382295414478 , -0.198657343752788 , -0.655314936051803 , 1.22558246040129 , 1.3188021220339 , 1.22090180127833 , 2.94648801563017 , -0.246367218403914 , -0.477207213368473 , 1.7075361017333 , 0.198101227662975 , 1.29953519056912 , 0.71927834347872 , 0.0343379012923621 , -0.542814151653209 , 0.3118308456471 , -0.147558366310454 , 0.882041286497013 , -0.983658110039131 , 1.53806214491201 , -0.860680167133667 , -1.0531947219775 , 0.892355662946924 , 1.79116319049636 , -0.710619908599967 , 0.510491800725376 , 0.239417508359464 , 0.1266230147374 , 1.104313827048 , -0.570439753464907 , 0.452445744539623 , 0.840846966156067 , 2.20318312436486 , -0.656733959709141 , 1.44684500206997 , -1.27280224838869 , -1.97860739715803 | 0.0637353 |
| 33 | 50 | 0.5 | 0.1 | 0.5 | control , control , control , control , control , control , control , control , control , control , control , control , control , control , control , control , control , control , control , control , control , control , control , control , control , control , control , control , control , control , control , control , control , control , control , control , control , control , control , control , control , control , control , control , control , control , control , control , control , control , intervention , intervention , intervention , intervention , intervention , intervention , intervention , intervention , intervention , intervention , intervention , intervention , intervention , intervention , intervention , intervention , intervention , intervention , intervention , intervention , intervention , intervention , intervention , intervention , intervention , intervention , intervention , intervention , intervention , intervention , intervention , intervention , intervention , intervention , intervention , intervention , intervention , intervention , intervention , intervention , intervention , intervention , intervention , intervention , intervention , intervention , intervention , intervention , intervention , intervention , 1.10507725383426 , -0.276532123152505 , 0.229126907844644 , 0.871763721188547 , 0.498359691628991 , 0.51895689796376 , -0.31334786059634 , -0.154091957597201 , -0.0521739308606513 , 0.900168626532019 , 0.663787125673383 , 0.566228971370598 , 0.844143440057376 , -0.33511053840918 , 0.950757001890661 , 0.245416870579876 , -0.222135738406881 , 0.362990683875205 , 0.674510205902985 , 0.334993977528768 , -0.786946007323314 , -0.498858117881078 , -1.01906638484983 , 1.16383508223081 , 0.19206366628741 , 0.431490441790358 , -0.401795774143815 , 0.158453917114257 , -0.429441158251075 , 0.50236068748152 , 0.54246160472641 , 1.56178347354497 , -0.171258152623001 , -0.627344519159148 , 0.0223814493252938 , -0.196164233648168 , 0.2152934286128 , 0.743655663163886 , -0.0928896970872072 , 0.389562291639217 , 0.277400801827332 , -0.337553558921293 , -0.00313739900881443, -0.0224583005104818 , 0.094326976390878 , 0.305807220503622 , -0.270554729307821 , -0.410852448289278 , -0.469249514610116 , 0.375816909491843 , 0.570497966481972 , 0.500995399710433 , 0.858456635178784 , -0.0844091576530405 , -0.182006879437856 , 1.07694297819297 , 0.45894811773556 , 0.451461948033992 , -0.321595171487302 , 0.381343736104841 , 0.299848990550107 , 0.308833622458895 , 0.282015025528301 , 1.40812152114855 , 0.547627349502655 , -0.0952944005139508 , 0.54618355106246 , 1.39313349806132 , 0.551803651385374 , 0.181090093267333 , 0.332603486109603 , 0.567442353891351 , 1.45528285192123 , 0.668431365048265 , 0.440223977177836 , 0.301705176059753 , -0.505271774153537 , 0.868203768990138 , 0.66080850830648 , 0.799904737200127 , 0.459191899845823 , 1.22236876497697 , 0.485204148083243 , 0.0793363611454342 , 0.830432239173959 , 0.795166240259982 , 0.524709924004323 , 0.399830477567338 , 0.781753651782253 , 0.257071968657179 , 0.819905658304118 , 0.518160988857006 , 0.581223083314052 , 0.357247166328687 , 1.25459677694519 , 0.161788796815588 , -0.746968190878976 , -0.412668694355951 , 0.319471980575565 , 0.371300846152802 | 0.0034962 |
| 33 | 50 | 0.5 | 0.1 | 1.0 | control , control , control , control , control , control , control , control , control , control , control , control , control , control , control , control , control , control , control , control , control , control , control , control , control , control , control , control , control , control , control , control , control , control , control , control , control , control , control , control , control , control , control , control , control , control , control , control , control , control , intervention , intervention , intervention , intervention , intervention , intervention , intervention , intervention , intervention , intervention , intervention , intervention , intervention , intervention , intervention , intervention , intervention , intervention , intervention , intervention , intervention , intervention , intervention , intervention , intervention , intervention , intervention , intervention , intervention , intervention , intervention , intervention , intervention , intervention , intervention , intervention , intervention , intervention , intervention , intervention , intervention , intervention , intervention , intervention , intervention , intervention , intervention , intervention , intervention , intervention , -0.255107410554272 , -0.295626858661174 , 0.976196569188694 , 2.44117920281927 , 0.17063401894775 , 1.10858104440953 , -1.32460968795741 , -0.179198555082309 , -0.165639847661442 , -1.1149968553057 , -0.626105823264877 , 1.07605476879169 , -0.660077371122047 , 0.422274590718994 , 0.68958433901145 , -1.48168940022081 , -0.636999499048061 , -0.132468927437196 , -0.36353161711193 , -0.665648575789838 , -0.246193264381722 , 2.00872300477741 , 1.28272535018216 , -0.192332233795542 , 0.167369231513953 , 0.939969833776526 , 1.52138034472649 , -0.537753668670824 , -1.77766949387307 , 1.47574524090439 , 0.820183250823704 , 0.367634863069949 , 0.153460480221028 , 0.32246620137194 , -1.96900073374109 , 0.838234558447874 , -2.41859001951946 , 0.103078406310828 , 0.693963713332154 , -0.359472923575015 , 0.542202272369925 , -0.90490092127266 , -1.60851016317464 , -0.193187591412476 , -0.30155991565653 , -1.20819608530054 , 0.303722798713465 , 1.15730429755855 , 1.00180106431023 , -0.359845839912042 , 1.1057457429618 , -0.33025520533882 , 2.44072333136429 , 0.448031295107111 , -1.54226665299084 , 0.266432092775999 , 0.259185295712036 , 0.625350287721604 , -0.0927002380952386, 0.385495158603743 , 0.403574831368786 , 1.19527070954088 , 0.42245152935017 , 0.885374509170294 , -0.101327179666545 , 1.21332665080871 , 0.780206080079847 , -0.324316578029727 , 0.608844281085721 , 1.94106063727335 , 1.14438733487289 , -1.97554487671422 , 1.6680066752671 , -0.779352002248943 , 0.266003984650241 , 0.800912664704 , 1.27319377337906 , 0.251091421729454 , -0.0196490555095712, 0.992188432092634 , 0.255211990084904 , 2.04870959678215 , 3.0065855343558 , -0.524475564849129 , -0.137808145369788 , 2.49284252612416 , -0.884099784386021 , 1.90398495801452 , 1.49988295318922 , 1.6577639672977 , 1.37708239446698 , -0.41598684074541 , 1.5961090650669 , -0.0922220528589531, -0.59293058526435 , 1.25616404483799 , 1.78154468325774 , 1.3445413331236 , 0.462844385579437 , 0.392684262608919 | 0.0023322 |
| 34 | 20 | 0.0 | 0.0 | 0.5 | control , control , control , control , control , control , control , control , control , control , control , control , control , control , control , control , control , control , control , control , intervention , intervention , intervention , intervention , intervention , intervention , intervention , intervention , intervention , intervention , intervention , intervention , intervention , intervention , intervention , intervention , intervention , intervention , intervention , intervention , 0.430008051965107 , -0.789635130808916 , 0.295717582432603 , 0.496394165546128 , 0.220948784255152 , 0.0900768477076074 , 0.886943822297308 , -0.167968146317291 , 1.03891965403457 , -1.07964062380141 , -0.262598216261689 , -0.569473815058093 , -0.886816574227959 , -0.278664459440145 , -0.249427221316648 , -0.0560038882042315, -0.0320376818836029, -0.416886177164169 , -0.653716747502162 , 0.101725193607985 , -0.155157753116354 , 0.359665489142508 , 0.127803065217931 , -0.237003128097514 , -0.572125320405245 , -0.390920599036622 , 0.488522430644591 , 1.08504847704859 , -0.558609369503881 , 0.198972746372067 , -0.592071640834842 , -0.955687445345957 , -0.265528716298044 , 0.129652380633926 , -0.0944137288898357, 0.809995476347173 , -0.222466142034891 , -1.02838797121122 , -0.66051452545462 , 1.08903308565282 | 0.9068542 |
| 34 | 20 | 0.0 | 0.0 | 1.0 | control , control , control , control , control , control , control , control , control , control , control , control , control , control , control , control , control , control , control , control , intervention , intervention , intervention , intervention , intervention , intervention , intervention , intervention , intervention , intervention , intervention , intervention , intervention , intervention , intervention , intervention , intervention , intervention , intervention , intervention , 2.23132790283604 , 0.171658649325868 , -1.62346418326405 , -0.23303900784306 , 0.0851370707238199 , -1.35537853339242 , 0.597413662933677 , 0.545094697977641 , 0.397971225955754 , 1.25755113066428 , -0.159274708833516 , 0.0425074286158195 , -1.24182669680981 , 1.4599803055152 , -0.549934856867744 , -0.343342487513099 , 1.5235848243927 , -0.770425024813906 , -2.18798072077217 , -0.617205980297701 , 1.81949133877416 , -1.81700604284995 , 0.382179622060309 , 0.221086198920164 , -0.472370294515227 , 0.929473523273479 , -1.92440581096999 , -0.285025745280783 , -1.58989741089187 , 1.26725192571088 , 0.218958129486337 , 0.664908329856853 , -0.223379397223934 , 1.52273667154848 , 0.806882381233536 , -0.528189185196106 , -0.0761851944004656, -2.65707117804794 , -0.0561445504099484, 1.95534984281715 | 0.9031930 |
| 34 | 20 | 0.0 | 0.1 | 0.5 | control , control , control , control , control , control , control , control , control , control , control , control , control , control , control , control , control , control , control , control , intervention , intervention , intervention , intervention , intervention , intervention , intervention , intervention , intervention , intervention , intervention , intervention , intervention , intervention , intervention , intervention , intervention , intervention , intervention , intervention , -0.0346908073106961 , 0.0991760288975292 , -0.454154121534799 , -0.00193578342826825, -0.915343480764308 , -0.49535639716345 , -0.373104924475974 , 0.645047920280497 , -1.086003765848 , 0.664142779532563 , -0.500087355921202 , -0.858981281787597 , 0.168826218217582 , 0.53926331490823 , 0.469679192317361 , 0.306402213473617 , -0.18568304157009 , -1.09856781419258 , -0.187935444479321 , 0.104909904863909 , 0.287091759287035 , -0.320307151329679 , -0.163028239599232 , -0.683107797221886 , 0.292950197988482 , 0.135800561178713 , -0.105186723082296 , 0.619472875725951 , -0.383147082677236 , 0.129677305660232 , 0.307131196275038 , 0.718634388706242 , 0.826189555497776 , 0.891727089832315 , 0.609294457838043 , 0.386250336602522 , -1.17384648342809 , -1.09046820059339 , 0.279905081540073 , 0.487176097167929 | 0.1562265 |
| 34 | 20 | 0.0 | 0.1 | 1.0 | control , control , control , control , control , control , control , control , control , control , control , control , control , control , control , control , control , control , control , control , intervention , intervention , intervention , intervention , intervention , intervention , intervention , intervention , intervention , intervention , intervention , intervention , intervention , intervention , intervention , intervention , intervention , intervention , intervention , intervention , 1.67153045931922 , 0.498909518387512 , 0.128518010413402 , 0.493927808726694 , 0.387245300950762 , 0.429363366276544 , -0.59025909689183 , -0.53854874391816 , -0.453103190074877 , -1.5556313499375 , 0.356437881007187 , -1.03358553169551 , 0.152029841991429 , -0.637259503384109 , 0.599007533119521 , 0.743355309673303 , -0.661361632050609 , -0.0681192658245939, -0.186096163717091 , -0.256137604708105 , 0.45374711308288 , 0.518145938677816 , -0.0322809593204928, 0.322124613298287 , 0.195725140372896 , 0.0115349191775619 , 1.53015534348024 , -0.83919684302869 , -0.0695605327810213, -0.891362920498781 , -0.47393010611301 , 0.696360098634981 , 1.43378436652072 , -2.19607504353978 , 1.2898971554867 , 0.346583720541917 , 1.00974548013269 , 1.58754932083858 , 0.515800805554394 , 0.600976863192867 | 0.2210293 |
| 34 | 20 | 0.5 | 0.0 | 0.5 | control , control , control , control , control , control , control , control , control , control , control , control , control , control , control , control , control , control , control , control , intervention , intervention , intervention , intervention , intervention , intervention , intervention , intervention , intervention , intervention , intervention , intervention , intervention , intervention , intervention , intervention , intervention , intervention , intervention , intervention , -0.0603803626437756, 0.587751246165919 , -0.858446659360635 , -0.142689213304533 , 0.298383449977048 , -0.973598088131822 , -0.0692740833009398, -0.738560307275309 , -0.0814788807353016, 0.838398295405704 , -0.45315820976542 , 0.679274443667284 , -0.608082180069061 , 0.37409782788219 , 0.215750668492248 , -0.306989026021384 , 0.080255926992382 , -0.625309920035957 , 0.593362654506154 , 0.188292330971931 , 1.03279251764423 , 0.658099649695462 , 0.446233290698096 , -0.0925564572884632, 0.562033108678101 , 0.785677953644051 , 1.18186737769176 , -0.138847240356363 , 0.559077320900716 , 0.430559574047384 , 0.333364061699734 , 1.12658170559334 , 0.233774841194639 , 0.541885064692193 , 1.07828884350566 , 0.343422099851325 , 0.00866945762787991, 0.0815523088991493 , 0.271422010828279 , 0.513744063815141 | 0.0006682 |
| 34 | 20 | 0.5 | 0.0 | 1.0 | control , control , control , control , control , control , control , control , control , control , control , control , control , control , control , control , control , control , control , control , intervention , intervention , intervention , intervention , intervention , intervention , intervention , intervention , intervention , intervention , intervention , intervention , intervention , intervention , intervention , intervention , intervention , intervention , intervention , intervention , 0.71143660568401 , -0.576112200379246 , 0.153166528422504 , -0.223892019341725 , 0.221429196725159 , -1.12633352125276 , -0.384514975250333 , 0.433319283034113 , -0.0572085127066846 , 1.36952816539427 , -2.44060345603415 , 0.525081625959837 , -1.11022032096548 , -1.09123330897135 , 1.27010025220952 , 1.77569952283969 , -0.45291536108948 , -0.0284850655511208 , 1.29942631666646 , 0.182119344735923 , 0.159138895769567 , 0.69008052615169 , 1.54740297649314 , 0.722605897572454 , -0.00212647259600496, 1.38417691908999 , 0.848039303344495 , 0.339569782011523 , 1.14533556030123 , 0.972870692148812 , 2.19375871582066 , -0.454781131923846 , -0.0127565788626889 , 0.967289120642758 , 0.0762539353608301 , -0.772115528799922 , 1.45918122094433 , 0.927557145581721 , 0.266818242215851 , -0.4622670619062 | 0.0497972 |
| 34 | 20 | 0.5 | 0.1 | 0.5 | control , control , control , control , control , control , control , control , control , control , control , control , control , control , control , control , control , control , control , control , intervention , intervention , intervention , intervention , intervention , intervention , intervention , intervention , intervention , intervention , intervention , intervention , intervention , intervention , intervention , intervention , intervention , intervention , intervention , intervention , 0.73475909641464 , -0.126696731406274 , 0.755033438555421 , -0.362012852657914 , -0.0319776946994223, -0.197445258198832 , 0.630640593000119 , -0.183080046243709 , -0.293152145124331 , 0.131106634429996 , 0.117244597997159 , -0.242330197255582 , 0.480341142138526 , 0.846574935714265 , 0.238679654294295 , 0.327482449820938 , -0.112601752564788 , 0.578730553413438 , -0.641242634777472 , 0.558901812173593 , 1.06015966023368 , 1.15117136091683 , 1.03517945266963 , -0.0491289048873033, 1.27037856780897 , 1.43028914197058 , -0.137926475652491 , 0.577993616815252 , 0.410202302991296 , 1.3242994481234 , 0.355019847104042 , -0.652581627443717 , 0.249757751046476 , 0.861972525257628 , 0.220859595398826 , 1.19773871197525 , 0.257628207519269 , 0.470197844186367 , 0.866529980699036 , 0.954914715042119 | 0.0042580 |
| 34 | 20 | 0.5 | 0.1 | 1.0 | control , control , control , control , control , control , control , control , control , control , control , control , control , control , control , control , control , control , control , control , intervention , intervention , intervention , intervention , intervention , intervention , intervention , intervention , intervention , intervention , intervention , intervention , intervention , intervention , intervention , intervention , intervention , intervention , intervention , intervention , -0.86535987374262 , -1.33777121753795 , -0.555616324963735, -0.162770938547509, -0.458472036153851, -0.22502215216402 , 1.473387309633 , 0.735150975391069 , 1.04677387039842 , 0.428127746158125 , 0.958627823589153 , -0.83343727746922 , -0.631587411191997, -0.994931694842034, 1.2695126816826 , -0.121837312734977, 0.538528780156371 , 0.804136539011091 , -1.32123136448119 , -0.592720590306858, -0.283698629605974, 0.200066183917443 , 2.51648534034188 , -0.145563308612381, 2.57746217587097 , 0.140693832155216 , 0.581136019677683 , -0.737252206184911, -0.521085492734904, 0.0112519906642154, 1.26386829886757 , 0.908588677073 , -0.334901083310936, 0.165469848167835 , 0.870490932502921 , 0.288098064226737 , 0.116075960502396 , -0.162170080031792, 0.527168726902014 , 0.523338337110711 | 0.1010549 |
| 34 | 50 | 0.0 | 0.0 | 0.5 | control , control , control , control , control , control , control , control , control , control , control , control , control , control , control , control , control , control , control , control , control , control , control , control , control , control , control , control , control , control , control , control , control , control , control , control , control , control , control , control , control , control , control , control , control , control , control , control , control , control , intervention , intervention , intervention , intervention , intervention , intervention , intervention , intervention , intervention , intervention , intervention , intervention , intervention , intervention , intervention , intervention , intervention , intervention , intervention , intervention , intervention , intervention , intervention , intervention , intervention , intervention , intervention , intervention , intervention , intervention , intervention , intervention , intervention , intervention , intervention , intervention , intervention , intervention , intervention , intervention , intervention , intervention , intervention , intervention , intervention , intervention , intervention , intervention , intervention , intervention , 1.37426913760033 , -1.22594742610439 , 0.166753904890969 , 0.0279177932595795 , 0.417543012625015 , 0.220686838977582 , 0.381242256368245 , 0.325374460363121 , -0.160442081318349 , -0.0891960255529448 , 0.683756396405321 , -0.282136087993134 , -0.152547119826377 , 0.316460622680137 , 0.348989290409251 , 0.0947733004997276 , -0.514962096721928 , -0.463374028885576 , -0.505765157494885 , 0.14864638963411 , 0.402545062765806 , -0.448021801185191 , 1.05407997175544 , 0.754740290586649 , -0.65052856931754 , -0.46069175155028 , 0.116623332582402 , -0.155920735349222 , -0.291107721427863 , 0.221398065262289 , -0.14031545180109 , 0.618990952083236 , -0.259455464233083 , 0.0916281711248345 , 0.807291207044534 , 0.162612597898138 , 0.0513558483235083 , 0.32995053009943 , -0.282410526838431 , 0.431842980670537 , -0.456482542559209 , -0.218231991989406 , 0.106589567453442 , 0.486564012111202 , -0.000500665855450231, -0.340314216617698 , 0.993633189413001 , 0.612071692369727 , 0.0602404761102107 , -0.116987879018616 , -0.233278960186831 , 0.0374072667654391 , -0.0617592415021246 , 0.642804476300335 , -0.061165396511322 , 0.656965665612549 , 0.47688698347804 , 1.12535196404779 , 0.306895290323881 , 1.09440584666981 , 0.252752749430917 , 0.195380092276484 , -1.14743064514125 , -0.228597144026743 , -0.455771775348706 , -0.483201574599088 , -0.360910996390193 , -0.49514925322318 , 0.101341919999894 , 0.115228087007772 , 0.424121010468035 , -0.877588459600744 , -0.127375192482472 , 0.714415473108314 , 0.51216499699022 , -1.19673787245441 , -0.277861407911063 , -0.649530759245127 , 0.212219843972297 , -0.0763424976453509 , -0.551843117609933 , -0.38532434796407 , 0.292152086432628 , -0.100087417939786 , -1.33771697164029 , -0.550448702329483 , 0.182632115287932 , 0.645061322611623 , -0.733109593812456 , -0.296351809540508 , -0.349137417611614 , -0.426064028468979 , -0.279597230289376 , -0.72835969626576 , -0.928001922314743 , -0.751138546776116 , 0.442502123568327 , -0.645402161522766 , 0.581173872761725 , -0.247197562279696 | 0.0477136 |
| 34 | 50 | 0.0 | 0.0 | 1.0 | control , control , control , control , control , control , control , control , control , control , control , control , control , control , control , control , control , control , control , control , control , control , control , control , control , control , control , control , control , control , control , control , control , control , control , control , control , control , control , control , control , control , control , control , control , control , control , control , control , control , intervention , intervention , intervention , intervention , intervention , intervention , intervention , intervention , intervention , intervention , intervention , intervention , intervention , intervention , intervention , intervention , intervention , intervention , intervention , intervention , intervention , intervention , intervention , intervention , intervention , intervention , intervention , intervention , intervention , intervention , intervention , intervention , intervention , intervention , intervention , intervention , intervention , intervention , intervention , intervention , intervention , intervention , intervention , intervention , intervention , intervention , intervention , intervention , intervention , intervention , 0.0801693034620086 , -1.45253960402633 , 0.377736376845673 , -0.975055922863479 , 2.36412575820937 , -0.982162017824662 , 0.175435416590997 , -0.192870123551108 , 0.997776668456993 , -0.784763971393692 , 0.381291677259229 , 1.00379763811908 , 0.375354818209867 , -0.367910668909587 , -1.8136383408326 , -0.605214369848513 , 0.128309784778512 , 0.39511216634551 , -1.60553176229968 , 0.361680987315685 , -1.06991885752481 , -1.23849490929246 , 0.424981917308753 , 0.729801821841145 , 0.414931066376982 , -1.07155333385429 , 0.484136666519736 , -0.166088627497084 , -0.673601536958841 , -0.639297707994713 , 0.223550412279074 , 1.22832884148097 , 0.882072549534077 , 1.28632725562002 , -0.829928488080635 , -1.81287087062722 , -0.663964306525196 , 0.655772654300777 , -1.47927205173395 , -1.84365221720704 , 1.44441096102568 , 0.435731711335647 , 0.509942617895738 , 0.6580906291514 , 0.716278828169878 , 0.99460819776164 , -1.13695393718487 , 0.861897525968673 , 1.27090471767249 , 0.371322411005286 , 0.633353682727716 , 0.979962278234854 , -0.643215087194609 , 0.492149302166237 , 1.20754674852024 , -1.91926443678848 , -0.0838634166645967, -0.0299792970513508, 1.92011579465183 , 0.934539923240487 , 0.420323318732692 , 0.310818921990259 , -0.588777625949699 , 1.75512083581086 , 1.32180345153617 , 0.737297902788961 , -0.427164006209475 , -1.11832365931798 , 0.140038824267405 , -0.0430449338718399, -1.12627801334412 , 1.31453411470843 , 1.26694909102435 , -0.326947267964012 , 1.13088510193154 , 1.01998836785673 , 0.955832845378309 , -0.995312133127457 , -0.675775397837884 , -1.64358200933615 , 0.259069240006099 , -0.393281002640676 , -0.553662137911599 , 0.0101315999970851 , -1.92782525173982 , -1.06327423395785 , -0.396739591643479 , 0.45938381075766 , 0.304599428380949 , -0.488453840892954 , 1.60115173468015 , -0.0187637658845029, -1.3800986804286 , -1.85754346180298 , -0.900847702651123 , -0.878800531741496 , 0.989333595902015 , -1.09930544254365 , -0.347417765425954 , 2.80767068887572 | 0.7564921 |
| 34 | 50 | 0.0 | 0.1 | 0.5 | control , control , control , control , control , control , control , control , control , control , control , control , control , control , control , control , control , control , control , control , control , control , control , control , control , control , control , control , control , control , control , control , control , control , control , control , control , control , control , control , control , control , control , control , control , control , control , control , control , control , intervention , intervention , intervention , intervention , intervention , intervention , intervention , intervention , intervention , intervention , intervention , intervention , intervention , intervention , intervention , intervention , intervention , intervention , intervention , intervention , intervention , intervention , intervention , intervention , intervention , intervention , intervention , intervention , intervention , intervention , intervention , intervention , intervention , intervention , intervention , intervention , intervention , intervention , intervention , intervention , intervention , intervention , intervention , intervention , intervention , intervention , intervention , intervention , intervention , intervention , 0.309530976264274 , 0.213286716107431 , -0.463157110561825 , 0.264206465818477 , -0.0770838629872586 , 0.620870904960742 , -0.426756390441185 , 0.269458637728923 , 0.527558059018031 , 0.513750452929763 , -0.329473414911944 , -0.208377911338274 , -0.159173222455131 , -0.381558786049651 , -0.00513962993023905, -0.206025004802023 , 0.649056589275704 , -0.527709537131514 , -0.349163345645911 , -0.430308316178213 , -0.344307585559782 , -0.483244057030481 , 0.834407367308869 , 0.160101169932657 , 0.661415527043748 , 1.18501098438212 , -0.410258886646154 , 0.141005161462006 , 0.630560196991231 , 0.190052936429891 , -0.174288654542477 , 0.493841769444816 , -0.620671090176467 , -0.243296234888483 , 0.159618344396004 , 0.120129292713281 , -0.340100597004299 , 0.214124252580731 , 0.469058659534665 , -0.226801587545544 , 0.765886690798756 , 0.206035322139122 , 0.295060576705903 , 0.015801075024278 , -0.800522247485307 , 0.0162526817087265 , -0.313307255316619 , 0.279119360569959 , 0.0634102606081845 , 0.0545336215325911 , 0.540857553213983 , -0.422899051400997 , -0.126301576844664 , 0.62323700204472 , 0.49282955235351 , 0.575266241895309 , -0.0687558469495677 , -0.448780651690768 , 0.113370272745979 , 0.0625100494738042 , 0.599251963735817 , -0.663035320675874 , -0.0468525378060419 , -0.742967730954919 , -0.301984330672849 , 0.0441571722239461 , 0.316352792832085 , 0.0788468469749294 , -0.0635751284290225 , -0.235571643284882 , -0.345945825506606 , -0.117232331665548 , 0.371347149978074 , -0.383210457390434 , -1.48787863821806 , -0.530000589096182 , 0.505803530807146 , 0.554542980709466 , -0.48528197684873 , 0.705254369430462 , 0.437098724302025 , 0.0716430708700137 , -0.0736391757888174 , 0.0760956026899604 , -0.12650057971798 , 1.01406552699062 , -0.221285815319052 , 0.199153287645441 , 0.38308360863938 , 0.143249969964804 , 0.181847740200483 , 0.444865880991599 , -0.839716916334031 , -0.455866490266984 , -0.0576614596866252 , -0.273379780232123 , 0.218812635855142 , 0.247904794127975 , 0.463859880774172 , -0.276286156634176 | 0.6356374 |
| 34 | 50 | 0.0 | 0.1 | 1.0 | control , control , control , control , control , control , control , control , control , control , control , control , control , control , control , control , control , control , control , control , control , control , control , control , control , control , control , control , control , control , control , control , control , control , control , control , control , control , control , control , control , control , control , control , control , control , control , control , control , control , intervention , intervention , intervention , intervention , intervention , intervention , intervention , intervention , intervention , intervention , intervention , intervention , intervention , intervention , intervention , intervention , intervention , intervention , intervention , intervention , intervention , intervention , intervention , intervention , intervention , intervention , intervention , intervention , intervention , intervention , intervention , intervention , intervention , intervention , intervention , intervention , intervention , intervention , intervention , intervention , intervention , intervention , intervention , intervention , intervention , intervention , intervention , intervention , intervention , intervention , -1.34897083662759 , -0.396463864675107 , -1.70249780275934 , 0.370535975573448 , 1.97487713419074 , -0.768114108388957 , 0.851555718553386 , 0.0062478989760826 , -0.65272272922796 , 0.797392060863991 , 0.331170306914805 , 0.242072980073414 , -2.14888314816827 , 0.00624063909465664 , 1.02773980892566 , -1.52995150710888 , -0.819486777167667 , 0.902599142516762 , 1.6509435427581 , 1.06396056921422 , 0.333835839203042 , -1.36241792567376 , -1.06014771654736 , -0.482636656026385 , 1.73105565189907 , -0.0387251990971431 , 0.41170787026027 , -0.697994304574729 , 0.0786138430654476 , -0.511233122500956 , -0.0224716906474573 , 1.97416308240948 , -2.02235082692297 , 1.1542913441913 , -0.945892263586366 , 0.409964215170156 , 0.759360250301874 , -0.401090466340168 , -0.470967625860629 , -0.893151297872773 , 2.08173918303874 , -0.981958039831284 , -1.02559679501775 , 0.0869401499469387 , -0.0644568161257935 , 0.922885530174411 , 0.209707520907039 , 0.375085316996816 , -0.332847804258618 , -0.455133101370118 , 0.749803580971743 , -0.665539426432768 , 1.54289368627327 , -0.890283037422653 , 1.01979182071488 , -0.100625981385183 , -1.7211043300713 , 0.475943196357614 , -0.567930642478667 , 0.858043635254702 , 0.52108912965395 , 0.116439837843227 , -0.55615640376601 , 2.08173975999198 , -0.184833092825239 , -0.148828633290167 , 1.85670427364073 , -0.123461759558871 , -1.14874993780909 , -0.00305176004418083, 0.0385146836005959 , -0.520068620459783 , -0.752885929638151 , 0.182874168906033 , 2.40290811986835 , 1.0373869056725 , -0.884794151773257 , 0.222586628030341 , 0.113539121021725 , 1.4511570800881 , -0.652715970455475 , 0.111975961414442 , -0.876858075862113 , -1.30976845007809 , -0.472388954149988 , 0.824184090548873 , 0.245544774997914 , -0.166563534676182 , -1.58067348371985 , -0.811669066473135 , 0.294434777873986 , -0.176872726149195 , -0.370232957204059 , -1.13525121654286 , 0.776111106585456 , 0.633971291548583 , -1.04901675952302 , 0.404301304826563 , -1.09660257833877 , 1.59961026181101 | 0.7647482 |
| 34 | 50 | 0.5 | 0.0 | 0.5 | control , control , control , control , control , control , control , control , control , control , control , control , control , control , control , control , control , control , control , control , control , control , control , control , control , control , control , control , control , control , control , control , control , control , control , control , control , control , control , control , control , control , control , control , control , control , control , control , control , control , intervention , intervention , intervention , intervention , intervention , intervention , intervention , intervention , intervention , intervention , intervention , intervention , intervention , intervention , intervention , intervention , intervention , intervention , intervention , intervention , intervention , intervention , intervention , intervention , intervention , intervention , intervention , intervention , intervention , intervention , intervention , intervention , intervention , intervention , intervention , intervention , intervention , intervention , intervention , intervention , intervention , intervention , intervention , intervention , intervention , intervention , intervention , intervention , intervention , intervention , 0.459654493580244 , -0.353651588336716 , 0.498360098387331 , -0.0539394039183199 , -0.86871919728505 , 0.270709080282266 , 0.168526328279545 , -0.389766072983158 , 0.493027416557863 , -0.396651163201164 , -0.216552030607024 , 0.529151795638392 , 0.407054162063795 , -0.104817794763868 , -0.332816483992976 , -0.722492698576167 , 0.110999371620869 , 0.538813841327779 , 0.378648567496888 , 0.191836613502629 , -0.233949986761536 , -0.769263729377267 , 0.244914944178195 , -0.133699489821305 , 0.716349360647905 , 0.231333161398559 , -0.832646879068177 , 0.676667124227624 , 0.210317864387498 , -0.02741063043514 , -0.56929614997263 , -0.144382079300051 , 0.699784513196357 , -0.0284185140270333 , -0.286029498008856 , -0.00408824125325636, 0.216869082061627 , -0.533081419115559 , 0.361242657204089 , -0.128151080600059 , -0.854960246594005 , -0.657759908471924 , -0.216952081921609 , 0.195452886247293 , 0.553061845839301 , -0.56150626524202 , 0.42120726571082 , 0.689620190415305 , 0.183791263748178 , -0.144867649568445 , -0.00450316001765605, 1.031913669495 , 0.754284021029314 , 0.980020441186958 , 0.929113553341817 , 1.23054809380939 , -0.697558706291324 , 0.342857473016652 , -0.188157696879416 , 0.833122160969625 , 1.13827181599763 , 0.00169634167609189 , -0.434139245125381 , 1.25854925581224 , 1.09724315922877 , -0.522444452180167 , 0.0206449924294457 , 0.159158812546835 , 0.841510558011737 , 0.638727670914406 , -0.334726841955524 , 0.0560314145500633 , 0.390950117887199 , 0.602189078437492 , 0.0128885434634154 , 0.243234891618071 , 0.0947477801586885 , 1.25759928866484 , 0.770416907372318 , 0.45156535439407 , 0.738138064420095 , -0.262617872403526 , 0.27860060536954 , -0.483576667237277 , -0.0674002409466213 , 0.287096870303545 , 0.836224929820596 , -0.268100830876292 , 0.275855719573093 , 1.01425368042307 , 0.41403971771312 , 0.778608520877488 , 0.504930636221645 , 0.33244608559363 , 1.31130490695891 , -0.170687729310425 , 0.215122902385272 , 0.384142292679115 , 0.207086044604275 , 0.504030605143916 | 0.0000999 |
| 34 | 50 | 0.5 | 0.0 | 1.0 | control , control , control , control , control , control , control , control , control , control , control , control , control , control , control , control , control , control , control , control , control , control , control , control , control , control , control , control , control , control , control , control , control , control , control , control , control , control , control , control , control , control , control , control , control , control , control , control , control , control , intervention , intervention , intervention , intervention , intervention , intervention , intervention , intervention , intervention , intervention , intervention , intervention , intervention , intervention , intervention , intervention , intervention , intervention , intervention , intervention , intervention , intervention , intervention , intervention , intervention , intervention , intervention , intervention , intervention , intervention , intervention , intervention , intervention , intervention , intervention , intervention , intervention , intervention , intervention , intervention , intervention , intervention , intervention , intervention , intervention , intervention , intervention , intervention , intervention , intervention , -0.320239842352076 , -0.335340253275012 , 0.518627093856243 , 0.351456455600081 , -1.02489439123443 , -0.050625995426079 , 0.336377434055011 , 1.18693893238852 , 1.0377335922046 , -0.437714392966921 , -0.261811950692557 , -0.4795243085628 , 1.06593577032174 , -0.520213146731654 , -1.88484039625669 , -0.861534509066932 , -1.13222107564389 , -1.0789954571229 , 0.664363354148687 , -0.382311747298166 , -0.776739030133255 , 0.45847477092421 , -0.111345370958882 , -0.660994456493272 , -0.0602392850223749, 0.27537669209934 , -0.774476799992536 , -1.54470209691841 , -0.931336032862655 , -1.7398420731907 , 1.61966032967956 , 0.818653004325745 , 0.466539460764979 , -0.672740807395992 , -0.635931011908169 , 0.999336625712635 , 0.475766197641799 , 0.736412392143235 , 0.618666536579606 , -0.784211038139975 , 0.188431708944882 , 0.789338364091457 , -1.13228197854635 , 1.4441958952639 , 1.16038510314779 , -1.75580643941957 , -0.149715664980353 , 0.195418666395227 , 1.72266313899897 , 0.978386176750775 , -0.635030497615809 , 0.106634474571443 , 0.928626951998162 , 0.15103385091387 , 1.25600700370243 , 0.0228316460591981 , 0.0735634918614514 , -0.217147508239225 , 0.699552747626315 , 1.05576681890439 , 0.98054764615239 , 1.23047529646656 , -1.49047957447603 , 1.16110012030187 , -1.13366385535381 , -0.731135230650287 , -0.38297630011539 , 0.193171681428639 , 1.61938525386398 , 0.172338950855374 , -1.15882079699889 , 1.91337187058468 , 2.07775843738356 , -0.770156398901271 , -0.906949800458786 , 2.75952521531826 , 0.103903208534478 , 0.0271851078015465 , 0.213959710222367 , 2.14705201378446 , 0.107816953088268 , 0.541723450670726 , 1.02199611398704 , -0.672633524713036 , 2.33758043510487 , 0.722669834333806 , -0.228736230910501 , 0.225130885767587 , -0.495846588820322 , -0.311993563531523 , 0.138758985591845 , -0.574540377731556 , 0.56248414165407 , 0.00652068385361138, 0.959295280239594 , 0.181813689231608 , 0.794671091987691 , -0.15372488403415 , 1.81298902968465 , -0.656126933388623 | 0.0350273 |
| 34 | 50 | 0.5 | 0.1 | 0.5 | control , control , control , control , control , control , control , control , control , control , control , control , control , control , control , control , control , control , control , control , control , control , control , control , control , control , control , control , control , control , control , control , control , control , control , control , control , control , control , control , control , control , control , control , control , control , control , control , control , control , intervention , intervention , intervention , intervention , intervention , intervention , intervention , intervention , intervention , intervention , intervention , intervention , intervention , intervention , intervention , intervention , intervention , intervention , intervention , intervention , intervention , intervention , intervention , intervention , intervention , intervention , intervention , intervention , intervention , intervention , intervention , intervention , intervention , intervention , intervention , intervention , intervention , intervention , intervention , intervention , intervention , intervention , intervention , intervention , intervention , intervention , intervention , intervention , intervention , intervention , 0.742664066094038 , 0.469928031270121 , -0.11761345744857 , -0.120751158059293 , -0.763460172381682 , 0.223102057738433 , -0.818128951689414 , -0.291801727049905 , 0.828302893747085 , 0.0595362649850249 , 0.265315536392704 , -0.377294766708184 , -0.0958206831141366, 0.758270532470382 , 0.687826413358439 , -0.0951371995193169, -0.0287378720135285, -0.17193874282584 , 0.0997818427206228 , -0.736970099183232 , -0.653120532085287 , 0.180420250226667 , 0.870589702235317 , 0.00111629499208526, 0.310159291351552 , 0.25502663242185 , 0.275965459221583 , 0.753635724630079 , -0.0466551749781919, 0.0814094534762688 , 0.450960881047492 , 0.651088190919812 , 0.94836084233491 , -0.394819935742214 , 0.708981748725323 , 0.293778483188165 , 0.827269176339039 , 0.389642318673802 , -0.173441147999571 , -0.377621363982409 , 0.836873711157494 , 0.175257844554893 , -0.383222577805485 , 0.730868325589699 , 0.970688183296959 , 0.13773818624731 , -0.341338756370595 , 0.336551754979431 , 0.814027579452723 , 0.469108331432595 , 0.774357761246272 , 0.223439089606502 , -0.109326817520364 , 1.06096634539394 , 0.589746624300783 , 0.783934765460333 , -0.427107219659716 , -0.0158335635346006, 1.44360812739743 , 0.441543555990491 , 0.212139365665799 , 0.577370771014506 , 0.542931844585564 , 0.24667945197438 , 0.393172360400829 , 0.232638800435973 , 0.880605344216685 , 0.674959352749427 , 0.365478762405587 , -0.173057886241442 , 1.28881956366418 , 0.733100432568374 , 1.07359121939184 , 0.456772820430618 , -0.226174590907315 , 0.803905365411179 , 1.00760632233437 , -0.0960933067710175, -0.196018630953021 , 0.882551644389017 , 0.654595797603441 , 1.06124146508717 , 0.123272180816136 , 0.150664934973432 , 0.832111606675987 , 1.3741247031075 , 0.754793214753553 , 0.319327679158599 , 0.339558400442664 , -0.910536228406961 , 0.955051374542899 , 0.378392611616034 , 0.0742053144205022 , 0.00191941578730953, 0.160508794098967 , -0.0137633147362786, 0.973948867966389 , -0.270499665448832 , 0.757884466308946 , 0.737810102403387 | 0.0083502 |
| 34 | 50 | 0.5 | 0.1 | 1.0 | control , control , control , control , control , control , control , control , control , control , control , control , control , control , control , control , control , control , control , control , control , control , control , control , control , control , control , control , control , control , control , control , control , control , control , control , control , control , control , control , control , control , control , control , control , control , control , control , control , control , intervention , intervention , intervention , intervention , intervention , intervention , intervention , intervention , intervention , intervention , intervention , intervention , intervention , intervention , intervention , intervention , intervention , intervention , intervention , intervention , intervention , intervention , intervention , intervention , intervention , intervention , intervention , intervention , intervention , intervention , intervention , intervention , intervention , intervention , intervention , intervention , intervention , intervention , intervention , intervention , intervention , intervention , intervention , intervention , intervention , intervention , intervention , intervention , intervention , intervention , -0.217678155246127 , 1.84938248225374 , -0.733854077358247 , -0.0571839117094319, -0.104813460438704 , 0.352428617276632 , -0.78650216549639 , -0.238337597761475 , -0.278319037278207 , 0.338182723569063 , 0.474035862999277 , 0.809492253989617 , -0.955128837306686 , 0.81792022394873 , -1.3911280703984 , 0.534724944741867 , 0.892307394853528 , -0.0082538884088065, -0.129107650919049 , -2.06311902633809 , 2.35057757612045 , -1.27114525154922 , -1.23462119925888 , 0.117868057407176 , 1.3111530182542 , -1.30244001137572 , -0.422401262331941 , -0.271773213326031 , -0.155531508926429 , -0.304382306533281 , 0.466237374673065 , -1.13682994434414 , 1.22959210337054 , 0.633751055929909 , -0.97239221302128 , -1.03347697616014 , 0.101464938328417 , -0.203294267866538 , -0.611148690533408 , -1.78171044527392 , -1.57826116084748 , 0.748920543136462 , 1.72311612999977 , 0.0840073446808993 , 0.855781639929732 , -0.327126829183193 , 1.04079881782022 , -0.406081689680804 , -0.520721527097661 , -0.611481674642086 , -0.890076671667733 , 1.33916217193459 , 1.45244931280252 , 1.59136237954547 , -0.411476582447858 , 0.926881074753833 , -0.381997245761975 , 1.71667897880601 , 0.995365859946272 , 0.263477697424417 , -0.233827724015159 , -0.929848115738796 , 1.10748975835521 , 0.339356627946289 , -1.07785345764878 , 1.17338855921009 , 1.11601424326388 , 2.03865283158088 , -1.40470468834554 , -0.12105423032997 , -0.83805959182336 , 1.81810863292775 , 1.49020147906676 , 0.521856466224599 , 0.578791740804478 , 0.99743434727899 , -0.734896741855742 , 0.135386733368299 , -0.749116541992401 , 1.29309953956502 , 0.734594251118045 , -0.519782979124912 , 0.304785680976583 , 1.26884926852161 , 1.16495070171307 , -0.648416528819879 , 0.911163370588919 , 0.816757960415072 , 0.882275670411888 , 0.797103663252353 , 0.0460307026942968 , 0.933716564913216 , 0.773916936275045 , 0.317045950360202 , 0.354701329138557 , 2.12120160243868 , -0.0342879708717254, 0.911655263558352 , -0.0433821771256718, -0.609240368267844 | 0.0030832 |
| 35 | 20 | 0.0 | 0.0 | 0.5 | control , control , control , control , control , control , control , control , control , control , control , control , control , control , control , control , control , control , control , control , intervention , intervention , intervention , intervention , intervention , intervention , intervention , intervention , intervention , intervention , intervention , intervention , intervention , intervention , intervention , intervention , intervention , intervention , intervention , intervention , 0.998756357309589 , -0.259487936923069 , -0.306778494565791 , -0.268899908076852 , 0.28961242261591 , 0.545357712956863 , 0.678268539856728 , 1.01593195206873 , -0.0219600469179549 , -0.917265027065698 , -0.296385738678687 , -0.092565031396116 , 0.0160372450953323 , 0.808002053534553 , -0.389945013759164 , -0.756785761659577 , 0.457056182010915 , 0.307087059857684 , -0.266437203156483 , -0.0159484078825312 , -0.354968325097675 , -0.262381337120824 , 0.0768386271523303 , -0.00252721961490846, 0.17333225370323 , -0.990468309567945 , -0.291876599281818 , 0.446811738972489 , -0.205999391496164 , 0.629265673735987 , 0.0118104792998586 , -0.171330532274313 , 0.153842441232235 , -0.459210067946551 , 0.541208985731501 , 0.904666868575299 , -0.469744168160471 , 0.491537291801472 , 0.0427492949768476 , 0.010882028445427 | 0.6942645 |
| 35 | 20 | 0.0 | 0.0 | 1.0 | control , control , control , control , control , control , control , control , control , control , control , control , control , control , control , control , control , control , control , control , intervention , intervention , intervention , intervention , intervention , intervention , intervention , intervention , intervention , intervention , intervention , intervention , intervention , intervention , intervention , intervention , intervention , intervention , intervention , intervention , -1.24040685200725 , 2.03051808830792 , -0.173951752200599, -1.51442575882471 , 0.652522277126874 , 0.798853854320538 , 0.327430867316029 , 0.826203714676359 , 1.58526423289916 , 1.06621324467286 , -1.56116765915365 , 0.328102367063498 , -0.42395211787573 , -0.89401871407303 , 0.535515933388576 , -1.03351922850791 , 1.86973222351174 , -1.19312864433987 , 0.943913140620137 , -0.344476929835303, -0.899481154464545, 0.423376320595752 , -1.66017822303189 , -0.769493677082716, -1.50833213102701 , 1.15274444590711 , -0.601661473070186, -0.324939518721281, 0.366519149822113 , -0.248736681387923, 1.07871121986098 , 1.06463653583005 , 0.282325044268615 , 0.405844859131113 , -0.453867403982668, 1.37858390892282 , 1.04710548679405 , -0.261246905658589, -0.785704420677431, -1.21295111973533 | 0.5318639 |
| 35 | 20 | 0.0 | 0.1 | 0.5 | control , control , control , control , control , control , control , control , control , control , control , control , control , control , control , control , control , control , control , control , intervention , intervention , intervention , intervention , intervention , intervention , intervention , intervention , intervention , intervention , intervention , intervention , intervention , intervention , intervention , intervention , intervention , intervention , intervention , intervention , -0.117372823890674 , 0.719782261276387 , 0.331829854318947 , -0.753817692832395 , 0.72290303488516 , -0.131319529821389 , 0.958350415664805 , 0.364395564434869 , 0.368329373494488 , 1.36797876645968 , 0.702968604239066 , -0.431558023358937 , 0.632255687130036 , -0.0124530675390646, 0.611274210668975 , 0.0953931206034159 , -0.256186100304156 , -1.13310495559933 , 0.467034208655803 , -0.0595949662098876, 0.228557300993663 , -0.16334424991204 , 0.082206788026167 , -0.111091967690992 , -0.0191132796795121, 1.18405732713348 , -0.293726336847793 , -0.168912025873654 , -1.03666559356913 , -0.21875346681235 , 0.713211693018173 , 0.156279555546829 , 0.202090851999996 , -0.0138203376504801, -0.672827621481274 , -0.100155411243283 , 0.897112579761671 , -0.0168068987444222, 0.181013059153058 , 0.997859159991201 | 0.4709199 |
| 35 | 20 | 0.0 | 0.1 | 1.0 | control , control , control , control , control , control , control , control , control , control , control , control , control , control , control , control , control , control , control , control , intervention , intervention , intervention , intervention , intervention , intervention , intervention , intervention , intervention , intervention , intervention , intervention , intervention , intervention , intervention , intervention , intervention , intervention , intervention , intervention , 0.446755812710505 , -0.478964080948602 , 0.977872336927635 , 0.436081926891957 , 0.060852501441023 , 2.3200509750746 , 0.0514476618869241 , 0.425109047831854 , -2.77240398655782 , 1.56918432484036 , 0.114313049213035 , -0.0880042099539541, -0.204911841108276 , -0.116111565255857 , -0.95793072699106 , -0.698464075651324 , -0.0108280489738464, 0.973310418313478 , 0.0265294503745759 , -1.68491640973774 , 0.617214943958686 , -0.892591420030543 , -0.120638223487592 , -0.816287166816752 , -0.952462737477991 , 0.65540312369938 , -1.93557911287391 , -0.325607808801257 , -1.05196758154998 , -0.307906985408252 , 0.373804180170927 , 1.30761945036664 , 0.275743918216233 , 2.21071232772817 , 0.558176924358533 , 1.64812830123644 , -1.19189321259559 , 1.25169215536167 , -0.316496352023404 , 0.775506622000359 | 0.8414397 |
| 35 | 20 | 0.5 | 0.0 | 0.5 | control , control , control , control , control , control , control , control , control , control , control , control , control , control , control , control , control , control , control , control , intervention , intervention , intervention , intervention , intervention , intervention , intervention , intervention , intervention , intervention , intervention , intervention , intervention , intervention , intervention , intervention , intervention , intervention , intervention , intervention , 0.158358772406742 , 0.0830774057043205 , -0.946056862221905 , 0.547802374649457 , 0.255791116037689 , -0.140501706442671 , -0.0714390377493927, 0.330508299198311 , -0.60697092898154 , -0.0516754338413734, 0.0773154440123445 , 0.236721477898431 , 0.526367501202217 , 0.00662965580132408, 0.391487594280654 , -0.864562793779845 , -0.551758650341093 , -0.0736281176075723, -0.659328720557365 , 0.160589545769288 , 0.339274373910247 , 0.424565414528842 , 0.963711278760677 , 0.355559911186461 , 0.473898720451165 , 0.382092454109766 , -0.434864474112526 , -0.147722301229022 , 0.44953482078338 , -0.379078184367891 , 0.286262282183764 , 0.518561873629895 , 1.24904755482391 , 0.865431888059454 , 0.0487621585326335 , 1.02944995984867 , 1.34132389840287 , 0.544221082464616 , 0.439649584725702 , 0.709245311020107 | 0.0007687 |
| 35 | 20 | 0.5 | 0.0 | 1.0 | control , control , control , control , control , control , control , control , control , control , control , control , control , control , control , control , control , control , control , control , intervention , intervention , intervention , intervention , intervention , intervention , intervention , intervention , intervention , intervention , intervention , intervention , intervention , intervention , intervention , intervention , intervention , intervention , intervention , intervention , -0.196564191118573, -0.525751886383693, -1.79477556620152 , 0.591197127127519 , -1.50985295812542 , 0.595302277087207 , 1.83924153796349 , -1.86285153384679 , -1.83213096070922 , -0.166078315178223, 0.0705116040927042, 0.277352524972297 , 0.139627742327776 , -0.163684404008334, 0.959923897567939 , 1.16621737397032 , 0.352814204456814 , 0.187450737515861 , -1.1566905879188 , 0.182373367649616 , 0.288584083914292 , -1.26192321480591 , -1.27946580910312 , -0.280275611119079, 0.39484394373323 , 0.441052524244253 , 1.56354858449311 , 2.16919878798705 , 2.41227235700472 , 0.524193351968611 , 0.649977306836951 , 1.01083228997522 , 0.491528427960173 , 0.864637943045632 , -0.511371637955911, 1.75880476551719 , 0.592810014028768 , 0.578995048194669 , 1.5578053046122 , 1.260417243644 | 0.0165368 |
| 35 | 20 | 0.5 | 0.1 | 0.5 | control , control , control , control , control , control , control , control , control , control , control , control , control , control , control , control , control , control , control , control , intervention , intervention , intervention , intervention , intervention , intervention , intervention , intervention , intervention , intervention , intervention , intervention , intervention , intervention , intervention , intervention , intervention , intervention , intervention , intervention , 0.700005887449809 , 0.516416268542565 , 0.504245620952014 , -0.0122675907195565, -0.186927727408988 , 0.250136213281237 , 0.0640091168657784 , -0.036181320984204 , 1.1058404022632 , 0.170114835409293 , 0.135458434771448 , 0.717900231205803 , -0.781698936207323 , 0.531902003912572 , 0.358359440955389 , 0.131298048521811 , -0.42751591212202 , 0.301720469124508 , 0.724689674952438 , -0.0875337768284122, 0.842718400800172 , 0.968386766233332 , 0.351771022387804 , 0.445106790826995 , -0.811937773235682 , 0.892291474849008 , 0.601203994931985 , 0.110200564533807 , 0.438398994321812 , 0.956838714540024 , 0.373567401829149 , 0.0869679861806122 , 0.638703627451148 , 0.60557298833712 , 0.574292974103283 , 1.09560951009794 , 1.33596421587251 , 0.453295785463638 , 0.758248414492719 , 0.560800456098954 | 0.0244265 |
| 35 | 20 | 0.5 | 0.1 | 1.0 | control , control , control , control , control , control , control , control , control , control , control , control , control , control , control , control , control , control , control , control , intervention , intervention , intervention , intervention , intervention , intervention , intervention , intervention , intervention , intervention , intervention , intervention , intervention , intervention , intervention , intervention , intervention , intervention , intervention , intervention , -1.26218882367708 , 0.430840242037275 , -1.29688390916562 , -1.29662987887332 , 2.83453322165323 , -0.609733790361708 , 0.110106642557965 , -0.169675769985136 , -0.866667427592246 , -0.52600764024094 , -0.826633285129369 , 0.802378537722308 , 0.184275877319594 , -1.92443873824135 , 0.485569246834148 , -1.23741403031221 , -0.0783707519990487, -0.157957099113661 , 1.14747017503001 , 0.00256280279058003, 0.815212911496836 , 0.537034196365151 , 0.442984087302302 , 0.233153545433845 , 0.938547757341115 , -0.417468223202093 , 0.381286187102369 , 0.211035608882092 , 1.9317661026127 , 1.98146525284068 , -0.751139507944447 , 1.83866745078671 , -0.409791999231578 , 1.39106613249856 , -0.333898922752527 , 0.534362059492355 , 1.81298629332467 , 0.281019005639856 , 0.0194459937946966 , -1.17532874476093 | 0.0271786 |
| 35 | 50 | 0.0 | 0.0 | 0.5 | control , control , control , control , control , control , control , control , control , control , control , control , control , control , control , control , control , control , control , control , control , control , control , control , control , control , control , control , control , control , control , control , control , control , control , control , control , control , control , control , control , control , control , control , control , control , control , control , control , control , intervention , intervention , intervention , intervention , intervention , intervention , intervention , intervention , intervention , intervention , intervention , intervention , intervention , intervention , intervention , intervention , intervention , intervention , intervention , intervention , intervention , intervention , intervention , intervention , intervention , intervention , intervention , intervention , intervention , intervention , intervention , intervention , intervention , intervention , intervention , intervention , intervention , intervention , intervention , intervention , intervention , intervention , intervention , intervention , intervention , intervention , intervention , intervention , intervention , intervention , -0.235020722880624 , 0.470142677304691 , 0.0533815613846259 , 0.180188034796509 , 0.241678734265698 , -0.2536257303198 , 0.342506694343772 , 0.0521731867374269 , -0.309549207581122 , -0.062519213312554 , 0.245749329137929 , -0.00927341635215672, -0.0362697665634985 , -0.408551614938142 , -0.316321589982723 , 0.427945677511693 , -0.0814765578502799 , 0.354653832434228 , 0.367147213565517 , 0.489243443973614 , -0.0842813155478492 , 0.132256188421937 , -0.63566892763941 , -0.37752618372241 , -0.510128294934055 , -0.368252892844833 , -0.0118102831687536 , -0.45291979045917 , 0.51994224033093 , -0.716228195290896 , -0.343828333210864 , 0.783860269228229 , -0.341184292934465 , -0.238767412285224 , -0.191268426088103 , -0.0714575865849978 , -0.331856574613458 , 0.436745184377554 , 0.464451833867067 , -0.122978987602431 , -0.382594539616811 , 0.0505372961120069 , 0.218291237391885 , 0.263070789474515 , -0.272272553673239 , 0.0488190952086432 , -0.128510380651879 , -1.0573560757971 , 0.942990859777548 , 1.84212148659206 , 0.356277860712445 , -1.09537553744782 , -0.676002443825772 , -0.175941711609653 , 0.664863403659375 , -0.192152359182554 , 0.182873796016667 , 0.937558171437001 , -1.03487069556634 , -0.0193336848914131 , -0.55734845762696 , -0.934447675647448 , -0.0903323083975889 , -0.039032713344385 , -0.49706338974404 , 0.309383234392751 , 0.203901092815934 , -0.0900450384730594 , 0.111784275121656 , 0.34834637601811 , 0.195895300300683 , -0.447563247892334 , 0.369005436335242 , -0.304492820571533 , -0.483390523155668 , -0.217658382196894 , 0.134631363395555 , 0.457753662731742 , 0.990968830180148 , -0.176269228958599 , 0.545836048300353 , -0.00163466176714836, 0.203225376520394 , -0.865205692483088 , -1.05816775952267 , 0.135629223636341 , 0.415444755538993 , -0.09022719840852 , 0.446634434151136 , -0.256915270747969 , 0.145242365247804 , -0.505532589591156 , -0.177496855389959 , 0.0244001000892429 , 0.463877889124423 , 0.332105027197711 , -1.17691924935504 , -0.163033560958936 , -0.369076082970136 , 0.130288958765525 | 0.3965929 |
| 35 | 50 | 0.0 | 0.0 | 1.0 | control , control , control , control , control , control , control , control , control , control , control , control , control , control , control , control , control , control , control , control , control , control , control , control , control , control , control , control , control , control , control , control , control , control , control , control , control , control , control , control , control , control , control , control , control , control , control , control , control , control , intervention , intervention , intervention , intervention , intervention , intervention , intervention , intervention , intervention , intervention , intervention , intervention , intervention , intervention , intervention , intervention , intervention , intervention , intervention , intervention , intervention , intervention , intervention , intervention , intervention , intervention , intervention , intervention , intervention , intervention , intervention , intervention , intervention , intervention , intervention , intervention , intervention , intervention , intervention , intervention , intervention , intervention , intervention , intervention , intervention , intervention , intervention , intervention , intervention , intervention , -1.51899174372469 , -1.00585658006833 , -0.308683899602465 , -1.86315460740962 , 1.10452474801145 , -0.69140862572396 , -0.134282614781507 , -0.401982791726991 , 1.00498982201332 , -0.689333717214155 , 1.26723998304387 , -1.77075834047602 , -0.41665517690955 , -0.244281024486414 , 1.34679338085086 , -0.34859632558651 , 1.72023185079771 , 0.907859385098109 , -0.519776492319766 , 0.438565796646218 , -0.37102112584109 , -2.02066953657571 , -0.925465549962761 , 2.3742073969788 , 1.4104776503541 , 1.55576399475292 , 0.394080448070152 , 0.515899910791956 , 0.576924531867886 , 0.480860685087545 , -0.505414890780807 , -0.769793591224496 , -0.727393103743623 , 1.55152323382405 , -0.253674939398934 , 1.15729990420456 , 0.30175705469225 , 1.45754244298205 , 0.467553193922169 , 1.16782304135884 , -0.34307370503357 , 0.542517936137594 , 0.379838685306384 , 0.142838171430341 , -0.048859125070588 , -0.70508064094905 , -1.98296089876238 , -0.196527351799892 , -0.963635937206773 , -0.976847948195045 , -0.510034782691992 , -0.999546686593735 , -1.00605456082222 , -1.05084266763367 , 0.731573055202062 , -0.360282162002574 , -0.399070849692263 , 0.266328199000396 , -0.0767332934388596, 0.354146824543219 , 1.09571580431963 , 0.16666238959203 , -2.56512987853382 , -0.77057319567172 , 0.95330056571344 , -1.07706615006813 , -1.00198297624041 , 0.804941247775514 , -0.796828027401008 , 0.296725139198346 , -1.67013032338093 , -0.232769416315242 , -2.22909386987424 , 0.294639293297415 , -1.14639818209886 , -0.483652818379737 , -1.98232501034635 , -1.10667095717364 , -0.986029393896895 , 1.58449345088825 , 0.928598228634028 , -0.693534417081031 , -0.536012609240781 , -0.157555041820338 , -0.655216700121911 , 0.0196299553092905 , -2.28136181784481 , 0.756287094874388 , -0.300828198858463 , 0.0974055232291547 , 0.432860543324919 , 0.995966046238892 , 1.64078280542638 , -0.273253755190687 , -1.15415321899421 , 1.20410423480618 , -0.107007294499749 , -1.11888972771045 , 0.145610529834699 , -0.529541256568113 | 0.0948611 |
| 35 | 50 | 0.0 | 0.1 | 0.5 | control , control , control , control , control , control , control , control , control , control , control , control , control , control , control , control , control , control , control , control , control , control , control , control , control , control , control , control , control , control , control , control , control , control , control , control , control , control , control , control , control , control , control , control , control , control , control , control , control , control , intervention , intervention , intervention , intervention , intervention , intervention , intervention , intervention , intervention , intervention , intervention , intervention , intervention , intervention , intervention , intervention , intervention , intervention , intervention , intervention , intervention , intervention , intervention , intervention , intervention , intervention , intervention , intervention , intervention , intervention , intervention , intervention , intervention , intervention , intervention , intervention , intervention , intervention , intervention , intervention , intervention , intervention , intervention , intervention , intervention , intervention , intervention , intervention , intervention , intervention , -0.688757633488118 , 1.2132101168966 , -0.0574894783760203 , 0.128922778807766 , 0.765919078487643 , -0.689977772972024 , 0.151249750981053 , -0.511150170647464 , -0.105446917639382 , -0.0862512594192996 , 0.535533024611137 , -0.961341009187992 , -0.00244880095725095, 0.591653259125081 , 0.656167477735302 , 0.170413266449201 , 0.438714690373825 , 0.376275613621554 , 1.31304909855854 , 1.28604642361668 , -0.0772897542129321 , 0.101086870335595 , -0.0959390206493322 , 0.394896034159812 , 0.776909155366736 , 0.308580319803296 , -0.197834670404457 , 0.352050548036786 , 0.557132299028182 , -0.451473950611685 , 0.359311596524357 , -0.127216041805667 , 0.237961115954464 , 0.677736114654267 , 0.806287444200649 , -0.446929493039717 , 0.063927685587712 , -0.81889677926546 , 0.620668608338562 , 0.142144479174028 , -0.860321333068441 , -0.484810660559475 , 0.220465542954955 , 0.901690326276262 , -0.551384754116073 , 0.443225014545301 , 0.264971330648144 , 0.139737929992495 , 0.148255786341744 , 1.06622396692705 , -0.924262594458306 , -1.01381710197416 , 0.237859442773694 , 0.739473388844769 , 0.377837722319193 , -0.286332386574462 , -0.175334947186711 , 0.0198396363118493 , -0.123693258444325 , -0.118643444692128 , -0.441820059728214 , 1.16070005792632 , -0.470579563748889 , 0.0781424387010192 , -0.441023905735722 , 0.698879528132657 , 0.516783764063224 , 0.391283800339986 , 0.682545532278769 , 0.455278864003001 , 0.162615292308098 , 0.729973291584837 , 0.15026655466839 , -0.0518709971716264 , -0.301228495668136 , 0.702818916353039 , 0.985038227323674 , 0.573809555537998 , -0.339411135827126 , -0.0217861268943398 , -0.628917231824432 , 0.38025963008197 , -0.350673768578924 , 0.325772467901064 , 0.0609154552337008 , 0.336848549749793 , -0.183075746418958 , 0.180547711621496 , 0.532242791315536 , -0.0936422546737118 , -0.224068683060987 , -0.160602835317337 , -0.322335065096625 , 0.65402119436806 , 0.297799146638047 , 0.738031968482688 , -0.00172489246936942, -0.879537975230846 , 1.31261828227441 , -0.174853031218742 | 0.5485774 |
| 35 | 50 | 0.0 | 0.1 | 1.0 | control , control , control , control , control , control , control , control , control , control , control , control , control , control , control , control , control , control , control , control , control , control , control , control , control , control , control , control , control , control , control , control , control , control , control , control , control , control , control , control , control , control , control , control , control , control , control , control , control , control , intervention , intervention , intervention , intervention , intervention , intervention , intervention , intervention , intervention , intervention , intervention , intervention , intervention , intervention , intervention , intervention , intervention , intervention , intervention , intervention , intervention , intervention , intervention , intervention , intervention , intervention , intervention , intervention , intervention , intervention , intervention , intervention , intervention , intervention , intervention , intervention , intervention , intervention , intervention , intervention , intervention , intervention , intervention , intervention , intervention , intervention , intervention , intervention , intervention , intervention , 0.272311224594342 , -1.01994316909045 , 1.43284310039794 , -1.81868057943954 , 0.366066382658285 , 0.948249860015872 , 1.08388739791985 , 1.15277959921539 , -1.65433636614792 , -1.1907736108698 , -0.82751858723276 , -0.128067042547622 , -1.30088017291101 , -0.18202140224061 , -1.95147684594618 , 0.243625851113485 , 0.809593305228681 , 0.101246541318513 , -0.339097753280957 , -1.73803514618951 , -0.140499650319826 , -1.47455915361078 , 0.801506088727342 , -1.24476746598597 , 0.594026637993975 , 0.792643420304517 , 0.745585151145809 , -0.393445229241077 , -1.18324026539219 , -0.919191126676575 , 0.247417576086168 , -0.0891580133062325 , 1.34053306196188 , 0.828517303763389 , 0.0164625588458526 , -0.155428392548063 , 1.20319586157424 , 1.38161665260555 , -1.04788197436694 , 1.11037672976878 , -0.140424969828056 , -0.00518044520135141, 1.20630543224796 , 1.01042680684167 , -1.30886071235514 , -0.134216455372166 , 1.37243524733709 , -1.40767874224596 , -0.313791885106704 , -0.32698355442676 , -1.52938315540014 , -1.32231464418827 , -1.31025052788665 , 1.00932033901921 , -0.0495801236067189 , 0.63649424683344 , -0.20835989346951 , 0.946293475050312 , 0.332938898935222 , -2.73982796555296 , -0.82865775226374 , 0.131865757238058 , 1.22608099947356 , -0.944803192573484 , 0.00676016977675964 , -1.43343069598133 , 0.0710412967972858 , 0.226779709326245 , 0.932986887038914 , -0.833912479640444 , -0.0437490060337959 , -1.88292621639048 , -0.777903940839515 , 0.235890731640133 , -0.305879743997406 , -0.267957980842362 , 0.607448010679714 , -0.0764567411596048 , 0.168938709649498 , -0.176546835780217 , 0.9234775512503 , 0.268899123132524 , 0.167311160543997 , 1.47439777153327 , -1.28711851514125 , -0.779351518590649 , 1.33176443236232 , 2.11724520374915 , 1.90129570944433 , -0.672784025207104 , 1.14617850097662 , -0.481149847327217 , 2.25249848053033 , 0.981699583066385 , 0.3091554912744 , -0.789807418697272 , 0.310004486866942 , -0.857360046535979 , 0.220329192423448 , -0.453795569386629 | 0.7494019 |
| 35 | 50 | 0.5 | 0.0 | 0.5 | control , control , control , control , control , control , control , control , control , control , control , control , control , control , control , control , control , control , control , control , control , control , control , control , control , control , control , control , control , control , control , control , control , control , control , control , control , control , control , control , control , control , control , control , control , control , control , control , control , control , intervention , intervention , intervention , intervention , intervention , intervention , intervention , intervention , intervention , intervention , intervention , intervention , intervention , intervention , intervention , intervention , intervention , intervention , intervention , intervention , intervention , intervention , intervention , intervention , intervention , intervention , intervention , intervention , intervention , intervention , intervention , intervention , intervention , intervention , intervention , intervention , intervention , intervention , intervention , intervention , intervention , intervention , intervention , intervention , intervention , intervention , intervention , intervention , intervention , intervention , 0.734959415042582 , -0.471115587628257 , 0.603328809014713 , -0.747130128025176 , -0.357416642866121 , -0.0526230998127457 , 0.47051090906202 , 1.16025337473092 , 0.124294316076912 , 0.0467306391470077 , 0.0973100161263621 , 0.188948241973711 , -0.612480619242363 , -0.0230502548849371 , -0.218546730697039 , 0.452820262560595 , 0.779834205707742 , 0.366594924236375 , 0.0126455030584522 , -0.0186429963894437 , -1.15186843127384 , -0.0586241401990502 , -0.88468197764581 , 0.88984997343795 , 0.46011615786257 , 0.0374745418600766 , 0.289910839094524 , 0.180246448174726 , 0.185424694417562 , -0.409985773085797 , 0.222599470970781 , -0.341260820301708 , 0.976838227053403 , 0.178182253857364 , -0.197637599691132 , 0.613238658174766 , 0.0984464335948192 , 0.379568675522868 , 0.106783171363042 , -0.445066529930856 , -0.0883371962410355 , 0.110431297780868 , -0.301819249810986 , -0.139930342760318 , -0.483030661433102 , -0.0832684307263668 , -0.460622701432923 , 0.0128640219335734 , -0.493168646432501 , -0.389470362859656 , 0.457427686861214 , 0.808108811958318 , 0.663508325616885 , 0.0663371952846595 , -0.0544425042523283 , 0.616489170935709 , -0.715196562507312 , -0.289595993233085 , 1.28314026162391 , 0.821698737525218 , 0.364680832909474 , 0.911651412226239 , 0.697679789129475 , 0.151442915988859 , 0.293636370761296 , -0.00916138025733804, 0.109370310222634 , 0.303696295507162 , 0.395966272690922 , 0.178543826478861 , 0.188026060977045 , 0.133009335863365 , -0.290113975683253 , 0.0228059831534743 , 1.52695674980755 , 1.51563434027763 , 0.528638990649266 , 0.240373124180918 , 0.623683374770506 , 0.26446043120367 , 0.168089441725051 , -0.0364647104257376 , 0.245694406011546 , 0.934123890962535 , 0.113765941116506 , 0.100596151093459 , 0.358049259391337 , 1.80436913310817 , -0.164363779192346 , 1.28153166510916 , 0.479242778373986 , 0.662778622981086 , 1.07462663702055 , 0.376139992681079 , 0.219495000909581 , 0.803594975278113 , 0.641537976173018 , -0.726138909773256 , -0.209231548532992 , 0.562206659727896 | 0.0002419 |
| 35 | 50 | 0.5 | 0.0 | 1.0 | control , control , control , control , control , control , control , control , control , control , control , control , control , control , control , control , control , control , control , control , control , control , control , control , control , control , control , control , control , control , control , control , control , control , control , control , control , control , control , control , control , control , control , control , control , control , control , control , control , control , intervention , intervention , intervention , intervention , intervention , intervention , intervention , intervention , intervention , intervention , intervention , intervention , intervention , intervention , intervention , intervention , intervention , intervention , intervention , intervention , intervention , intervention , intervention , intervention , intervention , intervention , intervention , intervention , intervention , intervention , intervention , intervention , intervention , intervention , intervention , intervention , intervention , intervention , intervention , intervention , intervention , intervention , intervention , intervention , intervention , intervention , intervention , intervention , intervention , intervention , 1.96595436122404 , -0.904388214603998 , -1.16531747701086 , 0.528720794285881 , 0.618199784928308 , 0.105924778552617 , 0.098695943070124 , 0.442624273851068 , -0.878246679414648 , -2.08486121855193 , 0.497306687491921 , 1.11880107065233 , -1.27027492929968 , 1.41162934427546 , -1.46064565389599 , 1.47051866339348 , -0.724332503541447 , -0.673128299154003 , 0.512992773816052 , 0.105279584150558 , 1.24794417045034 , 0.676876119582312 , -0.742385692624256 , -0.605349655915457 , 0.7497078937585 , -0.194592770446869 , 0.382257076071937 , 0.998860858321909 , -0.396511134883385 , 1.72646198176339 , 0.919427280104921 , 0.873609683942422 , -1.65134756573796 , 0.245558534496065 , -0.0473179304724768, -0.092546011149137 , 0.0606901532418123 , 1.01932366450528 , -0.435147006949068 , 0.365498150387607 , 1.87023855720567 , 0.992421954189574 , -0.909961869116343 , 0.44066541033809 , 0.440780808400844 , -0.0199552415479318, -0.892568185650686 , -0.718558902059301 , -0.181979582428466 , 0.299614343382134 , 1.03949784122933 , 0.12921833810205 , -0.98913368271532 , 2.82234437840948 , 2.77291905411393 , 2.37725397414918 , 1.91243361202588 , 1.42487669092288 , 0.212057036623559 , 1.0613832506399 , 2.33132933482072 , 0.635022707559083 , 0.30449992265456 , 0.125466232808979 , 0.726210020844384 , -0.533286847720575 , 0.386494302243028 , -1.71644567891487 , 0.511168038654186 , 1.9210101135673 , 0.961171977756036 , -1.80857421504274 , -0.219094534973823 , -0.179818199995672 , 1.64272486583768 , 0.9458904921539 , 0.647022564989956 , -1.16308670891193 , 1.85346260280206 , 0.942771347687525 , 1.09459819710607 , 1.00362853350885 , 1.40575054586274 , 0.204598485518367 , -0.55537358866951 , 0.806764030127471 , 1.1156262616839 , 0.834894073030854 , 0.874800811474694 , -0.541334787987437 , 1.14049630047997 , -1.98081779457547 , -0.311494826530349 , -0.208764457884911 , 0.0302433277430066 , 1.09292399579924 , 1.28797806915496 , 1.59431935337599 , -0.0451322256080896, -0.103939258376394 | 0.0222584 |
| 35 | 50 | 0.5 | 0.1 | 0.5 | control , control , control , control , control , control , control , control , control , control , control , control , control , control , control , control , control , control , control , control , control , control , control , control , control , control , control , control , control , control , control , control , control , control , control , control , control , control , control , control , control , control , control , control , control , control , control , control , control , control , intervention , intervention , intervention , intervention , intervention , intervention , intervention , intervention , intervention , intervention , intervention , intervention , intervention , intervention , intervention , intervention , intervention , intervention , intervention , intervention , intervention , intervention , intervention , intervention , intervention , intervention , intervention , intervention , intervention , intervention , intervention , intervention , intervention , intervention , intervention , intervention , intervention , intervention , intervention , intervention , intervention , intervention , intervention , intervention , intervention , intervention , intervention , intervention , intervention , intervention , 0.232457593182374 , -0.311125248565118 , 0.0417719298792488 , 0.246104664774182 , 0.00310163529335426, 0.0104160962368754 , -0.172879562600782 , 0.0387700156439678 , -0.334512178202347 , -0.193312712519555 , -0.461133826831296 , -0.933534586501228 , 0.058801109743325 , -0.969721199800556 , -0.0884199887344613, 0.321851669094725 , -0.758814773340454 , 0.313485251735948 , 0.0727256982140394 , -0.289548553116295 , -0.253603463426996 , -0.180525164369618 , -0.193360401721816 , -0.388815540307165 , 0.448701296744394 , -0.148216996341624 , -0.351203106013708 , 0.124605097541686 , 0.442359151465622 , 0.00907337612238893, -0.109569903465176 , 0.268102014568348 , 0.88677563822429 , -0.100049209918203 , 0.973582927814072 , 0.505574533210128 , 0.43000578330041 , -0.195981289461303 , -0.286461070782877 , 0.844161966415644 , -0.444698831394106 , 0.0769595067915162 , 0.672391431524304 , 0.351780974312129 , 0.0602688090216521 , 0.0989904955130264 , 1.51683955013869 , -0.241186526735902 , -0.255781138795695 , 0.241019117963915 , 1.2353643710741 , 0.927815884736519 , -0.145334007855353 , 0.31272048365974 , 0.34388083786542 , 0.417751992766946 , 1.37355674938625 , 0.762243541898124 , 0.19267397667547 , 0.205072758884386 , 0.275755591529068 , 1.09781140266161 , 1.58136796689516 , 1.39888726585984 , -0.0825155598087249, 0.52554850822314 , 0.639470233941847 , -0.0603078423001935, 0.981047545952979 , 0.692294568816914 , 0.577944707205262 , -0.467671872491464 , 0.0519568169971146 , -0.322710272628659 , -0.283437037809608 , 1.04271094251734 , -0.0398331065994948, -0.294981243299177 , 0.437967554963932 , 0.56340539655406 , 0.607780915974686 , 0.274494986403601 , 0.358145001109187 , 0.808605984196365 , 1.46140399801919 , 0.714155032156157 , 0.43896381257809 , 0.044988748998131 , 1.20456581858208 , 1.02456067889674 , 0.428305179690922 , 0.13039588971908 , 1.05574151420253 , 0.927480746336154 , 0.0934858302467057 , 0.0676677109580831 , 0.577532712300637 , 1.27632585912932 , 0.480455250112278 , 1.0506705029616 | 0.0000013 |
| 35 | 50 | 0.5 | 0.1 | 1.0 | control , control , control , control , control , control , control , control , control , control , control , control , control , control , control , control , control , control , control , control , control , control , control , control , control , control , control , control , control , control , control , control , control , control , control , control , control , control , control , control , control , control , control , control , control , control , control , control , control , control , intervention , intervention , intervention , intervention , intervention , intervention , intervention , intervention , intervention , intervention , intervention , intervention , intervention , intervention , intervention , intervention , intervention , intervention , intervention , intervention , intervention , intervention , intervention , intervention , intervention , intervention , intervention , intervention , intervention , intervention , intervention , intervention , intervention , intervention , intervention , intervention , intervention , intervention , intervention , intervention , intervention , intervention , intervention , intervention , intervention , intervention , intervention , intervention , intervention , intervention , 0.500763839616957 , 2.53216727609514 , 0.0308012162732154 , 0.190066047730969 , -0.365029923618207 , -0.117606310974436 , -0.12408463319703 , -0.571635796037647 , -1.37940026194695 , -0.631242017485397 , 0.865135480218026 , 0.28430664093519 , 1.81499989486112 , -0.454731672234784 , -1.27620945757181 , -1.39181296700021 , 0.240735964827122 , -0.0928993672151614 , 0.392318756476712 , -1.59840804165865 , -0.368264762954599 , 0.255145245808684 , 0.169611261133679 , 1.80542278600294 , 0.109132610288671 , 0.885873075866859 , 0.111871751187037 , 0.186507646091002 , 0.797203430244183 , -1.1350358628207 , -0.935567294456354 , -0.0850345489362715 , 0.669542506097357 , 0.840342755687001 , -0.66130729006513 , 0.844996053644331 , 1.30215910570526 , 1.43042796968889 , -0.482129495632592 , 2.19913454030108 , 0.408671602909926 , 0.792578269919631 , -0.551008814712711 , -0.437114681551976 , 0.0439288674205782 , -0.486978645109923 , -0.145246494232427 , 0.154466971098969 , -0.782950706798469 , -0.713775556600152 , 0.676946416537095 , 0.208728534663812 , 0.874947594372918 , 0.624516907920648 , 2.17843401439892 , 0.195704405544464 , -0.0433467976891497 , -0.154534835839274 , 0.0554897359016672 , 2.12168246203137 , 0.254991271086326 , 0.20110076107116 , 1.03161254386553 , -1.32907461243766 , 1.74815608585361 , 1.57556530932735 , 2.28702548805474 , -0.764637367654761 , 1.88223398827573 , -0.15238784329203 , -2.02753624835364 , 0.829790360956263 , 1.06446772678963 , -0.216130693818523 , 2.13194329028732 , -0.599150172946176 , -0.165191148600357 , -1.12102657052479 , -0.832122801140087 , -1.78811902935106 , 1.32905019296779 , 1.17665189492317 , 0.154959192143449 , 1.73469009594539 , 2.1032000225769 , -0.243110354034428 , 1.93316864522699 , 1.21872037591305 , -1.72157580260168 , 0.778701991899436 , 1.6470588986292 , 0.975582371745011 , 0.382025736936103 , 0.0824167302864736 , -0.00521045769304562, 1.00596524116444 , -0.204039152408948 , -0.838839727930255 , 0.821607490106846 , 0.347405671027776 | 0.0726952 |
| 36 | 20 | 0.0 | 0.0 | 0.5 | control , control , control , control , control , control , control , control , control , control , control , control , control , control , control , control , control , control , control , control , intervention , intervention , intervention , intervention , intervention , intervention , intervention , intervention , intervention , intervention , intervention , intervention , intervention , intervention , intervention , intervention , intervention , intervention , intervention , intervention , -0.45062771909008 , 0.299335981343431 , 0.209366835852608 , -0.494037677540698 , 0.680262694733017 , 0.133647272152734 , -0.445706593935543 , -1.17296724564844 , 0.575871211758189 , 0.713800592943009 , -0.141119282894126 , -0.197554940096997 , 0.152848679813388 , 0.579575681435482 , 0.651444883753891 , 0.534697564216913 , 0.0548948565250589 , -0.46420871979991 , -0.442795700430309 , -0.225565232220348 , 0.315575992281665 , -0.228812669883071 , -0.323001388066158 , -0.0240272399277769, 0.0393203408572429 , -0.388103496093941 , -0.24043791729683 , 0.194370207383785 , -0.111376467845365 , 0.440566932068119 , -0.55003310475307 , -0.0905947721397641, 0.243334561484308 , -0.400780209111222 , 0.49819034384285 , -0.41019507938973 , -1.5678845705711 , 0.0124500360153573 , -0.0125948329228138, -0.112120293512913 | 0.2902383 |
| 36 | 20 | 0.0 | 0.0 | 1.0 | control , control , control , control , control , control , control , control , control , control , control , control , control , control , control , control , control , control , control , control , intervention , intervention , intervention , intervention , intervention , intervention , intervention , intervention , intervention , intervention , intervention , intervention , intervention , intervention , intervention , intervention , intervention , intervention , intervention , intervention , 0.319459830731397 , -0.892661442741896 , 1.21426097339616 , -2.10468138368268 , -0.412582541059948 , 0.912286495046287 , -0.08513819729728 , -0.064885088724034 , 0.0945233715480394 , 0.592684370966555 , 0.0989848610973805 , 1.10022901177086 , 0.168908690382749 , -0.165469868995126 , 1.68339958373999 , -0.717506252884105 , 1.46163239168949 , -0.286944220972831 , 0.205086561867506 , 0.376402094651513 , 0.127332382187455 , -0.159015774466259 , -1.4659048049417 , 1.18538284007824 , 1.69220554082449 , 1.49305947675325 , 0.951172465038866 , -0.00978460545535474, 0.339089428735367 , -0.252651715980614 , -1.20838582265221 , 0.440945428869929 , -1.21278739657933 , 0.723753948987297 , -0.243090166285794 , -1.53926072169651 , 0.0856868184698736 , -0.553034226959388 , -0.108314596818881 , -1.17311979363652 | 0.4553410 |
| 36 | 20 | 0.0 | 0.1 | 0.5 | control , control , control , control , control , control , control , control , control , control , control , control , control , control , control , control , control , control , control , control , intervention , intervention , intervention , intervention , intervention , intervention , intervention , intervention , intervention , intervention , intervention , intervention , intervention , intervention , intervention , intervention , intervention , intervention , intervention , intervention , 1.42418343929231 , -0.533939706881814 , 1.1109422268847 , -1.05183102864298 , -0.825793320425666 , 0.287504201642692 , -0.136924400230177 , -0.498052763061739 , -0.534217760194945 , 0.501354433095015 , -0.552188795574872 , 0.23897948098127 , -0.239943003663049 , 0.218287033750852 , -0.0430516736470284, 0.24204967388911 , 0.0233329430452485 , 0.397466051460287 , -0.196121759935771 , 0.552745867579028 , 0.569414129470452 , 0.801910836140247 , 0.413931114963806 , -1.16364467035766 , -0.0612293738266149, 0.293171046649402 , -0.0402713692339919, 1.07984053361198 , 0.0786611761333222 , -0.338096678800688 , -0.229767585706964 , -0.0370601982875199, -0.930465767810338 , 0.0478863373428865 , 0.318149116287115 , -0.12245068089684 , 0.666849825524389 , -0.103321613210355 , 0.208582065493348 , -0.0232847511331776 | 0.7754974 |
| 36 | 20 | 0.0 | 0.1 | 1.0 | control , control , control , control , control , control , control , control , control , control , control , control , control , control , control , control , control , control , control , control , intervention , intervention , intervention , intervention , intervention , intervention , intervention , intervention , intervention , intervention , intervention , intervention , intervention , intervention , intervention , intervention , intervention , intervention , intervention , intervention , -0.59562157293867 , -0.0489319627302722, 0.547975273199827 , 0.479313859420404 , -1.46368337014554 , 1.52774000522835 , 1.57557917872009 , -0.446050036623262 , 0.316407515473189 , -0.172336865035929 , -0.0857630518760893, -0.086377301887766 , -1.08438851716209 , -0.545512149583345 , -0.571400266976985 , 0.106551377614466 , 0.660248692168058 , -0.544827705852046 , 0.198132543414029 , 0.698681737803167 , -0.887909545659634 , 0.611907537686037 , 0.128325951008893 , 1.04141234112426 , -0.369279326457459 , 0.470023017077831 , -0.0892429733042479, -1.26192620386157 , 0.871742943615288 , -0.549219581678755 , 0.0872702367226016 , -1.25908894867055 , 0.0509092512048172 , -0.0145821141086005, -0.0254205918852385, -0.418130704461414 , -0.0486059738127889, 0.161303922086002 , -0.242593318393278 , -2.61259481709776 | 0.3461512 |
| 36 | 20 | 0.5 | 0.0 | 0.5 | control , control , control , control , control , control , control , control , control , control , control , control , control , control , control , control , control , control , control , control , intervention , intervention , intervention , intervention , intervention , intervention , intervention , intervention , intervention , intervention , intervention , intervention , intervention , intervention , intervention , intervention , intervention , intervention , intervention , intervention , -0.108693739325798 , 0.0471562361509458 , 0.314553538628038 , 0.292561952371881 , 0.0666492504574118 , -0.804356005875554 , -0.326089312478876 , 0.780501981907374 , 0.163945774234826 , 0.183683510224622 , -0.00829462798573344, -0.185231377256863 , 0.929788102561795 , 0.509120845822126 , -0.00434957329938598, -0.979933830005289 , 0.0480875123434495 , 0.682735707738722 , 0.464450116578511 , 0.465683074005349 , 0.46767386870628 , -0.270920998601162 , -0.0573326345070294 , -0.221064368397236 , -0.0428430936811461 , -0.0684528899685907 , 0.877025825342708 , 0.168044049169534 , 1.63827713738183 , 0.52503092141967 , 0.373807967541016 , 1.52740178053723 , 0.481518749746214 , 0.958167340430765 , 0.254218981198442 , 0.763206215759446 , 0.801636000922457 , 0.729324764689209 , 1.80911360169454 , -0.271450202494894 | 0.0305130 |
| 36 | 20 | 0.5 | 0.0 | 1.0 | control , control , control , control , control , control , control , control , control , control , control , control , control , control , control , control , control , control , control , control , intervention , intervention , intervention , intervention , intervention , intervention , intervention , intervention , intervention , intervention , intervention , intervention , intervention , intervention , intervention , intervention , intervention , intervention , intervention , intervention , 0.21229551072752 , -1.7313869537008 , -1.46363750805201 , 1.2076823358783 , -0.507103343629831 , 0.18008742591852 , 0.493008740353859 , -0.0510759336471543 , 0.800253138368166 , -1.26077132181884 , -1.07685709017234 , 0.304751466860327 , 0.158319275717752 , 0.714067654978108 , -0.619827913853826 , -0.913447700184537 , 0.164916437127821 , -2.01460062349519 , -1.31579784537762 , 0.626834332819365 , 0.784099419765758 , 1.06756483594518 , -0.825554179431361 , 0.78791249938857 , 1.20259925477148 , 0.539049187489437 , 0.666940255801568 , 0.52452034448226 , 0.059150940362957 , 0.175083245725643 , -1.23322958270385 , -0.438265027601217 , -0.236409671965501 , -0.0605623593597899 , 1.57833164676835 , 0.266815568761379 , 0.366868062330863 , 0.462805753861004 , 0.593679078194061 , -0.00952927965585793 | 0.0218184 |
| 36 | 20 | 0.5 | 0.1 | 0.5 | control , control , control , control , control , control , control , control , control , control , control , control , control , control , control , control , control , control , control , control , intervention , intervention , intervention , intervention , intervention , intervention , intervention , intervention , intervention , intervention , intervention , intervention , intervention , intervention , intervention , intervention , intervention , intervention , intervention , intervention , 0.041556583316192 , 0.130410329450218 , -0.0196437340645289, 0.631134325563255 , 1.17327336654932 , 0.165233671495821 , -0.170365135262359 , -0.139168296430444 , 0.00774276673492791, -0.315108431938538 , 0.0732221594163613 , 0.0742191190970668 , 0.359786032732078 , 0.619379269073328 , 0.916479303296211 , 0.48412257404812 , -0.63706003795403 , 0.0855069099044692 , 0.283065428909812 , 0.192257251564657 , -0.182199113705331 , 0.0807503549693621 , 0.485251609732637 , 0.92650444052231 , -0.657559543570559 , 0.704059274437565 , 0.306527369975296 , 0.775512559933782 , 0.334946573614796 , 0.706314816289831 , -0.171793242088862 , 1.23507056604978 , -0.131471388706896 , 0.127997911901319 , -0.467274794685518 , 0.510060161446004 , 0.442562603454535 , 1.31572652064623 , 1.1443931293619 , 0.634148184078486 | 0.1863505 |
| 36 | 20 | 0.5 | 0.1 | 1.0 | control , control , control , control , control , control , control , control , control , control , control , control , control , control , control , control , control , control , control , control , intervention , intervention , intervention , intervention , intervention , intervention , intervention , intervention , intervention , intervention , intervention , intervention , intervention , intervention , intervention , intervention , intervention , intervention , intervention , intervention , 0.913690086093138 , 1.09524220050174 , -0.135039638670749, -0.63535492122365 , -0.727838710320413, 1.73660070075988 , -0.807242294408549, 1.55852440913007 , -0.998283607901483, -2.2417932814139 , -0.462167501440618, 0.191095960008377 , 0.436383613830242 , 0.847139556596306 , -0.193668675555324, 0.206725434731125 , -0.917630320346026, 1.92967487916532 , 0.289493447174645 , -0.665478356823091, -0.477633239369188, 0.935425924555796 , 0.965379566350984 , 0.504244484637532 , 0.50153529551397 , 0.724192318821934 , -1.33655691029111 , -0.334028365819993, 0.55017235611776 , 0.986159394165038 , 0.648426345309652 , 0.579419913251193 , -2.05925724572002 , -0.422309908224049, -0.281381560310303, -0.318088053450085, 3.0983058089846 , 0.595436423834547 , -1.75899299309262 , -0.4602005470142 | 0.8614971 |
| 36 | 50 | 0.0 | 0.0 | 0.5 | control , control , control , control , control , control , control , control , control , control , control , control , control , control , control , control , control , control , control , control , control , control , control , control , control , control , control , control , control , control , control , control , control , control , control , control , control , control , control , control , control , control , control , control , control , control , control , control , control , control , intervention , intervention , intervention , intervention , intervention , intervention , intervention , intervention , intervention , intervention , intervention , intervention , intervention , intervention , intervention , intervention , intervention , intervention , intervention , intervention , intervention , intervention , intervention , intervention , intervention , intervention , intervention , intervention , intervention , intervention , intervention , intervention , intervention , intervention , intervention , intervention , intervention , intervention , intervention , intervention , intervention , intervention , intervention , intervention , intervention , intervention , intervention , intervention , intervention , intervention , 0.815832106665013 , -0.23951565466137 , -0.264581989258902 , 0.464647427472359 , -0.16444258804357 , -0.259653333768851 , 0.114687203438225 , -0.29816767042517 , 0.125686401263754 , 0.403540017304811 , -0.0941516058099859 , 0.507382464328315 , 0.146300898923376 , -0.00427086816524576, 1.12139766461167 , 0.0999882849457703 , -0.650201720043245 , 0.563248463508156 , -0.0131235706967939 , -0.386900742075733 , 0.658920266318885 , -0.602822906563328 , -0.322936845713781 , 0.45103528003262 , 0.0934810447404642 , 0.17120583434309 , -0.491303990612282 , 0.0509839759243942 , -0.26047308965908 , 0.449117634791544 , -0.680520338496413 , 0.052640755495844 , 0.105350309146837 , -0.0235273363747027 , 0.458155711500204 , -0.282418982065572 , 0.0697303542390896 , 0.814853112409953 , -0.0702803399597544 , 1.18647296783262 , 0.632247606076967 , 0.193208601153425 , -0.447829828346087 , -0.416752562969767 , -1.08151230658452 , -0.269165639239025 , -0.597570320146029 , 0.634828273509238 , -0.922639535742871 , 0.524778103950151 , -0.355192072811714 , -0.287031240740849 , 0.602819111533316 , 0.391542467711102 , -0.324278776120835 , 0.139052935358116 , 0.0604209660495926 , -0.0488453813060864 , 0.193138685000228 , -0.792740064856803 , 0.735188399252654 , 0.307689700743013 , -0.978280156216531 , 0.540571156315989 , -0.586042493246894 , 0.266212995608072 , -0.800998899433446 , -0.51586135711858 , 0.201163097648888 , 1.516639814453 , 0.159657579004149 , -0.565559011604825 , -0.160828056076853 , 0.213084559358883 , -0.441852398285491 , -0.498690664801753 , 0.423625054422821 , -0.502733818544947 , 0.0401571754038117 , -0.297917637704983 , -0.518486323208739 , 0.323707849811575 , 0.27060654627827 , -0.426331129639337 , -0.700814572648845 , -0.435910039209858 , -0.727329882292931 , -0.165372769606435 , -0.203326077861583 , -1.04289143543198 , 0.16409814083668 , 0.416543485056153 , -0.0315336885479911 , -0.427588990493389 , -0.220571807399801 , 0.332036808060451 , 0.624792039292152 , 0.331132916659848 , 0.27197078912618 , -0.264888605658882 | 0.2442978 |
| 36 | 50 | 0.0 | 0.0 | 1.0 | control , control , control , control , control , control , control , control , control , control , control , control , control , control , control , control , control , control , control , control , control , control , control , control , control , control , control , control , control , control , control , control , control , control , control , control , control , control , control , control , control , control , control , control , control , control , control , control , control , control , intervention , intervention , intervention , intervention , intervention , intervention , intervention , intervention , intervention , intervention , intervention , intervention , intervention , intervention , intervention , intervention , intervention , intervention , intervention , intervention , intervention , intervention , intervention , intervention , intervention , intervention , intervention , intervention , intervention , intervention , intervention , intervention , intervention , intervention , intervention , intervention , intervention , intervention , intervention , intervention , intervention , intervention , intervention , intervention , intervention , intervention , intervention , intervention , intervention , intervention , 0.0146634786593666 , -0.587211890764761 , -0.784599052643902 , 1.05110889866496 , -0.465992074700146 , 0.370141310473896 , 0.148045987031206 , -0.848052727118993 , 1.39345666901823 , 0.626469411711905 , 0.642860320643096 , 0.800315223352105 , 2.04274375329122 , -1.54872410167581 , -0.353161215103545 , -0.541904417385028 , 0.294718645848711 , -0.196384485693658 , -0.154760649142529 , -0.743313407055277 , -0.0280088287937087, 1.27203921152429 , 0.999414444036806 , -1.35496494390167 , -0.331860902371343 , -0.280883920969525 , -1.28442239713785 , -0.0873202771529925, -0.410404382822457 , 0.548636422669373 , -0.469977712635064 , -0.425932450460764 , -0.191381256133615 , 0.472523909727664 , 0.257762569695481 , 0.759921933472656 , 0.756320417281249 , -2.2913766095561 , 0.0485304145174887 , 0.892471713420409 , -0.0136078421609373, 1.34647244226494 , -0.768365465076405 , 3.5401593586797 , 1.13636098295861 , -0.713376664291776 , 0.00405239109931934, -1.21721743536469 , 0.58768807190962 , 0.034063766758672 , 0.16699007169271 , 0.202099679644729 , 0.0585811428306284 , -2.06808851291337 , -0.611357533168839 , -0.813882738974199 , -0.337086804425125 , 1.32594059542532 , -0.625021485664472 , 0.42940239392503 , -0.692963639912277 , 0.246867358166031 , 1.00019723853439 , -0.10698063696599 , -1.10153282445894 , -0.330345108346585 , -2.29643294337763 , 2.11054231476517 , 0.18109244894674 , -1.23577145223176 , -0.363759857699065 , -0.420678424178749 , -0.568309952497418 , -1.43069740664459 , 2.03278686585151 , -1.50926897255704 , 1.67138707596756 , 1.2075304557709 , -1.53109220794329 , -0.932679727514719 , -0.43406037346677 , -0.107018064818092 , 0.451376259290684 , 0.415427531601803 , -0.319405624561944 , -2.20485943947061 , 0.661291549553575 , -0.132071252734535 , -0.537799239557032 , 3.11433025015895 , -0.416641349719117 , -0.174024881002809 , -2.98929743932154 , 0.844371378604594 , 1.10691150411613 , -0.178008011029429 , 0.987208429187949 , -2.50529772960368 , -0.408316170797987 , 0.346825307410357 | 0.2489884 |
| 36 | 50 | 0.0 | 0.1 | 0.5 | control , control , control , control , control , control , control , control , control , control , control , control , control , control , control , control , control , control , control , control , control , control , control , control , control , control , control , control , control , control , control , control , control , control , control , control , control , control , control , control , control , control , control , control , control , control , control , control , control , control , intervention , intervention , intervention , intervention , intervention , intervention , intervention , intervention , intervention , intervention , intervention , intervention , intervention , intervention , intervention , intervention , intervention , intervention , intervention , intervention , intervention , intervention , intervention , intervention , intervention , intervention , intervention , intervention , intervention , intervention , intervention , intervention , intervention , intervention , intervention , intervention , intervention , intervention , intervention , intervention , intervention , intervention , intervention , intervention , intervention , intervention , intervention , intervention , intervention , intervention , 0.105395603550793 , 0.294187896522425 , 0.184848850103763 , -0.0695180002176698, -0.222976974460257 , -0.571652182326807 , 0.23926307423645 , 0.979701683310098 , -0.0141325074417057, 0.320778809930117 , 0.215573877151634 , 0.140162350457033 , 0.0742314962287392 , -0.275155573146335 , 1.30993359568521 , -0.523317892749456 , -0.0107860414416154, 0.367423217691697 , -0.975207673826208 , 0.720047392141772 , 0.704063221158445 , 0.844060167412672 , -0.404123008496042 , -0.611179747638505 , 0.0283762413093283 , -0.380266738177897 , 0.529063945947168 , 0.498272821446495 , 0.445328379310971 , -0.0693481782175918, 0.628370136089598 , 0.71046796937809 , -0.384573592021891 , 0.0984899142100154 , 0.0587304846055373 , -0.805913150518826 , -0.089586467723568 , -0.272852215606359 , -0.12214544182739 , 0.485400929270064 , -0.361147093308575 , 0.522454357126646 , 0.750040241190147 , 0.099499361678993 , 0.463987652041511 , 0.344465973446662 , 0.0475640123170676 , 0.679162074518208 , 0.566639690724958 , 0.561304896653449 , 0.652139940266244 , -0.525395108629966 , -0.110859059063376 , -0.43965784174342 , 0.281748799003239 , 0.78900079287654 , -0.0210422152885179, 0.105501226633744 , 0.531168698213543 , -0.135863204000673 , -0.313604294462864 , 0.342610138092826 , -0.219944751528169 , 0.0120027437434665 , -0.198200463086991 , 0.59093140486838 , -0.153954275522174 , -0.397390490709362 , -0.539787875782486 , -0.120274921424977 , 0.592432455759118 , 0.523924525387063 , 0.596137829877219 , -0.189922435564919 , 1.13304212377888 , -0.109624089000075 , -0.361499345524282 , 0.776767448661644 , 0.868241529687444 , -0.466529967127791 , -0.75565150322178 , 0.366537893396277 , 0.644010394123215 , -0.473086380022805 , -0.56437495328252 , 1.4098416112098 , -0.15969041713865 , -0.04894702734245 , -0.0384810590896327, -0.0501582219266179, -1.00710867007748 , -0.05320052202188 , 0.81457408567899 , 0.71374019726782 , -0.198308783985551 , 0.596261258286133 , -0.168627090383596 , 0.390245373508478 , -0.837071019339256 , 0.140903997406462 | 0.4737870 |
| 36 | 50 | 0.0 | 0.1 | 1.0 | control , control , control , control , control , control , control , control , control , control , control , control , control , control , control , control , control , control , control , control , control , control , control , control , control , control , control , control , control , control , control , control , control , control , control , control , control , control , control , control , control , control , control , control , control , control , control , control , control , control , intervention , intervention , intervention , intervention , intervention , intervention , intervention , intervention , intervention , intervention , intervention , intervention , intervention , intervention , intervention , intervention , intervention , intervention , intervention , intervention , intervention , intervention , intervention , intervention , intervention , intervention , intervention , intervention , intervention , intervention , intervention , intervention , intervention , intervention , intervention , intervention , intervention , intervention , intervention , intervention , intervention , intervention , intervention , intervention , intervention , intervention , intervention , intervention , intervention , intervention , -2.33300914040839 , 0.1357053340475 , 0.0263353711154583 , 0.419632003704564 , 0.983037640852083 , -1.40400564361247 , 0.0789011523080115 , 1.66669767214304 , 0.420753846545184 , 0.979600360591873 , 0.329689024912917 , -1.26837942334266 , -0.553086083532799 , 0.960808005083075 , 1.720264706791 , -1.01386789430773 , 0.860232833920505 , 0.960542983364536 , 0.25930568369382 , -1.14648743235553 , 2.75695247538621 , -0.144171242192926 , -0.406148283599549 , 0.0486624455813122 , -1.5858271938058 , 1.20389650396776 , -0.142656476954941 , -0.152965084367145 , 0.821185072888312 , 1.25511303805729 , 0.206795782777644 , -1.66932620903564 , 1.83164409138304 , -0.437063618738334 , -0.180944739464572 , -0.714157648513412 , -0.307191543630382 , -1.46190112817869 , 0.429384170976011 , -0.919616168964683 , 0.819092978951921 , -0.143305503183674 , 1.43311234410033 , 0.475990563238159 , 0.321789807091117 , -0.149084619368644 , 0.685075003713537 , 1.24103220375029 , 0.803914996569098 , 0.644011318598299 , -0.217234122210511 , 1.63754457084707 , 0.514591641284716 , 0.197303020256064 , 0.756566061768302 , 2.01658621238316 , -0.194904876846347 , -0.45022180222984 , -0.249881339906135 , -2.11803460800211 , -0.0226197747161158, -0.5714671699238 , -1.7756487016827 , 0.479430570458906 , -0.727536265069054 , 0.263777559996065 , -0.987858693867502 , -2.52386626936959 , 0.258746253333609 , 1.12134415896577 , 0.403950390015177 , -1.2760579897136 , 0.221331952344721 , 1.37146961211285 , 0.119217267868628 , 0.763819158923041 , 0.507573774054988 , 0.50993345604879 , 0.588797541204776 , -0.802225201417508 , 0.471003577409858 , 1.03397647304054 , -0.0826854929651704, 0.432058679507676 , 1.45053536165656 , -0.515456115578789 , -0.783668396213928 , -1.45582005287181 , -0.722271745968665 , -1.31069112973376 , 0.0278498296635228 , 0.488255646500178 , -0.958600330756048 , -0.636386804673439 , -1.65567468791231 , 0.416185619386532 , -1.5421512695189 , 0.182595659744229 , -0.483144224511001 , -0.019042354570829 | 0.1502072 |
| 36 | 50 | 0.5 | 0.0 | 0.5 | control , control , control , control , control , control , control , control , control , control , control , control , control , control , control , control , control , control , control , control , control , control , control , control , control , control , control , control , control , control , control , control , control , control , control , control , control , control , control , control , control , control , control , control , control , control , control , control , control , control , intervention , intervention , intervention , intervention , intervention , intervention , intervention , intervention , intervention , intervention , intervention , intervention , intervention , intervention , intervention , intervention , intervention , intervention , intervention , intervention , intervention , intervention , intervention , intervention , intervention , intervention , intervention , intervention , intervention , intervention , intervention , intervention , intervention , intervention , intervention , intervention , intervention , intervention , intervention , intervention , intervention , intervention , intervention , intervention , intervention , intervention , intervention , intervention , intervention , intervention , 0.0814959925178388 , 0.0520888593470106 , 0.488239713346629 , 0.0269542142075447 , -0.190917213302721 , 0.666518238163693 , -0.508280547864983 , 0.693172635176582 , 0.19218616537405 , -0.6981415504689 , 0.134607548348536 , -0.248298148370884 , -0.420672280367365 , -0.0764224743215881 , 0.398292516161272 , 0.381088117454666 , -0.213302449047196 , -0.36941909801623 , -0.253134149588281 , 1.01095096498903 , -0.702982515406312 , -0.163472849445515 , 0.896959915575089 , -0.379381951782456 , 0.673236596795609 , -0.350375853830226 , 0.222921808815676 , 0.202623327904726 , -0.410535624299362 , -0.0105375524003737 , 0.121213019221275 , 0.348802032518763 , -0.188538907887577 , 0.99504808720321 , 0.0907072161884397 , 0.0656930269703174 , -0.786771792072983 , -0.404881470591843 , -0.848193661535847 , -0.239107996221143 , -0.115024771912812 , 0.186492756164923 , 0.18713285541349 , -0.223564187296491 , 0.433980724279281 , 0.00738681296683514 , 0.822252736856702 , -0.00035242391782357, -0.0367282725795608 , -1.20882414195944 , -0.143248498549599 , 0.260707176220063 , 0.381978024516483 , 0.779731787841638 , 0.574451911871805 , 0.776086634223742 , 1.21998888403135 , 0.975715566056298 , 0.466946079362978 , 1.05505320542626 , 0.296432173398786 , 0.710917342211309 , 0.240952615552869 , 0.583850441851699 , -0.345983839705085 , -0.426107925642875 , 0.998957404071481 , -0.362644974607427 , 0.350787582313728 , -0.0199803795294702 , 0.904953684164821 , 0.975044988322268 , 1.53787326504727 , 0.435452942471286 , 0.618144269425171 , -0.511013527990925 , 0.629205508800176 , 0.219223219990923 , 1.21996444638406 , -0.478185402601658 , 0.840745256800046 , -0.569563175347335 , 0.773577302051029 , 0.0669136096099407 , 0.900691274205869 , 0.972861697389959 , 1.2930847562389 , 0.560236296818691 , -0.665739595678284 , -0.322831536486994 , 0.677294454923181 , -0.232295646486514 , 0.693200621033373 , 0.265198441825622 , 1.09476572326203 , 0.740558565847282 , 0.263247839437952 , 0.319717014048905 , 0.330266092829294 , -0.125192079525463 | 0.0000677 |
| 36 | 50 | 0.5 | 0.0 | 1.0 | control , control , control , control , control , control , control , control , control , control , control , control , control , control , control , control , control , control , control , control , control , control , control , control , control , control , control , control , control , control , control , control , control , control , control , control , control , control , control , control , control , control , control , control , control , control , control , control , control , control , intervention , intervention , intervention , intervention , intervention , intervention , intervention , intervention , intervention , intervention , intervention , intervention , intervention , intervention , intervention , intervention , intervention , intervention , intervention , intervention , intervention , intervention , intervention , intervention , intervention , intervention , intervention , intervention , intervention , intervention , intervention , intervention , intervention , intervention , intervention , intervention , intervention , intervention , intervention , intervention , intervention , intervention , intervention , intervention , intervention , intervention , intervention , intervention , intervention , intervention , 0.496882709883485 , -0.187989807399718 , 0.17918256686477 , 1.07969276636649 , -0.692593547781323 , 0.62512381820287 , -0.301616895830446 , 1.43976229591335 , 0.221091602453813 , 1.27402507234058 , 0.762115570648273 , -2.54153984686696 , 0.572939278883686 , 1.20742060610261 , 0.356554373788594 , -0.14998496616977 , 1.79192527693396 , -0.868656592181273 , -0.829367937426721 , -1.62060392343499 , -0.557792663142405 , 1.1865600584364 , -0.604285337500822 , -0.101317489484169 , -1.67118523597169 , 0.286745936978399 , 0.170644261174079 , -1.31355053124508 , -0.431397489989422 , 0.753500450529743 , -0.697571511462446 , -0.557846111110325 , 0.5788435123541 , 0.00381439679849218, -1.14111415363684 , -0.294174167355882 , 2.78497643059275 , 0.497274031568084 , -0.524857352551565 , -0.815510166903765 , -0.395820071427607 , 0.744017058201971 , -0.438826400272684 , -1.04796710893833 , 0.874568531993109 , -1.11497687954643 , -1.71934678720817 , -0.527642467849031 , 0.465387051111529 , 1.5497666135638 , -0.315058507491233 , 0.189191391046291 , 1.5696083098921 , 1.25557683353651 , -0.569914780665815 , 0.53348161975586 , 0.48528185475022 , 0.337248605439436 , -0.923471378167888 , 1.48963593678783 , 1.85563469753806 , 0.648988703016899 , 1.13565386730436 , -0.0425149844398267, 0.0351529313985613 , -0.0315666198289865, 1.10646008401061 , 0.604323718319583 , 2.33931290387556 , 0.0828357099685826 , 0.496704053531351 , -0.381729441961085 , -0.528292419770924 , -0.683500370408017 , -0.894195840681885 , 2.85612204062823 , -0.0658192215459792, 0.499583844150809 , 2.05919258204358 , 0.235075325102261 , 0.120678043996783 , -0.577455292004893 , -0.924626960329563 , -0.504510650090706 , 1.99854600905802 , -0.44579056557363 , 1.40806673435786 , 0.364861532157421 , -0.197829667583986 , -0.415763041070539 , 0.150274492646636 , -0.462426805700892 , 0.763831677194478 , -0.849980687658701 , 0.948444344394611 , -0.0707508150449133, 2.17812046920624 , 0.624803861457417 , 0.748093550657974 , 0.110287385136 | 0.0299526 |
| 36 | 50 | 0.5 | 0.1 | 0.5 | control , control , control , control , control , control , control , control , control , control , control , control , control , control , control , control , control , control , control , control , control , control , control , control , control , control , control , control , control , control , control , control , control , control , control , control , control , control , control , control , control , control , control , control , control , control , control , control , control , control , intervention , intervention , intervention , intervention , intervention , intervention , intervention , intervention , intervention , intervention , intervention , intervention , intervention , intervention , intervention , intervention , intervention , intervention , intervention , intervention , intervention , intervention , intervention , intervention , intervention , intervention , intervention , intervention , intervention , intervention , intervention , intervention , intervention , intervention , intervention , intervention , intervention , intervention , intervention , intervention , intervention , intervention , intervention , intervention , intervention , intervention , intervention , intervention , intervention , intervention , 0.433449261417286 , 1.60867307090236 , 0.0242389293172968 , -0.057159882730507 , 0.441494118305162 , 0.79766265845373 , 0.650023502919888 , 0.927245425466769 , -0.598357353798073 , 0.988814303202551 , -0.244399066037465 , -0.548013393763874 , -0.218522939351732 , -0.0759617809830052, 0.55970417234337 , 1.01652277733037 , -0.0217574330529398, 0.380976255300904 , -0.16303468209034 , 0.404334606621416 , -0.286903617073397 , -0.594467584504392 , 0.663193703088892 , -0.432245291322864 , 0.393769301515773 , 0.355567777646907 , 0.115281607800003 , -0.0569176534240221, -0.2017981982638 , 0.523036454094975 , 0.348760072882273 , -0.293214597011941 , 0.474000165342994 , -0.718676966003141 , 0.0878454668403936 , -0.360208785934538 , 0.0950065814684108 , -0.521759024465709 , -0.0365003328879757, -0.54139667223903 , 0.213464586657412 , 0.642721856425267 , 0.865377810987423 , -0.179656720795749 , -0.617557899914915 , -0.0358601771152213, 0.263886868355677 , 0.27269194509738 , -0.29274961435864 , 0.2909487222459 , -0.365090760513231 , 0.894636461042382 , 1.27621383934262 , -0.172174451364909 , 0.132281198431907 , 0.345419526359488 , 0.318650339398908 , 0.995460767052315 , 0.198602013202247 , 0.436165114392447 , 0.252552204250929 , 0.860338253154381 , -0.0506789608071517, 0.720248560882642 , 0.441664277853704 , 0.0171761976573769 , 1.67442014167962 , 0.410649442615391 , 0.395393948842934 , 1.11962687694833 , 0.704545523801621 , 0.978696393142861 , -0.129647434309177 , -0.182950479145492 , -0.172626965631565 , 0.419798993983936 , -0.500397322929849 , 0.221351102693349 , 1.41603553759423 , 0.803290398264505 , 0.626460621690254 , 0.824039866786384 , 1.65806050611438 , 0.783034457369593 , 0.579625376984591 , -0.0879880518887074, 0.602395707203089 , 0.53390669118241 , 1.26554213924112 , 1.1645336425156 , 1.05663070253438 , 0.102298962858531 , 0.692346146151197 , 0.319579471378321 , 0.46532557337158 , 0.101493637480003 , 1.36739643963685 , 0.109228925652342 , 0.124690637064877 , 1.15730595881182 | 0.0001851 |
| 36 | 50 | 0.5 | 0.1 | 1.0 | control , control , control , control , control , control , control , control , control , control , control , control , control , control , control , control , control , control , control , control , control , control , control , control , control , control , control , control , control , control , control , control , control , control , control , control , control , control , control , control , control , control , control , control , control , control , control , control , control , control , intervention , intervention , intervention , intervention , intervention , intervention , intervention , intervention , intervention , intervention , intervention , intervention , intervention , intervention , intervention , intervention , intervention , intervention , intervention , intervention , intervention , intervention , intervention , intervention , intervention , intervention , intervention , intervention , intervention , intervention , intervention , intervention , intervention , intervention , intervention , intervention , intervention , intervention , intervention , intervention , intervention , intervention , intervention , intervention , intervention , intervention , intervention , intervention , intervention , intervention , -0.429250977897349 , -0.645782966403696 , 0.238389715259751 , 1.2937837471208 , -1.93350395653396 , -0.514741512781654 , 0.942325538012411 , 0.931349537587213 , 1.82761828136867 , -0.578999572014063 , 0.34492577511352 , -0.294926377829966 , -1.60738622615304 , -1.96345500690045 , -0.534243872975596 , -0.610260020118433 , -0.45227922950429 , 1.03275588301308 , 1.02947019431325 , -0.681402761904987 , 0.718016323614871 , -0.750394415652251 , -0.121856099057799 , 0.263833890664748 , -0.134698680870003 , -0.498534374238225 , 1.86013149343739 , 1.47894359916834 , 0.7680457233979 , -1.75566580208235 , -0.270492017610387 , -1.66388236918171 , 0.00209485983758803 , -1.45257196663438 , -0.0264814257694122 , 0.12420436131832 , 0.388979712579406 , -0.62520666555309 , 0.162562985281385 , -0.592892280324402 , 0.373046661077096 , -0.303805649771523 , 0.71521769367075 , -0.538619416757523 , 1.90723776020753 , 0.406081317469837 , -0.463345484507877 , 0.606917679918149 , -0.209163485409962 , 1.12456687392032 , 0.675707440707432 , 0.134457560778242 , 0.0359176204771416 , 0.297217597214974 , -0.259155002626536 , 0.339182573473891 , 0.0125179407901698 , -0.624742053723987 , 0.72716998772196 , -1.05309906015042 , 1.78758587133879 , 1.16541707113866 , 1.33674340536454 , 0.624381285313297 , 1.90867651322937 , 0.397464137882259 , 0.804379279734028 , 0.303875910677889 , 0.445034317239014 , 0.525570579109518 , 0.76938585206242 , -0.252565479746192 , 0.200897586231273 , -1.05888932115159 , 0.390830715522143 , 1.8976510227155 , -0.00666310996370667, 0.673114538554773 , 1.16750195762454 , 0.0855396045786891 , 0.918267228320837 , 1.78978089353445 , 1.36593892088491 , 0.871782382480623 , -0.205633440348431 , 0.88257959869025 , -0.930555268939865 , 0.402789162006657 , -0.463977025449424 , 0.514609293185084 , -0.156680102183184 , 1.4550151729969 , -0.960094647317659 , -1.42016831866003 , 1.10724238781452 , 0.594972596941378 , 0.582543118456652 , 1.89037694549491 , 1.03581335553858 , -0.156584528471361 | 0.0090960 |
| 37 | 20 | 0.0 | 0.0 | 0.5 | control , control , control , control , control , control , control , control , control , control , control , control , control , control , control , control , control , control , control , control , intervention , intervention , intervention , intervention , intervention , intervention , intervention , intervention , intervention , intervention , intervention , intervention , intervention , intervention , intervention , intervention , intervention , intervention , intervention , intervention , -0.890750492254581 , -0.590146598542625 , -0.262787968409496 , -0.0280010876745292, 0.0429661156816284 , 0.36292827059441 , 0.761413229992019 , -1.03761340395412 , -0.232526849389228 , -0.583705974829225 , 0.36853529189906 , -0.281098016460839 , 0.0498107174529079 , 0.271251245046331 , 0.533019625192337 , -0.373709595154486 , -0.296344109474152 , -0.0587181863436061, 0.329032812178864 , -0.957543128842467 , 0.364764287974374 , 0.998413828302264 , -0.363049720504377 , 0.246707186550575 , -0.120793013599966 , -0.172272495727102 , -0.368491414950143 , -0.481717311028383 , 0.378828626674359 , -0.2505137780986 , 0.00584337931791183, -0.703543193260332 , 0.104887417770956 , -0.419021623422765 , 0.0509949773402179 , 0.79151696120708 , 0.0319860658867307 , 0.455167239109505 , 0.20508928392526 , -1.01519840448156 | 0.4098372 |
| 37 | 20 | 0.0 | 0.0 | 1.0 | control , control , control , control , control , control , control , control , control , control , control , control , control , control , control , control , control , control , control , control , intervention , intervention , intervention , intervention , intervention , intervention , intervention , intervention , intervention , intervention , intervention , intervention , intervention , intervention , intervention , intervention , intervention , intervention , intervention , intervention , 0.982580415033592 , -0.271567271528182 , -0.358092980033597 , -0.937939049904271 , 0.589860488961081 , 1.01143550640888 , 0.353355950962146 , 0.419620099068988 , 1.05146132554927 , -0.606719780846166 , -1.93041534324948 , -0.0603359378822072, 0.704665748669917 , -0.560238549080782 , 1.75594949515779 , -0.582282978068531 , 0.37572663322296 , 0.0934598749578222 , -0.129449988729379 , -0.115405230597766 , -0.105565647670109 , -0.530431247242491 , 1.11277925733259 , -0.99740595570904 , 1.41108603236592 , -1.12827213763379 , 0.793997512205853 , 1.31689367926674 , 0.76153474091851 , 0.192688857702189 , -0.338727969151564 , 0.0423142715132491 , -0.193291177385524 , 0.834810707682094 , -0.640603759105727 , -1.47589934150993 , -1.87488204012944 , -0.712966849527099 , -0.303661079968197 , 0.474622389028069 | 0.5764839 |
| 37 | 20 | 0.0 | 0.1 | 0.5 | control , control , control , control , control , control , control , control , control , control , control , control , control , control , control , control , control , control , control , control , intervention , intervention , intervention , intervention , intervention , intervention , intervention , intervention , intervention , intervention , intervention , intervention , intervention , intervention , intervention , intervention , intervention , intervention , intervention , intervention , -0.0584630101230357, -0.0623466209872652, -0.555731837672822 , 0.55068903369647 , 0.413060928600636 , 0.23026634570771 , 0.211612128896356 , 0.627548562279779 , -0.579962926432308 , 0.542087350162501 , 0.493327764484671 , -0.511081461201418 , -0.458562736085978 , 0.244045113385622 , 0.0580282033429944 , 0.869424386827614 , -0.373356462878979 , 0.109180887030902 , -0.647747014266516 , 0.817939085981426 , -0.222716543150069 , 0.510912499200944 , -1.4948503832609 , 0.250598673183497 , 0.482572114007093 , -0.103524777927702 , -0.151816977984865 , 0.208853112837996 , 0.1727476218875 , -0.100040494194108 , 0.0382304973823834 , 0.377798187635608 , 0.591117081378715 , -0.345340142024952 , 0.452444316514534 , 1.34979135589468 , 0.748013339911935 , -0.0478413570437648, -0.215085580597426 , 0.926676845104965 | 0.6597151 |
| 37 | 20 | 0.0 | 0.1 | 1.0 | control , control , control , control , control , control , control , control , control , control , control , control , control , control , control , control , control , control , control , control , intervention , intervention , intervention , intervention , intervention , intervention , intervention , intervention , intervention , intervention , intervention , intervention , intervention , intervention , intervention , intervention , intervention , intervention , intervention , intervention , 0.84336688383387 , -0.0805364361757325 , 0.364234903007346 , -0.239835104292817 , 0.239154616288186 , -0.232292621101417 , 0.740744682485144 , 1.15732009864455 , 0.506151307157396 , 1.4394146595795 , 1.11720917952002 , 0.61050917337059 , 1.07394151218827 , -0.343283144779145 , -1.57592049099257 , -0.23737821551555 , 1.13699390376461 , 0.398836449915648 , -0.899556760715912 , -0.906773715434083 , -1.22588082233705 , -0.399128351097414 , -0.434764078109993 , 0.833009335833109 , -1.52540532515435 , -0.538725273550181 , -0.0976472957130981 , -0.926058441452799 , -0.914318201473167 , 0.902252303703714 , -1.45732491211427 , 0.214695381670104 , 0.0515364441627508 , -0.00699405382304332, 0.60109594280107 , 0.430293363941913 , -0.623549099156477 , 1.18966391644835 , -0.122965683150836 , -0.183547329625626 | 0.0695882 |
| 37 | 20 | 0.5 | 0.0 | 0.5 | control , control , control , control , control , control , control , control , control , control , control , control , control , control , control , control , control , control , control , control , intervention , intervention , intervention , intervention , intervention , intervention , intervention , intervention , intervention , intervention , intervention , intervention , intervention , intervention , intervention , intervention , intervention , intervention , intervention , intervention , -0.469561850823164 , 0.0301843295406362 , 1.13795574482419 , 0.0457781337246542 , 0.398632545040034 , 0.549918065244182 , 0.147536441719794 , 0.390772651523436 , 0.445721683134541 , -0.475117021331425 , 0.121330785810181 , 0.156968945019286 , 0.496035223743929 , -0.079237369684201 , -0.0376815100741966, 0.220780128775302 , -0.62280430980625 , -0.0690130664667261, 0.181913090940193 , -0.210751979959357 , 0.214977974122702 , 0.957190605231634 , 0.786527393027598 , -0.496180727539977 , 0.293464608066078 , 1.18871631417839 , -0.200414013501633 , 0.876674809851327 , 0.592208106288145 , -0.599618162708165 , 0.323392144143729 , 0.929490725441834 , 0.642518459346398 , 0.520659831467004 , 0.701698786994222 , 0.554813671450178 , 0.396296283823274 , 0.509756958505825 , 0.525231268645216 , 1.04135615768595 | 0.0117663 |
| 37 | 20 | 0.5 | 0.0 | 1.0 | control , control , control , control , control , control , control , control , control , control , control , control , control , control , control , control , control , control , control , control , intervention , intervention , intervention , intervention , intervention , intervention , intervention , intervention , intervention , intervention , intervention , intervention , intervention , intervention , intervention , intervention , intervention , intervention , intervention , intervention , 1.05691927537185 , -0.730958255393896, -1.65070088647947 , -1.48713920801057 , 0.303727380905166 , 0.755090434449348 , -0.127197930794056, 0.630419263230205 , 0.930147880998181 , 1.51669992459427 , -0.749524855856456, 0.971714086126347 , 0.600509923901736 , -1.32574367724966 , 1.10133235979158 , 0.175233128907561 , 0.711686540315343 , 0.210364651438701 , 0.987205791090622 , 0.456134137531005 , 0.226590387141687 , 1.5399101250633 , -0.21375837506938 , -2.26078539050888 , -0.398549150502172, 1.17582661656738 , 0.975465881153314 , -0.843883253339718, 0.795894071613393 , 0.780351972146163 , 2.25217373286235 , -1.649476915903 , 0.770440365393276 , -2.17326564111828 , 0.76788712549169 , -1.38474673723963 , 3.05289134996403 , 1.48945090195303 , -1.03342006668361 , 0.750026692349392 | 0.9708405 |
| 37 | 20 | 0.5 | 0.1 | 0.5 | control , control , control , control , control , control , control , control , control , control , control , control , control , control , control , control , control , control , control , control , intervention , intervention , intervention , intervention , intervention , intervention , intervention , intervention , intervention , intervention , intervention , intervention , intervention , intervention , intervention , intervention , intervention , intervention , intervention , intervention , -0.722538681536404 , -0.107678999178896 , -0.678773732009355 , 0.089177896727322 , 0.427854358571384 , 0.621487789778095 , -0.368675528627226 , -0.235151427117074 , 0.135756935237329 , 0.525464592727179 , -0.965130933325816 , 0.45131528720668 , 0.201993834491757 , 0.378776690774844 , 0.680555885547775 , -0.329302957946135 , 0.352836026439985 , 0.770945015096664 , 0.0530150153570619 , -0.281024316792489 , -0.787837296070367 , 0.666914121526145 , 0.152235267512584 , -0.537556170907504 , 0.838370800916552 , 1.07708992684328 , 0.482736844954737 , 0.0595635207112202 , 0.945127549113192 , -0.407011447638097 , 0.466434714043898 , 0.343359191418431 , -0.286115602982204 , 0.430939531045969 , 1.02308318698505 , 0.150695168187346 , -0.0895743110356901, 0.578054109811183 , 0.895203380677983 , -0.042078655021957 | 0.1399147 |
| 37 | 20 | 0.5 | 0.1 | 1.0 | control , control , control , control , control , control , control , control , control , control , control , control , control , control , control , control , control , control , control , control , intervention , intervention , intervention , intervention , intervention , intervention , intervention , intervention , intervention , intervention , intervention , intervention , intervention , intervention , intervention , intervention , intervention , intervention , intervention , intervention , 1.34447374689549 , -0.229735601981768 , -0.945607235635736 , -1.68335264043733 , 0.928054327824109 , -1.0088297435267 , -0.933489685973958 , -0.482295696873235 , 0.368817497236132 , -0.710983481879348 , 0.146340992364885 , 2.08827918974423 , -1.75362734903839 , 0.0121421862227071 , -1.12152001913594 , -0.188871262082874 , 0.541184729918428 , -0.0633830069874562, -0.764361063554883 , -0.166366081363576 , 0.490568336863829 , 0.382064836264134 , 0.529808421623107 , 0.841164551478862 , -1.4230949553486 , 0.886416761046408 , -0.459471943855016 , -0.0548938216481845, -0.507860114967376 , 1.16614714712901 , 0.96613118421727 , 2.07810338315608 , -0.567596445257635 , 1.22835362908209 , 0.493873892139521 , -0.283838115783677 , -1.25518969122721 , 0.111737722421549 , 0.125665835515091 , 2.41852647538184 | 0.0634152 |
| 37 | 50 | 0.0 | 0.0 | 0.5 | control , control , control , control , control , control , control , control , control , control , control , control , control , control , control , control , control , control , control , control , control , control , control , control , control , control , control , control , control , control , control , control , control , control , control , control , control , control , control , control , control , control , control , control , control , control , control , control , control , control , intervention , intervention , intervention , intervention , intervention , intervention , intervention , intervention , intervention , intervention , intervention , intervention , intervention , intervention , intervention , intervention , intervention , intervention , intervention , intervention , intervention , intervention , intervention , intervention , intervention , intervention , intervention , intervention , intervention , intervention , intervention , intervention , intervention , intervention , intervention , intervention , intervention , intervention , intervention , intervention , intervention , intervention , intervention , intervention , intervention , intervention , intervention , intervention , intervention , intervention , 0.439497977198212 , -1.12227266447476 , -0.349169164931705 , 0.15388998848496 , 0.331306443936114 , -1.27335612797895 , 0.473208751556263 , 0.591105093529205 , -0.447762014835749 , 0.0184392509591013 , 0.158408822408026 , -0.000401476282222003, 0.37790058434009 , 0.994892404197191 , -0.532889258263229 , 1.03599242542161 , -0.0297192930379897 , 0.00305400795179194 , -0.181146032783918 , -0.679016189116888 , -0.110168902767997 , 0.180751880833987 , 0.0805739639711094 , 0.294842030109683 , -0.223162578222142 , 0.219560503180099 , -0.136698714876306 , 0.302142321088582 , 0.320769137211099 , -0.249770114499543 , 0.345993087730226 , -0.00357756537356869 , -0.0645937283530381 , -0.265961689326541 , 0.186920360751222 , 0.0938841532358812 , 0.272062956542122 , -0.278619342502012 , 0.211680128438426 , -0.461106539657862 , -0.0384051137251406 , 0.117891029947538 , -0.42569859514103 , -0.680648598622161 , -0.352800477280735 , 0.898424337319606 , -0.0997628927841578 , 0.945522960695734 , -0.0674596150923919 , -0.355528087435119 , -0.674525713618536 , 0.666814723695977 , 0.139869152121265 , 0.308931738675558 , 1.02318314283541 , -0.122440073267532 , -0.495968786002253 , -0.22047929053044 , -0.36242464678244 , -0.312411473296922 , -0.535149030706071 , 0.0658973975901901 , -0.293544725621866 , 0.124630656347746 , -0.190666885759474 , 0.650484336209691 , 0.150947018820192 , 0.238922681343561 , 0.0227661101455927 , -0.714771603277397 , 0.102447587017311 , -0.522238363244005 , 0.636198834877238 , -1.17802358551365 , 0.219844579382542 , 0.145450928061538 , 0.195158879729437 , 0.437315530381286 , 0.506643672028291 , -0.0575989962029097 , -0.345947912367559 , 0.353928887776108 , 0.790503759246066 , 0.492700408608572 , 0.312101987466948 , -0.16563006855955 , 0.118979197859752 , 0.0740763049254465 , 0.187306340588891 , -0.14345967801304 , 0.456395034135268 , -1.06272991244745 , 0.65319122222789 , -0.162116964609491 , -0.754654644655876 , 0.844476341521293 , -0.610480485034891 , -0.30930832158517 , 0.455320893737977 , -0.0738317502496125 | 0.9260394 |
| 37 | 50 | 0.0 | 0.0 | 1.0 | control , control , control , control , control , control , control , control , control , control , control , control , control , control , control , control , control , control , control , control , control , control , control , control , control , control , control , control , control , control , control , control , control , control , control , control , control , control , control , control , control , control , control , control , control , control , control , control , control , control , intervention , intervention , intervention , intervention , intervention , intervention , intervention , intervention , intervention , intervention , intervention , intervention , intervention , intervention , intervention , intervention , intervention , intervention , intervention , intervention , intervention , intervention , intervention , intervention , intervention , intervention , intervention , intervention , intervention , intervention , intervention , intervention , intervention , intervention , intervention , intervention , intervention , intervention , intervention , intervention , intervention , intervention , intervention , intervention , intervention , intervention , intervention , intervention , intervention , intervention , -1.55684916863258 , 0.00126877178743539 , 0.169710402915901 , 0.796939273735154 , -0.296499050653254 , 0.336414014751239 , -0.644861644574259 , -0.115460683160482 , -0.469702463914424 , -0.665617049434981 , -0.4875264010748 , -1.16228184010225 , -0.362174363202844 , -0.711213639421054 , 0.263192076792688 , -0.40971392089525 , -0.286375927013176 , 0.417358424856166 , 0.666606105229989 , -1.59991772285652 , 0.452138922904702 , 0.376030960140493 , 0.00435722847704289 , -1.63356597804526 , 0.69393586593047 , 2.20994248028853 , -0.416862693988701 , -0.277958109099545 , 0.343650206241899 , 1.28177548144899 , -0.110003959253324 , 0.050575850869462 , -0.815461062810108 , 0.336990969526828 , -0.667017042394312 , 1.05890997161092 , 0.77083018028168 , 1.05260405263662 , -0.313797742749411 , 0.552125560881637 , 0.0228791786276173 , 1.17459774221242 , 0.427657175386065 , -0.62484591538408 , -0.551322529485594 , -0.479315204468842 , 2.02744384672691 , -2.0260775285845 , -0.697208020633521 , -0.976895678696735 , 1.7344765351291 , -1.00159547989118 , -0.596771248294702 , -1.46218196073929 , 2.06681698092354 , 0.520399244256455 , 1.67596151685303 , 0.517206747413257 , -0.845267159998647 , 0.468534993981587 , 0.199303121530327 , 0.756684940472352 , -1.96141421766563 , 1.17465007640405 , -1.16193154807452 , -0.0743786501156147 , 0.392340604027644 , 0.28693946200351 , -0.749404715830931 , -0.877770366946779 , -0.34609369631387 , 2.12143681994269 , 0.347471941509533 , -0.363405065780234 , 0.484518934113916 , -0.548456631781243 , 0.608751341329299 , -0.623226188752335 , 1.9215765435852 , 0.945571277378583 , -1.226221731441 , 0.966671565848566 , -0.734463570437762 , -1.33338631710735 , -1.01124798916844 , -0.342279258974631 , 0.615008335880268 , 1.23380055605745 , -0.411977794060442 , -0.337705392289847 , -0.474237266578146 , -0.242354506493146 , -0.467527233108008 , -0.00471386738258565, -0.415006579985667 , -0.669638808781631 , 1.26474842433845 , -0.590294048713877 , -1.81091862006904 , -0.238196638101624 | 0.8105675 |
| 37 | 50 | 0.0 | 0.1 | 0.5 | control , control , control , control , control , control , control , control , control , control , control , control , control , control , control , control , control , control , control , control , control , control , control , control , control , control , control , control , control , control , control , control , control , control , control , control , control , control , control , control , control , control , control , control , control , control , control , control , control , control , intervention , intervention , intervention , intervention , intervention , intervention , intervention , intervention , intervention , intervention , intervention , intervention , intervention , intervention , intervention , intervention , intervention , intervention , intervention , intervention , intervention , intervention , intervention , intervention , intervention , intervention , intervention , intervention , intervention , intervention , intervention , intervention , intervention , intervention , intervention , intervention , intervention , intervention , intervention , intervention , intervention , intervention , intervention , intervention , intervention , intervention , intervention , intervention , intervention , intervention , 0.725446656981836 , -0.481341359203213 , -0.600976579379513 , -0.153334304882517 , 0.653775583618354 , -0.474402329869664 , -0.351263342266255 , 0.143611130843077 , 0.865852181139698 , 0.307567165660808 , 0.244514184265243 , -0.181922217334239 , 0.18973730540161 , 0.075756738637851 , 0.35346070352012 , 0.32684838725455 , -0.351934455106941 , 0.500074447443994 , 0.0481922321292866 , 0.656708132159835 , 0.544581399524529 , 0.293241140480739 , 0.327185719581636 , 0.167328987996709 , 0.444689042192047 , 0.6201180308726 , -0.456377970547334 , 0.442891867113949 , -0.653195950367972 , -0.037230640630438 , -0.531686171845595 , 0.0144086224379718 , 0.426317954405697 , -1.28952304618844 , 1.07651235085255 , -0.769637795910784 , -0.193178092069743 , 1.09891685402388 , 0.278596762529015 , -0.0162283305750618, -0.373459066087604 , -0.0195464248230954, -0.340944760818293 , 0.176851611712901 , 0.423637266049547 , 0.0505280099105555 , 0.618875336085733 , 0.787466299875902 , 0.280278255930143 , -0.298924214723209 , -0.0489946890053226, 0.655441977153251 , -0.704782942486469 , 0.212942016880676 , 0.110288245526415 , -1.00475941263072 , -0.0936411138791644, -0.385428397712159 , -0.245235822604022 , -0.158065631103421 , 0.13118761023103 , 0.268998035762254 , 0.178016445650125 , 0.160811924653636 , 0.206854253842081 , 0.670755342675262 , 0.648132798851672 , 0.212152240076122 , 1.10015632159201 , 0.77380272742777 , -0.676702124682323 , -0.0663087326238453, 0.165462404250715 , -0.19048155656029 , -0.835391260886789 , 0.241225004118891 , 0.0371447260658958 , 0.273123204654308 , -0.30602065222177 , 0.925914723142351 , -0.0882932747940244, -0.517907797820006 , -0.289604821970194 , -0.883619961035654 , 0.0442493169650148 , -0.732969880147861 , -0.73312690706263 , 0.939135835576991 , 0.165887098294623 , 0.65949693843519 , -0.412118579934831 , 0.0207414225480506 , 0.215105591481164 , 0.125423369691659 , 0.686537986681148 , -0.745094216893771 , 0.0774717289067203 , -0.763379976734795 , 0.372779021046415 , 0.600618206631401 | 0.3699257 |
| 37 | 50 | 0.0 | 0.1 | 1.0 | control , control , control , control , control , control , control , control , control , control , control , control , control , control , control , control , control , control , control , control , control , control , control , control , control , control , control , control , control , control , control , control , control , control , control , control , control , control , control , control , control , control , control , control , control , control , control , control , control , control , intervention , intervention , intervention , intervention , intervention , intervention , intervention , intervention , intervention , intervention , intervention , intervention , intervention , intervention , intervention , intervention , intervention , intervention , intervention , intervention , intervention , intervention , intervention , intervention , intervention , intervention , intervention , intervention , intervention , intervention , intervention , intervention , intervention , intervention , intervention , intervention , intervention , intervention , intervention , intervention , intervention , intervention , intervention , intervention , intervention , intervention , intervention , intervention , intervention , intervention , 0.196759759385541 , -0.117824866254068 , -0.507440511725904 , 0.423663598243704 , -0.703631579046286 , 0.522004513480433 , 1.00693831771647 , 1.34874887302518 , 0.568018626229372 , -0.245609331350422 , 0.0576968999831798 , -0.221391711917013 , -1.34991567138086 , 0.183032845364203 , 1.48694529815688 , -0.516541554006005 , 0.508893542515977 , 1.66151619416425 , 0.162450684361741 , 1.67859863628592 , 0.299411823837152 , 0.0696760781666685 , -0.298193901297556 , 0.832061809410076 , -0.421908455552555 , 0.338265943908099 , -0.792980669294536 , -0.174580965345901 , -0.459078951391562 , -0.701361436775576 , 1.21226359776702 , 0.957917460318658 , 0.00432934581369382, -0.524329030452468 , 1.35839538875904 , -0.254739048769993 , -1.05077616845148 , 2.69896995350124 , 1.04895916480164 , -0.262379870132322 , -1.70819354417241 , -0.324097034805603 , 1.17700649767559 , 1.72921188847014 , 0.00376437216706629, -0.463869098412567 , -1.57638481237621 , -1.73144349998447 , 0.278768725497387 , 0.757141494996829 , -0.471071748742919 , -0.570345802390956 , 0.410553933408077 , -1.6967345432431 , 0.680920144483923 , -0.650067032767456 , -0.772115423601688 , 0.767654882320045 , -1.41396305522956 , 1.09460829488497 , -0.50822633446049 , 0.191234618906353 , -0.447382487521547 , -0.196349719375655 , 0.443912706980107 , -1.49989497908745 , -0.827407307032661 , 0.158587615740427 , 0.455147615846793 , -0.502370704207416 , 1.70900742456506 , 0.364778330505519 , 0.195358686847425 , 0.433160013607234 , -1.2111767828648 , -0.208512632014194 , -0.606159579858753 , 0.157466718793717 , -0.492900337873306 , 0.51892978452907 , -0.414319524032541 , 0.500084692249399 , -0.369440190659951 , 0.820888906658131 , -1.01766549080047 , 0.110898102232363 , -1.10917500252085 , -1.33568100585623 , 0.0499185189324807 , -0.144330204612486 , -0.877613176590152 , -0.724118070394766 , -1.05254167855882 , 0.803332065253292 , -0.417262394498028 , -0.512198188727302 , 0.536752438600033 , 0.84152983394824 , 1.25224881652039 , 0.705254307279403 | 0.0860280 |
| 37 | 50 | 0.5 | 0.0 | 0.5 | control , control , control , control , control , control , control , control , control , control , control , control , control , control , control , control , control , control , control , control , control , control , control , control , control , control , control , control , control , control , control , control , control , control , control , control , control , control , control , control , control , control , control , control , control , control , control , control , control , control , intervention , intervention , intervention , intervention , intervention , intervention , intervention , intervention , intervention , intervention , intervention , intervention , intervention , intervention , intervention , intervention , intervention , intervention , intervention , intervention , intervention , intervention , intervention , intervention , intervention , intervention , intervention , intervention , intervention , intervention , intervention , intervention , intervention , intervention , intervention , intervention , intervention , intervention , intervention , intervention , intervention , intervention , intervention , intervention , intervention , intervention , intervention , intervention , intervention , intervention , -0.283620718503506 , -0.291387452348571 , -1.09609142496835 , 0.151290056019364 , -0.217861730522114 , 0.470279578378202 , 0.287268820196596 , -0.114098798567065 , -0.0195706607691012 , -0.0757278690107691 , -0.451862962186916 , 0.310413240563428 , -0.650174626218506 , 0.126130409075457 , 0.0182243432411913 , -0.147598107912855 , -0.00188323305718958, 0.815402586153302 , -0.58499755736952 , 0.508063432968192 , 0.0006869507436447 , 0.236733123685863 , -0.43286198219267 , 0.0612872088165987 , -0.0323981706426248 , -0.480285952673523 , 1.74585062264707 , 0.10082051696847 , -1.0955951946709 , 1.0874752658878 , -0.302039125031092 , -0.124947775507034 , 0.905699490301848 , -0.557478796753674 , 0.627191342823892 , 0.292671127740575 , -0.458619950672335 , 0.223589109819607 , 0.153886296560521 , -0.72682845845388 , -0.254001815756814 , 0.743000776551998 , 0.430991940945511 , -0.171619885846919 , 0.0646612164760639 , 0.28106306848583 , 0.29617303581256 , 0.565414740057182 , -0.526860755418776 , -0.282811958039673 , 0.336872216280147 , 0.599880397493856 , 0.480159291432562 , 0.648966902909243 , 0.827781666201847 , 1.4639730049388 , 0.247655699779813 , -0.0496691456772648 , 0.566441440172118 , 0.0350401945753265 , 1.28783309854379 , 0.770665783070679 , 0.585979882716157 , 1.22122837164259 , 0.0465749162473769 , 0.868760099624964 , -0.492452788371063 , -0.305254353545638 , 0.115044662606317 , 0.68569903195704 , 0.164040462119528 , 0.222140276139154 , -0.27281622333699 , -0.533713860605239 , 0.358684474561329 , 1.23974366106344 , 0.897790576630864 , 1.1543188985277 , 0.301870110928314 , 0.444378687627081 , 0.58596589193905 , -0.154665407981734 , -0.430878725924812 , 0.477323683675244 , 0.668076901196801 , -0.0991577795748078 , 0.558956414137312 , -0.63887769583793 , 0.092182800906783 , 0.0803036936719156 , 1.67627175819756 , -0.575751889422952 , 1.47636940230228 , -0.437391666806634 , 0.648947986556098 , 0.650144649199128 , 0.0975776755085984 , 0.108956200446484 , 1.15115206073369 , 1.13009140741432 | 0.0005817 |
| 37 | 50 | 0.5 | 0.0 | 1.0 | control , control , control , control , control , control , control , control , control , control , control , control , control , control , control , control , control , control , control , control , control , control , control , control , control , control , control , control , control , control , control , control , control , control , control , control , control , control , control , control , control , control , control , control , control , control , control , control , control , control , intervention , intervention , intervention , intervention , intervention , intervention , intervention , intervention , intervention , intervention , intervention , intervention , intervention , intervention , intervention , intervention , intervention , intervention , intervention , intervention , intervention , intervention , intervention , intervention , intervention , intervention , intervention , intervention , intervention , intervention , intervention , intervention , intervention , intervention , intervention , intervention , intervention , intervention , intervention , intervention , intervention , intervention , intervention , intervention , intervention , intervention , intervention , intervention , intervention , intervention , 1.47816481539793 , 1.49708790368916 , -0.111786364004238 , 0.147872034711057 , 1.65042261428252 , -1.25488015922897 , 0.801192198810095 , -0.152715558559667 , -1.3910579936933 , 1.47315553035321 , -1.31220549564789 , -1.19163298351007 , 0.356045693408111 , 1.56902178478372 , -1.05204376334916 , 1.42494315804988 , 0.212777840796428 , -0.720614366353769 , -1.79447154808926 , 0.574026447328401 , 1.77569330250668 , 0.701878553776004 , 0.385753120553619 , 0.404600921672858 , 0.665727817382676 , 0.0348949830978653 , 1.84177797227033 , -0.150165711341924 , -0.141394835661277 , -1.40667253562382 , 1.77221173481855 , 1.87033371865789 , -0.693232957576894 , -3.88722095349256 , 0.982700783926994 , -0.306535870112072 , -2.19615596131049 , -0.196870733665457 , 0.0879194719333193 , 0.1469434903783 , 1.7251737282825 , -1.17234150356555 , -0.0211115926291458, 0.744470845919646 , 0.426832454045996 , 0.437614632996274 , -2.43791598402577 , -0.437879656273204 , -1.56113178808276 , -0.809608802406409 , 1.13099772603864 , 0.400344141342075 , 0.0392339807778136 , -1.48363863067382 , 0.723581782797652 , 0.770874626924578 , -0.493744670846986 , 0.0720200753109665 , 2.16037183421371 , -0.91743880281738 , 0.0316772446086138 , 0.536080922531762 , 0.940927792968818 , 1.24063045611483 , -0.29615146299888 , 1.91580251569132 , 2.68300776680085 , -0.919096180442566 , 1.1422028436049 , 0.873918529967836 , 0.995571125305583 , 0.915258932381308 , 1.03818946355603 , -0.263189741856375 , -0.194224383190662 , 2.75837415593907 , 0.564907072087454 , 0.617821887134045 , 2.34960826444406 , -0.352199864847081 , 0.86320471180469 , 0.917783411531198 , 0.937262557894985 , 1.94860707856946 , 0.848203219435397 , -1.15619099096354 , 0.588113822654712 , 0.607333785968141 , 1.04602958459036 , -2.17900221712343 , 0.437480438132871 , -0.510202376229658 , 0.894658370618476 , -0.407121175225419 , -1.75498425377203 , 0.669219228748846 , 1.01856338888503 , 0.356843580072145 , -0.674784337875186 , 1.54711044698302 | 0.0415218 |
| 37 | 50 | 0.5 | 0.1 | 0.5 | control , control , control , control , control , control , control , control , control , control , control , control , control , control , control , control , control , control , control , control , control , control , control , control , control , control , control , control , control , control , control , control , control , control , control , control , control , control , control , control , control , control , control , control , control , control , control , control , control , control , intervention , intervention , intervention , intervention , intervention , intervention , intervention , intervention , intervention , intervention , intervention , intervention , intervention , intervention , intervention , intervention , intervention , intervention , intervention , intervention , intervention , intervention , intervention , intervention , intervention , intervention , intervention , intervention , intervention , intervention , intervention , intervention , intervention , intervention , intervention , intervention , intervention , intervention , intervention , intervention , intervention , intervention , intervention , intervention , intervention , intervention , intervention , intervention , intervention , intervention , -0.431024477518832 , 0.618105220369896 , 0.092215278840596 , 0.765536463650339 , 0.406680523258175 , -0.447714760493991 , 0.177822069175636 , 0.39198722917471 , -0.326983508181136 , 0.644637297314727 , 0.633833999967277 , 0.546076116334419 , -0.156957916521626 , 0.976245658374797 , -0.463977814433421 , 0.510883742806315 , -0.616554674151713 , -0.406358201877736 , 0.0980359590631192 , -0.0327130773862494, 0.440149739704091 , 1.33654138933918 , -0.411998424314013 , 0.0107672190688949 , 0.731741513104733 , -0.885758631687408 , 0.604692704002264 , 0.23998977984747 , -0.6402626907499 , 0.508311312857932 , -0.249185387400092 , -0.464608196609815 , -0.076645542551494 , 0.770880502636201 , -0.376598671311657 , 0.0676838423432645 , -0.796121246579878 , -0.335760452931185 , -0.37743952225868 , -0.237459110044336 , -0.548015174568573 , 0.633709784078031 , 0.472029889347024 , -0.575596585551511 , -0.194512349770893 , 0.847216336646472 , 0.107461426342889 , -0.382506009314939 , 0.587520177683663 , 0.446610243855685 , -0.350325867658358 , 0.756494110168984 , 0.469713087893847 , 1.11523847353695 , 0.0885038822658802 , 0.888569350704803 , -0.253274965373132 , 0.91754218742777 , 0.802903054007431 , 1.07951402498365 , 0.49847911163809 , -0.293426464144566 , 0.0917424914054629 , 0.453118621990037 , 0.376027532119079 , 0.722590792063921 , 0.0855086307443189 , 0.229509249181698 , 1.01607080648061 , 0.980112897436236 , 0.197892672775679 , 0.487128692473927 , 0.231943340317196 , 0.0906598561340471 , 0.367334829443955 , 0.689515445020594 , 0.168118583158616 , 0.969022602621726 , 1.10155837846449 , 1.52370606422577 , 0.201029604264377 , 0.462121573207514 , 0.30070259991506 , 0.241850629725642 , 1.40222414342136 , 0.240624226309771 , 1.97810632831294 , 0.0508696196764179 , 0.505144135504286 , 0.188937413222041 , 0.741382854642576 , 0.587104902427335 , 0.681532458100891 , 0.10535225844278 , 0.772053568554897 , 1.42435560095411 , 0.626385721400674 , -0.0678727157348624, 1.34763421603757 , -0.156631940229884 | 0.0000260 |
| 37 | 50 | 0.5 | 0.1 | 1.0 | control , control , control , control , control , control , control , control , control , control , control , control , control , control , control , control , control , control , control , control , control , control , control , control , control , control , control , control , control , control , control , control , control , control , control , control , control , control , control , control , control , control , control , control , control , control , control , control , control , control , intervention , intervention , intervention , intervention , intervention , intervention , intervention , intervention , intervention , intervention , intervention , intervention , intervention , intervention , intervention , intervention , intervention , intervention , intervention , intervention , intervention , intervention , intervention , intervention , intervention , intervention , intervention , intervention , intervention , intervention , intervention , intervention , intervention , intervention , intervention , intervention , intervention , intervention , intervention , intervention , intervention , intervention , intervention , intervention , intervention , intervention , intervention , intervention , intervention , intervention , 1.77039752263371 , -0.737293703529365 , 0.49407514458209 , -0.67321940312895 , 2.17517057404351 , -2.08488491388831 , 2.36219604786053 , -0.0522734881294135 , -0.338075575419941 , 1.20200542232354 , 0.983115406624462 , -1.44272746121547 , -0.499245246712885 , -0.688615639166971 , 1.68873557028131 , -0.704773347494587 , -1.35915616086145 , -1.07693837506019 , 0.912255020276975 , -0.585810765260251 , 0.165249493783143 , -0.124772085389171 , 0.667411287797603 , 0.976033242854736 , 1.52862144473154 , 1.85975546719076 , 0.611245090850627 , 1.98036737441457 , 0.292311254149126 , -0.135770859570944 , -1.13097035251037 , -0.0766462220769609 , 0.234621531823283 , -1.5159210213095 , -0.227233539181353 , 0.42510572785729 , -1.00437848861796 , -0.414245174901298 , 0.628908063620057 , 1.15299211870678 , 0.810944792105727 , 0.716598506976683 , 0.906846553752587 , -0.33140005810893 , 0.754484696460388 , -0.285910124267219 , 1.02255625804682 , 1.75669373286135 , 0.257202450345161 , 0.209186296135019 , 2.69462307675587 , -0.0169730645710766 , 0.894336221492736 , -0.358363014673597 , 0.806002461615426 , 0.82008450784106 , 0.114948912457163 , 1.91257197208226 , 0.713038974671024 , 0.632067252782827 , 0.610003234175103 , 0.641509197762781 , 0.0616422798266071 , 0.516911077591379 , 2.1302442686685 , -0.239924538342269 , 1.28393490085886 , -0.0129643109868348 , 0.568954006270812 , 0.0639597534512237 , 1.19485358255718 , 0.571478973330812 , 1.15463936081324 , 1.50910435491863 , 0.580085737647136 , -0.320853500877393 , 0.991744848753085 , 0.595175636509786 , -0.679602163461887 , 0.250163354625199 , 0.92423676615302 , 3.25755512691006 , 2.59840502119025 , 2.55798251563783 , 0.246018935191464 , -0.0787215396489122 , -0.597419393970396 , 1.13098694798161 , 0.265542787559167 , 1.43883795001411 , 6.62175535404153e-07, 0.689009085219463 , 1.85545713227429 , 0.298075830315797 , 1.60388560656228 , 0.99653123040555 , 1.31558719295544 , 0.672499636263825 , -0.0379269646125213 , -0.0911838790948485 | 0.0092610 |
| 38 | 20 | 0.0 | 0.0 | 0.5 | control , control , control , control , control , control , control , control , control , control , control , control , control , control , control , control , control , control , control , control , intervention , intervention , intervention , intervention , intervention , intervention , intervention , intervention , intervention , intervention , intervention , intervention , intervention , intervention , intervention , intervention , intervention , intervention , intervention , intervention , -0.488538373619941, -0.383549626585333, 0.0793598928401655, -0.419031035994984, 0.162459027295053 , -0.028023385375909, -0.469545706151424, -0.842722020109788, -0.108050326425935, 0.379513322572313 , 0.611459222871307 , 0.465348732125655 , -0.220063529813539, 0.0350956848436644, 0.0132033369935986, -0.369991817246286, -0.631092512056982, 0.465953100861596 , 0.111669859358574 , 0.298602418001401 , -0.927831463972117, -0.927553867350507, 0.0526550831170179, 0.982109984340065 , 0.192567248346833 , -0.314477376558299, 0.241568391103189 , -0.398120082017273, -0.587907691467246, 1.24185348101354 , -1.01240912268305 , 0.440456684546904 , 0.1809781866077 , 0.661215726963471 , 0.338584013892554 , 0.445205482152939 , 0.381703730918881 , -0.213127171431182, -0.102492116608941, 0.0835897808406278 | 0.5260609 |
| 38 | 20 | 0.0 | 0.0 | 1.0 | control , control , control , control , control , control , control , control , control , control , control , control , control , control , control , control , control , control , control , control , intervention , intervention , intervention , intervention , intervention , intervention , intervention , intervention , intervention , intervention , intervention , intervention , intervention , intervention , intervention , intervention , intervention , intervention , intervention , intervention , 0.414185211794233 , 0.408346865571145 , 0.816158398518295 , -1.12401687601975 , -0.615583927883966 , -0.876436209291073 , 1.26336039934113 , 0.161990088369543 , -0.229093804579333 , 1.67408080265406 , 0.193807705716026 , 1.20062087517455 , 1.38435036950536 , -0.274114811857213 , 0.679013507767532 , 1.01265395900552 , -0.494612106997909 , 0.402622642980181 , 0.355211260239858 , 1.08250984443642 , 0.0335474913107185 , -0.977394277526261 , -0.0777634672344864, -0.838242268588425 , 1.48061972959552 , 0.212821137222339 , -1.46940958494689 , -0.405174434459859 , -0.75419362198208 , -0.0553330111699769, 1.06359330923128 , 2.21244928156018 , 0.895617543030323 , -0.198020550288415 , 0.151476325677757 , 1.1816835368014 , -1.41217995633796 , -1.25266503072653 , -0.158859854126949 , 0.969621635090361 | 0.2419043 |
| 38 | 20 | 0.0 | 0.1 | 0.5 | control , control , control , control , control , control , control , control , control , control , control , control , control , control , control , control , control , control , control , control , intervention , intervention , intervention , intervention , intervention , intervention , intervention , intervention , intervention , intervention , intervention , intervention , intervention , intervention , intervention , intervention , intervention , intervention , intervention , intervention , 0.0502494406755949 , 0.733689328078217 , 0.72963821793107 , -0.993136655849675 , 0.178219594132406 , -0.371714669574312 , 0.754945217242322 , -0.276658593585087 , -0.242205418895409 , -0.0707097560764662, -0.390401710136859 , -0.527542967823607 , -0.538211667789467 , -0.0642178462096616, 0.116472232867898 , -0.183749279880239 , -0.118066374627457 , 0.273310607042854 , 0.781551751395235 , 0.389785109290216 , 0.275930567300217 , 1.0423669363999 , 0.25401447543235 , -0.398361497063687 , -0.180019350274855 , 0.0211228112544261 , -0.333742655966209 , 0.424634356865875 , 0.892502951427371 , -0.0754497352458885, 0.887443561983479 , 0.43654059035993 , 0.407419960809791 , -0.076234414915396 , 0.708731594280674 , 0.388390970345649 , 0.0873160960915742 , -0.0816451749678654, -0.649908638949688 , -0.0747291770448971 | 0.2215766 |
| 38 | 20 | 0.0 | 0.1 | 1.0 | control , control , control , control , control , control , control , control , control , control , control , control , control , control , control , control , control , control , control , control , intervention , intervention , intervention , intervention , intervention , intervention , intervention , intervention , intervention , intervention , intervention , intervention , intervention , intervention , intervention , intervention , intervention , intervention , intervention , intervention , 1.80705755531727 , 0.683766029221363 , -2.35713831288194 , 1.03144393676411 , 0.876071706085448 , -0.483607564290384 , 0.328325611114605 , 0.0443641827335747 , -0.334883790291375 , -0.368760212726401 , 1.53615729894263 , 1.31220092146387 , -0.0945354781021032, 0.481803852511441 , -0.261861825570279 , -0.116219595039634 , 0.393439273671497 , 0.795383506442069 , 0.949187310720227 , -0.542891178259066 , 1.42074998427096 , -0.477360784118968 , 1.66963512988175 , 1.06292230087385 , 0.727532977566936 , -0.518968222866111 , 0.847753970638968 , -0.309447944706547 , -0.145814768046511 , -1.05796819339015 , -1.83301375720065 , 0.427918525439339 , 0.980619045539997 , 1.09643849015634 , 0.143692193534935 , -1.38026146169503 , -0.874860180636415 , -0.242426953467973 , -1.36671768975494 , 0.94377766882771 | 0.4663094 |
| 38 | 20 | 0.5 | 0.0 | 0.5 | control , control , control , control , control , control , control , control , control , control , control , control , control , control , control , control , control , control , control , control , intervention , intervention , intervention , intervention , intervention , intervention , intervention , intervention , intervention , intervention , intervention , intervention , intervention , intervention , intervention , intervention , intervention , intervention , intervention , intervention , 0.203117490441364 , 0.0127486479003649 , -0.0784082160025476 , 0.208538857709045 , -0.219640289108158 , 0.213853060362959 , -0.27446991352605 , 0.0622702542793009 , 0.38251155833982 , -0.223423124595461 , 0.343726878877641 , 0.218876467817 , 0.132837821307067 , 1.00599966814452 , -0.291474264946762 , -0.120112463640544 , -0.0866949273890192 , 0.0229668475779702 , 0.72724600212851 , -0.527132391442034 , 0.128590841477681 , -0.131647940711439 , 0.270731587574071 , 0.0821083460548596 , 1.20246020968558 , 1.04790022573189 , 1.25761200298114 , 1.09536740844814 , 1.1472987204102 , 1.09122377936103 , -0.485728423136342 , 0.594696553251014 , 0.673459900410907 , -0.0741542613492728 , -0.00530345724167058, 0.634343075826142 , 0.274402948488296 , 1.44786255053196 , 0.548528810850399 , -0.414716193054705 | 0.0078669 |
| 38 | 20 | 0.5 | 0.0 | 1.0 | control , control , control , control , control , control , control , control , control , control , control , control , control , control , control , control , control , control , control , control , intervention , intervention , intervention , intervention , intervention , intervention , intervention , intervention , intervention , intervention , intervention , intervention , intervention , intervention , intervention , intervention , intervention , intervention , intervention , intervention , 0.208044550820793 , 1.11585127140417 , -0.229770814984152 , -0.54255532587147 , -1.17103009781973 , -0.754253609578297 , 0.232000589077417 , 1.15580839914456 , -0.909078482241521 , 0.91145209052874 , -0.242594584085891 , 1.85308673923999 , -0.291093551933349 , 0.976185105115028 , -0.734721566678108 , 0.322695883937278 , 0.719392903924655 , 0.410056035954362 , 0.989206889679341 , -0.348330765087035 , 0.190185510672316 , -0.988972898383065 , 1.68807826361138 , -1.04852997765442 , -0.321770904691324 , 1.10343171109498 , -0.235497416983008 , 0.255062759563815 , -1.31101634415279 , 0.09821094415696 , -0.906511939005765 , 0.375296801635044 , -0.840833241702094 , -0.660580707203006 , 0.837277470172743 , -0.0239409870932594, 0.620055826228971 , 1.85302649558008 , -0.161946032234327 , 0.475450785698334 | 0.6243868 |
| 38 | 20 | 0.5 | 0.1 | 0.5 | control , control , control , control , control , control , control , control , control , control , control , control , control , control , control , control , control , control , control , control , intervention , intervention , intervention , intervention , intervention , intervention , intervention , intervention , intervention , intervention , intervention , intervention , intervention , intervention , intervention , intervention , intervention , intervention , intervention , intervention , 0.12909225546933 , 0.0440722209410157 , -0.763233715340089 , -0.705680311611271 , 0.618894282403181 , -0.775879795606046 , 0.507805001676567 , 1.38997817975857 , -0.165516644156587 , -0.594804160952198 , 0.678319637408187 , 1.50068292090697 , 0.976549078638915 , 0.00244073559842088, 0.501834587809107 , -0.390291384569975 , -0.544621774513532 , 0.384079669260053 , 0.0489572859114529 , 0.0978500467370789 , -0.736872051473738 , 0.615808993376701 , 0.429985781424674 , 0.554917106602989 , 0.850884964375623 , -0.0539225084153769, -0.0433729533628867, 0.326913316233389 , 1.06862192380273 , 0.688332641616663 , -0.21365881153653 , -0.242858101114934 , -0.439045267461803 , 1.38820748983856 , 0.575604777466286 , 0.753682671884257 , 0.489237301717018 , 1.13896123228442 , 1.5747540100227 , 0.4637017643108 | 0.1330903 |
| 38 | 20 | 0.5 | 0.1 | 1.0 | control , control , control , control , control , control , control , control , control , control , control , control , control , control , control , control , control , control , control , control , intervention , intervention , intervention , intervention , intervention , intervention , intervention , intervention , intervention , intervention , intervention , intervention , intervention , intervention , intervention , intervention , intervention , intervention , intervention , intervention , -0.653592043321549 , -0.0957089204944943, 0.983447826549492 , 1.36629090111496 , 0.464364204653266 , -0.505140876145182 , 0.543733275846107 , 0.0584930405519024 , -0.614605100757572 , 0.945429053237921 , 0.678433793022278 , 1.83708391958231 , -0.407067909167853 , 0.478768321865368 , -1.85628959985562 , -0.0258213881073896, 0.0689551000464092 , 1.60469099596286 , 0.43474274424083 , -1.20848792487776 , 1.18391937976476 , -0.159958768056688 , 2.16625168567926 , -0.319037172096304 , 1.22388529247398 , 0.0250864418578114 , 1.60626691662194 , 0.336181327234038 , 1.33391883918636 , 2.74918157259018 , -2.25242778660161 , 1.64926914736393 , 0.934548224383561 , 0.813528133016604 , 0.274399274353566 , 1.49930278586063 , -0.144130577402722 , 0.388496840576775 , 0.270368513185579 , -0.280237508060697 | 0.1605269 |
| 38 | 50 | 0.0 | 0.0 | 0.5 | control , control , control , control , control , control , control , control , control , control , control , control , control , control , control , control , control , control , control , control , control , control , control , control , control , control , control , control , control , control , control , control , control , control , control , control , control , control , control , control , control , control , control , control , control , control , control , control , control , control , intervention , intervention , intervention , intervention , intervention , intervention , intervention , intervention , intervention , intervention , intervention , intervention , intervention , intervention , intervention , intervention , intervention , intervention , intervention , intervention , intervention , intervention , intervention , intervention , intervention , intervention , intervention , intervention , intervention , intervention , intervention , intervention , intervention , intervention , intervention , intervention , intervention , intervention , intervention , intervention , intervention , intervention , intervention , intervention , intervention , intervention , intervention , intervention , intervention , intervention , -0.202404627703066 , 0.307499158011061 , -0.716565913920342 , -0.633725653332293 , 0.200488749830634 , 0.11913742924337 , 0.396882216114566 , 0.770829071428522 , 0.366770424445128 , 0.0279371163440869 , -0.436068766930396 , -0.0645009080151868, 0.436094868206632 , -0.352724432902415 , 0.277543111148139 , 0.279112752484117 , 0.817761215065068 , 0.85261557960685 , 0.276152108583475 , -0.0979539849424502, -0.238662216093949 , -1.43451158560453 , -0.175033906439916 , -0.210368338038127 , 0.40679289082921 , 0.371126326780497 , -0.365084827903837 , -0.493634252332961 , 0.633034589698858 , -0.709356639994802 , -0.20758741088368 , 0.178806226023945 , -0.256127276658313 , 0.211094342632306 , 0.0102359969683943 , -0.553940680768163 , -0.950296633410434 , -0.809134159101167 , -0.246327843294685 , 0.347183716761317 , 0.278263886639839 , 0.045070525373302 , -0.673437297659074 , 1.10183120025486 , 0.357969700968371 , 0.586673176488038 , 0.351975672870202 , 0.196881568849523 , -0.0821823660215784, -0.440288936096834 , -0.244814048126914 , 0.0688196471644167 , -0.266046875054175 , 0.0417933162704232 , -0.367579484118782 , 0.423062066142895 , 0.34684047935962 , 0.123308859775055 , -0.0335879287055072, 0.707583076389214 , -0.499159958807364 , -0.999053362298674 , 0.021156323450968 , 0.240283771889656 , 0.168053962112131 , 0.635535647170759 , 0.928057563729336 , 0.200762418695927 , 0.0824505671403703 , 0.249023228917934 , -0.355724468214638 , -0.142670889117037 , 0.045830589137191 , -0.684587914751595 , 0.309984986834798 , -0.216138876054484 , 0.846619808590231 , 0.989986243618767 , -0.0940267559553488, -0.431665264831136 , 0.690304891002456 , -0.133173922679298 , 0.80558543298152 , 0.215577950892212 , 0.184287500955886 , -0.0577164220419725, 0.0741484302209801 , 1.3340041210742 , -0.451567067752639 , -0.197154897398575 , -0.358089436402357 , 0.0440224530732595 , 0.125191507707254 , -0.937994374086363 , -0.039788639418164 , -0.368062527222908 , -0.461943271264182 , -0.27931966212828 , -0.903966700814789 , 0.829212296473525 | 0.6444203 |
| 38 | 50 | 0.0 | 0.0 | 1.0 | control , control , control , control , control , control , control , control , control , control , control , control , control , control , control , control , control , control , control , control , control , control , control , control , control , control , control , control , control , control , control , control , control , control , control , control , control , control , control , control , control , control , control , control , control , control , control , control , control , control , intervention , intervention , intervention , intervention , intervention , intervention , intervention , intervention , intervention , intervention , intervention , intervention , intervention , intervention , intervention , intervention , intervention , intervention , intervention , intervention , intervention , intervention , intervention , intervention , intervention , intervention , intervention , intervention , intervention , intervention , intervention , intervention , intervention , intervention , intervention , intervention , intervention , intervention , intervention , intervention , intervention , intervention , intervention , intervention , intervention , intervention , intervention , intervention , intervention , intervention , -0.802821615868836 , -0.53603701257881 , 0.679844092559931 , -0.112985476378539 , -1.34957811767152 , 0.508227913319218 , -0.0668052986657886, -0.277544490828197 , 1.96803661842377 , 0.943172622088599 , -0.261215191597972 , 0.422032024601796 , -1.42400876760135 , -1.28318795807745 , -1.07012143762015 , 0.402810515910292 , -0.653816787453611 , -0.423303767663632 , -1.69490851751152 , 0.0074490778206552 , 0.614702622768325 , 0.341777250660674 , -0.774391864812906 , 0.630814565766855 , -0.675829426730996 , -0.365644603124229 , -1.44057395661561 , -0.678199255145317 , 1.38638527939587 , -1.38890996783572 , 0.0130960892663765 , 0.443602112174857 , 1.69224052750727 , -0.612720232652284 , -0.131976008021757 , -0.916694039715207 , -0.0918660538139873, 0.585566805164508 , -0.0230937162877293, -0.36295946958044 , -1.30314464581563 , 1.10490175264814 , -0.631198526820227 , -0.427007367250148 , 1.72319577385577 , 0.458139215335108 , 0.663517997058013 , -0.574300997828438 , -0.145954418882303 , -0.10057220121435 , -1.10002241571197 , -0.939143589767678 , 0.970959029160084 , 0.155236554421823 , 1.08410989519116 , -1.04357764715163 , -0.143621726137055 , -0.361717059671058 , -0.820183352989678 , -0.665839503581823 , -1.10790589092416 , -1.70400377651789 , -1.10650260822356 , -0.669299754799988 , -0.405924779076093 , -0.907632463226817 , 1.2959474870477 , 1.14293561297993 , -0.431000154118897 , 0.379991939590587 , 1.70319160520306 , -0.526199682584169 , -1.66821632100351 , 0.357123893046265 , 0.77574836728236 , -1.19610639860777 , 0.749149325965587 , -0.337984197671657 , 1.14293337025916 , -0.992820056681852 , -0.578896257030776 , -1.82425337523816 , 1.61332883187801 , 1.76591476010213 , -1.05300073263702 , -0.0650919939795623, -0.462452761769162 , -0.237273626290318 , 0.173194423091093 , -1.49654524981374 , 0.126056366471715 , 0.119831876260755 , 0.0864179349500922 , 1.99071968310529 , -0.336187338139358 , 0.84716073296073 , 0.764216658783256 , 1.00664826509416 , 1.58379031277588 , -1.09232100132082 | 0.7862943 |
| 38 | 50 | 0.0 | 0.1 | 0.5 | control , control , control , control , control , control , control , control , control , control , control , control , control , control , control , control , control , control , control , control , control , control , control , control , control , control , control , control , control , control , control , control , control , control , control , control , control , control , control , control , control , control , control , control , control , control , control , control , control , control , intervention , intervention , intervention , intervention , intervention , intervention , intervention , intervention , intervention , intervention , intervention , intervention , intervention , intervention , intervention , intervention , intervention , intervention , intervention , intervention , intervention , intervention , intervention , intervention , intervention , intervention , intervention , intervention , intervention , intervention , intervention , intervention , intervention , intervention , intervention , intervention , intervention , intervention , intervention , intervention , intervention , intervention , intervention , intervention , intervention , intervention , intervention , intervention , intervention , intervention , -0.141274814580475 , 0.0889132794456575 , 0.187539632979168 , 0.982675121738133 , 0.0613333923140351 , 0.0769947568803739 , 0.389181313355702 , 0.397631762909544 , 0.370661192716139 , 0.273899347319023 , 0.572508981489521 , 0.842759374447917 , 0.134391238430268 , -0.00934811338942126, 0.608742856576348 , -0.0777487313807861 , -0.727500768326933 , -0.158258161740051 , 0.750143849370939 , -0.486707030574059 , 0.436773367756352 , 0.105392585431751 , -0.867804525234374 , -0.431657264182333 , -0.445686524040853 , 0.0344692740867723 , -0.0649817290995871 , 0.915431519650744 , 0.336414594071977 , -0.00951142423377352, -0.213934410782311 , 0.105078155079732 , 0.930289028026027 , 0.469135167956594 , -0.163367938790906 , -0.570901006139375 , 0.590711202554929 , -0.553373844615646 , -0.660888525025413 , 0.34853149341612 , 0.594511494670674 , -0.297377011403852 , 0.415963379725574 , -0.0409455014358763 , -0.277709720210696 , -0.169056209527075 , 0.703644939475549 , 0.214199039320594 , -0.243714743900463 , 0.013109720027085 , -0.10781593340127 , 0.074346050556496 , -0.494373302585719 , 1.63862266904958 , -0.554388962487243 , 0.631275431424053 , 0.0666211521823075 , 0.48737952832121 , 0.196915284791665 , -0.832938474429931 , 0.0879035337571449 , -0.863259850490641 , -0.203453137971841 , 0.382170817828119 , -0.477963763729673 , -0.124586377476762 , 0.0200759108892782 , 0.714269663510322 , -0.00789617670435294, -1.4249896441933 , -0.880835230934431 , 0.755886864941774 , -0.290359994688403 , 0.357282740754113 , -0.104514567205146 , -0.277632791319101 , -0.016858616436669 , 0.852815030327414 , -0.573498185655771 , -0.546636518976285 , 0.26882306095388 , -1.23403332357622 , -0.99852387275378 , 0.0650606090902041 , 0.14967704175701 , 0.0741974918988355 , 0.0594653211671704 , 0.366971772466243 , 0.464418787306956 , -0.0734726714152742 , 0.98445749767092 , -0.0167326814061534 , 0.0969549058188035 , 0.0808021567035662 , -0.0593144228283635 , 0.497444024356316 , -0.509844405669789 , -0.0119696303440742 , -0.675337515466858 , -0.292887810245963 | 0.1451246 |
| 38 | 50 | 0.0 | 0.1 | 1.0 | control , control , control , control , control , control , control , control , control , control , control , control , control , control , control , control , control , control , control , control , control , control , control , control , control , control , control , control , control , control , control , control , control , control , control , control , control , control , control , control , control , control , control , control , control , control , control , control , control , control , intervention , intervention , intervention , intervention , intervention , intervention , intervention , intervention , intervention , intervention , intervention , intervention , intervention , intervention , intervention , intervention , intervention , intervention , intervention , intervention , intervention , intervention , intervention , intervention , intervention , intervention , intervention , intervention , intervention , intervention , intervention , intervention , intervention , intervention , intervention , intervention , intervention , intervention , intervention , intervention , intervention , intervention , intervention , intervention , intervention , intervention , intervention , intervention , intervention , intervention , 1.03799281067438 , 1.11171124650895 , -0.794285564131698 , 1.13752349130804 , 0.262592974790321 , -0.352161845238839 , -0.909751950082472 , 0.0393170195168146 , 1.57687176461958 , -0.988610110710521 , 0.722518217181608 , -1.60646086068369 , -1.72213690690588 , -1.75939170841667 , 0.677142991803215 , 1.90235245212892 , 1.16835305605263 , -0.433291834128749 , -0.857449841328858 , 0.7718569008561 , -0.486375327527501 , 1.03919294979415 , -0.907193754435682 , 0.150856097900811 , -1.7771359135876 , -0.956584567692147 , 2.25750475479596 , 0.0214771305168378 , 0.400740731464927 , -0.931574295623423 , 0.192772197326038 , -1.88483865425255 , 0.120476222617176 , 0.817499901352546 , 1.16394156604433 , -1.53116536415656 , -0.157739792364167 , -0.155495638804813 , -1.20174052628717 , 0.834795884655201 , 1.60473038981945 , -2.15181251966272 , 2.21219996403193 , -0.6094252836129 , 0.91179724674835 , -0.117958530444698 , 0.941748232360248 , 0.95572752433368 , 0.0528612524441019 , 0.793730745832691 , 0.517406184601488 , -1.53232344515766 , 1.01857457431237 , -0.140614791642695 , -0.631031891632932 , 0.186305617211257 , -1.87548692521378 , 0.971528526270488 , -0.0716504145584736, 0.0483176708244212 , 0.0630803231649876 , -1.37647372765185 , -1.50146622053929 , -0.258481109560023 , -0.121203439915289 , -0.498715063144219 , 0.38343328383744 , 0.207675784542151 , -0.981230016217795 , 0.606032550950682 , -1.62561095080035 , -1.31661736374328 , -0.303770274305994 , -1.45798888295269 , -0.176499677012233 , 0.504516151645157 , -0.291266345778431 , -1.09358693611138 , 1.54686657970053 , 0.488292974990652 , 2.40234604868508 , 0.0865325088893654 , -1.82144455088581 , 0.937147716491703 , -0.364982794182865 , -0.527587917326808 , 0.764789246739219 , 0.69149246159195 , 0.4388328955759 , -0.664601603915639 , 1.11419345049988 , -0.25657348390955 , 0.296692368230712 , -2.47529881120077 , 0.16369682371384 , -0.15201860130768 , -0.103801452071017 , -0.560695889222545 , -1.65004838269973 , 2.04173511952503 | 0.3126065 |
| 38 | 50 | 0.5 | 0.0 | 0.5 | control , control , control , control , control , control , control , control , control , control , control , control , control , control , control , control , control , control , control , control , control , control , control , control , control , control , control , control , control , control , control , control , control , control , control , control , control , control , control , control , control , control , control , control , control , control , control , control , control , control , intervention , intervention , intervention , intervention , intervention , intervention , intervention , intervention , intervention , intervention , intervention , intervention , intervention , intervention , intervention , intervention , intervention , intervention , intervention , intervention , intervention , intervention , intervention , intervention , intervention , intervention , intervention , intervention , intervention , intervention , intervention , intervention , intervention , intervention , intervention , intervention , intervention , intervention , intervention , intervention , intervention , intervention , intervention , intervention , intervention , intervention , intervention , intervention , intervention , intervention , 0.663349720553348 , -0.620774552405444 , 0.701612341248393 , 0.8423432613535 , -0.181659604498343 , -0.264512233829691 , 0.220870932035879 , 0.695783820842984 , 0.238029074393936 , 0.0485320296086104 , 0.180637113204371 , -0.494638151530796 , 0.256073405672261 , 0.182382061043551 , -0.153611494017706 , -0.338496159809895 , -0.244190790544283 , -0.226136415832045 , 0.364074551895928 , -0.445537653185448 , 0.374363534395993 , -0.410211359804436 , 0.0211530949149255 , 0.415178085422944 , -0.594220161528385 , -0.710547717621544 , -0.238710702023378 , -0.431270816719587 , -0.108718697591929 , 0.275319258595076 , 0.0680049256290946 , -0.102567061914596 , -0.112760832476596 , -0.691520277275442 , -0.0117830384371376 , -0.268950849941702 , -0.311301149043499 , -0.0979429769928503 , -0.560016095202436 , -0.202814709352889 , 0.725239339908629 , -0.562180600447878 , 0.0457394346011228 , 0.28178134640638 , 0.250376380586125 , 0.161340020461694 , -0.235528895003118 , 1.21172582286659 , -0.190277531766634 , -0.135500169177626 , 1.08161978087461 , 0.757133156875822 , 0.336323050275822 , 1.17418214737907 , 0.707683914069525 , 0.0838118078743829 , 0.136955302057849 , 0.274715251203862 , 0.472327869846217 , 0.739521815400407 , 0.679543083878067 , 0.714270222803207 , 0.68048582728134 , 1.08499766935286 , 0.802439133627469 , 0.840238940949673 , 1.07033973768306 , -0.627142229446665 , 0.506391847043106 , 0.16445499493203 , 0.15064531034828 , 0.309363569023459 , 0.032078174496515 , 0.213018181468066 , 1.0752320471795 , 0.667198680398259 , -0.031478516125507 , 0.378837674232074 , -0.00868783509320936, 0.677399236514189 , 1.13144941283223 , 0.70173031900229 , 0.629521160919113 , 0.103893597249886 , 0.44922337995279 , 0.424173966614916 , -0.124576352497432 , -0.124327945875404 , 0.28005558196231 , 0.80943212569598 , 0.58629528785496 , 0.00989917004480267 , 0.966117222448684 , 1.88259631880759 , 1.17583502051389 , 1.07927204981166 , 0.0715648423490846 , -0.101794137385596 , 0.95610245127286 , 0.405220931677939 | 0.0000000 |
| 38 | 50 | 0.5 | 0.0 | 1.0 | control , control , control , control , control , control , control , control , control , control , control , control , control , control , control , control , control , control , control , control , control , control , control , control , control , control , control , control , control , control , control , control , control , control , control , control , control , control , control , control , control , control , control , control , control , control , control , control , control , control , intervention , intervention , intervention , intervention , intervention , intervention , intervention , intervention , intervention , intervention , intervention , intervention , intervention , intervention , intervention , intervention , intervention , intervention , intervention , intervention , intervention , intervention , intervention , intervention , intervention , intervention , intervention , intervention , intervention , intervention , intervention , intervention , intervention , intervention , intervention , intervention , intervention , intervention , intervention , intervention , intervention , intervention , intervention , intervention , intervention , intervention , intervention , intervention , intervention , intervention , 0.405997012391876 , 0.0782001500338891 , 1.22814435913569 , -2.44155549351847 , -1.15470640565844 , 0.585043534408376 , 1.13967293899373 , -1.50770369876714 , 1.19235393057508 , -1.69007758456541 , -0.0590372604051175 , 0.126667843162964 , 0.093990130405758 , -0.461486869376136 , -0.0159568544115876 , 0.705745586412845 , -1.05121805865188 , -1.42529289304812 , -1.46673054111099 , -1.21964355131377 , -0.00717957083195542 , -0.916980241372905 , -0.621993899289919 , -1.01293499828435 , -0.47159179827665 , 0.436005951096937 , -1.40450664350665 , 0.418752062417949 , 0.673036558259877 , -0.9799214744806 , -0.284038001912034 , -0.37217679523883 , 0.260529567994657 , -1.14436069595685 , -1.1632593506551 , -0.0902918404924305 , 0.0706546797182529 , -0.046003660849223 , 0.90327648110562 , -0.352971080055313 , 0.466456456874342 , -1.25534300824132 , -0.0652464837282647 , 0.998042818562715 , -0.409724447020922 , 0.0780318630588303 , -0.0645888280429789 , -0.525172837544189 , 3.06577888347488 , -2.9166145321721 , 0.403575913757916 , 0.530045994847609 , 2.28891282840693 , -0.331493543904202 , 2.07671263637883 , -0.70229471858974 , -0.605875926889341 , 0.153625770470012 , 0.0557615602809881 , 2.341580318658 , 0.185293431454469 , 1.81446773714119 , 0.653085936732934 , 0.952490519935387 , 0.563525203617902 , 0.76269220029246 , -0.517826616902397 , -0.744688169219515 , -0.730682909100831 , 2.04684136061856 , 0.638296399468332 , -0.711026711259126 , -0.000273938249492955, 0.793349723106063 , 2.43032817588181 , 0.396316477028674 , -0.70586861415638 , 0.969557715721418 , 1.77970731316951 , -0.798855609166593 , 0.748751761887181 , 0.653466923277546 , 1.87081440147276 , -1.15525606931847 , 1.70222232986062 , 1.90020365251414 , 0.0343990485204527 , 0.309932966839065 , -0.362159101005695 , 1.63681612540093 , 2.27789457664903 , -2.06458621084185 , 0.301647407029315 , 1.0421010868797 , 0.062900804566651 , -1.26574869355296 , 2.60466599877175 , -0.363271743224063 , -0.0270369623751551 , 1.17237359304913 | 0.0002686 |
| 38 | 50 | 0.5 | 0.1 | 0.5 | control , control , control , control , control , control , control , control , control , control , control , control , control , control , control , control , control , control , control , control , control , control , control , control , control , control , control , control , control , control , control , control , control , control , control , control , control , control , control , control , control , control , control , control , control , control , control , control , control , control , intervention , intervention , intervention , intervention , intervention , intervention , intervention , intervention , intervention , intervention , intervention , intervention , intervention , intervention , intervention , intervention , intervention , intervention , intervention , intervention , intervention , intervention , intervention , intervention , intervention , intervention , intervention , intervention , intervention , intervention , intervention , intervention , intervention , intervention , intervention , intervention , intervention , intervention , intervention , intervention , intervention , intervention , intervention , intervention , intervention , intervention , intervention , intervention , intervention , intervention , 0.618811127680636 , 0.488391984526062 , 0.389985931607931 , 0.167857504677846 , 0.291736367211773 , -0.285622394934086 , 0.805624328696006 , 0.214733594440944 , -0.214312455285741 , -1.39870019969467 , 0.785936165052608 , 0.653711789803658 , 0.16438263098536 , 0.417593621783918 , 0.741956496376394 , -0.517959980416142 , 0.933409467194882 , 0.400405745668557 , 0.318656473503108 , 0.728186745961375 , 0.24000216600647 , -0.327872350502773 , -0.240265114100158 , -0.0645804771904225 , 0.0622492160877302 , 0.0940172590906743 , -0.294633076171873 , 0.445727577690993 , -0.554785429571675 , 0.53237747855336 , -0.453788773628642 , -0.00311036590525601, 0.492554402254797 , -0.173485036213002 , -0.921133774688598 , 0.573750875508913 , -0.457677746031776 , -0.173829132821165 , 0.61501596895295 , 0.675115310089402 , 0.542388193181055 , 0.782327776934048 , 0.727001895985191 , 0.519171996051198 , -0.0751787500144737 , 0.0289488495785287 , -0.230049760847944 , 0.0302295223652025 , -0.355164975686972 , 0.40544745986521 , 0.2406076156158 , 1.89928892737642 , -0.197025154040787 , 0.415714333710866 , 1.49369074281373 , 0.270695461451146 , 0.429090026782293 , -0.0430245222553768 , 1.23681854523728 , 0.582876832272231 , 1.10916477398177 , 0.734613420422783 , 0.586986411602976 , -0.336883597590167 , 0.233243642721898 , -0.375769606724305 , 0.939975294294749 , 0.849233107157614 , 0.400378885488141 , 1.34599394685644 , 0.120292058555464 , 0.311324056695549 , 0.424231892255167 , 1.10559489301016 , 0.725940778250196 , 0.117714835998399 , 0.817428579960625 , -0.725005231810521 , 0.15795696741253 , 0.998865344504811 , -0.119821444239647 , 0.618407506550617 , 0.809780527353665 , 1.08017692306186 , 0.385843595715174 , 0.743533806021871 , 0.765200542074695 , 0.570149096058836 , 0.103272047878903 , 0.0611237424711855 , 0.285474933332501 , 2.09487581343047 , 0.87527513724569 , 1.08318467591352 , -0.124560505863333 , 1.13681021103131 , 0.550158513243749 , 0.782536410831716 , 1.0275407463096 , 0.320069245424368 | 0.0001586 |
| 38 | 50 | 0.5 | 0.1 | 1.0 | control , control , control , control , control , control , control , control , control , control , control , control , control , control , control , control , control , control , control , control , control , control , control , control , control , control , control , control , control , control , control , control , control , control , control , control , control , control , control , control , control , control , control , control , control , control , control , control , control , control , intervention , intervention , intervention , intervention , intervention , intervention , intervention , intervention , intervention , intervention , intervention , intervention , intervention , intervention , intervention , intervention , intervention , intervention , intervention , intervention , intervention , intervention , intervention , intervention , intervention , intervention , intervention , intervention , intervention , intervention , intervention , intervention , intervention , intervention , intervention , intervention , intervention , intervention , intervention , intervention , intervention , intervention , intervention , intervention , intervention , intervention , intervention , intervention , intervention , intervention , -0.918463810338818 , 0.411499303272 , 3.09045790635804 , 1.08078405211354 , -0.972251951962923 , 0.69247368332181 , -0.864691328947353 , -0.111918480947839 , 0.184969165245805 , 0.83174315740536 , -1.32697375380022 , -0.191749152399095 , 0.677115533147598 , 0.468836013384438 , 0.666565470497572 , 0.017648186309262 , -0.719145100628693 , -0.15873706668776 , 0.441541286732335 , 0.786610099497954 , -0.185518140202655 , -0.0426073558417595 , 0.135421882401105 , 0.52617671458686 , -0.25983444199311 , -1.02079692009089 , -0.00758408237971507, 0.472428955093021 , 0.894236352394735 , -1.09571370276759 , 1.28710246590499 , -1.0421347502352 , 0.0736619137897621 , -1.2495723600768 , -0.815302303529772 , 0.410918324956547 , -1.02028241363306 , -0.83295528601651 , 0.395087399780865 , -2.99575156059096 , 1.85965537004735 , 0.0159292379489546 , 0.779357798735071 , -0.578494172194 , -1.42134182974436 , -1.42523720676189 , -0.307630797495494 , 1.37945379100739 , 0.67784630070061 , -1.23659040187359 , 0.392631693808889 , -0.707859591647893 , -0.367454427534349 , 1.03662429789133 , 0.152629541084431 , 2.21379558568322 , 0.347958362951125 , 0.454907265639156 , -0.938332915418081 , 0.990465362412997 , 2.38182547996302 , -0.737309716921068 , -0.227917736408344 , 1.27408660464481 , 0.667202053033539 , 1.41403092875412 , 0.393178067204049 , 0.933613123418311 , 0.801804753840521 , -0.81863789925971 , 0.123558806791382 , -0.716468482108187 , -0.129974404418859 , 1.29236451766546 , 1.89816719847761 , 0.351375452306854 , 1.22223059284595 , 0.767282300481524 , -1.53050843476039 , -0.357666379639461 , 2.98892902468003 , 1.72403194852856 , 0.326418580312822 , 1.34526145195528 , -0.206180541189243 , 0.801607185663643 , -0.404982756767423 , 0.708410266710864 , 0.759921828829597 , 1.54830281413175 , 0.132557247944167 , -0.821727714854757 , 0.405756760602777 , -0.290157428703007 , -0.407252884294212 , -0.157095844433942 , 0.122972616952128 , 1.75173916016732 , -0.189380666464308 , 1.36913105706477 | 0.0082966 |
| 39 | 20 | 0.0 | 0.0 | 0.5 | control , control , control , control , control , control , control , control , control , control , control , control , control , control , control , control , control , control , control , control , intervention , intervention , intervention , intervention , intervention , intervention , intervention , intervention , intervention , intervention , intervention , intervention , intervention , intervention , intervention , intervention , intervention , intervention , intervention , intervention , -0.0622078371192747, -0.438600025178988 , -0.112892137536426 , 0.134080769290458 , -0.0425192028652979, -0.99227953532318 , 0.0897005234300071 , -0.1468979108942 , -0.650259572604761 , 0.212676328772615 , 0.165910745286286 , -0.449097105200384 , 0.111225716179741 , 0.314693020546436 , -0.0468978290641982, -0.295726192813783 , -0.914784969799956 , -0.393429758395715 , -0.0802113300637016, -0.867053343636224 , 0.310807186002986 , -1.02535293724905 , -0.443483342653307 , -0.902566674441412 , -0.471393075689798 , 0.653378637041332 , -0.025635450088938 , -0.104969553597178 , 0.411413789202424 , 0.508274630117024 , -0.0479702233783963, 0.0592809217396665 , 0.535113229036881 , -0.401136514787857 , 0.421026292580539 , 0.764481049068844 , 0.303299473493621 , -0.347624319333316 , -0.886553933863037 , 0.609998559347265 | 0.1561783 |
| 39 | 20 | 0.0 | 0.0 | 1.0 | control , control , control , control , control , control , control , control , control , control , control , control , control , control , control , control , control , control , control , control , intervention , intervention , intervention , intervention , intervention , intervention , intervention , intervention , intervention , intervention , intervention , intervention , intervention , intervention , intervention , intervention , intervention , intervention , intervention , intervention , -0.692810788080596, -2.46958770792937 , 0.281448760716964 , 1.53205625323586 , 1.18446280900617 , 1.13213125068116 , 0.651937128871921 , -0.919648115953862, -0.422173544955986, -0.383083529487933, 1.32134311903562 , 0.583214917638769 , 0.0416569025432816, 2.65887079836494 , 1.72703192881899 , 0.58065739869733 , -1.15053698982084 , -0.253384054577168, -1.25969410491005 , 0.444416481918002 , -0.558535972236072, 0.324042091950273 , 1.06731136944506 , -1.27371969923717 , -0.259224047003192, 0.261407895391935 , 1.22382908314175 , 0.777083107462666 , -2.47943953133697 , -2.37614777909629 , -0.106655478135362, 1.37117657689039 , -1.04105797631793 , -0.39938510237607 , 0.859482603871276 , -1.98466926095015 , 1.12248530027937 , 0.295368613232414 , 0.678460894351572 , -0.22766001155442 | 0.3398437 |
| 39 | 20 | 0.0 | 0.1 | 0.5 | control , control , control , control , control , control , control , control , control , control , control , control , control , control , control , control , control , control , control , control , intervention , intervention , intervention , intervention , intervention , intervention , intervention , intervention , intervention , intervention , intervention , intervention , intervention , intervention , intervention , intervention , intervention , intervention , intervention , intervention , -0.40672121132011 , 0.511886537284643 , -0.689999257829162 , -1.00388094895253 , -0.336256996445136 , -0.281237380165229 , 1.01375665976403 , -0.181111123211725 , 0.602893022697619 , -0.08603459680073 , 0.508116431807987 , 0.487341963509438 , 0.816932400361307 , 0.250408214182516 , -0.0772963409623664, 0.0879207721275951 , -0.756792762667927 , 0.589401868920146 , 0.33585160194647 , 0.198074435766801 , 0.134785166367624 , -0.311294789371017 , 0.113619946397327 , 0.0522959266850676 , 0.300747143178597 , -0.884308707035151 , -0.682317401122138 , 0.599511393080752 , 0.842350401069212 , -0.637746749668511 , -1.07404416464515 , 0.0391521273500928 , -0.124401849870756 , -0.0470050778289243, 0.352047974211522 , -0.47333956293048 , 0.621642610986279 , 0.327253686540652 , -0.183569330419293 , -0.5176526300184 | 0.3596064 |
| 39 | 20 | 0.0 | 0.1 | 1.0 | control , control , control , control , control , control , control , control , control , control , control , control , control , control , control , control , control , control , control , control , intervention , intervention , intervention , intervention , intervention , intervention , intervention , intervention , intervention , intervention , intervention , intervention , intervention , intervention , intervention , intervention , intervention , intervention , intervention , intervention , 0.0418412626601842 , -0.0312838066205328 , 2.20258713263529 , -0.211706304150475 , 2.30109432725577 , -0.185732253683717 , -0.0707909208396686 , -0.00726904571806129, -2.10775036413744 , 0.0704764969144452 , -1.02537571283286 , 0.75472865065784 , -0.363734723948339 , -0.190860881376625 , 1.48615950256277 , 0.25407873233842 , 0.350163944525848 , -0.298162243246692 , -0.0397338211057685 , -0.180741402557881 , 0.224362136400113 , 0.859179184630854 , 0.174857502841443 , -0.613438309280516 , 0.649280334100095 , 0.818204559057796 , 1.36072103514082 , 0.196503535176486 , 0.455894555247818 , -1.0134473943944 , 0.341436288676185 , -0.571481772564069 , -0.904178196393879 , 1.2546965186748 , 1.46109108833703 , -0.547848038875336 , 1.55774320961932 , -1.85875287978074 , 1.56374913883171 , -1.71892050881367 | 0.8852328 |
| 39 | 20 | 0.5 | 0.0 | 0.5 | control , control , control , control , control , control , control , control , control , control , control , control , control , control , control , control , control , control , control , control , intervention , intervention , intervention , intervention , intervention , intervention , intervention , intervention , intervention , intervention , intervention , intervention , intervention , intervention , intervention , intervention , intervention , intervention , intervention , intervention , -0.0610007654475311, -0.566378007427866 , -0.883862923279366 , 0.75665821902988 , -0.222571328613902 , 0.645906716047439 , 0.451484754650147 , 0.241050798384467 , 0.724483394918849 , 0.761151182678873 , 0.377495911202399 , 0.287389528535672 , 0.0295246988701894 , -0.148790211659026 , -0.93770103063705 , -0.397166207220008 , 0.92253050589149 , 1.28452396301803 , 0.807517176744457 , -0.09790592354812 , 0.575908324866407 , 0.60902255880056 , 1.01585793308983 , 0.84061125733115 , -0.274611010368853 , 0.697771523079361 , 0.0288216107659401 , -0.161027734328729 , 0.0785853592244999 , -0.246033717781707 , -0.0369399009429768, 0.215898033635594 , 0.960191194550859 , 0.212850656283183 , 0.170922106234417 , 1.20242864089424 , -0.358558877339343 , -0.156096611502762 , -0.167516520115164 , 0.0615715432454612 | 0.7123697 |
| 39 | 20 | 0.5 | 0.0 | 1.0 | control , control , control , control , control , control , control , control , control , control , control , control , control , control , control , control , control , control , control , control , intervention , intervention , intervention , intervention , intervention , intervention , intervention , intervention , intervention , intervention , intervention , intervention , intervention , intervention , intervention , intervention , intervention , intervention , intervention , intervention , -1.78981131338134 , -0.30647862488026 , 0.402473008637571 , 1.26544692814705 , 1.84471613763603 , 1.06232608016223 , 0.558078835838258 , -1.26998668766757 , -1.26896666135652 , 0.3168745649799 , 0.500660577366996 , 0.20899008918175 , 1.36488387763101 , -0.776524465005315, 0.237714995668477 , 0.948928051514825 , 0.629408521524891 , 0.608402204136757 , -0.338503994742487, 0.311494203106571 , 0.208288055157406 , 1.20692772170489 , -0.238661559411374, 0.727218548473505 , 2.04671618671715 , -0.255447569827206, 0.400399269276212 , -0.616476706225278, 0.535202127577123 , 0.261582698121877 , 1.68698661996459 , 0.808284247896686 , -2.19584383333648 , 0.120149706770426 , -1.77090270544263 , 0.29862995874188 , 0.773597761563342 , 0.209391060005241 , 0.172471203960336 , 1.50894796386372 | 0.8263172 |
| 39 | 20 | 0.5 | 0.1 | 0.5 | control , control , control , control , control , control , control , control , control , control , control , control , control , control , control , control , control , control , control , control , intervention , intervention , intervention , intervention , intervention , intervention , intervention , intervention , intervention , intervention , intervention , intervention , intervention , intervention , intervention , intervention , intervention , intervention , intervention , intervention , 0.810588406840872 , -0.94716531848987 , 0.511516214801084 , 0.486108797674407 , 0.165980202998683 , -0.158885952530996 , 0.132128299115541 , 0.931703320307929 , 0.0596198262120723 , 0.299199450757211 , 0.286343771788773 , -0.227969248705922 , -0.205824418318924 , 0.356098113934736 , -0.774565783425916 , 0.387257020106717 , 0.786816601830333 , 0.061758865367699 , -0.362260531264879 , -0.50480940314711 , -0.774477247306155 , 0.760807587836074 , 0.160833837791023 , -0.410780195193794 , 1.09648607974281 , -0.0640044612024825, 0.972993318467873 , 0.695485654387063 , 0.849684811369122 , 0.0745371444460964 , 0.320340694378264 , 0.493795145408899 , 0.494895531391763 , 0.940547073237855 , 1.11126889085865 , 0.3079137484549 , 0.250750256930984 , -0.0687903422005552, 0.777917142780005 , 1.03691915139392 | 0.0404237 |
| 39 | 20 | 0.5 | 0.1 | 1.0 | control , control , control , control , control , control , control , control , control , control , control , control , control , control , control , control , control , control , control , control , intervention , intervention , intervention , intervention , intervention , intervention , intervention , intervention , intervention , intervention , intervention , intervention , intervention , intervention , intervention , intervention , intervention , intervention , intervention , intervention , 0.794816085633319 , 0.0325742370190327, 0.216512046134904 , -0.226097511193146, 2.80730831012325 , 0.140202361328091 , -1.12587238585212 , 1.79189564054623 , -1.23545435927071 , 0.664382123207006 , -0.677470302603098, 0.358906311275662 , 1.03116916386043 , -0.467630412497459, 0.213262489687349 , -0.685484140187459, 0.398388011978713 , -0.941812958815529, 1.12887193882926 , -0.215742780204744, 0.518524588041201 , 1.97469912937445 , 1.16591574896107 , 1.02375860753911 , 1.64580441016513 , 1.79457009569728 , 1.98933164051838 , 0.519106370176428 , 0.415469324530755 , 1.37745950170703 , 1.87351782688397 , -1.20731002954888 , 1.40006728025975 , -0.681094536680666, -1.33323980733703 , 0.6854825486856 , -0.596071742595543, -0.370032653184847, 0.0361676736316401, 0.210511394282991 | 0.2026654 |
| 39 | 50 | 0.0 | 0.0 | 0.5 | control , control , control , control , control , control , control , control , control , control , control , control , control , control , control , control , control , control , control , control , control , control , control , control , control , control , control , control , control , control , control , control , control , control , control , control , control , control , control , control , control , control , control , control , control , control , control , control , control , control , intervention , intervention , intervention , intervention , intervention , intervention , intervention , intervention , intervention , intervention , intervention , intervention , intervention , intervention , intervention , intervention , intervention , intervention , intervention , intervention , intervention , intervention , intervention , intervention , intervention , intervention , intervention , intervention , intervention , intervention , intervention , intervention , intervention , intervention , intervention , intervention , intervention , intervention , intervention , intervention , intervention , intervention , intervention , intervention , intervention , intervention , intervention , intervention , intervention , intervention , 0.223245240867762 , -0.469347386206779 , -0.329404546572058 , -0.430546784774293 , 0.202992519287458 , 0.857616660053932 , 0.0949228484295214 , 0.127299671564824 , -0.0113685068134512, -0.656528508511413 , -0.396926311998189 , -0.618026805550214 , 0.296707457692491 , -0.566742723681873 , -0.147277412642079 , -0.076979533578881 , 0.636369656162124 , -0.287773841568987 , 0.378057689386641 , 0.364964902832171 , -0.933373296296472 , 1.32039120041883 , -0.450785489986711 , 1.17939223897565 , -0.287098073107633 , 0.175020774202017 , -0.29077421577393 , 1.03556102487574 , -0.386526789381051 , 0.723774384630594 , -0.247511922435097 , -0.870999532383713 , -0.675248015147628 , 0.670431892183191 , -0.0146161422240223, -0.0152052453171081, 0.1695654298413 , -0.770578444896987 , -0.905719384803464 , -0.477426500393099 , -0.438917283062361 , -0.447947083630057 , 0.0534912005890235 , -0.498036167286294 , -0.147787837933404 , -0.351108291557672 , -0.389109823626102 , 0.130266023961345 , 0.532514297998566 , -0.297830329469831 , 0.0720886689780702 , -0.553171425332113 , -1.32183231677076 , 0.245261676075746 , -0.629009240237293 , 0.00844002525503088, 0.615596746295577 , -0.586463815306275 , -0.578728411726315 , -0.304918774314057 , 0.257065107547874 , -0.940538191252292 , 0.0411426366981966 , -0.304691198766019 , 0.126801060176457 , -0.0742068322943062, 0.724783812772431 , 0.529524595913066 , 0.201659546459716 , -0.0540833074655625, 0.0332357344271805 , 0.0695674462946858 , -0.360769302038762 , -0.0371049880327079, -0.0731727686702156, 0.152520375807106 , 0.343446613207166 , 0.109252126500472 , -0.627315897239509 , 0.389020858277144 , 0.268683854755834 , 0.238447120797365 , 0.859069324950869 , -0.413305572937101 , -0.616499069712174 , -0.126384557335437 , 0.17280341285831 , 0.820918372226637 , -0.553165626627375 , -0.254921786505852 , 0.0872631509684461 , -0.26537603164939 , -0.724490177312936 , -0.176468933462375 , 0.110897618163196 , 0.316694437585415 , -0.106108912355067 , 0.260105008771402 , -0.196626880305125 , 0.431192523710178 | 0.7900944 |
| 39 | 50 | 0.0 | 0.0 | 1.0 | control , control , control , control , control , control , control , control , control , control , control , control , control , control , control , control , control , control , control , control , control , control , control , control , control , control , control , control , control , control , control , control , control , control , control , control , control , control , control , control , control , control , control , control , control , control , control , control , control , control , intervention , intervention , intervention , intervention , intervention , intervention , intervention , intervention , intervention , intervention , intervention , intervention , intervention , intervention , intervention , intervention , intervention , intervention , intervention , intervention , intervention , intervention , intervention , intervention , intervention , intervention , intervention , intervention , intervention , intervention , intervention , intervention , intervention , intervention , intervention , intervention , intervention , intervention , intervention , intervention , intervention , intervention , intervention , intervention , intervention , intervention , intervention , intervention , intervention , intervention , -0.633261613305004 , -0.376709914063271 , 0.111393384723756 , 0.778706398338357 , -0.0497424550998422, 1.18549026971326 , -1.4929942502355 , 1.47666388593704 , -0.160889318091489 , 0.140840263897535 , -0.760211990035827 , 1.04432929497107 , -0.118623019301769 , -0.222962981576291 , 0.0913695778617461 , 0.820292208510373 , -1.09391114102904 , -0.248009462719016 , 1.14105604615343 , -1.7420951387125 , -1.14478373975163 , 1.09637078032017 , -1.6639224548132 , 0.334011329078392 , 1.34661467784994 , 1.34259025819786 , 1.79542797844268 , 0.546415159269877 , -0.415216771887777 , -1.2407425434541 , 0.198714281296174 , 0.699311833526793 , -0.173684104407329 , 0.143195318740809 , 0.292718932134594 , -0.240042709207677 , 0.250810336162735 , 1.30414742861888 , 0.822768020443117 , -0.13034687260711 , -0.385218583907178 , -0.971855670917627 , -0.38535273021646 , -1.6670051288221 , -0.710372656188938 , -0.454457489308556 , -0.118477086222523 , -0.244790868664572 , -1.17341441357755 , -0.165052799920767 , -0.469774597230841 , -0.224209549608486 , -1.22276708212303 , -0.0792038397417371, 0.585059433611202 , 0.399917771000573 , 0.555460911606339 , 0.643949794659978 , -1.12148469666728 , -1.14271931794069 , 0.980837324726295 , 0.256852222597512 , 0.460116234728112 , -0.833203408939966 , 0.243715555229702 , -1.2228727869126 , -0.45944059378433 , -0.78962246716404 , -1.51545145186474 , 0.684429017409874 , 2.07921238512359 , 0.373628721924597 , 0.729883464784404 , 0.752471362677459 , -1.63367854627981 , 2.30606288194851 , -0.31225966716967 , -0.798144501889625 , 0.855458452703843 , 0.454940038643329 , 0.245894662644141 , -1.28822678423844 , -0.47907071260932 , 1.64403030286917 , 0.201439352267542 , -0.607910835127526 , -2.38478526042853 , 1.00373260539137 , 0.547343103309129 , 1.10237817877486 , 0.578556000366138 , 0.258580343684814 , -1.24143051260206 , -1.64745032615924 , -0.38835840643519 , 0.458123348392024 , 1.57137859492796 , 1.15348717945322 , 0.317270630894655 , -0.600988303393138 | 0.8177798 |
| 39 | 50 | 0.0 | 0.1 | 0.5 | control , control , control , control , control , control , control , control , control , control , control , control , control , control , control , control , control , control , control , control , control , control , control , control , control , control , control , control , control , control , control , control , control , control , control , control , control , control , control , control , control , control , control , control , control , control , control , control , control , control , intervention , intervention , intervention , intervention , intervention , intervention , intervention , intervention , intervention , intervention , intervention , intervention , intervention , intervention , intervention , intervention , intervention , intervention , intervention , intervention , intervention , intervention , intervention , intervention , intervention , intervention , intervention , intervention , intervention , intervention , intervention , intervention , intervention , intervention , intervention , intervention , intervention , intervention , intervention , intervention , intervention , intervention , intervention , intervention , intervention , intervention , intervention , intervention , intervention , intervention , 0.137158055342927 , 0.547207864110319 , -0.224432267813859 , 0.163721524958174 , 0.454905984854261 , -0.104789988634875 , -1.00910766700838 , 0.640078309011705 , 0.273580618641528 , -0.50855089915598 , 0.888970556816148 , 0.0096525648672638 , 0.52524335505353 , -0.116816657536712 , 0.162348475526452 , -0.532985943480149 , 0.272078610178825 , -0.0841289001054362, 0.0669643391142037 , -0.536028571072561 , 0.0063852249982243 , -0.492501492845285 , -0.0555590487511235, 0.481979815816258 , 0.460818065399135 , -1.00694496692009 , 0.424115372965647 , -0.031930039709075 , 0.278860869415875 , -0.817708605414494 , -0.83695480658675 , 0.666920341014493 , 0.371356458901942 , 0.407392535768921 , 0.960732276903809 , 0.45921504053716 , -0.163492168984059 , 0.293996131232475 , 0.549345042333898 , -0.832185341893473 , 0.0231342990745956 , 0.567432661093908 , 0.649063358806593 , -0.683330572569642 , -0.222660330365707 , 0.99220697725813 , 0.181529327509474 , 0.316183707683525 , 0.215023091025731 , -0.482276971696203 , 0.33404552312524 , 0.208247612983765 , 0.0533170294041473 , 0.181794910585959 , 0.148223107452407 , 0.290279891281326 , -0.572811026301448 , 0.272874346925199 , -0.240123161808323 , -0.84510560882273 , -0.39775561877722 , -0.11657513182963 , -0.180905784079526 , 1.90356350040567 , 0.221426101933305 , 0.533708099840633 , 0.29429281730309 , 0.213610209057264 , 0.795586411605484 , -0.452242101088855 , -0.0750347902728063, -0.539859364527514 , 0.331462066803321 , -0.218024579381047 , 0.505143255346431 , 0.549910633583067 , -0.594133758054294 , 0.166655498749011 , 0.11200606706611 , -0.495008952789983 , -0.888005911275017 , -0.398469096359307 , 0.346551279719787 , -0.473498608364514 , 0.671007099145887 , -0.125309382701019 , 0.243201874423197 , 0.0132845596754703 , 0.0881536359795571 , -0.0290438789149702, -0.255509529511734 , -0.609223803601158 , 0.489364866490863 , -0.0248090498412059, -0.596457010577438 , 0.579616266640427 , 0.29889918549097 , -0.104127050518612 , 0.296193752817204 , -0.124225876362467 | 0.7015383 |
| 39 | 50 | 0.0 | 0.1 | 1.0 | control , control , control , control , control , control , control , control , control , control , control , control , control , control , control , control , control , control , control , control , control , control , control , control , control , control , control , control , control , control , control , control , control , control , control , control , control , control , control , control , control , control , control , control , control , control , control , control , control , control , intervention , intervention , intervention , intervention , intervention , intervention , intervention , intervention , intervention , intervention , intervention , intervention , intervention , intervention , intervention , intervention , intervention , intervention , intervention , intervention , intervention , intervention , intervention , intervention , intervention , intervention , intervention , intervention , intervention , intervention , intervention , intervention , intervention , intervention , intervention , intervention , intervention , intervention , intervention , intervention , intervention , intervention , intervention , intervention , intervention , intervention , intervention , intervention , intervention , intervention , 1.10058339496176 , 0.0155135259613539 , -0.10664973259339 , 0.510415472342239 , 0.237713095552003 , 0.609106777300252 , -0.109925134580862 , 1.80307241352792 , -0.0778537800373495, 1.22860331377912 , -0.233668306249374 , -1.53794192791792 , 0.0946282391937392 , -1.22663411605423 , 0.348293710663662 , 0.293835742877851 , -1.35223401509582 , 0.0937479358476531 , -0.76547879466434 , 1.99935100007573 , -1.14264869608211 , -0.392998250329098 , 0.00841921932004916, -1.0005118344734 , 0.0981331976649272 , -0.0387864341748963, 1.30614519236171 , -1.29483712795996 , -0.663989322558056 , -0.316088369650641 , 0.967016203159777 , 1.37736590722097 , 0.94980778092636 , 0.410307792271084 , 0.323427141021142 , 1.18855562119987 , 1.30105067629315 , 1.83922877842375 , -0.291545887057803 , 0.932874835326501 , -1.4174436980709 , -0.205229260582733 , 0.261560500413108 , -0.35998973741779 , 0.546358314316207 , 0.911951152140029 , 0.284804926084045 , -0.489543072164415 , -0.789400393871808 , 0.236167851475859 , -1.78581593055638 , 1.72488297822941 , 0.455112682450955 , -0.314489767509345 , -1.57502483376442 , -0.79133267988361 , 0.479527289497735 , -0.235427702409997 , 0.550394564519652 , 0.809647490547064 , 1.51892688519195 , -2.27846824235727 , 0.279958215054852 , -0.535089828597914 , 0.239891931793361 , -0.148603616582747 , 2.56314004101964 , -0.604298828735673 , 0.434859960902907 , -0.322003444552723 , 1.00420136420098 , -1.15573126738161 , 0.0691403557163832 , -1.29492514526788 , 0.495882491902214 , -0.455643720861574 , -0.560544754505856 , -0.917927664666502 , 1.13221057967306 , 0.126355660405372 , -0.293629843003652 , 0.34309819223641 , -0.229333524191397 , -0.278515037270453 , -1.20522476192173 , 0.306861541475935 , 0.471801461578738 , 0.686178136017185 , -0.119513662958948 , -0.0322184161687933, 2.48540305716131 , 0.478023638400492 , 0.480018648822535 , 0.172504041285006 , -1.27341380419572 , -0.937370144392247 , -0.198499530338934 , -0.115422439611113 , 1.87261533993579 , 0.286342495883556 | 0.5488152 |
| 39 | 50 | 0.5 | 0.0 | 0.5 | control , control , control , control , control , control , control , control , control , control , control , control , control , control , control , control , control , control , control , control , control , control , control , control , control , control , control , control , control , control , control , control , control , control , control , control , control , control , control , control , control , control , control , control , control , control , control , control , control , control , intervention , intervention , intervention , intervention , intervention , intervention , intervention , intervention , intervention , intervention , intervention , intervention , intervention , intervention , intervention , intervention , intervention , intervention , intervention , intervention , intervention , intervention , intervention , intervention , intervention , intervention , intervention , intervention , intervention , intervention , intervention , intervention , intervention , intervention , intervention , intervention , intervention , intervention , intervention , intervention , intervention , intervention , intervention , intervention , intervention , intervention , intervention , intervention , intervention , intervention , -0.615135342758503 , 0.913962816582852 , 0.328268940653782 , -0.514537160470313 , 0.255874401289688 , 0.500917282336979 , 0.14993452993411 , -0.250568500698357 , -0.216118628082414 , -0.690699005935143 , -0.0833630133647484, -0.223256705748063 , 0.896909011324097 , -0.905554816529869 , 0.741062209321398 , -1.2283142554752 , -1.23064307360935 , -0.520956709940894 , 0.965217859458212 , 0.0164649730363464 , -0.489888527115628 , 0.341712037484088 , 0.129585218912017 , -0.665026012073819 , -0.068260494776453 , -0.347825667625215 , 0.306864452628158 , -0.42641522357732 , -0.967781790001675 , 0.886952043349047 , 0.084023110155193 , -0.141049547855717 , 0.560224789639375 , 0.226867541150877 , -0.290147569149027 , -0.194095902058561 , 0.639823638515155 , 0.205033351388143 , -0.619615491190489 , 0.343928829649482 , 0.226639286838498 , 0.409637037607955 , -0.658208484294168 , -0.170168529065222 , -0.194082643159165 , -0.85551119838017 , 0.175834356035384 , 0.293340202913397 , 0.817190166308127 , 0.293557507531599 , 0.507422998480636 , 0.573925399333896 , 1.01649965608095 , 0.839253437539454 , 1.14572622733827 , 1.29365692246348 , -0.0342799792620389, 0.696358119585175 , 0.659411020144757 , 0.769714434827222 , 0.30242162656877 , 0.775433136919153 , 0.981135492722055 , 0.24059075638233 , 1.16543214014589 , 0.373858785500698 , 0.254868391780361 , 0.85645079990117 , 0.737218810207166 , 0.229297886359203 , 0.830766697110351 , 1.24839327504451 , 1.15515334184094 , 0.661676630383351 , -0.225104632938949 , 1.08900739330223 , 0.600095889356998 , 0.0789211115067517 , -0.126695248301141 , 0.189756085283071 , 1.06303200411209 , 0.403337010167489 , 0.131421142281807 , 0.774865531031858 , 1.07198330822365 , 0.163548201224126 , 0.43114893172392 , 0.290639173401826 , 0.390586523771322 , 0.594067723735278 , 0.471642445986417 , 0.25253900996219 , 0.673543239734666 , 0.392358241570561 , 1.04757535848781 , -0.290950791369598 , 0.673077408539571 , 0.186841464347353 , 0.172694570529471 , 0.979688458299288 | 0.0000000 |
| 39 | 50 | 0.5 | 0.0 | 1.0 | control , control , control , control , control , control , control , control , control , control , control , control , control , control , control , control , control , control , control , control , control , control , control , control , control , control , control , control , control , control , control , control , control , control , control , control , control , control , control , control , control , control , control , control , control , control , control , control , control , control , intervention , intervention , intervention , intervention , intervention , intervention , intervention , intervention , intervention , intervention , intervention , intervention , intervention , intervention , intervention , intervention , intervention , intervention , intervention , intervention , intervention , intervention , intervention , intervention , intervention , intervention , intervention , intervention , intervention , intervention , intervention , intervention , intervention , intervention , intervention , intervention , intervention , intervention , intervention , intervention , intervention , intervention , intervention , intervention , intervention , intervention , intervention , intervention , intervention , intervention , 0.861047852162228 , -2.14653502355082 , 0.995863409831934 , 0.219206820232231 , -2.59397541183433 , 0.283504263689325 , 0.458983923862263 , -0.834146919138985 , 0.957722525144388 , 0.329657221444544 , -0.1649512698603 , 0.441185326461727 , 0.800706263928164 , 0.948811915197323 , 1.95681194559119 , 0.401746052186646 , 1.07166339124182 , 0.612231032794008 , 0.353164141144663 , -0.250213092064414 , -0.161129856948638 , 0.649339687166852 , -0.514647407221468 , -0.42548146196516 , 0.741548118316343 , 0.880904654388127 , 0.546241338970686 , -0.0520750251089955, -1.30577273808635 , 0.876284722306306 , 0.198665614292047 , -0.862207544853308 , -0.354171274857654 , -0.959585810441888 , 1.2024293453287 , -0.0304696266855576, -0.41655025768982 , -1.22910093807508 , 0.040279721457057 , 0.799710421205054 , 0.33867342859578 , -0.205199850419319 , -1.28238587932825 , 0.277105225281473 , -0.280085817852415 , 1.0492645943281 , -0.530083929713326 , -0.474086910810048 , -0.230963336300987 , 0.645502632737411 , 0.248063421874035 , -0.243867633322197 , -1.68952796825852 , 0.328938216860114 , 0.900716340308422 , 1.77917642556949 , -0.224560992535244 , 0.575198094372353 , 1.95406835233638 , 1.19844822036166 , -0.0841680901238899, 1.42778935945519 , 0.45121616180649 , -0.433110363456732 , 1.70358512777988 , -0.707020418644225 , 0.285486915832284 , 1.67642313477806 , 1.29869230495594 , -0.354502213386065 , 1.72147902566734 , -0.768039471892605 , 1.25409449500912 , 1.24863826150491 , -0.540017607304386 , 0.103591003559668 , 1.10031877029688 , -1.1407388886859 , -0.727968739701188 , -0.113319556913906 , 3.22162648628806 , 1.80734639264624 , 1.22808299646862 , -2.96127126888707 , 0.0888598255873143 , -0.82129245658536 , 1.29955862027879 , 0.635784664837178 , 1.71462386658136 , 1.08005116385293 , 0.909426291864513 , 1.26157587862688 , 1.28817088488382 , -0.099226503837759 , -0.625053646283792 , -0.942179956656377 , -0.217968275908144 , 1.10225120963243 , 0.697001096337803 , 1.53232334931171 | 0.0407593 |
| 39 | 50 | 0.5 | 0.1 | 0.5 | control , control , control , control , control , control , control , control , control , control , control , control , control , control , control , control , control , control , control , control , control , control , control , control , control , control , control , control , control , control , control , control , control , control , control , control , control , control , control , control , control , control , control , control , control , control , control , control , control , control , intervention , intervention , intervention , intervention , intervention , intervention , intervention , intervention , intervention , intervention , intervention , intervention , intervention , intervention , intervention , intervention , intervention , intervention , intervention , intervention , intervention , intervention , intervention , intervention , intervention , intervention , intervention , intervention , intervention , intervention , intervention , intervention , intervention , intervention , intervention , intervention , intervention , intervention , intervention , intervention , intervention , intervention , intervention , intervention , intervention , intervention , intervention , intervention , intervention , intervention , 1.69377548948598 , 0.2796767370144 , 0.422039892140706 , -0.549041953304493 , 0.532470934103433 , 0.712382811824313 , 0.0871477571684454 , -0.0298614448600709, 0.627747990524712 , 0.183680435032411 , 0.54175644346846 , 0.0184393314485513 , -0.275191112345461 , 0.120164894882275 , 0.0946493457070279 , 1.02295265797261 , -0.593739881194728 , -0.72408147173514 , 0.464404716601157 , 1.10300410665005 , 0.712301466557533 , 0.0288386781507761 , -0.33233953731906 , 0.0121799712076013 , 0.161176804411413 , -0.534973326482482 , 0.557037562889746 , -0.415681623766741 , 0.194957586976669 , 0.158299881946963 , 0.456444698258001 , 0.0400835867990658 , -0.861224461570393 , -0.698661988863346 , 0.125632274321022 , -0.184575332136108 , 0.193307456348858 , 0.361337646440866 , 0.113746263268211 , -0.0792904156634683, -0.581494817248498 , 0.222576479768147 , 0.129427180398195 , -0.274623799650003 , -0.719135472528148 , 0.34924099264729 , -0.51551426232349 , 0.72010512287994 , 0.0529072405513468 , 0.431982103972949 , 0.600087131420284 , -0.153343574219376 , 0.410600574818678 , 0.849246123604709 , 0.642471830359014 , -0.0365228077950868, 0.442671281963912 , 0.581885910606208 , 1.00215466235051 , -0.770992117893193 , -0.0206187658499276, 0.221597699806902 , 0.355956976919439 , 0.228143036922771 , 0.487178208765926 , 0.602845848970461 , 0.079818414699998 , 0.408179937331625 , 1.11013736176934 , 0.288554008405224 , 0.512103999257837 , 0.519017672227022 , 1.10306186044237 , 0.378013966351981 , 1.30536018149526 , 0.621656154723678 , 0.821302370933875 , 0.290521565793532 , 1.42695864393252 , 0.928151697818473 , -0.251746738728823 , 0.834380517473679 , 0.057946753653868 , 0.772802317054191 , 0.303603170935324 , -1.36507824221077 , 0.025491789008194 , 0.467806760363728 , 0.227695462158717 , 0.299183984300657 , -0.0547913930797136, 0.727164122191118 , 0.122539757734645 , 1.28967534825675 , 0.445823893153266 , 0.859479852414577 , 0.558111712754958 , -0.108310615372825 , 0.382340291160066 , -0.163007762294297 | 0.0038886 |
| 39 | 50 | 0.5 | 0.1 | 1.0 | control , control , control , control , control , control , control , control , control , control , control , control , control , control , control , control , control , control , control , control , control , control , control , control , control , control , control , control , control , control , control , control , control , control , control , control , control , control , control , control , control , control , control , control , control , control , control , control , control , control , intervention , intervention , intervention , intervention , intervention , intervention , intervention , intervention , intervention , intervention , intervention , intervention , intervention , intervention , intervention , intervention , intervention , intervention , intervention , intervention , intervention , intervention , intervention , intervention , intervention , intervention , intervention , intervention , intervention , intervention , intervention , intervention , intervention , intervention , intervention , intervention , intervention , intervention , intervention , intervention , intervention , intervention , intervention , intervention , intervention , intervention , intervention , intervention , intervention , intervention , -0.19316490336425 , 0.424474962129198 , -0.681267961769299 , -0.8289086556579 , 0.270704797538003 , 0.996579720269534 , -0.0813564007195162, -0.98621310031292 , 0.630930037126925 , -1.86878013425228 , -0.360910381049726 , -0.386918657198752 , -0.230768749572011 , -0.0953552578018995, 0.228910216061431 , 0.983237836140237 , 0.208134469401013 , 0.64794930650867 , 0.433566213854913 , 1.46862167010045 , 1.21222016316339 , 1.93807366061795 , 0.21576461920835 , -0.613563068786319 , 0.110461206884643 , 1.02275295430053 , 0.494118700504812 , -0.663933503377171 , -1.64628209645716 , -0.544994345108454 , -1.45984354078916 , -0.714431117316367 , -0.625304042756097 , 0.21998546128154 , 0.840320792304473 , -1.2686522895954 , 0.805987229230852 , -0.373430014431114 , 1.00313178205793 , 0.509184816280027 , 0.986224566588366 , -0.31295610200394 , -0.470112668575265 , 1.68813147057456 , 0.792057993290785 , 2.25618754628132 , 0.268832077300031 , -0.536766304849843 , -0.140798046740271 , -0.7246041957813 , 0.927098674645014 , 0.179128765334931 , -0.647410598144504 , -0.0353720472026195, -0.325918452195048 , 0.872207723492267 , 0.419304894064984 , -0.846638654844661 , -0.784114602482606 , 0.586894714020865 , 1.21546755089133 , -1.582513024993 , -0.975554644187933 , -0.756729443721073 , 0.351746611095614 , -1.5183294775199 , 1.85608385877244 , -0.345919708754031 , 2.1063668514011 , 1.36429363020389 , 0.0830550741213707 , 0.403347198180569 , 0.889913589411953 , 0.95374775200553 , 3.3103884119017 , -1.02095711883886 , 0.999298028288386 , 0.1507118566105 , 1.58033041658194 , 0.426853330693199 , 2.92597680511981 , 0.585421868284932 , 1.8641513299459 , 0.937772084466976 , -0.847262543196432 , -0.388111282362216 , -1.34734149774106 , 3.98689786680695 , 0.816516221506873 , 2.43036785710394 , -0.449500834327009 , 0.616545918247167 , 2.0105472029354 , 1.22491267988951 , -0.445631020104066 , 0.562313406659674 , 0.226429857117913 , -1.2097414616615 , -0.471286464965163 , 1.5735311883749 | 0.0752291 |
| 40 | 20 | 0.0 | 0.0 | 0.5 | control , control , control , control , control , control , control , control , control , control , control , control , control , control , control , control , control , control , control , control , intervention , intervention , intervention , intervention , intervention , intervention , intervention , intervention , intervention , intervention , intervention , intervention , intervention , intervention , intervention , intervention , intervention , intervention , intervention , intervention , 0.0978582329003052 , -0.216283876052177 , -0.329425533601151 , 0.816857406407499 , 0.0486862653013855 , -0.407179907750174 , 1.11525661149292 , -0.457899045938096 , -0.0289975989202653, 1.07482371949972 , 0.453278137393506 , -0.232252826920307 , -0.439473515131038 , -0.0688039177102541, 0.0363419384672087 , -0.851039703278037 , -0.491974101325068 , 0.0303952696418261 , 0.383666777035148 , -0.88421949846071 , 0.277319929689446 , -0.410138939506323 , 0.832807655599391 , 0.134559553113152 , 0.866754614899832 , 0.622731033930155 , -0.169908749058156 , 0.177751257093749 , -0.744988503623057 , 0.135683392021604 , 0.239522157529117 , 0.38453695365288 , 0.65054152509478 , 0.64118979583802 , -0.770375457702143 , -0.345063839120092 , 0.178847551308057 , 0.0220847621084616 , -0.398249349482315 , -0.0810320557454753 | 0.4374307 |
| 40 | 20 | 0.0 | 0.0 | 1.0 | control , control , control , control , control , control , control , control , control , control , control , control , control , control , control , control , control , control , control , control , intervention , intervention , intervention , intervention , intervention , intervention , intervention , intervention , intervention , intervention , intervention , intervention , intervention , intervention , intervention , intervention , intervention , intervention , intervention , intervention , -0.261712128587518 , 0.44320362330066 , 0.0788897494445328 , -0.822591119517939 , -0.251990062610333 , -1.52929435660274 , 1.46054999226472 , 0.562959806451711 , -0.134811429899208 , 1.60716658617374 , 0.360442852384795 , -0.16313603336293 , -1.49234521786606 , -1.10059483246148 , -0.711528153366497 , -0.509026429062619 , 0.878107886072215 , -0.357650769365004 , 1.32309182314056 , -0.109385751123608 , 1.12036367469962 , -1.20815306015908 , -0.939435869779097 , -0.937582117545477 , 1.3976977899662 , -1.37495741059552 , 1.04981097764355 , -2.00139158600242 , 2.29612934363496 , 1.23534534046781 , -1.35721811212852 , 0.500439475366037 , -2.08363989785334 , -1.0392842461662 , -0.389169555208682 , 0.984223240705534 , -1.0972703608079 , -1.56006174692209 , -0.0894851633934057, -0.322478624736964 | 0.4707899 |
| 40 | 20 | 0.0 | 0.1 | 0.5 | control , control , control , control , control , control , control , control , control , control , control , control , control , control , control , control , control , control , control , control , intervention , intervention , intervention , intervention , intervention , intervention , intervention , intervention , intervention , intervention , intervention , intervention , intervention , intervention , intervention , intervention , intervention , intervention , intervention , intervention , 0.182324768660711 , -0.184067834567395 , 0.210559235845254 , 0.302339384714057 , 0.472512012495575 , 0.617198946663643 , -0.120144597868784 , 1.02909287195289 , 0.382586273099974 , 0.372454087672249 , 0.074581682488903 , 0.753616033946481 , 0.629842180803277 , 0.371421946611868 , -0.48063912438972 , 0.266895993848812 , -0.510916524097097 , 0.927801008035067 , 0.316892470012644 , 0.063899536780135 , -0.651965476826824 , 0.479462318495813 , 0.0914430737948389 , -0.11042091251654 , 1.18009918304222 , 0.662167895510343 , -0.175885059305147 , 0.274694529338358 , 0.231974317730231 , 0.575096047108009 , -0.946818435953162 , 0.0739480848902112 , -0.138942386954949 , -0.417696386454712 , 0.292020711240307 , -1.05330082125293 , -0.550633604557805 , -0.0188782827292528, -0.0481028619515999, -0.178946271266584 | 0.0519689 |
| 40 | 20 | 0.0 | 0.1 | 1.0 | control , control , control , control , control , control , control , control , control , control , control , control , control , control , control , control , control , control , control , control , intervention , intervention , intervention , intervention , intervention , intervention , intervention , intervention , intervention , intervention , intervention , intervention , intervention , intervention , intervention , intervention , intervention , intervention , intervention , intervention , 0.722035342947686 , 0.362345785938107 , -1.07229042440221 , 1.17488208593619 , -0.557411082885663 , 0.0620398153300293 , 1.53158287639229 , -2.02127459019217 , 0.0900773928577565 , -0.753858275693786 , 0.171254417456742 , -0.220321634960795 , 1.35405811721512 , -0.900447188721265 , 0.358632285386458 , -0.106871194673089 , 1.45983628118899 , -0.238453032959397 , 0.455530978890068 , -0.423802215372652 , 1.72329769590548 , 0.187212630067476 , 1.40909066849467 , -1.57084052592794 , 1.4612507698403 , -1.36212439943117 , -0.338743399865405 , 1.43598963113867 , -0.551611734981873 , -0.78729046923499 , 0.422948136075481 , -2.44068054592416 , -0.00999922425946012, 1.50032142101374 , -0.487800330783141 , -0.262211210558662 , -0.153431710394784 , -0.239199206912062 , -0.0342786014425533 , 0.0644981247629207 | 0.8188040 |
| 40 | 20 | 0.5 | 0.0 | 0.5 | control , control , control , control , control , control , control , control , control , control , control , control , control , control , control , control , control , control , control , control , intervention , intervention , intervention , intervention , intervention , intervention , intervention , intervention , intervention , intervention , intervention , intervention , intervention , intervention , intervention , intervention , intervention , intervention , intervention , intervention , 0.069655259264934 , 1.0601816320349 , -0.541931642944847 , 0.821740147296209 , -0.0121628632602591, -0.353991942764189 , -0.841739912032855 , 0.437017256043022 , 0.313878876051412 , -0.0523681419651937, 0.0388023164765115 , 0.904943305195263 , 0.112310727915631 , -0.184663567190579 , 0.217640068953804 , -0.0248229932063193, 0.188421724203912 , -0.419354408347788 , -0.569913643457479 , 0.855550833513048 , 0.802095631711161 , 0.057352016215814 , 0.110395150008059 , 0.463379597331344 , 0.566267482241075 , 0.553218789245439 , 1.11021823274185 , 0.544650933376082 , -0.212566711966218 , 0.736432361385622 , 0.276950819316947 , 0.968316094456616 , 1.45417708569675 , 1.3144950168231 , 1.25154831841171 , 0.915734737610465 , 1.4328459810646 , -0.292673968990382 , 0.915815564317693 , 0.444546203901262 | 0.0013234 |
| 40 | 20 | 0.5 | 0.0 | 1.0 | control , control , control , control , control , control , control , control , control , control , control , control , control , control , control , control , control , control , control , control , intervention , intervention , intervention , intervention , intervention , intervention , intervention , intervention , intervention , intervention , intervention , intervention , intervention , intervention , intervention , intervention , intervention , intervention , intervention , intervention , -0.645349004822073 , 0.277162250358252 , 2.28127747618701 , 0.684077338862117 , 0.674239091877427 , 0.699688414825179 , 0.828671725423 , 0.681794938413745 , 2.23424717400642 , -0.677635470512167 , -1.40434347595482 , 0.855326104087871 , 0.895319219904389 , 0.320082102815945 , -0.430010735011622 , 1.68746046963402 , -0.162048865289099 , 0.845903606905358 , 0.907501117432311 , 0.776090921243005 , 0.940335245782958 , -0.0343805908103224, 1.42565552734263 , -0.234480038596889 , 0.210106299717222 , 0.292718802036242 , 0.806430491055236 , -0.563487717943858 , -0.141003581604075 , 0.755872499546936 , 2.17107925004039 , -0.564872103438598 , -0.723362953542815 , 1.5915624726424 , -0.453613395428567 , 3.63353282212589 , 1.3233212528738 , 0.168405953748303 , -0.125167694242154 , 2.92726321248662 | 0.7609959 |
| 40 | 20 | 0.5 | 0.1 | 0.5 | control , control , control , control , control , control , control , control , control , control , control , control , control , control , control , control , control , control , control , control , intervention , intervention , intervention , intervention , intervention , intervention , intervention , intervention , intervention , intervention , intervention , intervention , intervention , intervention , intervention , intervention , intervention , intervention , intervention , intervention , -0.437497335250575 , 0.28514312838476 , 0.171674644731349 , 0.129869681785012 , -0.196926861831462 , -0.375494655020369 , -0.435437690588553 , -0.362275519558137 , 0.452932241514417 , 0.680459386450738 , 0.486628109123894 , -0.0979228568643027 , 1.17054530621236 , -0.783765214132008 , 1.06936150390231 , -0.0665942173228681 , 0.599959302368631 , 0.692154555911121 , -0.648386488716147 , 0.23067269082198 , 0.79693526978999 , 1.46501101248702 , 0.149413175736615 , 1.73402569323274 , 0.720281380402629 , 0.222966226432808 , -0.113150878917249 , 1.02845940694686 , -0.236345489322403 , -0.00425400533454634, -0.14895958501501 , 0.493337541510953 , 0.723999178081671 , 0.046524662338334 , 0.0495698160823516 , -0.324495851928553 , 1.05743530821854 , 0.241776461774727 , 0.234586771634285 , -0.141173148480265 | 0.1396528 |
| 40 | 20 | 0.5 | 0.1 | 1.0 | control , control , control , control , control , control , control , control , control , control , control , control , control , control , control , control , control , control , control , control , intervention , intervention , intervention , intervention , intervention , intervention , intervention , intervention , intervention , intervention , intervention , intervention , intervention , intervention , intervention , intervention , intervention , intervention , intervention , intervention , -1.18509407099241 , 2.78994568647797 , -0.367697246675052, -0.490439670124992, 0.963873474548798 , -1.50573574173402 , -1.05947533623047 , 0.628271427765856 , -1.22947847690505 , 0.332278215210522 , -0.725198733689587, -1.32218863177456 , 1.30782663535912 , -0.633114970810761, -0.292446192597097, -0.104042987539537, -0.984394745440425, 0.0255614288203776, 0.786618956599466 , 1.45375109352754 , 1.24719186920869 , 2.5628373609329 , 0.0636066202024365, -0.147839604417442, 0.0904880871607314, 1.76252213580513 , 1.16939555105641 , 1.36254218061214 , -1.03830415067636 , 1.13682232812277 , 0.627157598422587 , -0.761877323489413, 1.56782723655569 , 1.63793921637748 , 0.694799857359948 , -1.0905259901162 , 0.129430428207148 , 0.914617681138759 , 1.58850351143039 , -0.520373099111747 | 0.0378683 |
| 40 | 50 | 0.0 | 0.0 | 0.5 | control , control , control , control , control , control , control , control , control , control , control , control , control , control , control , control , control , control , control , control , control , control , control , control , control , control , control , control , control , control , control , control , control , control , control , control , control , control , control , control , control , control , control , control , control , control , control , control , control , control , intervention , intervention , intervention , intervention , intervention , intervention , intervention , intervention , intervention , intervention , intervention , intervention , intervention , intervention , intervention , intervention , intervention , intervention , intervention , intervention , intervention , intervention , intervention , intervention , intervention , intervention , intervention , intervention , intervention , intervention , intervention , intervention , intervention , intervention , intervention , intervention , intervention , intervention , intervention , intervention , intervention , intervention , intervention , intervention , intervention , intervention , intervention , intervention , intervention , intervention , -0.207267600718025 , -0.00363770256965904 , -0.906989150943269 , -0.407531759099826 , -0.164169839508039 , 0.334898270459621 , -0.668349683380996 , -0.337567362302328 , -0.509721169632998 , 0.24471092256253 , -0.414317832633122 , 0.616136097134505 , -0.306868356955045 , -0.0463932639044167 , 0.0311035346053314 , -0.0295509479033467 , 0.306348417163731 , -1.09390818848745 , 0.101243566014219 , 0.380480759237266 , -0.729758166189729 , 0.915668006711285 , -0.0303037216382825 , -0.255260792821456 , -0.00311361554649928 , -0.118793154976735 , -0.000251942600863933, 0.095802093652806 , -0.1918772249663 , -0.564906057366082 , 0.309350847775164 , -0.243636080045693 , -0.516993183073379 , -0.160334120182216 , -0.00392543267724 , 0.0410185750742509 , 0.331683424326603 , -0.257462842659165 , 0.0404581541703557 , -0.575548690609918 , 0.585005097186846 , 0.0772566317569101 , -0.126292608113233 , 0.25330897007243 , 0.746070278255638 , 0.288468014675989 , 0.271824459506257 , 0.00723456063542927 , 0.607490008067219 , -0.868158542195349 , -0.398476877201029 , -0.10262884863356 , 0.778628024988957 , 0.648093616953444 , 1.78066145546735 , 0.306600265076879 , 0.0720316997445799 , -0.261584824145981 , 0.729877218971198 , 0.545633007838871 , 0.0603770743737572 , 0.610023131473 , 0.340460639217228 , -0.235875872697613 , -0.130322236774794 , -0.235714474527946 , -0.372852127602091 , -0.491186181991125 , 0.159956522602373 , 0.259583922694813 , 0.669777848603987 , 0.699673945470391 , -0.262619407981171 , 0.378651606414478 , 0.113616054422081 , -0.432838859520125 , 0.270615074667122 , -1.05036507968964 , -0.035240733705069 , 0.393931167456839 , -0.399599106398315 , -0.270418930744655 , 0.16481311738561 , 0.173637795846416 , 0.599508096525911 , -1.25350605685272 , -0.131468024741065 , 0.662506101556252 , -0.15479055067926 , -1.53710218020613 , -0.199699726989039 , 0.336765104165223 , 0.341495773613075 , -0.0622008698468376 , 0.549726703374421 , 0.277897593668174 , 0.371654834514764 , -0.596737907984201 , -0.351720842988586 , 0.153953077665292 | 0.1849354 |
| 40 | 50 | 0.0 | 0.0 | 1.0 | control , control , control , control , control , control , control , control , control , control , control , control , control , control , control , control , control , control , control , control , control , control , control , control , control , control , control , control , control , control , control , control , control , control , control , control , control , control , control , control , control , control , control , control , control , control , control , control , control , control , intervention , intervention , intervention , intervention , intervention , intervention , intervention , intervention , intervention , intervention , intervention , intervention , intervention , intervention , intervention , intervention , intervention , intervention , intervention , intervention , intervention , intervention , intervention , intervention , intervention , intervention , intervention , intervention , intervention , intervention , intervention , intervention , intervention , intervention , intervention , intervention , intervention , intervention , intervention , intervention , intervention , intervention , intervention , intervention , intervention , intervention , intervention , intervention , intervention , intervention , 1.98164470429039 , -0.821227580384715 , -1.96898533356781 , 0.423229800671794 , 1.40827462338317 , -1.46779408109503 , 0.989664090233923 , -0.0441206823361321 , 0.791408419202352 , 0.1129742506023 , -0.41338173864758 , 0.163580932421632 , -1.71310784770265 , 1.38772255391743 , 0.709361930984466 , -1.81991033297802 , 1.5841384188414 , -0.47115997991078 , 0.139396049972785 , -0.498853039539915 , 0.749018492487114 , -0.802805726730535 , -1.42815503496121 , 0.471961801115595 , 0.227972247449953 , -0.53572742253629 , -0.992475394191717 , -1.86085732824121 , 1.39536081537088 , 0.200363301205225 , -1.07098941911155 , 0.349848436703184 , 0.476107217645885 , -0.368430865082848 , -0.350511527299239 , 0.919121566758862 , -0.892911399587355 , -0.0626261973068917 , -0.549768014152155 , -0.340730339653789 , -0.277293527194666 , 1.54504975558225 , -1.56572017802825 , -1.98728871716229 , -1.07944666643277 , -1.20860941394087 , -0.662016636615047 , 0.428837879143764 , 0.870257977612596 , -2.79837909922951 , 1.93651360391201 , -0.984680500031614 , 0.985172623192428 , -1.18235487414176 , -0.0234134521279077 , 0.84655496983839 , -0.53827845724116 , -0.450198374745583 , 0.494090408308399 , -0.909015414501005 , 0.208859182237442 , -1.27732662312466 , 0.814865733122598 , 1.44657212085579 , 0.22893391400047 , -1.53597448989305 , 0.632545483401555 , -0.351603553908416 , -0.662927357173393 , 0.306115048555443 , 0.880982294474655 , 0.422619465251948 , -0.85501403324897 , 0.184040643582852 , 0.0599717796609869 , -0.80332985888697 , -0.0621435442303872 , -0.778713023860096 , -0.590970618318697 , 0.200204065061828 , -0.756460259147983 , 0.566298175921267 , 0.584283370066355 , -0.558130899521029 , -1.28147461846088 , 2.66088532918506 , 0.247540747929302 , 0.191401371450876 , 0.43010354315333 , 0.0166703938979381 , -1.30271879203578 , -0.689330951146208 , 0.930064912088292 , -0.300247125571783 , -0.450690974080836 , -0.929342015512154 , 0.717410196813346 , 1.47460704558376 , 0.144298314652501 , -0.00268947914213551 | 0.2684880 |
| 40 | 50 | 0.0 | 0.1 | 0.5 | control , control , control , control , control , control , control , control , control , control , control , control , control , control , control , control , control , control , control , control , control , control , control , control , control , control , control , control , control , control , control , control , control , control , control , control , control , control , control , control , control , control , control , control , control , control , control , control , control , control , intervention , intervention , intervention , intervention , intervention , intervention , intervention , intervention , intervention , intervention , intervention , intervention , intervention , intervention , intervention , intervention , intervention , intervention , intervention , intervention , intervention , intervention , intervention , intervention , intervention , intervention , intervention , intervention , intervention , intervention , intervention , intervention , intervention , intervention , intervention , intervention , intervention , intervention , intervention , intervention , intervention , intervention , intervention , intervention , intervention , intervention , intervention , intervention , intervention , intervention , -0.848789790457722 , -0.2952896389903 , -0.087898234189141 , -0.102970287466225 , -0.159967874488936 , 0.480897638135695 , -0.21774718101975 , 0.682506837874107 , 0.103675648990162 , -0.256365508944956 , 0.513819625243821 , 0.767715084323866 , -0.24201388194296 , -0.283330711510363 , 0.581599920125383 , 0.24055260547504 , -0.367822934425243 , 0.0955193007431745 , 0.472009572053807 , -0.696804989221002 , -0.432519688321363 , -0.489344746120921 , -0.188463732396654 , -0.102734168480128 , 0.656208466665491 , 0.646031806617931 , 0.815458608413362 , 0.155835000461906 , -1.31808622107674 , -0.164741485440493 , 0.233519944838535 , 0.690479160858294 , -0.0672735666975364, 0.237768197077215 , -0.287269923654294 , 0.273316155088961 , 0.276208699017779 , 0.75773043059026 , 1.10864920552353 , 0.781024636198805 , 0.197515578973284 , 0.00217837032530815, -0.404880345426912 , 0.025776812191781 , -0.430713364066725 , -1.3370683852784 , 0.553901772355636 , -0.079926408397737 , 0.139495617783284 , 1.00839066149276 , 0.733922471855158 , 0.011412758840611 , 0.421086931851135 , -0.280800017489411 , -0.440018999745169 , -0.230973215152476 , 0.183099158807647 , 0.03195796508636 , -0.230075055567823 , 0.804876902119888 , 0.17611344257525 , 0.377051615549939 , 0.0259323384847723 , 0.668744414725781 , -0.347004047917999 , -0.292715144888581 , 0.229780087744978 , -0.135801795978687 , -0.46334413560958 , 0.39386641803448 , 0.241321122420109 , -0.512122797086877 , 0.0222630627889475 , -1.1649035975959 , 0.517964053921957 , -0.342352935150727 , 0.05190773480088 , -0.416668730069841 , 0.149288170936366 , -0.510742519984232 , -0.0452411751001955, 0.205460483477123 , 0.327832050383973 , -0.41773629725201 , 0.228733134246023 , -0.128649127224195 , 0.0488676723818369 , 0.0379669965004691 , -0.207355934773461 , 0.371234162619351 , -0.117893880124637 , -1.20514515713435 , 0.690504139174455 , -0.217358545611 , -0.29027321714599 , -0.650613600662038 , -0.681807315107269 , -0.324778553218638 , 0.707267868846073 , 0.00643382930169124 | 0.2567173 |
| 40 | 50 | 0.0 | 0.1 | 1.0 | control , control , control , control , control , control , control , control , control , control , control , control , control , control , control , control , control , control , control , control , control , control , control , control , control , control , control , control , control , control , control , control , control , control , control , control , control , control , control , control , control , control , control , control , control , control , control , control , control , control , intervention , intervention , intervention , intervention , intervention , intervention , intervention , intervention , intervention , intervention , intervention , intervention , intervention , intervention , intervention , intervention , intervention , intervention , intervention , intervention , intervention , intervention , intervention , intervention , intervention , intervention , intervention , intervention , intervention , intervention , intervention , intervention , intervention , intervention , intervention , intervention , intervention , intervention , intervention , intervention , intervention , intervention , intervention , intervention , intervention , intervention , intervention , intervention , intervention , intervention , 0.943894772602363 , -0.120824713442782 , 0.450844602766821 , -1.89648872233858 , -1.23363387093725 , 0.369291118734713 , -1.16381274472144 , 2.15283921855197 , -0.719118873745688 , 0.394138058065764 , 0.848293396512503 , -1.22591252692239 , 0.270590414767936 , 0.244071640946465 , -0.544490820701741 , -1.00931683159689 , 0.20194250467296 , 1.10787868174978 , 2.20875443017575 , 0.683326805311267 , -0.144851601222521 , 1.76693353208536 , 0.131233172230324 , 1.1384612165212 , 0.0937470378239434 , -0.411610790324932 , 1.53101988059751 , -1.08498512312311 , 2.02287467026831 , -0.473966660624576 , -1.98906933765759 , 1.53281174531243 , 0.0524102767315713 , -0.940239834216578 , -1.81981775220208 , 0.205268600879299 , -0.538995579915395 , 0.335683930867233 , 0.47308765268615 , 1.91523556158788 , -1.01007431035425 , -3.32227136033679 , 0.121139572303323 , 1.27678849237611 , -2.68439660358674 , 1.13675478455405 , 1.82090474544586 , -1.20919379536683 , -0.513855632221386 , -1.43558979612073 , -0.623410660694007 , 0.342537785895675 , -1.46110642929482 , 0.206854814997892 , -0.252285673287243 , -0.0834667887949437, -1.89635555638219 , -1.11258863128871 , 0.264536048665714 , -2.0629878437113 , -0.467566460477776 , -1.51750231259328 , -0.0447636969943144, -0.300531105617242 , -0.194612512193743 , -1.16711754809002 , 1.00132388460639 , -0.0779393066805799, 0.267923390809861 , 0.62355348714596 , 1.07517250542938 , -2.17192543097495 , -0.012404382600485 , 0.651278501843531 , -1.27152163672544 , 0.685683850973075 , 1.66517946553933 , -1.66183533874488 , 1.85633123155936 , -1.49081788668684 , 2.79612102126814 , 0.199418970169603 , 0.0660590191184236 , 2.05108010007081 , -1.26837146101352 , 0.418674283445878 , -0.332126323724261 , 1.43051803481434 , 0.195313688487908 , -0.393381460334131 , 0.206414411029921 , 1.31080684384845 , 0.374004824498342 , -0.549464008939204 , 0.507935223693814 , -1.03695934761882 , -0.0991749655139667, -0.501873418540828 , 1.6102515417453 , -1.09077265023111 | 0.7851002 |
| 40 | 50 | 0.5 | 0.0 | 0.5 | control , control , control , control , control , control , control , control , control , control , control , control , control , control , control , control , control , control , control , control , control , control , control , control , control , control , control , control , control , control , control , control , control , control , control , control , control , control , control , control , control , control , control , control , control , control , control , control , control , control , intervention , intervention , intervention , intervention , intervention , intervention , intervention , intervention , intervention , intervention , intervention , intervention , intervention , intervention , intervention , intervention , intervention , intervention , intervention , intervention , intervention , intervention , intervention , intervention , intervention , intervention , intervention , intervention , intervention , intervention , intervention , intervention , intervention , intervention , intervention , intervention , intervention , intervention , intervention , intervention , intervention , intervention , intervention , intervention , intervention , intervention , intervention , intervention , intervention , intervention , -0.0851179071148174 , 0.50314404255938 , 0.148906297401606 , -0.0286303282582307 , 0.378275581043355 , 0.500573232962195 , -0.487913068396491 , 0.838320359142408 , 0.830392307517246 , -1.11611936664891 , -0.0389872982776415 , 0.447196017300598 , -0.391772672951569 , 0.00853849427545476 , -0.231882839883078 , 0.207816072445155 , 0.280325530990779 , -0.031461710431855 , 0.00793622601079868 , -0.0416896795932832 , 0.768121006618234 , -0.739757046756332 , 0.299367149096051 , -0.124065132861369 , 0.678871777388738 , 0.177130251894918 , -0.341369351510537 , 0.533250247490955 , -0.413723495369417 , -1.37703895531027 , -0.406490765651019 , 0.555682390721656 , 0.141047317281561 , 0.362768824744216 , -0.361633640563893 , -0.705596432280749 , 0.486309176043583 , 0.153547203679862 , -0.648563213314983 , -0.417893282461127 , 0.207654125628507 , 0.356096523478784 , -0.220297462483475 , 0.222829508774883 , 0.0123188338129613 , -0.272259682072729 , 0.0186196537478368 , -0.17439612572003 , 0.36688109864476 , -0.454912160919085 , -0.0299208400390499 , 1.307844836755 , 0.792534281540809 , 1.04340342622321 , 0.444761507230989 , -0.78867138242826 , -0.00848810289619695, 0.572283208779 , 0.553154247662389 , -0.0240679952549275 , -0.324012621679812 , 0.886033856896678 , 0.0232106863797893 , 0.771894226159772 , -0.175573449160391 , 0.0407321900286086 , 1.1678965163892 , 0.159778838298563 , 0.795123256641054 , 0.456210807562273 , 0.539694724456275 , 1.88760603133763 , -0.0659898027729021 , 0.377742680837124 , 0.504319263760318 , 0.252219408062836 , 0.834150972512841 , -0.121951500120035 , 0.0206667532711832 , 0.88076896111379 , 0.596201406297605 , 0.831804684809599 , 0.475963437938646 , 0.998064870539503 , -0.468578540039815 , 0.435155351257658 , -0.514716778064124 , 0.422965378713685 , 0.259827659489242 , 1.05030077912489 , 0.307203686286862 , 0.558968204625189 , -0.247310244152495 , 0.221107327221577 , -0.0907454010354362 , 1.06974273406415 , 0.239082061734794 , 0.182997018476897 , 0.683606741074533 , 0.784377706161341 | 0.0000985 |
| 40 | 50 | 0.5 | 0.0 | 1.0 | control , control , control , control , control , control , control , control , control , control , control , control , control , control , control , control , control , control , control , control , control , control , control , control , control , control , control , control , control , control , control , control , control , control , control , control , control , control , control , control , control , control , control , control , control , control , control , control , control , control , intervention , intervention , intervention , intervention , intervention , intervention , intervention , intervention , intervention , intervention , intervention , intervention , intervention , intervention , intervention , intervention , intervention , intervention , intervention , intervention , intervention , intervention , intervention , intervention , intervention , intervention , intervention , intervention , intervention , intervention , intervention , intervention , intervention , intervention , intervention , intervention , intervention , intervention , intervention , intervention , intervention , intervention , intervention , intervention , intervention , intervention , intervention , intervention , intervention , intervention , 1.04266030651754 , -1.32910015604865 , -1.61654295250281 , 1.79209037438595 , -0.572439001671171 , 0.650868498931507 , 1.47261839055368 , -1.60487881792274 , 0.668032336404528 , -0.163948391090976 , 1.85142708906921 , 0.932330165080772 , 0.336373989499917 , -1.10529395157096 , -0.0055576124894254, 2.56079725339636 , -0.293460592621413 , 0.90155474055985 , 2.03456012049704 , -1.41932124366629 , -0.767595325231306 , 0.716789602578643 , 0.756865039929263 , -0.217618917240691 , 0.760510299561575 , -0.414496983979108 , 0.391685599867074 , -0.908311835937689 , 0.832086109921209 , -2.02544523833711 , 0.679464049956287 , 0.467191742899452 , -0.703234266173075 , 0.252127755895246 , -0.697071860428174 , 0.522067558521932 , -0.255986199737735 , 0.838737522615754 , -1.49235487101803 , -1.22456713374787 , 0.170477447659495 , -1.52759747224778 , 0.68295421583607 , 0.477451417523478 , -0.823284751403774 , 0.0305046255033802 , 1.43099906152864 , 0.457883907197214 , 0.33380359452208 , -2.38925839794331 , 0.849349761797276 , 1.1182999415644 , 1.68149850220966 , -0.544639939411317 , 2.37381684444479 , 2.02966806993341 , 2.12837709775355 , -0.119654465878097 , -0.0792678304131149, -0.249709557501188 , 1.64178532044183 , -0.82038997537406 , 0.922009649433343 , -0.162955661601385 , 0.847112785438816 , -0.0128549459788606, -0.277709849021365 , -0.397536690186045 , 1.72682704575664 , 1.21726473304192 , -1.12650772116991 , -0.578964726858336 , 0.799954337123312 , 0.523215189510604 , 1.38647292227809 , 1.06726107351985 , 0.675854220231112 , -0.0777472126916112, 0.195666553549049 , 0.843543800496885 , 1.25121532618709 , 0.598883489599341 , 0.929246967549394 , -0.420737234396657 , 0.395676436023666 , -0.101866977539743 , 0.21108481079642 , 0.915554811589888 , -0.576470766886814 , -1.01562935807371 , -0.516664128544513 , 1.05780991702028 , -0.337042422617257 , 0.471620118514585 , 0.199101585562057 , 1.1376110273027 , 1.67034109568362 , 2.68895490530137 , -0.0739530412179221, 0.949405731817255 | 0.0175462 |
| 40 | 50 | 0.5 | 0.1 | 0.5 | control , control , control , control , control , control , control , control , control , control , control , control , control , control , control , control , control , control , control , control , control , control , control , control , control , control , control , control , control , control , control , control , control , control , control , control , control , control , control , control , control , control , control , control , control , control , control , control , control , control , intervention , intervention , intervention , intervention , intervention , intervention , intervention , intervention , intervention , intervention , intervention , intervention , intervention , intervention , intervention , intervention , intervention , intervention , intervention , intervention , intervention , intervention , intervention , intervention , intervention , intervention , intervention , intervention , intervention , intervention , intervention , intervention , intervention , intervention , intervention , intervention , intervention , intervention , intervention , intervention , intervention , intervention , intervention , intervention , intervention , intervention , intervention , intervention , intervention , intervention , 0.687817911015622 , -0.23663167548217 , -0.23769076436493 , 1.01438533279995 , -0.181423761052682 , 0.0790900944259287 , 0.222361428051995 , -0.666212216230908 , -0.717211691070422 , 0.332005986371974 , -0.690487034617759 , 1.04408552488944 , -0.6735778339015 , -0.269550203997831 , -0.739208313072881 , 0.733589259261288 , -0.627534338295246 , 0.392130985349306 , 0.440902881385344 , 0.268769626844095 , 0.377110792353505 , -0.35146665039613 , 0.244466513076493 , -0.414822487340873 , 0.0714504124020855 , 0.062596592360731 , -0.770392946791288 , -0.212832525375018 , -0.0937082397872492, -0.405566166762576 , 1.26389595847074 , -0.573675790768131 , 0.13142067062386 , 0.978102394835753 , -0.248655810367205 , 0.0971009841712196 , 0.786660762332605 , -0.142425337692213 , -0.819179569195687 , 0.321071689228248 , -0.366692742775348 , 0.333124017623473 , 0.659182557791346 , 0.552815555732976 , 0.66489935180579 , 0.636232277320377 , -0.463714296471171 , -0.351117425290096 , 0.305210451721012 , 0.449173447572644 , 0.662858774673389 , 0.815542227495702 , 0.230317336321522 , 0.973958412835168 , -0.0181434413901638, 0.995962757156629 , 0.0665098257048569 , 0.532153761013331 , 0.853293358783658 , 0.0674802034753592 , -0.435967249657452 , 0.978648024714595 , 0.305741603998711 , 1.69148021076202 , 0.0930058892893105 , 0.405036276418234 , 0.271615132876601 , 0.773780386651536 , 0.767391239718648 , 0.646558156997301 , 0.85082791678287 , 0.299109333130182 , 0.775851108714853 , 0.994695666412212 , 0.745531775917508 , 0.117513882569859 , 1.27637326267848 , -0.0892932412649197, 0.723369655827319 , 0.153752214687782 , 0.517525911097262 , -0.308086040003002 , -0.556495451170669 , 1.27104272847628 , 0.314806083612426 , 0.762483835933718 , 1.2284534344199 , 0.0785368035091204 , 0.958590541985398 , 0.467251297111782 , 0.0819887605309891 , 0.38026297938514 , 0.730319917928929 , 0.505579136269213 , -0.264288508171779 , 1.05737332049815 , 0.260859490776768 , 0.626013384057324 , 0.272978577954799 , 0.571063781951721 | 0.0000258 |
| 40 | 50 | 0.5 | 0.1 | 1.0 | control , control , control , control , control , control , control , control , control , control , control , control , control , control , control , control , control , control , control , control , control , control , control , control , control , control , control , control , control , control , control , control , control , control , control , control , control , control , control , control , control , control , control , control , control , control , control , control , control , control , intervention , intervention , intervention , intervention , intervention , intervention , intervention , intervention , intervention , intervention , intervention , intervention , intervention , intervention , intervention , intervention , intervention , intervention , intervention , intervention , intervention , intervention , intervention , intervention , intervention , intervention , intervention , intervention , intervention , intervention , intervention , intervention , intervention , intervention , intervention , intervention , intervention , intervention , intervention , intervention , intervention , intervention , intervention , intervention , intervention , intervention , intervention , intervention , intervention , intervention , -0.195075954361404 , -0.790561039465905 , 0.571293024794496 , 0.827131600720423 , -0.0271290491647116, -3.05773625369827 , 1.39569888482992 , 0.290699869572263 , 0.517735775271621 , -0.855596641005427 , -2.08566083416702 , -1.08235609118673 , 1.49672112834696 , 0.486430293947756 , -0.320796190523461 , 0.453693009266393 , 1.91225715260384 , -0.0522612124525626, 0.246134650297592 , -0.642622397014881 , 2.0432672691525 , -0.278737328137704 , -2.35077923322991 , -0.29340581992315 , -0.149285350349743 , 1.00046784677405 , 0.474863112315212 , 0.74930762138422 , -1.89586098440957 , -1.00836557799313 , -0.254381421722017 , 0.495891942503855 , -0.367848749166651 , -0.180890532136524 , -0.505429865904099 , -0.430869189784053 , -0.0818454933771098, -0.432218252733579 , -0.0420050413876054, 1.39883818453924 , 0.35472833005293 , 0.0956410035637492 , 0.770565799210479 , 0.301508297809159 , 0.339491998966238 , 0.434101083133134 , -0.77208743147147 , -0.248400850426028 , 0.559623948255485 , -0.593926801314813 , 0.974652287773608 , 0.0799792359846278 , 1.0026118799449 , 0.893983769806095 , 0.713941774129693 , 0.971145929240044 , 1.80601743120343 , 0.629502836374841 , 2.21682617533286 , 0.637337435967552 , 1.22385751656519 , 1.59554668671186 , -0.100198261432802 , 0.80494175798148 , -0.241591506833818 , 1.17065195025989 , 1.76363634639053 , -0.320067131112834 , 0.288031182179876 , -0.176074309129935 , 0.376010498562112 , -0.748352015470027 , -1.21086838194398 , -0.0174388423187752, 0.475044347790256 , 0.309273240261371 , -0.124011626654593 , -0.273503332540384 , -0.220535768512059 , 2.2113811889748 , 0.0525283754298421 , 1.52299740254248 , 1.12028216852873 , 0.398544223353291 , 0.70515833158797 , 0.433095955920383 , 1.05388293454071 , -0.225675350575349 , 0.596795084212498 , -0.567067511826135 , -0.806005018231288 , 0.595292454416914 , 0.868195852032697 , 0.53219246008045 , -1.1482964107723 , 1.71956330140069 , 0.888219666775428 , -0.0869894394053731, -1.65913816484734 , -0.886856674249842 | 0.0132771 |
| 41 | 20 | 0.0 | 0.0 | 0.5 | control , control , control , control , control , control , control , control , control , control , control , control , control , control , control , control , control , control , control , control , intervention , intervention , intervention , intervention , intervention , intervention , intervention , intervention , intervention , intervention , intervention , intervention , intervention , intervention , intervention , intervention , intervention , intervention , intervention , intervention , 0.0968010296780341 , 0.588779582541852 , -0.169429676214354 , 0.106106059880447 , -1.12140361766842 , -0.372428056592013 , 0.0681097330715564 , 0.113888633188558 , 0.481024469490388 , 0.168272570491559 , -0.206163902265089 , 0.150904841043636 , 0.18687070327021 , -0.0433508639922038 , 0.0897118550914378 , -5.31023070672624e-05, -1.00262992718341 , -0.765731652426081 , 0.331470249623439 , -0.0227656472623748 , -0.0751991148270146 , -0.609479829860345 , -0.797877186538417 , 0.658053314256812 , 0.471407850199792 , -0.0367657987179945 , 0.286532676683845 , 0.397502571314321 , -0.166758567418383 , 0.0382929307565838 , -0.622020639291627 , -0.317081177415589 , -0.842146130236924 , 0.110108667254915 , 0.0133153854861125 , -0.456941775602317 , -0.440145984308508 , 0.571403680074681 , -0.126093970427994 , 0.268727326779645 | 0.9014226 |
| 41 | 20 | 0.0 | 0.0 | 1.0 | control , control , control , control , control , control , control , control , control , control , control , control , control , control , control , control , control , control , control , control , intervention , intervention , intervention , intervention , intervention , intervention , intervention , intervention , intervention , intervention , intervention , intervention , intervention , intervention , intervention , intervention , intervention , intervention , intervention , intervention , -0.0610407142007345, 0.390823919347174 , 0.274078691071337 , 0.131536855655344 , -0.244399752159272 , -1.25336273410858 , 0.221757190130328 , -0.732084615380526 , -0.0202445575035384, -0.622160475819263 , 1.03415106901731 , -1.67990678640095 , -0.385706557079676 , 0.477551838254641 , 0.869723724880157 , -1.53622629731582 , -0.345975942476826 , 1.25796313867355 , -1.10920103839625 , -1.86530517093918 , 0.23534207513614 , -1.8519575542888 , 0.157833531074778 , 2.26793583914098 , 0.76560249758656 , 0.234425737495812 , -0.585578508299534 , -0.542551428600165 , 1.22786499971253 , -1.00760715685841 , -1.89106302350507 , 0.253876333393808 , 0.92402509395194 , 1.00017943627518 , -0.984317472228201 , -0.0302608080240185, 1.42755305876198 , 0.912143200819347 , -1.30845528500507 , -1.10677831214979 | 0.4196064 |
| 41 | 20 | 0.0 | 0.1 | 0.5 | control , control , control , control , control , control , control , control , control , control , control , control , control , control , control , control , control , control , control , control , intervention , intervention , intervention , intervention , intervention , intervention , intervention , intervention , intervention , intervention , intervention , intervention , intervention , intervention , intervention , intervention , intervention , intervention , intervention , intervention , 0.11572970761919 , -0.151554902436893 , -0.189534444204205 , -0.549953804528673 , 0.0959933469246986 , 0.694502592086963 , 0.129144737017404 , 0.221437556241881 , 0.70123442560663 , 0.444492049782836 , 0.296073784082311 , 0.135789696494424 , 0.26407177878506 , 0.465183696693084 , 0.260167404185012 , 0.891384573522132 , -0.411282113856843 , -0.0824544108026151, -0.414791286179762 , 0.646825248687011 , 0.104250930255319 , 0.00611854852886821, 0.473069108436136 , 0.552829761373062 , 0.251506087553989 , -0.611480713503086 , 0.262579635279836 , -0.252327218293439 , -0.0249466734162913, 0.142480168741794 , -0.713077390691663 , 0.206678384738138 , 0.145720298261641 , -0.899233030473941 , 0.818351157917771 , -0.622239614820659 , 0.135384701230644 , -0.347176773256422 , 0.147576801780284 , 0.494818647953975 | 0.2320600 |
| 41 | 20 | 0.0 | 0.1 | 1.0 | control , control , control , control , control , control , control , control , control , control , control , control , control , control , control , control , control , control , control , control , intervention , intervention , intervention , intervention , intervention , intervention , intervention , intervention , intervention , intervention , intervention , intervention , intervention , intervention , intervention , intervention , intervention , intervention , intervention , intervention , -0.69298925813239 , -1.32202617465578 , 0.165445368851386 , -1.19361884191641 , 1.6785620180288 , -0.688756175254869 , 0.134837276817007 , 0.50595685694844 , 0.168353210127837 , 0.570167436876892 , -0.886749897951324 , 1.52840189014755 , -0.0597138247095259 , -0.913752309654113 , 1.29155129419856 , 0.589412450997063 , 0.920345335599247 , 1.25709694873126 , -1.16596894342119 , -0.202612399249315 , 0.221365075633285 , 0.123290920889278 , 1.73143216130033 , -0.456169593351573 , -0.92696298231777 , 1.1288558413386 , 1.82346083466416 , -0.00973931043977718, 0.728372611854015 , 2.7408370452597 , 0.819788194390888 , 1.91387371717776 , -1.10981005045819 , -0.132435588740918 , -0.469019477414536 , 1.29161085057837 , 0.871239013233441 , 0.191990848706119 , 0.011565892558858 , -0.192647113067318 | 0.1756160 |
| 41 | 20 | 0.5 | 0.0 | 0.5 | control , control , control , control , control , control , control , control , control , control , control , control , control , control , control , control , control , control , control , control , intervention , intervention , intervention , intervention , intervention , intervention , intervention , intervention , intervention , intervention , intervention , intervention , intervention , intervention , intervention , intervention , intervention , intervention , intervention , intervention , 0.259905026774934 , 0.174943774585568 , -0.298297041899837, 0.590209498217248 , 1.02936269815901 , 0.743476738899961 , 0.245678604699321 , -1.22800846030889 , -0.638593288232646, 0.0767005790432222, 0.768492154305374 , 0.385763576516337 , -0.382088657527314, 0.09170353584443 , -0.524283541482308, -0.206392488542573, 0.176682259576128 , -0.737470622408731, -0.710245928480208, -0.712897938521295, 0.439324859973398 , 0.700553182540598 , 0.910270224114313 , 0.555300258562121 , 0.292539467269078 , 0.392483230776441 , 0.496945847680116 , 0.894449570012438 , 1.26563653264202 , 0.246661912153675 , 1.21160329881127 , 0.355408321915318 , 0.674204705501552 , 0.700840229966564 , 0.773816055790254 , 0.613690734975129 , 0.457103085315298 , -0.263329237992904, 0.920223359800752 , -0.260239021274879 | 0.0005045 |
| 41 | 20 | 0.5 | 0.0 | 1.0 | control , control , control , control , control , control , control , control , control , control , control , control , control , control , control , control , control , control , control , control , intervention , intervention , intervention , intervention , intervention , intervention , intervention , intervention , intervention , intervention , intervention , intervention , intervention , intervention , intervention , intervention , intervention , intervention , intervention , intervention , -0.573204596847764 , -0.514464345455576 , -1.90042416554976 , 1.09133326868022 , 3.19636210202989 , 0.493159318341865 , 1.50181848772502 , -0.203557153549236 , -0.822795662022016 , -1.25324973143676 , 0.39120162296445 , 0.318302530393302 , 1.0272401724892 , -1.32656180669556 , 1.27914984360457 , 0.288160970463124 , 1.08649679462653 , -1.39454183337083 , 0.435697018769353 , 1.03140325741569 , -1.31177535399097 , 0.235887365886677 , 1.08356163249795 , 1.48516347753693 , 1.4218210623124 , 1.22587177962547 , 1.0475054915633 , -0.484007536363495 , 1.29134235781225 , 0.0562583997334127 , 1.35218224892379 , 2.42112145871469 , -0.0145398276273203, -0.200529241689044 , -0.711766722353582 , 0.553947213824624 , 0.75034150110962 , -1.171466675264 , 0.228256076431961 , -0.44604540290926 | 0.5125422 |
| 41 | 20 | 0.5 | 0.1 | 0.5 | control , control , control , control , control , control , control , control , control , control , control , control , control , control , control , control , control , control , control , control , intervention , intervention , intervention , intervention , intervention , intervention , intervention , intervention , intervention , intervention , intervention , intervention , intervention , intervention , intervention , intervention , intervention , intervention , intervention , intervention , -0.594590951452093 , -0.672132169213258 , -0.031869781036013 , -0.0524748935102471, 0.602881409027845 , 1.02847149254517 , 0.253791266663611 , -0.127155921521077 , -0.44391477152128 , 0.425017148937946 , 0.0741905107207831 , -0.524725545853218 , 0.0987207922408757 , 0.685085324222383 , -0.0447884445616991, -0.624331338973171 , 0.208873698579018 , -0.61407431163495 , 0.41012447407296 , 0.230862461003136 , 0.446671026963885 , 1.11616896769032 , 1.1921610007746 , 1.69325653399131 , 0.624697874911178 , 0.468091545989273 , 0.317936157035508 , 0.241075204405058 , 0.442565922896839 , 0.262360544513174 , -0.256300633657127 , 1.01706213269887 , 0.295048035433991 , -0.0121210291177661, -0.317408418460437 , 0.740130248507089 , -0.0798633433965056, -0.30172477868368 , 0.492064890372179 , -0.182136773633473 | 0.0200547 |
| 41 | 20 | 0.5 | 0.1 | 1.0 | control , control , control , control , control , control , control , control , control , control , control , control , control , control , control , control , control , control , control , control , intervention , intervention , intervention , intervention , intervention , intervention , intervention , intervention , intervention , intervention , intervention , intervention , intervention , intervention , intervention , intervention , intervention , intervention , intervention , intervention , -0.40155115279293 , -0.535726677242548, -1.27157425022436 , 1.53752106478384 , -0.501388599090995, 0.80748011180061 , 2.06624035841383 , 0.495301111180299 , 1.39418489639146 , 0.527782230769449 , -0.227915628020273, 1.1625093414849 , 1.0477334602426 , -0.308148901997999, -0.659257728181337, -0.396835952991182, 2.00362903498855 , 1.49124958119532 , 0.861149051930665 , -0.621780086577148, -0.975812261831673, -0.189407529454779, -0.331015176645487, 0.118377821247307 , 0.0608723772265063, 0.798820692402651 , 1.10594146893985 , 0.0601176376796554, 0.721734135350908 , 0.738801301432637 , 3.29133139251201 , 0.56081472807249 , 0.326757946849066 , -0.315522642911988, 0.785243933752733 , 0.549145116088685 , -1.32916796129428 , 1.67021585361293 , 1.6385487491171 , 1.43016220548623 | 0.7276091 |
| 41 | 50 | 0.0 | 0.0 | 0.5 | control , control , control , control , control , control , control , control , control , control , control , control , control , control , control , control , control , control , control , control , control , control , control , control , control , control , control , control , control , control , control , control , control , control , control , control , control , control , control , control , control , control , control , control , control , control , control , control , control , control , intervention , intervention , intervention , intervention , intervention , intervention , intervention , intervention , intervention , intervention , intervention , intervention , intervention , intervention , intervention , intervention , intervention , intervention , intervention , intervention , intervention , intervention , intervention , intervention , intervention , intervention , intervention , intervention , intervention , intervention , intervention , intervention , intervention , intervention , intervention , intervention , intervention , intervention , intervention , intervention , intervention , intervention , intervention , intervention , intervention , intervention , intervention , intervention , intervention , intervention , 0.978724607757936 , -0.077426896296039 , 0.227050150601334 , -0.565920027523287 , 0.608277417885719 , -0.542703794165144 , 0.487972491397929 , 0.31198855993029 , 0.195878313323463 , 0.395411971143431 , 0.372956967106376 , 0.492732273604406 , -0.309373111055827 , -0.0903562896736833, -0.0856197218595561, 0.928368448507178 , 0.644573052872889 , -0.285960472763643 , 0.20973163773727 , -0.0725232742375289, -0.380827281363603 , -0.501138497164002 , -0.0487097466855398, 0.0922910564244672 , -1.00389625646951 , -0.0837101014429734, -0.422025061938254 , -0.108153409238125 , -0.597808685495076 , -0.176671045732115 , -0.195219655404562 , 0.0384517568669304 , -0.663649010987555 , 0.43803751292939 , -0.0803247116374543, 0.929062900305795 , -0.618854742181244 , 0.639016803076856 , -0.0656680803415434, 0.58148332421254 , 0.185401341399759 , -0.410142379368796 , 0.427400188063792 , -1.1276520241777 , -0.15831995135207 , -0.0509018345729204, 0.131378503691899 , 0.0285565529403534 , -0.37804111050832 , 0.242106324356678 , 0.18551367258737 , -0.53390826782493 , -0.26272146441998 , 0.0108115507738054 , -0.517919262134866 , -0.916817437822674 , -0.124422285795937 , -0.797431670066805 , 0.11428476719929 , -0.600453007823281 , -0.416108033871353 , 0.38693018003983 , -0.710124364892747 , -0.0473999675525634, 0.3102595008317 , -1.03738972779237 , -0.11124311067059 , -0.04352726026328 , -0.120345831351421 , -0.0049698472073738, 0.63202141346417 , 0.484841693330558 , -0.0549066452216637, -0.0762871982588243, 0.0398403806627437 , -0.0627879633353803, 0.756529447857136 , -0.48179036879865 , -0.519650202156653 , 0.0835884772251253 , 0.106274349893367 , -0.0195552899036874, 0.717436644076772 , 0.0595577024813417 , 0.170778950635391 , -0.100241403270689 , 0.43161805204764 , 0.782395542499186 , -0.333928622554054 , 0.215690712152226 , 0.227811756400748 , 0.427551928772254 , 0.0594391879319638 , 0.521340488927647 , -0.789591230516035 , -0.773667384981304 , 0.0561585932423197 , -0.788727242680833 , -0.0955990725476111, 0.903823636931973 | 0.5073876 |
| 41 | 50 | 0.0 | 0.0 | 1.0 | control , control , control , control , control , control , control , control , control , control , control , control , control , control , control , control , control , control , control , control , control , control , control , control , control , control , control , control , control , control , control , control , control , control , control , control , control , control , control , control , control , control , control , control , control , control , control , control , control , control , intervention , intervention , intervention , intervention , intervention , intervention , intervention , intervention , intervention , intervention , intervention , intervention , intervention , intervention , intervention , intervention , intervention , intervention , intervention , intervention , intervention , intervention , intervention , intervention , intervention , intervention , intervention , intervention , intervention , intervention , intervention , intervention , intervention , intervention , intervention , intervention , intervention , intervention , intervention , intervention , intervention , intervention , intervention , intervention , intervention , intervention , intervention , intervention , intervention , intervention , 1.14242804356506 , 1.38107705441607 , -0.766337296738928 , 1.38497292225887 , -1.21337675473294 , -0.207071131534433 , -0.785303336028 , 1.34570713853518 , 2.12395027242465 , -0.30362619134148 , -0.518969581670185 , -1.02544969080488 , 0.200471640596456 , -0.479844779535088 , 0.317949008564583 , 1.32385642333022 , -0.286416039124685 , 1.3508691366849 , 0.439837043166772 , 0.721176965871255 , -1.42465888262657 , 0.434188912223338 , 0.780604466014473 , -0.661964651318098 , -1.41483460881304 , -0.340354635701985 , -0.156065753257383 , 0.708440719899049 , 1.12874555659059 , 0.405310054755143 , 1.38341155782246 , -1.11377088433214 , 0.412777538509278 , 0.811511419123858 , -0.368067489510412 , 1.95949476605388 , -1.63094142916197 , 1.5589004490687 , -1.27699638432707 , 1.03794000726998 , -1.86261306104064 , -0.635496313614189 , 0.167136307088081 , 0.71072102505012 , -0.11074985065651 , 1.52279115044316 , 0.81710890852695 , 0.16935731231962 , -0.212094853401949 , 0.17236360399975 , -0.380051818387158 , -0.0139995263675902 , -0.436650113329178 , -0.0332452819510476 , 0.54321104466546 , 0.0651265430729538 , 0.43944127235142 , -0.142825574658909 , -1.55162404363912 , -1.02535470765132 , 0.295366759741636 , -1.34247705326846 , 1.14994688933836 , -0.057200617385031 , -1.03334830331406 , 0.892220605735876 , 0.976890651876298 , -0.00833017212164399, 0.580555264044435 , 1.97833956769214 , 0.75595730902194 , -0.49362521858836 , -2.51194876273345 , 0.373449279917386 , 0.248986925305176 , 0.965557196614763 , -0.308707327494672 , 1.42082824345793 , 1.14120915653844 , -1.09090496605253 , 0.84355176121174 , 0.540075020770146 , 1.21588773618999 , 1.79614862957148 , 0.804017291000129 , 1.26888510868281 , -0.249575026037695 , 0.760487065720044 , 0.373470040171553 , 1.05220535641041 , -0.897669414719825 , -0.0488591282310906 , 0.314846258489503 , 0.158297568030238 , 0.198580583212988 , 1.75636466174652 , 0.316259994940114 , 0.584832484830533 , -0.822363071287595 , 0.943520936969674 | 0.7396000 |
| 41 | 50 | 0.0 | 0.1 | 0.5 | control , control , control , control , control , control , control , control , control , control , control , control , control , control , control , control , control , control , control , control , control , control , control , control , control , control , control , control , control , control , control , control , control , control , control , control , control , control , control , control , control , control , control , control , control , control , control , control , control , control , intervention , intervention , intervention , intervention , intervention , intervention , intervention , intervention , intervention , intervention , intervention , intervention , intervention , intervention , intervention , intervention , intervention , intervention , intervention , intervention , intervention , intervention , intervention , intervention , intervention , intervention , intervention , intervention , intervention , intervention , intervention , intervention , intervention , intervention , intervention , intervention , intervention , intervention , intervention , intervention , intervention , intervention , intervention , intervention , intervention , intervention , intervention , intervention , intervention , intervention , 0.093908668508615 , 0.696475644072764 , -0.373227136010886 , -0.220000597616838 , 0.352694809852211 , 0.0895306034654031 , -0.852223170808802 , 0.110168822783541 , 0.265751799696882 , -0.34231746557746 , -0.407763953445113 , -0.188542913814015 , 0.366515503416254 , 0.963331660317845 , 0.0317605421511129 , 0.318481697172555 , 0.233044864201494 , -0.09738776316897 , 0.039433313174196 , 0.288085930277815 , 0.39162470217864 , -1.44822168862195 , -0.352715816576223 , -0.740294669076372 , -0.936730144851336 , 0.0413991344109506 , 0.0540685425501685 , 0.0157213315107397 , 0.204704216684417 , 0.715892983965369 , 0.71941438230702 , -0.158064631036589 , -0.29851709883975 , -0.142085373441056 , 0.0952425174566244 , -0.425375332446752 , -0.755898781862315 , -0.875975421866524 , -0.570895977359031 , -0.273600500335028 , -0.098943811208904 , -0.53715223900821 , 0.0970858591466908 , 0.955368602372855 , -0.104473107833001 , -0.00149626965167812, 0.266280131267315 , -0.716981904523096 , -0.232887604638822 , -0.315743219336941 , 0.201091612171696 , 0.232549451454784 , -0.540982560161881 , 0.27438374105773 , -0.188104425267758 , -0.249998859471114 , -0.443917229431765 , 0.0598644317148962 , -0.370465420221413 , -0.123453023089123 , -0.366426463510412 , 0.799198891676527 , 0.44048245778939 , -0.0828517008716317 , 0.823288223087544 , -0.730931160021083 , 0.166610342631798 , -0.326640020496802 , -0.486444872383529 , 0.312448903104764 , 0.290218870999677 , 0.185324667512001 , 0.271825651237957 , -0.0805805616256523 , -0.174680409386261 , -0.126935669918691 , -0.0862321525869184 , -0.0896057164063576 , -0.429579035361065 , -0.58243684472617 , -0.255716100364924 , -0.105175141634926 , 0.358499529643211 , -0.849679298927069 , -0.310880051070753 , 0.450859999070804 , -0.627430424652395 , 0.235141487087639 , -0.155777407835995 , -0.320864476237422 , -0.180772691656402 , -0.13769720627508 , -0.513190691119156 , -0.585004175163811 , -0.102755821721297 , 0.447975162906363 , 0.16397769899321 , -0.431942788506416 , -0.0265457748825489 , 0.205294722880936 | 0.9812476 |
| 41 | 50 | 0.0 | 0.1 | 1.0 | control , control , control , control , control , control , control , control , control , control , control , control , control , control , control , control , control , control , control , control , control , control , control , control , control , control , control , control , control , control , control , control , control , control , control , control , control , control , control , control , control , control , control , control , control , control , control , control , control , control , intervention , intervention , intervention , intervention , intervention , intervention , intervention , intervention , intervention , intervention , intervention , intervention , intervention , intervention , intervention , intervention , intervention , intervention , intervention , intervention , intervention , intervention , intervention , intervention , intervention , intervention , intervention , intervention , intervention , intervention , intervention , intervention , intervention , intervention , intervention , intervention , intervention , intervention , intervention , intervention , intervention , intervention , intervention , intervention , intervention , intervention , intervention , intervention , intervention , intervention , 0.642928780054588 , -0.808753722900268 , 0.845017051922013 , -0.744180899092273 , -0.566485818752359 , 1.5849588013621 , -0.9731643622253 , -0.664936447562741 , 1.99122591960933 , -0.279610169615777 , 1.10958482341007 , -0.217904730406026 , 0.257421920427363 , -0.424987187347844 , -0.424856995226919 , -0.66112761594834 , 1.28580462544684 , -0.455267454299 , 0.416901806624686 , -0.966547791278791 , -1.8351098032675 , -0.5347408950391 , -0.524672060627029 , 1.46320480361229 , -0.478994939866353 , 2.31484532558632 , -1.25376640816222 , 0.743484518101384 , -1.18894131804531 , 0.828038186440189 , -1.00597295116482 , 1.89661971075682 , 0.0387844019053226 , -0.638392546779646 , -0.0594704378313622, -1.19022748937866 , -0.707271952026109 , -1.3352850888717 , 1.13095568339863 , 1.65101731685093 , 0.291045483072088 , 0.931584861557676 , 1.94895610791327 , -1.47750238739687 , -1.71922579404606 , -2.12545359050352 , -0.0529506148999336, 0.162904791503491 , 0.511156822714453 , 1.58361710195283 , -0.769515043265716 , 0.172438618492227 , -1.24798755408552 , -0.796049899827911 , 0.413154590328418 , -1.45873024360664 , -0.658685375767368 , 2.97516768409505 , 0.764269734494408 , 1.79432251127034 , -1.46780974188807 , 1.14573903827946 , 0.77960680564099 , -0.907202582589457 , 2.24850007058087 , -0.459106846288123 , 0.204468071338899 , -0.337693105702231 , -0.691155794217966 , -0.853282950031893 , -0.233857820273807 , 0.781291177620108 , 0.793005240038687 , -0.780271967849638 , 0.820237811689412 , 1.64504908525178 , 0.25425763712932 , -0.53275436464705 , 0.409016972997652 , 1.48095343516162 , 0.0172236003413479 , 0.0586374681834313 , -0.156089557265777 , 0.036799828863417 , 1.70478455964722 , -1.08098710036244 , -0.448261348065338 , -0.0034631742529064, -0.187241436956357 , 0.0600193086714063 , 0.456569542637055 , -0.155477485597372 , -0.380665965558437 , 0.53038207135612 , -0.681464128725122 , -0.732282188107971 , -0.976539525954509 , -0.681160029180787 , 1.65338870569862 , -0.0834290575693719 | 0.6966409 |
| 41 | 50 | 0.5 | 0.0 | 0.5 | control , control , control , control , control , control , control , control , control , control , control , control , control , control , control , control , control , control , control , control , control , control , control , control , control , control , control , control , control , control , control , control , control , control , control , control , control , control , control , control , control , control , control , control , control , control , control , control , control , control , intervention , intervention , intervention , intervention , intervention , intervention , intervention , intervention , intervention , intervention , intervention , intervention , intervention , intervention , intervention , intervention , intervention , intervention , intervention , intervention , intervention , intervention , intervention , intervention , intervention , intervention , intervention , intervention , intervention , intervention , intervention , intervention , intervention , intervention , intervention , intervention , intervention , intervention , intervention , intervention , intervention , intervention , intervention , intervention , intervention , intervention , intervention , intervention , intervention , intervention , -0.0538388140566202 , 0.867670699611796 , -0.3223593466206 , 0.0348449674019039 , -0.490207643350943 , 0.000545348022750099, -0.655773105653519 , -0.250586153732955 , 0.68016960809021 , 0.752921388658306 , -0.176724565899362 , 0.745693322234557 , 0.453522200639723 , -0.190771097689364 , 0.355888522139939 , -0.0667216786430727 , 0.629448511447612 , 0.830849274021389 , -0.802092250970593 , -0.108549330247277 , 1.0207850616534 , 0.0321258836964703 , 0.215658395909367 , -0.0825437748449174 , 0.10982981129311 , -1.40930111421037 , -0.0703692777871708 , -0.165323904278963 , 0.0483403263444314 , 0.54778738666539 , -0.771980312228222 , 0.309445229678639 , -0.0613537235311569 , 0.0243888051566237 , 0.197993731612383 , 0.798899716703057 , 0.0576888795067108 , -0.0467606951535301 , -0.338959288253066 , -0.0456042082450856 , 0.63696781659338 , 0.351978936892392 , 0.0934324488011365 , -0.744009938282073 , -0.173691402017795 , 0.52189956811288 , -0.124036583649056 , 0.485826454607769 , 0.151608267072362 , 0.234468604805793 , 0.00705226278970222 , 0.682154636132868 , 0.572550753438606 , -0.00685711395795574, 0.392859347845694 , 0.989036493840225 , 0.9795103507434 , 0.189202836705226 , -0.211719761657131 , 0.58152976254468 , 0.416710858293306 , 0.499066084077715 , 0.054790868405962 , -0.441873976636738 , 0.884892033633365 , 0.331712647280488 , -0.317720402416638 , 0.518506845208182 , 0.942228890648976 , -0.195246078130171 , 0.665608592595958 , 0.15824978576091 , 0.553991892018363 , -0.0449063078894714 , 0.69783057857422 , -0.273690643678828 , 0.0331084735570875 , -0.0149824134350305 , 1.07894092998024 , 0.0293672115539854 , 0.695066737673234 , 0.526348045409396 , 0.536336165197184 , -0.045380157244099 , 0.167920397403249 , 0.26609453685821 , 1.29045369759882 , 0.136911979025777 , 0.473104331977414 , -0.302175245710165 , 0.875767296322841 , 0.136015005818466 , 0.295172982035644 , -0.177011248656904 , 0.80341066414964 , 0.463900969982905 , 0.133628045512555 , 0.0766773923108373 , 0.998386201953048 , 1.21916796078529 | 0.0026265 |
| 41 | 50 | 0.5 | 0.0 | 1.0 | control , control , control , control , control , control , control , control , control , control , control , control , control , control , control , control , control , control , control , control , control , control , control , control , control , control , control , control , control , control , control , control , control , control , control , control , control , control , control , control , control , control , control , control , control , control , control , control , control , control , intervention , intervention , intervention , intervention , intervention , intervention , intervention , intervention , intervention , intervention , intervention , intervention , intervention , intervention , intervention , intervention , intervention , intervention , intervention , intervention , intervention , intervention , intervention , intervention , intervention , intervention , intervention , intervention , intervention , intervention , intervention , intervention , intervention , intervention , intervention , intervention , intervention , intervention , intervention , intervention , intervention , intervention , intervention , intervention , intervention , intervention , intervention , intervention , intervention , intervention , -1.95914461329279 , -0.064504362504188 , -0.64448299616683 , 0.557783501794902 , -1.45565255388817 , 0.456419930210568 , -0.856698897813987 , -0.272812738332638 , 0.445988978184466 , 0.873267118471858 , 0.0471215438144256 , -0.285025343000737 , -0.495467864244554 , -0.722805101171222 , 0.490497380377034 , -2.53461684999144 , -0.427784185304095 , -0.7285510246401 , -0.267881096703264 , 0.515267485737401 , -0.0740634554043478, 1.20513397147241 , -0.706471304131772 , -0.279656071033876 , -1.86777669342172 , -0.89927575503216 , 1.18374360466361 , 0.551144370279284 , 0.00680498122115342, -0.569130707187334 , 1.8275763953825 , -1.60607722137219 , 1.44952112495494 , 0.860826143419599 , -1.23403170947861 , -0.739662151390619 , -0.420693221132807 , 0.0883266709528458 , -1.11323328325417 , 0.221055458765174 , 1.7689342717299 , -1.68811959350152 , 0.0903171340030162 , -1.87752072099225 , 0.203915815364882 , -0.331157385401156 , -1.02465027768906 , 1.16771972563487 , 0.103182919977507 , -1.59884227211635 , -0.541187415466181 , 2.50319539746465 , 0.967068977231677 , -0.432922149693918 , 0.322380823888034 , 0.372811419654156 , 0.60712770088214 , 1.69810540185123 , 0.147860487011529 , 0.429347202652242 , 1.45550618069749 , 0.0819265557604874 , 2.62609021019098 , 0.764890920688615 , -0.428706431442067 , 1.70435717835048 , 0.972849184657169 , -0.0252080505216897, 1.29157371898177 , 0.238594068894734 , -1.46267643048841 , 0.196691183627433 , -0.0331053605720185, 0.395166839061905 , -0.103278967657649 , 0.158070917719218 , -0.747341920383122 , 0.640530292953197 , 0.271771465133025 , 0.559534059613463 , 0.514874993078634 , -0.0368748092868407, -2.07509084796321 , -0.163314194064048 , -1.0859559450892 , 1.08954117017365 , -0.227550155047252 , 0.124303065642876 , 2.47953824865085 , 0.822407402148149 , -0.613030763083752 , 1.70567643041498 , 1.19501020694949 , 1.86958555066442 , -0.269302616500302 , 0.229578791575103 , -1.57402105846879 , 1.4754007766237 , -0.519285967813288 , 1.67079221097151 | 0.0011802 |
| 41 | 50 | 0.5 | 0.1 | 0.5 | control , control , control , control , control , control , control , control , control , control , control , control , control , control , control , control , control , control , control , control , control , control , control , control , control , control , control , control , control , control , control , control , control , control , control , control , control , control , control , control , control , control , control , control , control , control , control , control , control , control , intervention , intervention , intervention , intervention , intervention , intervention , intervention , intervention , intervention , intervention , intervention , intervention , intervention , intervention , intervention , intervention , intervention , intervention , intervention , intervention , intervention , intervention , intervention , intervention , intervention , intervention , intervention , intervention , intervention , intervention , intervention , intervention , intervention , intervention , intervention , intervention , intervention , intervention , intervention , intervention , intervention , intervention , intervention , intervention , intervention , intervention , intervention , intervention , intervention , intervention , -1.16880557617758 , -0.606335121228479 , -0.746593480487688 , -0.667799076658653 , 0.439091703319835 , -1.43694450822298 , -0.0936101185652985, -0.620674282900971 , 0.190850381920729 , -0.14147737228176 , -0.192353749139813 , 0.263171694534566 , -0.451887349435699 , -0.547913073909368 , 0.167043932199426 , 0.898215104793775 , 0.622018634612096 , -0.653542852641338 , 0.997128667258476 , 0.0622998017982059 , 0.57669217344156 , 0.816442614425674 , 0.645871412697383 , -0.105858760483976 , 0.205918297175202 , 0.0872753612376763 , 0.0740056488549627 , -0.0950338222606202, -0.213869973953607 , -0.903021292873068 , -1.00275754755553 , -0.176317861562023 , -0.333717116331612 , 0.341120917670301 , 0.536682522622855 , 0.525218045476594 , 0.409589417651958 , 0.567092752161465 , 0.0647355729728529 , -0.374481407950423 , 0.731262352586345 , 0.799823410373859 , 0.564367869212364 , 0.56962753809399 , 0.758585351874859 , -0.505160651548209 , -0.0804925225384444, 0.359202441748132 , 0.221320405531553 , -0.262836106221913 , -0.252024952148021 , 0.0928452961958305 , 1.25551481328924 , 1.3728052936737 , -0.146404650415087 , 0.723630884218687 , 0.408498554669662 , 0.248138079311493 , 0.0174350031718942 , 0.670125123821798 , 0.332925149844139 , -0.162019298036366 , 0.0872164304939536 , 0.534310585208675 , -0.0668631509201891, -0.511163812159954 , 0.986825409489606 , 1.30254417156863 , 0.522721979353854 , 0.75183822000883 , -0.0838048335255569, 0.105836878402214 , 0.500757022309528 , 0.947075301475224 , 0.585082471873671 , 0.993974104064456 , 0.771737257492372 , -0.366608123346012 , 0.564784935154627 , 0.665839857716774 , 0.253365112560115 , -0.54945707197354 , 0.983356892351819 , 0.0190328824537199 , 0.465595700407492 , 0.137689130743113 , 1.14229017483379 , 0.386666887053571 , 0.107553848050168 , 1.13279020743857 , -0.458644795802084 , -0.150900073365826 , 0.759757399641304 , -0.0439292192678531, -0.236595387268511 , 0.373612113285989 , -0.151334335014486 , 0.931249657561774 , -0.218501989497242 , -0.34143937425211 | 0.0038686 |
| 41 | 50 | 0.5 | 0.1 | 1.0 | control , control , control , control , control , control , control , control , control , control , control , control , control , control , control , control , control , control , control , control , control , control , control , control , control , control , control , control , control , control , control , control , control , control , control , control , control , control , control , control , control , control , control , control , control , control , control , control , control , control , intervention , intervention , intervention , intervention , intervention , intervention , intervention , intervention , intervention , intervention , intervention , intervention , intervention , intervention , intervention , intervention , intervention , intervention , intervention , intervention , intervention , intervention , intervention , intervention , intervention , intervention , intervention , intervention , intervention , intervention , intervention , intervention , intervention , intervention , intervention , intervention , intervention , intervention , intervention , intervention , intervention , intervention , intervention , intervention , intervention , intervention , intervention , intervention , intervention , intervention , -0.962905987559704 , 0.144776247176402 , -0.135303615251411 , 0.904688409379539 , -0.50017268619353 , -0.0242385977702797, -2.2108622607453 , 0.15759601785326 , -0.355022714948048 , -0.372076751615267 , 1.22211453428963 , -0.185740188002587 , 0.0561107117459774 , 0.268133127332303 , -0.610578975236483 , -1.1033646511718 , -0.354823962735206 , 0.0686655664116507 , 1.13834783217454 , 0.166179963774844 , 0.719082600561108 , -1.82328614803772 , 1.96640188839034 , -0.0468646013178962, 2.43030427191402 , 1.25251241435736 , 1.04321117430515 , -0.449358830555391 , 0.877635164758948 , 0.654904385228891 , -0.0743001434086077, 1.44410737978587 , -1.84112967374898 , 0.947142452042152 , 0.388664112060373 , -2.16318555100611 , -1.09375430888763 , 0.534279433607309 , 1.41898231545443 , 0.629228236574769 , 0.729951986586247 , -0.151542243929462 , 0.345098425422718 , -0.485613873729757 , -0.304598802011306 , 0.407374316925272 , -1.85317282780679 , -1.1099905371611 , -0.332806825372978 , -0.0189356703917858, 0.920359092330319 , 0.623812554507982 , 1.67979103758515 , 1.06485474908228 , 1.37930098312249 , -0.110666870110274 , 0.55168245693637 , 0.849276359243545 , 0.183501682267481 , -1.03022029480006 , -0.624543941529301 , -0.433147228471944 , -0.702031238757932 , 2.61245623773881 , 1.27280320092928 , 0.0597473323620273 , -0.610905186054253 , -1.15605163356794 , 1.46153138788451 , 1.1513278935599 , 0.572176996014779 , -2.0234824145752 , -0.695780220774852 , 1.16698501352246 , 1.5497034014701 , 1.2240290770454 , 2.6258576023402 , -2.00742861594332 , 0.402053149795448 , 0.571539321085411 , 0.872495302525707 , 0.495852438820675 , 0.984970833458188 , -0.0165392391565198, 1.18064102156854 , 1.17865044303089 , -1.39037088211382 , -2.31113547809749 , -0.612680601653715 , -0.280621416957411 , 0.803473577724615 , 0.673094760233114 , 0.0425294447255404 , -0.85535368657922 , 0.0305544555796332 , 0.268209187058095 , 0.189518648301002 , 1.66845307720908 , 0.202717333613595 , 2.61636539695715 | 0.1191240 |
| 42 | 20 | 0.0 | 0.0 | 0.5 | control , control , control , control , control , control , control , control , control , control , control , control , control , control , control , control , control , control , control , control , intervention , intervention , intervention , intervention , intervention , intervention , intervention , intervention , intervention , intervention , intervention , intervention , intervention , intervention , intervention , intervention , intervention , intervention , intervention , intervention , -0.873475333693275 , -0.116799347060357 , 0.340810446641095 , 0.920609419638696 , -0.136896772159921 , -0.266751826418466 , -0.235318772586562 , -0.231320021421603 , -0.718186636116494 , -0.050986537971379 , 0.346080551362195 , -0.337604083971531 , 0.00769381267926719, -0.145699860998432 , 0.146834926864192 , 0.60937970862906 , 0.588279359683734 , -0.167132783049336 , -0.0457146614943867, -0.606063958309053 , 0.252014727145747 , 0.848831765824664 , 0.407875265814314 , -0.596430340303806 , -0.90498262376374 , -0.141053077027695 , -0.584207462195461 , -0.0021830811039942, 0.22385110268978 , -0.044113703475261 , -0.364910331154793 , 0.479148966729867 , 0.282842880406545 , 0.00434414352351696, -0.495121076000801 , 0.297976578777344 , 0.215321622279693 , -0.43411798268988 , 0.40148655770061 , -0.414072884075982 | 0.8874616 |
| 42 | 20 | 0.0 | 0.0 | 1.0 | control , control , control , control , control , control , control , control , control , control , control , control , control , control , control , control , control , control , control , control , intervention , intervention , intervention , intervention , intervention , intervention , intervention , intervention , intervention , intervention , intervention , intervention , intervention , intervention , intervention , intervention , intervention , intervention , intervention , intervention , -0.713525083246247 , 1.15521311991194 , -0.2825774610747 , -1.30367419647142 , -0.00855030443714675, 2.34199536248702 , 1.12784681767788 , 0.832032765465672 , -1.98328084942224 , -0.0654317180265555 , 1.09893167644746 , -0.520723623745765 , 1.14505896645742 , -0.174468578293036 , 0.294603233553932 , 0.0751081924989757 , -0.801745400805927 , 0.595461203161739 , -0.637389270966383 , 0.687674030094863 , -0.275530935996879 , -1.83396117117267 , -0.382764656050655 , -0.556907037684219 , 0.0441807225635518 , 0.436782922098672 , -0.897946610338133 , 1.15803765095988 , 0.247539038129245 , -0.511109132092177 , -1.46969267206836 , -1.63608796020073 , 0.713145077887731 , -0.320570173955008 , -0.86412319813192 , -0.173467068096279 , 0.83178768308811 , 1.26936910312427 , -2.15181839902556 , 1.2299534334482 | 0.2208437 |
| 42 | 20 | 0.0 | 0.1 | 0.5 | control , control , control , control , control , control , control , control , control , control , control , control , control , control , control , control , control , control , control , control , intervention , intervention , intervention , intervention , intervention , intervention , intervention , intervention , intervention , intervention , intervention , intervention , intervention , intervention , intervention , intervention , intervention , intervention , intervention , intervention , 0.827083522209741 , -0.124196655079678 , -0.0516881702131904, 0.51224925593735 , 0.0876002007571757 , 0.581232012938953 , 0.0961235735884417 , -0.0962978944362904, 0.223891383551667 , 0.421239484035964 , 0.908181424125295 , 0.373756029429052 , -0.389707136758793 , -0.264028997314045 , -0.488671406672121 , 0.406718745645452 , -0.264956769958644 , 1.00546406801924 , 0.350936763437987 , -1.0331230149288 , 0.295990275502686 , -0.230136296539713 , -0.261984724567469 , 0.161296045748777 , 0.64493711779441 , 0.427439506899743 , 0.515825346882157 , 1.30466031868978 , -0.721022058534177 , -1.15659768947186 , 0.764304058928348 , -0.139776908445888 , 0.848700276756691 , -0.496280637659063 , 0.14437208420376 , 0.210970872546434 , 0.152642053445048 , 0.535003821274051 , -0.869833964824319 , -0.507540928596354 | 0.6889913 |
| 42 | 20 | 0.0 | 0.1 | 1.0 | control , control , control , control , control , control , control , control , control , control , control , control , control , control , control , control , control , control , control , control , intervention , intervention , intervention , intervention , intervention , intervention , intervention , intervention , intervention , intervention , intervention , intervention , intervention , intervention , intervention , intervention , intervention , intervention , intervention , intervention , -1.69089736064872 , -0.226142703512378 , -0.498853948026585 , -0.312777266198019 , -0.24590340443761 , -0.483007828670763 , -0.520495494634996 , 1.06729571745545 , 1.62428653390062 , 0.103331319342314 , 0.275524194589321 , 0.487848751685899 , 0.911886705706413 , -0.133472161855843 , -0.277837942961578 , 0.505495758502313 , 0.968573930167939 , 0.710802536491615 , -0.957162989665031 , 1.82851896468965 , 0.534269015982995 , -0.310861140170679 , 0.377810345617296 , -0.260415615986148 , -0.467240897165793 , 0.440914672616149 , 0.704765709265666 , -0.740504190580221 , -0.32267885462681 , -0.0906254578465091, -0.255422546746997 , 1.3562622490682 , -0.327465302465776 , -0.382187660747838 , -1.62211116249713 , -0.508158846544828 , 0.5345516821434 , -1.09939348283138 , -0.234853637653335 , 0.350464748918565 | 0.2734024 |
| 42 | 20 | 0.5 | 0.0 | 0.5 | control , control , control , control , control , control , control , control , control , control , control , control , control , control , control , control , control , control , control , control , intervention , intervention , intervention , intervention , intervention , intervention , intervention , intervention , intervention , intervention , intervention , intervention , intervention , intervention , intervention , intervention , intervention , intervention , intervention , intervention , -0.0967495600212096, -0.0362017225251091, 0.287045893304386 , 0.262178762685529 , -0.0736557439658493, -0.225081067127077 , -0.0136929571936671, 0.0987465359208322 , 0.283543941332941 , -0.215050444839885 , -0.904369132153277 , -0.3212894290781 , 0.051986195968499 , 0.197053662622013 , -0.240170629231504 , -0.230677635113021 , -0.920818655048232 , -0.795625036459141 , -0.228586550184313 , -0.533088298046102 , 0.466377470867251 , 0.506187545894659 , 0.762416292537601 , 0.28636622032017 , 0.246206530405297 , 0.211939267827538 , 0.876293134750107 , 0.0237389211000101 , -0.336927875048354 , 0.128879179588021 , 0.536948116549169 , 1.18738588967656 , -0.375998128818529 , 0.814611390900057 , 1.05357528682911 , 0.343073919694987 , 0.335742687539948 , 0.537821222277039 , 0.58931492501229 , -0.244962580289023 | 0.0000489 |
| 42 | 20 | 0.5 | 0.0 | 1.0 | control , control , control , control , control , control , control , control , control , control , control , control , control , control , control , control , control , control , control , control , intervention , intervention , intervention , intervention , intervention , intervention , intervention , intervention , intervention , intervention , intervention , intervention , intervention , intervention , intervention , intervention , intervention , intervention , intervention , intervention , -0.348254756384458 , -0.0335727092265966, 1.13536359675542 , -0.704324169907213 , 0.153570723690029 , 1.00903543198847 , -0.108856082405992 , -0.198161745275366 , -0.330014460946301 , -0.414371710473262 , -0.994216831836458 , -0.0078153477509739, -0.508126292742478 , 0.907152721345546 , -0.216515454076811 , -0.811035416572244 , 0.179219983363558 , 1.05272598083469 , -0.114739867894652 , 2.73766695025046 , -0.330094076122851 , -0.507458253276423 , 1.37742963822081 , 1.63016638300623 , 0.792832102011047 , 0.34587523218587 , 0.540953927229814 , -0.811871361129041 , -0.657694130183887 , 1.26955906758453 , 1.48939421968909 , -0.970376362584121 , 0.90391520947745 , 1.3844537170799 , 1.23189649289612 , 0.269465829700545 , 1.56921403122023 , 2.19686058273142 , -0.303707397901735 , 0.920357132419721 | 0.0903322 |
| 42 | 20 | 0.5 | 0.1 | 0.5 | control , control , control , control , control , control , control , control , control , control , control , control , control , control , control , control , control , control , control , control , intervention , intervention , intervention , intervention , intervention , intervention , intervention , intervention , intervention , intervention , intervention , intervention , intervention , intervention , intervention , intervention , intervention , intervention , intervention , intervention , -0.368428752016963 , 0.327660204357092 , -0.00499457809420216, -0.466471186126414 , 0.641643305647219 , 0.00174444430190744 , 0.655567969680642 , -0.703552477712532 , 0.347327530715049 , 0.102044218475892 , 0.199939554194832 , 0.357096173515302 , -0.182800505096465 , 1.08980589886092 , -0.900717195142892 , -0.5083130978591 , 0.206753366844448 , -0.47717749938173 , 0.469749342085342 , 0.773109861799689 , 0.802979153038067 , 1.18368804642489 , 0.924360643696275 , -0.158184893642361 , 0.481199981591028 , 0.634729419291521 , 0.293716066290972 , 0.584390302980677 , -0.455908771117887 , 0.284721163719506 , 0.00795153195621556 , 0.239088001822494 , 0.634197753078577 , 0.388045160125686 , -0.272593221419171 , 1.01807943092691 , 1.20746477592901 , 0.362839619173646 , 1.22459213866105 , 0.235261016376265 | 0.0168107 |
| 42 | 20 | 0.5 | 0.1 | 1.0 | control , control , control , control , control , control , control , control , control , control , control , control , control , control , control , control , control , control , control , control , intervention , intervention , intervention , intervention , intervention , intervention , intervention , intervention , intervention , intervention , intervention , intervention , intervention , intervention , intervention , intervention , intervention , intervention , intervention , intervention , -0.647929366614599 , -1.21887152207105 , -0.58699327110329 , 0.536534074449037 , 1.99102428821265 , 1.29576618525501 , 0.878318053422585 , -0.161493038679407 , -0.257419134640146 , -0.363584127074408 , 0.489860877293313 , 0.0791128037145444 , -0.00978600852688173, -0.0886522920744824 , 0.682459075676401 , -1.3049942231703 , 2.270829599132 , 1.58078073439892 , -2.24415822793626 , 0.536422501816495 , 1.36386239644514 , -0.816184391211586 , 1.71346160277903 , 0.50484584836873 , 0.0412964502297924 , -0.382901619794549 , 0.421942373858959 , 1.0018500658764 , 0.0202159622129336 , -0.224896609068063 , 0.709321715686539 , -0.0261928191045468 , 1.84472143793444 , 1.08288764277312 , 0.361735385063606 , 0.666949044444339 , -0.159995045562415 , 1.4123900686579 , 1.58990537458132 , 1.65348837691898 | 0.1374546 |
| 42 | 50 | 0.0 | 0.0 | 0.5 | control , control , control , control , control , control , control , control , control , control , control , control , control , control , control , control , control , control , control , control , control , control , control , control , control , control , control , control , control , control , control , control , control , control , control , control , control , control , control , control , control , control , control , control , control , control , control , control , control , control , intervention , intervention , intervention , intervention , intervention , intervention , intervention , intervention , intervention , intervention , intervention , intervention , intervention , intervention , intervention , intervention , intervention , intervention , intervention , intervention , intervention , intervention , intervention , intervention , intervention , intervention , intervention , intervention , intervention , intervention , intervention , intervention , intervention , intervention , intervention , intervention , intervention , intervention , intervention , intervention , intervention , intervention , intervention , intervention , intervention , intervention , intervention , intervention , intervention , intervention , -0.652516835074565 , -0.163394621481054 , -0.288248043582443 , 0.333896751868576 , -0.250580487645958 , -0.524343374246014 , -0.115580294705349 , 0.591430060345546 , -0.216377323124325 , -0.755578164953061 , -0.0571349963697066 , 0.466677068159397 , -0.577771935885118 , -0.538668852971739 , -0.404545362773923 , -1.50481291758525 , 0.839733843575662 , -0.982472658344615 , -0.105960446267687 , -0.0931292980923128 , -0.00850712216739074, 0.186285005253494 , -0.707624827757742 , -0.500695184273988 , -0.335723307292258 , 0.58430123059057 , 0.422919041666873 , -0.216035153926165 , 0.00637271050193112 , -0.164241603905529 , 0.398585718632997 , 0.150028857380626 , 0.0574835355463613 , -0.201639253341405 , -0.0639822563419384 , -1.01839242033545 , -0.618737186645175 , -0.618582659307548 , -0.770547287314542 , -0.415561119443041 , 0.16800366076648 , 0.0785006216934197 , -0.121323220317668 , -0.247788682979404 , 0.665700601951397 , 0.162741948428099 , 0.794384338908789 , 0.0841452067595671 , 0.265643928096616 , -0.0511780534521727 , -0.285306964655806 , 0.0218811889746502 , -1.59113883160698 , 0.356722053599151 , -0.00083654541352706, -0.154497609885567 , 0.310252310829433 , 0.318874738764462 , 0.625222696044485 , -0.0237736131380758 , 0.0703136582723003 , 0.205936620293602 , -0.495164489899828 , -0.105386361818432 , 0.611095491894071 , -0.0127447737369393 , -0.0915605153820018 , 0.144128655541263 , 0.62256322349197 , -0.106805058208994 , -0.464637438036581 , -0.103181292678439 , -0.252407191980393 , -0.392314269911089 , -1.11303922256755 , 0.452327276121324 , -0.69586757303485 , -0.499731181740086 , 0.227396484740054 , 0.812659714851275 , 0.0515303995438662 , -0.63443702659431 , -0.690790031337174 , -0.534654576598456 , 0.346215589858352 , 0.0753487426136087 , 0.499126340950409 , -0.299266396193062 , 0.232070244235113 , 0.165196746117861 , 0.378372295544713 , 0.116814809715174 , -0.102955727943681 , -0.733829623943946 , 0.111882110713728 , -0.270821234841583 , 0.446936787414973 , 0.108392535562903 , -0.354223317342219 , -0.841163496989679 | 0.4685500 |
| 42 | 50 | 0.0 | 0.0 | 1.0 | control , control , control , control , control , control , control , control , control , control , control , control , control , control , control , control , control , control , control , control , control , control , control , control , control , control , control , control , control , control , control , control , control , control , control , control , control , control , control , control , control , control , control , control , control , control , control , control , control , control , intervention , intervention , intervention , intervention , intervention , intervention , intervention , intervention , intervention , intervention , intervention , intervention , intervention , intervention , intervention , intervention , intervention , intervention , intervention , intervention , intervention , intervention , intervention , intervention , intervention , intervention , intervention , intervention , intervention , intervention , intervention , intervention , intervention , intervention , intervention , intervention , intervention , intervention , intervention , intervention , intervention , intervention , intervention , intervention , intervention , intervention , intervention , intervention , intervention , intervention , -0.918411356062071 , -0.377358206974438 , -0.982551025560581 , -0.86394261937912 , -1.4315220574961 , 0.789266492571761 , 0.0251268662430758 , -1.43526525147011 , -0.16884653373903 , 0.109999573302087 , -0.621095504244657 , 2.1128728481363 , -2.30642371353371 , -0.36808049863328 , -2.11515048773918 , -0.00386030743828202, 0.869159510658351 , 0.063713559597927 , 1.36045540726981 , 2.25056364819062 , 0.409125456263722 , -0.203633559798986 , -1.82218621735364 , -0.0682875266537532 , -0.342911289944617 , -0.302800561126795 , 0.526717437779919 , 1.89102217746291 , -0.0844022797566396 , 1.22950029753862 , -1.66004686218661 , -0.470256436591397 , 1.8148886414183 , 0.42838932427352 , -0.761484495737229 , 1.17187793071374 , -0.624585332995478 , 0.587980000360566 , 0.463356390308082 , 0.490161268886123 , -0.610755935722873 , -0.17348560624371 , 1.67162575894239 , 2.34877827010757 , 0.336363390183289 , -1.16223392067839 , 1.62024476402452 , -0.135806498327106 , 0.281338127679063 , 0.618398519832783 , -0.944288594039614 , 2.57840163331197 , 0.360633899069547 , 0.126854908857678 , -1.86057373010328 , -0.105935111610772 , -0.664468164132469 , -1.27006457312328 , -1.07631434473731 , 0.309137814028928 , -0.33096314139475 , 1.7783442156733 , 0.0408726662474419 , -1.68777286636467 , -0.584976175403943 , -0.227810951003504 , -1.42875296679403 , -1.40651969614175 , -1.30824365461305 , -0.0180998314907239 , 0.507941838138233 , 0.0850583803221845 , 1.41458191280467 , -0.518195294716373 , 0.34547783156711 , -0.504447167719907 , 0.880679734294558 , 1.18021885775243 , -1.73655098195631 , 0.354434973624974 , 0.206379206853886 , -0.850310099401645 , -1.02728445437774 , 0.433280943027668 , -0.760802412490572 , 0.00569930961572649 , -0.774201411761973 , 0.716668119777144 , 0.505703938888876 , -0.032978480512472 , -1.37013922487735 , -0.0214456159693252 , -1.02752874577092 , -1.55637935530715 , -0.878366212631379 , -1.08560937820583 , 1.48541051637595 , -1.33416541778154 , 0.730514133217416 , -0.244475708444633 | 0.1318437 |
| 42 | 50 | 0.0 | 0.1 | 0.5 | control , control , control , control , control , control , control , control , control , control , control , control , control , control , control , control , control , control , control , control , control , control , control , control , control , control , control , control , control , control , control , control , control , control , control , control , control , control , control , control , control , control , control , control , control , control , control , control , control , control , intervention , intervention , intervention , intervention , intervention , intervention , intervention , intervention , intervention , intervention , intervention , intervention , intervention , intervention , intervention , intervention , intervention , intervention , intervention , intervention , intervention , intervention , intervention , intervention , intervention , intervention , intervention , intervention , intervention , intervention , intervention , intervention , intervention , intervention , intervention , intervention , intervention , intervention , intervention , intervention , intervention , intervention , intervention , intervention , intervention , intervention , intervention , intervention , intervention , intervention , -1.24366505690234 , -0.243962360622078 , 0.126713602406966 , 1.03742559854244 , 0.529329092473737 , 0.182419115948257 , 0.475312484653877 , -0.597875647226021 , -0.0332266148719049, -0.114123282743354 , 0.242067759777857 , 0.35053244385003 , 0.0339039213488416 , 0.0811261705111132 , -0.370142143833868 , -0.369018911499545 , 0.208704195135135 , 0.0979155361356701 , -0.221410954646459 , 0.240694667132292 , 0.491879887185475 , 0.843526638391934 , 1.20661675073573 , 0.125580215759201 , -0.397625184157136 , -0.194059131466046 , 0.251285542066745 , 0.474539569713699 , 0.312480525410054 , -0.721793153726564 , 0.959898530778249 , 0.204086206110888 , -0.251622765856277 , 0.715761162025686 , 0.562909760100182 , 0.213759537987118 , -0.500666877658156 , -0.243075464858062 , 0.767886062153008 , 0.523894237588835 , 0.840533329347484 , 0.255223391477186 , -0.0802899183025833, -0.841264295588289 , 0.560365628308103 , 0.109506590643683 , 0.109978688977705 , 0.33765658965678 , 0.00519510957393278, 0.0503255983290859 , 0.138424518647699 , -0.400107293137816 , -0.184940692344555 , -0.236477206587879 , 0.305987441715173 , 0.670092506444909 , -0.0272076746209368, -0.0952246324675095, 0.29582329387642 , 0.381066657757075 , 0.115313286463418 , -0.10553115893429 , -0.486975410325293 , -0.471689287521661 , 0.56548338857557 , -0.298343716546645 , 0.225876577839061 , 0.0973851204374379 , -1.18282539752661 , 0.561926315013649 , -0.361423337562673 , 0.451003517049502 , 0.325106922445047 , -0.31004519793953 , -0.653998061771491 , -0.131714523983364 , 0.757279709958299 , 0.288165657463615 , -0.460979120922506 , -0.643261408770518 , 0.517170321747588 , -0.222837981672487 , 0.465460337882513 , -0.383371777370984 , 0.561628448608387 , 0.0767796096518216 , 0.723338204849663 , 0.208394465710826 , -0.726137890205443 , 0.715264091363746 , -0.871385055826613 , -0.787165891732938 , 0.482417706943234 , -0.132716331742391 , 0.48270131067721 , 0.748219586562038 , -0.611115859408664 , -0.622446899279524 , -0.477168470134481 , 0.902160136746373 | 0.1697459 |
| 42 | 50 | 0.0 | 0.1 | 1.0 | control , control , control , control , control , control , control , control , control , control , control , control , control , control , control , control , control , control , control , control , control , control , control , control , control , control , control , control , control , control , control , control , control , control , control , control , control , control , control , control , control , control , control , control , control , control , control , control , control , control , intervention , intervention , intervention , intervention , intervention , intervention , intervention , intervention , intervention , intervention , intervention , intervention , intervention , intervention , intervention , intervention , intervention , intervention , intervention , intervention , intervention , intervention , intervention , intervention , intervention , intervention , intervention , intervention , intervention , intervention , intervention , intervention , intervention , intervention , intervention , intervention , intervention , intervention , intervention , intervention , intervention , intervention , intervention , intervention , intervention , intervention , intervention , intervention , intervention , intervention , 2.07917502319816 , 1.01906966140442 , 1.0496514305877 , -0.355990375884239 , 0.728433537656204 , -2.00880012704181 , -0.52503646887143 , 2.24096496530079 , -0.986864785591289 , 0.873303865110888 , -0.0376767122505813, -0.175364996602102 , -0.819723239302504 , 1.61325042216853 , -0.138184336858633 , -0.810076698698381 , 1.12501838391501 , 0.912929195900751 , 1.43421534896018 , 1.58153674533039 , -1.08117966179879 , -1.32155310381088 , 0.932401924265429 , -0.92586301247023 , 2.74383783647526 , -0.352463827886699 , 0.059280369354837 , -0.117096453462635 , 0.51853777881928 , -0.132718378737208 , -0.238331724702935 , 2.90073950730634 , -0.589290746528738 , 0.379820319564985 , -0.580564985557983 , -0.565316904283654 , 0.67997832693922 , 0.922210783473713 , 1.09501470480776 , -0.92981543284375 , 0.0328592216765603 , -0.99681236756274 , -1.28635324463572 , 0.72245513813072 , 1.15433885064701 , 0.687654166296887 , 2.44109178355215 , 0.303716987852069 , 1.11640864924735 , -0.595946014798142 , 1.08208640214473 , 0.59126466159181 , -1.84169696861039 , -0.723359597876321 , 0.193957852073605 , -0.306782389282575 , -1.19026997079728 , 0.459036004908551 , 0.343367550549331 , 1.78193903500686 , 0.249019949831863 , 0.965157863960048 , 0.754760653153673 , 0.324970996446187 , -1.22974331145025 , 0.946431466891431 , -1.37458004104101 , 0.218529878381466 , -1.46396420109838 , 0.490119617412979 , -1.2882041001579 , 1.14103996898685 , 0.832945575503115 , 0.375999123542553 , -0.647863867735285 , 0.275801868843645 , -0.890943679502232 , 0.0600986259288077 , -0.0292985336753373, -1.64762931735479 , 0.618268550735737 , -0.760900913762045 , 1.81222091086688 , -0.678096150531786 , 0.246887761538835 , 0.951533228364015 , 0.296544239484986 , 0.577767126265824 , 2.18334131055428 , -0.351757944799114 , -1.45499721889433 , -0.564463996521883 , -0.423356974476718 , -0.116021606133931 , -0.453487690678835 , -1.26242157251077 , 0.177568287632185 , 2.72505603861324 , -0.941871741249285 , 1.15100475953788 | 0.2100957 |
| 42 | 50 | 0.5 | 0.0 | 0.5 | control , control , control , control , control , control , control , control , control , control , control , control , control , control , control , control , control , control , control , control , control , control , control , control , control , control , control , control , control , control , control , control , control , control , control , control , control , control , control , control , control , control , control , control , control , control , control , control , control , control , intervention , intervention , intervention , intervention , intervention , intervention , intervention , intervention , intervention , intervention , intervention , intervention , intervention , intervention , intervention , intervention , intervention , intervention , intervention , intervention , intervention , intervention , intervention , intervention , intervention , intervention , intervention , intervention , intervention , intervention , intervention , intervention , intervention , intervention , intervention , intervention , intervention , intervention , intervention , intervention , intervention , intervention , intervention , intervention , intervention , intervention , intervention , intervention , intervention , intervention , 0.372637257362361 , -1.03453333041831 , -0.415958013873292 , 0.385050854329909 , 0.753281363660661 , -0.625099154045135 , -0.414981592504763 , 0.432244017177332 , 0.677186698323243 , 0.564637241926496 , -0.484223667016664 , -0.84184239879816 , -0.49370536860677 , 0.319404807263525 , -0.13597105265726 , 0.339300732754943 , -0.0611969884830445 , -0.364296685224983 , 0.944336430255732 , -0.327008606866501 , -0.657353565654981 , -0.0989500686081388 , 0.0460676054827484 , -0.280031978277352 , -0.587055713174645 , -0.056025067353015 , -0.160862015089988 , -0.122739646946106 , -0.467519130431221 , 0.961409686657978 , 0.473548618139149 , -0.654762783300223 , -0.0465209204789112 , 0.453906402461432 , -0.590069720947669 , 1.35325372867792 , 0.0240287958818077 , -0.17778943251569 , 0.088826737469123 , 0.678239542695711 , 0.356773054599949 , -0.264876460710211 , -0.0266987602408162 , 0.0523849849808025 , -0.360459702127679 , 0.241992923246031 , 0.555860346633333 , 0.448606112963528 , -0.854666080097291 , -0.0796274602091038 , 1.09761192963886 , 0.636341917002315 , 0.745801049390245 , 1.4928365865634 , 0.55839903158837 , 0.7132738824509 , 0.627987460018538 , 0.14387440761351 , 1.2976047867913 , 0.443868627779577 , 0.213828747290398 , -0.387989270851612 , 0.220015460191436 , 0.36116801615922 , 0.936321860942751 , -0.0549047432298587 , 0.573315701677825 , 1.23779641818317 , 0.697944023191076 , 1.01983028066578 , 0.0312454196540363 , 0.531181728901622 , -0.107886247879742 , 0.349190201352101 , 1.05595648519571 , 0.598930306944526 , 0.893041980210558 , 0.25036644001182 , 0.455756363088406 , 0.323057346837622 , 0.749612380936267 , -0.00635571526271483, 1.26774842518518 , 0.362899178488259 , 0.975024600601523 , 0.736878013690428 , 0.484417716579668 , 0.900922271153543 , 0.99538025931967 , 0.418307979427518 , 0.63320442532394 , 1.08741410532299 , 0.617472454137353 , 0.846835770308075 , 0.44109757769963 , 0.628009213394906 , -0.24058150497734 , 0.734225183065731 , 0.746873287119376 , 1.40736363266511 | 0.0000000 |
| 42 | 50 | 0.5 | 0.0 | 1.0 | control , control , control , control , control , control , control , control , control , control , control , control , control , control , control , control , control , control , control , control , control , control , control , control , control , control , control , control , control , control , control , control , control , control , control , control , control , control , control , control , control , control , control , control , control , control , control , control , control , control , intervention , intervention , intervention , intervention , intervention , intervention , intervention , intervention , intervention , intervention , intervention , intervention , intervention , intervention , intervention , intervention , intervention , intervention , intervention , intervention , intervention , intervention , intervention , intervention , intervention , intervention , intervention , intervention , intervention , intervention , intervention , intervention , intervention , intervention , intervention , intervention , intervention , intervention , intervention , intervention , intervention , intervention , intervention , intervention , intervention , intervention , intervention , intervention , intervention , intervention , 0.495702113271272 , -0.189241331270443 , 0.750980532912626 , 0.186253772726237 , 0.665298874568568 , -1.1907782328599 , -0.718239687064828 , -0.401010298531975 , 0.969351910692684 , 0.705887163290444 , 1.77852166204455 , -0.0122101738896004, 0.186272013306124 , 1.17762808972337 , 0.236719924557268 , 0.045277896917288 , -0.300065427428046 , 1.49904378252719 , 0.489093058423476 , -0.519592815868355 , -0.418563009985963 , -1.112793754285 , -0.948948222464274 , -0.803571051278873 , -0.789512428550661 , -1.9644804623024 , -0.155799870946357 , -0.396504806066655 , -0.132602988046256 , -0.714152310486723 , 1.42564040832928 , 0.707876033023895 , -1.39821349350369 , 0.822140401492751 , -1.24037909489395 , 0.255962342040163 , 1.0317283900317 , -1.06545712789275 , 0.870615171734761 , -0.383469360421135 , 0.155273752868117 , -0.924006943265302 , 1.76397772422618 , 0.62102943833881 , 1.33632744788653 , -0.634695067288431 , -0.456871247552869 , -0.0845833619286207, 1.1728669066885 , 0.0707560546083123 , 0.410711711051243 , 1.08548307409251 , 1.41597659073669 , 0.253323733125315 , 0.798032995022438 , 1.26916361455012 , -1.14629588867293 , -0.709673625178332 , 0.158932169081358 , 1.40497059970808 , -1.71944678396202 , 2.01981353796692 , 2.20166574256964 , 0.861127633562803 , 1.02103176588481 , 1.32536241442943 , 0.722177653997155 , 1.15876728499313 , 0.377826747941376 , 2.17882586577869 , 1.28968086619336 , 0.704537630942207 , 0.274840506288101 , 1.5113309068839 , -1.06749313874948 , 0.826174430846331 , 0.0712292998826183 , -0.040203436829465 , -0.158134626439214 , -1.59334923536529 , -0.141090856884478 , 1.33447328646034 , 2.05484066159639 , 0.255044075763568 , 1.07325974706332 , -0.428773050157021 , 1.00514294125028 , -0.544393705276933 , 0.727498481401653 , 0.770321044755964 , 2.08434004647189 , 1.11782685002678 , 1.63713616602854 , -0.521208158955783 , -0.593033247366599 , 0.203286761032781 , 0.27284311261596 , 0.652326914503199 , 0.667960062008905 , -0.219896619681886 | 0.0059235 |
| 42 | 50 | 0.5 | 0.1 | 0.5 | control , control , control , control , control , control , control , control , control , control , control , control , control , control , control , control , control , control , control , control , control , control , control , control , control , control , control , control , control , control , control , control , control , control , control , control , control , control , control , control , control , control , control , control , control , control , control , control , control , control , intervention , intervention , intervention , intervention , intervention , intervention , intervention , intervention , intervention , intervention , intervention , intervention , intervention , intervention , intervention , intervention , intervention , intervention , intervention , intervention , intervention , intervention , intervention , intervention , intervention , intervention , intervention , intervention , intervention , intervention , intervention , intervention , intervention , intervention , intervention , intervention , intervention , intervention , intervention , intervention , intervention , intervention , intervention , intervention , intervention , intervention , intervention , intervention , intervention , intervention , 1.00400909606902 , -0.481444824209724 , 0.115246810893729 , -0.43083940004679 , 0.497174537108372 , 0.68515841160329 , -0.171031092660943 , -0.604778549948452 , 0.357812646771923 , 0.608225265947676 , 0.374855425836117 , -0.252865183542513 , -1.24047881745645 , -0.394206685971161 , 0.271016633230513 , 0.975426817753093 , 0.196101200173453 , 0.716935349055306 , 0.0842019867028548 , 0.3790577634254 , 0.161872176155471 , 0.54426199425973 , -0.0141091604539086, 0.0364054644916903 , 0.0763255717240577 , -0.603392052318534 , 0.362921821579885 , -0.324175748686025 , 0.411652748283385 , 0.748407757939115 , -0.326997280550062 , 0.500706417621536 , 0.402723299987292 , 1.26000549791046 , 0.583008510878015 , -0.200509870310531 , 0.517684982147932 , 0.087185116972023 , -0.345299425468336 , -0.127279440008298 , 0.561104114993739 , -0.558091160909291 , -0.144346205004157 , 0.587781521701012 , 0.51851093828372 , 0.373900125686081 , 1.65041282293939 , 0.416143017300245 , -0.561665247326538 , 0.765507584188995 , 0.197814973351405 , 0.504013804294294 , -0.20277710063314 , 0.785411838036518 , 0.516609867184488 , 0.50223468128825 , 0.526063571172508 , 0.2530956561016 , 0.734045300093456 , 0.4456733894308 , 0.24998705848352 , 0.564277584629855 , 1.18452919142086 , -0.334828067340013 , 1.0185472076712 , 0.385962138254491 , -0.0526874553542571, 0.188277131709514 , 0.652253962342548 , 0.694708119543402 , -0.0478753273999052, 0.261243172888741 , 1.17119120434394 , 0.0955534111905355 , -0.134824899406869 , 0.357189000860936 , 0.303671647762708 , -0.110848907592256 , 0.656056430993814 , 0.682431607353554 , 0.691762881405999 , 0.0995461398201755 , 0.160117964555397 , 0.290526638685482 , -0.156087879260826 , 1.18748228993077 , 1.18671186132056 , 0.886513508439312 , 0.22287684861489 , 0.564941188091785 , 0.933571908084994 , -0.296049746487715 , 0.347459101553068 , 0.416245877331601 , 0.336353404647841 , 1.64746776213534 , 1.13839179368485 , 0.13987880345002 , 1.47344580612366 , 0.913660153769986 | 0.0058683 |
| 42 | 50 | 0.5 | 0.1 | 1.0 | control , control , control , control , control , control , control , control , control , control , control , control , control , control , control , control , control , control , control , control , control , control , control , control , control , control , control , control , control , control , control , control , control , control , control , control , control , control , control , control , control , control , control , control , control , control , control , control , control , control , intervention , intervention , intervention , intervention , intervention , intervention , intervention , intervention , intervention , intervention , intervention , intervention , intervention , intervention , intervention , intervention , intervention , intervention , intervention , intervention , intervention , intervention , intervention , intervention , intervention , intervention , intervention , intervention , intervention , intervention , intervention , intervention , intervention , intervention , intervention , intervention , intervention , intervention , intervention , intervention , intervention , intervention , intervention , intervention , intervention , intervention , intervention , intervention , intervention , intervention , 0.553610448733968 , -0.673138493779249 , 0.228593018835925 , -0.32171858235002 , 1.99201859171137 , -1.95604869831015 , -0.0529630993010872, 0.632982939648051 , 0.47821648727168 , -0.701320768870368 , 0.298185068174097 , -1.3308195944733 , -0.845278414802037 , -0.565195167764628 , -0.951667031513449 , -0.0840891202709692, -0.262513786160929 , 1.11493651837337 , 0.222466015209224 , 0.785613849165863 , -0.618650507152828 , 0.183308134698175 , -1.58136578154616 , 0.473867044888742 , -0.744529640227838 , 0.192647015164375 , -1.75016200134599 , 0.597221237485169 , 0.574291655856459 , 1.61426081076152 , 0.100534535612165 , 0.886287773854636 , -0.605235217113083 , -1.81309360929083 , -0.468422330914105 , 0.417577704361504 , -1.35467023022238 , 0.379381144377165 , -0.780828400848104 , -0.59006181984172 , -0.0812989866742438, 0.216020132230503 , -1.78344173960616 , -0.291631089570676 , -0.457163402907866 , 1.33585575405232 , -1.89782977795506 , -0.734232554563763 , 0.71742084843276 , 1.45443953613635 , -0.572727985259058 , 1.33756993001152 , 3.19407684463749 , 0.604882013814711 , 1.80619781816218 , -0.0284011557411227, -1.01570419180469 , -0.44748780934301 , 0.474884389854966 , -0.808530754903555 , 0.426039843836122 , 1.30499192088671 , 1.27421419062906 , -0.221647239931538 , -1.00914617867436 , 0.728334110659194 , -0.480772631316328 , -0.340596637209304 , 0.129919155259381 , 1.61828018888494 , 0.389512310564448 , -1.24989170046903 , 1.55427181938119 , -2.39865496467546 , -0.30646106042776 , 1.94951791271631 , -1.45689082663872 , -1.05607229078264 , -0.579424790443757 , 0.938689233705967 , 0.00150508088855555, -0.952992279131715 , 1.30154247773727 , 1.81495224743837 , -0.168499559116802 , -0.482153389866418 , 1.38057776438913 , -0.746966029019755 , -0.232734057018537 , 1.68211136118896 , 2.41408872803114 , -0.431779566034536 , -0.176594083003221 , 1.82700026140068 , 1.41136370196446 , 0.584794147545359 , 0.987425780554365 , 0.152960636176019 , -1.38756060742815 , -0.617595398811839 | 0.0418785 |
| 43 | 20 | 0.0 | 0.0 | 0.5 | control , control , control , control , control , control , control , control , control , control , control , control , control , control , control , control , control , control , control , control , intervention , intervention , intervention , intervention , intervention , intervention , intervention , intervention , intervention , intervention , intervention , intervention , intervention , intervention , intervention , intervention , intervention , intervention , intervention , intervention , -0.279895467204941 , -0.320265218261534 , 0.712153347373451 , 0.703372191311142 , 0.388898767703728 , -0.111226847802007 , -0.648560661218094 , 0.229990893915702 , -0.365104868107096 , 0.580805207979242 , -1.15240995242613 , 0.475397789274786 , 0.295062949323624 , 0.352764927120414 , -0.061396745134796 , 0.601821376077692 , -0.333576485815723 , -0.0789695844797862, 0.608876368125112 , 0.419477192636322 , 0.574346717704903 , 0.243739423284742 , 0.0757827556247595 , 0.419545733531044 , -0.630835750230166 , 0.733579369035766 , 0.973994098555002 , -0.512430623103187 , 0.669062508007272 , -0.0364522140485002, -0.212804592679468 , 0.916279640980819 , -0.41842544866241 , 0.0501063324565033 , 0.0700440171579087 , -0.202492091436829 , -0.0710310270252877, -0.138738727148172 , -0.83768179747437 , -0.181362422723705 | 0.8691274 |
| 43 | 20 | 0.0 | 0.0 | 1.0 | control , control , control , control , control , control , control , control , control , control , control , control , control , control , control , control , control , control , control , control , intervention , intervention , intervention , intervention , intervention , intervention , intervention , intervention , intervention , intervention , intervention , intervention , intervention , intervention , intervention , intervention , intervention , intervention , intervention , intervention , 1.49713278050012 , 0.704171792221081 , -0.26988077719589 , -0.0624928723002514, 0.245855721909221 , 0.187269122521346 , -1.33808366857752 , 0.800330219128818 , 0.725531436252316 , 1.52742419251995 , 0.245474782085069 , -1.15081052615072 , -1.2377862025337 , -0.42868590338084 , 0.29104269454143 , 0.199801457497227 , -1.96795755289986 , -0.869383115928036 , -1.00197025583675 , -0.219107247219774 , 0.0751321538976347 , 0.799372622555805 , -0.740015188845151 , 0.0144647745462618 , 0.117828646871482 , 0.644196135776118 , 1.41407924575666 , 0.269677788602519 , -1.08617952033939 , -0.619883695922001 , -1.17059835632855 , -0.0862085014599666, -2.75595952962791 , 1.3764801341097 , -0.250894254585521 , 0.144452975766609 , 0.868088917147022 , -0.168930332939535 , -0.0466736757732993, -1.7916580217737 | 0.8891846 |
| 43 | 20 | 0.0 | 0.1 | 0.5 | control , control , control , control , control , control , control , control , control , control , control , control , control , control , control , control , control , control , control , control , intervention , intervention , intervention , intervention , intervention , intervention , intervention , intervention , intervention , intervention , intervention , intervention , intervention , intervention , intervention , intervention , intervention , intervention , intervention , intervention , 0.413054124749644 , 0.501961791341198 , -0.09444553930393 , -0.670185130256611 , -0.43952267958438 , -0.275810244652553 , 0.10032596088194 , 0.00822893203937165, -0.654658114760632 , 0.0758032107923699 , -0.571552223444281 , 0.531029100236198 , 0.144423016970218 , 0.435990400397504 , -0.89938152251757 , 0.124628881380041 , -0.45875914591847 , 0.649092118673921 , 0.02076103696155 , -0.111029450749519 , 0.482214598749961 , -0.347682961620083 , 0.255322476518816 , 0.0853301026047309 , 0.642887925354512 , -0.120177860929637 , -0.0465409169043189, 0.398391072817157 , 0.160755271162708 , 0.362819759286074 , 0.484885850795297 , 0.110338432330364 , 0.613167541968902 , -0.370130911917206 , -0.109797046692266 , 0.435524939103394 , -0.256799913863327 , -0.469589052965684 , -0.948158583266175 , -0.28354488292893 | 0.4175959 |
| 43 | 20 | 0.0 | 0.1 | 1.0 | control , control , control , control , control , control , control , control , control , control , control , control , control , control , control , control , control , control , control , control , intervention , intervention , intervention , intervention , intervention , intervention , intervention , intervention , intervention , intervention , intervention , intervention , intervention , intervention , intervention , intervention , intervention , intervention , intervention , intervention , 0.628314428173339 , -1.41043475982093 , -0.118147215008253 , 0.87703327818357 , -1.06074265465997 , 1.44895331211729 , 0.183752722056874 , 0.380064550224937 , 0.682926430992294 , 0.17521840093569 , 2.69395244484403 , 0.650523830800121 , 1.47957243531051 , 0.902755188750886 , 0.834353726249897 , -1.09713798309617 , 1.55569362090418 , 1.23593027197979 , -0.792406865311502 , 1.84473425401182 , 1.2128464347458 , 0.897010947643267 , -2.41075883965304 , 0.396913682611453 , 0.730867421581738 , 1.05990217718956 , 0.397669073283477 , 1.83459254440726 , 0.013805876334871 , -1.01063005845383 , 1.23425450127876 , -1.16041991334775 , -1.6507037385183 , -0.0866464747189102, 0.228368259183877 , -0.112813179214732 , -0.50582331005875 , -0.609968613714243 , -1.37850422081236 , -1.10078409052766 | 0.0646368 |
| 43 | 20 | 0.5 | 0.0 | 0.5 | control , control , control , control , control , control , control , control , control , control , control , control , control , control , control , control , control , control , control , control , intervention , intervention , intervention , intervention , intervention , intervention , intervention , intervention , intervention , intervention , intervention , intervention , intervention , intervention , intervention , intervention , intervention , intervention , intervention , intervention , 0.0986786086757182 , 0.303755106636572 , 0.490160466175656 , 0.447834748603774 , -0.0425864963678731 , -0.193213402530512 , -0.0558768488730402 , 0.0746841369369188 , 0.709143757100849 , 0.0226433917773846 , 0.443109170221787 , 0.591632439308145 , 0.130066854975782 , 0.564735712887185 , 0.286926444461639 , 0.0566036128847562 , 1.32296527329708 , -0.396265501980386 , 0.33407783244741 , 0.113213958140188 , 0.653854235636359 , 0.538254451482387 , 0.541197534060559 , 0.549696241590744 , 0.555695735449157 , 1.09822331369045 , 0.663275251392677 , 1.04489685324867 , 1.17103002575385 , 0.50166972528293 , 0.211105573501672 , 0.902269541269288 , 0.900735726259708 , 0.562917951313626 , -0.00877840579651523, 0.557141265545719 , 0.496080642072126 , -0.0785271293824106 , 0.509616282554524 , 1.0319551979055 | 0.0032524 |
| 43 | 20 | 0.5 | 0.0 | 1.0 | control , control , control , control , control , control , control , control , control , control , control , control , control , control , control , control , control , control , control , control , intervention , intervention , intervention , intervention , intervention , intervention , intervention , intervention , intervention , intervention , intervention , intervention , intervention , intervention , intervention , intervention , intervention , intervention , intervention , intervention , -0.479196928317148 , 0.454745503581025 , -0.337439224794192 , -0.716594953637087 , -1.77284450024369 , 1.68454838468614 , -0.00378620993698797, 0.337288182444644 , 0.927538988096462 , -0.350436049965217 , -0.824901174219273 , 0.872570208773326 , 0.263422013177279 , -0.307377038419765 , 0.30690078801522 , 1.15067238667744 , 0.479807088515728 , -0.655341243219095 , 0.78418148129123 , -0.343316134851795 , -0.110672678532231 , -0.89565834084103 , 1.05804259177078 , -0.031432032439332 , -0.217460655794962 , 0.642432859723418 , 1.51726782037836 , -0.041124003898385 , -0.265224700104275 , 0.811047341374609 , -0.363452626823303 , -0.288400474536853 , 0.96217958185104 , 1.32338182689384 , -0.557867777186842 , 0.717377911548411 , 1.27165522784699 , -0.568431135164158 , 0.319759597375089 , -0.189835390781293 | 0.4599331 |
| 43 | 20 | 0.5 | 0.1 | 0.5 | control , control , control , control , control , control , control , control , control , control , control , control , control , control , control , control , control , control , control , control , intervention , intervention , intervention , intervention , intervention , intervention , intervention , intervention , intervention , intervention , intervention , intervention , intervention , intervention , intervention , intervention , intervention , intervention , intervention , intervention , -0.151389996696248 , 0.840269162165526 , 0.794328826573911 , -0.0544102826672031, 0.750471143413 , 0.668923183286483 , 0.80820195813715 , 0.709346931256217 , 0.021372561005216 , -0.150456675914894 , 0.680946208816046 , 0.425728339751758 , 0.940852616395846 , 0.207754308676106 , 0.0189717219814001 , -0.197589750133748 , -0.56969413773419 , -0.227730225037635 , 0.495668896646227 , 0.577429930450457 , -0.0576598002602907, 0.394010685126244 , 0.512469550706726 , -0.281709351518618 , 0.439926932235413 , -0.321923453502783 , 0.735074559696285 , -0.422258218880993 , 1.00532559198799 , 0.299873722916363 , 0.209972685359625 , 0.667373872442728 , 0.941935130438098 , 0.335754441603833 , 0.789514330472441 , 0.456181012235095 , 0.586786373650533 , 1.07561020914004 , 0.534050045304569 , 0.599336080657468 | 0.4983892 |
| 43 | 20 | 0.5 | 0.1 | 1.0 | control , control , control , control , control , control , control , control , control , control , control , control , control , control , control , control , control , control , control , control , intervention , intervention , intervention , intervention , intervention , intervention , intervention , intervention , intervention , intervention , intervention , intervention , intervention , intervention , intervention , intervention , intervention , intervention , intervention , intervention , 1.18057332673249 , 0.50299190180193 , -0.592794395497148 , 1.92412266902321 , 0.402264169818959 , -0.706477707425098 , -0.0135528701408585, -0.179999181920216 , -1.29212453470999 , -0.672743216466533 , 0.26037305934414 , 0.77913605207244 , 0.382040858161081 , -0.677131539403704 , 0.777611136337417 , -1.35889193084439 , -0.442799459588157 , -0.594774400377988 , 0.441513751041741 , 0.352601476755524 , -0.48367712128691 , 0.0504426745133125 , 1.40183699121589 , 0.5716525452981 , 1.15531277094651 , 0.349602985631082 , 0.623027322470734 , -0.112900407469823 , 0.165439007079167 , 0.770991333353845 , 0.34590782626726 , -0.649483444735164 , 2.39811143013826 , 1.5802990020553 , 0.611880572993309 , -0.0354078794786862, 0.155875325510377 , 0.759436795685717 , 0.822414538334641 , 0.246151805687993 | 0.0433234 |
| 43 | 50 | 0.0 | 0.0 | 0.5 | control , control , control , control , control , control , control , control , control , control , control , control , control , control , control , control , control , control , control , control , control , control , control , control , control , control , control , control , control , control , control , control , control , control , control , control , control , control , control , control , control , control , control , control , control , control , control , control , control , control , intervention , intervention , intervention , intervention , intervention , intervention , intervention , intervention , intervention , intervention , intervention , intervention , intervention , intervention , intervention , intervention , intervention , intervention , intervention , intervention , intervention , intervention , intervention , intervention , intervention , intervention , intervention , intervention , intervention , intervention , intervention , intervention , intervention , intervention , intervention , intervention , intervention , intervention , intervention , intervention , intervention , intervention , intervention , intervention , intervention , intervention , intervention , intervention , intervention , intervention , 0.174493942390132 , -0.404628036710116 , -0.256033547837008 , -0.56848942010355 , -0.0660344581064367, -0.144123516165772 , 0.909110437992208 , -0.746446072916354 , -0.197413190026307 , 0.19657018940976 , 0.1713510365334 , 0.113463467410398 , -0.0799786004031265, -0.579715530866825 , 0.158360916612081 , 0.480352637549307 , -0.314395157292138 , 0.551225463468551 , -0.278707584799889 , -0.767730022023569 , 0.215138268091935 , 0.710372769920192 , -0.123925801576713 , -0.0602820084413688, 0.684961780569062 , 0.383991580593511 , 0.386031620599758 , 0.110302173714401 , -0.929378408921871 , 0.386649743517248 , 0.62411769858248 , -1.19851372601188 , -0.186176008829766 , 0.175809128347838 , 0.24024222994932 , 0.687247394527506 , -0.0228942603127018, 0.248246345882784 , 0.501353234829119 , 0.00279855799662347, -1.24906695554166 , -0.116338001686446 , -0.240869098882054 , 0.840118836852893 , 0.158979792274459 , 0.483338525578466 , -0.422607245296266 , 0.545496515114445 , -0.623486051312061 , 1.27481970671412 , -0.745651786889817 , -0.337120423018214 , 0.248627125926577 , 0.7860706955832 , -0.367429654670476 , 0.773762227270313 , -0.263444622880735 , 0.444992618648166 , -0.838594859813793 , -0.609269545845739 , 0.463173999166827 , 0.342517974261998 , -0.173681213955001 , -0.298922911480517 , 0.371892916408394 , -0.520871479075618 , 0.365863149283843 , -0.189681265603409 , -0.503751315641701 , 0.13861931197993 , 0.108739208867362 , 0.686526885471033 , 0.0119842143618725 , -0.596998829559291 , 0.667203846913054 , 0.254818621565923 , 0.0328264274292499 , 0.116404014716077 , 0.467834988793444 , 0.127036927061217 , 0.0927238762597313 , 0.523372905933293 , -0.370992358218256 , 0.767480767034383 , -0.121560547776733 , 0.123693303870365 , 0.635716126274415 , 0.379278501762828 , 0.408428141047697 , -0.206796098680538 , -0.700055664436227 , 0.72420243017511 , -0.83221703929931 , -1.11328918935189 , 0.0347353749321421 , -0.198414981524674 , -0.422733365900852 , 0.293343544878972 , 0.060361514643395 , -0.158794372546885 | 0.8511398 |
| 43 | 50 | 0.0 | 0.0 | 1.0 | control , control , control , control , control , control , control , control , control , control , control , control , control , control , control , control , control , control , control , control , control , control , control , control , control , control , control , control , control , control , control , control , control , control , control , control , control , control , control , control , control , control , control , control , control , control , control , control , control , control , intervention , intervention , intervention , intervention , intervention , intervention , intervention , intervention , intervention , intervention , intervention , intervention , intervention , intervention , intervention , intervention , intervention , intervention , intervention , intervention , intervention , intervention , intervention , intervention , intervention , intervention , intervention , intervention , intervention , intervention , intervention , intervention , intervention , intervention , intervention , intervention , intervention , intervention , intervention , intervention , intervention , intervention , intervention , intervention , intervention , intervention , intervention , intervention , intervention , intervention , 0.28746626170923 , -0.00276051603373911, 2.79306771029159 , -1.39932204227596 , 0.483655253133209 , 1.59562779773087 , 0.409252344971276 , 1.01427617962584 , 0.494462766824207 , -0.683294890784883 , 0.801081586426753 , 0.0503627751442846 , -0.843214033500949 , 1.22122550593194 , 0.756429790602078 , -1.09748488755193 , 0.468066487279826 , 1.84713819842957 , -0.229164938472492 , -1.4865751595929 , -0.933485074806357 , 0.0193793457502876 , 0.65080890799102 , -0.315210643074151 , 0.456089265987196 , 1.76144609118738 , 0.23204770145782 , -0.302162935069713 , 1.23235584498037 , -1.86569461607063 , 0.0980586909180823 , -0.631517106043316 , 1.0633742912258 , -0.306234277513972 , 0.293864070289589 , 1.62234172607227 , 0.572544843914025 , 0.884847781240745 , -0.509136297493936 , 0.220900129196154 , 0.790140705772412 , 0.427803921234883 , 0.666570871052911 , -0.545421167496571 , 0.947721628970146 , -0.749251531733968 , -2.08884360505085 , 0.732981628916925 , 0.563085748581398 , 1.95834536483328 , -1.08773512079368 , -0.988073699107916 , 0.299904730025858 , -0.343543878040768 , -1.035754690769 , -0.847428502949939 , -0.824569743506293 , 0.898035047001179 , -0.255881329153519 , -1.53255428247953 , -1.12697592928335 , -0.607784608676138 , -0.795770712681182 , -1.80198774140007 , -1.01798549868583 , -0.134088707494825 , -0.218462383101688 , -0.404468954925072 , -0.0282200068474852 , -0.408224400490232 , -0.0853550548078056 , -1.22325510848936 , -0.504747587272183 , -1.06438013600948 , 0.478996853591795 , 1.79943474890044 , 1.40169437633671 , -0.804137577305114 , -0.337748986172653 , 1.15691397883593 , -0.00319413848678771, -0.682170163380614 , -1.71186232310435 , -0.829392293399544 , -0.395553163914897 , 0.487348628386946 , -0.376005844004307 , 1.16388090009691 , 0.322266247715353 , -0.288664417817088 , -0.298039417573034 , -2.18300479339645 , 0.108641760847305 , 0.666561851429683 , 1.14236869588211 , -0.370780257494666 , -1.2119442299656 , -0.365770117709364 , -0.240104146188417 , 0.216061166598154 | 0.0017791 |
| 43 | 50 | 0.0 | 0.1 | 0.5 | control , control , control , control , control , control , control , control , control , control , control , control , control , control , control , control , control , control , control , control , control , control , control , control , control , control , control , control , control , control , control , control , control , control , control , control , control , control , control , control , control , control , control , control , control , control , control , control , control , control , intervention , intervention , intervention , intervention , intervention , intervention , intervention , intervention , intervention , intervention , intervention , intervention , intervention , intervention , intervention , intervention , intervention , intervention , intervention , intervention , intervention , intervention , intervention , intervention , intervention , intervention , intervention , intervention , intervention , intervention , intervention , intervention , intervention , intervention , intervention , intervention , intervention , intervention , intervention , intervention , intervention , intervention , intervention , intervention , intervention , intervention , intervention , intervention , intervention , intervention , 0.174876112907015 , -0.0908830701396896, 0.436393941250523 , 0.566939862596821 , 0.14872288368489 , 0.154818452424823 , 0.320549023553994 , 0.0180135641277884 , 0.14375503760657 , -0.351379749397623 , 0.48482921937641 , -1.116798434937 , -0.219434727516954 , 0.198873182113648 , 1.03935656399188 , -0.512055231193406 , 0.163154212169161 , -0.253916442461214 , 0.076338947459652 , -0.0751684113746438, 0.46851813240085 , -0.927453105425173 , 0.945636264977886 , 0.321001902518281 , -0.121179180262689 , -0.614788566148535 , -0.508531960156949 , 0.451062534095239 , 0.943891469874255 , -0.298320173374301 , 0.657419256685313 , -0.788293035232722 , 0.118404228637788 , 0.120892387228487 , 0.0976413074269295 , 0.0774323222123073 , 0.4309548540331 , 0.858027100843737 , 0.93209029547453 , 0.00314011602533489, 0.249763194055915 , -0.0630444623124561, -0.019429744417328 , 0.669650286469792 , -0.0238469664515759, -0.774561185227499 , 0.582365771642972 , 0.136897194323892 , 0.162087540691433 , -0.03389658148647 , 0.299634461201884 , 1.12265667870051 , -0.232629700028649 , 0.459021791001331 , 0.0878909932971815 , 0.621086468586582 , -0.250079293467351 , -0.547117007504481 , 0.569434677705242 , 0.480297393839611 , 0.589208209856257 , 0.123897151781181 , 0.264676931272319 , 0.367564745922721 , -0.810744770652614 , 0.627116020205786 , -0.239361869483367 , -0.0738214761949293, -0.100610551006286 , -0.457935650956039 , 0.0264059535729424 , 0.415341451323029 , -0.637920547804124 , -0.416910807061703 , -0.231689774221656 , -0.165406240536023 , 0.178170431657707 , -0.394171807770341 , -0.314877159826849 , 0.4458049525301 , -0.0246759397973745, -0.386547611387733 , -0.164462319050712 , 0.137966501214743 , 1.07786014265507 , 0.306949447295786 , -0.312958291281758 , -0.302674524386932 , -1.24161187257263 , 0.572294841543364 , -0.504095423718811 , -0.592725124908663 , -0.0874228600532362, -0.383364050162151 , -1.05298393957043 , -0.833131570333181 , 0.0517607201163005 , 0.893177794101494 , -0.0217805898271509, -0.490933617638512 | 0.1723810 |
| 43 | 50 | 0.0 | 0.1 | 1.0 | control , control , control , control , control , control , control , control , control , control , control , control , control , control , control , control , control , control , control , control , control , control , control , control , control , control , control , control , control , control , control , control , control , control , control , control , control , control , control , control , control , control , control , control , control , control , control , control , control , control , intervention , intervention , intervention , intervention , intervention , intervention , intervention , intervention , intervention , intervention , intervention , intervention , intervention , intervention , intervention , intervention , intervention , intervention , intervention , intervention , intervention , intervention , intervention , intervention , intervention , intervention , intervention , intervention , intervention , intervention , intervention , intervention , intervention , intervention , intervention , intervention , intervention , intervention , intervention , intervention , intervention , intervention , intervention , intervention , intervention , intervention , intervention , intervention , intervention , intervention , -0.0156834797495443, 0.577771854039782 , 1.28373285137235 , 0.561711544225613 , 0.787943939728685 , -0.486686265663458 , -0.60318360980188 , 1.91306569436141 , 0.53072766951902 , 0.219409253818495 , 2.06376756029249 , -0.205144500555963 , -1.76773590911086 , 0.177966848409904 , -0.951128882382387 , 0.598615349671356 , 0.0681188369982778 , 0.0165994551027294 , -2.61575048133369 , -0.428770137566234 , 0.0301596716941608 , 0.539383403893857 , 1.07142923738918 , 1.16139337960904 , 0.539424617027596 , 0.39685501667246 , 0.880134493647909 , -0.938759022156781 , 0.1206059895191 , 0.0203129593210355 , 1.56251252696239 , -0.319122458355014 , -0.721802741926574 , 0.370265380194271 , 0.295142010593962 , -0.0584184393585923, -0.805201882827326 , -1.05121501400902 , 1.29287031450984 , 0.244708806086981 , -0.894298412367276 , -1.39570652064234 , -0.928786524917263 , 0.100919695693093 , 1.28663866670531 , 1.90440704084402 , -0.659501757672637 , -0.0213896447830231, -0.375514881966404 , 1.35332648699572 , 0.385993262244947 , -0.225729222174557 , 0.262199749046717 , -0.595350991554303 , -0.921839060511722 , -0.150414225426563 , -0.267670513211422 , -1.07006112083435 , -1.46479679518784 , -0.192938284067831 , -0.0159662618448783, 0.211673760799807 , -0.319043782360573 , 0.535209757015355 , -0.0505974081198858, -0.167232759998585 , -0.089365265418137 , 0.34051189477608 , -1.37800414726192 , -1.73753522946723 , 0.362878338924183 , -0.17463575577489 , -0.331737859426982 , 2.05347113267811 , -0.834549604287781 , 0.804941692951906 , -0.780228141537187 , 0.287972705053578 , 0.551009747757971 , -1.56478877272371 , 0.689288841356782 , -0.201435681015371 , 0.149591047437842 , -0.72247672915076 , 0.124318842829125 , 1.4267362558137 , 0.0601315105611439 , 2.02027401389616 , -1.49582586899386 , 0.609315349659627 , -0.0613151343569096, 0.908074904137819 , 0.138443313445117 , -1.29584200704529 , 0.425651985657985 , -0.526623260880054 , 0.421716090321459 , -1.17295008402004 , 1.54677136338698 , 1.99279037163813 | 0.3811697 |
| 43 | 50 | 0.5 | 0.0 | 0.5 | control , control , control , control , control , control , control , control , control , control , control , control , control , control , control , control , control , control , control , control , control , control , control , control , control , control , control , control , control , control , control , control , control , control , control , control , control , control , control , control , control , control , control , control , control , control , control , control , control , control , intervention , intervention , intervention , intervention , intervention , intervention , intervention , intervention , intervention , intervention , intervention , intervention , intervention , intervention , intervention , intervention , intervention , intervention , intervention , intervention , intervention , intervention , intervention , intervention , intervention , intervention , intervention , intervention , intervention , intervention , intervention , intervention , intervention , intervention , intervention , intervention , intervention , intervention , intervention , intervention , intervention , intervention , intervention , intervention , intervention , intervention , intervention , intervention , intervention , intervention , -0.299406758281832 , 1.02738181348743 , -0.00124428641914257, -0.0914754216045391 , 1.70889959831992 , -0.0649276990065894 , 0.074464054461042 , 0.221624716253118 , -0.318175943340662 , -0.292166865941248 , -0.267855143620627 , -0.30915823260367 , 0.160803405530585 , 0.237249063909025 , 0.723062640279547 , 0.708884080491441 , 0.258739835683909 , 0.372657386444988 , 1.37973139597094 , 1.24080348425497 , 0.733223536284366 , 0.576916024596067 , 0.478471871921228 , 0.154332513115129 , 0.625740003094869 , 0.346071693983155 , -0.298700140766874 , -0.117974155762126 , 1.08009642786614 , 0.0913368169280978 , -0.278143694776092 , 0.66604641175201 , 0.313177876640635 , 0.34510651893843 , -0.0504034226509248 , 0.300298231491048 , 0.540006048375155 , -0.66822472025255 , 0.655072535652953 , 0.671136517804849 , 0.436446240910769 , 0.457478651181929 , -0.110062992525894 , 0.61736471118417 , -0.153216222248822 , 0.0468051340122791 , 0.204625252286572 , 0.605601807593912 , -0.501448881761289 , -0.438441675778967 , 0.334435035865497 , 0.90489291697002 , 0.301195329342741 , -0.160483682346788 , 1.22452416515861 , 0.339391075253071 , 0.580562704738164 , 1.126064465826 , 1.84790372415832 , -0.256779945717659 , 0.326223184138176 , 0.99770731313478 , 0.491200213670761 , 0.152599554799685 , 0.140830420352829 , -0.20289165766438 , 0.464260367638134 , 0.522801499249811 , 0.74059895833299 , -0.19212835917007 , 0.0457132544066922 , 0.262021064610249 , 0.993878386667214 , 0.500154319234986 , 0.726904547013693 , 0.465756646590234 , 0.617856041864008 , -0.272456617154183 , -0.869409948814259 , 0.46152643966462 , -0.271751910187835 , 0.371354456507018 , 1.05247869033577 , 0.165238190113143 , 1.07357192117733 , 0.506094578104963 , 0.827712398129354 , 0.139410262324118 , 0.799418516192728 , 1.23554397193476 , 1.18805619600949 , 0.278905232121653 , 1.02748058205928 , 0.888711245248005 , 0.925076030951973 , 0.550766308769045 , 1.13218009108691 , -0.212642242843351 , 1.1573306500479 , 0.713247388933041 | 0.0178289 |
| 43 | 50 | 0.5 | 0.0 | 1.0 | control , control , control , control , control , control , control , control , control , control , control , control , control , control , control , control , control , control , control , control , control , control , control , control , control , control , control , control , control , control , control , control , control , control , control , control , control , control , control , control , control , control , control , control , control , control , control , control , control , control , intervention , intervention , intervention , intervention , intervention , intervention , intervention , intervention , intervention , intervention , intervention , intervention , intervention , intervention , intervention , intervention , intervention , intervention , intervention , intervention , intervention , intervention , intervention , intervention , intervention , intervention , intervention , intervention , intervention , intervention , intervention , intervention , intervention , intervention , intervention , intervention , intervention , intervention , intervention , intervention , intervention , intervention , intervention , intervention , intervention , intervention , intervention , intervention , intervention , intervention , -2.6425078347823 , -0.600240510514349 , -2.05943567932394 , -1.02335751172782 , 0.170059601848244 , -2.71362953021206 , 0.263951152423971 , 0.035680283589559 , -0.891303158419058 , -0.439577172139883 , -1.41184170892573 , -0.375243735699913 , -0.0806649617466253, -0.478408685353929 , 0.779069421163982 , -0.352847012411797 , -0.6232657870706 , 0.959296461547921 , 0.511426049880697 , -0.247321194740869 , 0.0174328434004921 , -0.655747917410692 , -0.321715952342323 , 0.802233815928038 , 1.64698501657137 , -1.47222227302359 , 1.22782784015263 , 0.750522158710273 , 0.0220962966225404 , -0.491294190452975 , 0.769018434025467 , -0.768552146779348 , 0.590997047611194 , -1.29961283641279 , 1.70779518096662 , 0.742538486514326 , 0.0403013517923754 , -0.321658783209515 , 0.0326622243591486 , 1.24901270617338 , 0.0792208457059733 , -0.487464455727373 , -1.40804117051678 , 0.255749767905706 , 0.715208808445669 , 2.56821351115382 , 1.56006577271446 , -1.67475182108834 , -1.50292885966082 , -0.891420321297726 , 0.961777114625212 , 0.441530080417262 , 0.451344336132944 , 0.113315127613938 , 2.34590518236075 , 0.266296805783492 , 0.867348811163145 , 0.220888786601081 , 0.436196256704876 , 0.963479688497951 , 1.52288784080019 , 0.684652373070093 , 1.46534624614135 , 0.468010092329959 , 0.233167034362875 , -0.922919937891712 , -1.91621560316197 , 0.648899479305322 , -1.30680989721072 , 1.98767936216409 , 1.67115512853924 , 0.9347189933413 , -0.154049972173726 , -0.78062095283218 , 1.4333192226288 , 1.18299187728998 , 0.83614814757131 , 0.436128129477763 , -0.474130021452979 , -0.922956998364178 , 2.42117379348489 , 0.774237838375785 , 1.02739195813185 , -1.1413044879911 , 1.4639292443106 , 0.274534534214948 , 1.49236424700006 , 0.907560568694189 , -0.470561780132868 , -1.4238972289039 , -0.497282190089253 , -1.0385773511243 , 0.984764099462388 , 0.573666927599346 , -0.39987170812695 , -0.338845491144111 , 1.01825277140636 , 0.324009143775849 , 1.46345484599233 , 0.6397614199798 | 0.0050749 |
| 43 | 50 | 0.5 | 0.1 | 0.5 | control , control , control , control , control , control , control , control , control , control , control , control , control , control , control , control , control , control , control , control , control , control , control , control , control , control , control , control , control , control , control , control , control , control , control , control , control , control , control , control , control , control , control , control , control , control , control , control , control , control , intervention , intervention , intervention , intervention , intervention , intervention , intervention , intervention , intervention , intervention , intervention , intervention , intervention , intervention , intervention , intervention , intervention , intervention , intervention , intervention , intervention , intervention , intervention , intervention , intervention , intervention , intervention , intervention , intervention , intervention , intervention , intervention , intervention , intervention , intervention , intervention , intervention , intervention , intervention , intervention , intervention , intervention , intervention , intervention , intervention , intervention , intervention , intervention , intervention , intervention , 0.639455177738724 , -0.36391557983926 , -0.101816144377503 , 0.179365248017251 , -0.175577424513413 , -0.311767803787171 , -0.858003052306435 , 0.757795822624502 , 0.570086933525613 , 0.252074596397443 , 0.290378110867925 , 0.0121797221405137 , 0.149412123688529 , 0.15523550015544 , 0.711024870403746 , 0.41670611865747 , -0.690406611765327 , -0.769705912395019 , -0.039840140426907 , 0.745067998874499 , 0.327944033485868 , -0.329349573563424 , 1.13885154994316 , 0.706855041152406 , 0.564481068846491 , -0.328223368732391 , -0.0949743395879694, 0.213383863110228 , 0.465491087132102 , 0.955481797769005 , 0.0408590846958618 , -0.534944418624392 , -0.373994817312152 , 0.233488314833561 , 0.0510224436197819 , 0.44720605864544 , 0.662116039202712 , 0.431168648229314 , -0.119582717569118 , 0.348582362603088 , 0.40608774892302 , 0.286500926486449 , -0.528358948434151 , -0.238166079818443 , 0.170963519938899 , -0.234654820794121 , 0.504456744774562 , -1.11592011347487 , -0.121155014550056 , 0.889927231138461 , 0.870774623116624 , 0.252540469907498 , 0.538714238529884 , 0.514054620961279 , -0.71989800693603 , 0.376586506646084 , 1.21124783585408 , 1.0413570440428 , 0.827446111630377 , 0.865036401383447 , -0.280607329645924 , -0.0917183341242304, 0.956566443328002 , 0.696240488021144 , 0.102662894145665 , -0.112954930066735 , 0.565661880891013 , 0.828959836009865 , 0.755554536813183 , 0.30575866337996 , 0.236118531527619 , 0.481621876142628 , 0.98346527762757 , -0.0758667135476188, 0.619446112903933 , 0.525107201191111 , 0.970758589910343 , 0.215290842121267 , 0.812627011717387 , 0.19735412052073 , 0.23413565594323 , -0.172522882204961 , 0.545173039755016 , 0.469785503588072 , 1.46685269199421 , -0.557824226202887 , -0.328189779591537 , 0.406912733159984 , 0.37596486376327 , 1.04828615110611 , 0.344777124162089 , 0.451341256833649 , 0.748418304906221 , 1.02441971053042 , 0.311468603526014 , 0.602220740389707 , 0.77185376320385 , 0.599372076569161 , 0.338146335144629 , 1.00509941293015 | 0.0003246 |
| 43 | 50 | 0.5 | 0.1 | 1.0 | control , control , control , control , control , control , control , control , control , control , control , control , control , control , control , control , control , control , control , control , control , control , control , control , control , control , control , control , control , control , control , control , control , control , control , control , control , control , control , control , control , control , control , control , control , control , control , control , control , control , intervention , intervention , intervention , intervention , intervention , intervention , intervention , intervention , intervention , intervention , intervention , intervention , intervention , intervention , intervention , intervention , intervention , intervention , intervention , intervention , intervention , intervention , intervention , intervention , intervention , intervention , intervention , intervention , intervention , intervention , intervention , intervention , intervention , intervention , intervention , intervention , intervention , intervention , intervention , intervention , intervention , intervention , intervention , intervention , intervention , intervention , intervention , intervention , intervention , intervention , -2.10582602506139 , -0.72596868770428 , 1.20016604556915 , 1.57057677878487 , 0.253898242352328 , -1.48178446173472 , -0.114802011202392 , -0.323738678444488 , -0.376039670368671 , 1.86366470889075 , 0.675105923961948 , 0.901221905133345 , 0.257964952639878 , -0.557171774913468 , -0.49049937742312 , -0.414370404232188 , 0.511765275539518 , -0.614918906607683 , 1.1240553295634 , 1.0232770900684 , -0.310557473194595 , -0.217642693337968 , -0.931034424687572 , 3.12993455838036 , 1.57966424372205 , 0.706609004309043 , 0.263168517105652 , 0.24162725893852 , 0.191815177712769 , 1.5630561719775 , 0.130734590576409 , 0.32039890986151 , -1.10931716313524 , 0.10206207592607 , -0.212022394938324 , 1.05580603360834 , -0.0744657187409503 , -0.825771532312675 , -0.061404337815686 , -1.38497130364745 , 0.72595129676539 , 0.380799934994386 , -0.923669722315142 , 1.5441353937543 , -0.352875463550761 , 0.000441833714612594, -0.480318531697079 , 0.778769269420862 , 0.406222840857215 , -1.52561307026818 , 0.427176182669777 , -0.252660277340745 , -0.568097000004349 , 0.342177567222953 , -1.0933680466872 , -0.379186151262838 , 2.03571483934157 , -0.374776671913738 , 1.98202718283753 , -0.239625255776048 , 0.448697060393746 , 0.631299403626387 , 1.50072650825722 , 1.8608614335845 , 1.76705333645791 , 0.88134153450432 , 0.714917464279053 , 1.32479857234524 , -0.267178491730954 , 1.68596214307168 , 1.08586352388628 , -0.627689214854266 , -1.19543710082491 , 1.00479763169982 , -0.518057690779836 , -0.0195726212773801 , 0.261968341861117 , -0.773405179943608 , 0.103996316975933 , -0.672978787625683 , 0.217574657283383 , -0.781274331894732 , 1.17286571144822 , 0.657185797546631 , 1.02763532356695 , 1.3261312469636 , -0.787430545924673 , 1.95151480168538 , 1.57166330049473 , -0.458741365886107 , 1.44901825462088 , 0.807851451290251 , 0.810863930202507 , 1.48094455331071 , -0.995646887153768 , 1.56898769832767 , 0.159633214922933 , 0.428904327462445 , 0.919197021224082 , 1.0540497152388 | 0.0672579 |
| 44 | 20 | 0.0 | 0.0 | 0.5 | control , control , control , control , control , control , control , control , control , control , control , control , control , control , control , control , control , control , control , control , intervention , intervention , intervention , intervention , intervention , intervention , intervention , intervention , intervention , intervention , intervention , intervention , intervention , intervention , intervention , intervention , intervention , intervention , intervention , intervention , 0.0825902610977066 , 0.0449937015512448 , 0.114392843334306 , 0.61140825781406 , -0.102814724793381 , -0.681541691273334 , -0.0946527175780535, 0.593793362256016 , -0.846215162427888 , 0.986590248177388 , 0.593813455687895 , -0.391515843495035 , 0.889702854208007 , -0.508115305938788 , 0.353109774504545 , 0.00618267738321449, 0.33646451929265 , -0.258239212495483 , -0.718790234504502 , -0.0188724861664721, 0.16472455142585 , 1.0066492704124 , 0.732880891396287 , -0.411523246539924 , 0.691877156183376 , 0.595832481057237 , -0.324278356313581 , -0.27399496955809 , 0.0867412378902295 , -0.340396740502816 , 0.439181758388593 , -0.609638146405537 , -0.290415722507145 , -0.103521730210451 , 0.37615606787953 , 0.662404057188986 , -0.700426576032799 , 0.365837965001987 , 0.152390711229106 , 0.412499065541124 | 0.6132396 |
| 44 | 20 | 0.0 | 0.0 | 1.0 | control , control , control , control , control , control , control , control , control , control , control , control , control , control , control , control , control , control , control , control , intervention , intervention , intervention , intervention , intervention , intervention , intervention , intervention , intervention , intervention , intervention , intervention , intervention , intervention , intervention , intervention , intervention , intervention , intervention , intervention , 0.929895471437396 , -0.342145757608658 , -0.364449120161993 , 0.0124764850940571 , 0.943053061811658 , 2.24244606695588 , -0.0861432297053191, -0.0319626613215344, -0.563189154550677 , 1.25291044384163 , 0.379545067896824 , 0.637502037541005 , 1.44247541882924 , 0.662866581687676 , -0.283415245266267 , 0.707148605232394 , 0.0957390303350885 , -1.4198319871317 , -0.540602863760419 , 0.341190972674614 , 0.181954747135475 , 0.10585887637488 , 1.59712594688509 , -1.31282197838878 , 1.06096655629878 , -0.234670402698128 , -1.68273204014011 , -0.397966188716702 , 0.0746112567581431 , 0.413875595320947 , 0.399854445530568 , 0.187603746968889 , 0.247885521469954 , -0.072327989178899 , 0.250368726630383 , 0.514438325531411 , 1.18522926562897 , 0.407760968687682 , 0.925203290733019 , -2.36469401677607 | 0.4281815 |
| 44 | 20 | 0.0 | 0.1 | 0.5 | control , control , control , control , control , control , control , control , control , control , control , control , control , control , control , control , control , control , control , control , intervention , intervention , intervention , intervention , intervention , intervention , intervention , intervention , intervention , intervention , intervention , intervention , intervention , intervention , intervention , intervention , intervention , intervention , intervention , intervention , 0.141973388167926 , 0.666429927973479 , 0.127676470008272 , -0.0578106136547523, -0.215412949473907 , -0.238262436141485 , -0.891790153076183 , 0.0116747049270356 , -0.0157562913918805, 0.0314183353264787 , 1.37416914339938 , 0.0908749381559146 , 0.518246834938846 , -0.201843310462215 , 1.01728513077886 , 0.781012404754309 , 0.186795983468571 , 0.192723120531483 , 0.311110082381204 , -0.509248145546956 , 0.713630923828636 , -0.0334779695623029, 0.55491900484931 , 0.903768890420598 , 0.0733433098003588 , 0.467538643963744 , 0.430816464534897 , -0.0919015793007 , 0.200539017452457 , -0.625874442888911 , 0.4661023350161 , 0.8192480928638 , 0.193926263412733 , -0.534481139435006 , 0.238005036217133 , -0.497890248691197 , 0.853062588320798 , 0.0318964185449048 , -0.535908808198197 , 0.318595324838568 | 0.8440848 |
| 44 | 20 | 0.0 | 0.1 | 1.0 | control , control , control , control , control , control , control , control , control , control , control , control , control , control , control , control , control , control , control , control , intervention , intervention , intervention , intervention , intervention , intervention , intervention , intervention , intervention , intervention , intervention , intervention , intervention , intervention , intervention , intervention , intervention , intervention , intervention , intervention , 1.0071285864145 , -0.135183804148415 , 0.524332016910952 , -0.156681701601869 , -2.12599515509659 , -0.94480263230034 , -0.398549121856879 , -0.862261843104274 , 0.449527013429339 , 0.80583657254753 , -0.170915549495987 , -1.94911312586775 , -1.43117998673212 , 0.586155750133526 , -0.674830812944023 , -0.25366145318556 , 0.0326211737351822 , -1.11060094287045 , 0.244280081417411 , 0.290231656101152 , -0.595549122732943 , 0.519947444194595 , 1.74461562485569 , 0.146017283441427 , -0.712518196700911 , 0.377522672451153 , 0.251392674908413 , 1.74548318927249 , 0.697538712312889 , -1.04764338995015 , -1.67201411815562 , 0.368089409032708 , 0.743617842401655 , 0.358034645098184 , -1.79550747617219 , -0.0389481622300841, -1.63143901044481 , -0.538178094676608 , 2.34907590515736 , 0.620466474451539 | 0.2114761 |
| 44 | 20 | 0.5 | 0.0 | 0.5 | control , control , control , control , control , control , control , control , control , control , control , control , control , control , control , control , control , control , control , control , intervention , intervention , intervention , intervention , intervention , intervention , intervention , intervention , intervention , intervention , intervention , intervention , intervention , intervention , intervention , intervention , intervention , intervention , intervention , intervention , 0.146167454571198 , -0.523992386029283 , -0.234838327341127 , 0.123533971388775 , 0.162877495358959 , -0.815519299478 , 0.787411343127384 , -0.311797023418883 , 0.260656132585771 , -0.0230119508038549, 0.163768267684367 , 0.350633992986916 , 0.527848464882106 , -0.52377943494208 , -0.376032287054512 , -0.237563219374763 , 0.00555775921871286, 1.29668959407124 , -0.0526879262894351, -0.546867285205835 , 0.637704277810622 , -0.15789741205569 , 0.113481445078515 , 1.1636465887387 , 1.03593388024213 , -0.0857255337213416, 0.644829698641219 , 0.557398324020561 , 0.98013463884871 , 1.391646891155 , 0.00982537769309549, 0.537196964972515 , 0.08914680366873 , -0.087987040890631 , 1.07856838458719 , 0.973398903890918 , 1.30960589262918 , -0.136161207040145 , 0.873294110246851 , 0.145443818296086 | 0.0018210 |
| 44 | 20 | 0.5 | 0.0 | 1.0 | control , control , control , control , control , control , control , control , control , control , control , control , control , control , control , control , control , control , control , control , intervention , intervention , intervention , intervention , intervention , intervention , intervention , intervention , intervention , intervention , intervention , intervention , intervention , intervention , intervention , intervention , intervention , intervention , intervention , intervention , 1.20822154042962 , -0.61616867661076 , -0.400973993723312 , -0.190023840267482 , -2.3747660131604 , -1.74508156701126 , -1.97042429995995 , -0.731064156796641 , -1.37572152741746 , -2.32971073523596 , -1.47070082500581 , -0.908551429789342 , 0.732817885665173 , -0.36143136503756 , 0.379068169870164 , -0.422314060119165 , -0.606557969157721 , -0.93870735051632 , 1.7283069802358 , -1.04761039013632 , 1.03988185422194 , 1.45879624129707 , 1.46811358435999 , 0.719372869158563 , 0.472343750630973 , 0.647792470548581 , -0.215599382670542 , -0.410479469398514 , -0.236291717204258 , -0.358267591291508 , 1.23851749394031 , 2.00768687040816 , 0.560462643765805 , -0.0825836617569002, 1.67274974244767 , 0.39406258447823 , 0.353073077614831 , 1.63882556163437 , 1.22696282370485 , 1.96002615186791 | 0.0000242 |
| 44 | 20 | 0.5 | 0.1 | 0.5 | control , control , control , control , control , control , control , control , control , control , control , control , control , control , control , control , control , control , control , control , intervention , intervention , intervention , intervention , intervention , intervention , intervention , intervention , intervention , intervention , intervention , intervention , intervention , intervention , intervention , intervention , intervention , intervention , intervention , intervention , 0.0761483736341267 , 0.231876466153502 , -0.813371237020072 , 0.876123122274737 , -0.880751737209244 , -0.664252756014399 , 0.426907211304913 , 0.263017373977256 , -0.482649955379368 , 0.748143944585675 , 0.714561276636764 , -0.110655742826579 , 0.506332883041378 , -0.147285465005518 , 0.825102505814912 , -0.0497853296682458, 0.65985671939113 , 0.326379311755012 , -0.550528307821348 , 1.43202010698119 , 0.993767027175873 , 1.48671997716407 , 0.530087545044777 , 0.565582526683771 , 0.478319715705269 , -0.673581477140957 , 0.804281815778974 , 0.487805002573121 , 1.41283854994796 , 0.712015830103795 , 1.0290484386027 , 0.72824717639764 , 0.168324173429115 , 0.0120412495451475 , 0.561079115196934 , 1.23578218845047 , 0.760284348888348 , 0.728577966971003 , 0.325122050336731 , -0.177554474750153 | 0.0214402 |
| 44 | 20 | 0.5 | 0.1 | 1.0 | control , control , control , control , control , control , control , control , control , control , control , control , control , control , control , control , control , control , control , control , intervention , intervention , intervention , intervention , intervention , intervention , intervention , intervention , intervention , intervention , intervention , intervention , intervention , intervention , intervention , intervention , intervention , intervention , intervention , intervention , -2.24550310013363 , 1.21485588637881 , -0.0236949073954648, -0.255784685126198 , 0.942350009392604 , -0.287137256863526 , -0.661433063115342 , 0.842208181434106 , -0.744504885002352 , -0.413074599003859 , -0.434933563410366 , 1.00401498673252 , 0.884948578035026 , 1.51181120830647 , -0.937558070524788 , 0.707405102313868 , -0.775634638513522 , 0.576992751321605 , 1.57394492799734 , -0.295610131176924 , -0.977100963355792 , -0.153196567578826 , 0.0030666704162941 , 1.08026517284988 , -0.0737473063957402, -0.083947456141252 , 1.1463447821308 , -0.152684603591128 , 2.00122147428124 , 1.47134433592726 , 1.77415969728009 , -0.645304189667169 , 0.503341976130917 , 1.44216527929014 , -0.711234461333744 , -0.0391708996799734, 0.277564555710667 , -0.609906891588722 , 0.451174016340283 , -0.513168631625549 | 0.5032232 |
| 44 | 50 | 0.0 | 0.0 | 0.5 | control , control , control , control , control , control , control , control , control , control , control , control , control , control , control , control , control , control , control , control , control , control , control , control , control , control , control , control , control , control , control , control , control , control , control , control , control , control , control , control , control , control , control , control , control , control , control , control , control , control , intervention , intervention , intervention , intervention , intervention , intervention , intervention , intervention , intervention , intervention , intervention , intervention , intervention , intervention , intervention , intervention , intervention , intervention , intervention , intervention , intervention , intervention , intervention , intervention , intervention , intervention , intervention , intervention , intervention , intervention , intervention , intervention , intervention , intervention , intervention , intervention , intervention , intervention , intervention , intervention , intervention , intervention , intervention , intervention , intervention , intervention , intervention , intervention , intervention , intervention , -0.98362285772392 , 0.539850540519487 , 0.674321127994678 , 0.358396425588973 , 0.282746925471814 , 0.214892228256383 , -0.405682531959937 , 0.742189460021949 , 0.275774861492094 , -0.331713601819393 , -0.278442190607435 , -0.416744180976277 , 1.28115539203975 , 0.394714178482509 , -0.238153228468688 , -0.420712126320966 , 0.547200565406958 , 0.600935971399536 , -0.2648970196478 , 0.416768068705151 , -0.157658843477677 , -0.0502676031448219, -0.497303448464732 , 0.478909057615073 , -0.591184315252017 , -0.149821809149363 , 0.542455809064698 , 0.267436224160304 , 0.438120021485335 , 0.112885622758543 , -0.0472005244450998, -0.218126598310428 , -0.240883860264231 , -0.662872505927361 , 0.0188821698946652 , -0.136679157487531 , -1.10324481799964 , 0.48292738056333 , 0.640645274016876 , -0.309589445416088 , 0.464769089643553 , -0.405635273821639 , -0.0515882824507148, 0.169944526043169 , 0.519950800742327 , 0.0970041532413099 , 0.273237996507144 , 0.190931081507906 , -0.28959600644941 , 0.161628245085128 , -0.427453634167902 , 0.0537937771418137 , 0.134495677329294 , -0.202191298132875 , -0.112213855862522 , 0.517921846781797 , -0.205855853979651 , 0.219227159706631 , -0.561545766982386 , -0.187371486243892 , 0.0657944209082177 , -0.279068429374619 , 0.18736721983995 , -0.221239969449205 , 0.283168887577933 , 0.741871052214881 , -0.873317516097384 , 0.387599028205453 , 0.0921003786238847 , 0.187178374231494 , -0.617939272463104 , 0.441002024897468 , -0.460490397737054 , 0.503243214341708 , 0.252033480172279 , -0.188120717787267 , -0.510207662280594 , -0.158715029490929 , -0.267747036729421 , -0.0559055854402443, 0.342843699972847 , -0.0404748255889556, -0.730003045842747 , 0.493763789607194 , 0.261540414242401 , 0.143366077889765 , -0.186576796242555 , 0.674226915924781 , -1.02896676712298 , 0.611988597322367 , -0.317505675621971 , -0.105726077153076 , 0.548053969740941 , -0.361012723343249 , -0.111900835945536 , -0.0613193370459254, 0.932919854143974 , -0.151724642360675 , -0.24592247757468 , -0.677142706874528 | 0.3517459 |
| 44 | 50 | 0.0 | 0.0 | 1.0 | control , control , control , control , control , control , control , control , control , control , control , control , control , control , control , control , control , control , control , control , control , control , control , control , control , control , control , control , control , control , control , control , control , control , control , control , control , control , control , control , control , control , control , control , control , control , control , control , control , control , intervention , intervention , intervention , intervention , intervention , intervention , intervention , intervention , intervention , intervention , intervention , intervention , intervention , intervention , intervention , intervention , intervention , intervention , intervention , intervention , intervention , intervention , intervention , intervention , intervention , intervention , intervention , intervention , intervention , intervention , intervention , intervention , intervention , intervention , intervention , intervention , intervention , intervention , intervention , intervention , intervention , intervention , intervention , intervention , intervention , intervention , intervention , intervention , intervention , intervention , -0.566302231361212 , 0.662545196715377 , 1.34066484571366 , -1.45389063325299 , 0.706125819005804 , 1.13933065080854 , -1.10169382610447 , -0.439927995459335 , -0.720086274503815 , 0.321674758561619 , -0.460188264980803 , 1.31943272052125 , -2.13584809345529 , -0.141170071305228 , 0.742078618914396 , -0.10107367049866 , -0.409712527456422 , 0.171315036537658 , -0.487011963691196 , 0.439572425071212 , -1.7220542450805 , -0.438888200104605 , -0.496253120173673 , 0.0154442033786287 , -0.325674200669909 , 1.23771301339208 , -0.471611071663529 , 1.33718467859253 , -0.491350375409359 , 1.19287032729085 , -0.85714662465744 , 1.73685622851305 , -0.349794764068628 , -1.66049808121153 , 0.480869125716704 , -0.72289906745964 , -0.658968912248193 , -0.0262467406249438, -0.0194838530206957, -0.239318768587665 , -0.707368993977136 , -0.86670621226761 , -0.374657939273016 , 0.680021463034553 , -2.08186070521388 , 0.0226936369108112 , 0.742589532507809 , 0.893997563433772 , -0.557295691529722 , -0.869583477743141 , 0.839388784182044 , 0.217517048638904 , 1.03728686024432 , 0.778347776563393 , -1.57504756574698 , -1.13546051486624 , 0.612070268051711 , 1.17366633390922 , -0.15791928620331 , 1.41541444741081 , -0.238248619995978 , 0.0442616363223953 , -0.194594476685413 , -0.0113581685499664, -2.41249289184398 , -0.814655424964398 , 0.729407839806015 , -0.246998457216678 , -0.141285185180997 , 1.10614580501995 , 0.778901599698511 , -0.757688317235172 , 1.06573938194062 , -0.778726337186635 , 0.0626281609688979 , 0.220233655813355 , -0.426713181454139 , -0.449209829911138 , 1.73841015059968 , -1.0745857583562 , 0.355775006659485 , -0.684674191381356 , -2.23692190175164 , -0.0858580149594717, 1.69123026517742 , -0.250476816001562 , -0.982199256676295 , 0.180795343956537 , -0.0307795216911437, -1.55918309008701 , -0.350137485040492 , 0.809962815524054 , -2.40002743826786 , 0.960586275412948 , 0.0390473722550157 , 0.565248681921026 , -0.0342343149600439, 1.20208221423336 , 2.16203719273128 , 0.744308402100292 | 0.3973605 |
| 44 | 50 | 0.0 | 0.1 | 0.5 | control , control , control , control , control , control , control , control , control , control , control , control , control , control , control , control , control , control , control , control , control , control , control , control , control , control , control , control , control , control , control , control , control , control , control , control , control , control , control , control , control , control , control , control , control , control , control , control , control , control , intervention , intervention , intervention , intervention , intervention , intervention , intervention , intervention , intervention , intervention , intervention , intervention , intervention , intervention , intervention , intervention , intervention , intervention , intervention , intervention , intervention , intervention , intervention , intervention , intervention , intervention , intervention , intervention , intervention , intervention , intervention , intervention , intervention , intervention , intervention , intervention , intervention , intervention , intervention , intervention , intervention , intervention , intervention , intervention , intervention , intervention , intervention , intervention , intervention , intervention , -0.753151450642941 , 0.370732597937802 , 0.681002003900744 , -0.205300306247749 , -0.043243263998731 , -0.949857273931941 , 0.776482824868577 , 0.220333433208338 , 0.829730121160336 , 0.813260450338984 , 0.359167906155503 , 0.223002984328961 , 0.493755820789242 , -0.153119672285389 , 0.601964248237163 , 0.333293915882165 , 0.435016467685636 , 0.193559645299003 , 0.771627311127012 , -0.48773773695337 , 0.610683104631276 , -0.411497798802871 , -0.414211365924169 , 0.86031544510525 , -0.377095125029334 , -0.331828433544769 , -0.179977622513275 , -0.677019680046903 , 0.356857490853011 , 0.579822591441467 , 0.39140909482388 , 0.222387594600355 , -0.0570477565134533 , 0.869263800980551 , 0.180563527806868 , -0.463826424633026 , 0.371168886506809 , 0.973228384482954 , 0.423288651710998 , 0.0493317066423224 , -0.235317167581653 , -0.235297018034554 , 0.362217040852204 , 0.678388860293171 , 0.114734817118007 , 0.453327558606982 , -0.189622335483276 , 0.298363367219889 , 0.0672970625497426 , 0.317638596355335 , -0.288091432487645 , -0.857237651974161 , -0.241937598956768 , -1.23218500650593 , 1.11948388884412 , 0.343340664292594 , 0.412573424838184 , -0.808763538907443 , 0.364044728790165 , 0.0250234681414611 , 0.0858515750355194 , 0.233332998510666 , -0.0139834149359337 , 0.163804045633366 , 0.793022033068062 , 0.37460869879529 , 0.0397875029614255 , 0.000797004506865198, -0.335006764216976 , 0.415562202601017 , -0.493266879390154 , 0.209578341519954 , -0.450245875585679 , -0.159757190325683 , -0.515830807274447 , -0.718011460155041 , -0.717034259334005 , 0.314722343320655 , -0.206910597894131 , 0.716533021336777 , -0.0468944569362229 , -0.485765323284046 , 1.75202057936714 , -0.928970623653135 , -0.272134141750577 , 0.53080199020546 , -0.774080431712104 , -0.302573109268734 , -0.655168844759899 , -0.566477492424533 , 0.496994676141716 , 0.458737910525558 , -0.164930170420971 , -0.663049889840737 , 0.143059317100473 , -0.798301188303646 , 0.0822137653420573 , -0.0580001967862613 , -0.425055093873021 , 0.537306436743769 | 0.0171714 |
| 44 | 50 | 0.0 | 0.1 | 1.0 | control , control , control , control , control , control , control , control , control , control , control , control , control , control , control , control , control , control , control , control , control , control , control , control , control , control , control , control , control , control , control , control , control , control , control , control , control , control , control , control , control , control , control , control , control , control , control , control , control , control , intervention , intervention , intervention , intervention , intervention , intervention , intervention , intervention , intervention , intervention , intervention , intervention , intervention , intervention , intervention , intervention , intervention , intervention , intervention , intervention , intervention , intervention , intervention , intervention , intervention , intervention , intervention , intervention , intervention , intervention , intervention , intervention , intervention , intervention , intervention , intervention , intervention , intervention , intervention , intervention , intervention , intervention , intervention , intervention , intervention , intervention , intervention , intervention , intervention , intervention , -0.589224611905654 , -1.52680374386186 , -0.203353922801538 , -0.81038918107124 , -0.821259888977205 , -0.13837516553634 , -0.656842579121926 , 1.12250655495991 , -1.08397707887921 , -0.642410049340464 , 0.860312385297071 , -1.84620760278105 , 0.249378023240671 , 0.646644067597713 , 1.79282579662492 , 0.583197556143144 , 0.71551360875777 , -0.00654039438932746, -0.329828711168048 , -0.24252505396118 , 1.33532113178009 , 1.38489692043843 , 0.711542997168708 , -0.332725832662124 , 0.224957603869622 , -1.41481164449342 , 0.348450718714544 , 0.107214454311784 , -0.537773728070588 , -0.945019376111834 , -0.998829379558216 , -0.236955008034703 , -1.30988431287134 , -0.664964571697586 , -1.31875062055559 , 1.16654475887413 , -1.67912037224695 , 1.61900057097946 , -0.923868366869385 , -2.5160663046276 , -0.0998690997777241 , 1.12862833159805 , -1.77732055144185 , 0.938494073198472 , -0.273677176815717 , -0.0901447669541009 , -0.0750528484669256 , -0.58771262313416 , -0.112137817125613 , 1.16915041058271 , -2.60422290193612 , -0.277121269171596 , 0.162630841556532 , -2.8950247183688 , -1.23353222503598 , 2.43906843765702 , 0.304617888733803 , 0.879342621713088 , 1.20824721488705 , -0.522214142814301 , 0.460255064280925 , -1.29452756034387 , 0.831733309044296 , 0.745840595662788 , -1.39745423277434 , 0.409804339981582 , 0.199693382027911 , 0.19370255764488 , -2.68137686704459 , 0.596460418003023 , -0.574556054771142 , -0.404245094767804 , 0.132204315718476 , 0.272994090841503 , 0.265156384490692 , -1.30293063561383 , 0.838591696494338 , 0.131427379154028 , 0.218285001555871 , 0.239305796878742 , -0.816727485942656 , -1.25285629525448 , 1.17260838258404 , 0.552044807508913 , 0.888673231283977 , -0.563540113922163 , 0.273625889643098 , 2.14901750987188 , 0.571827609711128 , 0.00830067479544469 , -0.189333925103221 , -0.957763776678965 , 1.7064650232095 , -1.63677161784505 , 0.829554260674221 , -0.714548074762426 , 0.044254085377036 , -0.286081757085206 , -0.0395259094801128 , -0.37235798563706 | 0.6077617 |
| 44 | 50 | 0.5 | 0.0 | 0.5 | control , control , control , control , control , control , control , control , control , control , control , control , control , control , control , control , control , control , control , control , control , control , control , control , control , control , control , control , control , control , control , control , control , control , control , control , control , control , control , control , control , control , control , control , control , control , control , control , control , control , intervention , intervention , intervention , intervention , intervention , intervention , intervention , intervention , intervention , intervention , intervention , intervention , intervention , intervention , intervention , intervention , intervention , intervention , intervention , intervention , intervention , intervention , intervention , intervention , intervention , intervention , intervention , intervention , intervention , intervention , intervention , intervention , intervention , intervention , intervention , intervention , intervention , intervention , intervention , intervention , intervention , intervention , intervention , intervention , intervention , intervention , intervention , intervention , intervention , intervention , -0.786571628082083 , -0.0578284526118847 , 0.64901153041615 , 0.0518521839513259 , -0.281960325837567 , -0.379717749169056 , 0.569554298511319 , 0.0425483044742535 , 0.409654635467405 , -0.021771899534678 , 1.09982548200689 , -1.19933381713345 , 0.330780477849971 , -0.710230777143641 , -0.260507875269054 , 0.106013759617494 , 0.920012281171687 , -0.468595785030643 , -0.934592499266218 , -0.493010962424704 , -0.642237860351986 , -0.430601010154097 , 0.544266348216557 , 0.104766234235482 , -0.772807921706342 , -0.107723029184994 , -0.149110019644684 , 0.0372440445885174 , 0.202277350360407 , 0.561720741504461 , -0.465710592518959 , -0.547876980306909 , -0.6788639742134 , 0.88626516779083 , 0.038671677168843 , 0.40172342873369 , -0.854832322492493 , -0.247576885645058 , -0.859509883928032 , -0.485733327086166 , -0.706229208508375 , -0.275368283202983 , 0.284571631405402 , -0.464771320254511 , -0.468627068772873 , 0.746796714503336 , 1.06778573998285 , 0.0706202786811332 , 1.03609978193735 , 0.492026302069063 , 0.192603387935807 , 0.827562687818088 , 0.805952337381746 , 0.461063035117319 , 0.776100492344521 , 0.249450134517821 , 0.495660860062171 , 0.672377649736328 , 1.70420302625895 , 1.18637000149001 , 0.247258827422185 , 1.18858034924586 , 0.306493342484696 , 0.776692444969242 , -0.0515081273754718 , -0.755526842916095 , 0.601949537534668 , 0.32901353500888 , 0.758736202059083 , 0.916073550315795 , 0.871610481884547 , 1.0014547461599 , 0.861041103985684 , 0.265454505704011 , 0.661742191874788 , 0.40057172050635 , 0.768794090415385 , 0.790904207149229 , 0.200571542862744 , 0.132363096472173 , 0.587872954021041 , 0.685535397318578 , 0.0850145155483936 , 0.547053986652147 , 0.215809359244123 , 1.09320452237234 , 0.760560089956997 , 0.469480568373644 , -0.224041481898354 , 0.499020602680548 , 0.0219736756718396 , 0.546195697964492 , 1.47759508871032 , 0.103390627339585 , 0.054363615405787 , 0.982467749253707 , 1.11482902766911 , -0.00825370617611709, 0.833874392998977 , -0.183739773214734 | 0.0000001 |
| 44 | 50 | 0.5 | 0.0 | 1.0 | control , control , control , control , control , control , control , control , control , control , control , control , control , control , control , control , control , control , control , control , control , control , control , control , control , control , control , control , control , control , control , control , control , control , control , control , control , control , control , control , control , control , control , control , control , control , control , control , control , control , intervention , intervention , intervention , intervention , intervention , intervention , intervention , intervention , intervention , intervention , intervention , intervention , intervention , intervention , intervention , intervention , intervention , intervention , intervention , intervention , intervention , intervention , intervention , intervention , intervention , intervention , intervention , intervention , intervention , intervention , intervention , intervention , intervention , intervention , intervention , intervention , intervention , intervention , intervention , intervention , intervention , intervention , intervention , intervention , intervention , intervention , intervention , intervention , intervention , intervention , 0.393688297855284 , -1.04089124557269 , 0.517021349168561 , 1.64454030312499 , 0.751041132440661 , 2.29705595314486 , -0.93457641546936 , -0.493372741326322 , -1.13948283719376 , -0.143358718580355 , -0.271421781306009 , 1.25083942889857 , -1.78631352929084 , 0.181182192617217 , -2.22429656548835 , 1.00690082513981 , -1.18511830388292 , 0.0822605228978948 , 1.28174384329203 , -1.49728583165049 , 0.564632268741106 , 1.20907517883137 , 0.126172671128124 , 0.136994191278986 , 0.115119468603596 , -1.14885264130609 , -2.08207881668815 , -0.143494701931836 , 1.63618088693888 , -0.97815188119524 , -0.962420673300026 , 0.0566894991126294 , 0.941048050609958 , 0.739537934753414 , 1.56375328455781 , -0.73357570745595 , 0.240515529103402 , -0.263798888484992 , -0.96121588084014 , -0.0833949302231524, 0.86128739330029 , 1.49763450639144 , -1.05821854835077 , -0.857394301365703 , -0.765521283753289 , 0.875874034872981 , 1.67582521639888 , 0.434150398406892 , -0.304236833839107 , -0.951370662117967 , 2.52665789311641 , -2.57194059920222 , 0.519986864902621 , 0.82349194756195 , 0.48573165606507 , 1.03637208656803 , 0.0108330697357564 , 1.13386892888045 , 0.878207612597382 , 0.740874758080621 , 1.43822029699891 , -0.475834895453024 , 0.64904303927381 , 2.12742839048189 , 0.536766610722665 , 0.609061735720751 , 1.7273285222354 , 1.42180730396387 , 0.849077674964143 , -0.776830638915915 , 0.489154271177806 , -0.651571412310328 , 2.22158058983907 , 1.95433776217982 , 1.16331703232632 , 1.42825773314966 , -0.559950411729834 , 2.38761939800966 , 0.411380989727933 , 1.07281022275623 , 1.90772857570484 , -0.596617164003785 , -0.176068186082479 , 3.05358629168193 , -0.624606122554148 , -0.480844485013484 , 0.370043084092123 , -1.6845281418398 , 0.607919618913432 , 1.99187535038265 , 0.339807626962631 , 3.31878866817573 , 1.61668902520445 , 1.2094592567512 , 2.0336240733417 , 1.73126039098225 , 0.217209883588795 , 0.750594729312101 , 0.75789383745983 , 0.892612394472884 | 0.0003919 |
| 44 | 50 | 0.5 | 0.1 | 0.5 | control , control , control , control , control , control , control , control , control , control , control , control , control , control , control , control , control , control , control , control , control , control , control , control , control , control , control , control , control , control , control , control , control , control , control , control , control , control , control , control , control , control , control , control , control , control , control , control , control , control , intervention , intervention , intervention , intervention , intervention , intervention , intervention , intervention , intervention , intervention , intervention , intervention , intervention , intervention , intervention , intervention , intervention , intervention , intervention , intervention , intervention , intervention , intervention , intervention , intervention , intervention , intervention , intervention , intervention , intervention , intervention , intervention , intervention , intervention , intervention , intervention , intervention , intervention , intervention , intervention , intervention , intervention , intervention , intervention , intervention , intervention , intervention , intervention , intervention , intervention , 1.5052695036503 , -0.690650064079594 , 0.366521664636437 , -0.958916793264819 , -0.77222810468671 , 0.397816283557291 , 0.503682226330059 , 0.281499300674227 , -0.257956043016945 , 0.671647557712705 , 1.09734377647847 , -0.0501050096412284, 0.130806926849659 , 0.4307159204719 , 0.0329099355836978 , 0.461379276216774 , 0.0298063783185599 , 0.450952611129653 , 0.312553104700161 , 0.00553270060335939, -0.493727569388082 , -0.526080661671617 , 0.205473972290314 , 0.58544002467048 , 0.355531581929194 , 0.530521421454421 , -0.359669512652804 , -0.369725504614263 , -0.284169481046412 , 1.43156896979147 , 0.167119002174157 , -0.0536354340299017, 0.0231818205178501 , 0.162849889751724 , -0.98247297955359 , 0.53868573796655 , 0.442421115411588 , -0.15698439997672 , 0.793642818627723 , 0.693785143160712 , 0.00960147229349743, -0.134049566135105 , 0.0725173086817836 , 0.401677026869486 , 0.0728412083611198 , -0.0134509579825229, -0.610267691285997 , -0.113055346638273 , 0.111936651263276 , 0.432884517167689 , 0.126432013474164 , -0.914146359981861 , 0.834525006136884 , 0.330175345628208 , 0.636999165202849 , 0.591115467953226 , -0.477141197134862 , 1.14032410762578 , 0.831675178304091 , 0.26378859040811 , 0.0793359568602051 , 1.39536514293877 , -0.572119567414572 , 0.738972877587706 , 0.371387627918647 , 0.291551252281715 , 0.0685078128022651 , 0.941078432607166 , 0.0822915681865299 , 0.762136080111014 , -0.208451429194177 , 1.90124071975867 , -0.933189098660803 , 0.354061188727388 , 0.483009544806389 , 0.403768992466095 , 1.2034726794222 , 0.527001611223033 , 0.586069550052557 , 0.841597718742686 , 0.594219240229499 , 0.449534520426039 , 0.718810224237975 , 0.418822278492806 , 0.578371505889719 , 0.574954551681493 , 0.446354292801958 , -0.840049825923235 , 0.601160473106871 , 0.795367358194491 , -0.0268651452865531, -0.0955263739752795, 0.306921319704737 , 0.802495517134744 , -0.285682551809901 , 0.316451523305399 , 1.00900706481493 , 0.708973639487468 , 0.453245994511552 , 0.764433188076718 | 0.0108247 |
| 44 | 50 | 0.5 | 0.1 | 1.0 | control , control , control , control , control , control , control , control , control , control , control , control , control , control , control , control , control , control , control , control , control , control , control , control , control , control , control , control , control , control , control , control , control , control , control , control , control , control , control , control , control , control , control , control , control , control , control , control , control , control , intervention , intervention , intervention , intervention , intervention , intervention , intervention , intervention , intervention , intervention , intervention , intervention , intervention , intervention , intervention , intervention , intervention , intervention , intervention , intervention , intervention , intervention , intervention , intervention , intervention , intervention , intervention , intervention , intervention , intervention , intervention , intervention , intervention , intervention , intervention , intervention , intervention , intervention , intervention , intervention , intervention , intervention , intervention , intervention , intervention , intervention , intervention , intervention , intervention , intervention , 0.171847224719472 , 1.89724443650838 , 0.466154250899051 , -0.0879107053865312, -0.150328685273214 , -0.351497680540484 , 0.134956421469033 , 0.508388367460145 , -1.79573015341587 , 1.04117339806974 , 1.32910856492977 , -0.48792229192308 , 0.660485138775685 , 1.15496242786412 , 0.289837264166512 , -0.595218347583732 , -1.43501180259556 , -0.114893875808465 , -0.731786015313295 , -0.70237766627759 , -0.10476930122025 , -0.265923749477421 , -0.721511873343524 , 0.236469624879099 , 1.27317627802068 , -0.939964312514367 , -0.265126405558189 , -0.643683950866726 , 0.482795471125702 , -0.81026185134211 , 1.1804751725103 , -1.02868299149872 , -0.742989059568005 , -0.301984462505285 , 0.662638933271407 , 1.32200812225457 , 0.085701248024775 , 0.0559326424649833 , -0.117561000633219 , -1.48124616878389 , -0.250144878605131 , -0.390888172488948 , 0.775879663608246 , 0.510024395549954 , -1.94757563839046 , 0.124707807200679 , -0.345341222163799 , -0.706865995533467 , -0.88393482754204 , -1.10458102509787 , 1.09243232998547 , -0.947921293348909 , 0.818364148061446 , 0.139032781840752 , 1.84218578274841 , 1.06007320792452 , 0.142427640266633 , 0.913252806593015 , -0.587336230378512 , 1.40500767807489 , -1.62220737157354 , 1.59825944107637 , 1.9400190844571 , -1.48743658238284 , 0.560220734072383 , 1.43572021096401 , -0.974344126759102 , 1.8095720424695 , 1.24435314677729 , -0.244928792902685 , -0.0810452706676362, -1.01419901692472 , -1.06134703979288 , 1.17028091380445 , 0.880075644524029 , 0.222351157536762 , 1.28769856460575 , 1.28362332147506 , -1.37866430125069 , 0.733142676853107 , 2.08859252301943 , 0.399985072095189 , -0.391747730048347 , 0.808629360188186 , -0.652532316677105 , 0.730992082017107 , -0.817672289844357 , -0.597534329549356 , 0.178615969053033 , 0.0507693747390004 , 1.40015605863932 , 0.104850083458407 , 0.259576818847931 , 0.371149213365266 , -0.480834020772732 , 0.835185997874525 , 0.739090323308207 , 2.64512991201439 , 1.45748028158265 , 0.918882301277071 | 0.0043097 |
| 45 | 20 | 0.0 | 0.0 | 0.5 | control , control , control , control , control , control , control , control , control , control , control , control , control , control , control , control , control , control , control , control , intervention , intervention , intervention , intervention , intervention , intervention , intervention , intervention , intervention , intervention , intervention , intervention , intervention , intervention , intervention , intervention , intervention , intervention , intervention , intervention , 0.279544955461282 , -0.617427597608619 , -0.478181607318474 , 0.187243382804683 , 0.35668723680732 , 0.732123089602105 , 0.106925430900751 , 0.258840061797558 , -0.10589353884134 , -1.12141035368737 , 0.0841374085110356 , 0.980885102517618 , 0.461292983283121 , -0.165169211635425 , 0.922956076372054 , -0.293295538546787 , -0.203149093045646 , -1.17288172499581 , 0.12849190581146 , -0.298634574437985 , -0.939490598736154 , -0.472373993911482 , -0.52516453922334 , 0.559258693279674 , 0.683795362845384 , -0.00380416444975402, 0.233722014977112 , 0.249786400807764 , 0.135985536315684 , 0.893348827702265 , 0.0338880952363333 , -0.078408448391571 , 0.252229945166517 , -0.0975281876374826 , -0.679397001060906 , -0.795060381823078 , -1.01772234483922 , -1.09478228800957 , -0.140882327346385 , 0.432144086254325 | 0.5153424 |
| 45 | 20 | 0.0 | 0.0 | 1.0 | control , control , control , control , control , control , control , control , control , control , control , control , control , control , control , control , control , control , control , control , intervention , intervention , intervention , intervention , intervention , intervention , intervention , intervention , intervention , intervention , intervention , intervention , intervention , intervention , intervention , intervention , intervention , intervention , intervention , intervention , 0.418775627380194 , -1.99296054615869 , 1.15966856036898 , 1.2365894889102 , 0.932387878824284 , -1.11002797904403 , -0.933020645635484 , -1.41487914545811 , -0.785155320718238 , 0.71201569306972 , -1.93446296244035 , -0.735667731802703 , -0.718972710451385 , -0.0995710790894242, -2.48062173344067 , -1.4957710697912 , -1.70178928848523 , -0.136793391139275 , -0.258150235008382 , 0.934200541562972 , -0.684062962263892 , -0.376660076354486 , -2.35473171382757 , 0.433591485634235 , -0.0467855981941401, -0.122750606853499 , 0.705361031969392 , 1.21910256497283 , 2.41732131096305 , -0.995300579587405 , -0.3859127002075 , 1.16194655622308 , 0.949353379060344 , 1.11892744111784 , -0.870081896656577 , -0.474302130931386 , 1.29435812112097 , -1.64198980558933 , 0.0415049585865753 , -0.214370383783719 | 0.1149153 |
| 45 | 20 | 0.0 | 0.1 | 0.5 | control , control , control , control , control , control , control , control , control , control , control , control , control , control , control , control , control , control , control , control , intervention , intervention , intervention , intervention , intervention , intervention , intervention , intervention , intervention , intervention , intervention , intervention , intervention , intervention , intervention , intervention , intervention , intervention , intervention , intervention , 0.0919310159566342, -0.138488005947277, -0.525508297861073, 0.420757989878589 , 0.583250678333814 , 1.30923444787741 , 0.137637063206584 , -1.17068408559806 , 0.393389143305541 , -0.344253872808226, -0.162479041590638, 0.344284735050162 , 0.148694336404364 , 0.53911455119407 , -1.0320000233617 , 0.844386343159676 , 0.267480726454706 , 0.277973502922761 , 0.440703123244291 , -1.22385836798548 , -0.153275739485851, 0.288632856093151 , 0.342440848478557 , 0.233462062510891 , -0.524002391545028, -0.36329024385927 , -0.368495891128587, 0.314934474993892 , 0.644331659916863 , 0.791185995623003 , -0.478232409842045, -0.396960089067902, -0.590927530210241, 0.904817846621944 , 0.424373081222689 , 0.335630843600696 , -0.223712271023717, 0.0942672658949548, -0.157485326032496, -0.120583872529501 | 0.9545385 |
| 45 | 20 | 0.0 | 0.1 | 1.0 | control , control , control , control , control , control , control , control , control , control , control , control , control , control , control , control , control , control , control , control , intervention , intervention , intervention , intervention , intervention , intervention , intervention , intervention , intervention , intervention , intervention , intervention , intervention , intervention , intervention , intervention , intervention , intervention , intervention , intervention , 0.264305419166682 , -0.701730604212298 , 0.89418131774999 , 0.456076602131958 , 2.15268499452628 , 0.748373051540735 , 0.877811462840653 , -0.00649547200803277, 0.704766774312996 , -0.775505293428588 , -0.559545474431118 , 1.4143681733207 , 1.77090504720823 , 3.1036657436562 , 0.0170512736432309 , 1.28514771928472 , -1.65937907617932 , -0.0861220706133363 , -0.0559406084011271 , 0.44808454103718 , -0.145006176713343 , -0.196069088027042 , 0.674999009408094 , -0.0485765350591354 , 1.24493680371886 , 0.369128741625286 , -0.849073209001261 , 0.145777725253281 , -0.29516197745914 , 0.193630804129517 , 1.9231865864387 , 0.178714109208902 , 0.866980757877427 , 1.43391427810425 , 0.654829351752731 , 0.707169012186192 , 0.359198848577647 , 0.756070047622836 , 0.877336429287303 , 1.26119912097523 | 0.9753002 |
| 45 | 20 | 0.5 | 0.0 | 0.5 | control , control , control , control , control , control , control , control , control , control , control , control , control , control , control , control , control , control , control , control , intervention , intervention , intervention , intervention , intervention , intervention , intervention , intervention , intervention , intervention , intervention , intervention , intervention , intervention , intervention , intervention , intervention , intervention , intervention , intervention , -0.216413502079534 , -0.446636986796544 , 0.595656756215604 , -0.0619664063395701, 0.0791758509411072 , 0.0925069725486776 , 0.755094406760463 , -0.0956527226202252, -0.239945659128777 , -0.213634685416723 , -0.523893136398609 , 0.218247767104296 , -0.371998036204719 , 0.244769801420415 , 0.338188479347185 , -0.374652450018611 , -0.214456231774439 , -0.574172190912365 , 0.399990583192528 , -0.20618586815089 , 0.899963363822883 , 0.608592420818998 , 0.857145187013188 , 0.262181922962933 , 0.804978653994668 , 0.00636331687002384, 0.643964327255166 , 0.732076963645823 , 0.863064376885613 , 0.184037493060526 , 0.589778423691056 , -0.323916663395468 , 0.171852362412633 , 0.568948564509886 , 0.365234183491885 , -0.232980262321454 , 0.383589881515752 , 0.41640321701553 , 0.0595168113674961 , 0.540590741563159 | 0.0002890 |
| 45 | 20 | 0.5 | 0.0 | 1.0 | control , control , control , control , control , control , control , control , control , control , control , control , control , control , control , control , control , control , control , control , intervention , intervention , intervention , intervention , intervention , intervention , intervention , intervention , intervention , intervention , intervention , intervention , intervention , intervention , intervention , intervention , intervention , intervention , intervention , intervention , -0.0473170525784078, 2.93421519230181 , -0.36836448979921 , -1.90755392352155 , 1.4085161452267 , 0.132012842619559 , -0.721985055669414 , -0.640617749659819 , -0.870590306774925 , 1.2478822786463 , 0.0600879593698292 , 0.0790913730886391 , -0.731159560830304 , -1.49824248698591 , 1.45055891445768 , 0.38711996524841 , 0.636714521971787 , -1.19273744344482 , -0.692151395546904 , 0.132203108967227 , -0.758603349503767 , -0.873212571861521 , -0.457830308577818 , 2.28863106216338 , 0.833370087825023 , 1.65612571514153 , 0.746261970703411 , -0.0111817745819232, -0.670143175624404 , 1.25341695819795 , 0.449172839808483 , -0.232364548090006 , -0.975305253664607 , 1.62997140267423 , 1.50736975095515 , 1.38908346316275 , -0.501233326732687 , 0.0771659108991263 , -0.0981485559122306, 0.77551471221181 | 0.2314353 |
| 45 | 20 | 0.5 | 0.1 | 0.5 | control , control , control , control , control , control , control , control , control , control , control , control , control , control , control , control , control , control , control , control , intervention , intervention , intervention , intervention , intervention , intervention , intervention , intervention , intervention , intervention , intervention , intervention , intervention , intervention , intervention , intervention , intervention , intervention , intervention , intervention , -0.0544782465950331, 0.350319455722785 , 0.709091643909213 , 0.458768293952142 , -0.0771996774907215, -0.351895236732149 , 0.209092862596103 , 0.352655539482582 , 0.457854320863943 , 0.371705810230161 , -0.328434431608011 , 0.951729119762658 , -0.192339699921599 , 0.0131901551029434 , 0.264043859666476 , -0.0654167119846342, 0.253054213992859 , -0.0217296429935047, -0.109691304187425 , 0.593234619340705 , 1.01819899429925 , 1.18252660929314 , 1.22539629040142 , 0.0266364937334116 , 0.315843159182138 , 0.535808780311332 , 0.727765231122644 , 0.937217732460058 , 1.14722294148925 , 0.7062946133465 , 0.541665004063683 , 0.757945252928913 , 1.01901926707579 , 0.789748640970981 , 0.98740240225104 , 0.664649655138932 , 0.409043125217161 , 0.0689163652377583 , 0.576876733468484 , 0.171382481574692 | 0.0000720 |
| 45 | 20 | 0.5 | 0.1 | 1.0 | control , control , control , control , control , control , control , control , control , control , control , control , control , control , control , control , control , control , control , control , intervention , intervention , intervention , intervention , intervention , intervention , intervention , intervention , intervention , intervention , intervention , intervention , intervention , intervention , intervention , intervention , intervention , intervention , intervention , intervention , 0.578732812497366 , 1.42523024324689 , -2.22987617091893 , 0.5137601912943 , -0.640607624450596 , -1.78256884988208 , 0.811487205835906 , 0.413682707970844 , 1.40877797375272 , 0.153709547146205 , 0.00177256136440963, -0.82935733207253 , 0.244083399957167 , 0.720422854183121 , -0.337207657397166 , -2.05315661033034 , -1.16946501839007 , -0.113546194768189 , -0.0271579607875124, 0.867474877257104 , -0.0910647658139379, 0.984036189782861 , -0.331504356576263 , -1.19367439459594 , 0.303957552882675 , -0.146814524568109 , 1.68830894691059 , 2.19843508665614 , 2.21755742195597 , 1.16090434559735 , 0.850134542836372 , 1.48856592321562 , 0.27098439189172 , 1.0065596161096 , -0.0676896727778931, 1.22466240634395 , -0.612962599718635 , 0.259050680466751 , 0.848831579945635 , 0.42729091348312 | 0.0257057 |
| 45 | 50 | 0.0 | 0.0 | 0.5 | control , control , control , control , control , control , control , control , control , control , control , control , control , control , control , control , control , control , control , control , control , control , control , control , control , control , control , control , control , control , control , control , control , control , control , control , control , control , control , control , control , control , control , control , control , control , control , control , control , control , intervention , intervention , intervention , intervention , intervention , intervention , intervention , intervention , intervention , intervention , intervention , intervention , intervention , intervention , intervention , intervention , intervention , intervention , intervention , intervention , intervention , intervention , intervention , intervention , intervention , intervention , intervention , intervention , intervention , intervention , intervention , intervention , intervention , intervention , intervention , intervention , intervention , intervention , intervention , intervention , intervention , intervention , intervention , intervention , intervention , intervention , intervention , intervention , intervention , intervention , 0.324764874644364 , 0.171501663309878 , 0.320069665495232 , -0.276787081405977 , 0.0277427042804512 , 0.212646568386288 , -0.594064346802248 , -0.469842027422068 , -1.25697102194451 , 0.00990940238484895, 0.52583417092141 , 0.0824893336983939 , -0.138336667286065 , -0.312809219344764 , 0.280916972613319 , 0.0473234763548547 , -0.116078990470813 , 0.239349682931346 , -0.512073327069343 , -0.0969660028028172, -0.237009703253405 , 0.0787041231821709 , 0.741647726037235 , 0.181913941995344 , 0.185086143429818 , -0.675867378577083 , 0.692881092923448 , -0.256820464670773 , 0.567959029128136 , 0.890625245334125 , 0.405408064773927 , 0.568453041539699 , -0.750427292723564 , 0.526286321595828 , 0.557435533952385 , -0.875876201792703 , -0.406306899797444 , -0.135656595269077 , 0.545085229833635 , 0.099636928821941 , -0.664705454888555 , 0.130686257114142 , 0.273555710102756 , -0.228978107765661 , 0.554444028029996 , -0.116404641791673 , 0.751410333945159 , -0.445514225321169 , -0.175024297231113 , 0.668526408665086 , 0.242307618559007 , 0.361479892505636 , -0.70871856716134 , -0.56156201813866 , -0.256437278753428 , 0.383639624239142 , -1.38196258332007 , -0.247258083771953 , -0.21188004417824 , 1.08090503949844 , 0.617538808446198 , 0.0943064630192904 , 0.31278785845596 , 0.0642120589226677 , -0.443127089424811 , -1.36793212231911 , 0.0130036178813451 , -0.912445116942712 , 0.952972959394244 , -0.589804625214723 , 0.413243422035112 , -0.983696515374517 , -0.109923507615302 , 0.373122182143599 , -0.343693571306435 , -0.425057854861507 , 0.904483838178461 , -0.0686072178001718, -0.597339137715714 , 0.188311349978499 , -0.972313269695798 , -0.545846863028815 , -0.491824675140879 , -0.247666432458488 , 1.3068244059489 , 0.101205301737437 , -0.29861483448532 , 0.052725485540827 , -0.328293289865762 , 0.18158601166399 , -1.18972380410125 , 0.11847469280357 , -0.0490325238591535, 0.0283579065406618 , 0.219550880159652 , 0.0496125781929312 , -0.0742010944117491, 0.85624861462014 , 0.565140201420455 , -0.427267980744139 | 0.2501379 |
| 45 | 50 | 0.0 | 0.0 | 1.0 | control , control , control , control , control , control , control , control , control , control , control , control , control , control , control , control , control , control , control , control , control , control , control , control , control , control , control , control , control , control , control , control , control , control , control , control , control , control , control , control , control , control , control , control , control , control , control , control , control , control , intervention , intervention , intervention , intervention , intervention , intervention , intervention , intervention , intervention , intervention , intervention , intervention , intervention , intervention , intervention , intervention , intervention , intervention , intervention , intervention , intervention , intervention , intervention , intervention , intervention , intervention , intervention , intervention , intervention , intervention , intervention , intervention , intervention , intervention , intervention , intervention , intervention , intervention , intervention , intervention , intervention , intervention , intervention , intervention , intervention , intervention , intervention , intervention , intervention , intervention , -0.356983883500763 , 1.70293597870664 , 1.13159486887728 , 0.363149850715217 , 0.103369797430779 , -0.518819814899892 , 1.04417915081005 , -0.00224193444920315, -1.25259741958091 , 0.171168751587047 , 0.955339022246362 , -1.1291281637369 , -1.8316126768594 , 0.528873924069566 , 0.432117949012781 , 0.611136567865669 , -0.536495045890177 , -0.0973528557917101 , -0.441027720020866 , -1.97213869037395 , -0.250587230803136 , -0.0301811463350015 , 0.992043378671802 , -0.989499508509039 , -1.07502292612816 , 0.454233060669129 , -1.4237388416894 , 1.19251039162589 , 1.82682454540678 , -0.11600918440494 , 0.313351069318033 , -0.410580899027116 , -1.44920769688525 , 0.781775911833776 , 0.566095138425913 , 1.0035554474929 , -0.352273539585628 , -0.110440856506639 , 0.328508691950321 , 0.893061281012759 , -0.523486052798709 , -1.54358552356885 , 1.74318080878022 , -0.0319660779699974 , -1.54862491010152 , -1.3402503268716 , -0.159911555608056 , 0.0603034904417707 , 0.355385611030426 , -0.101256074269318 , -0.441493498777073 , 0.73684810846334 , 0.387324176392919 , -0.514144878190275 , 1.92946831078497 , -0.692521987776593 , -1.08982052891289 , 1.05223788059793 , -1.00400892068817 , -1.28231553737401 , -0.545978208968082 , 2.2427934453833 , 0.188773244264097 , 0.796238477134638 , -0.683363975822444 , 0.447237582978439 , 0.0204670742188701 , 0.903550796324692 , 1.57088779859229 , -1.39623823760073 , -0.368669705150991 , 0.73526714328793 , 0.322435618666452 , 0.223537695419928 , 1.64499722252191 , -0.400456669300182 , -0.205478400838577 , 0.173891998965275 , 0.177264985082042 , 0.644186283366229 , 1.2471743187767 , -0.690191167692448 , 0.663347912877106 , 1.01464385872483 , -0.0419476115264784 , -1.43129555764748 , -1.34894894598539 , -0.724899011531926 , -1.11831966753168 , 0.69603933701415 , 0.784636779800971 , -0.0319950524440339 , -0.626430871171183 , 1.28706785709106 , -0.796882040315223 , -1.30529447539009 , -1.49173072657633 , 2.06799279898411 , 1.26326352907426 , 1.72034104000454 | 0.3760739 |
| 45 | 50 | 0.0 | 0.1 | 0.5 | control , control , control , control , control , control , control , control , control , control , control , control , control , control , control , control , control , control , control , control , control , control , control , control , control , control , control , control , control , control , control , control , control , control , control , control , control , control , control , control , control , control , control , control , control , control , control , control , control , control , intervention , intervention , intervention , intervention , intervention , intervention , intervention , intervention , intervention , intervention , intervention , intervention , intervention , intervention , intervention , intervention , intervention , intervention , intervention , intervention , intervention , intervention , intervention , intervention , intervention , intervention , intervention , intervention , intervention , intervention , intervention , intervention , intervention , intervention , intervention , intervention , intervention , intervention , intervention , intervention , intervention , intervention , intervention , intervention , intervention , intervention , intervention , intervention , intervention , intervention , 0.000668447308549938, 0.220965869626212 , 0.329609583133669 , -0.0256001239010995 , -0.361926397682862 , -0.138261350855969 , 0.0641810543828645 , -0.23392242444889 , 0.84756632756097 , -0.354032715250811 , 0.884210879799683 , -0.157696396140723 , 0.334447431276886 , 0.24122212381596 , -0.400035038587448 , 0.699373841170222 , 0.615654016700409 , -0.0633241891749525 , 0.850111029956573 , 0.758144585945413 , 0.269964543741019 , 0.535578967812176 , 0.0843029219128549 , -0.328785542348997 , 0.894951378715003 , 0.324775414423783 , 0.568998651396507 , -0.269089285855087 , -0.0411257937420721 , 1.31294105352753 , -0.479608202816948 , 0.168360603684702 , -0.394005937968744 , 1.3620522387506 , 0.852408752177958 , 1.17871465538345 , -0.186956528541908 , -0.431162688634126 , -0.0942418439055214 , -0.121788259067989 , 0.61357958142801 , 0.938216706855855 , -0.134781169273066 , -0.222055886204986 , 0.687570852318427 , -0.371743046253699 , 0.268731031873737 , 0.846715038630078 , -0.446013775678929 , 0.121611351861096 , -0.571375652796598 , 0.668902334026368 , 0.65905316186619 , 0.544156770384716 , 0.898431332482695 , 0.86194857825277 , 0.745528362482397 , 0.825526786480485 , 0.857129883461491 , 0.158253952384131 , 0.328078159395623 , 0.199604226393314 , -0.416964999371442 , -0.632333735500856 , -0.280239245302701 , -0.11030085706678 , 0.258116924621331 , -0.535063139300432 , 0.731457941348316 , -0.0920549858651752 , 0.346658864296636 , -0.0467800609342821 , -0.481276436982033 , 0.72874086856733 , 1.23191447565434 , 0.773957793378533 , -0.367889089342168 , 0.662067650772099 , -0.891448443281748 , -0.0728236665448215 , -0.707986653588813 , 0.682767982069918 , -0.0531208423946402 , -0.0463798434283607 , 0.0242612380654046 , 0.368882093442472 , 0.50663019441779 , -0.284895019987716 , -0.477258255872122 , 0.639433060343937 , -0.335913092404651 , 0.0573774814351663 , 0.796509484281211 , -0.0861716862152925 , -0.531743877048377 , -0.544548779895446 , 0.686760892148013 , 0.0693905620308528 , -0.678632151566502 , 0.280383770813219 | 0.4208376 |
| 45 | 50 | 0.0 | 0.1 | 1.0 | control , control , control , control , control , control , control , control , control , control , control , control , control , control , control , control , control , control , control , control , control , control , control , control , control , control , control , control , control , control , control , control , control , control , control , control , control , control , control , control , control , control , control , control , control , control , control , control , control , control , intervention , intervention , intervention , intervention , intervention , intervention , intervention , intervention , intervention , intervention , intervention , intervention , intervention , intervention , intervention , intervention , intervention , intervention , intervention , intervention , intervention , intervention , intervention , intervention , intervention , intervention , intervention , intervention , intervention , intervention , intervention , intervention , intervention , intervention , intervention , intervention , intervention , intervention , intervention , intervention , intervention , intervention , intervention , intervention , intervention , intervention , intervention , intervention , intervention , intervention , 0.763439563496828 , 0.509810868825454 , 1.85765375365185 , 0.956154423871953 , 0.640665366675455 , -0.0463952200230806, 0.107689528423269 , -1.10674073520468 , 0.0259793162583877 , -0.760467728356697 , 1.75756603086712 , -1.11401002000437 , -0.477852107771868 , -0.855787465935982 , 1.43295892723354 , 0.380324606389364 , -0.411595805294441 , -0.906259862203216 , 0.33199348977813 , 0.12721771289846 , -0.590705341045588 , 1.07615224486728 , 0.862432414201133 , -0.475054874206879 , -0.501624022525702 , 0.316202913242222 , -1.32719091336245 , -2.05262051702221 , 0.805484769640784 , -0.144553606315309 , -1.32837940491978 , 0.567382063530827 , -0.623181106289607 , 0.492937621113863 , -0.306914883394618 , 1.01898723658642 , -0.176585635260508 , -0.555496100784251 , -1.09692563493445 , -0.122584410861188 , 1.19799842631626 , 0.314890901496534 , 0.114745387048462 , 2.26969705325985 , 1.58610737029676 , -0.703557774768684 , -0.779344075354779 , 0.0631380259256306 , -1.21637338269693 , -0.737657485444633 , 0.743169040924463 , 0.846799201202605 , -0.15462993915633 , -0.273616624861564 , 1.73185767247834 , -0.481713336488033 , 0.39105993713501 , -2.36445710766575 , -0.378394446021501 , -1.44651440750363 , -0.159844908183492 , -0.268401290121066 , -0.583650071314466 , 0.275810445086181 , -0.864495732103348 , 2.04733349739178 , 1.92926744869311 , 1.23343365755298 , 0.149980623363339 , 0.0122173964984855 , -0.736958621012141 , 0.497669829521263 , -1.23480184590384 , -0.206134423077691 , -0.140106243405306 , -0.770298187062373 , 0.71994079900751 , 0.065444187754188 , -1.12467425617097 , -0.893121255297682 , -3.07885787553783 , -1.42585102988398 , 1.30760044861644 , -0.0378207912020085, 1.14839902989848 , 0.102800443451765 , -0.73493940641369 , 0.589862969345969 , 0.950644595160591 , 0.422052231570652 , 1.95835294174521 , 0.366836169885083 , 1.38912357212173 , 0.108320886047407 , 1.70344954475302 , 0.334375399533111 , -0.959589749132573 , -0.206828460846515 , 0.103743151735989 , 0.115957738811333 | 0.8765885 |
| 45 | 50 | 0.5 | 0.0 | 0.5 | control , control , control , control , control , control , control , control , control , control , control , control , control , control , control , control , control , control , control , control , control , control , control , control , control , control , control , control , control , control , control , control , control , control , control , control , control , control , control , control , control , control , control , control , control , control , control , control , control , control , intervention , intervention , intervention , intervention , intervention , intervention , intervention , intervention , intervention , intervention , intervention , intervention , intervention , intervention , intervention , intervention , intervention , intervention , intervention , intervention , intervention , intervention , intervention , intervention , intervention , intervention , intervention , intervention , intervention , intervention , intervention , intervention , intervention , intervention , intervention , intervention , intervention , intervention , intervention , intervention , intervention , intervention , intervention , intervention , intervention , intervention , intervention , intervention , intervention , intervention , 0.314545896223072 , 0.313976208977375 , -0.319222349191776 , 0.163885396586262 , 0.375899077863111 , 0.000689087766628807, -0.793999011206317 , -0.482129991304052 , -0.620159846577705 , -0.236199770143578 , -0.0477212737072228 , -0.0990046524647048 , 0.78881216794953 , -0.206292305622608 , 0.0103969223480653 , 0.160593285846672 , -0.486990647706838 , -0.353644429385984 , 0.172873181487279 , -1.08341393234501 , 0.434276403038916 , -0.437248257956907 , 0.465008358129755 , 0.513992450356623 , -0.225595569705722 , 0.126234353225979 , -0.867692047058885 , -0.262254998832366 , 0.561623839952426 , 0.541161450955641 , -0.602375521246467 , 0.351235987590727 , -0.534159140135796 , -0.147478856859011 , 0.429421447866184 , -0.227349893498219 , 0.100996294936477 , 0.866269013007573 , 0.418754734715515 , 0.393804978566521 , 0.549839229689154 , -0.0828768785716545 , -0.251395286140007 , 0.336952168200501 , 0.0876981627564754 , -0.641334217599275 , -0.273583619849004 , -0.0309564098616346 , -0.30851385246335 , -0.11237593103422 , -0.0558279060789185 , 0.870847981531994 , 0.520583852690372 , 0.956349444127802 , 0.667507154720674 , 0.22731310577381 , 1.01737204607461 , -0.869963681227119 , -0.473841341381663 , 0.700230351173971 , -0.230235822965128 , 0.164273710887676 , 1.28188373530063 , 1.07894216471976 , 1.18693836744021 , 0.648971623082734 , 1.02904137788086 , 0.8635409040696 , 0.108489790800754 , -0.575921262672432 , 0.131002228191013 , 0.559965100559011 , 0.518457748033722 , -0.640310084383135 , 0.474154690856611 , 0.592796523889597 , 0.803624851060729 , 0.472355625509387 , 0.0642765199428523 , 0.15989333004967 , 0.810866675709684 , -0.205759689259754 , 0.272087993964104 , 0.654619718570428 , -0.363844203287819 , 0.301322857556281 , -0.0465524240487543 , 1.16233751161767 , 1.12825017826311 , 1.36436630045802 , 0.546044349173465 , 0.892014665884546 , 0.783507768793826 , 0.0120853463162682 , 0.899668928654511 , -0.413904577651299 , 0.176195681548641 , 0.990719159147749 , 0.0898864071252384 , 1.57196640214808 | 0.0000075 |
| 45 | 50 | 0.5 | 0.0 | 1.0 | control , control , control , control , control , control , control , control , control , control , control , control , control , control , control , control , control , control , control , control , control , control , control , control , control , control , control , control , control , control , control , control , control , control , control , control , control , control , control , control , control , control , control , control , control , control , control , control , control , control , intervention , intervention , intervention , intervention , intervention , intervention , intervention , intervention , intervention , intervention , intervention , intervention , intervention , intervention , intervention , intervention , intervention , intervention , intervention , intervention , intervention , intervention , intervention , intervention , intervention , intervention , intervention , intervention , intervention , intervention , intervention , intervention , intervention , intervention , intervention , intervention , intervention , intervention , intervention , intervention , intervention , intervention , intervention , intervention , intervention , intervention , intervention , intervention , intervention , intervention , -0.0266911271990033 , 1.35810826694873 , -0.856167807425806 , 0.120429632606894 , 0.94527999196643 , 0.302477244381306 , -0.0195907518023866 , 0.123718158281499 , -1.97818484309741 , -0.934979896881995 , -3.09684787399047 , -0.226316668398336 , -0.145357275939493 , -0.952968219937272 , -0.283394175150448 , -0.323386127262176 , -0.502862284101718 , 0.674740946035797 , 1.03788120840509 , 0.857071631676694 , 0.91102574458584 , -0.0459398499877081 , -0.818750120380882 , -0.748005272209692 , 1.53152799592387 , 0.666456678538424 , 0.408164431152044 , -1.09116697775826 , 0.347100039485313 , -1.19446818271342 , 2.02389279851007 , 0.7733926055179 , 1.37717284011069 , -0.973399176162696 , -1.25630247138883 , -0.850671331558597 , -0.345647800182918 , -0.144461025299707 , 1.09339641486219 , -0.10432637323041 , -0.287162341480393 , -0.681960207370114 , -0.164523058440935 , -0.144295086502874 , 0.0363086502724811 , -1.88249170863415 , 1.24632289345539 , 0.270052066947659 , 0.564666491460401 , 2.26512551527185 , -0.399103824395957 , 0.476896463328358 , 0.168741379884647 , 0.626791261879947 , 0.364745049861517 , 0.335384925104987 , 1.2581825782667 , -1.50531957061148 , -0.278669939248996 , 0.754472853185411 , 0.328527764917222 , 0.38991332900084 , 0.680093775300322 , 1.985171865865 , -0.29193519245026 , 0.572145107377198 , 1.26766931959995 , -0.00534513236025935, -0.262055019854019 , 0.116764130941454 , -1.1404466686174 , 2.56927962384043 , 0.694931510435241 , 1.3926714372771 , 2.16988118255352 , 0.94737897098641 , 1.13312852622626 , 1.91484655875084 , -0.0125368496054792 , -0.535296106513719 , 0.925082165015702 , -1.06239459300634 , -0.12116763424533 , 2.02896526688694 , -0.646427644116539 , -0.872761264179287 , 1.49655542046291 , 0.293087091511978 , 1.21406550242997 , 0.718032808827553 , 1.1995912666065 , 0.63130542176569 , -0.214896416562536 , 1.09308957620534 , 2.18407129079429 , -0.110372088611868 , 1.94083379960964 , 0.752801209887165 , 1.09630706547356 , -0.458193526437485 | 0.0040943 |
| 45 | 50 | 0.5 | 0.1 | 0.5 | control , control , control , control , control , control , control , control , control , control , control , control , control , control , control , control , control , control , control , control , control , control , control , control , control , control , control , control , control , control , control , control , control , control , control , control , control , control , control , control , control , control , control , control , control , control , control , control , control , control , intervention , intervention , intervention , intervention , intervention , intervention , intervention , intervention , intervention , intervention , intervention , intervention , intervention , intervention , intervention , intervention , intervention , intervention , intervention , intervention , intervention , intervention , intervention , intervention , intervention , intervention , intervention , intervention , intervention , intervention , intervention , intervention , intervention , intervention , intervention , intervention , intervention , intervention , intervention , intervention , intervention , intervention , intervention , intervention , intervention , intervention , intervention , intervention , intervention , intervention , -0.250334435442098 , -0.192196740961223 , 0.328610578264859 , -0.639510456838047 , -1.19496838631374 , 0.761913527470265 , 0.530006638462508 , 0.0995365817196874 , 0.193481075709226 , -0.457975182855836 , -0.248383821883222 , -0.412804137184213 , 0.878552822270032 , -0.382203344095161 , 0.373728010155898 , 0.27723111176408 , -0.121907705321839 , 0.398267525401662 , -0.570250272819623 , -0.0259449463014376, 0.334765169410766 , -0.100408526285382 , 0.113402357622066 , -0.55346166209783 , -0.46877816001854 , 0.639137841770561 , 0.287310639185923 , 0.291616771146376 , 0.0401609700734488 , 0.220092182664774 , 0.74833926909962 , 0.0255213461330506 , 0.29781297341767 , 0.295223589779226 , -0.176124697863359 , 0.150201350436048 , -0.684475087323193 , -0.338163446997918 , -0.427238424462512 , -0.271345067847636 , 0.0551028087699032 , 0.271066526117877 , 0.0735384528210757 , 1.04058379286611 , -0.232602256827886 , -0.667864863761409 , 0.452357525749967 , -0.424014535673048 , -0.681480667798076 , 0.0139374724613075 , -0.49282787075533 , 0.869761468630508 , 0.807524610307007 , 0.546312071884928 , 0.429714141740762 , 0.789486641319102 , 0.805033569261116 , 0.192354940636183 , 0.413867229000803 , 0.118696412199352 , 0.759379980807864 , 1.1963418353392 , -0.109295760851126 , 0.287411163540057 , 0.0898861125961222 , 0.324900029749963 , 0.252633941702399 , 0.660384689056436 , -0.546992875292788 , -0.218089877505917 , 1.01959526204329 , -0.092832402909858 , 0.543369617500623 , -0.515830701749742 , 0.291975815082887 , 0.413163098269708 , 0.876610827532383 , 1.29954167922138 , 0.825211371864222 , 0.741007542479934 , 0.444087553981103 , 0.446422203334923 , 0.967471273901305 , 0.625580641278336 , 0.442402574133519 , -0.267217275380687 , 1.36629706505063 , 0.172954182410578 , 0.51934591681644 , 1.02131271973217 , -0.428160220793534 , 0.448167326327656 , 1.11239807230309 , 1.02799638374597 , 1.46098751523952 , 0.239749340907748 , 0.984401711944904 , -0.265182441163723 , 0.927542096843652 , 0.535427914102674 | 0.0000018 |
| 45 | 50 | 0.5 | 0.1 | 1.0 | control , control , control , control , control , control , control , control , control , control , control , control , control , control , control , control , control , control , control , control , control , control , control , control , control , control , control , control , control , control , control , control , control , control , control , control , control , control , control , control , control , control , control , control , control , control , control , control , control , control , intervention , intervention , intervention , intervention , intervention , intervention , intervention , intervention , intervention , intervention , intervention , intervention , intervention , intervention , intervention , intervention , intervention , intervention , intervention , intervention , intervention , intervention , intervention , intervention , intervention , intervention , intervention , intervention , intervention , intervention , intervention , intervention , intervention , intervention , intervention , intervention , intervention , intervention , intervention , intervention , intervention , intervention , intervention , intervention , intervention , intervention , intervention , intervention , intervention , intervention , 1.32102834875749 , -0.546777953089306 , 1.71519287016321 , 0.389257490982202 , -0.0488457959944646, 0.706623110920781 , -0.481085936985402 , 0.0472002247802846 , 1.80489913770659 , 0.995263900786792 , -1.2255213388113 , 0.34274432252342 , 1.12744595081712 , 2.73944095103437 , 1.85395643340005 , -0.76753974990605 , -0.22551739993371 , 0.951423757394493 , -0.75249034530654 , -0.185090208149657 , -0.0664967829035102, 1.6166888613947 , 0.150256316829548 , 0.308338971679787 , -0.990601829282363 , 0.284272264487571 , -0.140591532798366 , 1.46152312128324 , -1.10670679361266 , -0.760192655983245 , 1.44630649695949 , 0.443741220824262 , 0.425068049118163 , -0.721149850665369 , 1.3781645205099 , -0.701168096118599 , -0.114790714330545 , -1.0208737718313 , -0.606643231737277 , -0.778202531690242 , 1.53501011432584 , -0.594217152058089 , -0.581590383577793 , -0.385187603128195 , 1.03676334461761 , -0.470102088820661 , 0.715671142642074 , -0.0132580804857157, -1.35815579111906 , 0.299436197819055 , 1.23488937630345 , -0.347640285051373 , -0.10008682060163 , -0.317566065630426 , 0.236193640064263 , -0.27124763013061 , -0.344217773990738 , -1.50737220697561 , -0.754317965793438 , 1.90545065600265 , 1.82611436302954 , -0.954091201573758 , 1.11066240326772 , -0.442292256476913 , 1.59292675352073 , 0.747065376565085 , 1.55285816597934 , -1.26582432597047 , 0.86997331742131 , 0.949981923488745 , -0.0162669958588295, 0.105589891754846 , 1.44993966244701 , 0.260721020961654 , 2.24715279383328 , -0.120074713279171 , -0.521591195256659 , -0.0352238176408988, 0.400866802231427 , 1.22931897281874 , 0.599592892038553 , 0.145907308296131 , 0.828895566219937 , 0.944203183206736 , 0.662227360239729 , 1.5272360657271 , 1.29570062022348 , -1.37794231656831 , 1.36203235335493 , -0.0694670842066436, -0.683205359566545 , -1.85246091498412 , -0.417915394031145 , 0.550898791261865 , 0.313010166239127 , 1.85460777646063 , 0.588414683827152 , -0.083083806424819 , 2.60647897203076 , 1.05993497035214 | 0.3089062 |
| 46 | 20 | 0.0 | 0.0 | 0.5 | control , control , control , control , control , control , control , control , control , control , control , control , control , control , control , control , control , control , control , control , intervention , intervention , intervention , intervention , intervention , intervention , intervention , intervention , intervention , intervention , intervention , intervention , intervention , intervention , intervention , intervention , intervention , intervention , intervention , intervention , 0.0698930791112571 , 0.795712586943444 , 0.301498654529175 , -0.0170806593364707, -0.0038774484423593, 0.532699856829439 , -1.1344958691039 , 0.745470049214376 , -0.363842944571835 , -0.195898467106446 , 0.117028472557579 , -0.687044685794418 , -1.27630024917724 , -0.476578907898873 , 0.0643788349430134 , 0.107466041744939 , -1.0945203574655 , -0.436476342339878 , -0.541889960934681 , 0.70456516782789 , -0.632144277062708 , 0.227017599525137 , -0.257593431974012 , -0.145510013074133 , 0.550983878876496 , 1.25133818193807 , 0.705175959003647 , 0.266266245765765 , 0.257172985178231 , -0.163777322037845 , -0.518401405551584 , -0.440481703233439 , -0.215960635579045 , 0.297864859394189 , 0.705985734835506 , -0.160908813481013 , 0.0927956314204244 , 0.527165983642049 , -0.90457149667261 , -0.152340727371444 | 0.2661109 |
| 46 | 20 | 0.0 | 0.0 | 1.0 | control , control , control , control , control , control , control , control , control , control , control , control , control , control , control , control , control , control , control , control , intervention , intervention , intervention , intervention , intervention , intervention , intervention , intervention , intervention , intervention , intervention , intervention , intervention , intervention , intervention , intervention , intervention , intervention , intervention , intervention , 0.523786877707491 , -0.0699743933779817 , 0.240889784152225 , -0.00908391268183378, 0.361638394191496 , 0.549844996832014 , 0.776178031561094 , 1.68958858635967 , -0.354126574686787 , 0.113429131888294 , 2.52267708454617 , -1.33575969787478 , 0.996527286930611 , 0.674720455115391 , 0.238712626655724 , -0.342938408877891 , -0.76169283313993 , 0.288648574514417 , -0.686840658365088 , 0.986614387611064 , 0.402858514522177 , 0.42089900203864 , 0.680949274864605 , -0.545944780295864 , 0.432794909079539 , -0.582734704702468 , -0.0124529904324549 , 0.150726984984674 , -0.0415914286393644 , -0.963488339224135 , 1.81332771849075 , -0.705416454291956 , 2.57951324481006 , 1.37013602950039 , 2.09490407498969 , 0.0947506938839698 , 1.43622992417674 , 2.222332929749 , -0.78515564914832 , 0.619329311007408 | 0.4899283 |
| 46 | 20 | 0.0 | 0.1 | 0.5 | control , control , control , control , control , control , control , control , control , control , control , control , control , control , control , control , control , control , control , control , intervention , intervention , intervention , intervention , intervention , intervention , intervention , intervention , intervention , intervention , intervention , intervention , intervention , intervention , intervention , intervention , intervention , intervention , intervention , intervention , 0.857514483875824 , -0.812873028425039 , -0.0344014523864933, -0.694673973111452 , -0.2702100781061 , -0.0582207535840573, 0.0595108488364779 , -0.437965878114491 , -0.0994598414198364, 0.0412033428609426 , 2.13775586203131 , 0.125217897888062 , 0.120030533055259 , -0.608640880774729 , -0.529801471305928 , 0.419336122570157 , 0.256437915801311 , -0.480048057729538 , -0.183257161185222 , -0.614673908598071 , 0.100981758366469 , 0.742787074985342 , -0.0715365814349796, 0.910372222372863 , -0.181542508060603 , 0.684432294731615 , 0.29453545504025 , 0.633597341689266 , -0.519520339229764 , 0.263572351761854 , -0.587825473768279 , -0.023055453540665 , -0.0231971002346763, -0.648737690352572 , 0.129288230622981 , 0.205559551211201 , 0.508435640642165 , 0.241223423250344 , 0.224588133373606 , 0.225339421844863 | 0.2724518 |
| 46 | 20 | 0.0 | 0.1 | 1.0 | control , control , control , control , control , control , control , control , control , control , control , control , control , control , control , control , control , control , control , control , intervention , intervention , intervention , intervention , intervention , intervention , intervention , intervention , intervention , intervention , intervention , intervention , intervention , intervention , intervention , intervention , intervention , intervention , intervention , intervention , -0.0454756094774658 , -0.978184289661202 , 1.69736326109119 , -0.164998799684679 , -0.549935098321284 , -0.0505673494767838 , -0.535085407836207 , -0.321605283002829 , -1.43038702910165 , 0.0382271993887073 , 1.65635326166651 , 0.914952997406133 , 0.859802712469456 , -0.324684394916275 , -0.390223985339519 , 0.85176895855156 , -0.0253960142719048 , 1.75593885032044 , 1.23021870529221 , 1.09711437246935 , 0.723012182039639 , -1.60877681255678 , -0.69459487063148 , -1.33574321384404 , -0.692163900115683 , 0.998651704140946 , 2.33272537074959 , -0.521370988526559 , -1.59431892385891 , -0.887033782499356 , -0.00802857189627499, -1.10858282850155 , -1.25461637248286 , -0.0956061543402199 , -1.25436442102677 , 0.258497153787126 , -2.08694366508608 , -0.814682909175428 , -0.38145233459026 , -1.17308701714837 | 0.0118543 |
| 46 | 20 | 0.5 | 0.0 | 0.5 | control , control , control , control , control , control , control , control , control , control , control , control , control , control , control , control , control , control , control , control , intervention , intervention , intervention , intervention , intervention , intervention , intervention , intervention , intervention , intervention , intervention , intervention , intervention , intervention , intervention , intervention , intervention , intervention , intervention , intervention , -0.769950299110985 , -0.494574441418451 , -0.593221311767231 , 0.609992060712617 , 0.429638721555487 , -0.421578247863065 , 0.223871761704936 , -0.607202147973776 , 1.0588793160145 , 0.332425719213501 , -0.392110862932118 , -0.0985369688052675, -1.03460493271621 , 0.655064696813742 , 0.270238611643686 , 0.346195162864164 , -0.304800535069276 , 0.356526722838977 , 0.764492745791473 , -0.225118663456789 , 1.24970964608889 , 0.574561452231868 , 0.779242756442854 , 0.924344388256848 , 1.72678968318107 , 0.0432551167616654 , 0.381684388651838 , 0.947050432001854 , 0.428084552448237 , 0.0914249501972977 , 1.50247802806792 , 0.759970163019972 , 1.30521751083663 , 0.930192687839362 , 1.0987363404153 , 0.250269899020159 , 0.0990738121792061 , 0.916034713595378 , 0.616493016464775 , 0.22422180241082 | 0.0000912 |
| 46 | 20 | 0.5 | 0.0 | 1.0 | control , control , control , control , control , control , control , control , control , control , control , control , control , control , control , control , control , control , control , control , intervention , intervention , intervention , intervention , intervention , intervention , intervention , intervention , intervention , intervention , intervention , intervention , intervention , intervention , intervention , intervention , intervention , intervention , intervention , intervention , -0.561900816499078 , -0.936856746552193 , -0.617372607458567 , -1.06406425040376 , -0.918627467560615 , -0.281523460340955 , -0.44016671012031 , 0.0067768798453077 , 0.898133296752648 , -1.19000853846672 , -1.17540260167508 , 0.84487613424102 , 0.826858566617105 , 0.813411058259008 , 0.627283785926598 , 0.462473910550539 , -0.958570974874931 , -0.0443745799052422, 0.477960533438528 , 0.541929596911183 , 0.986882344246334 , 0.469763275157618 , -1.2534587094843 , -0.234712833913213 , -0.609501170857071 , -0.366596317433759 , -0.787369864994811 , 0.718528382297609 , 0.0626514104413843 , 0.628964051786721 , -0.426633892370267 , 1.84402905730594 , 0.992446119491763 , 1.04665329016137 , -0.162756066701295 , -1.01419506391666 , 0.572348408084719 , 0.0892270749980958 , -0.761177102367881 , -1.41266079229422 | 0.5580080 |
| 46 | 20 | 0.5 | 0.1 | 0.5 | control , control , control , control , control , control , control , control , control , control , control , control , control , control , control , control , control , control , control , control , intervention , intervention , intervention , intervention , intervention , intervention , intervention , intervention , intervention , intervention , intervention , intervention , intervention , intervention , intervention , intervention , intervention , intervention , intervention , intervention , 0.493202786619829 , 0.397795438842298 , 0.607621171947005 , -0.0347775201633413 , -0.207608339295996 , 0.860666315929746 , 0.336342157432581 , 0.149191881476736 , -0.690448678314363 , 0.38035177293219 , -0.217627980830953 , -0.780418734889524 , -0.0308946333255215 , 0.171153443164646 , -0.193870418785344 , 0.974182237193614 , 0.122709156829947 , 0.390181066709131 , 0.741191266343844 , 1.13770474567869 , -0.00883112459458479, 0.397760722208175 , 0.39121696971188 , 1.13489580428899 , -0.0362385959620677 , 0.0703741542933304 , 1.60165599948345 , 0.349143801456698 , 0.937150512827176 , 0.363708807508087 , -0.883761559181222 , 0.00188228542243735 , -0.301548307430168 , 0.282897382816643 , 0.55340215608986 , 0.835432391434553 , 0.595918305095866 , 0.531249009515631 , 1.0514238354189 , 0.877597086808287 | 0.2289682 |
| 46 | 20 | 0.5 | 0.1 | 1.0 | control , control , control , control , control , control , control , control , control , control , control , control , control , control , control , control , control , control , control , control , intervention , intervention , intervention , intervention , intervention , intervention , intervention , intervention , intervention , intervention , intervention , intervention , intervention , intervention , intervention , intervention , intervention , intervention , intervention , intervention , 0.0741879059691882, -0.222129173650031, -1.21283658720258 , 0.626809308210296 , 1.39307321424401 , -0.042864779385822, 0.348603071104915 , -0.919841571911501, 0.505815631212659 , 2.0124653962988 , -0.865261671377974, -1.65437517740473 , 1.70395509068867 , 0.0953809185793536, 1.13796207049671 , 0.668927210534296 , -0.603721609984187, -0.992861844755552, 1.40008049465497 , -0.141007351173098, -0.515793353089657, 0.201285605299274 , 2.08080747476137 , 0.443388511567916 , -0.963401774530948, 0.594965486759385 , -0.584212965636182, 1.21181190702985 , 0.547767296396995 , 1.88672485730975 , 0.252304974566686 , 1.12112274792649 , -1.15354146777787 , 2.06491048691554 , 0.527712809094355 , 0.532561377842191 , 1.25992254177468 , 0.71240732376452 , 0.782518485311106 , -0.431516574959452 | 0.2496176 |
| 46 | 50 | 0.0 | 0.0 | 0.5 | control , control , control , control , control , control , control , control , control , control , control , control , control , control , control , control , control , control , control , control , control , control , control , control , control , control , control , control , control , control , control , control , control , control , control , control , control , control , control , control , control , control , control , control , control , control , control , control , control , control , intervention , intervention , intervention , intervention , intervention , intervention , intervention , intervention , intervention , intervention , intervention , intervention , intervention , intervention , intervention , intervention , intervention , intervention , intervention , intervention , intervention , intervention , intervention , intervention , intervention , intervention , intervention , intervention , intervention , intervention , intervention , intervention , intervention , intervention , intervention , intervention , intervention , intervention , intervention , intervention , intervention , intervention , intervention , intervention , intervention , intervention , intervention , intervention , intervention , intervention , -0.162048724735719 , 0.628875453318203 , 0.444742653342308 , 0.0278721109571309 , -0.962477640985452 , 0.265706043489898 , 0.258039958290026 , -0.0486429147468095, 0.0347950477555414 , -0.120968895132772 , 0.295376376334649 , 0.42557410525772 , 0.446808352366527 , 0.531848811035102 , 0.406483777897139 , 0.117524822903626 , -0.215582611000716 , -0.55745435035772 , -0.662105620553715 , 0.376441291280059 , -0.317685245475493 , 0.582711065482976 , -0.113820310060644 , 0.481616619986986 , -0.43965072752133 , 0.436361562011933 , -0.245108690149317 , -0.0526216290738243, -0.81953023421763 , -0.900622740830352 , -0.727502401678377 , -0.243012360603927 , 0.421010610703746 , -0.401269062161672 , 0.330790679228824 , -0.439660673597754 , -0.207247629758523 , -0.732024180954625 , 0.328436617141457 , -0.218613335591133 , -0.205151739140812 , 0.0415715073108532 , 0.0998123818465612 , -0.634243931690117 , -0.6843852663691 , -0.38779590350318 , 0.95209821036477 , -0.312708514173699 , 0.166871854112219 , -0.153913287546082 , -0.132076284168085 , 0.671101576734872 , -0.739455292975233 , -0.379611727264778 , -0.306516687819085 , -0.160884123887357 , 0.86731381509308 , -0.520501424886084 , 0.813298141837181 , -0.621731688009806 , -0.427428929716964 , -0.0268358013631777, 0.309792271170783 , 0.0358252855339866 , -0.26078845249288 , 0.846095429567559 , -0.357302068282815 , -0.11879036497732 , -0.0103505791190942, 0.507463874411323 , 0.922812743123662 , 0.0924408083449053 , 0.0461004476128527 , 0.478296500273855 , 0.352774270781299 , 0.764909187664964 , 0.184271597842783 , -0.514322080014025 , 0.314274119310743 , -0.0293098538097657, -0.707810272268315 , -0.256013538935854 , 0.0630754345075229 , 0.527036229006669 , -0.291997222792698 , -0.281157591529166 , 0.0189041093493241 , 0.113605897274507 , -0.439256088830399 , 0.596891530506928 , -0.0593548509644013, 0.908316649266226 , 0.521151530548225 , 0.502521761505381 , -0.0292778350171837, 0.495346760617594 , 0.469673221201518 , -0.315309528648606 , 0.370581168094466 , -0.167597603544051 | 0.1028306 |
| 46 | 50 | 0.0 | 0.0 | 1.0 | control , control , control , control , control , control , control , control , control , control , control , control , control , control , control , control , control , control , control , control , control , control , control , control , control , control , control , control , control , control , control , control , control , control , control , control , control , control , control , control , control , control , control , control , control , control , control , control , control , control , intervention , intervention , intervention , intervention , intervention , intervention , intervention , intervention , intervention , intervention , intervention , intervention , intervention , intervention , intervention , intervention , intervention , intervention , intervention , intervention , intervention , intervention , intervention , intervention , intervention , intervention , intervention , intervention , intervention , intervention , intervention , intervention , intervention , intervention , intervention , intervention , intervention , intervention , intervention , intervention , intervention , intervention , intervention , intervention , intervention , intervention , intervention , intervention , intervention , intervention , -0.580598675741007 , 0.87857021630483 , 0.109877932930857 , -0.169823748503743 , 0.712371286019159 , 0.279820192761223 , 0.658302543471684 , -0.495706586580318 , -2.39526170524995 , -1.13023874535548 , 1.03929390643329 , -1.79916198128361 , 0.220201760066916 , 0.609092541382771 , 1.55958633448822 , 0.202065515156258 , -1.62716311578214 , -0.645716230953235 , 2.31609530076122 , -1.62404283143322 , 0.886518983518046 , 0.249326765320343 , -0.987361912692043 , 0.79356269349493 , 0.584575485973606 , 1.12969481899664 , -2.15337338696234 , 0.281548348767846 , -1.08033673809026 , -0.922639125354178 , -0.633989222192954 , -0.511378832251107 , 0.479919089901822 , 0.267644504523504 , 1.24500439363051 , 1.88349660724288 , -0.460821623499593 , -0.37984019274558 , -0.956858474743729 , 0.837452146204719 , 0.216488271505233 , 1.65744959329122 , -1.48245115257519 , 0.758296780010524 , -0.318217992872708 , -0.0975292843478093, 0.244928122589836 , 0.134114084247655 , -1.24994486315096 , 2.74724509027457 , 1.23451852357317 , 1.31627797179395 , 0.41052133834833 , 1.1133509143942 , -1.63668146827621 , -1.14356004204885 , 1.51368835635163 , 1.3238079762077 , 0.847485980857648 , -0.169005962390944 , 0.075995802757195 , -0.088309384492451 , 0.692256948197213 , -0.467412758706262 , -0.299628534723846 , 1.49829050860948 , 0.616250019663964 , -0.220266499802239 , 0.614841589602218 , 0.245743815496641 , -2.95988581582504 , 0.111311799939414 , 0.785078642384878 , 0.0876248806935894 , -0.715131586637372 , 1.40299784564232 , 1.28473034195097 , 1.13495024492919 , 1.12096513448485 , -1.69674613106573 , 1.10015732847496 , -0.446204524518836 , -2.21152559407927 , 1.89709000650952 , 1.41597492768639 , 0.479652365656868 , -0.150557332867629 , -1.66069594901313 , 1.25562034023135 , 0.463275464877656 , -0.482930678894719 , 0.687167792378881 , -1.50084534855925 , 1.48205337829589 , 0.490956410110029 , -0.38744026971904 , 0.595108001518282 , 1.54798366620507 , 0.78039393181951 , -1.63687456038388 | 0.3526212 |
| 46 | 50 | 0.0 | 0.1 | 0.5 | control , control , control , control , control , control , control , control , control , control , control , control , control , control , control , control , control , control , control , control , control , control , control , control , control , control , control , control , control , control , control , control , control , control , control , control , control , control , control , control , control , control , control , control , control , control , control , control , control , control , intervention , intervention , intervention , intervention , intervention , intervention , intervention , intervention , intervention , intervention , intervention , intervention , intervention , intervention , intervention , intervention , intervention , intervention , intervention , intervention , intervention , intervention , intervention , intervention , intervention , intervention , intervention , intervention , intervention , intervention , intervention , intervention , intervention , intervention , intervention , intervention , intervention , intervention , intervention , intervention , intervention , intervention , intervention , intervention , intervention , intervention , intervention , intervention , intervention , intervention , 0.672856608045984 , -0.102881151394591 , 0.469136967280505 , 0.798391637627202 , 0.459408456520959 , 0.364829149045723 , 0.819467364566368 , 0.642149807507913 , 0.0950666472459403 , 0.559479516804932 , 0.613282277363938 , 0.0309269682604653 , -0.948149983933586 , 0.318162469552178 , -0.51214973431547 , 0.0375055947280838 , 0.382162294652101 , -0.252167957488156 , 0.181697141363823 , 0.277126301508067 , -1.23347171835948 , 0.0602036998009316 , 0.00493080817438665, 0.63419204182886 , 0.416087636125147 , 0.29944240827585 , 0.495276411007937 , 0.117003341020266 , 0.162865376539557 , 0.157740113435919 , 0.177853056055811 , 0.171954062493269 , 0.5083129478261 , 0.508890560467357 , 0.252655545514871 , 0.0375508112559072 , 1.65588193450958 , -0.26896149850158 , 1.29967377348228 , 0.646402503656428 , -0.316535313144364 , 1.03913393170034 , -0.832701111748042 , -1.16565785404543 , -0.0957699587486575, 0.56873725419716 , 0.0452953604045325 , -0.857847363012758 , -0.931449058230855 , 0.670966760422813 , 0.975863936709822 , 0.296008474869492 , 0.490170889077969 , -0.170973410285239 , 0.379588940363419 , -0.822130750171618 , 0.876036260927643 , 0.105764650044664 , -0.303831746946622 , -0.430359179119607 , 1.04564124378445 , -0.167137473679754 , 0.142752456065285 , -0.159150895798761 , -0.16423066666865 , -0.555259874472854 , 0.661384278005931 , -0.181214049322926 , -0.963356171572122 , -0.244279858255685 , -0.0631751333640983, -0.175250337575431 , 0.448620903067445 , 0.0613251658664544 , -0.642449610733775 , -0.144191909544678 , 0.297566215249023 , -0.506933342726139 , 0.521005839022166 , -0.033739078561717 , 0.0140746292525087 , -0.649152384573507 , 0.172301626211696 , 0.197950582476134 , -0.442293432430845 , -0.416072046976534 , 0.66690284716924 , 0.587341835505516 , -0.224101517647717 , -0.0387263827150552, 0.0376201900480498 , -0.0733805590303598, -0.408349259440746 , -0.86324299790954 , 0.104001852584969 , 0.191243123842662 , 0.284470809751494 , -0.017072198142548 , -0.258892472975282 , 0.652760338463841 | 0.0922644 |
| 46 | 50 | 0.0 | 0.1 | 1.0 | control , control , control , control , control , control , control , control , control , control , control , control , control , control , control , control , control , control , control , control , control , control , control , control , control , control , control , control , control , control , control , control , control , control , control , control , control , control , control , control , control , control , control , control , control , control , control , control , control , control , intervention , intervention , intervention , intervention , intervention , intervention , intervention , intervention , intervention , intervention , intervention , intervention , intervention , intervention , intervention , intervention , intervention , intervention , intervention , intervention , intervention , intervention , intervention , intervention , intervention , intervention , intervention , intervention , intervention , intervention , intervention , intervention , intervention , intervention , intervention , intervention , intervention , intervention , intervention , intervention , intervention , intervention , intervention , intervention , intervention , intervention , intervention , intervention , intervention , intervention , 1.18100446402135 , 1.3355641442325 , -0.776658272506608 , 0.511221616470903 , 0.933790757776234 , 0.554915559607331 , -1.85763780830998 , 0.0117907973960252 , -0.594306935878045 , 0.215965285034784 , 1.6632939809049 , 0.358603140192776 , -1.54687416730094 , 1.29886017724612 , 0.0753326795389248 , 0.327981784488886 , -0.226742544844025 , -0.238476474270124 , -0.764832749145715 , 0.0247936756732057 , -0.248477122187205 , 0.16055066937304 , -0.371336737586733 , 0.267315234846334 , 1.92410898935415 , -1.29717660679166 , -0.707649175848755 , 0.397000054526376 , 2.41052099095281 , -0.073410433001368 , 1.53961104099188 , 0.184915512958083 , -0.2734240205924 , -0.813411630363726 , -0.778379813010781 , -1.54800902127132 , 0.0614811349046436 , 1.19703866771202 , 0.681390161355573 , -0.0159759075741118 , -0.0760288152938064 , -1.16195486016804 , -0.64236783462053 , -0.291714087223011 , 1.09855115992815 , 0.94732379051094 , -0.87561140994239 , 0.132508626757809 , -0.162527002456854 , 0.271942891200019 , -0.246002303521326 , 0.67932185997232 , 0.668680148644461 , -0.107940892085707 , -0.618885245986702 , 0.197730517358777 , -0.55190488363022 , 0.588153631308424 , -0.00538464339960818, -2.66829110867748 , 0.0797830533550104 , -1.76367540173315 , -1.97735834517571 , -1.04118175909508 , -0.990960015582142 , -0.374558853467217 , -1.47811139718931 , -0.68693514313181 , 1.48289095136368 , -1.00597708839186 , -2.27383476322039 , -0.841219760751256 , -1.22886736323695 , 2.86391950265671 , 0.311796220861846 , 1.55975577279412 , -0.0472157720125214 , -0.28888289566343 , -0.0101400012811326 , -1.89599780494479 , 0.33190209675225 , -3.28573115232467 , 0.0136376467646221 , -1.63588259788456 , -0.576734197680676 , 0.830922393008341 , 0.704088298406757 , -0.354806389188612 , 0.93805636769276 , 0.299893756077059 , 2.63992142568011 , 0.628294823109435 , -0.497993385888438 , -0.552040861842783 , 0.474266398180622 , -0.614376139547798 , 0.563679680363512 , -0.0395792487323122 , 1.31722152336598 , 1.76165925342413 | 0.2295887 |
| 46 | 50 | 0.5 | 0.0 | 0.5 | control , control , control , control , control , control , control , control , control , control , control , control , control , control , control , control , control , control , control , control , control , control , control , control , control , control , control , control , control , control , control , control , control , control , control , control , control , control , control , control , control , control , control , control , control , control , control , control , control , control , intervention , intervention , intervention , intervention , intervention , intervention , intervention , intervention , intervention , intervention , intervention , intervention , intervention , intervention , intervention , intervention , intervention , intervention , intervention , intervention , intervention , intervention , intervention , intervention , intervention , intervention , intervention , intervention , intervention , intervention , intervention , intervention , intervention , intervention , intervention , intervention , intervention , intervention , intervention , intervention , intervention , intervention , intervention , intervention , intervention , intervention , intervention , intervention , intervention , intervention , -0.276229224968706 , -0.567698201506055 , 0.788488207242946 , 0.186155493652473 , -0.00373131569555497, -0.288391227260444 , 0.609611379895297 , -0.0933779478764289 , 0.830007666510002 , -0.582491513571138 , 0.149783561308416 , -0.541541372193257 , -0.577858459678952 , 0.0605879312525106 , 0.247491492044851 , 0.00125693605751734 , 0.547814899535349 , -0.263469527793439 , -0.744807724104358 , -0.439971562464718 , -0.402410730269389 , -0.136866482435275 , -0.177517998999542 , -0.164220178044876 , -0.0583032557023315 , -0.963414204971281 , -0.500107431559988 , 0.0997481215810779 , 0.128922223528155 , -0.0379648686777581 , -0.553930602604063 , -0.0331024139602239 , -1.1816290499994 , -0.349699082509758 , -0.466266263067189 , 0.413240134535688 , -0.587659781836342 , -0.637116729680212 , 0.0264862357895342 , 0.547306423534691 , -0.856716096493743 , -0.0207852137332594 , 0.934189495418594 , -0.0107345727592032 , -0.0543807202727284 , 0.782107767255253 , 0.412297063457212 , -1.36741601301644 , -0.461472377597264 , 0.0132274078929069 , 0.119126987476014 , 0.996475524611651 , 0.7343447450798 , 0.742753523651273 , 0.813694464905322 , 0.0430532791886511 , 0.530201341003534 , -0.083594606457086 , 0.879886663090702 , 0.399392292484813 , 0.391460340907968 , 0.289681176612352 , 2.09254568253463 , 0.515884382599114 , 0.947926434397819 , 0.439578958716913 , 0.256251036594482 , -0.465505475246829 , 0.236750445394029 , 0.420048678812082 , 0.850142326043595 , 0.102139883992208 , 0.934632345493324 , -0.49268184739588 , 0.733405060306986 , 0.523958971811934 , 0.672254044813083 , 0.779406853765595 , 1.00098240102918 , 0.556983929032275 , 0.39830620553243 , -0.323879220917147 , 0.925340142486148 , 1.17000556331774 , 0.996844414287669 , 0.0829941903046169 , 2.17808065691316 , 0.217673763754796 , 1.00605220763476 , 0.619607838508085 , -0.384245620047284 , 0.68361899039311 , 0.708558287049466 , 1.17572661942618 , 0.220165334270417 , 0.0317878044980058 , 1.12690550296524 , -0.377829145459564 , 1.0333490514326 , -0.129638615315648 | 0.0000000 |
| 46 | 50 | 0.5 | 0.0 | 1.0 | control , control , control , control , control , control , control , control , control , control , control , control , control , control , control , control , control , control , control , control , control , control , control , control , control , control , control , control , control , control , control , control , control , control , control , control , control , control , control , control , control , control , control , control , control , control , control , control , control , control , intervention , intervention , intervention , intervention , intervention , intervention , intervention , intervention , intervention , intervention , intervention , intervention , intervention , intervention , intervention , intervention , intervention , intervention , intervention , intervention , intervention , intervention , intervention , intervention , intervention , intervention , intervention , intervention , intervention , intervention , intervention , intervention , intervention , intervention , intervention , intervention , intervention , intervention , intervention , intervention , intervention , intervention , intervention , intervention , intervention , intervention , intervention , intervention , intervention , intervention , 0.70719508030801 , -0.295471369608406 , 0.445584765800444 , 0.268821775354179 , -1.85462855286108 , -0.110881026725244 , 0.259014486883328 , -0.0249137236182151, -0.068283788690424 , 0.164783392617196 , 0.506805707801936 , 2.21589691806882 , 0.139702228509631 , -0.721103434384736 , -1.03420090624342 , -1.67078580816662 , 1.33847706143802 , -0.0412052381124325, -0.675243193198549 , 1.11880748555462 , -0.133623518542219 , 0.673784104553598 , 0.217762498526317 , 1.47345160320783 , 1.23584841478771 , 0.152755482515022 , 0.419540127242547 , -0.708600923027911 , -0.799886713164696 , 0.228193658603757 , -1.19521481676624 , 0.439197121515726 , 0.34919026614331 , 0.69728801829147 , 0.936519208267419 , -0.154511520789679 , 0.881726802527632 , -0.348572742913186 , -1.08124819784797 , -1.71405268853208 , 0.780559699083071 , -0.941071406854798 , -1.19827192338799 , -1.64753999632569 , -0.288345371423675 , -0.0466074863902399, -0.858890603322937 , -0.807824978329466 , -1.5308852064088 , 0.889684950009807 , -1.84901287074043 , 0.00506907015954067, 0.154569501267479 , 1.82549665910007 , 0.79094375360712 , 2.0541272067558 , 0.0880700489403395 , -0.180251700545469 , 0.402230176488737 , 1.33911084315589 , 0.663272326260072 , 0.652025644398007 , 0.347610838605503 , -0.429558253116723 , 0.297270495953838 , -0.367374288533218 , 0.735418354221302 , 1.26743339528553 , -0.105670808647552 , 0.623163571431376 , 1.75900609473259 , 1.05631175608361 , -0.376361062524639 , 1.58880215365201 , 1.62384728761348 , -0.830386631047089 , -0.380708365752026 , 1.82340817659008 , 0.481816576094365 , 0.479297002059527 , 0.0501859953956162 , 2.14675014085756 , 3.50739532394382 , -0.763448901627231 , 1.45954757219532 , -1.33575460818938 , 0.387717467122564 , -2.10427067921699 , 1.06572169096513 , -0.0988118188324362, 0.205018011633713 , -0.266555878579854 , 0.01206914544303 , -0.0607678952065602, -0.190635150558353 , -0.960090067881239 , 1.5124782595177 , 0.833886363629053 , 1.45719499493317 , 2.36841330012314 | 0.0062459 |
| 46 | 50 | 0.5 | 0.1 | 0.5 | control , control , control , control , control , control , control , control , control , control , control , control , control , control , control , control , control , control , control , control , control , control , control , control , control , control , control , control , control , control , control , control , control , control , control , control , control , control , control , control , control , control , control , control , control , control , control , control , control , control , intervention , intervention , intervention , intervention , intervention , intervention , intervention , intervention , intervention , intervention , intervention , intervention , intervention , intervention , intervention , intervention , intervention , intervention , intervention , intervention , intervention , intervention , intervention , intervention , intervention , intervention , intervention , intervention , intervention , intervention , intervention , intervention , intervention , intervention , intervention , intervention , intervention , intervention , intervention , intervention , intervention , intervention , intervention , intervention , intervention , intervention , intervention , intervention , intervention , intervention , -0.730391790271577 , -0.48348061624712 , -0.148530114289757 , 0.587411035243562 , -0.379774046525964 , 0.792613031174789 , 0.449444637455213 , -0.121768386066881 , -0.439338070266049 , -0.0396901480668112 , 0.223107591357156 , -1.04958752124472 , 0.740783766785841 , 0.511024794014832 , 0.156918297408793 , 0.273589686869739 , 0.943000533827166 , 0.783934197447132 , 0.374184849261045 , 0.28855372940541 , 1.07251759800432 , -0.00586729173310316, 0.272384717513666 , -0.247596047924848 , 0.140501194702003 , 0.937895138431695 , 0.514671677100816 , 0.867238307847205 , -0.177899208368553 , 0.0429154155636932 , -0.0819851001490753 , -0.845184455886561 , 0.00283174554785233 , 0.0503712430779887 , -1.16346731377034 , -0.207262816274436 , 0.0444868288236022 , -1.31950532324453 , 0.0548033531411075 , 0.421094516599511 , -0.244842870560808 , 0.299918144131426 , 0.396053908000928 , 0.0683481225812172 , 0.308454820152204 , 0.45608042293614 , 0.0568075005988203 , -0.246402248074461 , 0.843329765164496 , -0.834001689188758 , -0.0724033416511461 , 0.0502104703101477 , -0.164187187061529 , 0.490641782004436 , 0.80669093234244 , 0.23985377386313 , 0.784150489925247 , 0.0315071811235216 , 1.50399607295333 , 0.0889710594754864 , 0.660184617386369 , 0.351856592814121 , 0.421271074612906 , 0.637898427221012 , 0.338272823404017 , 0.487587884766562 , 0.535794860956763 , 0.572279004057578 , 1.07484178480571 , 0.471375668558308 , 0.829848709346033 , 0.348212580412069 , 0.173881368966072 , 0.516258185362572 , 1.85291022383872 , 1.31712591756626 , 0.430873965282067 , -0.00419058531050454, 0.420740242660822 , 0.682251839178119 , 0.740274416916163 , -0.701216936400178 , -0.495328546820077 , 0.329155171424084 , 0.426665318464458 , 0.575496365350887 , -0.801209867336163 , 1.25800890444719 , 0.335575596752886 , 1.16953574658841 , 0.465551085573027 , 0.566760013235162 , -0.0570266261389262 , 1.20855486372644 , 0.112001721464225 , 1.05080433422813 , 1.037629405326 , 0.681066887884622 , 0.277257222503185 , -0.29442411287561 | 0.0004806 |
| 46 | 50 | 0.5 | 0.1 | 1.0 | control , control , control , control , control , control , control , control , control , control , control , control , control , control , control , control , control , control , control , control , control , control , control , control , control , control , control , control , control , control , control , control , control , control , control , control , control , control , control , control , control , control , control , control , control , control , control , control , control , control , intervention , intervention , intervention , intervention , intervention , intervention , intervention , intervention , intervention , intervention , intervention , intervention , intervention , intervention , intervention , intervention , intervention , intervention , intervention , intervention , intervention , intervention , intervention , intervention , intervention , intervention , intervention , intervention , intervention , intervention , intervention , intervention , intervention , intervention , intervention , intervention , intervention , intervention , intervention , intervention , intervention , intervention , intervention , intervention , intervention , intervention , intervention , intervention , intervention , intervention , 0.540165547940976 , 1.10356195799921 , 0.366310578893371 , -0.59802734710581 , -0.201104693428901 , -0.333644022148175 , -0.99696966874089 , 0.524749300386445 , 1.86316158670663 , -0.870596437619596 , 0.835209663526767 , -0.23594359637351 , 0.823594146354869 , 0.95628250981908 , 0.297179512399206 , 0.980712800373638 , 2.8469794067539 , 0.48847375525149 , -0.329649533709467 , 1.74452072535619 , 0.470460871743517 , -0.056768552877387 , -0.172686140915438 , -0.125183469087581 , -0.87916708900919 , 1.88303782724761 , 1.09931796123573 , -0.0492884586127317, -0.513677608295859 , -0.806191480549947 , -0.287487576125989 , -0.947720755081637 , -0.913186228912313 , -0.620700015796339 , 2.63768381117082 , -0.220689841777369 , -1.57355681380116 , -0.345377167405075 , -0.890133015931252 , -0.175939063395671 , -0.786089813850717 , 1.53160754159985 , 1.07556888064815 , -0.94079467552004 , 1.55268854153162 , 1.74625370176363 , -0.801048592773589 , -1.18541092886358 , 1.98781911745962 , -1.0064497760779 , -0.630882952188732 , 1.68624911074304 , -0.194889979657919 , 1.61295000979553 , 0.610783095173471 , 1.21350062373907 , -0.147527590855397 , 2.01588993006241 , 0.767953357514862 , 0.492977758089114 , -1.47913734740244 , 0.224992886162709 , 1.0916241773429 , 0.291922310235551 , 1.65981235044443 , -0.0264028410258973, -0.0622651568645086, 0.150085103062341 , 0.412480263014646 , 0.78700609055941 , -0.348941452600203 , -0.81662387033711 , -1.39959514227656 , 1.10966844411972 , 0.520401970177986 , 0.0579177829648972 , 0.556358568677641 , 1.51337071249154 , -0.747146870353582 , -0.85978585850711 , 1.52030720574303 , 0.279509975908444 , 1.5200128818964 , 1.13683493017367 , 0.815817020895481 , -0.273749419103343 , 2.30434732724706 , 0.175878732957981 , -0.378824260632666 , 1.62618117503988 , 0.430071893510734 , 0.658804071557182 , 2.50911401259333 , -0.0034734274256949, -0.558948192803159 , -0.799641687276651 , 0.398192094421066 , 0.851465443472562 , 1.84016973152147 , 1.08617571462727 | 0.1495882 |
| 47 | 20 | 0.0 | 0.0 | 0.5 | control , control , control , control , control , control , control , control , control , control , control , control , control , control , control , control , control , control , control , control , intervention , intervention , intervention , intervention , intervention , intervention , intervention , intervention , intervention , intervention , intervention , intervention , intervention , intervention , intervention , intervention , intervention , intervention , intervention , intervention , -0.640364132007895 , -0.298282493659593 , 0.104045087091786 , 0.00714538741808033 , -0.256406622073034 , 0.243984925769214 , 0.288175482960047 , -0.207767063133796 , 0.33751026955685 , -0.311949520694928 , 0.299897787530572 , 0.0869566866460443 , 0.136432170190022 , 0.573982263441688 , -0.324986869801766 , -0.0200206674053429 , -0.00472071722936291, -0.504774180208232 , -1.47517909033404 , 0.407509551325232 , -0.145859128490723 , 0.00451921259884538 , 0.335761905559671 , -0.820494896821455 , 0.388183738536845 , -0.0295504695703843 , 0.288653728748011 , -0.204475804395739 , 0.474413132463962 , 0.859333884939072 , 0.365602384507157 , 0.1069816312949 , -0.584430447338783 , -0.215463568267923 , 0.17014172493547 , -1.4384849339615 , -0.415221430316909 , -0.362232442824258 , 0.131927897745763 , 0.910771639924999 | 0.6705490 |
| 47 | 20 | 0.0 | 0.0 | 1.0 | control , control , control , control , control , control , control , control , control , control , control , control , control , control , control , control , control , control , control , control , intervention , intervention , intervention , intervention , intervention , intervention , intervention , intervention , intervention , intervention , intervention , intervention , intervention , intervention , intervention , intervention , intervention , intervention , intervention , intervention , -1.79154305579002 , 1.97707635487171 , -0.297387724902161 , 0.309588123588986 , 1.8841532941668 , -1.17994795849962 , 0.503641340923059 , -0.0146428171370022, -0.0430052002038672, -1.30122956256722 , -0.807798220526637 , -0.147935294927052 , 0.635476334194118 , 0.971126906766879 , 1.11516780677152 , 0.244924775664512 , 0.452032009278808 , 0.17661716587986 , 1.00499033242868 , 0.249312717477451 , 0.656360268498294 , -0.43292731025062 , 0.895647908523425 , 1.28069120036997 , 0.123732212140368 , -0.840491776256612 , -0.802843538613402 , -1.55388401115626 , 2.28217941948635 , -0.293100381363479 , -1.91544348787148 , 0.510946454002044 , -0.821639414957905 , 0.462196452732552 , 2.69193587072977 , -0.955011027769694 , 0.383033817468265 , 0.105375687761774 , 1.53080935977618 , 0.41043048647886 | 0.9744058 |
| 47 | 20 | 0.0 | 0.1 | 0.5 | control , control , control , control , control , control , control , control , control , control , control , control , control , control , control , control , control , control , control , control , intervention , intervention , intervention , intervention , intervention , intervention , intervention , intervention , intervention , intervention , intervention , intervention , intervention , intervention , intervention , intervention , intervention , intervention , intervention , intervention , -0.25698265284963 , 0.6868996772952 , 0.419510704934239 , 0.56747810686362 , 0.311238685021408 , -0.38488845449536 , 0.863031799027543 , 0.292774917775195 , -0.16722219767733 , 0.82260761032697 , 0.31312572888779 , 0.137216091368029 , 0.0882869962484474 , 1.17223325259879 , 0.415003147856416 , 0.590951382039317 , 0.192775837850581 , 0.842483636481619 , -0.176817222283361 , 0.659460605323755 , 0.385242235374345 , 0.451545307911921 , -0.820880667865584 , 0.495337988067756 , -0.294444010546358 , -0.538319022880434 , -0.15038424394467 , -0.198636685751025 , 0.2416320229849 , 0.00570716543148126, 0.0704761290593519 , 0.608321224100226 , -0.054030958584743 , 0.215631740967489 , 0.365751645021279 , 0.236049964585379 , -0.189141817680154 , 0.819645224972244 , 0.81827510583128 , 0.0967870683857373 | 0.0784168 |
| 47 | 20 | 0.0 | 0.1 | 1.0 | control , control , control , control , control , control , control , control , control , control , control , control , control , control , control , control , control , control , control , control , intervention , intervention , intervention , intervention , intervention , intervention , intervention , intervention , intervention , intervention , intervention , intervention , intervention , intervention , intervention , intervention , intervention , intervention , intervention , intervention , -0.575615149150276, -1.17728316524825 , 0.605124243867419 , -1.0453665423461 , -1.09917063491136 , 0.585453288045803 , 0.866314928973265 , -0.952542295923351, 0.649284184691331 , 0.124417606195493 , 1.59590761344699 , 0.824715192174304 , -0.621619479952507, -0.223152985352152, 0.347951812747141 , -1.26539342970972 , 0.786397656170007 , -1.37246850735994 , 1.25813196327823 , -0.139102785119598, -1.79880547460054 , -1.2585145198308 , -0.518116547741843, 0.315839879796909 , -0.231619308596106, 0.753509257127946 , -1.21614132269777 , 0.285247091911372 , -1.10828235500235 , 0.750634691948413 , 0.51549491071457 , 1.27865357304176 , -1.81819204839849 , -0.185945884360041, 0.459454867086906 , -0.351322454950512, 0.650648958037783 , -0.283846332203432, -3.00032332139601 , 1.65460921121234 | 0.5235096 |
| 47 | 20 | 0.5 | 0.0 | 0.5 | control , control , control , control , control , control , control , control , control , control , control , control , control , control , control , control , control , control , control , control , intervention , intervention , intervention , intervention , intervention , intervention , intervention , intervention , intervention , intervention , intervention , intervention , intervention , intervention , intervention , intervention , intervention , intervention , intervention , intervention , -0.467452700291001 , 0.203251180009531 , -0.00434790446808549, -0.308298378510495 , -0.0497337123699903 , -0.165067208249349 , -0.884565813414699 , 0.0384445454841487 , 0.383763573794941 , 0.470969853768872 , 0.412480766808641 , 0.983906648743745 , 0.12009501176242 , -0.106104492673371 , 0.142301366979953 , 0.483554520028786 , 1.14664998148154 , -0.0943688891704773 , 0.585947371000379 , -0.207666200372658 , 0.483048599164994 , 1.13229801364601 , 0.37589776494878 , 1.12508272364215 , 0.470703957943315 , 0.50705352877811 , 0.255280996796637 , -0.0214973081389134 , 1.06771364579023 , 1.32135695935053 , -0.367159950310643 , 0.278262499527791 , 0.391615756694362 , 0.397491336649362 , 0.865142622433016 , 1.22964547427538 , 0.718346602287667 , 1.19255306080522 , 0.578818884033446 , 0.620394934441088 | 0.0016134 |
| 47 | 20 | 0.5 | 0.0 | 1.0 | control , control , control , control , control , control , control , control , control , control , control , control , control , control , control , control , control , control , control , control , intervention , intervention , intervention , intervention , intervention , intervention , intervention , intervention , intervention , intervention , intervention , intervention , intervention , intervention , intervention , intervention , intervention , intervention , intervention , intervention , -1.02518266120749 , -0.39218889354938 , 0.233765974316768 , -0.34562278683074 , 0.904224772475135 , -0.662825064290013 , 0.58597983485012 , -0.341759009083819 , -0.848486669228399 , -1.34149082350692 , 0.293059482184292 , -0.481265242793659 , 0.91515497346159 , -1.12520962578314 , -0.451081661312918 , -0.664013722948051 , 0.481486072701078 , -0.721302798512123 , -1.75688933218928 , 1.12679838032016 , 0.798764783047849 , 0.861969239717352 , 2.62887257720894 , 1.40322926504917 , -0.259257070730378 , 0.505110705567223 , 3.02816328054016 , 1.03212173471778 , -0.160617680758145 , -0.300792548287646 , 1.72325398051045 , -0.0806625118985504, 1.25620193900318 , 1.06063294247536 , 2.16913016550653 , 1.6218149288667 , 1.00149444383729 , 1.3630771875596 , -1.08843866258658 , -0.151633346231168 | 0.0002363 |
| 47 | 20 | 0.5 | 0.1 | 0.5 | control , control , control , control , control , control , control , control , control , control , control , control , control , control , control , control , control , control , control , control , intervention , intervention , intervention , intervention , intervention , intervention , intervention , intervention , intervention , intervention , intervention , intervention , intervention , intervention , intervention , intervention , intervention , intervention , intervention , intervention , -0.125597420933362 , -0.32710822378254 , 0.344421339181444 , -0.719646089191385 , -0.071123542679138 , 0.548228893469731 , 0.774783664536846 , 0.619407521503534 , -0.531187854025004 , -0.612045009146973 , -0.966152718419679 , -0.341928484361387 , 0.203237223005025 , 0.596984395231738 , 0.680438977581651 , 0.607755289047871 , -0.286184409746817 , 0.211051871569587 , -0.0577551111163775, 0.14356225793785 , -0.366420646721268 , -0.539607141120173 , -0.100029367030259 , 0.1318533700669 , -0.593171463406633 , -0.149327565626173 , 0.348389598641898 , -0.369465960194194 , 1.17554686355399 , -0.449572831393876 , 0.795343355068144 , 0.340368539046759 , 0.338038256843499 , 0.821963716743609 , 0.42245638908547 , 0.292677085638928 , 0.479332699093239 , 0.700417343777651 , 0.71506675051011 , 0.860667259965462 | 0.2154756 |
| 47 | 20 | 0.5 | 0.1 | 1.0 | control , control , control , control , control , control , control , control , control , control , control , control , control , control , control , control , control , control , control , control , intervention , intervention , intervention , intervention , intervention , intervention , intervention , intervention , intervention , intervention , intervention , intervention , intervention , intervention , intervention , intervention , intervention , intervention , intervention , intervention , -0.0528664965586965, -1.24634897211539 , -0.55578211863554 , -0.254213210166855 , 0.721815110076787 , -0.465432082675502 , 1.40134522859772 , 1.13272529046188 , 0.487529625460601 , -0.815715551110833 , 1.48551225241758 , 0.720085628305742 , -0.777143921141615 , 0.377135840428494 , 1.11986611706103 , 0.0334202613948544 , -0.166378059695056 , 1.78292537362005 , 0.263442130163731 , 0.149648725826389 , 1.0176566596346 , 2.29297523230006 , 0.17458364913181 , 1.28015633169124 , 1.27493312663571 , 2.24319559192411 , 0.621132498342263 , 0.690043262052202 , 0.611506715448296 , -0.095165306586943 , 0.665533820999239 , 2.55553909220233 , -0.898852151395434 , 0.572493299827015 , -0.857701064396075 , -0.78506335775586 , 0.749345822864497 , 1.09900556302543 , 2.1056908824067 , 0.611805990809139 | 0.0787797 |
| 47 | 50 | 0.0 | 0.0 | 0.5 | control , control , control , control , control , control , control , control , control , control , control , control , control , control , control , control , control , control , control , control , control , control , control , control , control , control , control , control , control , control , control , control , control , control , control , control , control , control , control , control , control , control , control , control , control , control , control , control , control , control , intervention , intervention , intervention , intervention , intervention , intervention , intervention , intervention , intervention , intervention , intervention , intervention , intervention , intervention , intervention , intervention , intervention , intervention , intervention , intervention , intervention , intervention , intervention , intervention , intervention , intervention , intervention , intervention , intervention , intervention , intervention , intervention , intervention , intervention , intervention , intervention , intervention , intervention , intervention , intervention , intervention , intervention , intervention , intervention , intervention , intervention , intervention , intervention , intervention , intervention , -0.0292259769604323 , -0.489055541384771 , -0.00821144298864898, -0.719608618794054 , -0.0452732059482558 , 0.433914009768515 , -0.0216782191619371 , 0.0137437173715675 , -0.127357170597987 , -0.277786053460205 , -0.50641879660533 , -0.580762048284892 , -0.194674474412799 , -0.301860582293464 , 0.344644244907651 , -0.556128997860214 , 0.345534963630957 , 0.248516949839217 , -0.0465861446406739 , 0.300194541160476 , -0.115324238247806 , -0.463502910211011 , -0.117419613788121 , 0.38362388636313 , 0.220564640718904 , -0.834761101868966 , 0.688179900486896 , 0.0500239147909357 , -0.271510412075747 , -0.785772386944789 , 1.20261491252035 , -0.0845706619887735 , 0.35448050433086 , 0.717404523495071 , 0.354430207333795 , 0.142797658327645 , -1.51033865081246 , 0.400190010229458 , -0.320536755586533 , 0.473756365486703 , 0.47527145803016 , 0.248495405441386 , 0.16281287840686 , -0.672383718696303 , 0.392594809033721 , 0.646377059336383 , 0.154071932386154 , -0.459976533416919 , 0.581275025433968 , -0.466312297987668 , -0.863839254226884 , -0.235060562883076 , -0.150262605003503 , -0.189767587106029 , 0.380128242036575 , -0.523543759176822 , 0.400279318464732 , 0.631297675668346 , -0.842400638490283 , 0.66580396699845 , 0.269976580262042 , 0.591684526567531 , 0.417703183963033 , 0.692708187155552 , -0.653888964127785 , -0.235177824360299 , -0.340689365004755 , 0.35774037631359 , 0.154544231508438 , 0.218246608620136 , 0.0925564703909389 , 0.327333813914622 , -0.0522900365204457 , 0.398224471725978 , 0.128430094883336 , -0.0635822347255535 , -0.854132153547116 , -0.532845409990316 , 0.146877079468115 , 0.0537573756014302 , 0.178568870117915 , -0.854392980114008 , -0.407264301536725 , -0.960660594958236 , -0.206643481932943 , -0.177479840651594 , 0.555330692763962 , 1.15341635076377 , 0.441356359491167 , 0.162278929573259 , -0.047304972034367 , -0.276760214562391 , 0.113456138187888 , 0.127536119811833 , 0.170288516883499 , 0.821841832879905 , 0.347349312087917 , 0.267409194116488 , -0.941706914970573 , -0.0946446526162218 | 0.7716498 |
| 47 | 50 | 0.0 | 0.0 | 1.0 | control , control , control , control , control , control , control , control , control , control , control , control , control , control , control , control , control , control , control , control , control , control , control , control , control , control , control , control , control , control , control , control , control , control , control , control , control , control , control , control , control , control , control , control , control , control , control , control , control , control , intervention , intervention , intervention , intervention , intervention , intervention , intervention , intervention , intervention , intervention , intervention , intervention , intervention , intervention , intervention , intervention , intervention , intervention , intervention , intervention , intervention , intervention , intervention , intervention , intervention , intervention , intervention , intervention , intervention , intervention , intervention , intervention , intervention , intervention , intervention , intervention , intervention , intervention , intervention , intervention , intervention , intervention , intervention , intervention , intervention , intervention , intervention , intervention , intervention , intervention , 1.1572192545253 , 0.13428341484567 , 0.668047191749976 , 1.02546806614346 , -0.945513568488781 , 1.59780442021925 , 1.9868700035602 , -0.729544858152131 , 1.15446824975534 , 0.94298393144761 , -0.52293288625274 , -0.864565791288216 , -0.779675422211931 , -1.15112743660327 , -0.0303029411117152, 1.1538450135295 , -0.182561669619008 , 0.834552600805209 , -1.43615178269407 , 0.0630837528291219 , -0.711934626262054 , 0.389600254109328 , -1.16553967314157 , 0.456377278315732 , -0.532320324803892 , 0.535673328664884 , 0.782166782722769 , -0.676718520591511 , 0.425313179285059 , -0.0627201802572905, 1.09406975558511 , -0.356909009615686 , 2.62882041692878 , 0.932751978615081 , -1.31989831571126 , 0.552675228452911 , -0.541394404420216 , -0.101253644994058 , 1.1566878749758 , -0.413569285518115 , -0.060097822683828 , 1.28995116693944 , 1.01477332396028 , 0.560279510268465 , -0.302013972785602 , -1.3484901988597 , 0.0842557084778119 , 0.180667340796722 , -0.04903126605871 , -0.708635117397928 , 0.922087208863566 , 1.47058331524962 , -0.646845651331894 , -1.55796293911768 , -1.2264471337231 , -1.1144315596785 , 0.322407992638351 , 0.584246935108254 , -0.242390017489012 , -0.957058005882139 , 0.538869794940917 , -1.87896031457109 , 0.31372938044102 , -0.33605286757058 , -1.6490310011059 , 0.781923694198966 , -1.20332072074536 , -2.01604955873187 , -1.64385975528742 , 1.07950467531855 , -1.71911708508831 , 0.468055691527621 , 1.00368163604878 , 0.145239389311111 , 0.207294574348133 , 1.59472888288578 , -0.146482958498042 , 2.06641122616958 , 0.0317551843739831 , 1.19319285075829 , -0.180370533808732 , 0.152142795037836 , -0.202180906223374 , 1.50198317846834 , 0.720677328534095 , 1.12847022226608 , 0.261800771413121 , 1.45175783880015 , -2.06983379587184 , -1.0550719120653 , -0.332758507223528 , 1.0368844185325 , 0.453234229433709 , 0.698888492340865 , -0.0860395881878577, 1.70863786128786 , 0.782526856155322 , -0.594780236447188 , 0.0539721342594848 , -0.124442956525589 | 0.5421978 |
| 47 | 50 | 0.0 | 0.1 | 0.5 | control , control , control , control , control , control , control , control , control , control , control , control , control , control , control , control , control , control , control , control , control , control , control , control , control , control , control , control , control , control , control , control , control , control , control , control , control , control , control , control , control , control , control , control , control , control , control , control , control , control , intervention , intervention , intervention , intervention , intervention , intervention , intervention , intervention , intervention , intervention , intervention , intervention , intervention , intervention , intervention , intervention , intervention , intervention , intervention , intervention , intervention , intervention , intervention , intervention , intervention , intervention , intervention , intervention , intervention , intervention , intervention , intervention , intervention , intervention , intervention , intervention , intervention , intervention , intervention , intervention , intervention , intervention , intervention , intervention , intervention , intervention , intervention , intervention , intervention , intervention , -1.08778278100496 , 0.919465832708068 , -0.180530200580581 , 0.304185701155204 , 0.496535957657432 , 0.323907812287151 , -0.547809278272681 , -0.546238501305802 , 0.0773087858467616 , 0.0507776499194666 , 0.266542657171124 , 1.17164598684476 , 0.469804047116727 , -0.165356186761132 , 0.883796158519587 , 0.460861898825366 , -0.735297017364597 , -0.199235269726588 , 0.130428759869087 , 0.339441746968771 , 0.781578687153873 , 0.581912401178296 , 0.0202773294067868 , 0.386491377665391 , 1.33683946887126 , 0.482099671356137 , 0.348777303823936 , 0.555935127420163 , -1.09862877469236 , -0.228624899592045 , 0.12783456315267 , 0.761803588369906 , -0.514052892025701 , 0.473886070178774 , -0.631912044475626 , -0.443688499516065 , -0.686075983528621 , 0.441933347663806 , 0.750156569306477 , 0.528899871794401 , -0.341620068027477 , 0.00930117473174129, 0.306733351824483 , 0.284682237810977 , 0.59230901337996 , 1.15436413076523 , 0.961290091953625 , -0.106173075563594 , 0.289305695767595 , 0.278672251246843 , -0.205054007465112 , 0.682514581394286 , -0.70053638976535 , -0.826566077641336 , 0.396784172247594 , -0.800952180666388 , -0.197992099475382 , 0.19686818813585 , 0.414743390187775 , -0.412658412967088 , 0.519466448320329 , 0.4200613379705 , 0.0532746523636384 , -0.566970260449145 , 0.0477820283585856 , -0.529934179893835 , -0.41711766457538 , 0.422898741764377 , 0.417389566134218 , 0.134106496584874 , 0.534645358376989 , -0.794905102961417 , -0.115024768265172 , 0.215873984193489 , -0.697424584986711 , -0.153511736903313 , -0.0623421448092322, 0.644489497715692 , -0.458066764254384 , -0.296689365251749 , 0.240451747456002 , -0.430639894216751 , -0.814597750572279 , 0.387957009737059 , 1.50086521646963 , 0.313069677351077 , 0.150538933285219 , -0.151849155366374 , -0.578827739714998 , 0.774149148134533 , 0.381371018363738 , -0.12998162966445 , 0.327168091761858 , -0.25732337475752 , -0.360242590643796 , 0.0901984889479564 , 0.775330190235876 , 0.00894189038367425, 0.167667538577182 , -0.0612776127009511 | 0.0736327 |
| 47 | 50 | 0.0 | 0.1 | 1.0 | control , control , control , control , control , control , control , control , control , control , control , control , control , control , control , control , control , control , control , control , control , control , control , control , control , control , control , control , control , control , control , control , control , control , control , control , control , control , control , control , control , control , control , control , control , control , control , control , control , control , intervention , intervention , intervention , intervention , intervention , intervention , intervention , intervention , intervention , intervention , intervention , intervention , intervention , intervention , intervention , intervention , intervention , intervention , intervention , intervention , intervention , intervention , intervention , intervention , intervention , intervention , intervention , intervention , intervention , intervention , intervention , intervention , intervention , intervention , intervention , intervention , intervention , intervention , intervention , intervention , intervention , intervention , intervention , intervention , intervention , intervention , intervention , intervention , intervention , intervention , 2.13210131504444 , 1.286562413725 , 0.792904542536756 , -1.38747615281647 , 0.493053827689972 , 1.23539779010027 , 1.12764299907337 , 1.16548216363422 , 0.771469223098956 , 0.0219501859098856 , -0.0493599767356048, -1.24214921871719 , 0.35735121985889 , -0.629090435458709 , 0.454813712419338 , -1.28829779370249 , 0.466466115823802 , -0.627688870319675 , -0.861709514796462 , -0.854705803343247 , 0.6988416596384 , -1.54142816761415 , -1.0469489163628 , 0.610960050766358 , 0.827384582923045 , -0.408051453854886 , -0.0475294109131037, 0.517409073086245 , 0.293364333194674 , 0.525092233370151 , -1.2350148843086 , 0.714198425301035 , -0.967660670374938 , -0.527293053819414 , -0.0809733760870641, 0.0955217292751293 , 0.230859840091677 , -1.00603169699524 , 0.708917646326471 , -0.336288562824313 , 1.31615018638081 , -0.182061784808301 , 0.893527736476445 , -1.38656417747195 , 1.67935813776317 , -1.48895349357156 , 0.786464074792085 , 0.0137571237745645 , 0.561240486130522 , -0.790199694581413 , 0.111213536345822 , 0.904943347350617 , 0.272678867933934 , 0.69057828750406 , -1.14136494908649 , 0.976489156704315 , 0.644871977187259 , -0.179870148947388 , 0.555784411331248 , 0.974516190874336 , -0.702357470510631 , -1.2629578967943 , -1.37402381864286 , -0.0843778940027434, -1.74048621075701 , -0.237122056454622 , 0.607229217589938 , -1.07477880985356 , -0.841294340609246 , 0.292376381169728 , 0.337992314084991 , 1.17231361447379 , -0.857776496711976 , 0.112616214045911 , 0.17358904767899 , -0.504863815247235 , -1.39347941556644 , 0.306964224068754 , 1.49450786176741 , -2.28952492264288 , -1.47146272377994 , -0.153473030924412 , 0.62366183522901 , 0.213434989461716 , -1.28529735732436 , 0.488558545531082 , -1.81788703238198 , -0.157150102616047 , 1.02589131978684 , -0.2186275266365 , -0.436013913942624 , 0.135832829361201 , -0.348823021495699 , 2.05044321785862 , 1.23119524737414 , -1.65978028606903 , 1.20166522096005 , 0.644393702310636 , -2.14070500112649 , 0.981319656402706 | 0.4165600 |
| 47 | 50 | 0.5 | 0.0 | 0.5 | control , control , control , control , control , control , control , control , control , control , control , control , control , control , control , control , control , control , control , control , control , control , control , control , control , control , control , control , control , control , control , control , control , control , control , control , control , control , control , control , control , control , control , control , control , control , control , control , control , control , intervention , intervention , intervention , intervention , intervention , intervention , intervention , intervention , intervention , intervention , intervention , intervention , intervention , intervention , intervention , intervention , intervention , intervention , intervention , intervention , intervention , intervention , intervention , intervention , intervention , intervention , intervention , intervention , intervention , intervention , intervention , intervention , intervention , intervention , intervention , intervention , intervention , intervention , intervention , intervention , intervention , intervention , intervention , intervention , intervention , intervention , intervention , intervention , intervention , intervention , -0.488062761547137 , 0.439705892700931 , -0.0323798786982882, 0.64998676288697 , 0.548828371817593 , 0.110791254784603 , 0.546571180856619 , 0.852917550248531 , 0.0311403529650213 , -0.298595820120448 , -0.794857992959077 , 0.159053742082035 , 0.1559754547998 , 0.638850118606373 , 0.491771265735289 , -0.239914357935631 , 0.184448020368299 , 0.0871097247660677 , 0.348246725499352 , -0.326127562147493 , 0.124765730681282 , 0.517978753742562 , -0.104476136195854 , 0.0914742000051758 , -0.255076696332394 , -0.037773029648189 , 0.496085585717973 , -0.0695524492811365, -0.604286553997208 , 0.510908517169161 , 0.365314595693584 , 0.00730486694276379, 0.221477721160625 , 0.931404675667223 , -0.58294106024605 , 0.0578420069444146 , 0.32156556062268 , 0.013491121758929 , 0.555804903898664 , 0.186812914890305 , 0.504331998965649 , -0.683386582623407 , -0.702499105279587 , 0.487474199374766 , 0.0321647269964358 , 0.340931997212163 , 0.322496938699223 , 0.189902356636667 , -1.03243530523398 , 0.315557995785697 , 0.455028231046445 , 0.123890409713834 , -0.174164472594261 , 1.43491639929739 , 1.08418272895756 , 1.65086616393358 , 0.478718727416257 , 0.900834599938337 , -0.715085407469611 , 1.00509422500786 , 0.353258186905403 , 0.874195482746427 , 0.472760067425664 , 0.396668869894448 , 0.743158385808121 , 1.39046742568625 , 0.895581175920933 , 0.662537764640119 , 0.564953415062715 , 0.171653847449432 , 0.712808039091913 , 1.12287040256 , 0.739782546582808 , 1.44607974172701 , 1.20739774980096 , 0.590589654849461 , -0.789056515446986 , 0.525763918174297 , 0.702212507318086 , 0.762967760093864 , 1.10538308187627 , 0.771045850134443 , 0.729850398800981 , 1.1030786633066 , 1.35665890825929 , 0.762748780704662 , -0.117129142545976 , 0.0623387535956419 , 0.119601292749473 , 0.873868010164346 , 0.44067113172314 , -0.563760298454623 , 2.23149069640777 , 0.809372444984057 , 1.15387950316639 , 1.09740378701738 , -0.0534300039858476, -0.30434031494562 , 0.645447234529628 , 0.753376168003495 | 0.0000010 |
| 47 | 50 | 0.5 | 0.0 | 1.0 | control , control , control , control , control , control , control , control , control , control , control , control , control , control , control , control , control , control , control , control , control , control , control , control , control , control , control , control , control , control , control , control , control , control , control , control , control , control , control , control , control , control , control , control , control , control , control , control , control , control , intervention , intervention , intervention , intervention , intervention , intervention , intervention , intervention , intervention , intervention , intervention , intervention , intervention , intervention , intervention , intervention , intervention , intervention , intervention , intervention , intervention , intervention , intervention , intervention , intervention , intervention , intervention , intervention , intervention , intervention , intervention , intervention , intervention , intervention , intervention , intervention , intervention , intervention , intervention , intervention , intervention , intervention , intervention , intervention , intervention , intervention , intervention , intervention , intervention , intervention , -0.546657345000656 , 0.154099386438242 , -1.30416972869315 , 0.912588749469999 , -1.38594303941449 , -1.46740804483249 , 0.182678087358865 , -0.0870615693105981 , -1.11949376856555 , 1.1732151225652 , -0.201628057399148 , -2.54527787010672 , -1.02661528108735 , -1.38837500520887 , -0.882557432545257 , -1.04249041259514 , 0.799565308423898 , 0.0440213683880208 , 1.33290932768818 , -0.974993085250241 , 2.27634099044059 , -0.835689447622209 , 0.0800012195352706 , -0.723239657842569 , -1.1125037423516 , 0.648109056396842 , -0.383980238510164 , -0.00946958101483449, 0.182139563260625 , -0.602271238848221 , -0.0619167860929271 , 0.405749130215447 , 0.623638257256455 , 0.0402597659663157 , -0.79718264834484 , -1.07398430421436 , 1.46936426657649 , -1.22915020659949 , -0.352038288313695 , 0.34777839697688 , -2.19820881896956 , -1.64199000423788 , -0.15189047839918 , 0.452313838421729 , 0.970598213117644 , -0.117428627888836 , -1.35255926259082 , -0.966594334005757 , 1.43245700441065 , -1.27711338236441 , 0.917534302123286 , -0.408889850587148 , 1.54326236918263 , -0.178955538311104 , 0.328714743016873 , 0.120080515361502 , -0.27440667828064 , 1.18477566729551 , 0.291312628897445 , 1.09769704821741 , 0.60485049748544 , -0.118716418970012 , 1.84913801927173 , 0.547990832311654 , -0.302782217000111 , 1.27884350360373 , -0.778221851637146 , 1.62336219694848 , 1.50329064032897 , -0.0799219653329968 , 2.41759227733888 , 0.0368232571260259 , 0.561554282788678 , -0.968498660592169 , 1.69859779633189 , 1.61470687895673 , 0.597615006929621 , -0.437104682548481 , 1.36577088477928 , 0.444448585972131 , -0.554748489906906 , -1.68781788131835 , 1.08164852030587 , 1.60722062359264 , 0.786410785780967 , -0.465422666648769 , -0.19211524031599 , 1.45082695822172 , 0.403388416441032 , -2.10663790948183 , 0.0251581443853958 , -0.758421170921741 , 0.485935199759068 , 0.186940409356836 , -0.856934091904 , 0.663589228934167 , 1.81990261392512 , 1.61115105098076 , 1.13405167708278 , 0.335804016259922 | 0.0001867 |
| 47 | 50 | 0.5 | 0.1 | 0.5 | control , control , control , control , control , control , control , control , control , control , control , control , control , control , control , control , control , control , control , control , control , control , control , control , control , control , control , control , control , control , control , control , control , control , control , control , control , control , control , control , control , control , control , control , control , control , control , control , control , control , intervention , intervention , intervention , intervention , intervention , intervention , intervention , intervention , intervention , intervention , intervention , intervention , intervention , intervention , intervention , intervention , intervention , intervention , intervention , intervention , intervention , intervention , intervention , intervention , intervention , intervention , intervention , intervention , intervention , intervention , intervention , intervention , intervention , intervention , intervention , intervention , intervention , intervention , intervention , intervention , intervention , intervention , intervention , intervention , intervention , intervention , intervention , intervention , intervention , intervention , 0.779104670984306 , 0.242999415914654 , -0.0715292062050512 , 0.173325639893895 , 0.416061359345243 , 0.193623062836746 , 0.610136022205836 , 0.316059353752372 , -0.395881301892028 , -0.647848620421651 , -0.000555310305017154, -0.0401313886560974 , -0.724315916380909 , 0.770294878229979 , 1.36604417049955 , 0.597921359209647 , -0.28186048146858 , 0.481239354725568 , 0.1428791467571 , 0.0399278743375629 , 0.650381467913203 , -0.289708630116543 , 0.446475344963341 , -0.22190492252888 , -0.284462013804618 , 0.0689463012150198 , -0.0542689972805222 , -0.324023679398492 , -0.648798839336784 , 0.565024911599709 , -0.542781198655162 , -0.510195270559115 , 0.599632829936436 , 0.430111784227464 , -0.977707317156257 , 0.59244573171391 , -0.287815846365769 , -0.208380568808764 , 0.252420057384519 , 0.573445847655898 , 0.45629691308439 , 0.549990595186911 , -0.740758782134874 , 0.659524427144245 , 0.41209821588442 , 0.547150612455672 , 0.246683901809144 , 0.29181423296336 , 0.270432101487453 , -1.02095861186871 , 0.544741160782554 , 0.42444658234935 , 0.0456038546317911 , 0.924128380231226 , 0.171526489514651 , 1.44592953680094 , -0.698849998606728 , 1.40037557605655 , -0.226610926670028 , -0.0498512576338411 , 0.173155298937881 , 0.78541750730981 , 0.748508557583287 , 0.270351397622937 , 0.88997870016103 , -0.162907048499512 , 0.483256753774703 , 0.196151631667983 , 0.499807779042848 , 0.297928796107133 , 0.0396216541094243 , 0.663508634276795 , 0.10958954461061 , -0.40942635096992 , 0.106827446560283 , 0.347953670217081 , 0.226541529083987 , -0.349515564503799 , -0.177068559743989 , 0.426009645835618 , 0.712351274805711 , 0.527344685493726 , 1.42118821920816 , 0.427734226364623 , 0.344773246898397 , 0.519116923795556 , -0.260593351976756 , 0.522970982519027 , 0.722737577921741 , 0.0971574900167324 , -0.204036774571398 , 0.321517283558728 , 0.861445651743864 , 1.33116863854559 , 0.490129841691152 , 0.617942953990015 , 1.20115769490613 , 0.645069053660223 , 0.112137315574425 , 0.634559021821694 | 0.0039171 |
| 47 | 50 | 0.5 | 0.1 | 1.0 | control , control , control , control , control , control , control , control , control , control , control , control , control , control , control , control , control , control , control , control , control , control , control , control , control , control , control , control , control , control , control , control , control , control , control , control , control , control , control , control , control , control , control , control , control , control , control , control , control , control , intervention , intervention , intervention , intervention , intervention , intervention , intervention , intervention , intervention , intervention , intervention , intervention , intervention , intervention , intervention , intervention , intervention , intervention , intervention , intervention , intervention , intervention , intervention , intervention , intervention , intervention , intervention , intervention , intervention , intervention , intervention , intervention , intervention , intervention , intervention , intervention , intervention , intervention , intervention , intervention , intervention , intervention , intervention , intervention , intervention , intervention , intervention , intervention , intervention , intervention , 1.0682428624892 , 0.792615317269447 , 2.02106691555433 , 1.18722865796773 , 1.37350924139574 , -0.348414195386985 , 2.15394360017579 , 1.75983934767105 , 0.0194637946684729 , 0.220108965747448 , 0.377170235739167 , -0.0176635533866724, -0.389695782532063 , -0.128890818701165 , 0.17657407621921 , -1.22077318439804 , 1.59487968173525 , -0.103294191961532 , -1.11582956518839 , -1.16925141493485 , 1.25814254188486 , 0.737307457874437 , 0.433596715506458 , -0.380325794076472 , 0.547920133026025 , 1.1085677098315 , 0.684942288884026 , -1.1259825855037 , -0.330005301704996 , 1.58979824906402 , 0.395444097394794 , -0.273650000075294 , 0.16324870490487 , 0.0632591396547239 , 0.618119146781549 , -0.730555544586155 , -0.389998311696814 , 0.0665886950396931 , 0.171937987533035 , -1.4102160516762 , 0.161024212742512 , -0.361939526888258 , 1.11395351263461 , -0.76408589617146 , -0.323254596560494 , 1.21198071248769 , -0.38886681727078 , 1.42296165486185 , 0.241576862668148 , 1.11034314215208 , 0.242125742169889 , 0.483229897620179 , -0.403434622150693 , -1.38987783936019 , 2.72638889149927 , 1.69453625475628 , 1.27161119576365 , 1.05272656187892 , 1.01592668890023 , -0.262631605451986 , -0.931039380555225 , 1.41334999460615 , 0.354633498095569 , 0.287029303190374 , -1.23920381318646 , 1.20508866854327 , 0.657169497379323 , -0.313174030855069 , 0.523232497026006 , -0.418489881971946 , -0.700887082272768 , 1.50734500652809 , -0.706682040559647 , 1.15095502989911 , -1.00842714841239 , -1.16445709794999 , 1.13125962871719 , -0.576327835625533 , -0.372039462359576 , -0.151185687552689 , -0.291305731008667 , -1.32619631599609 , 0.5875649466875 , -0.333553611758226 , -0.2646183572512 , -0.1808364944087 , 1.77665254675339 , 1.99861972961768 , -1.90013340674904 , -0.36945032051489 , 1.83431876321486 , 0.377841573224926 , 1.83409260908995 , 0.299986065297662 , -1.72961223902214 , 1.36031579100475 , 0.46567185815356 , 1.17422175038862 , -0.351149895899989 , 1.87286531796756 | 0.9234820 |
| 48 | 20 | 0.0 | 0.0 | 0.5 | control , control , control , control , control , control , control , control , control , control , control , control , control , control , control , control , control , control , control , control , intervention , intervention , intervention , intervention , intervention , intervention , intervention , intervention , intervention , intervention , intervention , intervention , intervention , intervention , intervention , intervention , intervention , intervention , intervention , intervention , 0.938851518387686 , -0.495599367568495 , 0.308645641326991 , 0.476797875715279 , -0.0144245243972426, 0.00445526888312468, -0.711129639141039 , 0.102036282497469 , 0.280328501287588 , -0.28022664483466 , -0.517033763507122 , 0.558641380931523 , 0.258495065168177 , 0.600112456310557 , 0.775346861492674 , -0.0822570554555761, -0.129326591324488 , -0.364518614178513 , -0.52854670882919 , -0.632330909520114 , 0.341132669416697 , -0.103531778095037 , -0.392717208579063 , 0.342175997841752 , 0.178970296631863 , 0.840202366170532 , -0.393751879947443 , 0.194980799714868 , 0.59532368246346 , -0.649947918720457 , 0.649761204434956 , 0.330335153846739 , -0.163743253266759 , 0.960658596321896 , 0.138676621689647 , 0.201913969849319 , -0.124373336388137 , -0.156137205662919 , 1.1181333795417 , -0.519455000368188 | 0.3667448 |
| 48 | 20 | 0.0 | 0.0 | 1.0 | control , control , control , control , control , control , control , control , control , control , control , control , control , control , control , control , control , control , control , control , intervention , intervention , intervention , intervention , intervention , intervention , intervention , intervention , intervention , intervention , intervention , intervention , intervention , intervention , intervention , intervention , intervention , intervention , intervention , intervention , 0.677996094525835 , 0.136390429716214 , 1.89870885129665 , 0.90355750348877 , 0.319922216643588 , 0.151440296271961 , -0.38102771781305 , -0.795841106926641, 2.00240924915963 , -1.38744573937937 , 0.51851337360818 , -0.484278820567308, -0.167029602891148, -0.247635820632703, 1.29874367483772 , 0.0495397466500495, -1.36493731168781 , -0.619378090822583, 0.507747677933315 , -1.63578526821419 , -1.24832326657315 , 0.72952350372909 , -0.419920461525387, -1.69665512643651 , 1.12761228893893 , 0.0819492203986279, 0.697207573349207 , -1.55922910433328 , -0.681854970529073, 1.39574104226681 , -0.685507936816274, -0.995809274576674, 0.26068198788546 , 1.77799520513021 , 1.47550506828137 , 0.723503722081113 , -0.923237305439356, 0.748023458572822 , 0.0763732756827761, 1.43156181696826 | 0.8883566 |
| 48 | 20 | 0.0 | 0.1 | 0.5 | control , control , control , control , control , control , control , control , control , control , control , control , control , control , control , control , control , control , control , control , intervention , intervention , intervention , intervention , intervention , intervention , intervention , intervention , intervention , intervention , intervention , intervention , intervention , intervention , intervention , intervention , intervention , intervention , intervention , intervention , -0.553784856980293 , -0.116951129279083 , 0.129584424875284 , -0.130708803584135 , -0.247957815452058 , 0.420561287067122 , 0.346566497376501 , 0.549906592990006 , -0.76835383029184 , 0.41730846847697 , -0.326626768729121 , 0.2239432847723 , 0.742474883054183 , 0.0650582454776415 , -0.0807829598247347, 0.298225208890878 , 0.233598938377039 , -0.493898437934228 , 0.729001318300259 , 1.29092859129218 , -0.604210225373904 , -0.48003261487287 , -0.26345215161602 , 0.809813592116347 , -0.192582053575588 , -0.0468553318793652, -0.39022829060191 , -0.407709013317712 , 0.915257266511519 , -0.414927220054296 , -0.308623429680646 , 0.498010752840106 , 0.171377425531197 , -0.130395964158394 , -0.136167516316965 , 0.293138953610949 , 0.801760504638602 , -0.287743319789259 , 0.251860281973744 , -0.184897413102227 | 0.3552793 |
| 48 | 20 | 0.0 | 0.1 | 1.0 | control , control , control , control , control , control , control , control , control , control , control , control , control , control , control , control , control , control , control , control , intervention , intervention , intervention , intervention , intervention , intervention , intervention , intervention , intervention , intervention , intervention , intervention , intervention , intervention , intervention , intervention , intervention , intervention , intervention , intervention , -0.285377526462512, 0.366593036790941 , 1.04567011614054 , 0.670702477410302 , 0.306519438404351 , 0.177803209994505 , 0.279258037747722 , 0.941209698200876 , -0.229626026086633, 1.44989654240143 , -1.07601994387093 , 1.79094715880152 , 1.63215354491468 , -1.60924686069627 , -0.549311828235181, -1.16286870093622 , -0.85385590135808 , 0.399583850238603 , 0.23951146146297 , 0.672273997338676 , -0.79984334356838 , 0.404536429963491 , -1.23693380611321 , -0.850277966945224, -0.574233463224442, 0.994219548926603 , -0.282463250110716, 0.615306106463033 , -0.564925645135478, 0.6419138938887 , -1.54558051519894 , 2.2843031084443 , -0.469588173897934, -1.49933174458889 , -0.399773497274457, 1.4627455940599 , 0.0415664870856975, -0.476454065248119, -1.3062109699431 , 0.126581216464998 | 0.2227307 |
| 48 | 20 | 0.5 | 0.0 | 0.5 | control , control , control , control , control , control , control , control , control , control , control , control , control , control , control , control , control , control , control , control , intervention , intervention , intervention , intervention , intervention , intervention , intervention , intervention , intervention , intervention , intervention , intervention , intervention , intervention , intervention , intervention , intervention , intervention , intervention , intervention , -0.0571264940210625, -0.002446470065917 , -0.906895849893189 , 0.0765273951879968 , 0.146812262436852 , 0.210718677378836 , 0.0868422657714684 , -1.03158939800861 , -0.455201964043176 , 1.14008485519488 , -0.262041730223633 , -0.578446164192571 , 0.864840010474889 , -0.133045303279771 , -0.1842794651924 , 0.757409909242339 , 0.780519457645876 , 0.0555694128479425 , 0.505391577019675 , -0.670724620609846 , 0.929663762571914 , 0.0700533462647598 , 0.970555990046563 , 0.802786236064446 , 1.13890602199824 , 0.459960141939146 , 1.06222781916713 , 1.38123550821738 , -0.688641249950207 , 0.178241729215782 , 0.72031282885207 , 0.173841227867866 , 0.653699269951846 , -0.52692370236133 , 0.539169498869519 , 0.648184612003869 , 0.261426555368062 , 0.437223355708785 , 0.362363503052027 , 0.707869142491938 | 0.0072221 |
| 48 | 20 | 0.5 | 0.0 | 1.0 | control , control , control , control , control , control , control , control , control , control , control , control , control , control , control , control , control , control , control , control , intervention , intervention , intervention , intervention , intervention , intervention , intervention , intervention , intervention , intervention , intervention , intervention , intervention , intervention , intervention , intervention , intervention , intervention , intervention , intervention , 0.773297968441969 , 0.562538150992924 , -1.549981101774 , -1.20368488208787 , 0.563631280183111 , -0.565953376727739 , -0.27625716974197 , -0.718945507930034 , -0.783033030061873 , 0.0934050725507062 , -0.997253599398565 , -0.327605984602054 , 1.74946537146792 , 1.06166580874525 , -1.09513862378415 , 0.828789284831372 , -0.705971213368048 , -0.0488673620847651, 0.236353019666278 , 0.790797491575004 , -0.698627358662414 , 0.390980098737511 , -1.81711920596237 , -0.219411298083614 , -0.637558862611631 , 0.589692928177643 , 0.595037966810014 , 1.1412981313976 , 0.893885482024696 , 2.04465982298078 , 0.162896946308739 , 0.0696309802363537 , 0.203436246992224 , 0.780870211146291 , 0.100608793134397 , -0.853667338462769 , 0.0868814413501093 , 1.10332884912885 , 0.24546583355469 , 2.15501913771638 | 0.1759329 |
| 48 | 20 | 0.5 | 0.1 | 0.5 | control , control , control , control , control , control , control , control , control , control , control , control , control , control , control , control , control , control , control , control , intervention , intervention , intervention , intervention , intervention , intervention , intervention , intervention , intervention , intervention , intervention , intervention , intervention , intervention , intervention , intervention , intervention , intervention , intervention , intervention , -0.209868026746167 , -0.855677985198503 , 0.629120642352542 , -0.795702747135881 , -0.100912747979121 , 0.883278335099999 , 0.291976640820263 , -0.328212664506765 , 0.604102705084265 , -0.126610839047387 , 0.737416228682171 , 1.07623670632803 , 0.386605911218271 , -0.135852601788528 , -0.516900876647011 , 0.336814619210631 , 0.498832052164934 , 0.608101183485331 , 1.1749815286188 , 0.946350733628105 , -0.307372910745896 , 0.243738795931561 , 1.75570680468055 , 0.275818816597779 , 0.897687763632027 , -0.00373810399862429, 0.451701108619837 , 0.0478480999597307 , 0.843179849962047 , 0.626108847047861 , 0.105429352333359 , 0.565199827025978 , 0.299320857569785 , 0.542788358043995 , -0.0649025398160151 , 0.805594392790545 , 0.117748455573629 , -0.453854873647892 , 0.132160353146109 , 1.27190164470194 | 0.4030154 |
| 48 | 20 | 0.5 | 0.1 | 1.0 | control , control , control , control , control , control , control , control , control , control , control , control , control , control , control , control , control , control , control , control , intervention , intervention , intervention , intervention , intervention , intervention , intervention , intervention , intervention , intervention , intervention , intervention , intervention , intervention , intervention , intervention , intervention , intervention , intervention , intervention , 1.962159470898 , -0.721275794430765, -1.05548903044733 , 0.651314627571107 , 0.885027049380478 , -0.596648307068333, -0.490188514091426, 0.155995150702748 , 1.21617761440484 , 0.0806993654768905, 0.691013649297117 , -0.440005139874456, 1.37390474031555 , 0.710636175782366 , -0.118305266217443, -1.10030707673623 , 0.827756665523512 , 0.337577961441434 , -1.0644824951641 , 0.473399068749677 , 2.32638358485895 , 0.78692340923088 , 1.47174221461827 , 0.97082749616432 , -0.357666046508238, -0.232328915539594, -0.221785173536638, 0.385397264116809 , 1.31342220114592 , 0.142304575284185 , 0.345575036747734 , 0.38014442896413 , 1.23380970663339 , 0.133535887729023 , -1.26720947271582 , 0.534554149718145 , 0.480763188816935 , 1.76751992764649 , 0.648159028418622 , 1.27685693094147 | 0.1297548 |
| 48 | 50 | 0.0 | 0.0 | 0.5 | control , control , control , control , control , control , control , control , control , control , control , control , control , control , control , control , control , control , control , control , control , control , control , control , control , control , control , control , control , control , control , control , control , control , control , control , control , control , control , control , control , control , control , control , control , control , control , control , control , control , intervention , intervention , intervention , intervention , intervention , intervention , intervention , intervention , intervention , intervention , intervention , intervention , intervention , intervention , intervention , intervention , intervention , intervention , intervention , intervention , intervention , intervention , intervention , intervention , intervention , intervention , intervention , intervention , intervention , intervention , intervention , intervention , intervention , intervention , intervention , intervention , intervention , intervention , intervention , intervention , intervention , intervention , intervention , intervention , intervention , intervention , intervention , intervention , intervention , intervention , 0.28330112642143 , -0.918643825876312 , 0.227800169619996 , 0.330922833336959 , -0.534153811147447 , -0.2002224199135 , 0.522862779885825 , -0.508111632805495 , 0.403398892060384 , -0.0338615199639819 , 0.0134340668263124 , -0.655585246128527 , 0.762149930408886 , 0.479445429589594 , 0.782829205355666 , 0.00107175635657296 , 0.0171740481052805 , 0.0414635865755588 , -0.224823856690777 , -0.37971798263171 , -0.105672397574022 , -0.0400228280098304 , -0.04492004034706 , 0.49023707332285 , -0.513639522429726 , 0.183153066079726 , -0.942212986767181 , 0.461853828372522 , -0.83667554540898 , 0.256981764711116 , 0.829671066579387 , -0.432066598265533 , -0.897491542715189 , -0.0728647277857376 , -0.0648280958562275 , 0.0638091790091725 , -0.324750645902319 , 0.103700035347298 , -0.98925050298543 , -0.932359285337166 , 0.122126194996042 , -0.541450579994915 , 0.257501364228023 , -0.136595074351649 , -0.53153760262881 , 0.715887177996878 , 0.419616317738927 , 0.0521651464130461 , 0.0509085444807695 , 0.265781766982309 , 0.334916475045111 , -1.07629828702448 , 0.507617003893197 , 0.327482055107542 , 0.568457603933049 , 0.610124475642776 , -0.825627849351932 , 0.195853545740047 , 0.20590846365428 , 0.277642679798178 , 0.359034646755475 , -0.143946981570253 , -0.216961286548253 , 0.227619807042668 , 0.166862146188532 , 0.0955533386937311 , -0.302731074504399 , -0.283424944943679 , -0.128960403532662 , 0.203783234366178 , 0.53196646648207 , 0.284878270718524 , 0.000324447537667965, -0.333640336507374 , 0.485254239532889 , -0.235761968146835 , 0.300155563089241 , 0.208750575816291 , 0.684818229048951 , 0.574680899451586 , 0.56287415600951 , 0.215521914095091 , 0.103035919815623 , 0.53872460215062 , 0.111250367597186 , -0.0332588193864121 , -0.524739032108895 , 0.0366148519457313 , -0.116668710138304 , -1.00441333623604 , 0.250382113655917 , -0.165211264961372 , -0.542407383683211 , 0.698599578265226 , -0.0937635566647365 , -0.375223949314636 , -0.449771050879619 , -0.586542924468622 , -0.0461065422490487 , -0.104377679870261 | 0.2950589 |
| 48 | 50 | 0.0 | 0.0 | 1.0 | control , control , control , control , control , control , control , control , control , control , control , control , control , control , control , control , control , control , control , control , control , control , control , control , control , control , control , control , control , control , control , control , control , control , control , control , control , control , control , control , control , control , control , control , control , control , control , control , control , control , intervention , intervention , intervention , intervention , intervention , intervention , intervention , intervention , intervention , intervention , intervention , intervention , intervention , intervention , intervention , intervention , intervention , intervention , intervention , intervention , intervention , intervention , intervention , intervention , intervention , intervention , intervention , intervention , intervention , intervention , intervention , intervention , intervention , intervention , intervention , intervention , intervention , intervention , intervention , intervention , intervention , intervention , intervention , intervention , intervention , intervention , intervention , intervention , intervention , intervention , -0.238561403288197 , 2.39414854635349 , 1.09355682431699 , -0.635372112392728 , -1.65067122562714 , -0.0645982215621744, -0.190666131850475 , 1.0501090420266 , -0.773207116699627 , 0.209319591431436 , 0.550696309545471 , 1.37385049307602 , -0.44673924156437 , 0.434698874228377 , -0.336167576911481 , -1.55900862487144 , -0.13699344311445 , -1.48345439902204 , 0.332666422145225 , -0.193536629900584 , -0.695268583966036 , 0.168713412687307 , -0.0752495662429658, 1.55960677391304 , 1.19476068921202 , -1.16326553243356 , 0.114877280246988 , 0.74223222796073 , 0.642855499405137 , -0.239093755019736 , -1.59357827116431 , 0.203823843665747 , 2.16916058082724 , 1.24345568112062 , -1.04321951001697 , -0.866088502762455 , -0.500027465716419 , -1.84490047426901 , -1.56943763892822 , -0.383379979439674 , 0.539059750774779 , -1.12781410795904 , 2.41493957215239 , -0.224298025396335 , 0.553869230158013 , -0.310430539970926 , 0.248983852269742 , -0.630940190391197 , 0.984702411360028 , 1.13858465127995 , -3.14400867324272 , 1.07473764338556 , -1.07621713124344 , 0.974733578221717 , -0.690808224539191 , 0.595532289430615 , -0.890255781401217 , 0.604205395115409 , -1.68978346084245 , 1.41895141428176 , -0.984987960884759 , -0.169425184967601 , 1.10899617354532 , 0.295164260684157 , -0.81429559433612 , 1.25243609668848 , -1.02175872105716 , -0.556610106699343 , 0.10172853111111 , -0.995731402732536 , -0.41692069432542 , 0.784283902345619 , -0.174351891442208 , -1.35489042372268 , -1.15221653551158 , 1.59332351673102 , -0.131170298023406 , -0.155293449906922 , -0.137202318043721 , 1.10349257988508 , 1.04659887998752 , -0.685216494247438 , 1.64052467305085 , 0.701609217339711 , 0.425436087575522 , 0.552437424611099 , 1.58182921728532 , 0.553757618705476 , 2.75359479756892 , 2.13761551916131 , 0.327553697025034 , -0.51293982569318 , 0.401921233728661 , 1.01739535249624 , 0.753326879521787 , 0.131492461577002 , -0.053915469833904 , 0.74242087260119 , 1.23699447537577 , 0.142816253528468 | 0.4062623 |
| 48 | 50 | 0.0 | 0.1 | 0.5 | control , control , control , control , control , control , control , control , control , control , control , control , control , control , control , control , control , control , control , control , control , control , control , control , control , control , control , control , control , control , control , control , control , control , control , control , control , control , control , control , control , control , control , control , control , control , control , control , control , control , intervention , intervention , intervention , intervention , intervention , intervention , intervention , intervention , intervention , intervention , intervention , intervention , intervention , intervention , intervention , intervention , intervention , intervention , intervention , intervention , intervention , intervention , intervention , intervention , intervention , intervention , intervention , intervention , intervention , intervention , intervention , intervention , intervention , intervention , intervention , intervention , intervention , intervention , intervention , intervention , intervention , intervention , intervention , intervention , intervention , intervention , intervention , intervention , intervention , intervention , -0.428505317156297 , 0.916795610026079 , -0.48848512720608 , -0.753334633340248 , -0.734878877977295 , -0.825276669920812 , 0.333408901230544 , -0.202458369879719 , 0.392027053395895 , -0.186057707567352 , 0.0237342513822579 , -0.199377465446811 , -0.514382513447802 , -0.911808501432478 , 0.716641305187821 , -0.898785698563969 , -0.412338252705296 , 0.0980212367633881 , 0.565253653660915 , 0.339375469702916 , -0.884558519150361 , 0.0762887967889747 , 0.948711550526672 , 0.731415754866643 , 0.605068948166398 , 0.695347266362169 , 0.113889836766274 , 0.0557300618762156 , 0.0919868668661419 , -0.423757485683603 , -0.317424994733755 , -0.0438191403671084, 1.16437802414014 , 0.428352747246577 , -0.35908371665405 , 0.826674476075445 , -0.192100354370529 , 0.433259765447154 , 0.11536224992274 , -1.15632037588575 , -0.128168139766518 , -0.419961621652304 , -0.435871935829472 , -0.253114723519591 , -0.129784776367273 , -0.119994555857853 , -0.0994149570717166, -0.508912824262835 , -1.39593088137263 , 0.457334417656698 , 0.613552363364058 , -0.0907779591500847, -0.29937195099553 , -0.455509639969213 , 0.138126381790201 , -0.355863561702381 , 0.120955061000825 , -0.692098543279322 , 0.306940713576622 , -0.894693684915066 , -0.961353128613381 , 0.546712861698281 , -0.283523087317661 , 0.465161323283455 , -0.741388686296312 , -0.297042662707357 , -0.789805099848814 , -0.189303340633358 , 0.18127758904664 , 0.629260393226913 , 0.149405747154964 , -1.11295015772414 , -0.143877208195696 , 0.120102577540884 , 0.474951258041078 , -0.676034661318283 , -0.676308669971593 , 0.0438123216382463 , -0.142570079508046 , -0.227505125948893 , 0.0142714726425121 , -0.490419206951449 , 0.0653900274586957 , -0.123460372747332 , 0.306290023066246 , -0.116005067996252 , -0.202013379961903 , 0.219565582893359 , -0.769728717995309 , -0.660590179770818 , -0.679657457810126 , 0.265755302697042 , -0.243218510922083 , -0.208781700817677 , -0.1460374773198 , -0.640852756210743 , 0.556145377909472 , 0.327908529914767 , 0.686348786137501 , -0.769116563251165 | 0.3898301 |
| 48 | 50 | 0.0 | 0.1 | 1.0 | control , control , control , control , control , control , control , control , control , control , control , control , control , control , control , control , control , control , control , control , control , control , control , control , control , control , control , control , control , control , control , control , control , control , control , control , control , control , control , control , control , control , control , control , control , control , control , control , control , control , intervention , intervention , intervention , intervention , intervention , intervention , intervention , intervention , intervention , intervention , intervention , intervention , intervention , intervention , intervention , intervention , intervention , intervention , intervention , intervention , intervention , intervention , intervention , intervention , intervention , intervention , intervention , intervention , intervention , intervention , intervention , intervention , intervention , intervention , intervention , intervention , intervention , intervention , intervention , intervention , intervention , intervention , intervention , intervention , intervention , intervention , intervention , intervention , intervention , intervention , -0.13822714661976 , 1.52568107613459 , 0.0749329731512564 , -0.510463111369353 , 0.330260295212722 , 0.827769641433442 , -0.287909789546464 , 0.7034130954953 , -0.385958739158583 , 1.08981780874481 , 0.102989940077135 , -0.96493912887264 , 1.19455636636772 , -0.707031580461221 , 0.398469937115475 , 0.354375927834809 , -0.119825267104239 , -0.181358431169173 , 0.49510829514143 , -0.641013900287693 , 0.062291498948993 , -0.725741665115648 , -1.17277490988599 , -0.140127194223716 , 1.05594486992156 , -0.534837347941934 , 1.46587663090915 , 1.63282990495322 , 1.28137685297003 , 1.70697483327957 , -0.164954091080951 , 0.754601927918959 , -0.989609463593943 , 0.123336590091683 , -1.38396265131961 , 0.598873214330224 , 0.296108044057056 , -1.41810065505405 , 0.608546173907619 , -0.0521263648800725 , -1.00169899843629 , -0.996831070590687 , 1.07539819756124 , 0.746795254765331 , -0.828732204054729 , -0.243491062471406 , -1.38274238020748 , -0.922980915293952 , 0.0712719332558099 , -0.408456887888609 , 1.07763147747501 , -1.64553911009804 , 0.0392069798347108 , -0.76950476468016 , 0.901913293474101 , 1.09669649933721 , 0.3835244688382 , -0.0513020769424788 , 0.765118966809787 , -1.42171879749592 , -0.418992884525417 , 0.976446546413489 , -0.767758374466744 , 1.1779693402427 , -0.143551553496582 , -1.0292712691351 , 0.422322735326569 , 1.429514515663 , 0.225449479496153 , -1.64372683885996 , -1.0462388899265 , -0.571730909126825 , 0.691020192842412 , -0.0804462125209928 , 1.76414365742022 , -0.889783691150904 , -0.207110524172442 , 0.598957589551539 , 2.48271175701192 , 0.704716591002775 , -1.4306691133925 , 0.707061990103212 , 0.491764096318613 , -0.616374046900795 , -0.345577242742905 , -0.135413885869797 , 0.449554542789456 , -0.0852173363461919 , 0.954535929698009 , 1.45035369870525 , -2.33507171005277 , 0.773671003127042 , -0.960535882147509 , -1.03939691616725 , -0.00415169562021216, 0.0560674208420592 , 0.851211276838615 , 0.340561700962646 , -1.45224327929922 , 1.20837347022668 | 0.9442286 |
| 48 | 50 | 0.5 | 0.0 | 0.5 | control , control , control , control , control , control , control , control , control , control , control , control , control , control , control , control , control , control , control , control , control , control , control , control , control , control , control , control , control , control , control , control , control , control , control , control , control , control , control , control , control , control , control , control , control , control , control , control , control , control , intervention , intervention , intervention , intervention , intervention , intervention , intervention , intervention , intervention , intervention , intervention , intervention , intervention , intervention , intervention , intervention , intervention , intervention , intervention , intervention , intervention , intervention , intervention , intervention , intervention , intervention , intervention , intervention , intervention , intervention , intervention , intervention , intervention , intervention , intervention , intervention , intervention , intervention , intervention , intervention , intervention , intervention , intervention , intervention , intervention , intervention , intervention , intervention , intervention , intervention , -0.812973191129002 , 0.040901727409327 , 0.313149468928307 , 0.867028232155995 , 0.107586227603618 , 0.376822597865389 , 0.149347270839284 , -0.475771741015641 , -0.329226355013818 , 0.618111757168763 , 0.191556366274868 , -0.43074009376851 , 0.152308532869309 , 0.0701432090250154 , -0.263319838318293 , -0.53035508793025 , 0.0561069706811702 , -0.662973869635636 , -0.40927457956351 , 0.0826129726294241 , -0.0100629932793402, -0.467037318295549 , -0.412018817364182 , -0.25296285591417 , 0.401332467103601 , -0.473380835237375 , -0.848259621818673 , -0.972270675838037 , 0.516917983776389 , -0.0483646985430685, -1.78317784198268 , -1.26027210063071 , 0.0048953001044074 , 0.309028364892582 , -0.278622532550014 , 0.255008716642782 , 0.572490776593678 , 0.549200899087797 , -0.585909879764878 , -0.743587269851466 , 0.309744842875418 , 0.848478942819582 , -0.0894975328961948, 0.618977467217343 , -0.614918535248666 , 0.00754347924523451, -0.571665260797249 , 0.248746901148819 , -0.259542962963153 , -0.472296257405461 , 0.984856362528494 , 1.07208464011286 , 0.762673185508157 , 0.622518203589105 , -0.10143119693862 , 0.358798510128648 , 0.91020285126145 , 1.44193629497917 , 0.27324590232553 , 0.10599826214725 , 0.884796125416102 , 0.37921072806494 , 1.02728917564074 , -0.298951734304103 , -0.077230045817698 , -0.433642642045343 , 1.23967998873604 , 0.362161310945906 , 0.120425095398772 , -0.0487544070425678, 0.969619210326034 , 0.456466970702017 , 0.35251552920222 , 0.845105094538425 , 0.0497921804833326 , 0.118000010393692 , 1.31416961920364 , 0.768692191159852 , 0.593593228760062 , 0.617026978644181 , 0.911722876142798 , 0.263291695709372 , 0.647323329766647 , 0.888955133123983 , 0.358452840901326 , 0.077931975231146 , 0.0772243667007846 , 0.913504126315724 , 0.305472330069248 , 1.50939902227234 , -0.0283533926015307, 0.60448365507417 , -0.1740286582622 , -0.299991926474247 , 0.616806542796565 , 0.278502930177126 , 0.562198775384707 , 0.673559241092089 , 1.38844921456316 , 0.896129940450738 | 0.0000000 |
| 48 | 50 | 0.5 | 0.0 | 1.0 | control , control , control , control , control , control , control , control , control , control , control , control , control , control , control , control , control , control , control , control , control , control , control , control , control , control , control , control , control , control , control , control , control , control , control , control , control , control , control , control , control , control , control , control , control , control , control , control , control , control , intervention , intervention , intervention , intervention , intervention , intervention , intervention , intervention , intervention , intervention , intervention , intervention , intervention , intervention , intervention , intervention , intervention , intervention , intervention , intervention , intervention , intervention , intervention , intervention , intervention , intervention , intervention , intervention , intervention , intervention , intervention , intervention , intervention , intervention , intervention , intervention , intervention , intervention , intervention , intervention , intervention , intervention , intervention , intervention , intervention , intervention , intervention , intervention , intervention , intervention , -2.34725888345982 , 0.0953816129781513 , -1.7403806203747 , 1.46907974277455 , 0.641071069194828 , -1.51711237135208 , -0.0959388675309922, 0.299884526991325 , 0.623906500131946 , 0.727369027080097 , 2.00898583843028 , -1.73211435738932 , 0.275548754585014 , 0.369656220627684 , -1.20273323255088 , 1.6354510250385 , -0.711750817468771 , 1.92198942794278 , 0.903011896716651 , -1.25762130153367 , 0.187812963980461 , -0.248673384201689 , 0.539647089054364 , 1.41414770211106 , 0.00969549271634671, -0.151284618194461 , 1.3705877627666 , -0.319300362131564 , 1.58204208326941 , 0.799630991187869 , 0.631775807687627 , 1.99818396686374 , 2.58857068332415 , -0.311798524604949 , -1.70909038030885 , 0.160694328249254 , 0.875649684448598 , -1.33864874725452 , 1.84747635617087 , -0.227591017458993 , -0.186063641015867 , 1.03853881878136 , -0.0770492684946619, 0.607961376874531 , 2.40728251845137 , -0.144053830436084 , -0.179014301570935 , -0.60571484519498 , -0.800661919909964 , 0.361024857489265 , 0.0105412388974295 , -0.139755059950199 , 0.245642363685567 , 1.61129644868542 , -0.0812581772747206, 1.53580947224781 , 1.21728265656436 , 1.2395847501988 , 1.64615882058421 , -1.04051865298053 , 0.642055586755252 , 1.6049545251016 , 0.905071015825379 , -1.54890928408988 , 1.44002350603461 , -0.485163396265097 , 2.60409402699552 , 1.65007209308264 , 1.88335453544763 , 0.41725614332904 , 1.29543624471309 , 2.10199650832569 , 0.66137081694586 , 0.45618952749081 , -1.16040081743058 , 0.872248536753595 , -0.126965796114893 , -0.118311369530413 , -0.846629583495764 , 0.521982600421254 , 0.703034477537427 , 0.781990241688889 , -0.186683458205518 , 1.65589726761718 , 0.232964841386014 , 0.883914280363855 , 0.889660061453815 , -0.250427019060847 , 0.0870543258108014 , -0.217876235478462 , 4.72137242507094 , 0.703370171469131 , -0.662293097176643 , 0.677227974151027 , 0.235886614754448 , 0.800436225102898 , 1.09083396989048 , 2.15361566287992 , 0.34153538556604 , -1.22214062134581 | 0.0808824 |
| 48 | 50 | 0.5 | 0.1 | 0.5 | control , control , control , control , control , control , control , control , control , control , control , control , control , control , control , control , control , control , control , control , control , control , control , control , control , control , control , control , control , control , control , control , control , control , control , control , control , control , control , control , control , control , control , control , control , control , control , control , control , control , intervention , intervention , intervention , intervention , intervention , intervention , intervention , intervention , intervention , intervention , intervention , intervention , intervention , intervention , intervention , intervention , intervention , intervention , intervention , intervention , intervention , intervention , intervention , intervention , intervention , intervention , intervention , intervention , intervention , intervention , intervention , intervention , intervention , intervention , intervention , intervention , intervention , intervention , intervention , intervention , intervention , intervention , intervention , intervention , intervention , intervention , intervention , intervention , intervention , intervention , 0.220819189907778 , -0.532478662953347 , 0.152162503828306 , 0.0779842183650515 , 0.164231148177284 , 0.943735989463765 , -0.594749610389489 , -0.115291595084432 , -0.39012582784397 , -0.885144251155744 , 0.0389461904345225 , 0.1060384669068 , 1.33365792494247 , 0.484332466752767 , 0.577115691644789 , 0.25201915502795 , 0.9098467881138 , 0.776314944278017 , -0.500181101304834 , -0.439001739011892 , 0.680028707201927 , -0.544819010648503 , 0.0533455387898365 , 0.405090828672205 , -0.258874672609837 , 0.371111441459241 , -0.328992189079455 , -0.215991508174697 , 0.500386119342734 , 0.221154376740984 , -0.144820696790105 , 0.419655047676215 , 0.581968325008944 , 0.0108152953065201 , -0.679425625495656 , 0.592632276535096 , 0.0220246933486474 , -0.772943962108501 , 0.466518482774403 , -0.856935851258665 , 0.874987901868356 , 0.163762502017889 , -0.717009454824691 , 0.388474602000743 , 0.287109346259198 , 0.161965683702606 , 0.0175097319211927 , 0.446231739579225 , 0.733447938142564 , -0.154697812437228 , -0.135496403731598 , 0.671632545556833 , 0.31204041411459 , -0.0615719106455653, -0.0028249110096431, -0.0408709641407861, 0.727542767268248 , 0.298971693067183 , 0.575194607400201 , 0.150576424739633 , 0.677534066956375 , 0.252267536420462 , -0.0190586598920198, 0.53881834290256 , 0.669731312220758 , 0.807592596055867 , 0.400234069586834 , 1.25207401575117 , 1.07052182568898 , 0.905528868393586 , 1.14904010683296 , 0.683777151085659 , -0.420754809832634 , 0.0788840418410875 , 0.491955939839859 , 1.077542044768 , 0.893676644056959 , 0.539365649747817 , 1.33665078375128 , 0.903089385682852 , 0.936983493084553 , 1.38625279614401 , -0.342164527991485 , 0.94955325029153 , 0.66428116910275 , 0.869363131380788 , 0.58832816213513 , 0.414989586000606 , 0.398959762661904 , 0.862222405928794 , 0.862619016690369 , -0.0472649286315953, 0.0503378273882291 , 0.0840018132108513 , 0.539619449687854 , 0.657908670440776 , -0.0953999127528746, 0.0613333282400973 , 0.20148564091355 , 0.179287175587217 | 0.0000915 |
| 48 | 50 | 0.5 | 0.1 | 1.0 | control , control , control , control , control , control , control , control , control , control , control , control , control , control , control , control , control , control , control , control , control , control , control , control , control , control , control , control , control , control , control , control , control , control , control , control , control , control , control , control , control , control , control , control , control , control , control , control , control , control , intervention , intervention , intervention , intervention , intervention , intervention , intervention , intervention , intervention , intervention , intervention , intervention , intervention , intervention , intervention , intervention , intervention , intervention , intervention , intervention , intervention , intervention , intervention , intervention , intervention , intervention , intervention , intervention , intervention , intervention , intervention , intervention , intervention , intervention , intervention , intervention , intervention , intervention , intervention , intervention , intervention , intervention , intervention , intervention , intervention , intervention , intervention , intervention , intervention , intervention , 2.77968957417233 , 0.0266551406641554 , 0.191344200155599 , 1.49733393182431 , 0.600482293307722 , -0.316692617273338 , 1.12561585740895 , -1.29117296385463 , 1.87868599654016 , -0.314079591826949 , -1.06020107085551 , -0.484864833215075 , -0.89873904438654 , -0.920332362297269 , -1.55217478841662 , 2.57392955416948 , -0.0322928139060365, 0.358264803291235 , -0.243121529420491 , 3.17452232756101 , -0.482144973983157 , -1.15318373161397 , -1.73890781923596 , -1.37620031466191 , -1.24532204719895 , 0.871121117743499 , 1.1971638023167 , -0.66827492312889 , 0.0380561446192646 , -0.933293746896224 , 0.0995524424481276 , -0.663602976065561 , -0.373476694840496 , -1.36972712468457 , 0.51098901370183 , 0.149046115869923 , 0.957684829428525 , 1.28619438316973 , 0.402038422025194 , -0.747305383521352 , -1.57280761414616 , 0.671590844911154 , -0.499180972241292 , -0.59501575446144 , -1.17540880248379 , 1.56934268185875 , 0.841954221926884 , -0.964417639931741 , -0.300795609855877 , 0.692054653294584 , 2.28652792558108 , -0.542957848459974 , 1.00852573378765 , -0.982091854405727 , 0.556060184295621 , 0.698583121722393 , -0.777770780695069 , 1.66365163211492 , 1.09934255756955 , -0.830775861280532 , -0.55128156534571 , 2.05483208582684 , 2.44876686589454 , 0.582433689138559 , -0.358552005336063 , 0.186740298368711 , -0.753235863242045 , -1.42147187225045 , -0.0375035168779282, -0.0214593600764337, -0.234343772694718 , 0.935200778489631 , 0.716582237831868 , -0.22184778869762 , -0.273072040681318 , 0.827158317158259 , -0.253159761074783 , -0.348786848453193 , 0.912442264062665 , 1.77170986538221 , 1.05070132998346 , 1.02725688074152 , 0.56686247583033 , 0.184649654648045 , -0.876016816705155 , 1.23821861332165 , 0.526576484669844 , 1.91908166056859 , -0.125545626592078 , 0.211422234315341 , 0.947526501619232 , 0.806961663161653 , -0.368775222209024 , 2.28027707923884 , -0.856805939060949 , 0.582055028232013 , 2.59171498758098 , 0.495105566634789 , 0.590909342291663 , 0.69428585894192 | 0.0342725 |
| 49 | 20 | 0.0 | 0.0 | 0.5 | control , control , control , control , control , control , control , control , control , control , control , control , control , control , control , control , control , control , control , control , intervention , intervention , intervention , intervention , intervention , intervention , intervention , intervention , intervention , intervention , intervention , intervention , intervention , intervention , intervention , intervention , intervention , intervention , intervention , intervention , 0.118966465773135 , 0.0740921068478329 , -0.33818491141646 , 0.404638733649538 , 0.522815691997392 , -0.465441893288049 , 1.68444361620803 , -0.621555797005837 , -0.112960325619445 , 0.226394881576302 , 0.192954970471405 , -0.259582698722327 , 0.80844346837639 , -0.076471956391936 , 0.0874202713283528 , 0.165838788914983 , 0.0579526377330699 , 1.04754017355674 , 0.352058490605746 , 0.233738746441611 , -0.400696658290995 , -0.212255004592279 , 0.471571055167446 , 0.272435081553445 , -0.164255824682184 , -0.241698588380527 , 0.132113848572424 , -0.0533042729546021, -0.48241881275032 , -0.33168591982452 , 0.25181858568604 , -0.0829924291041757, 0.498322796154269 , -0.121558341509398 , 0.0658825757202055 , -0.261791026486223 , -0.647012699849514 , 1.11802798946409 , -0.245020592527722 , -0.589032657375072 | 0.0982864 |
| 49 | 20 | 0.0 | 0.0 | 1.0 | control , control , control , control , control , control , control , control , control , control , control , control , control , control , control , control , control , control , control , control , intervention , intervention , intervention , intervention , intervention , intervention , intervention , intervention , intervention , intervention , intervention , intervention , intervention , intervention , intervention , intervention , intervention , intervention , intervention , intervention , -0.74480277866222 , 0.195439434054898 , -1.04822425537244 , 0.440906428915203 , 0.151460488339239 , -0.839381238202907 , -0.155715435081077 , 1.39670709924116 , -0.701705214692745 , -0.146741305077366 , -0.34343680590401 , 0.0257639222230753 , 1.35817525150822 , 0.178396952825129 , 0.647140176054482 , -0.668869249814634 , -0.816160498206498 , 1.51061570477714 , 0.579835012851204 , -0.0585199644530957, 0.38415752430767 , 0.833540380758903 , -1.37380946618731 , 0.236287522677625 , 1.15703178232601 , 1.42596274553822 , -1.11228080831437 , -1.36950834527474 , -0.73299106724471 , -0.0978372477087595, 0.629070080344737 , -0.743604457587724 , -0.921002015343526 , 0.533098884861231 , 0.717113190279567 , 0.689304561281414 , -1.07219672129772 , -0.0261468931104622, 0.049848748101352 , 0.253498963393761 | 0.7726704 |
| 49 | 20 | 0.0 | 0.1 | 0.5 | control , control , control , control , control , control , control , control , control , control , control , control , control , control , control , control , control , control , control , control , intervention , intervention , intervention , intervention , intervention , intervention , intervention , intervention , intervention , intervention , intervention , intervention , intervention , intervention , intervention , intervention , intervention , intervention , intervention , intervention , 0.0780642902754906 , -0.223316435211114 , 0.660826658578178 , 0.626976017062656 , 0.791549821944788 , -0.442399760603449 , 0.186710378358703 , 0.310441796503895 , 0.167088547666857 , 0.522156709043423 , -0.0776324109494856 , 0.533213084279447 , 0.258280134688687 , 0.328919806547344 , 0.574895461727594 , -0.00920980227598517, 0.345882097885792 , -0.163203467020049 , 0.0267255205666786 , 0.465365968895475 , 0.0767747867314531 , 0.0782813205848607 , 0.164438871101324 , -0.31439070231153 , -0.240168076087517 , 0.805484136813459 , 0.455277478417979 , 0.947216066617925 , -0.111285065395822 , -0.177343030041973 , 0.16520521558697 , 0.484736530888882 , -0.38407740149899 , -0.0607348090124356 , 0.215140568446409 , -0.272765195203709 , -0.303456646842425 , -0.858400894806008 , 1.08653498842368 , 0.27801156518466 | 0.2692878 |
| 49 | 20 | 0.0 | 0.1 | 1.0 | control , control , control , control , control , control , control , control , control , control , control , control , control , control , control , control , control , control , control , control , intervention , intervention , intervention , intervention , intervention , intervention , intervention , intervention , intervention , intervention , intervention , intervention , intervention , intervention , intervention , intervention , intervention , intervention , intervention , intervention , 1.42524902946404 , 0.354124564141898 , 1.21896838471246 , 1.07063640750646 , 1.55624219889494 , 0.952692055314174 , -1.69738304617682 , -1.24268959339743 , -0.240016863040646 , 1.71994689714186 , 0.934411646477415 , 1.17873218321083 , -1.45196914235099 , -0.0546656906101129, 0.0117267800679562 , -0.217727904539991 , -1.37724415174367 , 0.899648211786074 , 0.954795882135922 , 1.32142068213576 , -0.419456952393655 , 0.180804997213395 , 0.241840971674011 , 0.453893577401154 , 0.267958374718306 , -1.35390460908681 , 2.14618772478938 , -0.165915132805797 , 1.47161170687952 , 0.813425009949328 , 1.01009823431529 , 0.447700762713029 , -0.950775423085223 , -0.606090512248269 , 1.36413602713695 , -1.2629083462524 , -0.442703845708116 , 0.202586640834106 , 0.325071749314673 , 0.855921659545507 | 0.6695473 |
| 49 | 20 | 0.5 | 0.0 | 0.5 | control , control , control , control , control , control , control , control , control , control , control , control , control , control , control , control , control , control , control , control , intervention , intervention , intervention , intervention , intervention , intervention , intervention , intervention , intervention , intervention , intervention , intervention , intervention , intervention , intervention , intervention , intervention , intervention , intervention , intervention , 0.0446519604392187 , 1.11852181893777 , -0.057228077852333 , -0.184462613748554 , 0.47270876485734 , -0.813045886665423 , 1.09923174035496 , -0.605329481815227 , 0.249202156820687 , 0.0387949124663673 , 0.258739186608334 , 0.622890377209479 , -1.11608803939345 , -0.462583988741512 , -0.528921465207176 , -0.0504345020638384, 0.699519497092525 , 0.353127068408466 , 0.984518064173393 , -0.241693224165458 , 0.892099585589323 , 0.593964797861518 , -0.114226075205087 , 1.10049678673633 , -0.306423562038932 , -0.547964967577602 , 0.403770758975719 , -0.414158680173499 , 0.276706353791141 , 1.00865354466573 , 0.295115616618502 , 0.43479776239201 , -0.329060982975166 , 1.2964383894057 , -0.0834837573063002, 0.332602551424351 , 0.638189874583253 , 0.785174790520375 , 0.321339864102226 , 0.336522145980443 | 0.1762330 |
| 49 | 20 | 0.5 | 0.0 | 1.0 | control , control , control , control , control , control , control , control , control , control , control , control , control , control , control , control , control , control , control , control , intervention , intervention , intervention , intervention , intervention , intervention , intervention , intervention , intervention , intervention , intervention , intervention , intervention , intervention , intervention , intervention , intervention , intervention , intervention , intervention , 0.772588253324603 , -0.382508218595441 , 0.226579970854458 , 0.363814043378892 , -1.56048657582334 , 0.662440240267989 , 1.76634731700859 , -0.609302464839874 , -1.26520959080259 , 0.319929756947763 , -0.660344653210992 , -0.938335998708665 , 0.377733818417548 , -1.77643903591531 , 0.644617054741075 , -1.50837905208866 , -0.184459172890449 , 0.766099688847862 , 0.162272388235598 , -0.454145277345633 , 2.0488334628474 , 1.21823462283751 , -1.30871725161947 , 2.37435048753929 , -0.0327256695526357, 1.37068591196095 , 1.1632646168768 , 1.47475304584207 , 1.05336243887755 , -0.218528132376432 , 0.879221297119033 , 1.50380206649966 , 1.8901043314357 , 0.67854741891651 , -0.0399798089590535, 2.05552187799735 , 1.35408102648681 , 1.31583218334882 , 1.11970151193612 , 1.17038974257551 | 0.0001426 |
| 49 | 20 | 0.5 | 0.1 | 0.5 | control , control , control , control , control , control , control , control , control , control , control , control , control , control , control , control , control , control , control , control , intervention , intervention , intervention , intervention , intervention , intervention , intervention , intervention , intervention , intervention , intervention , intervention , intervention , intervention , intervention , intervention , intervention , intervention , intervention , intervention , -0.00538146247095619, -0.20280136697158 , -0.714382441311917 , -0.249109669850319 , -0.145497926398383 , -0.0961790173533151 , -0.190496771152364 , 0.516622218689548 , -0.164433061753743 , 0.436352284783253 , 0.524768099695902 , -0.0977036622302258 , 0.302206966067256 , -0.511896659509963 , 0.871067117408917 , 0.146428401556261 , -0.271530813423731 , -0.195420253858279 , 0.243175939072468 , 0.579521822001963 , 0.269597985400585 , 0.897584749045286 , 0.285806821402093 , 0.393103859341572 , 0.19512497086878 , 1.10254505265243 , 0.442231578707443 , -0.430975576468686 , 1.00183394004005 , -0.348231926267865 , 0.531616274781277 , 0.359174701061801 , 0.337894226183586 , 0.201973802917962 , -0.367949980525048 , -0.190824907149003 , 0.374922641854986 , 0.665444596795255 , -0.4384949957938 , 0.137108767214486 | 0.0952260 |
| 49 | 20 | 0.5 | 0.1 | 1.0 | control , control , control , control , control , control , control , control , control , control , control , control , control , control , control , control , control , control , control , control , intervention , intervention , intervention , intervention , intervention , intervention , intervention , intervention , intervention , intervention , intervention , intervention , intervention , intervention , intervention , intervention , intervention , intervention , intervention , intervention , -1.70013136811352 , -0.430442683887976, 0.135918237702081 , 1.66787879332192 , 0.351238064944641 , 0.691434592823505 , -1.62710310479068 , -0.285572277160698, 0.957936124861098 , 1.66015737474446 , 1.838767722191 , -0.65412771211034 , -0.660646884404647, 0.747012999275448 , -0.298918809819432, -0.070855043823311, 0.0224864645029491, -0.282175478293285, 0.434310689957916 , -0.610093305502787, -0.937398006034009, -0.40040292542564 , 0.517959268666239 , 1.05387415344127 , 0.0767486107430415, 0.920020736748481 , -0.185978828310362, 1.05082063871873 , 1.1736342241659 , 1.22083907286852 , 0.446326865359395 , 0.095792700687633 , -0.377276473426686, 1.28446370086174 , 3.57457722311184 , 1.39540586363802 , 0.346478287610251 , 0.362513494367411 , 1.52689257830462 , 0.833496585198083 | 0.0560276 |
| 49 | 50 | 0.0 | 0.0 | 0.5 | control , control , control , control , control , control , control , control , control , control , control , control , control , control , control , control , control , control , control , control , control , control , control , control , control , control , control , control , control , control , control , control , control , control , control , control , control , control , control , control , control , control , control , control , control , control , control , control , control , control , intervention , intervention , intervention , intervention , intervention , intervention , intervention , intervention , intervention , intervention , intervention , intervention , intervention , intervention , intervention , intervention , intervention , intervention , intervention , intervention , intervention , intervention , intervention , intervention , intervention , intervention , intervention , intervention , intervention , intervention , intervention , intervention , intervention , intervention , intervention , intervention , intervention , intervention , intervention , intervention , intervention , intervention , intervention , intervention , intervention , intervention , intervention , intervention , intervention , intervention , 0.495058876376758 , -0.414234526670054 , -0.283402922356735 , 0.632925501985078 , -0.773437509372963 , 0.0383431249624502 , 0.724038087943021 , -0.59185883138946 , -0.211213281048755 , 0.298831251472683 , -1.23954088549095 , 0.222156216315138 , -0.956753687354611 , -0.716872260973466 , -0.178091383129844 , 0.24673970023629 , -0.545093652898353 , 0.216430718662833 , -0.843548256825406 , 0.373038442172971 , -0.238771183874309 , 0.128818183353333 , 0.755730451735646 , -0.691306622974363 , 0.336995280039493 , 0.338455253433038 , 0.425666507772072 , -0.0411494216415543, 1.47113850520789 , 0.439084582429701 , -0.651786209367518 , -0.0660203567453098, -0.518158589629802 , 0.0344523778972616 , -0.0538035506451428, -0.0586372668952075, -0.880616298346405 , -0.249732352438896 , -0.374450161269328 , 0.216167373680757 , 0.505793511885834 , -0.361499724816906 , -0.25281479942225 , -0.317466475317432 , -0.407476692919733 , 0.0373140664207682 , 1.34692595704016 , 0.440342953070975 , 0.0960775496730366 , 0.248333459085873 , 1.05550300829867 , -0.299596816469794 , -0.0618055809789444, -0.421356498237249 , -0.492607743383944 , -0.156703833003625 , -0.354998388678022 , 0.193077786278876 , -0.0647810281161934, -0.437764455733243 , 0.623986052797063 , -0.589385585955746 , 0.121061722148501 , 0.0640049576273849 , 0.390602183768231 , 0.403920786710304 , 0.0923673771502792 , -1.04771031122951 , -0.184197831544167 , -0.415216671502266 , 0.436655303497605 , 0.188285681886894 , -0.0463057578227182, -0.79111809964562 , 0.214249910242394 , -0.397721621630218 , 0.219489526463585 , 0.597792576405006 , 0.202680464411546 , 1.12229951378075 , 0.136952892192783 , 0.329421280367983 , 0.939533050515531 , 0.604174111398106 , -0.354458348282333 , -0.315619009213266 , 1.04219169587914 , 1.73727469083793 , 0.463336659176118 , -0.450504167516002 , -0.107537696873003 , 0.629442183953727 , -0.298159805470609 , -0.4365376035117 , 0.506237267595705 , 0.0559634805665797 , -0.153920365551148 , 0.101488021852036 , -0.439972162640411 , 0.22897655113385 | 0.2570396 |
| 49 | 50 | 0.0 | 0.0 | 1.0 | control , control , control , control , control , control , control , control , control , control , control , control , control , control , control , control , control , control , control , control , control , control , control , control , control , control , control , control , control , control , control , control , control , control , control , control , control , control , control , control , control , control , control , control , control , control , control , control , control , control , intervention , intervention , intervention , intervention , intervention , intervention , intervention , intervention , intervention , intervention , intervention , intervention , intervention , intervention , intervention , intervention , intervention , intervention , intervention , intervention , intervention , intervention , intervention , intervention , intervention , intervention , intervention , intervention , intervention , intervention , intervention , intervention , intervention , intervention , intervention , intervention , intervention , intervention , intervention , intervention , intervention , intervention , intervention , intervention , intervention , intervention , intervention , intervention , intervention , intervention , -1.33352835275347 , -0.737899312439639 , -0.185434598228338 , -1.12212196528195 , -0.402459973708945 , -0.28206370448427 , -0.733877289830105 , 0.0292595909852705 , 0.345419016462311 , -1.18160820822931 , -0.617470978631381 , 0.612457924202368 , -1.79610491312605 , 1.04423636877046 , -1.23533899625744 , 0.75995967858068 , -0.623971421401296 , 1.05704656733501 , -0.496956851325496 , 2.11152677619072 , -2.16302185275248 , 0.28951721741474 , 0.192454146876309 , -0.110309943472892 , -1.62171764982962 , -0.607003007260924 , 0.880562848228147 , -2.07132529997675 , 0.146232397496122 , 0.939442674224066 , -0.784470002744117 , -0.810709821574266 , -0.038282999885472 , -0.795889757269167 , -0.464726071272217 , 1.06607176882793 , -0.583810543772741 , -0.123161553219937 , 0.754323363227149 , 0.419753799473667 , -0.15204878579345 , 1.06986599602276 , 0.369703866907915 , 0.233092375836362 , 0.822148800686905 , 0.0444897542951251 , 0.519745943319679 , 0.863401221271038 , -1.42496552075186 , 1.25293957835253 , 0.0703575766849135 , 0.153069443535884 , -1.07164313827009 , 1.38556983417659 , 1.36956634006512 , 0.805396839269435 , 0.228247646992063 , 0.143048223366268 , -0.0491045663850209, -0.0166538336357029, -0.309745798400975 , -0.0992972900850616, 0.426818498765747 , 0.164083006055438 , 2.01504872956441 , 1.15474927173079 , 1.304245080828 , 0.0389772193740245 , -0.196368342511698 , -0.862853848997572 , -1.51482599701586 , -0.377425693566805 , -0.814665113091383 , 1.01177664477185 , -0.805927805044327 , -0.393939532190866 , -0.24981397398969 , -0.278426877913346 , 0.50416253171901 , -0.0285148334249357, -0.244225355300401 , 0.834458221700655 , 0.773895821573152 , 0.0644830179926678 , 1.99174205303085 , -1.00757784819436 , -0.538445803511846 , 0.759533797451215 , -0.407613110461915 , 0.563456001816097 , -0.591142664432878 , 1.05721179320645 , 0.831072033371482 , 0.0167247449566365 , -1.90099379975292 , -1.92281833598822 , -0.378159239806224 , 1.61272128399701 , -0.570511084303452 , 1.23586004753448 | 0.1766138 |
| 49 | 50 | 0.0 | 0.1 | 0.5 | control , control , control , control , control , control , control , control , control , control , control , control , control , control , control , control , control , control , control , control , control , control , control , control , control , control , control , control , control , control , control , control , control , control , control , control , control , control , control , control , control , control , control , control , control , control , control , control , control , control , intervention , intervention , intervention , intervention , intervention , intervention , intervention , intervention , intervention , intervention , intervention , intervention , intervention , intervention , intervention , intervention , intervention , intervention , intervention , intervention , intervention , intervention , intervention , intervention , intervention , intervention , intervention , intervention , intervention , intervention , intervention , intervention , intervention , intervention , intervention , intervention , intervention , intervention , intervention , intervention , intervention , intervention , intervention , intervention , intervention , intervention , intervention , intervention , intervention , intervention , -0.19786021294386 , -0.542037345427259 , -0.255801577337634 , -0.371455620746086 , -0.623790537730638 , 0.111853518321653 , -0.397016665035715 , -0.0491070497301139, 0.697512695018447 , -0.241816697734416 , 0.643807423112577 , 0.245362207532712 , -0.426978112671128 , 0.723419996094139 , 0.164149125137426 , -0.176972430085916 , -0.294482967080912 , -0.190322278267492 , -0.515529639745381 , 0.904698293917844 , -0.36813611401818 , -0.166830713575523 , 0.681402083275166 , -0.0356663007259418, 0.340659247043353 , 0.576893278276041 , -0.881860389764836 , 0.359164283340225 , 0.450524602262783 , -0.92545860957411 , -0.266984784887399 , 0.174383389896557 , 0.222780181552268 , -0.119255138052113 , 0.324299143557502 , 0.3199080149113 , -0.653117683373446 , 0.932675136786497 , 0.39492058513518 , 0.203810415132678 , 0.762524814954689 , 1.2720139643134 , -0.0622781688576455, 1.00526345857249 , -0.315458264169903 , 0.493805465839517 , 1.0471465869701 , -0.696400089034165 , 0.359768650585668 , 0.0929155020645665 , 0.843430125789915 , -1.36947615495335 , -0.635262476175986 , 0.289876819293273 , 0.700027556825694 , -0.338483055906009 , -0.415546055202837 , -0.247153307565996 , 0.1398875129066 , 0.703640579094861 , -0.265710141104013 , 0.797634347340933 , -0.151539929280781 , -0.0862470228745727, 0.3656972879967 , -1.16079833472805 , -0.451304171821372 , 0.0768492235391267 , -0.0391049861117168, -0.836549643885725 , -0.0747104045923174, -0.431466913905747 , 0.143486453056886 , 0.5616762959003 , 0.364803471078776 , -0.244045039436946 , -0.205608589657082 , 0.124662403534457 , -0.404480908242359 , 0.61848852382528 , 0.0235420845863147 , -0.351504035697277 , 0.05416330962055 , 0.159636751194246 , -0.335708565199254 , 0.0618861101351368 , -0.351683030902253 , -0.187639604177927 , -0.391701574339839 , -0.0303007657247855, -0.329421980550178 , -0.229764699513635 , 0.133896271534499 , -0.574257885182238 , 0.0303045574137442 , 0.165683078040081 , -0.114597929318554 , -0.153024154892626 , 0.291243869910558 , -0.0406352511634413 | 0.0857952 |
| 49 | 50 | 0.0 | 0.1 | 1.0 | control , control , control , control , control , control , control , control , control , control , control , control , control , control , control , control , control , control , control , control , control , control , control , control , control , control , control , control , control , control , control , control , control , control , control , control , control , control , control , control , control , control , control , control , control , control , control , control , control , control , intervention , intervention , intervention , intervention , intervention , intervention , intervention , intervention , intervention , intervention , intervention , intervention , intervention , intervention , intervention , intervention , intervention , intervention , intervention , intervention , intervention , intervention , intervention , intervention , intervention , intervention , intervention , intervention , intervention , intervention , intervention , intervention , intervention , intervention , intervention , intervention , intervention , intervention , intervention , intervention , intervention , intervention , intervention , intervention , intervention , intervention , intervention , intervention , intervention , intervention , 1.60236274046976 , 0.219770876006574 , -0.58992988842817 , 0.988428100018281 , 1.20010079211644 , -0.934614868918564 , 0.810369022727676 , 0.423329583959715 , -0.0816017035848921, -0.382716349868012 , -0.419141220847855 , 0.0213189085563991 , -0.146898629279877 , 1.34796641843885 , 0.17666326249162 , 0.84981038623761 , -0.378926237733836 , 0.33820937313031 , -0.0876271202913437, -0.475403196136696 , 2.58423993532643 , -1.83213414070447 , 0.54890804202801 , -0.548853459609683 , -0.398342822655479 , 0.25030907668932 , 0.642365605100295 , -2.01817141474673 , 0.592201272069179 , 0.393027475719332 , 1.75923377853932 , 0.899578666336172 , 0.558883724910215 , 1.39527244926528 , -0.220026010004381 , -1.62653984876546 , -1.10488476062743 , -0.45315327588714 , 1.37658490527987 , -1.10859210309618 , 0.840081772371485 , -1.1928128982957 , 0.821128110997843 , 0.820590299063026 , 1.80143315313466 , 1.48779504052344 , 0.767801848803062 , 0.488208274845086 , 0.507087657213054 , -0.204548112146592 , 1.70629896865046 , -1.01757429928476 , 1.48764926001026 , 0.264085862454277 , -0.787442319337404 , -0.757269924325016 , -0.307071043975917 , 0.847035312993143 , 0.23204425016641 , -1.55751266718738 , -1.28537094045377 , -2.16277383957016 , -0.448453950943381 , 0.715300127704591 , -0.0931882008993191, -1.0692141845846 , 0.36916219284614 , -1.77794988247319 , 0.688911462880504 , -0.525976716020794 , -1.43185689022481 , 2.93823302663206 , -0.574277204409457 , 0.498311347183397 , -0.593947096220635 , 2.03951826856632 , 0.373874202772467 , 0.347256174641122 , 1.49079903865648 , 0.301854532173299 , -1.14253479464072 , 1.17439085188415 , 0.706666046071489 , -1.9835823771583 , 0.0646639147729558 , -1.07870075305241 , 0.270228493590878 , 0.854294961293275 , 0.325832030423778 , 0.0416042602307658 , 0.692688105386856 , -0.694337956108308 , 0.277020225625677 , 1.91067600411083 , -0.679929835258388 , -1.92032693115024 , -0.221292110059542 , -0.400704202698448 , 0.302441093008019 , 0.322413494528082 | 0.1958767 |
| 49 | 50 | 0.5 | 0.0 | 0.5 | control , control , control , control , control , control , control , control , control , control , control , control , control , control , control , control , control , control , control , control , control , control , control , control , control , control , control , control , control , control , control , control , control , control , control , control , control , control , control , control , control , control , control , control , control , control , control , control , control , control , intervention , intervention , intervention , intervention , intervention , intervention , intervention , intervention , intervention , intervention , intervention , intervention , intervention , intervention , intervention , intervention , intervention , intervention , intervention , intervention , intervention , intervention , intervention , intervention , intervention , intervention , intervention , intervention , intervention , intervention , intervention , intervention , intervention , intervention , intervention , intervention , intervention , intervention , intervention , intervention , intervention , intervention , intervention , intervention , intervention , intervention , intervention , intervention , intervention , intervention , 0.31270157965632 , 0.652867829610664 , -1.17939511315409 , -0.728102933322079 , -0.379484418080372 , 0.557136461515869 , -1.2049598124326 , -0.0787940232238132 , -0.443674289577825 , -0.934162358934735 , 0.299497604915098 , -0.40242318672601 , 0.0984935152008466 , -0.05640872565822 , -0.176662392592963 , -0.207499620190525 , -0.384704326820187 , 0.126737674201443 , 0.255627742694638 , -0.379614723699222 , 0.479772455390402 , 0.0363445375191539 , 0.700367065742311 , -0.00496758755302826, 1.03739618513048 , 0.668962026000889 , -0.165236958390743 , -0.467742541850424 , 0.563443211990352 , -0.936304268488491 , -0.54258671854922 , -0.554060447146025 , -0.333682165348738 , -0.741650048447895 , 0.895490891152454 , 0.0433582761376409 , -0.582615788907456 , 0.222764473812645 , 0.952380362151667 , 0.164364327350227 , -0.154603343075654 , -0.0141189710849059 , -0.396004193624421 , -0.0167719035779012 , 0.255259946415487 , 0.273262219011906 , 0.0270037619108392 , -0.242153978853 , -1.03085988781892 , 0.885211241228981 , 0.167843326006393 , 0.185917583218468 , 0.745700129825963 , 0.812341064974419 , 0.883265616859745 , 0.905921661551276 , 1.3680798988961 , 0.619142810049866 , 0.824511549178894 , -0.181520484913262 , 0.43405254751831 , 1.06139336737577 , 0.44721253849653 , -0.866707434490863 , 0.373499758396304 , 0.81048881160946 , 1.10616028548964 , 0.223537058767862 , -0.0479400810411376 , -0.367348885125516 , 0.738596094079119 , 0.56987913137163 , 0.00479445823625313 , 0.842137241690372 , 0.880662588658678 , -0.0970757866760001 , 0.0235653588075364 , 0.37570946766174 , 0.96818699236389 , 0.650464829774059 , 0.405450917095462 , -0.254020350533956 , 0.205318431173063 , 0.733598022657134 , 0.223061682998066 , 0.208385355146184 , -0.230020744987443 , 0.490467084724638 , 0.39107360295313 , 0.705954412877527 , 0.535575760265004 , 1.17837569871836 , 0.344487236144013 , 0.175898262710352 , 0.28504993053027 , 0.358958423459454 , 0.392855556708778 , 0.272837972648619 , 0.501357201602996 , 0.0956969656593273 | 0.0000033 |
| 49 | 50 | 0.5 | 0.0 | 1.0 | control , control , control , control , control , control , control , control , control , control , control , control , control , control , control , control , control , control , control , control , control , control , control , control , control , control , control , control , control , control , control , control , control , control , control , control , control , control , control , control , control , control , control , control , control , control , control , control , control , control , intervention , intervention , intervention , intervention , intervention , intervention , intervention , intervention , intervention , intervention , intervention , intervention , intervention , intervention , intervention , intervention , intervention , intervention , intervention , intervention , intervention , intervention , intervention , intervention , intervention , intervention , intervention , intervention , intervention , intervention , intervention , intervention , intervention , intervention , intervention , intervention , intervention , intervention , intervention , intervention , intervention , intervention , intervention , intervention , intervention , intervention , intervention , intervention , intervention , intervention , -0.56504363963615 , 0.911117623282571 , -1.29832211345632 , -0.814762570727284 , -0.875871471679184 , -0.535649916528932 , -1.13592151716083 , -1.42342444739939 , -0.594153604173861 , -0.184949027982267 , 1.00625373363618 , -1.42368147384597 , 1.10483248284563 , -0.0170828214733807, -0.0673681962558156, -0.164015016170082 , 2.34856244315134 , -0.478258839566921 , 2.73542252391867 , 0.337037458913234 , 0.937100172513249 , 0.179788172904966 , -0.0314073487615882, 0.37991546734121 , -0.204552425962464 , 0.10682646892277 , -1.0061726011108 , 0.729984815784391 , 0.0952103876651684 , 0.144400978458994 , -1.03935431866622 , 0.419276381850488 , 0.388910828618685 , -0.727095625264886 , -0.547542321740637 , 1.04726933564357 , 2.74587218726958 , -0.589482780640066 , 0.120907394227337 , 0.66487567551316 , 0.15520884498388 , -0.190995981207949 , 0.848917435332924 , 0.744962690256237 , -0.538205345746054 , -1.43756873290758 , -0.324661055911228 , -1.52849010967259 , -0.742959527448486 , -0.067444473253451 , 2.50908592146578 , 0.136002737578238 , 0.518873674801976 , 0.901281444289437 , 0.485573222610782 , 0.771880645176634 , 0.385686010078181 , 0.0820315741286973 , 0.465138127927458 , -0.0706282280144402, -0.61032616751368 , -0.655373808197666 , 1.25452800428516 , -1.03917916811201 , 0.104978195460302 , -1.93211413264738 , -0.213923471290093 , 0.884873042386858 , 0.315788301613246 , 0.0756416151075067 , -0.204966305923968 , 3.07721005751431 , -0.825801537703674 , -0.338881692494518 , 1.02156902470971 , -0.586216731887034 , 0.840269860921727 , 1.83602291391504 , 0.93772575285137 , 0.298044791787435 , -0.673079825090984 , -1.39581738245645 , -1.94297219170871 , 0.0942682458175158 , -0.305681469205888 , 0.241216047705446 , 1.74929703523653 , 0.387141997306356 , 1.41457593671 , -2.31748596273854 , -1.09291224526268 , 1.99670465744236 , 2.13765483508781 , 1.98677055402294 , 1.68280865129896 , -1.25432138699091 , 0.760614567910556 , 0.509456686616738 , 0.350751902541077 , 1.47049105989171 | 0.1252553 |
| 49 | 50 | 0.5 | 0.1 | 0.5 | control , control , control , control , control , control , control , control , control , control , control , control , control , control , control , control , control , control , control , control , control , control , control , control , control , control , control , control , control , control , control , control , control , control , control , control , control , control , control , control , control , control , control , control , control , control , control , control , control , control , intervention , intervention , intervention , intervention , intervention , intervention , intervention , intervention , intervention , intervention , intervention , intervention , intervention , intervention , intervention , intervention , intervention , intervention , intervention , intervention , intervention , intervention , intervention , intervention , intervention , intervention , intervention , intervention , intervention , intervention , intervention , intervention , intervention , intervention , intervention , intervention , intervention , intervention , intervention , intervention , intervention , intervention , intervention , intervention , intervention , intervention , intervention , intervention , intervention , intervention , -0.900286797654745 , -0.097941230256151 , -0.053742309885562 , 0.390243838650566 , -0.992315964982867 , -0.139522300197939 , -0.782302619698449 , 0.553804912839397 , 0.123291761079894 , 0.594194405271569 , -0.0194822841326477, -0.30376566852639 , -0.25365738657518 , -0.671675687657767 , 0.415768779000049 , 0.841560746609775 , 0.268348172237583 , 0.923811047218727 , 0.117039470863519 , 0.415958313713568 , -0.49545783314984 , 0.5035973747416 , -0.0529415459484387, 0.210672360572408 , 0.58154548817459 , -0.175569627668817 , -0.339733457701186 , 0.0506224974362799 , 0.53841134094118 , -0.168455044235891 , -0.491517681250062 , -0.285081442932519 , 0.333390504285095 , 0.120210878964222 , 0.511050813754557 , -0.945859111055338 , -0.0853289180267636, 0.828726635556615 , 0.54438491628393 , -0.0379511340270067, 1.21194230261241 , 0.567607639007026 , 0.616055579711347 , -0.213821218268071 , -0.104167653353536 , 0.447773246378278 , -0.396861346594142 , -0.567729394006665 , 0.447406847819487 , -0.0940633628917363, 0.89321926442906 , 1.56432703478721 , 0.827964100243693 , 1.18547423459775 , 0.300493652837265 , -0.407315491003214 , 0.435301896189318 , 0.22461661059923 , 0.435563714546147 , 0.125142799990556 , 0.152569950181488 , -0.479027976004615 , 0.951796434105638 , 0.626041280756092 , 0.499163443746541 , -0.299148409508969 , 0.481895997246911 , -0.0720554865831499, 0.799482496276157 , -0.0727302842321013, 0.065559528758588 , -0.230062340710843 , 0.0938046878977502 , 0.678106857611161 , 0.793605498209721 , 0.782860865649645 , 0.781844668202062 , 0.246571127259786 , 0.538166281005984 , 1.22026438372241 , 0.492566192387249 , -0.639092963327629 , 0.0146523058082431 , 0.682655957518726 , 0.781926442881224 , 0.814617639412577 , 0.44608922978218 , 0.820903579408989 , 0.713268904348238 , -0.462542137579541 , 1.30147434321428 , 0.346696025099803 , 0.129084788363124 , 0.6919907399657 , 0.71633449471184 , 0.792960142859541 , 0.586398812310738 , 0.244034998868119 , 0.949832858360785 , -0.420346868129458 | 0.0003475 |
| 49 | 50 | 0.5 | 0.1 | 1.0 | control , control , control , control , control , control , control , control , control , control , control , control , control , control , control , control , control , control , control , control , control , control , control , control , control , control , control , control , control , control , control , control , control , control , control , control , control , control , control , control , control , control , control , control , control , control , control , control , control , control , intervention , intervention , intervention , intervention , intervention , intervention , intervention , intervention , intervention , intervention , intervention , intervention , intervention , intervention , intervention , intervention , intervention , intervention , intervention , intervention , intervention , intervention , intervention , intervention , intervention , intervention , intervention , intervention , intervention , intervention , intervention , intervention , intervention , intervention , intervention , intervention , intervention , intervention , intervention , intervention , intervention , intervention , intervention , intervention , intervention , intervention , intervention , intervention , intervention , intervention , 1.27583772358633 , -0.229289279080967 , -1.08665799943172 , -0.267277223036673 , 0.822924883798525 , -0.269925284987087 , -1.33802582554616 , 0.969033355027863 , -0.302640204117189 , -0.67925885796487 , 0.751173494158666 , -0.851447248107256 , -1.58917207807878 , -0.802068159570302 , 0.788543948297616 , -0.651756088181971 , 1.37328259387533 , -0.567665238459783 , 1.76608497066932 , 1.43845322177446 , 0.985291842578201 , 0.137730954656138 , 0.764809880547046 , 0.961094135871361 , 0.59783003233909 , 0.444146705878763 , 1.10391856562071 , -0.113913281627777 , 2.32123332450253 , 0.141069751928581 , 0.465360116084143 , 0.0866170802902777 , 0.883871663554646 , 0.762212278096981 , 0.813117467956492 , -0.606556120966919 , 1.51963639687195 , -0.620335412943044 , 0.0777898830198164 , -1.20226311059459 , 0.753513219842242 , 1.23318984708018 , 0.886820503342652 , -0.520063822209678 , 1.37225195923798 , -0.173318216692638 , 0.667512612851858 , -1.83039651042472 , 0.0957793153188547 , -0.21271576039653 , 0.860198118281053 , 0.929204068171611 , 0.365810882873593 , 0.631378361286595 , -0.0258718296327748, 0.00349171044319591, -1.56855734692835 , 0.420082270716658 , 2.15663919437569 , 0.110075643503134 , 0.560539695984928 , 1.43911059102179 , 0.877880917798028 , 1.15980011967613 , -0.264496389266316 , -0.278812162103118 , 1.15850811861446 , 0.737271368918235 , 1.62225450162015 , 1.20825080236076 , 0.864034814996037 , 2.47854095882702 , -0.719318385784616 , -0.768831276105959 , -1.05908867080132 , -0.104865911350283 , 2.85643989443575 , 1.55766226951357 , 0.398018700921225 , 0.56914897632119 , 0.197227752325156 , 1.0875819465967 , 0.692443325078316 , -0.76553471127243 , 1.7559657801073 , 2.14099030540099 , -0.761846678048878 , -0.198810085508705 , -0.374743902518268 , -1.29755178169164 , -1.03469994840345 , 0.981369080253931 , 0.284719418648897 , 0.114723118315762 , 0.832198975222844 , -0.576439181964578 , 0.649472696187875 , -1.22894036758653 , 0.440763322836233 , 1.66616143488581 | 0.2855097 |
| 50 | 20 | 0.0 | 0.0 | 0.5 | control , control , control , control , control , control , control , control , control , control , control , control , control , control , control , control , control , control , control , control , intervention , intervention , intervention , intervention , intervention , intervention , intervention , intervention , intervention , intervention , intervention , intervention , intervention , intervention , intervention , intervention , intervention , intervention , intervention , intervention , -0.293260190269999 , -0.192581312730298 , -0.135683644800695 , 0.425469164201754 , -0.585519648031724 , -0.113167315068965 , -0.584636146125506 , 1.00840395789317 , 0.660811531606734 , -0.192288348701435 , 0.615029452359988 , -0.16953658184526 , -0.393742609554304 , -0.332283672438647 , 0.920409759868782 , 0.407848483326382 , -0.407008983730951 , -0.307852809766708 , 0.0417827190787663 , 0.234606003319965 , -0.847435576843162 , -0.0605377305901509, -0.0416487691048566, 0.651903117340683 , 0.433091825341455 , -0.144979526622874 , 0.68177614514566 , -0.813120382348769 , -0.217076386078126 , -0.148349299576518 , -0.114199026890539 , 0.347401713839773 , -0.0724919130415983, 0.385421489927505 , -0.19719128186533 , 0.0347216091692764 , 0.290643979803348 , 0.0467279649684218 , 0.358532940805086 , -0.607143601950982 | 0.8259865 |
| 50 | 20 | 0.0 | 0.0 | 1.0 | control , control , control , control , control , control , control , control , control , control , control , control , control , control , control , control , control , control , control , control , intervention , intervention , intervention , intervention , intervention , intervention , intervention , intervention , intervention , intervention , intervention , intervention , intervention , intervention , intervention , intervention , intervention , intervention , intervention , intervention , 0.85998622396685 , -0.74903370391418 , -0.729255287616138 , 1.7817330718226 , 0.749332209067846 , -1.44005666884762 , -1.23731183034225 , -1.22479946684956 , -3.15529743538735 , 1.45366418929944 , 0.0267965163852526 , 0.852364425827289 , 0.000662509971673578, 1.07599389842639 , 0.115238206820996 , 0.617471267361915 , -0.738963090259131 , -1.34118496775268 , -0.089593351473006 , -0.455429515543402 , 1.17103987128315 , -0.372550002576339 , 0.763296995142211 , 1.26976526625471 , 0.426436231866297 , 0.67698055280281 , -0.152525110853197 , -0.994249329304025 , 0.834831705414009 , 1.41521426627784 , 0.743445265028501 , -0.100668522769632 , 1.88066937931876 , -1.54631073260316 , 0.95878366296876 , -0.539571912604895 , 0.862187600284496 , -1.90400101850926 , -0.70867561745663 , -1.49233962807617 | 0.3496596 |
| 50 | 20 | 0.0 | 0.1 | 0.5 | control , control , control , control , control , control , control , control , control , control , control , control , control , control , control , control , control , control , control , control , intervention , intervention , intervention , intervention , intervention , intervention , intervention , intervention , intervention , intervention , intervention , intervention , intervention , intervention , intervention , intervention , intervention , intervention , intervention , intervention , -0.0468999204894999, 0.257659042308069 , -0.364882031986329 , 0.217169848608975 , 0.00730109682136601, -0.218681642481266 , -0.087410168093492 , -0.482784575892342 , 0.159254412250606 , 0.300725733976146 , 0.0356632220887328 , -0.628108328733703 , 0.383966961111652 , 0.090818731330613 , 0.356348711963232 , 0.456732431141399 , -0.654469169769798 , 0.271611680449619 , 0.74742190887322 , 0.168814022191462 , -1.03283012604067 , 0.023738050926999 , -0.109238846427639 , 0.124700458686321 , 0.522809874161184 , 0.152080695465079 , -0.22812445554212 , 0.506980481855472 , 0.631023333969938 , -0.310180771544959 , -0.571988626478958 , 0.417362310129572 , -0.218957650753897 , 0.352902391274275 , -0.24494204192751 , 0.554399579248126 , -0.0482574086211629, -0.436921873777855 , -0.597738941868988 , 0.123527046317136 | 0.6027022 |
| 50 | 20 | 0.0 | 0.1 | 1.0 | control , control , control , control , control , control , control , control , control , control , control , control , control , control , control , control , control , control , control , control , intervention , intervention , intervention , intervention , intervention , intervention , intervention , intervention , intervention , intervention , intervention , intervention , intervention , intervention , intervention , intervention , intervention , intervention , intervention , intervention , -0.529396597622254 , 0.124069050668205 , -0.377929297907169 , 0.679194029733101 , 0.1497617580741 , -1.25647183422486 , 1.55584386061501 , 0.629173959299445 , 0.013914219575655 , -0.750090164228172 , -0.534271097222056 , -0.12421676890276 , 0.411600208981943 , -0.0198379797178954, -1.40777923427856 , 0.148349282292848 , 0.79453802406952 , -1.04953073589381 , -0.323355284043742 , 2.21168604242153 , -2.39244119144834 , 0.62616064290864 , 0.91800331640075 , 0.692655354716188 , 0.0716135268215009 , -0.190771203813112 , -0.696425951687209 , 1.17806351490948 , -0.822311338584506 , -0.221874987356543 , 0.608915335634726 , 0.31732571473001 , 0.816918775213383 , 1.19331694159672 , 0.264577723906531 , 0.48420589598698 , -2.54373060581229 , 2.64959963056094 , 0.918338924154717 , 0.0786584723942716 | 0.5889575 |
| 50 | 20 | 0.5 | 0.0 | 0.5 | control , control , control , control , control , control , control , control , control , control , control , control , control , control , control , control , control , control , control , control , intervention , intervention , intervention , intervention , intervention , intervention , intervention , intervention , intervention , intervention , intervention , intervention , intervention , intervention , intervention , intervention , intervention , intervention , intervention , intervention , 0.0069848014380695 , -0.0301830430434891, -1.08607556283369 , -0.141710288111572 , 0.430584986320151 , 0.189912660235885 , 0.364423857968999 , 0.120382678606627 , -0.653174411138745 , -0.911394215784331 , -0.179744111472948 , 0.131816175398047 , 0.0997317511322645 , 0.624549441257249 , -0.996391694195459 , 0.954056456737559 , 0.656899742333335 , 0.829434948294445 , -0.382811595826407 , 0.206199475439906 , 0.105894790772345 , 0.679948949009255 , 0.0336685953026218 , -0.293907957404024 , 0.361718258317826 , 1.07657474581629 , -0.21590414473199 , 0.584697832465029 , 0.347834358144327 , 1.24166289672811 , -0.419995746915638 , 0.0971809691913852 , -0.274089030029625 , 0.389487577449143 , 0.644526455485936 , 0.591983149757349 , 0.00503900625428477, 1.19112509530568 , 1.737184981536 , 1.2401180917261 | 0.0229992 |
| 50 | 20 | 0.5 | 0.0 | 1.0 | control , control , control , control , control , control , control , control , control , control , control , control , control , control , control , control , control , control , control , control , intervention , intervention , intervention , intervention , intervention , intervention , intervention , intervention , intervention , intervention , intervention , intervention , intervention , intervention , intervention , intervention , intervention , intervention , intervention , intervention , 0.29372956264782 , 1.01418089570453 , 1.45506458991211 , 0.842044501890065 , 1.16906440944752 , -1.63503226738723 , 0.508664930936637 , -1.12427842560865 , 0.997426028593952 , 1.60153657146972 , 1.05281782404258 , 0.992496636251776 , 0.925474417636582 , -1.53941947991812 , -0.883004821650746, 0.92742463138566 , -0.226859090542114, 0.651749296513724 , 1.94326847740038 , -1.32605977969314 , 0.678873496572544 , 0.562274916834719 , 0.284172819953217 , 1.74179300580238 , 0.223069157661182 , 1.06535360623221 , 2.53783178233658 , 0.664947211770063 , 0.137937720181155 , 0.925542723075309 , 0.160993559948042 , 1.45668305376235 , -1.15831680744633 , 1.14821176557225 , 1.99528489239151 , 1.12324165080646 , 0.636017311494844 , -0.242918412441048, 1.1071487491576 , -0.219491033679813 | 0.2549620 |
| 50 | 20 | 0.5 | 0.1 | 0.5 | control , control , control , control , control , control , control , control , control , control , control , control , control , control , control , control , control , control , control , control , intervention , intervention , intervention , intervention , intervention , intervention , intervention , intervention , intervention , intervention , intervention , intervention , intervention , intervention , intervention , intervention , intervention , intervention , intervention , intervention , 0.384801783952581 , -0.0100169259108204, -0.258619358721176 , -1.12355077918897 , -0.0538731059207328, 0.543287916410906 , 0.18297607071179 , 0.781378580463963 , -0.391468989009162 , -0.241382877942673 , -0.519830494528486 , 0.299091297106244 , -0.149923860115832 , 0.398784869741849 , -0.157697507156846 , 0.411941368736695 , -0.125172210660936 , -0.158279233907589 , 0.593214945735399 , 0.982969604017013 , 0.91576484069992 , 0.529216869019761 , 0.586261960099913 , 0.631769052554297 , 0.488124093093806 , 0.476389937334829 , 0.0743673769921913 , 0.617225094949265 , 1.18514870115449 , -1.08323759033111 , 0.738801645921775 , -0.088612694806836 , 0.587034188833679 , 0.198553359484739 , -0.175259830357887 , 0.316594306558798 , 0.103621552735013 , 0.381229061059963 , 0.267983826041178 , 0.949186784259286 | 0.0490471 |
| 50 | 20 | 0.5 | 0.1 | 1.0 | control , control , control , control , control , control , control , control , control , control , control , control , control , control , control , control , control , control , control , control , intervention , intervention , intervention , intervention , intervention , intervention , intervention , intervention , intervention , intervention , intervention , intervention , intervention , intervention , intervention , intervention , intervention , intervention , intervention , intervention , -0.434341259377305 , 1.20964856614847 , 0.809499128301661 , 1.01589768730155 , 0.0778120172795927 , 2.95493478718389 , 2.44664649046445 , 0.744022579134882 , -0.531120974469758 , 1.70854283466838 , 0.353706228243442 , 0.561169068656401 , -0.0927953498300552 , 0.945746306068217 , 0.750931014981632 , -1.62327858690067 , -1.16369673424529 , 0.294598156578655 , -0.00345294005450852, 0.0391019650230475 , 1.62529528794305 , -1.32486266934738 , 1.70935983858612 , -1.38088531787918 , -2.01589502928318 , 2.836792129227 , 0.420611916425625 , 1.74950858970147 , 0.480672567627529 , 1.3864067106351 , 1.91751134163056 , 0.677437676846698 , -0.211074521504775 , 1.57920364296119 , 1.34700173027409 , -0.22087395030079 , 0.834206821849664 , -0.125828396789847 , 1.62002708201893 , -0.747069907225387 | 0.7837065 |
| 50 | 50 | 0.0 | 0.0 | 0.5 | control , control , control , control , control , control , control , control , control , control , control , control , control , control , control , control , control , control , control , control , control , control , control , control , control , control , control , control , control , control , control , control , control , control , control , control , control , control , control , control , control , control , control , control , control , control , control , control , control , control , intervention , intervention , intervention , intervention , intervention , intervention , intervention , intervention , intervention , intervention , intervention , intervention , intervention , intervention , intervention , intervention , intervention , intervention , intervention , intervention , intervention , intervention , intervention , intervention , intervention , intervention , intervention , intervention , intervention , intervention , intervention , intervention , intervention , intervention , intervention , intervention , intervention , intervention , intervention , intervention , intervention , intervention , intervention , intervention , intervention , intervention , intervention , intervention , intervention , intervention , -0.588867767601487 , 0.065372162147777 , 0.521766244089215 , -0.204928188994978 , -0.186005311296622 , -0.0455123378731071 , -0.489438107316925 , -0.652156286814152 , -0.17977129224924 , 0.235011645929123 , -0.505630590264498 , 0.0348438756977338 , 0.208519331067047 , -0.451535497623689 , 0.215517879755943 , 0.0582349191064187 , 0.915543297656372 , -0.0923332686912316 , -0.215066952907653 , -0.740690017047047 , 0.899492004277744 , -0.0950096578832365 , -0.688636346871269 , 1.01672429850184 , 0.2719534464943 , -0.207520838184948 , -0.469450314137846 , 0.5829257548206 , -0.501656118411931 , -0.432636195849428 , -0.566265227596464 , 0.697642249521231 , 1.13145639046741 , 0.0617967298342946 , 0.199261174326559 , 0.788274334021856 , 0.284787826143696 , 0.0223451789168214 , 1.29774752881264 , -0.0614017305083246 , 0.233962500506028 , 0.630528023789946 , 0.41901424347591 , -1.23859227929773 , -0.020076856344924 , 0.613878820161182 , -0.802395875111998 , -0.405515134487707 , 0.0443979660836018 , -0.500699772871371 , 0.0953196560418926 , 0.635687784852674 , -0.717000650562916 , -0.39826914696482 , 0.310794626231649 , -0.523162132218367 , 0.0943220124642672 , -0.753005683340307 , 0.345009040420576 , -0.258361803941934 , 0.213832596031301 , -0.109130531778822 , -0.121082782963185 , -0.488573928610375 , -0.267711883324248 , 0.034803245512738 , -0.180645260010538 , 0.401230089768435 , -0.00391553779915932, -0.19145030380607 , -0.440334867275974 , -0.272215878219362 , 0.0358278167619525 , -1.40572021081991 , 0.293450981552462 , -0.799705026978166 , -0.0959218011840187 , -0.26915837325421 , 0.696544405692495 , -1.51937847077222 , 0.398557768306118 , -0.774772837799628 , 0.392081127337069 , -0.26584831359579 , 0.686707484957641 , 1.07430013836214 , -0.177526416097521 , -0.0703211887606689 , 0.0470465416275815 , -0.0539252091101945 , -0.3047940592183 , 0.197630857792491 , -0.161993151977655 , -0.0720232044653235 , -0.281719791482312 , 0.935092581214602 , 0.298304510174955 , -0.943925605031818 , 0.0435404949367272 , 0.919856892716099 | 0.3716197 |
| 50 | 50 | 0.0 | 0.0 | 1.0 | control , control , control , control , control , control , control , control , control , control , control , control , control , control , control , control , control , control , control , control , control , control , control , control , control , control , control , control , control , control , control , control , control , control , control , control , control , control , control , control , control , control , control , control , control , control , control , control , control , control , intervention , intervention , intervention , intervention , intervention , intervention , intervention , intervention , intervention , intervention , intervention , intervention , intervention , intervention , intervention , intervention , intervention , intervention , intervention , intervention , intervention , intervention , intervention , intervention , intervention , intervention , intervention , intervention , intervention , intervention , intervention , intervention , intervention , intervention , intervention , intervention , intervention , intervention , intervention , intervention , intervention , intervention , intervention , intervention , intervention , intervention , intervention , intervention , intervention , intervention , -0.471800714050389 , -0.289174856038294 , 0.332937138244736 , -2.03309896283661 , 0.890757709053551 , 0.742451531245308 , 0.271803181021032 , -0.879261206359416 , 1.05435996450837 , -0.213433005847994 , 0.407457267247598 , 0.291932391450836 , -0.214066366318474 , -0.300757967292468 , -0.63670053669936 , 2.29573113726506 , 1.17073507610681 , 0.46009629663678 , -1.01436768834321 , 0.501315183607723 , -0.506585929185922 , -0.57101943609973 , 1.03858382213768 , 1.28802230812515 , 0.501991143336371 , 0.418537272399436 , -0.953425994148522 , 0.525610506680701 , -0.260333622729524 , -0.409836273809551 , 0.191238935091447 , -0.442940898996454 , -0.272540705898941 , -0.167180584733207 , 1.16629223810405 , -0.32112401608927 , 0.246135010244604 , -0.286848245442845 , 0.247983134162657 , -0.0579891093945263, 0.0192525730121187 , -0.644973835297179 , 0.543364537422724 , 0.736842178690469 , 1.33263855354017 , 1.22411708781819 , 0.819124958275128 , -0.41261972073921 , -0.872500371454712 , -0.336155713549219 , -0.334986380157523 , -0.136079607981443 , -1.29566928472685 , -0.0849760574887008, 1.11397384765929 , -0.28482957541608 , -1.62334444291417 , 1.59066802299827 , -0.806996605308319 , 1.04196461348079 , 0.926554161245562 , -1.93001244449762 , -1.0250662162938 , 1.53204282381725 , -1.15367778971506 , 0.346026508704094 , -0.230420033754829 , 1.34832045025506 , -1.97279207519168 , -0.269373553963557 , 0.483516472575097 , -0.878297167287725 , 0.702609381285007 , 1.28583124990866 , -1.59955855413809 , -0.263383484806535 , 0.835183587228486 , -0.0317634705212833, -1.28877759817925 , -0.174689485809005 , -0.745115476543299 , -0.141973023418089 , -0.236593760807568 , 0.127963041565772 , 0.398215107208768 , -0.892087047728423 , -0.865832329185574 , -0.264595267692379 , -0.156763224573296 , 2.48774280177541 , 1.16497166774173 , -0.100945004277574 , 1.41981480557593 , 0.60867768687674 , 0.283037107456363 , 1.36792201166814 , 0.17015730323209 , 0.145610109955548 , -0.627652295715062 , 0.106967497640076 | 0.4965708 |
| 50 | 50 | 0.0 | 0.1 | 0.5 | control , control , control , control , control , control , control , control , control , control , control , control , control , control , control , control , control , control , control , control , control , control , control , control , control , control , control , control , control , control , control , control , control , control , control , control , control , control , control , control , control , control , control , control , control , control , control , control , control , control , intervention , intervention , intervention , intervention , intervention , intervention , intervention , intervention , intervention , intervention , intervention , intervention , intervention , intervention , intervention , intervention , intervention , intervention , intervention , intervention , intervention , intervention , intervention , intervention , intervention , intervention , intervention , intervention , intervention , intervention , intervention , intervention , intervention , intervention , intervention , intervention , intervention , intervention , intervention , intervention , intervention , intervention , intervention , intervention , intervention , intervention , intervention , intervention , intervention , intervention , 0.262207685532985 , 1.02568862600284 , 0.503170776858063 , -0.0974141394508277, 0.752730541854545 , -0.779709140420889 , -0.30930810753957 , 0.103600734282572 , 0.760011680834288 , 0.0233919066411781 , -0.0654063578252238, -0.271374950490283 , 0.518421513208472 , 0.519749122947695 , -0.240771786466688 , -0.202939992215555 , 0.32268588318409 , 0.096043779884498 , -0.106096108013885 , 0.768982892869195 , 0.635094605606636 , -0.544690988902335 , -0.206087039167007 , 0.491346077417161 , -0.051600967110259 , 0.516349065085951 , 0.361685192179104 , -0.33743594916515 , 0.389851389612294 , 0.192739306181172 , 0.765609092328151 , 0.490818375128671 , -0.435701893285227 , -0.284526935228658 , -0.0923634717923692, -0.512248166823983 , 0.445918085956539 , 0.832254209636969 , 0.0375012439256873 , 0.763083679871591 , 0.471877024479871 , -0.0609514767830624, -0.743914507161667 , 0.412636632430923 , -0.006911521585713 , -0.51156265420626 , 0.0788136752382708 , 1.48400880268535 , -0.162854694965713 , 1.18382765872247 , 0.134917381607504 , -0.211794905868062 , 0.605642568987817 , -0.515849869515909 , 0.763918081761897 , 0.238035653549519 , 0.200026163552197 , -0.298647728098326 , -0.39074008872297 , -0.628699679940407 , -0.0383930905817346, -0.666860347700376 , 0.199333780760968 , 0.477314479734718 , 0.13972176760652 , 0.245806486664146 , -0.313754643827431 , -0.0499533155947048, -0.411672416473381 , 0.211584346863142 , 0.158981107246603 , -0.276300915553363 , 0.819772743266588 , -0.0944335099125425, -0.351025796137398 , -1.2995681432391 , 0.741286532958281 , -0.316318062321768 , -0.607122982173659 , 0.351133229599229 , 1.24686783217798 , -0.334524504356751 , -0.0965693308731417, -0.0756653172341783, 0.168988098194028 , 0.245790440582063 , 0.937014360019311 , 0.157758844326985 , -0.102534814974303 , -0.230368755373411 , -0.150014050540221 , 0.307324754715424 , -0.797428463134636 , -0.21527552584372 , 0.469273341290205 , -1.02320701829678 , 0.0950822289040559 , 0.0307752936151308 , 0.169247570143013 , -0.922309568187297 | 0.0399742 |
| 50 | 50 | 0.0 | 0.1 | 1.0 | control , control , control , control , control , control , control , control , control , control , control , control , control , control , control , control , control , control , control , control , control , control , control , control , control , control , control , control , control , control , control , control , control , control , control , control , control , control , control , control , control , control , control , control , control , control , control , control , control , control , intervention , intervention , intervention , intervention , intervention , intervention , intervention , intervention , intervention , intervention , intervention , intervention , intervention , intervention , intervention , intervention , intervention , intervention , intervention , intervention , intervention , intervention , intervention , intervention , intervention , intervention , intervention , intervention , intervention , intervention , intervention , intervention , intervention , intervention , intervention , intervention , intervention , intervention , intervention , intervention , intervention , intervention , intervention , intervention , intervention , intervention , intervention , intervention , intervention , intervention , 1.32511011148451 , 0.442310322133212 , 1.12998491139082 , 0.668366529345681 , -0.408217875700462 , -0.913686458808053 , 2.48837794297458 , 0.854710193252015 , -1.9704612104088 , 2.1492932529788 , 0.222232534200059 , 1.68498099542574 , -1.26204649273789 , 0.688062650431518 , -0.143294304184767 , -0.348047272393866 , -0.72682064408545 , -0.383803923500104 , -0.674674785375509 , 0.265436861705636 , 1.51853144668209 , -0.129753144668833 , 1.20335941750686 , 0.446855636929386 , -0.656369437405506 , 0.203959072511478 , 0.67390247369663 , -2.02887286957781 , -0.689091775563641 , 0.31206811179683 , 0.150794117754134 , 0.664297845894364 , 0.471656703480766 , 0.656238048010668 , 1.41277928831394 , -0.9042166398131 , -1.10986493698947 , -1.72270928957642 , -1.91631918868643 , -0.459058775230518 , -0.152538454031153 , 0.658557930322553 , 0.209814752446488 , -0.230343063772186 , -0.81547923065356 , 0.201493070802933 , -0.402519936690523 , 0.943137522714072 , 1.34913074897001 , -0.160945588744453 , -1.26353551460363 , -1.18151745226162 , 0.0161929376207639 , -0.543633613270863 , -0.892619198064358 , 1.22367358852879 , 1.30374255552098 , -0.937475139111435 , 0.706320835161154 , 0.114320046334116 , -0.771216408252718 , 0.891572858811922 , -0.0648953898494816, -1.31034531558066 , 1.97237875156013 , 2.16056188925261 , -0.217085847660233 , 0.506974563758643 , -1.1843201842404 , -0.405043899313423 , -0.192159497520162 , -1.9592420946726 , -0.260719405338248 , -0.981043672008644 , -0.858969256556745 , 0.248643005668713 , 0.681778826655342 , 0.261466820478972 , 0.299172735180871 , 0.035595841779469 , -0.087485585921438 , 0.591911186742005 , 0.644859700950684 , 2.18936120476861 , -0.475277259340707 , -0.809289066974945 , 0.263079433531296 , 1.55794013952077 , 2.06468503263033 , -0.163212063861857 , 0.550337873769771 , 0.577686414193317 , -0.894124386758326 , 0.30173239812981 , -1.3089039530927 , 2.45876438824589 , -0.576488006800383 , -0.20848574788773 , 0.982919884920736 , -0.818376657467142 | 0.9579140 |
| 50 | 50 | 0.5 | 0.0 | 0.5 | control , control , control , control , control , control , control , control , control , control , control , control , control , control , control , control , control , control , control , control , control , control , control , control , control , control , control , control , control , control , control , control , control , control , control , control , control , control , control , control , control , control , control , control , control , control , control , control , control , control , intervention , intervention , intervention , intervention , intervention , intervention , intervention , intervention , intervention , intervention , intervention , intervention , intervention , intervention , intervention , intervention , intervention , intervention , intervention , intervention , intervention , intervention , intervention , intervention , intervention , intervention , intervention , intervention , intervention , intervention , intervention , intervention , intervention , intervention , intervention , intervention , intervention , intervention , intervention , intervention , intervention , intervention , intervention , intervention , intervention , intervention , intervention , intervention , intervention , intervention , -0.317353283222017 , 0.853912711386732 , 0.234650183449617 , -0.352855912291621 , 0.100795508818798 , 0.141319280657253 , -0.0438407094728337, 0.0552552263796107 , 1.51564768923241 , -0.294140257314141 , 0.44601400851079 , 0.229212582930925 , -0.561349915804173 , -0.688760116431762 , -0.378359955926953 , 0.250225933166983 , 0.144951420569571 , -0.330952010063173 , 0.402719468897209 , 0.199775968650647 , -0.0704140611166061, -0.574166373873884 , 0.773810147552103 , -0.119825045994891 , 0.745153436086035 , -0.150381688877811 , -1.02530109214697 , -0.124839839101222 , -0.177540083579311 , -0.390009527813757 , 0.272159996304473 , 0.203719457946738 , -0.236090154845855 , -0.078036998399723 , -0.333291867042598 , 0.259782760473284 , -0.459812608983043 , -0.593526794607737 , 0.704840487451002 , 0.112414379862604 , 0.259047055435284 , -0.147773875923587 , 0.142546822906098 , 0.552171490080307 , 0.247740498159948 , 0.0443093419139504 , -0.296548401834307 , -0.337256947714051 , -0.174095401384985 , 0.102154999122698 , 0.484305896476237 , -0.146050704563027 , 0.178030665342956 , 0.0178758653159976 , 1.03243643119109 , 0.205222478333275 , 0.427206552874125 , 1.17697548917944 , 0.930099932639392 , 0.869318624798707 , 0.175025868213263 , 0.203689013534486 , 0.675433088903692 , 0.463825470297559 , 0.555856008325486 , 0.783424287155863 , -0.449802747243255 , 0.188461147367786 , 1.37253546819034 , 0.954949458375426 , 0.363591424951811 , 0.402665924877665 , 0.516054865069328 , 0.0220178834312327 , -0.32278397723499 , 0.155137066596843 , 0.786979864179525 , 1.02111063224323 , 0.0206189504847519 , 1.1478659251553 , 0.973248220853733 , 0.723698361145057 , 0.493380494671013 , 1.50814036998291 , -0.188991985464671 , 1.2360345015364 , 0.922752368173199 , 0.310708839578826 , 0.401217731644848 , 0.224482404485035 , 0.363181708726887 , 0.539817263917017 , 0.808896499029629 , 0.595088120824612 , 0.819489912187293 , 0.585119929577082 , 1.15319219789325 , 1.0892414213939 , 0.623904381587141 , -0.130599066677475 | 0.0000001 |
| 50 | 50 | 0.5 | 0.0 | 1.0 | control , control , control , control , control , control , control , control , control , control , control , control , control , control , control , control , control , control , control , control , control , control , control , control , control , control , control , control , control , control , control , control , control , control , control , control , control , control , control , control , control , control , control , control , control , control , control , control , control , control , intervention , intervention , intervention , intervention , intervention , intervention , intervention , intervention , intervention , intervention , intervention , intervention , intervention , intervention , intervention , intervention , intervention , intervention , intervention , intervention , intervention , intervention , intervention , intervention , intervention , intervention , intervention , intervention , intervention , intervention , intervention , intervention , intervention , intervention , intervention , intervention , intervention , intervention , intervention , intervention , intervention , intervention , intervention , intervention , intervention , intervention , intervention , intervention , intervention , intervention , 0.433110031435944 , 1.27944704288396 , 0.913409407882869 , -1.02887484642595 , -0.703958185578708 , 0.617031774078648 , 0.598493246308898 , 2.44018365303339 , 0.872926875115738 , -0.893397742224566 , -1.05286563773822 , -0.513170789571652 , 0.148918925907215 , -1.19667940927626 , 0.399787807566068 , -0.0856317072255905 , -2.0231492373783 , -1.51119230747629 , 0.26804070767816 , 0.902408028974408 , 1.934806072347 , 0.272023738716242 , 0.151293915398954 , -0.0793302859152289 , -0.462060010394534 , -0.926909210735431 , -0.620553142115 , -1.83536915876311 , -0.29459414794021 , 1.07799413051292 , -0.272751981560677 , -0.560500493655719 , -0.39429032729297 , 1.22466924438485 , -0.00598397778367062, 1.52592652514377 , -0.582741014758517 , 0.255452911838385 , -1.57440571836713 , -0.584292433553338 , 0.304063629524254 , -1.38904802848116 , 0.773339598502042 , -0.997422262239917 , -0.345056388241386 , 0.622999987349773 , 0.224272264626776 , -0.563803723484305 , 0.577969304621184 , 0.488688607150451 , 0.150230387327135 , -0.130176184252464 , 1.19540201812116 , -0.0195457125022958 , -0.691615732770081 , -0.0653183783162836 , 0.0671377209917703 , 1.00306059742109 , 1.44551919847837 , -0.0344100735278042 , 0.678587809559418 , 0.276573944888824 , 0.642736496341121 , 0.0173169172435663 , 0.765738018556456 , 0.358573896099842 , 0.8987973371065 , 0.591369643878161 , -0.460690642640989 , 1.1911242767113 , 0.0658453729368356 , 1.20684251116193 , -0.0277772748418447 , 0.355093614927153 , 0.365589724337399 , 0.893346210265915 , 0.409745846596332 , 1.674361038337 , 1.3854411951992 , 2.53566720912134 , 0.558543399995856 , 0.950412054237711 , 2.10384188612573 , 1.62885952073553 , 1.09212769338339 , 0.0644723077670732 , -0.195871968741521 , 2.47825629194744 , -0.249852051182397 , -0.331781268499027 , 0.41404116778854 , 1.60661680519301 , 0.631541084117498 , 0.474713233449967 , 0.080306647344987 , -0.442454879212618 , 0.128743891680182 , 0.90421145018863 , 0.537049092679506 , 0.789927664346988 | 0.0002910 |
| 50 | 50 | 0.5 | 0.1 | 0.5 | control , control , control , control , control , control , control , control , control , control , control , control , control , control , control , control , control , control , control , control , control , control , control , control , control , control , control , control , control , control , control , control , control , control , control , control , control , control , control , control , control , control , control , control , control , control , control , control , control , control , intervention , intervention , intervention , intervention , intervention , intervention , intervention , intervention , intervention , intervention , intervention , intervention , intervention , intervention , intervention , intervention , intervention , intervention , intervention , intervention , intervention , intervention , intervention , intervention , intervention , intervention , intervention , intervention , intervention , intervention , intervention , intervention , intervention , intervention , intervention , intervention , intervention , intervention , intervention , intervention , intervention , intervention , intervention , intervention , intervention , intervention , intervention , intervention , intervention , intervention , -0.14619640720823 , -0.633018664326125 , -0.0398958587863066, -0.467484980712683 , -0.497016100421095 , 0.762453118337113 , -0.0711251989470382, 0.0633745610442738 , -0.176518904683383 , 0.322552074951851 , 1.12732133550321 , -0.601833069566041 , 0.1610502701909 , -0.778020543291418 , 1.59545592549003 , 0.250290260903849 , 0.518937608677791 , 0.577960112579205 , -0.0984544217850606, 0.48167166324236 , -0.518112729750694 , 0.190390837163996 , 0.847675867366241 , -0.557980555774923 , 0.0517740208444148 , -0.122680566009969 , 0.776167595931853 , -0.73580550699094 , 0.489306601672334 , 0.199511365422075 , -0.221151840155054 , 0.282002821836291 , -0.355216351459122 , -0.112547122720431 , 0.765350057775508 , 0.295033829548613 , 0.152681841951701 , 0.283502189013753 , 0.240712336043725 , 0.132077960526263 , -0.538784410372876 , -0.162488571382966 , -0.03802836444509 , -0.204394123175124 , 0.036090899599523 , 0.947016162447092 , 0.0473626237877054 , 0.117460443478829 , 0.41703961244976 , 0.163454002897567 , 0.305705515716836 , 0.354533152434807 , 0.198393015613581 , 0.3514849470952 , 0.41090243229599 , 0.110069904360904 , 0.857122715163802 , 0.761893475253888 , 0.571331357640597 , 0.0465766078060212 , 0.32059612756571 , -0.106860451442191 , 0.290046742929556 , 0.585096566407046 , 0.349440176151625 , 0.755641442394834 , 1.0080516427628 , 2.08710258630458 , 0.441230358442489 , 1.24187750647847 , 0.45473063052171 , 1.06162356336587 , 0.279600044055396 , 0.761388987682853 , 0.0153481029152602 , 0.304286234521049 , 1.14474067071386 , 0.760512227425748 , -0.0407407639304062, 0.549562427116385 , 1.01000799869786 , 0.273125406576152 , 0.947796160377869 , -0.144189727042812 , 0.136003752893825 , 0.923340872349487 , 0.633730883569976 , 0.409282459900726 , 0.118596721899984 , 0.62884507823491 , 0.0434479047890018 , 0.396821392562487 , -0.0221377992396915, 0.00568237877027084, 1.32428444011124 , -0.026359937699447 , -0.607840460524757 , 0.174478437387315 , 0.525753690600384 , 0.366197247693987 | 0.0002797 |
| 50 | 50 | 0.5 | 0.1 | 1.0 | control , control , control , control , control , control , control , control , control , control , control , control , control , control , control , control , control , control , control , control , control , control , control , control , control , control , control , control , control , control , control , control , control , control , control , control , control , control , control , control , control , control , control , control , control , control , control , control , control , control , intervention , intervention , intervention , intervention , intervention , intervention , intervention , intervention , intervention , intervention , intervention , intervention , intervention , intervention , intervention , intervention , intervention , intervention , intervention , intervention , intervention , intervention , intervention , intervention , intervention , intervention , intervention , intervention , intervention , intervention , intervention , intervention , intervention , intervention , intervention , intervention , intervention , intervention , intervention , intervention , intervention , intervention , intervention , intervention , intervention , intervention , intervention , intervention , intervention , intervention , 0.853108000335217 , -0.476638670349312 , 0.411095161665265 , -0.2501049607736 , -1.60716932780606 , -0.931933707627814 , 0.88970763994568 , -0.574154497413298 , 1.37747880786582 , 1.63628764418667 , -0.707656496468902 , -0.520095669565536 , 0.698721804473666 , 0.48006744470755 , 0.505159335226236 , 1.38114500124505 , 0.471588620572093 , -0.38006126863484 , -0.026599135868382 , -1.38064146653233 , 0.798071147505886 , 0.535607731859528 , -0.488496776758831 , -0.489460639638804 , 0.339459525241849 , 1.20170166237656 , -0.840845531231247 , 0.707077941096209 , 1.26063177292831 , -0.126001077401224 , 1.31025917966774 , -0.385102775176596 , 0.779911418798193 , 2.26644987231279 , 0.877884027157932 , 2.43257278969486 , 0.840347990708809 , -1.65058350520784 , -1.35102792975682 , 0.0196494932473511 , -1.38558520766157 , -0.0106891366348202, 1.91553510926748 , -0.894092230809545 , -0.283616971687976 , 0.0489778147955182 , 0.199728610703026 , 0.44159984164061 , 1.07182827363991 , 0.845513960969188 , -0.617776426129437 , 1.10411714278035 , -0.420123667640853 , -0.332708415539083 , 0.0461182928009548 , 1.43215568600099 , 0.985355226272313 , -0.871225715254541 , -0.979391222924161 , 0.903874555462298 , 1.26463465402728 , 0.702952861915019 , 0.0732880449170063 , 0.531386135221918 , 2.03701726014897 , -0.109266935028215 , -0.964532104607957 , -0.836771560366951 , 0.80436579735899 , 0.356378821194239 , 0.636875770742581 , 0.310766806955325 , 0.291110999916044 , 0.140055874476079 , 1.48956459751413 , -0.505966409156055 , -0.564977480314115 , -0.880470963502148 , -1.1453261813596 , -1.03732907953427 , -0.130838876404416 , -0.581706263152991 , 1.01539835347044 , -0.116979582980349 , 1.11248968967934 , 1.52731685384876 , -0.902980928456179 , -1.6407896897476 , -0.556539860675495 , -0.160571891419076 , 0.978171322001026 , -1.57113271940625 , -1.61624296593921 , 0.354971602780334 , 1.09409602585466 , 0.695871994932276 , 0.829210027644447 , 1.9791460298617 , -0.570869991362212 , 0.0710798621038882 | 0.5231932 |
| 51 | 20 | 0.0 | 0.0 | 0.5 | control , control , control , control , control , control , control , control , control , control , control , control , control , control , control , control , control , control , control , control , intervention , intervention , intervention , intervention , intervention , intervention , intervention , intervention , intervention , intervention , intervention , intervention , intervention , intervention , intervention , intervention , intervention , intervention , intervention , intervention , 0.461691378138108 , -0.795293129459441 , -0.2807582051782 , -0.0193999844792121, -0.232423462438856 , 0.58378288704354 , -0.59070397716904 , -0.401172954443922 , 0.299802300680665 , -0.543873960255935 , 0.519981257661568 , -0.748130060855019 , 0.162922158037548 , 0.251637686822333 , -0.0829692730759257, -0.782277588997033 , -0.121872715301139 , -0.0309423078677664, 0.28846821516254 , -0.46342615915822 , 0.0546063019113954 , 0.341040632779659 , 0.174527269750359 , 0.298810333434764 , 0.398867360075338 , -1.34299294898755 , -0.276799047948056 , 0.231874425888543 , 0.504109244876871 , -0.265005875880397 , -0.0436051136707871, -0.52153371586148 , -0.348126368414205 , 0.326229905475167 , -0.271784791628885 , 0.167454353898948 , -0.221964491851751 , 0.672184242009355 , -0.045899939404267 , -0.178705815100704 | 0.4441396 |
| 51 | 20 | 0.0 | 0.0 | 1.0 | control , control , control , control , control , control , control , control , control , control , control , control , control , control , control , control , control , control , control , control , intervention , intervention , intervention , intervention , intervention , intervention , intervention , intervention , intervention , intervention , intervention , intervention , intervention , intervention , intervention , intervention , intervention , intervention , intervention , intervention , 1.16185343850335 , 0.514694016565411 , -0.492765262405276, 0.94673393273123 , -1.70525119738358 , -1.31398596228678 , -0.262325435772342, 0.0709989265934046, 0.450982788865071 , 0.434563912163681 , -0.857398439677652, 0.705408820336666 , 0.321977214226099 , 0.0378163062297292, -0.787871329702227, 0.609269458644305 , -0.490769996339934, -3.06809044129038 , 1.39600045070105 , 0.348391213459613 , -0.056478286031556, -0.515551157579495, 0.466361804549917 , 1.27108037913055 , 0.882782572842464 , -0.675233876019278, 1.05232553379057 , -0.361946921007141, 1.72496143750017 , 0.504861720201453 , 0.181052361255294 , -0.965639083433154, 1.29518340510058 , -0.205046321076488, -0.997170650063763, 0.758847581420813 , 0.886558384506045 , -0.508352018559528, 1.19764385822808 , 0.831119360834578 | 0.1557379 |
| 51 | 20 | 0.0 | 0.1 | 0.5 | control , control , control , control , control , control , control , control , control , control , control , control , control , control , control , control , control , control , control , control , intervention , intervention , intervention , intervention , intervention , intervention , intervention , intervention , intervention , intervention , intervention , intervention , intervention , intervention , intervention , intervention , intervention , intervention , intervention , intervention , -0.171453307967425 , 0.409802555497417 , 0.290915113217449 , -0.233159704501948 , 0.603997416822351 , -0.13614348419427 , 0.904843887871804 , 0.632505972850713 , -0.111025133474442 , 0.454194212786516 , -0.05294067404331 , 0.970001186796765 , 0.380863453681787 , -0.546614602047138 , -0.117261922966338 , 1.10456898612325 , 0.641144621934597 , 0.0439274000292047 , 0.350276498949491 , 0.974107603473281 , 0.458636804991113 , 0.209358223773744 , -0.00463736394271802, -0.148462912447306 , -0.132387068349726 , 0.0461415102877476 , 0.24836505331499 , 0.476939014205956 , 0.236780527268337 , -1.05214572885654 , -0.508258205930809 , 0.14215114754022 , 0.172809223771761 , -0.640331255308775 , 0.210485230935521 , 0.486562933207754 , -0.0671730955052657 , 0.491011547790947 , 1.25591714582178 , -0.971747015920776 | 0.0942386 |
| 51 | 20 | 0.0 | 0.1 | 1.0 | control , control , control , control , control , control , control , control , control , control , control , control , control , control , control , control , control , control , control , control , intervention , intervention , intervention , intervention , intervention , intervention , intervention , intervention , intervention , intervention , intervention , intervention , intervention , intervention , intervention , intervention , intervention , intervention , intervention , intervention , -0.115980396298918 , -0.0855426003977355, -1.3379078131821 , 0.0115660459093029 , 0.33770883717522 , 0.768090294801502 , 0.00120730035584711, -1.10306775645657 , 0.374483959600049 , 1.06426813070477 , 1.1430817503602 , -1.28125446999219 , -0.355073872704257 , 0.0208738341881317 , -1.80727948316314 , 0.60474364003446 , 1.57919640129503 , -1.00031725006246 , -1.11778001377522 , 0.600353759141921 , 0.491772494707811 , 0.809216548680831 , -1.52924130558971 , 0.522598829151656 , 0.936855512007542 , 0.0584443347440063 , 0.283126838195167 , -0.261320321762486 , 0.239132272729005 , 1.02417941092549 , 0.813777028549921 , -0.57940514918609 , 0.345111831551705 , -0.296877446556232 , 0.132414672293548 , 1.95689087914261 , 0.276591437920278 , -0.310223214148101 , 0.386839796947416 , -0.467003614592007 | 0.2258514 |
| 51 | 20 | 0.5 | 0.0 | 0.5 | control , control , control , control , control , control , control , control , control , control , control , control , control , control , control , control , control , control , control , control , intervention , intervention , intervention , intervention , intervention , intervention , intervention , intervention , intervention , intervention , intervention , intervention , intervention , intervention , intervention , intervention , intervention , intervention , intervention , intervention , -0.584809749280834 , 0.297399061941729 , -0.128463451656663 , 1.30722012144435 , 0.600401092866948 , 0.812373902064171 , -0.654706225499482 , 0.486299364174147 , -0.802229732359449 , 0.611776964825336 , -0.384474201151507 , 0.537201456126998 , 0.245233040063995 , -0.242601543909627 , -0.1053089044209 , 0.0634518250121863 , 0.530675364002593 , 0.159342850898568 , -0.349834037700035 , -0.846662748618201 , 0.252057089826447 , 0.198415066323671 , 0.872903383547167 , 0.838487263497167 , 1.29263711728502 , 0.777785208634263 , -0.155433325688711 , 0.295035683876443 , 0.752320012864228 , 1.27946980769961 , 0.719809290084231 , 0.61656988061905 , 0.128829372446355 , 0.989525759414345 , 0.0569421118062258 , 0.773587493663639 , 0.471255022614797 , 0.62588123852079 , -0.0525196376795465, 0.321236698039469 | 0.0051242 |
| 51 | 20 | 0.5 | 0.0 | 1.0 | control , control , control , control , control , control , control , control , control , control , control , control , control , control , control , control , control , control , control , control , intervention , intervention , intervention , intervention , intervention , intervention , intervention , intervention , intervention , intervention , intervention , intervention , intervention , intervention , intervention , intervention , intervention , intervention , intervention , intervention , -1.28641001184277 , -0.49949311891043 , -0.464861058463649 , 2.64175100929281 , 0.0570618053494379 , 0.397034385664959 , -0.37211279073017 , -2.47236086191504 , -0.708403640484341 , -0.118836848173113 , 0.231725565361354 , -0.293385207960353 , 0.792439082533624 , -1.49197752772795 , -1.38212437661886 , -1.05290517004741 , -1.39792375881357 , -0.126876734894583 , -0.820596467268703 , 0.528212968460259 , 0.969378053669942 , 2.92397112167381 , -0.638875593691423 , 0.414483645910064 , 1.97755078427009 , 2.03190738228279 , 0.373371914664039 , -0.037048388396357 , 0.0639476043614247 , 1.71536579434378 , 1.41275860387261 , 1.28489283476811 , -0.0111462641312277, 0.322183731580917 , 0.146987095808517 , 0.300042828799437 , 0.629544976236806 , 0.114590964377731 , 0.760711907241047 , 0.377117365256722 | 0.0006811 |
| 51 | 20 | 0.5 | 0.1 | 0.5 | control , control , control , control , control , control , control , control , control , control , control , control , control , control , control , control , control , control , control , control , intervention , intervention , intervention , intervention , intervention , intervention , intervention , intervention , intervention , intervention , intervention , intervention , intervention , intervention , intervention , intervention , intervention , intervention , intervention , intervention , 0.314388894897507 , -0.118517473196698 , -0.431433924335324 , -0.709763188889803 , -0.0552392765585543, 0.0634247566948163 , -0.945361039872179 , 0.750622466601786 , -0.220997858379586 , 0.375697885420117 , -0.559477682345176 , 0.637255084257658 , 0.1353309816586 , -0.288370535858053 , -0.368240825677172 , 0.622109217410254 , 0.0876016918351605 , 0.00170558288828335, 0.62907522267309 , 0.837097321660185 , 0.906590388616943 , 1.5487873303244 , 0.0794432020388682 , 0.978229010270988 , -0.15948342165441 , 0.360530432625782 , 0.779970662645 , 0.454667878493375 , 0.208026084771505 , 0.229234072127756 , -0.247299039949935 , 0.607919178446685 , 0.631255952825738 , 0.508336259049737 , 0.598456617061088 , 0.574468082380221 , 0.0619068115540729 , 0.559682751457992 , 0.679114207308462 , 0.315316475493292 | 0.0041074 |
| 51 | 20 | 0.5 | 0.1 | 1.0 | control , control , control , control , control , control , control , control , control , control , control , control , control , control , control , control , control , control , control , control , intervention , intervention , intervention , intervention , intervention , intervention , intervention , intervention , intervention , intervention , intervention , intervention , intervention , intervention , intervention , intervention , intervention , intervention , intervention , intervention , -0.697671032606697, 1.02781499914484 , 0.938393668540505 , 1.45922825850417 , -1.20151826123106 , -0.558483030335384, 0.666776715403423 , 0.245575633756929 , -0.395038272136694, 1.51318954147151 , 0.858761304377343 , 1.46052566271828 , -0.354162070984705, -0.178943007523154, -1.77225339224626 , 1.07024070603942 , 1.32827062678967 , -0.368918321448625, 0.250927144364988 , 0.548023459776157 , 1.496008800349 , 1.80709667656583 , -0.189648400746138, 0.0242264749468564, 1.96044508541602 , 1.19853456713869 , 0.0850485490112617, -0.293147028653879, -0.303267058921064, 0.383340151604487 , 2.43459015372149 , -0.033405807009227, 1.49619837400789 , 1.80490998017752 , 2.05671051073907 , -0.496925126894205, 0.265607818128262 , 0.785148934204282 , 1.19936153742554 , 1.88042435543431 | 0.0589575 |
| 51 | 50 | 0.0 | 0.0 | 0.5 | control , control , control , control , control , control , control , control , control , control , control , control , control , control , control , control , control , control , control , control , control , control , control , control , control , control , control , control , control , control , control , control , control , control , control , control , control , control , control , control , control , control , control , control , control , control , control , control , control , control , intervention , intervention , intervention , intervention , intervention , intervention , intervention , intervention , intervention , intervention , intervention , intervention , intervention , intervention , intervention , intervention , intervention , intervention , intervention , intervention , intervention , intervention , intervention , intervention , intervention , intervention , intervention , intervention , intervention , intervention , intervention , intervention , intervention , intervention , intervention , intervention , intervention , intervention , intervention , intervention , intervention , intervention , intervention , intervention , intervention , intervention , intervention , intervention , intervention , intervention , 0.629349802203481 , 0.815700004554616 , -0.2020199930086 , -0.32121017713162 , -0.581244811647132 , 0.0505311482327054 , 0.781752400526741 , 0.818429712171731 , 0.174410773599954 , 0.379321085383368 , -0.326326332846028 , 0.106708523894608 , -0.2549444370241 , -0.28170125881771 , -0.34005617216963 , 1.29183321747547 , -0.407159558741643 , 0.0588829065189808 , -0.0407700604903518, 0.181849993720349 , -0.68847708213158 , 0.174165345616909 , 0.939202348035899 , 0.383279988009544 , 0.244218756820006 , -0.348966848037622 , -0.970002335944119 , -0.147503969784963 , 0.00874237259966037, -0.043983719482127 , -0.236232949165685 , -0.346857152798493 , -0.386820006070087 , 0.380582092780531 , 0.148427870325775 , 0.158838340537671 , -0.0406275138586075, -0.87702245590511 , -0.354187747157244 , -0.398247822758318 , -0.112373323342169 , -0.343884916055606 , -0.401771640081632 , -0.970671038880169 , -0.728671811490585 , -1.00501498687804 , 0.73871913729861 , -0.563409181281181 , 0.763296130629004 , 0.375143539169873 , -0.775144599479792 , -1.00635129079187 , -0.315032234421565 , 0.243778236603692 , 0.301588265138794 , -0.869662384440465 , -0.682971488976677 , -0.215389718730486 , 0.985706302387664 , 0.130379282776849 , 0.916037430772333 , -0.0555024258349062, -0.144765039960911 , 0.436659746105064 , 0.773822535225906 , -0.140500776987016 , -0.0521938830757041, -0.344340730295537 , -0.735065866683797 , -0.761814300374119 , -0.956207497998566 , 0.226560595489436 , -0.77727294138967 , 0.513152063314797 , 0.191270163741963 , -0.0151600968156214, 0.276766720173787 , 0.0798377588789282 , -0.204011931165353 , -0.641584409634546 , -0.0264248890289318, -0.198930801598774 , -0.152142047246899 , 0.00979781866045869, 0.533535259603264 , -0.624036030569971 , -0.572687184062839 , 0.0207117662520944 , -0.360634677557362 , 0.00352782903264127, -0.689018623319134 , 0.858288816713222 , 0.82167785541752 , -0.244233250202581 , -0.705118648419443 , 1.10192891346889 , -0.382314922646673 , -0.419402699457615 , 0.236139553665767 , 0.0811463291568126 | 0.6807776 |
| 51 | 50 | 0.0 | 0.0 | 1.0 | control , control , control , control , control , control , control , control , control , control , control , control , control , control , control , control , control , control , control , control , control , control , control , control , control , control , control , control , control , control , control , control , control , control , control , control , control , control , control , control , control , control , control , control , control , control , control , control , control , control , intervention , intervention , intervention , intervention , intervention , intervention , intervention , intervention , intervention , intervention , intervention , intervention , intervention , intervention , intervention , intervention , intervention , intervention , intervention , intervention , intervention , intervention , intervention , intervention , intervention , intervention , intervention , intervention , intervention , intervention , intervention , intervention , intervention , intervention , intervention , intervention , intervention , intervention , intervention , intervention , intervention , intervention , intervention , intervention , intervention , intervention , intervention , intervention , intervention , intervention , 0.877937293411205 , 0.619347306748755 , 0.0716912250547661 , -0.538369875431425 , -1.0160280811172 , -0.177235350255958 , 0.089783221025682 , 0.330089810598236 , -0.211174199891761 , 1.06773630212411 , -1.22370989875565 , -0.296114407797721 , -0.586501222127757 , 0.307389784845249 , -0.507616871966101 , 2.00953099280193 , -0.527059332297282 , -1.26220409292129 , -0.832703938332096 , 0.95882559539634 , 0.482387896636776 , -0.107243688160065 , 0.679842783562877 , 1.08625386825514 , -0.219257419091583 , 0.909673907766116 , -0.374902753091638 , -0.319630349153709 , 0.785400491061542 , -1.34388289557244 , 0.0628794022887047 , -0.220493094410996 , -0.56002252162234 , -1.05663226533069 , 1.86813196369359 , -0.0967556943479839, -0.173612383032798 , -1.51299405377838 , -1.53541382414989 , 0.427022867211137 , 0.540653737044095 , -0.978921512365931 , -1.0237206200642 , 0.283495386188721 , -1.12197862045008 , 0.246267728547959 , -0.751494675136604 , -0.191961391285468 , 1.31315814431116 , 0.760357073529155 , -0.153411100889342 , 0.125281552219064 , 0.0146600988098993 , -0.823052824954202 , 0.194146648309851 , -0.485393875581343 , -1.00245856393949 , -1.88394729028418 , -0.876822788901818 , -0.0912085538987326, -1.53222168873369 , 1.59482319965645 , -0.285856060169109 , -0.385279144018933 , -0.205244495266114 , -0.665339751266168 , 0.558532678366377 , -1.00748724924449 , -1.0643154084119 , -0.87306410165041 , 0.657741066438374 , 0.0761302673222229 , -0.224195964316982 , 0.170219120889674 , -0.669696788013136 , 0.229339103106107 , 1.37772204387833 , -0.482397586453624 , -1.75953535803657 , -0.712475567407954 , 2.20619505018147 , 0.307943498867407 , 0.695639697402014 , 0.664790796687638 , -0.0474945956761261, 0.401990768432327 , -0.849450547712342 , -0.177892925413566 , 1.14976650745398 , 1.59758256615008 , -0.372881910746583 , 0.328884660529167 , -0.40736388371701 , -0.759246092465508 , 1.3702623701841 , -1.53930445239133 , 1.96410637844755 , 0.325814483750018 , -0.584583157747967 , -1.75231260001283 | 0.7678164 |
| 51 | 50 | 0.0 | 0.1 | 0.5 | control , control , control , control , control , control , control , control , control , control , control , control , control , control , control , control , control , control , control , control , control , control , control , control , control , control , control , control , control , control , control , control , control , control , control , control , control , control , control , control , control , control , control , control , control , control , control , control , control , control , intervention , intervention , intervention , intervention , intervention , intervention , intervention , intervention , intervention , intervention , intervention , intervention , intervention , intervention , intervention , intervention , intervention , intervention , intervention , intervention , intervention , intervention , intervention , intervention , intervention , intervention , intervention , intervention , intervention , intervention , intervention , intervention , intervention , intervention , intervention , intervention , intervention , intervention , intervention , intervention , intervention , intervention , intervention , intervention , intervention , intervention , intervention , intervention , intervention , intervention , -0.162751542456036 , -0.0909142551303564 , 0.537692981467881 , 0.930670602227079 , -0.3679660580858 , 0.124680648924523 , 0.198346739347091 , -0.24982599666228 , 0.386652430963483 , 0.0384153276807715 , -0.365984628080735 , 1.12622086163116 , -0.248315311020301 , -0.0420427426945169 , 0.591769015930806 , -0.986913312854156 , 0.291912276925668 , 0.40142409793519 , 0.108037670253211 , 0.0427431124321786 , 0.296813119618775 , -0.291951123025618 , -0.0942887480760541 , 0.241477028013589 , 0.109717206543012 , -0.116441045312339 , -0.181110413998223 , 0.677410218497783 , 0.571069869777516 , 0.368285596541549 , 0.125409201290583 , -0.247727857243693 , 0.537834221098012 , -0.0307635120214403 , -0.544439245203841 , -0.186296288936686 , 1.22665425932238 , 0.2043459375568 , 0.673378048693997 , 0.782357674885886 , -0.636205655608818 , -0.516165767820617 , 0.351833233367101 , 0.114695133745549 , 0.25688281386949 , -0.123983180131739 , 0.553650395903695 , -0.0637987315384259 , 0.52040483679729 , -0.0372189746701936 , -0.694550251087221 , -0.121666352888429 , 0.373545461388013 , -0.124019738997148 , 0.117752514601353 , -0.445309033010772 , 0.638435848000134 , -0.494563455409058 , -0.37866103779027 , -0.135797323150131 , -0.818323820276046 , -0.938717844971173 , -0.611503516554645 , -0.160345728140112 , 0.224643701831448 , 0.637053184955459 , -0.390039507717371 , 0.241787261968411 , 0.411044475749318 , -0.19436822881511 , 0.32178206797426 , 0.580767255860754 , -1.16216993425299 , -0.369076286239244 , 0.19713606346347 , 1.16657347906399 , -0.00812413886991317, -0.911832224418741 , 0.569530622956574 , -0.660808274581427 , -0.699456724022079 , 0.248488995181283 , -0.285299289673607 , 0.782156015599622 , -0.81956475427256 , -0.741554274066448 , 0.0483615773731041 , -0.243037051083767 , 1.0888923948986 , 0.23161280567801 , -0.203311843974529 , 0.0933180651912155 , 0.341164178633363 , 0.519016096977769 , -0.483292215121683 , -0.197760969082942 , -0.127936176961947 , 0.0882985999743427 , 0.0543717166906993 , 1.09652184188434 | 0.0714819 |
| 51 | 50 | 0.0 | 0.1 | 1.0 | control , control , control , control , control , control , control , control , control , control , control , control , control , control , control , control , control , control , control , control , control , control , control , control , control , control , control , control , control , control , control , control , control , control , control , control , control , control , control , control , control , control , control , control , control , control , control , control , control , control , intervention , intervention , intervention , intervention , intervention , intervention , intervention , intervention , intervention , intervention , intervention , intervention , intervention , intervention , intervention , intervention , intervention , intervention , intervention , intervention , intervention , intervention , intervention , intervention , intervention , intervention , intervention , intervention , intervention , intervention , intervention , intervention , intervention , intervention , intervention , intervention , intervention , intervention , intervention , intervention , intervention , intervention , intervention , intervention , intervention , intervention , intervention , intervention , intervention , intervention , -0.403772195175966 , 0.727651089851656 , 0.637274076055798 , 1.4436793617586 , 0.348766966933619 , 0.378267854383605 , 1.45910132250437 , 0.27502610664896 , 0.980979024771741 , 1.33115426636372 , 1.00868133126703 , 0.896378569939117 , -1.27472272965441 , 0.103715715208484 , -1.81478078959516 , 0.584279528020047 , 1.19962744280964 , 0.613394033260222 , -0.424888424098465 , -0.262507998002763 , -0.986967208946087 , 1.07148627573863 , -0.646554304066079 , 0.240132999115777 , 0.160312932563567 , 1.8553299287388 , -1.59973867874303 , -0.592122451688271 , -0.19452453687454 , 0.41351137385575 , 1.43494353458601 , 0.814103549760929 , -0.408849632542651 , -0.824565839122211 , -2.07399629512427 , 1.67863372762776 , 0.846938921140116 , -0.462779689337851 , -1.43002240605922 , 0.403404055296362 , 0.330017856868781 , 1.23348413564128 , -0.193518530541755 , -0.194282237141224 , -0.499990426125245 , -0.096928878914637 , 1.01117986236098 , 0.310429077060919 , 0.557911383431781 , 0.0413304632218867 , -1.05313459047618 , 0.852975485065023 , -1.28836609699276 , 0.313579731156504 , 0.354618038517573 , 1.09479500353026 , 0.2454975403857 , 0.839419056875503 , 0.852951345220771 , 0.364729027895116 , 0.362401794660092 , -0.323179775578235 , 1.08283023564661 , 0.583773270597612 , 0.273758040242757 , 1.0190260799017 , -1.1839350197719 , -0.5171241519987 , -0.234989315125135 , -0.525500184947434 , -0.674619506013166 , -1.24736875166859 , 1.89787080293034 , 0.0166485922690427 , 1.68623600169887 , -0.429111450381034 , -1.24187133649394 , -0.904768837078374 , -0.0633352538376662, 0.147738402677724 , -0.667659846666802 , -2.56913821246292 , -0.14576001341791 , 1.09459471680833 , -0.301168936004269 , 1.14720421469571 , -0.186967309336504 , -1.96726227477851 , 2.44715183108925 , -0.649802348588813 , 1.20758156226829 , -0.794996026029852 , 0.53903706881035 , -0.403115352722711 , 0.622442817063642 , -1.78305128584111 , 3.31159636464903 , 0.0376833535405953 , -1.10943756019531 , -0.486143390577209 | 0.4164098 |
| 51 | 50 | 0.5 | 0.0 | 0.5 | control , control , control , control , control , control , control , control , control , control , control , control , control , control , control , control , control , control , control , control , control , control , control , control , control , control , control , control , control , control , control , control , control , control , control , control , control , control , control , control , control , control , control , control , control , control , control , control , control , control , intervention , intervention , intervention , intervention , intervention , intervention , intervention , intervention , intervention , intervention , intervention , intervention , intervention , intervention , intervention , intervention , intervention , intervention , intervention , intervention , intervention , intervention , intervention , intervention , intervention , intervention , intervention , intervention , intervention , intervention , intervention , intervention , intervention , intervention , intervention , intervention , intervention , intervention , intervention , intervention , intervention , intervention , intervention , intervention , intervention , intervention , intervention , intervention , intervention , intervention , 0.296462757663639 , 0.520652810428325 , -0.462018872031542 , -0.221772745502284 , 0.189298019518874 , 0.339663176508864 , 0.0829134959251326 , -0.00286234436125506, 0.391482024222521 , -0.454602456071993 , -0.204958819604635 , 0.213507542645601 , -0.687861777580811 , -0.27575087069461 , 1.07811494081292 , -0.171502115861269 , -0.634105052668643 , 0.138647014052922 , 0.166825764981461 , -0.45815407248547 , -0.0811097931173728 , -0.297427265215183 , -0.335481849961391 , 0.284729846322402 , -0.154607797511516 , 0.532841135052084 , 0.0125812223703672 , -0.0704489079314663 , -0.138736787315676 , -0.924583773196316 , 0.155920694477932 , 0.521374286337268 , 0.324685034672911 , -0.551129126629593 , 0.000615070274941378, -0.605691278225552 , 0.286854768840013 , 0.620295578575201 , 0.683583163727229 , 0.711086700275131 , 0.996124781584356 , -0.697606668586561 , 1.45240651400793 , 0.506336392493774 , -0.995433910908128 , -0.246569448570554 , -0.771975442524837 , -0.232670843152742 , 0.343800634068583 , 0.222649103073944 , -0.116762743949715 , 0.628086050638079 , 0.422008842713323 , -0.0137828634662387 , 0.785004484598868 , -0.0902249156991006 , 0.749906065959912 , 1.12123791049642 , -0.273670105582662 , 0.757775672839277 , -0.334248802552388 , 0.707717497467753 , 1.0657372509998 , 1.32099226879189 , 0.0240566628614181 , -0.232949402277001 , 0.727991160288969 , 0.582227106333535 , 0.655288128887861 , 0.919145055352509 , 0.914908924642913 , 0.904392537483381 , -0.194084809961165 , -0.24850199560062 , 0.518120936708168 , -0.0124697942573488 , 0.450875805730018 , 0.754229687889619 , 1.28842128178625 , 1.43368112309163 , -0.438464489336198 , 0.771939570741853 , 1.36629416874859 , 0.0733315843168274 , -0.00510906373357267, 0.996044080385894 , 0.79911161796933 , -0.0608762811944807 , -0.19220147362831 , 0.670484773838778 , 0.823576770748623 , 0.181317709293755 , -0.0109335594300614 , -0.300882282662377 , -0.308320107666631 , 1.14488198427999 , 1.4165675670603 , 1.13331027483146 , -0.514642311224424 , 0.425317959866776 | 0.0001250 |
| 51 | 50 | 0.5 | 0.0 | 1.0 | control , control , control , control , control , control , control , control , control , control , control , control , control , control , control , control , control , control , control , control , control , control , control , control , control , control , control , control , control , control , control , control , control , control , control , control , control , control , control , control , control , control , control , control , control , control , control , control , control , control , intervention , intervention , intervention , intervention , intervention , intervention , intervention , intervention , intervention , intervention , intervention , intervention , intervention , intervention , intervention , intervention , intervention , intervention , intervention , intervention , intervention , intervention , intervention , intervention , intervention , intervention , intervention , intervention , intervention , intervention , intervention , intervention , intervention , intervention , intervention , intervention , intervention , intervention , intervention , intervention , intervention , intervention , intervention , intervention , intervention , intervention , intervention , intervention , intervention , intervention , 0.0920562873152493 , -1.38800288914723 , 0.495969138099863 , 0.494570708649772 , -1.76364851693892 , 1.22967289954667 , 1.27933215200152 , 1.22365487608542 , -0.96055342990018 , -0.0966985265510372, -0.0249463176810381, -0.411658687347698 , -0.397685991190703 , -1.08758938320367 , -0.789053498307311 , 0.051767374327774 , -0.418778741248516 , 0.550276598636976 , 0.696361095273671 , -1.77337976226165 , 0.439936189390605 , 1.29185029943057 , -0.297931967733079 , -2.09618764180716 , 0.364404395357109 , 0.690926582011688 , 0.581923830243727 , -1.99251322669918 , 0.692109725936461 , 1.05932979743235 , 0.814679609032309 , -0.335333715126946 , -1.02586164474605 , 1.46840967892532 , 0.0725263424694614 , 1.10317816779686 , -1.13484375111077 , 1.26957630703385 , -0.650129219434494 , 1.45844688497036 , 1.49459640512872 , 0.0766422611238158 , 0.498390079681496 , 1.15690680947852 , 0.58687930555097 , 0.639252372767351 , -0.987523360059166 , -0.972654859735576 , 1.1974271986565 , -1.29940274754711 , 0.449429872221739 , 1.45264877657897 , 1.61077064222274 , 1.94944049666451 , 0.757361008379354 , 0.75640701276036 , -0.398248379898661 , -0.479689710049912 , 2.69062158606369 , -0.510778702067921 , 0.123442305641192 , 0.413577698413917 , -0.187522228199571 , -0.280379571540293 , 0.621198952365232 , -0.600224899878618 , -0.333015433945541 , 0.398553999071874 , 0.124636688872904 , 2.22863448708824 , -0.0127911401374825, 0.683220509441127 , 0.309228350500473 , 0.353012756167758 , 0.2742607933061 , 0.642989856203787 , 0.521533967430379 , 0.351684915814645 , -1.61626954906111 , -0.397162652823102 , 1.18761756556167 , -0.147039822153907 , 1.37768434416639 , -0.596221510279436 , -0.580169311032796 , -0.965484259609401 , 0.410565103726802 , 1.21462058131942 , 1.97754186608657 , -0.0802014349464747, -0.406866643896988 , -0.157300826728145 , 1.31827481846751 , 0.354479695595048 , 0.620797789059863 , 0.312424701274209 , 0.414205817646945 , -0.800851902136621 , -0.0530846997055962, 0.176324797062659 | 0.1309631 |
| 51 | 50 | 0.5 | 0.1 | 0.5 | control , control , control , control , control , control , control , control , control , control , control , control , control , control , control , control , control , control , control , control , control , control , control , control , control , control , control , control , control , control , control , control , control , control , control , control , control , control , control , control , control , control , control , control , control , control , control , control , control , control , intervention , intervention , intervention , intervention , intervention , intervention , intervention , intervention , intervention , intervention , intervention , intervention , intervention , intervention , intervention , intervention , intervention , intervention , intervention , intervention , intervention , intervention , intervention , intervention , intervention , intervention , intervention , intervention , intervention , intervention , intervention , intervention , intervention , intervention , intervention , intervention , intervention , intervention , intervention , intervention , intervention , intervention , intervention , intervention , intervention , intervention , intervention , intervention , intervention , intervention , -0.0427638341266714 , -0.575343670579494 , 0.00705252167622994 , 0.634808622823144 , 0.37911026252058 , -0.0900590166332471 , 0.270894361604762 , 0.133387770399174 , -0.403098535394172 , 0.736533136941507 , 0.00479367633987558 , 0.687310350700119 , -0.0122673495612634 , 0.0436509288112267 , 0.212415175747568 , 0.292468236384689 , -0.100292686252252 , -0.0735395208929403 , 0.151919100522403 , 0.108624578082883 , 0.0585486872492478 , -0.704954130262821 , -0.364846801930974 , -0.422426643130875 , 1.06453053900775 , 0.593876295035365 , 0.0757932929443599 , 0.0379956826443705 , -0.137733612928139 , -0.141663124918279 , -1.57571509666034 , -0.330132226052568 , -0.438278316261294 , -0.00159457421404159, 0.0690516647634432 , 0.323853227917464 , 0.392320297493428 , 0.653341699841377 , -0.173628392768126 , 0.76717474441029 , 0.626177557430109 , -1.13072480345333 , 0.170307883281596 , -0.0470826639259487 , 0.175226814246786 , -0.620282977026412 , 0.605473343365772 , 0.375375153312579 , 0.00412601571743354 , -0.322143568567809 , 1.15549476428306 , 0.319843837807933 , -0.076346344074604 , 0.905047284263118 , 1.2700797775574 , 0.468445707037446 , 0.360732620196421 , 1.3568880972505 , -0.168609716653803 , 0.109982193338945 , -0.268931572970696 , 0.958828094655752 , 0.944687118482074 , 0.84325319801795 , 0.732878141191732 , 0.615560994446425 , 0.193365447994825 , 4.33476324756543e-05, 0.574495614745334 , -0.0182668040827618 , -0.236558041369561 , -0.143902378622844 , -0.43749084277427 , 1.21148860784776 , 0.95281211689935 , -0.0585340231127057 , 0.0155359422312388 , 0.0134131913397348 , 0.469501405132376 , 0.0460602180252765 , 0.530821480771339 , 0.471179910433924 , -0.366811868128464 , 1.4086766783628 , 0.286363963753401 , 0.110591119435336 , 1.23462617938099 , 1.14873301979291 , 1.01676678450984 , 0.804352620695661 , 0.270825543673987 , 1.69112457821173 , 0.711584849499558 , 0.63822335548029 , 0.401398575900877 , 0.137401787489182 , 0.342558407498831 , 0.379901838462019 , -0.0703845122423397 , 0.0660847482413641 | 0.0000512 |
| 51 | 50 | 0.5 | 0.1 | 1.0 | control , control , control , control , control , control , control , control , control , control , control , control , control , control , control , control , control , control , control , control , control , control , control , control , control , control , control , control , control , control , control , control , control , control , control , control , control , control , control , control , control , control , control , control , control , control , control , control , control , control , intervention , intervention , intervention , intervention , intervention , intervention , intervention , intervention , intervention , intervention , intervention , intervention , intervention , intervention , intervention , intervention , intervention , intervention , intervention , intervention , intervention , intervention , intervention , intervention , intervention , intervention , intervention , intervention , intervention , intervention , intervention , intervention , intervention , intervention , intervention , intervention , intervention , intervention , intervention , intervention , intervention , intervention , intervention , intervention , intervention , intervention , intervention , intervention , intervention , intervention , 1.17617611293122 , -1.30213555616819 , 0.86904417688904 , 1.40097152504519 , -0.251262326249868 , 1.04079801043271 , 0.560767966057682 , 0.372736603648053 , -1.60184535584256 , 1.15362503914146 , -0.807253959885548 , -0.15845277608295 , -0.201711731543507 , 0.576802807051223 , -0.232304558138793 , 1.35086771888362 , 0.0921800610287407 , 1.45227052248376 , 0.175906928804236 , 1.35802988609085 , -1.1967736917686 , 0.0373407889160108 , -0.6389481187574 , 0.709012633993323 , 0.673392363057409 , 0.59049214170786 , 0.778305043025364 , -0.186103356770504 , 0.0963356049608202 , 0.807676109131148 , -0.674393603696064 , 0.207130848534031 , -0.0915987506394439, -0.0459698620538004, -0.410219910310312 , -0.0174497020701437, -0.436937752589411 , -2.23320763586736 , -1.37538966877362 , 0.274444915708136 , 0.943964014654347 , 0.0490026926046476 , 0.0986650976264875 , -0.239942665362414 , 1.14649341303786 , -0.230827135682066 , 0.0751470718147938 , 0.482534806321323 , 1.08529920181385 , 0.196690561219785 , -0.569330583833023 , 1.15888065220122 , 1.14029040818845 , -0.247055459328339 , 0.487837374292927 , 0.816013899735774 , 1.96425828068702 , 0.737265122806571 , 1.20467587740851 , 1.06318570178107 , 0.834530345146628 , 0.311152199063189 , 0.100586091474819 , -0.790461574621576 , 0.251773398449113 , 0.002834297863614 , 0.682437923055204 , 2.08656680702252 , 0.843903583589733 , -0.232740985777972 , 1.09167579085099 , -2.30044854074743 , 0.874537426974659 , 2.80910943537001 , 0.527340086826063 , -0.186924073499124 , 0.719671023769616 , 1.31780810154079 , 1.35484385694707 , 1.63439047765657 , -0.0444470939310285, 0.514567203758483 , 0.751740655837169 , 0.0472441442018984 , 0.907174980180569 , 0.521904727970689 , 0.682881180402833 , 1.32700875160352 , 1.79267766968071 , 1.3498838342384 , -0.598752111833343 , 0.63555394215651 , -0.869308649921921 , -0.859890191228444 , -1.27985978498929 , 1.26400540618351 , 0.867020374611396 , -0.158821814549997 , 0.840062944843704 , 0.723838566236661 | 0.0198940 |
| 52 | 20 | 0.0 | 0.0 | 0.5 | control , control , control , control , control , control , control , control , control , control , control , control , control , control , control , control , control , control , control , control , intervention , intervention , intervention , intervention , intervention , intervention , intervention , intervention , intervention , intervention , intervention , intervention , intervention , intervention , intervention , intervention , intervention , intervention , intervention , intervention , 0.729157187767109 , -0.0384122881430193, 0.442391562363525 , -0.0734317501948183, -0.603972943874 , -0.0370439734575679, -0.187895262594261 , -0.462085221590383 , -0.11583386337676 , -1.29361731294954 , -0.833618064113857 , 0.0984819979111807 , -0.142059645315713 , -0.0898815841743921, -0.26468052556241 , 0.0602165271610182 , 0.0603667598858948 , -0.018611098468514 , -0.306837613247665 , -0.224785634528589 , 0.0500515808929111 , 0.277047342808902 , -0.131600050204015 , -0.351810986303433 , -0.460611112558186 , 0.476961686998049 , -0.451137807441294 , 0.308488827118558 , 0.968170642101263 , 0.564249705364283 , -1.13230320282324 , 0.223458551358651 , 0.813183526086003 , -0.188749594035558 , 0.765054397942852 , -0.85005422698804 , -0.7887072007786 , 0.114566465105551 , -0.0122893029114668, -0.401362870265129 | 0.3411589 |
| 52 | 20 | 0.0 | 0.0 | 1.0 | control , control , control , control , control , control , control , control , control , control , control , control , control , control , control , control , control , control , control , control , intervention , intervention , intervention , intervention , intervention , intervention , intervention , intervention , intervention , intervention , intervention , intervention , intervention , intervention , intervention , intervention , intervention , intervention , intervention , intervention , 0.362181172757206 , 1.25480857059456 , 0.338468274026386 , 0.259825718603334 , 0.771625086376005 , -0.0137043519456513 , 1.57258517094902 , 0.292691936786569 , 0.00263811017620509 , 0.658533647286717 , 1.04170827653886 , 0.204672182881695 , -0.00659812429432397, 0.568795355951034 , -2.60299775591768 , 1.64166696837587 , 0.251807807123794 , -1.02288368865311 , -0.529006253089972 , -0.812494460790477 , 0.704871177573316 , 0.823888046971418 , 1.09540695013171 , 0.603759625208656 , -1.44997499477655 , 0.15898879172195 , -0.136263143491456 , 0.686822952417909 , -0.913292548178232 , 0.21758830262752 , -1.08840154377804 , 0.786512007735589 , 0.475569019065638 , -1.87205086179304 , -0.499610501782316 , 0.285467054740664 , -0.307325380625832 , -0.434823802756582 , 1.95716349337808 , -0.328225225059654 | 0.5646396 |
| 52 | 20 | 0.0 | 0.1 | 0.5 | control , control , control , control , control , control , control , control , control , control , control , control , control , control , control , control , control , control , control , control , intervention , intervention , intervention , intervention , intervention , intervention , intervention , intervention , intervention , intervention , intervention , intervention , intervention , intervention , intervention , intervention , intervention , intervention , intervention , intervention , -1.41549077599004 , -0.0233996848095473, -0.535389321902154 , 0.454630203384567 , 0.612702413001176 , 0.525399462835347 , 0.206371729875707 , 0.572674823151333 , 0.0150262225862436 , 0.751524236671854 , 0.101326855845313 , 0.655557459612791 , -0.477681221759783 , 0.322384151506507 , -0.545759809192262 , 0.684616485014254 , -0.0184380892257057, 0.270836249657237 , -0.0434584587232023, 0.643404446828464 , 1.04634909404758 , -0.265541588394022 , 0.176280123912341 , -0.596311564456485 , 0.295972158386221 , -0.426631469215255 , 0.442981940251219 , 0.535158844864334 , 0.872464298383264 , 0.36414091165962 , 0.333834431164167 , 0.77911408268947 , 0.612572034872391 , 1.23279113908385 , 0.417400796523134 , 0.470177451514137 , -0.0467048888263064, -0.065325042330884 , 1.01907537831579 , -0.0558242751849348 | 0.1937497 |
| 52 | 20 | 0.0 | 0.1 | 1.0 | control , control , control , control , control , control , control , control , control , control , control , control , control , control , control , control , control , control , control , control , intervention , intervention , intervention , intervention , intervention , intervention , intervention , intervention , intervention , intervention , intervention , intervention , intervention , intervention , intervention , intervention , intervention , intervention , intervention , intervention , -0.357682273693376 , -0.620423183502739 , 0.366329575471773 , -0.683348918858295 , -0.0859688690797742, 2.77339179911058 , -0.246236798408111 , -0.666331191013528 , 0.0111562552177192 , -1.09475444233183 , 0.857103989411528 , -1.20432124496592 , -1.08770471874788 , 0.413022047604692 , -0.408087442997442 , 1.74776156431308 , 1.49322420196327 , 0.102432584466214 , -0.219795463721105 , 0.794863098438159 , 0.976620047736743 , 0.377836146295491 , -1.2662694347673 , -0.283368495797024 , -0.471442648448087 , -0.628869532323574 , -0.850380597818445 , -1.74239485127439 , 0.376567639033552 , -1.36827253016145 , 1.1081792098253 , 0.144238970455824 , -0.689079885617555 , 1.12271219249251 , -1.01801881912444 , -1.85314848742517 , 0.890163905346372 , -0.0657849054318131, -1.25368675064074 , -0.229319634227558 | 0.1747343 |
| 52 | 20 | 0.5 | 0.0 | 0.5 | control , control , control , control , control , control , control , control , control , control , control , control , control , control , control , control , control , control , control , control , intervention , intervention , intervention , intervention , intervention , intervention , intervention , intervention , intervention , intervention , intervention , intervention , intervention , intervention , intervention , intervention , intervention , intervention , intervention , intervention , -0.194624424448575 , 0.105485636306602 , 0.320426738692817 , 0.854028371288039 , -0.167809659819178 , -0.402538142515313 , -0.0165632992486338 , -0.510062897657098 , -0.161323906865881 , 0.483163659962163 , -0.565498783100259 , -0.00362775930645506, -0.339276159840924 , -0.632154435263954 , 0.28314416875052 , -0.128847884593707 , -0.36263329149643 , 0.730591481584503 , -0.436005525281294 , -0.645704402922042 , 0.426575936793853 , 0.507665557781427 , -0.025832820819062 , 1.03864094118609 , 0.874779430073492 , 0.409315502105544 , -0.378566661588363 , 0.638591132857797 , 0.00104385096127146 , 1.07209965826427 , -0.222054802184581 , 0.906238000037123 , 0.455519075957287 , 0.66827007820429 , 1.23709635551397 , 0.0253203404253317 , 0.0805475403118052 , 0.297273799814841 , 0.204985666841153 , 0.812002506378713 | 0.0004596 |
| 52 | 20 | 0.5 | 0.0 | 1.0 | control , control , control , control , control , control , control , control , control , control , control , control , control , control , control , control , control , control , control , control , intervention , intervention , intervention , intervention , intervention , intervention , intervention , intervention , intervention , intervention , intervention , intervention , intervention , intervention , intervention , intervention , intervention , intervention , intervention , intervention , 1.62264238707733 , -1.86408502839026 , 0.0383772703186233 , 0.965026911846446 , 0.565335587344682 , 0.54296787485798 , 0.232055649572537 , -0.741266142334366 , 0.208247509139388 , -0.983074634208067 , 0.596460622755792 , 0.169623505400525 , -0.923733518119073 , -0.33048658130871 , -0.675814902884593 , -0.773964896576519 , 0.7321830670708 , -0.0705662199443671, 0.0400474493912281 , 0.0181879063298595 , 1.61480314238464 , 2.36362293039615 , 1.59866920111932 , -0.607332780652384 , 1.64981399845733 , -1.08797232107396 , -0.282764827659112 , 1.33286607748861 , 1.28882410064727 , 0.528258563279401 , -0.657211167139483 , -0.415432259571684 , -0.204959869167778 , 2.48296298732679 , 0.0147529610800598 , 0.957580803474683 , -0.705464052023342 , 0.24198460190358 , 2.11799809510599 , -0.367922887802574 | 0.0520951 |
| 52 | 20 | 0.5 | 0.1 | 0.5 | control , control , control , control , control , control , control , control , control , control , control , control , control , control , control , control , control , control , control , control , intervention , intervention , intervention , intervention , intervention , intervention , intervention , intervention , intervention , intervention , intervention , intervention , intervention , intervention , intervention , intervention , intervention , intervention , intervention , intervention , -0.141294904188996 , -0.530222401369866 , 0.041275882086406 , -0.71509920554087 , -0.356631035854676 , -0.0716949549260555, 0.415116527702101 , 0.414888394686312 , 0.122479077571737 , -0.592082261714655 , 0.334745500644319 , 0.56567697734481 , 0.352497621184725 , -0.132019847108893 , 0.650552752707826 , -0.504523148563897 , 0.381478778587933 , 0.682470698582758 , -0.251072964500254 , -0.714503975587348 , 0.484968245247409 , 1.24050287423338 , 0.0281944605732896 , 0.575994805320012 , 0.071570354357585 , 0.862720923176649 , 0.00984627659446968, -0.0425704959190218, 0.495616953595835 , 0.643216908367218 , 1.5155978970759 , -0.198608367485946 , 0.813858136065203 , 0.813618031486548 , -0.0287094139257364, 0.714761176186807 , 0.50479616143556 , -0.0011354443840611, 0.74725058273704 , 1.45017155865601 | 0.0012125 |
| 52 | 20 | 0.5 | 0.1 | 1.0 | control , control , control , control , control , control , control , control , control , control , control , control , control , control , control , control , control , control , control , control , intervention , intervention , intervention , intervention , intervention , intervention , intervention , intervention , intervention , intervention , intervention , intervention , intervention , intervention , intervention , intervention , intervention , intervention , intervention , intervention , -0.279902497096365 , 0.942096191951012 , 1.96867379164259 , 1.51029416925346 , -1.29003356976945 , -0.406738051066168 , 0.447699073434587 , 1.00743136984788 , 1.90217888162067 , 0.422614067827193 , 0.588382386573327 , -0.102734595045321 , 0.0948599162888522 , -0.107191074916435 , 0.800567513748481 , 0.0323304442123839 , 0.806198089335152 , 0.260032050448695 , -0.0406861124738238, 0.0324656412796296 , 1.35982723905674 , 0.0711512533130796 , -0.157005979975518 , 0.607243858797344 , 1.02133761008235 , 0.805476921376284 , 0.108444732959071 , 1.44062246236679 , -0.730938558939422 , -0.297224773162669 , 0.836528878427834 , 1.3964416556726 , 1.28990811612453 , -0.849644760006319 , 1.52599388793154 , -0.261350948656026 , 0.4602061835273 , -1.86629725884015 , -0.211913467620327 , 1.21463173042942 | 0.8806370 |
| 52 | 50 | 0.0 | 0.0 | 0.5 | control , control , control , control , control , control , control , control , control , control , control , control , control , control , control , control , control , control , control , control , control , control , control , control , control , control , control , control , control , control , control , control , control , control , control , control , control , control , control , control , control , control , control , control , control , control , control , control , control , control , intervention , intervention , intervention , intervention , intervention , intervention , intervention , intervention , intervention , intervention , intervention , intervention , intervention , intervention , intervention , intervention , intervention , intervention , intervention , intervention , intervention , intervention , intervention , intervention , intervention , intervention , intervention , intervention , intervention , intervention , intervention , intervention , intervention , intervention , intervention , intervention , intervention , intervention , intervention , intervention , intervention , intervention , intervention , intervention , intervention , intervention , intervention , intervention , intervention , intervention , -0.0821022077831607 , 0.496814504226018 , -0.14376912963383 , 0.238460892859204 , -0.3485298107213 , -0.456533153140918 , -0.066037356701906 , 0.341425001986338 , 0.267887434880723 , 0.000372597224874503, 0.445868593821456 , 0.210680911935603 , -0.124690892039029 , -0.182246226153093 , -0.478540797621414 , -0.925033190493866 , -0.301314763299842 , -0.0682000324033411 , 0.157465782308022 , 0.42832424259545 , -0.173518522721877 , -0.544562208647197 , -0.640236418630152 , -0.313557493842186 , 0.0844644936912305 , 1.43115355601419 , -0.154206928635271 , 0.333934123863389 , -0.0282205221914713 , -0.263384658523533 , 0.23566943347251 , -0.13284615554652 , -0.399415524061188 , 0.046505283083124 , -0.157441946127786 , -0.196151592155392 , -1.29639548345899 , -0.33249889259592 , 0.0376077571562593 , 0.144717569604392 , 0.533665015878944 , -0.642780650104104 , -0.375797982943851 , 0.231558866923624 , 0.10773492253178 , -0.00493512301493106, -0.241060677697826 , 0.815211177494598 , -0.257839409730992 , 0.454863563579984 , 1.25323929348827 , -0.803184679796487 , -0.0410154590633009 , 0.706749732684738 , -0.202755337642943 , 0.670012194332427 , 0.349536589125313 , -0.794864194931479 , -0.325135298422447 , 0.414723448084834 , -0.300900610691757 , -0.0132536631786451 , -0.890974447756658 , 0.0171150477149913 , -0.410071967612268 , -0.04866639444654 , 0.0575522927646667 , 0.0235305487542448 , -0.00710190404350464, -0.0095599414961749 , -0.112100018964699 , -0.173818935388655 , -0.0844009003819332 , -0.225873218728259 , -0.0789059184997724 , -0.239594154590285 , 0.477041905838394 , -0.447060828195125 , 0.37894629348501 , 0.230745806746503 , 0.513912321404722 , 0.22658056927782 , 0.918244170591256 , 0.304879353565447 , -0.520358591445691 , -0.905485478671734 , -1.06358360533304 , -0.362122275787952 , -0.208647578291985 , 0.341161210928857 , -0.193219423100576 , -0.691784131860008 , -0.124250574543443 , -0.0133375101688873 , 1.02556045757915 , -0.542641402232787 , 0.554914195628035 , 0.455708814370856 , -0.0320361433305085 , -0.073841093661287 | 0.7886109 |
| 52 | 50 | 0.0 | 0.0 | 1.0 | control , control , control , control , control , control , control , control , control , control , control , control , control , control , control , control , control , control , control , control , control , control , control , control , control , control , control , control , control , control , control , control , control , control , control , control , control , control , control , control , control , control , control , control , control , control , control , control , control , control , intervention , intervention , intervention , intervention , intervention , intervention , intervention , intervention , intervention , intervention , intervention , intervention , intervention , intervention , intervention , intervention , intervention , intervention , intervention , intervention , intervention , intervention , intervention , intervention , intervention , intervention , intervention , intervention , intervention , intervention , intervention , intervention , intervention , intervention , intervention , intervention , intervention , intervention , intervention , intervention , intervention , intervention , intervention , intervention , intervention , intervention , intervention , intervention , intervention , intervention , -1.2190159903728 , 2.58632421259071 , 1.84366949696803 , 1.97435917204716 , -0.100906173524816 , 1.11142212556577 , -0.193738803457059 , 0.538283617023122 , -1.54994347698184 , -1.31396171902561 , -0.750654636638672 , 1.45232848287872 , -0.490335204818896 , 1.71800219734569 , 1.51591473462344 , -0.876080018678344 , 0.488618121469942 , 0.510246700541606 , -0.559026677171574 , 0.251632180721126 , 0.916844086465088 , 0.259240899568196 , 0.276502236165674 , 1.30366733988765 , 0.668552202222592 , -0.436423570165259 , 1.88802427190796 , 0.195724242802532 , 1.24545994950246 , -0.460249522106273 , 0.0869345767500774 , 0.33827590213409 , 2.51057986963036 , -1.71981814011517 , -1.10102624936699 , 0.450122802444968 , -1.13452501498746 , -1.53393701154536 , 1.030799105495 , -0.274953487197983 , 1.21329912136129 , 0.411642155581123 , -0.628999537606263 , 2.1466036314936 , -0.430372336136536 , -1.57730016866962 , -1.50945758044509 , -0.649904021044029 , -1.01282361898533 , -0.3864045880435 , -0.173341148822495 , 0.321940970807137 , 0.604115799279289 , -1.87144228826089 , -1.75924544098964 , 0.368788617186451 , 0.928131801592301 , 0.592442771371876 , -2.00203852518955 , 1.28512499729003 , 1.16650910498201 , 0.249364251363665 , -0.768381246550877 , -1.28607646872393 , -0.7213736873335 , 0.900953691995459 , -1.3506798510298 , 0.32401782822663 , -0.497836017585094 , 1.23328949266702 , -0.594060712894694 , -0.527510349181321 , -0.562288281644204 , -1.66118162027455 , -1.31118086022109 , -0.207381188659526 , -1.3183703429844 , 1.8370308070418 , -0.400385220694411 , -0.782366268202953 , -1.21344439367401 , -0.628314695286327 , 0.256000189769378 , 2.2361871159669 , 0.555946867221272 , -0.482759681824796 , -0.56081643899284 , 0.0808309536364877 , 0.899329390394756 , 1.91568840815719 , -0.0154499542963314, -0.655692263288992 , 0.750337800916978 , -1.17245513112469 , 0.80179247704588 , 0.836729989722329 , 0.924185728638051 , 0.105650438247688 , -1.53519356018206 , 1.84162327799205 | 0.2848316 |
| 52 | 50 | 0.0 | 0.1 | 0.5 | control , control , control , control , control , control , control , control , control , control , control , control , control , control , control , control , control , control , control , control , control , control , control , control , control , control , control , control , control , control , control , control , control , control , control , control , control , control , control , control , control , control , control , control , control , control , control , control , control , control , intervention , intervention , intervention , intervention , intervention , intervention , intervention , intervention , intervention , intervention , intervention , intervention , intervention , intervention , intervention , intervention , intervention , intervention , intervention , intervention , intervention , intervention , intervention , intervention , intervention , intervention , intervention , intervention , intervention , intervention , intervention , intervention , intervention , intervention , intervention , intervention , intervention , intervention , intervention , intervention , intervention , intervention , intervention , intervention , intervention , intervention , intervention , intervention , intervention , intervention , 0.0384431917338436 , -0.710225771325051 , 0.046589921850036 , -0.349261018655741 , 0.145125438533338 , -0.256162593579343 , 0.310055746043338 , 0.501458121321313 , 0.337183733389314 , -0.370386429998558 , 0.50100833891385 , 0.226578969651431 , 0.0864183842312124 , 0.348114967162081 , 0.136795638026409 , -0.344439291485282 , -0.573730135921819 , 0.6156299433318 , -0.182172834018273 , -0.769628860879415 , -1.16655119715726 , 0.699616570035728 , -0.399192005730734 , 0.632585428016928 , 0.35532342078659 , -1.04403562692346 , -0.741196438528644 , -0.0601259491483972 , -0.333576782885812 , -0.324730433293318 , 0.450791899456809 , 0.0461389142002493 , 0.335412066871249 , 0.652301667621693 , -0.686403127652429 , 0.193121175199398 , 1.62183310816105 , 0.754185341544945 , -0.422230558874806 , -0.287797003077637 , 0.980858257371819 , -0.135139065257286 , 0.902770101266667 , -0.00529697633476028, 1.16300008676912 , 0.195525084636598 , 0.454433318522199 , -0.095776547868506 , 0.0989920585797183 , -0.686111088862178 , 0.0391176436636515 , 0.861668940977075 , 0.082674907904163 , -0.729213185361744 , -0.414590870126163 , 0.236412392231619 , -0.2942582845571 , 0.0949479798029202 , -0.13982471611825 , 0.792290897676535 , -0.582666811407857 , -0.347212461613653 , -0.792990037288047 , -0.224248774776137 , -0.151808707670954 , 0.39626851665251 , -0.582107480137475 , -0.154094629105286 , 1.21068858047533 , -0.515790218925794 , 0.262770502950977 , 0.828837834274026 , 0.384630534769894 , -0.729122247052226 , 0.610420583322445 , 0.167657440906795 , 0.476136953038984 , 0.165908701890212 , -0.161614231974625 , 0.116880988463793 , -0.809545779809881 , -0.395251568410643 , -0.132546142756009 , 0.0491895875891798 , -0.611505281862674 , 0.214552560306436 , -0.627517667567614 , 0.0390469324861502 , 0.636202965746916 , -0.0333365708221621 , 0.313399371910176 , -0.189072235436288 , 0.538918980606017 , 0.237631766193992 , -0.299435703109967 , 0.157390519567386 , -0.0170816539276884 , -0.355819224949127 , 0.311957595054592 , -0.0127478639070765 | 0.5715187 |
| 52 | 50 | 0.0 | 0.1 | 1.0 | control , control , control , control , control , control , control , control , control , control , control , control , control , control , control , control , control , control , control , control , control , control , control , control , control , control , control , control , control , control , control , control , control , control , control , control , control , control , control , control , control , control , control , control , control , control , control , control , control , control , intervention , intervention , intervention , intervention , intervention , intervention , intervention , intervention , intervention , intervention , intervention , intervention , intervention , intervention , intervention , intervention , intervention , intervention , intervention , intervention , intervention , intervention , intervention , intervention , intervention , intervention , intervention , intervention , intervention , intervention , intervention , intervention , intervention , intervention , intervention , intervention , intervention , intervention , intervention , intervention , intervention , intervention , intervention , intervention , intervention , intervention , intervention , intervention , intervention , intervention , 1.09264045371047 , -0.445754315992481 , 0.536022388878872 , 0.772950224320698 , -1.2415459222298 , -0.420643269632898 , -0.013462138652954 , -0.0790272283135691 , -0.89731244709178 , -1.51441384947089 , -0.361670455604673 , 0.0731450448052587 , 0.514061808806323 , -0.595165379242134 , 0.250205335655302 , -0.157114351778004 , -0.337419333988641 , -2.44374237437385 , -0.214292664116857 , 0.207452568186465 , -0.0076781457330411 , -1.99055270709998 , -1.40537835152816 , -0.0711576603033371 , 1.47069142101429 , 0.168282161700915 , -0.178593661320809 , 2.07458639632156 , -0.586765665761828 , 0.000499738911435371, 1.07008911396943 , -0.701110505112639 , -0.592603868975355 , 0.909168226294895 , -0.360582013719933 , 0.538019037126104 , 2.19673814631478 , -0.180845915311573 , 0.640337872211331 , -0.788037705519471 , -0.595007148007434 , -0.337809380935075 , -0.0303948813163812 , 1.19542718989967 , -0.00357973192270382, -1.21774990837158 , 1.73567546021261 , -0.460603609870603 , 1.4065969640953 , -0.836084103123038 , -0.25051152462881 , -0.7935954105366 , -0.359744306976608 , -0.515788776384742 , -1.37620724164137 , 0.998163962970316 , 0.679512767872827 , -1.6013390660316 , 0.859113349674205 , -0.0737969956991449 , -0.206529982815265 , -0.542485910471402 , 0.327131051648798 , 1.26116321338858 , 0.660170791866841 , -0.171996455993662 , -0.72271170039311 , 0.64126990477216 , -0.0884424625163545 , -0.127878619984476 , 0.835887913568195 , -1.02848755408185 , 2.50227893660425 , -0.352094897696149 , -0.313352530831558 , -0.505865861716717 , -1.39800605225115 , -2.40545237169324 , 0.591085432817429 , -0.86493758411831 , 1.48132624850851 , -0.89277114756135 , -0.561268104440108 , -1.59780461006442 , -1.2958189673542 , -0.0890723007012957 , -0.678269039911835 , 0.554012077021235 , 2.36992507793888 , 0.277690296002916 , -0.472538914708327 , 0.0446997256638446 , 0.188724972480286 , -0.239542413090398 , 1.36595382349891 , 0.26251884695932 , 1.09311672546967 , 0.378379872226615 , -0.747441587500208 , 0.345217417762276 | 0.9718288 |
| 52 | 50 | 0.5 | 0.0 | 0.5 | control , control , control , control , control , control , control , control , control , control , control , control , control , control , control , control , control , control , control , control , control , control , control , control , control , control , control , control , control , control , control , control , control , control , control , control , control , control , control , control , control , control , control , control , control , control , control , control , control , control , intervention , intervention , intervention , intervention , intervention , intervention , intervention , intervention , intervention , intervention , intervention , intervention , intervention , intervention , intervention , intervention , intervention , intervention , intervention , intervention , intervention , intervention , intervention , intervention , intervention , intervention , intervention , intervention , intervention , intervention , intervention , intervention , intervention , intervention , intervention , intervention , intervention , intervention , intervention , intervention , intervention , intervention , intervention , intervention , intervention , intervention , intervention , intervention , intervention , intervention , 0.261698993721104 , 0.431791148249626 , -0.387453042531267 , -0.621924948071906 , -0.286816984020325 , 0.769507236359725 , 0.450944896689498 , 0.227645367454979 , -0.0537549301919955, -0.12092569059953 , -0.0430369693054541, 0.113072765975693 , 1.63529132451741 , -0.0195515256576506, -0.326900941651837 , -0.882158199645325 , 0.73765963781479 , 0.0236167093683068 , 0.602485109152138 , -0.0315553944302809, -0.051594472138404 , -0.57236625747691 , 0.517598015155293 , -0.101830086663107 , -0.227803884122385 , 0.42655420084038 , -0.97147988024422 , -0.260513375288419 , 0.781152477140922 , -0.223500792617394 , 0.222111515070069 , 0.446962898580374 , -0.653902558164814 , -0.0521713112108269, 0.0824975925147549 , 0.0477186032436707 , 0.138477721328725 , -0.661052610825336 , -0.145958072402479 , -0.35791759100215 , 0.181032263639393 , -0.752893115210323 , -0.445284311797502 , -0.259316414423209 , 0.0593425625432634 , -0.923297168043218 , -0.21393130575495 , 1.03914757665073 , 0.816435020447682 , -0.165735789136546 , -0.0966669845774403, 0.646960549555731 , 0.339706908811465 , 0.902872173786306 , 0.207822164277724 , 0.541083320968465 , 0.230983167026394 , 1.41735694290124 , 0.319621612246458 , 0.967051110397788 , 1.20981520639076 , 0.544077616472954 , 0.341903395392332 , 0.449413011424574 , 0.600310096246851 , 0.701252594801282 , 0.213580356037899 , 0.517943834523052 , -0.0145955119818626, 1.33782154636133 , 0.0184043758439256 , 0.542242270945367 , 0.192352545733642 , 0.799035053571813 , -0.396449785906905 , 0.387417999754891 , -0.108969459877599 , 0.307974734459489 , 0.543193147146396 , 1.28890998218537 , 1.02942146904995 , 0.00599299478912874, 0.00041792534690821, 0.357012834337641 , 1.5405233429037 , 0.547496582932189 , -0.167258330152623 , 0.384445967010276 , 1.21679695292751 , 0.346867814483145 , 0.405665685908294 , 0.600504788059431 , 0.938958351805044 , -0.0423569398030095, -0.205356590378284 , -0.667266386932973 , 0.45039907338654 , 1.35472952071839 , -0.087139852588118 , 0.397067921762273 | 0.0000163 |
| 52 | 50 | 0.5 | 0.0 | 1.0 | control , control , control , control , control , control , control , control , control , control , control , control , control , control , control , control , control , control , control , control , control , control , control , control , control , control , control , control , control , control , control , control , control , control , control , control , control , control , control , control , control , control , control , control , control , control , control , control , control , control , intervention , intervention , intervention , intervention , intervention , intervention , intervention , intervention , intervention , intervention , intervention , intervention , intervention , intervention , intervention , intervention , intervention , intervention , intervention , intervention , intervention , intervention , intervention , intervention , intervention , intervention , intervention , intervention , intervention , intervention , intervention , intervention , intervention , intervention , intervention , intervention , intervention , intervention , intervention , intervention , intervention , intervention , intervention , intervention , intervention , intervention , intervention , intervention , intervention , intervention , 0.105336986039487 , -0.0379141691950232 , 0.875775566344958 , -0.630204982728387 , 0.928276686106191 , -0.363650422719702 , -0.889531847607943 , 0.950347265151538 , -0.399929207677735 , -0.642847706407781 , -1.29025770574188 , -1.43380006221348 , 1.13852493441328 , 0.742630278518125 , 0.678978882823608 , -0.625983816021547 , -0.103702771241324 , 1.43451326425445 , -0.683816374693654 , -0.87480478322139 , 1.1017583717253 , -1.96587317739311 , -0.289648437059273 , -1.08249878650202 , -1.81301073885821 , -0.922828876529884 , 0.615196851101386 , -0.84216391037208 , -0.720725172694993 , 1.17791783160263 , -0.37347812314459 , 0.309292168727569 , -0.0697507483588489 , 0.676659878680998 , -0.231669304215027 , -1.07964775881946 , -0.464547815241414 , 1.39836827422788 , 1.04703068135883 , -0.993898326506943 , 0.825798882503949 , 1.16974891698062 , -1.70582712888711 , -1.66939641557819 , 0.00296425937710335 , 1.57310563693896 , -2.08092627914612 , 0.841286990293633 , 0.494385376234749 , 0.302068185839026 , 0.755193815268524 , 0.934840511309165 , 0.552066453820656 , 1.54163780194005 , 0.518755290666221 , -0.790207795420491 , 0.991501350822238 , 2.68892557286716 , 0.254425242916743 , -0.812810708832525 , 1.55851185356845 , 1.58813218211102 , 0.759574126755488 , 1.12880087684384 , 1.16942154612475 , 0.624841225742059 , 1.08134069929912 , 0.53006129168709 , 1.42223708820321 , 0.911262645095394 , 0.542906564526626 , -0.751504719802211 , 1.56240446751995 , 1.46251047687639 , 0.773718196165186 , -0.58040103305921 , -0.970500646766544 , -0.0261738811630163 , 0.606188712079818 , 0.71419842662832 , 1.49351654656906 , 1.31451246370177 , -0.0499646853823235 , 1.4842516600338 , -0.380816740698651 , 1.0492773376659 , 0.150425713626467 , 2.37856209509357 , 0.136827226658241 , 0.369229733635388 , 1.58643972506031 , -0.284936169244044 , 1.23252958791617 , -1.20321404020373 , 1.27532852815193 , 0.153825085142313 , -0.00579730429168546, 0.626430603485714 , 0.100955748151875 , 0.423382356361083 | 0.0000661 |
| 52 | 50 | 0.5 | 0.1 | 0.5 | control , control , control , control , control , control , control , control , control , control , control , control , control , control , control , control , control , control , control , control , control , control , control , control , control , control , control , control , control , control , control , control , control , control , control , control , control , control , control , control , control , control , control , control , control , control , control , control , control , control , intervention , intervention , intervention , intervention , intervention , intervention , intervention , intervention , intervention , intervention , intervention , intervention , intervention , intervention , intervention , intervention , intervention , intervention , intervention , intervention , intervention , intervention , intervention , intervention , intervention , intervention , intervention , intervention , intervention , intervention , intervention , intervention , intervention , intervention , intervention , intervention , intervention , intervention , intervention , intervention , intervention , intervention , intervention , intervention , intervention , intervention , intervention , intervention , intervention , intervention , 1.2588129365057 , 0.216526700380116 , 0.639063694172941 , -0.0820389162232109 , -0.283957471596587 , 0.109703339543647 , 0.723360322498627 , -0.346328390079194 , 0.330441199957405 , 0.60716736135034 , 0.161082047594663 , 0.238726462392966 , 0.0225767401034386 , -0.532132202736613 , 0.638192276827086 , 0.821912193873793 , 0.370321252240447 , -0.438188657876494 , -0.0445687378050172 , 0.731858433384533 , 0.30444310870355 , 0.432245960595414 , 0.362409825333532 , -0.332746193954324 , 0.46849309518614 , 0.416094216418197 , -0.825264221666991 , -0.150005792664756 , -0.0453354647029832 , 0.410833560768521 , 0.213189558329328 , -0.281249566400769 , 0.0504867371879743 , 0.132729421493784 , -0.178449234828778 , -0.0147416302370784 , 0.60330546199459 , 0.739503344955507 , 0.657450834233356 , 0.493958813402969 , 0.252205769264967 , 0.292297864261394 , -0.467795123450294 , 1.01858134073077 , -0.00134434602809182, 0.0356221621104431 , -1.04494107858699 , 0.00797972315636082 , -0.609624674964325 , 0.588289636579957 , 0.562242604143958 , 1.27631187096607 , 0.485799554835457 , 0.246171512737516 , 0.895943300909601 , 0.238615570070052 , 0.637094115576806 , 0.193085217056075 , 0.164045628916228 , -0.373414982189051 , -0.163960762298853 , 0.554284352788174 , -0.0142408003492923 , 1.32027956457129 , -0.268546215505762 , 0.322300055450355 , 0.21468205854431 , 0.220151647943738 , 0.69693271422903 , 1.10400293912464 , 0.587266609695102 , -0.587421498422262 , 0.335829859530393 , 1.34627312527477 , 0.636594570299377 , 0.309743307770152 , 0.916824749638232 , 0.864476441845736 , 0.461057821057217 , 0.00758051590705622 , 0.092582819059707 , 0.0118419228378018 , 0.00245562494934237 , 0.764094949668523 , -0.182436323397346 , 0.143111445977989 , 1.13505325815503 , 0.778585861135989 , 0.492191569604709 , 0.469060146504977 , 0.733387730957728 , 1.44175230456287 , 0.404969422438174 , 0.561225590946712 , -0.20475429793196 , 0.0158877420684136 , 0.632089143511802 , -0.152964714115757 , 0.908190131378434 , -0.672459888534895 | 0.0156464 |
| 52 | 50 | 0.5 | 0.1 | 1.0 | control , control , control , control , control , control , control , control , control , control , control , control , control , control , control , control , control , control , control , control , control , control , control , control , control , control , control , control , control , control , control , control , control , control , control , control , control , control , control , control , control , control , control , control , control , control , control , control , control , control , intervention , intervention , intervention , intervention , intervention , intervention , intervention , intervention , intervention , intervention , intervention , intervention , intervention , intervention , intervention , intervention , intervention , intervention , intervention , intervention , intervention , intervention , intervention , intervention , intervention , intervention , intervention , intervention , intervention , intervention , intervention , intervention , intervention , intervention , intervention , intervention , intervention , intervention , intervention , intervention , intervention , intervention , intervention , intervention , intervention , intervention , intervention , intervention , intervention , intervention , 0.0701554073809818 , 0.804511129375171 , 0.568307711346937 , 1.95661687000619 , 1.75455454475501 , -0.657214215138071 , -0.316656620112192 , -0.0114089566606061, 0.733330612900037 , -1.50096856278063 , 0.632868849128928 , -0.35179254716192 , -1.41605806483076 , -0.626286315166374 , -0.0725883694822656, -0.419280473832346 , 0.600337272722798 , 0.107259526141437 , -1.08839708408854 , 1.54718631196263 , 0.605027782028507 , -0.0733994346157848, -1.23950312880087 , -1.08541189416057 , 0.954244749231341 , 0.415924352353556 , 1.47959700162737 , -1.96842123599659 , -1.11630913881612 , 2.20768447452149 , 0.736738785371578 , -0.923405966269066 , 0.357476220101782 , 1.06589205676597 , 0.383508118507155 , -0.462228107474689 , 0.591892461950484 , 1.44211450931109 , 1.05431596074744 , 1.63797678139262 , 0.783347104893028 , 0.428386726627914 , -0.64214425421525 , 0.35955062719354 , 0.0578394346167031 , 0.116279120286414 , -0.483425791124799 , 0.198074737103186 , -0.459541462104961 , 0.139393657007641 , 0.526329696336909 , 0.0865276631099034 , 0.465485595590493 , 0.58662401985744 , 0.606890911295379 , -0.0211570776520371, 0.729758771020212 , 0.704177076962681 , 1.29879369324302 , 1.03264486803397 , 1.33682767650606 , -0.133846146293162 , 1.15472196332602 , 0.552936411530927 , 1.45119856114772 , -0.0366244808882715, 3.60839370422074 , -0.604192861628325 , -0.185771920985383 , 1.01792666741522 , 1.94586513698169 , -1.10341582213627 , -0.978029724101717 , -0.866574650712626 , -0.241068037841204 , -0.218975368816275 , -0.175765379066153 , 1.43097743884797 , 0.196959645091825 , 0.908105533477811 , 0.786564327290106 , -1.14336551689485 , 0.705548530552913 , 0.894569166333586 , 1.22797018402772 , 0.621666878629083 , 0.0388656414412623 , 0.398628320285426 , -0.0965281094407939, 0.203268623631251 , 0.506048370542269 , 1.436035579955 , 1.61627895433569 , 2.06829738852998 , -0.295064104765262 , 0.258130708484572 , 0.988993707263995 , 0.962155640347008 , -0.184537586325347 , 0.400588834224535 | 0.0568556 |
| 53 | 20 | 0.0 | 0.0 | 0.5 | control , control , control , control , control , control , control , control , control , control , control , control , control , control , control , control , control , control , control , control , intervention , intervention , intervention , intervention , intervention , intervention , intervention , intervention , intervention , intervention , intervention , intervention , intervention , intervention , intervention , intervention , intervention , intervention , intervention , intervention , -0.327502620139622 , 0.151395300614004 , -0.0364190787623804 , -0.0694010926076919 , 0.799994408739635 , -0.294389381542171 , 1.06877349394893 , -0.087027788202101 , -0.410713205812433 , 0.0335172562869401 , 0.259312001000528 , 1.14747270320744 , -0.0101430731092624 , -0.170320045190684 , 0.290552769351677 , -0.0401339375865571 , -0.803791574484966 , -0.133156324801138 , 0.0278928762361747 , -0.5899253109207 , 0.346124405247238 , 0.000612798269062239, -0.158692074637305 , -0.268704622864009 , 0.323012079287214 , 0.937355547590527 , 1.21524655549733 , 0.706301228579469 , -0.197924484306962 , 0.418507604672253 , 0.143660959599676 , 0.0931543551870405 , -1.03507967695251 , 0.226341618857709 , 0.538325017342618 , -0.594272046367273 , -0.727771701214531 , 0.416039647794801 , 0.0168385587004337 , 0.137685310303233 | 0.6012647 |
| 53 | 20 | 0.0 | 0.0 | 1.0 | control , control , control , control , control , control , control , control , control , control , control , control , control , control , control , control , control , control , control , control , intervention , intervention , intervention , intervention , intervention , intervention , intervention , intervention , intervention , intervention , intervention , intervention , intervention , intervention , intervention , intervention , intervention , intervention , intervention , intervention , 1.09816840260425 , -0.995142606462194 , 0.996823087262561 , 0.701442717123956 , -0.393592263326841 , -0.80322723926479 , 2.72174523188092 , 1.58153125187955 , 0.22799708737543 , -1.1865898052012 , -0.415376848342119 , 1.53447319952521 , 0.599457393076882 , -0.90767251227988 , 1.22461079889704 , 0.479878498302819 , 3.1174033099114 , 0.448785289542268 , 1.02475728915146 , 1.45575046333534 , -0.815649167131391 , 0.0576739242528563 , 0.24082354041221 , 1.10908635512251 , 0.569445913899961 , -1.64065486495037 , -0.648935199515911 , -1.05033373028798 , 0.282800833551269 , 2.43321004448045 , -0.475724018100951 , -1.18301868621053 , -0.0409810387054397, -0.61762609882078 , -1.28970111360655 , 1.16648207982563 , -0.694887952482066 , -1.67783560202038 , -0.528292787749154 , 0.0373357776515606 | 0.0181633 |
| 53 | 20 | 0.0 | 0.1 | 0.5 | control , control , control , control , control , control , control , control , control , control , control , control , control , control , control , control , control , control , control , control , intervention , intervention , intervention , intervention , intervention , intervention , intervention , intervention , intervention , intervention , intervention , intervention , intervention , intervention , intervention , intervention , intervention , intervention , intervention , intervention , 0.451025558161354 , 0.308894178424803 , -0.908223205339928 , 1.21211403179823 , 0.5732559829653 , 0.51456635088967 , 0.669279071502114 , -0.564162550057475 , 0.885755837626451 , 0.74526545918053 , -0.712451075803218 , 0.262641356192379 , 0.0593598451275883 , 0.071394879612185 , 0.155835705008445 , 0.0940674625924943 , 0.678630414973635 , -0.761776527374684 , 0.156025635940413 , 0.0274971202258644 , 0.167003233859006 , 0.349342031548084 , -0.146791548289126 , -0.809943267331492 , 0.425593464589323 , 0.703732023278365 , -0.380625861898558 , 0.00444875706524026, -0.869242314219326 , 0.663786395485874 , 0.16325410367783 , 0.238899508738414 , 0.121886873724383 , 0.392532331376476 , 0.333446926966271 , 0.361392706440943 , -0.528495017012343 , -0.126056313164713 , 0.130420723744608 , 0.799858482505152 | 0.5623744 |
| 53 | 20 | 0.0 | 0.1 | 1.0 | control , control , control , control , control , control , control , control , control , control , control , control , control , control , control , control , control , control , control , control , intervention , intervention , intervention , intervention , intervention , intervention , intervention , intervention , intervention , intervention , intervention , intervention , intervention , intervention , intervention , intervention , intervention , intervention , intervention , intervention , 2.09852092688371 , 0.151303638164629 , -0.814475356059368, 0.61506260997914 , 0.552003985166698 , -0.101613925829021, -1.12680992319065 , 1.75844825734818 , 0.857431782001581 , 0.118804586003555 , -2.61601642547902 , 0.94773711388634 , -0.312723022272301, -0.28031598314661 , -0.633438316523768, 0.851234298292662 , 0.377679194307689 , 0.337388083003404 , 1.063309639544 , 1.25260685697667 , -0.027402043438544, 0.327556778828659 , 0.862043190136614 , -0.838063230546887, 1.24520160546166 , -2.18327191071362 , 0.235789625846359 , -0.633527661309767, -1.62253277995716 , -1.28162175860277 , 0.464518214497525 , -0.716035608722928, 0.275282195579586 , -2.28743230388771 , 0.0281990669086723, -0.143118174217322, 0.806861233862793 , -1.74989329587735 , -0.332471124157644, 0.515500338419415 | 0.0750272 |
| 53 | 20 | 0.5 | 0.0 | 0.5 | control , control , control , control , control , control , control , control , control , control , control , control , control , control , control , control , control , control , control , control , intervention , intervention , intervention , intervention , intervention , intervention , intervention , intervention , intervention , intervention , intervention , intervention , intervention , intervention , intervention , intervention , intervention , intervention , intervention , intervention , 1.05154684181065 , -0.181852428185367, 0.255341251860271 , 0.297799456130937 , 0.0176470425753893, -0.870113640889543, -0.152549015759722, -0.749273322735274, 0.193016887244538 , 0.319162341431771 , 0.213524180326124 , 0.888712976194695 , 0.406915560719139 , -0.423082620023813, -0.960343290595923, -0.959633181053962, -0.642563429671802, 0.874024994340549 , 0.202628065980441 , 0.536087769340584 , 0.425938417883482 , 1.3370013162684 , 0.797871172086822 , 1.72176883141386 , 1.22637072100465 , 0.669058754373874 , 0.782338064199544 , -0.216180104876014, 0.442635386227749 , 0.633486846028124 , -0.247973977489568, -0.222557871734396, 1.91781989874695 , 0.698450300788489 , 0.693371003782947 , -0.25736592917574 , 0.376924236980614 , 1.08625973384569 , 0.105733866122672 , 0.653784984413154 | 0.0033547 |
| 53 | 20 | 0.5 | 0.0 | 1.0 | control , control , control , control , control , control , control , control , control , control , control , control , control , control , control , control , control , control , control , control , intervention , intervention , intervention , intervention , intervention , intervention , intervention , intervention , intervention , intervention , intervention , intervention , intervention , intervention , intervention , intervention , intervention , intervention , intervention , intervention , -1.83270072196483 , -1.00585136631154 , -0.17118467421915 , -0.405763436945016, 0.53062512898745 , -0.935427223079724, 0.480958958386753 , -1.05100986159603 , -1.45008828395931 , 1.08313109834936 , 1.32434195507767 , 0.296100148450581 , 0.078233148684272 , 1.26189717264577 , -1.41356152664542 , -0.145856357188979, 0.716153767376698 , 0.0384824976441376, 0.147180018029757 , 2.28526137490987 , -1.03114809751883 , 0.151017441441558 , 1.81750604129012 , 1.46916465657202 , 1.15884699773608 , 0.840984463901337 , -0.129646293261595, 0.267910765306107 , 0.490623057986075 , -0.11378012849971 , 2.8886265612184 , 0.846296523370308 , 0.486570180731102 , 0.201453560532881 , -0.862249143654426, 0.656202186329201 , 1.53464448292274 , -0.331704721251203, 0.185844651219842 , 0.551690316974316 | 0.0820380 |
| 53 | 20 | 0.5 | 0.1 | 0.5 | control , control , control , control , control , control , control , control , control , control , control , control , control , control , control , control , control , control , control , control , intervention , intervention , intervention , intervention , intervention , intervention , intervention , intervention , intervention , intervention , intervention , intervention , intervention , intervention , intervention , intervention , intervention , intervention , intervention , intervention , -0.161347697376646 , -0.0782224792271574 , 0.8409255377742 , 0.119345184733148 , 0.0257065320343577 , 0.524023956838142 , -0.429542754482441 , -0.152854719375337 , 0.38619697924795 , -0.273107616248029 , 0.122620720617682 , 0.0548517832078116 , -0.499952093878343 , 0.0829244345878343 , -0.494225637335782 , 0.392178640664242 , -0.308777524087839 , 0.48269360021683 , 0.62046981051573 , 1.22422433796344 , 0.755739687389232 , -0.227888028301043 , 1.53029051138742 , 0.782827797466386 , 0.6079431473613 , 1.5942257215688 , 0.548475429764438 , -0.397269771468967 , 0.262162681399784 , 0.345931955806393 , 0.819184579123568 , 1.18506889212896 , 0.211215300555971 , 1.15276584927954 , 0.389626672483341 , 0.186719257462076 , 0.633208728144492 , -0.00102486672741242, 0.150152112828099 , 0.599313691778289 | 0.0090734 |
| 53 | 20 | 0.5 | 0.1 | 1.0 | control , control , control , control , control , control , control , control , control , control , control , control , control , control , control , control , control , control , control , control , intervention , intervention , intervention , intervention , intervention , intervention , intervention , intervention , intervention , intervention , intervention , intervention , intervention , intervention , intervention , intervention , intervention , intervention , intervention , intervention , -1.03659819903599 , 0.932418038186554 , -1.79057494621834 , 1.10272570185985 , 0.461676644745686 , 1.46200156437522 , 0.186820729183046 , 1.90193380637174 , -1.76546367548277 , -1.6525845848504 , 0.170924794050981 , 1.03075546735744 , 1.12163341204224 , 0.123259499123792 , 0.384133104053802 , -1.77075974928358 , -0.736264342220064, 0.202762947645868 , -1.17102356492606 , 0.216371482890995 , 2.03688331279209 , -0.53409456201458 , 1.83554369373717 , 0.392157498651172 , 2.02421548269625 , 0.535309203983725 , -0.569435050193112, 2.26921116707427 , -0.354529791753049, -1.10424688517003 , -0.570484547704765, 0.178414102767631 , 1.15405191602678 , -1.18052917163855 , 0.647144011907364 , 1.51979625669306 , -0.551656184475784, 1.30126531491266 , -1.24661643508851 , 0.434652713897877 | 0.2357501 |
| 53 | 50 | 0.0 | 0.0 | 0.5 | control , control , control , control , control , control , control , control , control , control , control , control , control , control , control , control , control , control , control , control , control , control , control , control , control , control , control , control , control , control , control , control , control , control , control , control , control , control , control , control , control , control , control , control , control , control , control , control , control , control , intervention , intervention , intervention , intervention , intervention , intervention , intervention , intervention , intervention , intervention , intervention , intervention , intervention , intervention , intervention , intervention , intervention , intervention , intervention , intervention , intervention , intervention , intervention , intervention , intervention , intervention , intervention , intervention , intervention , intervention , intervention , intervention , intervention , intervention , intervention , intervention , intervention , intervention , intervention , intervention , intervention , intervention , intervention , intervention , intervention , intervention , intervention , intervention , intervention , intervention , -0.0326327625236353 , 1.07216591653872 , -0.583952582934389 , 0.0725695708916135 , 0.9135938730147 , -0.476058686156877 , 0.131427343126964 , 0.532662674447362 , 0.578543358341394 , 0.625990402748057 , 0.0531527753300066 , -0.643307119791667 , -0.32643102413837 , -0.595225967882926 , -0.32429350008564 , -0.402548250260391 , 0.0479184364698338 , 0.415129552752971 , 0.681967832174738 , 0.348948290428108 , 0.230374043245926 , 0.034535700336577 , 0.79886235119635 , -0.254423313892342 , 0.535146131550332 , -0.573992896268942 , 0.467018344892616 , 0.329887627348001 , 0.712066248340887 , 0.1834523706228 , -1.02160364451902 , 0.6438160040461 , -0.167346765674409 , 0.0877683433488006 , -1.20422840594823 , -0.293413034016692 , -0.00574866242959662, 0.563224548436291 , -0.229588151554623 , 0.662949754522291 , -0.0790711238262761 , 0.28061698091083 , 0.901902688311556 , 0.377948437779461 , 0.00759940345403436 , 0.498702015543805 , -0.704172566870013 , 0.364054119000247 , -1.00966626059462 , 0.374263046316134 , -0.251277952061773 , 0.150215811410962 , -0.353386947756899 , -1.28308198036363 , 0.393570674920493 , -0.873894856675582 , 0.472907229747021 , -0.276350467068897 , 0.847872566757619 , -0.242852754127898 , -0.587476067808385 , -0.182617793078634 , 0.970775750978977 , 0.0727196208060442 , -0.96622807975849 , 0.0739807957204955 , 0.658443622180223 , -0.744100982803536 , -0.0144883126451577 , 0.455542664336449 , -0.603288318822787 , -0.161015980279535 , 1.09254331060269 , 1.28157891498824 , 0.0740212129150494 , -0.131994144094078 , 0.460022230019164 , -0.169073211425108 , 0.894133221527351 , 0.703091013770351 , -0.0622292564028072 , -0.00623536868350639, -0.27744584790902 , -0.346605243253136 , 1.09265662802937 , 0.599043083803625 , -0.573495077314825 , 1.27860487515132 , -0.941113592826556 , -0.0619702970864229 , -0.243544466489878 , 0.716422121412328 , -0.86093905693039 , -0.341523457985482 , -0.109916913053461 , -0.0173144334357804 , -0.60337782359757 , -0.0304262226351993 , -0.33342621008678 , -0.467586398457231 | 0.4474424 |
| 53 | 50 | 0.0 | 0.0 | 1.0 | control , control , control , control , control , control , control , control , control , control , control , control , control , control , control , control , control , control , control , control , control , control , control , control , control , control , control , control , control , control , control , control , control , control , control , control , control , control , control , control , control , control , control , control , control , control , control , control , control , control , intervention , intervention , intervention , intervention , intervention , intervention , intervention , intervention , intervention , intervention , intervention , intervention , intervention , intervention , intervention , intervention , intervention , intervention , intervention , intervention , intervention , intervention , intervention , intervention , intervention , intervention , intervention , intervention , intervention , intervention , intervention , intervention , intervention , intervention , intervention , intervention , intervention , intervention , intervention , intervention , intervention , intervention , intervention , intervention , intervention , intervention , intervention , intervention , intervention , intervention , -0.50091164705747 , -0.29016292596267 , -0.988395781703057 , 1.1606579510925 , 0.260874382339674 , 0.135635498040127 , -0.00472881698184875, -0.249781647682644 , 2.25411871640386 , -0.272763270694422 , 0.219496127086155 , -1.00983617364708 , 0.275946498859562 , 0.520362081295649 , -0.202568131009365 , -0.0853247655418713 , 1.21181461401457 , -0.366438818206317 , 0.961117757540717 , -1.6777602150424 , 1.43871949787453 , 0.0584800307723485 , -0.94011270743105 , -1.36301867030854 , 0.169401116004314 , 2.66738137182656 , 0.473453549663321 , 1.77318076910853 , 0.779927346204679 , -0.271925819947607 , 0.776525477409748 , -0.441615961709612 , -1.32798465897635 , -0.671939708148567 , 0.5182808466341 , -0.374848023752134 , -3.49438386126356 , -0.518048147920169 , 0.359894518734688 , -0.475474396433536 , 0.247079551491276 , 1.17297112155644 , -0.734074687033572 , 0.687153274431326 , -0.0276152719462406 , 1.11629605882198 , 1.01435264262333 , -0.0144061214424863 , 1.70947594753949 , -0.10443094091217 , 1.67718978506584 , -2.41440541637025 , -0.783719845750737 , 0.391065847951355 , -0.957780486906676 , 0.502097779407312 , 0.374423004954836 , 0.823725797407178 , 0.18840594923086 , -2.1048504111032 , -1.17396600581848 , 0.284311001553145 , 0.701389673730016 , -2.5630037187666 , -0.560564396500033 , 0.197898722260761 , 0.55427684264941 , 0.934016156229603 , -0.192035004332215 , 1.39119656051078 , -1.14329526360913 , -0.236841217611586 , -0.184438669801323 , -0.644095056611404 , 0.759825373397167 , -0.938256062763354 , 1.93196365666127 , 0.438466881433639 , -1.36381209980648 , 0.53033336962417 , 1.07377856129717 , -1.18260410437589 , 0.434114058665039 , 0.0710650417593554 , -0.111895294216712 , 0.338747423811774 , 0.77595083080171 , -1.9627421017107 , -0.494979326700284 , 0.773983213961518 , 0.450657975466396 , -0.665339331251068 , 1.38332515533977 , 0.682065966316592 , 0.794735962374091 , 0.335957658851644 , 0.180916994436555 , -0.246473262781515 , 0.978679400916821 , 1.36607067829402 | 0.6902990 |
| 53 | 50 | 0.0 | 0.1 | 0.5 | control , control , control , control , control , control , control , control , control , control , control , control , control , control , control , control , control , control , control , control , control , control , control , control , control , control , control , control , control , control , control , control , control , control , control , control , control , control , control , control , control , control , control , control , control , control , control , control , control , control , intervention , intervention , intervention , intervention , intervention , intervention , intervention , intervention , intervention , intervention , intervention , intervention , intervention , intervention , intervention , intervention , intervention , intervention , intervention , intervention , intervention , intervention , intervention , intervention , intervention , intervention , intervention , intervention , intervention , intervention , intervention , intervention , intervention , intervention , intervention , intervention , intervention , intervention , intervention , intervention , intervention , intervention , intervention , intervention , intervention , intervention , intervention , intervention , intervention , intervention , 0.385588432736738 , -0.208826694657081 , -0.505323949004296 , -9.44220233847354e-05, -0.284438060187979 , 0.103625916272977 , 0.134729655193924 , -0.0149595195689472 , 0.027518216857419 , 0.387463684358753 , 0.0447090561099842 , 0.586126211483688 , 0.860093879232531 , -0.626990145564947 , 0.369847594111628 , -0.629366066392006 , 0.987122916576957 , 0.355332814751062 , 0.0613767933632238 , -0.414261719192249 , -0.0637955446101456 , -0.651455694994391 , 0.881097601852653 , 0.241896974672755 , 0.553533676224391 , 0.975759596444367 , 0.234770725705726 , -0.654506463940617 , 0.696851103024898 , -0.0217990192914139 , -0.292628798235748 , 0.634874743051942 , 0.586240340317078 , 0.125144157491522 , -0.397115550767506 , 0.0775386986920012 , -0.822606585388932 , 0.0753843492414906 , -0.499834919171672 , -0.0243294440285407 , 0.148978589639824 , -0.0941452011620212 , 0.0480648135707252 , 0.37846886144437 , 0.78311199654183 , 0.177920001626176 , 0.523668351644948 , 0.658119835974816 , 0.286098053137645 , 0.222327627527168 , -0.268906943926244 , -0.00141205177381127 , 0.434076140210334 , 0.427079450784541 , -0.572139944823098 , 0.0146393715945959 , 0.831076962062615 , -0.478398725966832 , 0.570398595265189 , -0.34824636839351 , 0.214112164003745 , 0.267590645433576 , -0.324739222916812 , 0.0351203619328519 , 0.314923902194427 , -0.0962425634714353 , 1.06312254358312 , -0.390817396758774 , -1.01718754941491 , -0.496639428471915 , -0.516442079684773 , 0.388208158665964 , -0.0703782196743089 , -0.367997376026407 , -0.535098738237752 , 0.0993447230031216 , -0.221366352053092 , -0.0587280002654229 , 0.552356149682712 , -0.391285847472467 , -0.172687532051463 , 0.14954291369225 , -0.555112340788652 , -0.318254090316829 , 0.0237487506478453 , -0.0589716962788917 , 0.670086937221457 , -0.0655429875824507 , -0.113295642658453 , -0.369831059135559 , -0.378757268002918 , 0.148052037727522 , -0.296768697584606 , -0.250309006306671 , -0.929721160587743 , -0.401675412650349 , 0.0916854100371266 , 0.711652061472852 , 0.00804689321923792 , 0.147677789931993 | 0.0391882 |
| 53 | 50 | 0.0 | 0.1 | 1.0 | control , control , control , control , control , control , control , control , control , control , control , control , control , control , control , control , control , control , control , control , control , control , control , control , control , control , control , control , control , control , control , control , control , control , control , control , control , control , control , control , control , control , control , control , control , control , control , control , control , control , intervention , intervention , intervention , intervention , intervention , intervention , intervention , intervention , intervention , intervention , intervention , intervention , intervention , intervention , intervention , intervention , intervention , intervention , intervention , intervention , intervention , intervention , intervention , intervention , intervention , intervention , intervention , intervention , intervention , intervention , intervention , intervention , intervention , intervention , intervention , intervention , intervention , intervention , intervention , intervention , intervention , intervention , intervention , intervention , intervention , intervention , intervention , intervention , intervention , intervention , 0.0430818060041981 , 0.198426418956799 , 1.12404753503239 , -0.672874497665773 , -0.320509404285939 , 1.72730724753772 , 0.794814732760796 , -1.09505632832703 , -0.245903591546297 , 0.18952916476831 , 0.388267744857888 , 0.418749825002087 , -0.941360718873155 , 0.314262027446972 , 0.0120302276336126 , -1.3052798480513 , -0.0842141289837812, 0.0329202360824253 , -0.503208511721206 , 1.30827210188896 , 0.974380329099411 , -0.637487659824452 , 0.97935040229375 , -0.522384748686012 , 0.0213717908753658 , -1.63050039676249 , 1.73617263280385 , 0.804374469160623 , 1.05931551688839 , -1.205707432505 , -0.205824773014555 , 0.572170419200812 , -0.952282290631206 , -0.444045158944718 , -0.800249477405724 , -1.06904923510334 , 1.42556575629399 , 1.16757041069214 , 0.372769855368928 , 0.64934531393851 , -1.07180116544592 , 0.0357022069544309 , -0.908923128888318 , 1.04719389741966 , -0.607623964661905 , 1.20141836750824 , -0.0577338997272298, 0.182482111825549 , 0.144484537786736 , 1.73329600400535 , -0.727537947946303 , 0.712792518879539 , -0.0597629070675327, 0.226031775159537 , 0.956625179496739 , 0.318108800814493 , 0.478610029136864 , 0.355341275216137 , 1.2595491505797 , 2.48186637206941 , -1.08376051108231 , -0.797326581717184 , -0.490945295366625 , -0.759755806636193 , -1.30766095604528 , -0.965568267306708 , -0.445696219263523 , 0.274204860076756 , 0.607949956173316 , 1.84095325247079 , -0.961918895499331 , 0.16690072908862 , 1.07685820066203 , -0.898065554159425 , -1.70003502012444 , -0.36418849875904 , -1.38514867969391 , -0.309348878976315 , 1.52328097068117 , 0.67773522708916 , 0.842754834737639 , -0.180314843382986 , 0.558502200914527 , 1.13734428267625 , -0.427151961632057 , -0.498586125427034 , 0.194584799581101 , 1.27755637070738 , 0.413272122695623 , 1.125910263315 , 0.236702166051093 , -0.0698009164890582, 1.28412987173955 , 2.55239879696909 , 0.410640655240796 , 0.346373037836364 , 0.876778757930895 , -1.58325948201646 , -0.924853672460078 , 0.580413927590824 | 0.7103224 |
| 53 | 50 | 0.5 | 0.0 | 0.5 | control , control , control , control , control , control , control , control , control , control , control , control , control , control , control , control , control , control , control , control , control , control , control , control , control , control , control , control , control , control , control , control , control , control , control , control , control , control , control , control , control , control , control , control , control , control , control , control , control , control , intervention , intervention , intervention , intervention , intervention , intervention , intervention , intervention , intervention , intervention , intervention , intervention , intervention , intervention , intervention , intervention , intervention , intervention , intervention , intervention , intervention , intervention , intervention , intervention , intervention , intervention , intervention , intervention , intervention , intervention , intervention , intervention , intervention , intervention , intervention , intervention , intervention , intervention , intervention , intervention , intervention , intervention , intervention , intervention , intervention , intervention , intervention , intervention , intervention , intervention , 0.437416423803156 , 0.714266488961837 , 0.63511804081495 , 0.0524330737116796 , 1.11190261114168 , -0.292925814500242 , 0.199046764328881 , -0.999267877945936 , 0.166171961671577 , 0.519721437171797 , 0.828974551158769 , -0.405378673792395 , -0.250219315001549 , -0.650508096463117 , -0.788332167161671 , 0.298925967112927 , -0.123055708411401 , -0.688800733695686 , -0.569818221208395 , 0.634248775085835 , 0.415073446184485 , -0.054308512487134 , -0.220777215969473 , -0.0524109189786032, -0.295706603678536 , 0.30494973370691 , 0.0373469357455476 , -0.184318768704865 , -0.379521801438355 , 0.124386703187174 , -0.172178083438096 , 0.569266376143004 , 0.0400351516493426 , 0.23643326485953 , 0.269050880123718 , 0.27206025926669 , 0.147117531997681 , 0.122201235394039 , 0.0850142143522215 , -0.108970872588376 , -0.153501458402631 , -0.766299014305639 , -0.279441664376317 , -0.580678080101689 , 0.592590237599325 , -0.367369263098087 , 0.299543268044483 , -0.603808156192644 , -0.327283640291033 , -0.153840254838527 , -0.646558556238604 , 0.404781939928257 , 0.819713307678013 , 0.760210119667371 , 0.449104818954873 , 0.292699873715728 , 0.232700613183391 , 0.591383796792944 , -0.0234544079125993, -0.364122559228427 , 0.428315995746761 , 0.682204944123454 , 0.408830417516473 , 0.424835381200379 , 1.07013493643499 , 1.2109848249503 , 0.750836319916181 , 0.991287385421374 , -0.0418257854056568, 0.0742845860059623 , 0.118768742679969 , 0.195233868608024 , 0.930429355918827 , 0.51084150554561 , 0.171234021347043 , 0.769862566264325 , -0.13600348525966 , 0.856906063784624 , -0.441464654923992 , 0.131489527560496 , -0.235189276940838 , 0.238718753462965 , 1.19009132284931 , 0.966681391659445 , 1.2322251775882 , -0.315315622131375 , 1.95262711107898 , 0.571144748745936 , 0.189818515789719 , 0.228537211245152 , 0.471078221177092 , 1.38632875583309 , 0.601919348123896 , 1.08984735370396 , 0.581486961509087 , -0.402401207722596 , 0.280403803305547 , 0.94474767020933 , 0.678592691504377 , 0.670843679131794 | 0.0000034 |
| 53 | 50 | 0.5 | 0.0 | 1.0 | control , control , control , control , control , control , control , control , control , control , control , control , control , control , control , control , control , control , control , control , control , control , control , control , control , control , control , control , control , control , control , control , control , control , control , control , control , control , control , control , control , control , control , control , control , control , control , control , control , control , intervention , intervention , intervention , intervention , intervention , intervention , intervention , intervention , intervention , intervention , intervention , intervention , intervention , intervention , intervention , intervention , intervention , intervention , intervention , intervention , intervention , intervention , intervention , intervention , intervention , intervention , intervention , intervention , intervention , intervention , intervention , intervention , intervention , intervention , intervention , intervention , intervention , intervention , intervention , intervention , intervention , intervention , intervention , intervention , intervention , intervention , intervention , intervention , intervention , intervention , -0.219426988366895 , 0.860541238754992 , -0.0323489453757876, 1.31371100128236 , -1.25845216914317 , -0.559324890270727 , -0.659995180449798 , 0.221157493117854 , 1.2185689820084 , -2.7760608454821 , 0.621855258242535 , -0.163452152825748 , -1.35113259887409 , 1.05134934958931 , 0.247068706960474 , -0.189051195764941 , 1.6127878958355 , -0.673976112155059 , -0.176248889374323 , -1.94387090353338 , 1.16607658457713 , -0.912649619319737 , 1.46982448459907 , 0.275765356108346 , -0.988290719692532 , -0.400761173765086 , -2.49021625962502 , -0.205499965675044 , 0.310338786896659 , -0.0951276774215633, -1.50914500757378 , -1.08716991008436 , 0.156247586693143 , 2.55410644421948 , -0.579718214138618 , 0.473691395626534 , -0.467667053012724 , 0.793406627592666 , 0.781105538983936 , -0.95620613418256 , 1.34989569722827 , -0.670229695226387 , -0.43895161523259 , 0.345751359430497 , -1.68992677424001 , -0.959622696801005 , 1.15916211304228 , -0.864554842443004 , -0.331601447045636 , -0.171775029797785 , -1.59300191773545 , 0.414632761590699 , 0.945270551039211 , -1.03640147004211 , 2.40690871964513 , 1.11467456667609 , -0.705154607955445 , -0.616252739535146 , 1.97732895867463 , 0.621068168885878 , -0.427580608348704 , 1.55057195507237 , -1.67557420721647 , 1.25281887181099 , -0.375049909618908 , 0.0140287434031995 , 1.6621329160665 , 1.92802322493423 , 1.00952824433221 , -1.05493175310033 , -1.02573595148096 , 1.55315979027544 , -1.3398466327889 , -2.06209650777541 , 1.35941202223322 , 0.601504224275723 , 1.29208833812713 , 0.313694225072373 , 0.855697305323141 , -1.72482292799102 , 1.63900328071266 , -0.235600103303782 , 1.51925735401645 , 1.14860092216323 , -0.109701933221699 , 0.0324220522977196 , 0.232966230561042 , 1.50494817552712 , 0.605616956550141 , -0.434786714420785 , 0.114794415958585 , 1.68036764019469 , 0.0371051546260632 , 1.24695419265788 , 1.47891689677715 , 1.07238428652767 , 0.0997211710608609 , 1.29818302308303 , -0.786221464381606 , -0.860903391125355 | 0.0239929 |
| 53 | 50 | 0.5 | 0.1 | 0.5 | control , control , control , control , control , control , control , control , control , control , control , control , control , control , control , control , control , control , control , control , control , control , control , control , control , control , control , control , control , control , control , control , control , control , control , control , control , control , control , control , control , control , control , control , control , control , control , control , control , control , intervention , intervention , intervention , intervention , intervention , intervention , intervention , intervention , intervention , intervention , intervention , intervention , intervention , intervention , intervention , intervention , intervention , intervention , intervention , intervention , intervention , intervention , intervention , intervention , intervention , intervention , intervention , intervention , intervention , intervention , intervention , intervention , intervention , intervention , intervention , intervention , intervention , intervention , intervention , intervention , intervention , intervention , intervention , intervention , intervention , intervention , intervention , intervention , intervention , intervention , 0.314120286690019 , 0.112636763739299 , 0.678984851776739 , -0.388127761340389 , -0.243044256903106 , 0.174783963401499 , 0.235880571870439 , 0.11668298694528 , -0.444588216657618 , 0.823628164096733 , 0.00929851494498483, -0.376841215078397 , -0.522027444509149 , -0.584373347775473 , 0.0935095308866782 , 0.228393955777524 , 0.355561307364744 , 0.650309104306682 , -0.0295713499044537, -0.270906304401686 , 0.0463734063069256 , 0.0322996007232297 , 0.966394569549464 , 0.701282847992773 , -0.0464542856270641, 0.654116557938194 , 0.56133172789606 , 0.381887727650113 , -0.219684183633254 , 0.717978965363851 , 0.522650698459773 , -0.483786129303948 , 0.202202900201488 , -0.401487709799339 , 0.287670947618405 , -0.0261778909807759, 0.0484025325470781 , -0.185997325305896 , 0.42176413861015 , 0.548225398208304 , -0.0426646331830873, 0.110981564759555 , 0.0722048748982916 , -0.286639707791247 , -0.259108208702378 , 0.0105489463445083 , 0.871397064139359 , 0.012000030154948 , -0.167125886570133 , 0.312737642125172 , 0.254645862177075 , 0.885078785612565 , 2.41343682251049 , 0.377535913807055 , 0.456027327127225 , 0.456562244897408 , -0.248334021341132 , 0.992618681397161 , 0.218847671201629 , 1.3483901628164 , 0.0454667268623038 , 0.659087692586866 , 0.266828218965805 , 1.0153185325051 , 0.745536568740087 , 0.605151530452375 , 0.305082441020525 , 1.17818879285224 , 0.804870419500859 , 0.178568636963283 , 0.697791061911297 , -0.0617672456784977, 1.75614331150735 , 0.541481934291009 , 0.77679339893127 , 0.417816760095645 , -1.00743820219158 , 0.748768006377586 , 0.0372164986972782 , 0.0367919212103721 , 0.943050858545634 , -0.286059744331377 , 1.03782312377157 , 0.711428993763173 , 0.672679511297566 , -0.382326526835144 , -0.236366560803816 , 0.812821179747987 , 1.50110371634592 , 0.19919759844411 , 0.731458420484951 , 0.211295849033221 , -0.40785637651228 , 0.358138092963818 , 0.910562690272247 , 0.778024437398016 , 0.0459747400058346 , 1.24105173649651 , 0.0784730224109536 , 0.581727175971084 | 0.0001339 |
| 53 | 50 | 0.5 | 0.1 | 1.0 | control , control , control , control , control , control , control , control , control , control , control , control , control , control , control , control , control , control , control , control , control , control , control , control , control , control , control , control , control , control , control , control , control , control , control , control , control , control , control , control , control , control , control , control , control , control , control , control , control , control , intervention , intervention , intervention , intervention , intervention , intervention , intervention , intervention , intervention , intervention , intervention , intervention , intervention , intervention , intervention , intervention , intervention , intervention , intervention , intervention , intervention , intervention , intervention , intervention , intervention , intervention , intervention , intervention , intervention , intervention , intervention , intervention , intervention , intervention , intervention , intervention , intervention , intervention , intervention , intervention , intervention , intervention , intervention , intervention , intervention , intervention , intervention , intervention , intervention , intervention , -0.137789723299412 , 1.90890793083201 , 2.25691445197311 , -0.0507392318939448, 0.461328490983152 , -1.23493807724463 , -0.19778985032126 , -0.570998909855853 , -0.479324444232656 , 0.38657933416503 , -0.049356678771488 , 0.966009391490229 , 0.626953078042112 , 0.121595465787993 , 1.3089610463832 , 0.62610732936906 , 1.66695084503911 , 0.159516583986293 , 0.037338164113782 , -0.658519969462101 , 1.11474767008359 , -0.0790597741015485, -1.87148926675881 , 0.193779686700494 , 0.191137770039983 , -1.20144023503332 , 0.0510006100329988 , -0.233823487980195 , 0.491283225903162 , -0.511948919759085 , -0.636127238699597 , 1.02670857645965 , 0.161083391875962 , -0.179841254721498 , -1.50055229265828 , -0.412096035137521 , 0.231972416500428 , -0.639175653060091 , -0.333907066683418 , 1.14468809670801 , -0.668452890296689 , 0.313756092141774 , -0.453110545437603 , -0.0421071627879755, 1.60154287813552 , 1.12086009717538 , -1.45122761307396 , -0.397977045745713 , -0.348907015622296 , 1.20074993351196 , 1.09461695876832 , 0.554462518513738 , 1.11125990819588 , 0.343997831383532 , 0.0599272801694018 , -0.89027690735229 , 0.948890411077418 , 0.638842605573034 , 1.31564719609286 , 1.21016310697236 , 1.63623957754718 , 1.30248251791455 , 0.182624520040091 , -1.212488071951 , 1.74606098378332 , 0.823279563708559 , 0.241029956377905 , 1.32725544065511 , 0.982387868910779 , 2.24953351440314 , 1.10665205867481 , -0.745776500046052 , 0.622646007743768 , 0.314106392237461 , -0.0793041467936512, 1.29880501578671 , 1.03647133556388 , 0.430469512805063 , -0.0742872902648588, 0.143416371889212 , 2.39950610779871 , -0.341072297413666 , 2.09482792685121 , 1.34942989114554 , 0.352537652545152 , 0.95094017155879 , 0.951613830933975 , 0.609618764174203 , 0.355341828588405 , 1.17197343658985 , 1.07452345230417 , 0.988367669966896 , -0.533698269654743 , 0.756862912190637 , 1.16679046338608 , 0.102438745113265 , -0.245603336844574 , 0.0460484644059555 , 0.167493616684987 , -0.0632923185377424 | 0.0010705 |
| 54 | 20 | 0.0 | 0.0 | 0.5 | control , control , control , control , control , control , control , control , control , control , control , control , control , control , control , control , control , control , control , control , intervention , intervention , intervention , intervention , intervention , intervention , intervention , intervention , intervention , intervention , intervention , intervention , intervention , intervention , intervention , intervention , intervention , intervention , intervention , intervention , 0.499330753438368 , 0.612530666521407 , 0.822678445344955 , 0.0163372567008927 , -0.234544042030615 , -0.276826348701004 , 0.497864465334685 , -0.650921870943867 , 0.627438704825286 , -0.125495174102729 , -0.174663513320277 , 0.608958268202123 , 0.41933431279938 , -0.241149107697538 , -0.178106775706295 , -0.362481793373411 , -0.441891820698045 , 0.788222436151581 , 0.663591076899637 , 0.43911377515545 , -0.0379826128805043 , -0.140301007546459 , 0.5219376469167 , -0.578085734918979 , 0.0267515967700528 , 0.654589102220944 , -0.00191184905560919, 0.310609173933807 , 0.221421707172593 , 0.33317436411861 , 0.0866246445291147 , -0.576634295632074 , 0.666536055738792 , -0.400591499863585 , -0.424725783449035 , -0.228451187203673 , -0.336932505222066 , -0.291047052188478 , 0.267938439880773 , 0.426952910071918 | 0.3121251 |
| 54 | 20 | 0.0 | 0.0 | 1.0 | control , control , control , control , control , control , control , control , control , control , control , control , control , control , control , control , control , control , control , control , intervention , intervention , intervention , intervention , intervention , intervention , intervention , intervention , intervention , intervention , intervention , intervention , intervention , intervention , intervention , intervention , intervention , intervention , intervention , intervention , 0.165826880477469 , 0.173923487646117 , -0.402253256258203, 0.945719008340392 , 1.65956387607625 , -0.699903765420411, 0.508926593730002 , -0.772710322398759, -0.546689433180264, -0.466944180909774, 2.01075450449753 , 0.948671520266275 , -0.480858013948607, -0.156089981936851, 1.3351952512109 , -1.92652858198531 , -0.707734710775154, -0.586697478881813, -0.557163649422425, 0.71132195281744 , 0.549259406537937 , -1.37600877805771 , 0.396179516544996 , 0.993113572120328 , -0.604956723335106, -1.3371745377992 , -0.366030191909944, -0.299819709466052, 0.285358199928325 , -1.98604708832064 , -0.174842303990517, 0.590778348583927 , 1.26815944665193 , -0.992309206502506, 0.388679155990477 , 0.616432381662177 , -1.01285040278665 , -0.62769537391432 , -0.247073104750799, 0.147904396365564 | 0.3998697 |
| 54 | 20 | 0.0 | 0.1 | 0.5 | control , control , control , control , control , control , control , control , control , control , control , control , control , control , control , control , control , control , control , control , intervention , intervention , intervention , intervention , intervention , intervention , intervention , intervention , intervention , intervention , intervention , intervention , intervention , intervention , intervention , intervention , intervention , intervention , intervention , intervention , -0.407606259745289 , -0.063384146837352 , 0.0446310575450976 , 0.142722257057377 , 0.207561004544303 , -0.176890179893474 , 0.512460973398626 , 0.154388824749048 , -0.747962861611369 , 0.167667437665641 , 0.356886250689234 , 0.371542196634581 , -0.638299236820734 , -0.00868641133174726, -0.489911634768834 , -0.0811161889692994 , 0.0131545925577445 , 0.489021101426257 , 0.0918889267372323 , 0.847536333685433 , 0.374970888236795 , -0.616493322439368 , 0.44462413725075 , -0.0582695789589624 , 0.818874147027132 , -0.968394567253328 , -0.391374021573888 , -0.177452006603019 , 0.04546698452813 , 0.185487030257906 , -0.108700234282616 , 0.278220497255858 , -0.667809471720632 , -0.0712498550348891 , 0.70865783509385 , -0.100700105376764 , 1.02858079997107 , -0.254494225745893 , -0.143869708940759 , -0.418947319194825 | 0.7625690 |
| 54 | 20 | 0.0 | 0.1 | 1.0 | control , control , control , control , control , control , control , control , control , control , control , control , control , control , control , control , control , control , control , control , intervention , intervention , intervention , intervention , intervention , intervention , intervention , intervention , intervention , intervention , intervention , intervention , intervention , intervention , intervention , intervention , intervention , intervention , intervention , intervention , -0.788280663060644 , -0.233094435612093 , 2.47599302549059 , -1.3021814144684 , 2.02968157217976 , 1.16278699941322 , 0.869970949409702 , -0.0980639081811613, 1.82484626247485 , -0.278261527103789 , 0.690655770435648 , 0.920820022446751 , -0.193731984276088 , 0.0195979172874855 , -0.342882857527976 , 1.34669781767683 , -0.596873186600577 , -1.15605433074475 , 1.12718515546424 , 0.671693622039903 , -0.992415152342884 , 1.19609488692648 , 0.243222747163203 , 2.87985788957159 , 0.156833033631324 , -0.1041547337479 , -0.960488706933576 , -0.71094587565134 , 0.923680660116472 , 0.658925376606445 , 0.519790459444505 , -0.648633856218303 , 0.480075759211248 , -0.995767002042417 , -0.783990134228318 , -0.111355821059083 , -0.124381687092568 , -0.277921654040493 , -1.05351621636468 , -1.08142387823827 | 0.1761376 |
| 54 | 20 | 0.5 | 0.0 | 0.5 | control , control , control , control , control , control , control , control , control , control , control , control , control , control , control , control , control , control , control , control , intervention , intervention , intervention , intervention , intervention , intervention , intervention , intervention , intervention , intervention , intervention , intervention , intervention , intervention , intervention , intervention , intervention , intervention , intervention , intervention , -1.24205878660652 , 0.0615614281245994 , -0.27593415948856 , -0.152682066913155 , 0.249043656473731 , 0.529478691751373 , 0.489940290153106 , -0.906724933591116 , -0.460441904051846 , -0.814160868077439 , -0.692108508864914 , -0.788521219929775 , -0.224273701284842 , -0.0486288642267124, -0.569362664851597 , 0.0702076501939856 , -0.591974855926329 , 0.0544709008273995 , 0.747336266597285 , 0.485650273768259 , 0.763623658443387 , -0.569802627526972 , 0.971978188087985 , 0.565866170013007 , 0.781918776688889 , 0.336218210280727 , 0.647470866945461 , -0.220817172418065 , 0.890233905452291 , 0.81636938293636 , 0.39946490049627 , 0.911142669127672 , 0.873776239015386 , 0.517272568425997 , 0.315026281845471 , 0.621362007128325 , 0.760465115224123 , 0.382655663638005 , 0.404892515438174 , 0.56741413239622 | 0.0000154 |
| 54 | 20 | 0.5 | 0.0 | 1.0 | control , control , control , control , control , control , control , control , control , control , control , control , control , control , control , control , control , control , control , control , intervention , intervention , intervention , intervention , intervention , intervention , intervention , intervention , intervention , intervention , intervention , intervention , intervention , intervention , intervention , intervention , intervention , intervention , intervention , intervention , 0.0280243654441002, -0.358008011287533, -1.25807411486796 , -0.177445090192771, -2.69359786008746 , -1.65165254821666 , -0.852792926766018, -1.03119464050518 , 0.0107521408220057, -1.39878272834001 , 0.630819171559547 , -0.84736488242058 , -1.85573246957224 , 0.506974014434701 , -0.263581173034464, -0.480526518723081, 0.03850036313301 , -0.389635736919238, 0.442883589439877 , 0.417078907044911 , 0.102446455934699 , 0.0100058609122592, 1.48131840243926 , -0.875277282160063, 0.336753353986956 , 1.66776143080333 , -0.689502751733055, -1.01196090767173 , 0.426484748101466 , 1.17769576684406 , 1.50139355384627 , 0.380653041705416 , 0.950429387655304 , 0.805699811477714 , 1.12200923813134 , 1.05105735255866 , 0.611410084886937 , 2.80796369525145 , 1.06280693274007 , 0.0917928772771898 | 0.0001408 |
| 54 | 20 | 0.5 | 0.1 | 0.5 | control , control , control , control , control , control , control , control , control , control , control , control , control , control , control , control , control , control , control , control , intervention , intervention , intervention , intervention , intervention , intervention , intervention , intervention , intervention , intervention , intervention , intervention , intervention , intervention , intervention , intervention , intervention , intervention , intervention , intervention , -0.0739670532269766, 0.17356989485145 , 0.863240039709114 , 0.175845133818158 , 0.190855250879287 , 0.0904655832677975 , 0.698412454639661 , 0.376940833924042 , 0.0968981323746105 , 0.583814063959426 , -0.077744513029783 , 0.766298680189426 , -0.284084772296738 , 0.611957683888356 , 0.081613295480537 , 0.314077450726876 , 0.300989615633941 , 0.698831886104153 , -0.255572872904289 , 0.35801508433931 , 0.942452763404459 , 0.762557222823288 , 0.549170059659903 , -0.117383729752099 , 0.784194195361208 , 0.990655715310584 , 1.30442507662112 , 1.38674028955487 , 0.11354602701014 , 0.848200735007231 , -0.115134385207871 , 1.2502736294479 , -0.50822025031239 , 1.23172152864848 , 1.07138777936151 , 0.818571256149225 , 0.372867666157818 , -0.270455105081027 , 0.982789698133621 , 0.842593856743678 | 0.0140715 |
| 54 | 20 | 0.5 | 0.1 | 1.0 | control , control , control , control , control , control , control , control , control , control , control , control , control , control , control , control , control , control , control , control , intervention , intervention , intervention , intervention , intervention , intervention , intervention , intervention , intervention , intervention , intervention , intervention , intervention , intervention , intervention , intervention , intervention , intervention , intervention , intervention , 1.39124547170473 , 2.02269683614658 , -0.084001683297773 , 0.409779429083318 , -0.316349147968475 , 1.18592496020617 , -0.841878121430011 , -1.20359844352029 , -0.883937056412098 , -0.239990092041396 , 0.24554473439154 , -1.27958277639852 , 1.09791071721232 , 1.16350555594172 , -0.594337678701647 , -0.166628797290744 , 0.130864649700664 , 1.61051518459671 , 0.88612248677352 , -0.248463980786283 , 1.48424674818471 , 0.923754736821597 , 1.31765435320885 , 0.634370582922816 , -0.497439326464819 , 0.605774264591354 , 0.921387763876179 , 0.00433996773105039 , 0.858159261094973 , 0.98546833399431 , 0.0659901547466781 , 1.00303106911593 , 0.785294794458893 , 0.742670071831982 , 0.576961347779202 , 1.09556356871732 , -0.070605143843687 , 1.22324890964512 , 0.000593643898602836, -0.110811399604942 | 0.1055207 |
| 54 | 50 | 0.0 | 0.0 | 0.5 | control , control , control , control , control , control , control , control , control , control , control , control , control , control , control , control , control , control , control , control , control , control , control , control , control , control , control , control , control , control , control , control , control , control , control , control , control , control , control , control , control , control , control , control , control , control , control , control , control , control , intervention , intervention , intervention , intervention , intervention , intervention , intervention , intervention , intervention , intervention , intervention , intervention , intervention , intervention , intervention , intervention , intervention , intervention , intervention , intervention , intervention , intervention , intervention , intervention , intervention , intervention , intervention , intervention , intervention , intervention , intervention , intervention , intervention , intervention , intervention , intervention , intervention , intervention , intervention , intervention , intervention , intervention , intervention , intervention , intervention , intervention , intervention , intervention , intervention , intervention , 0.667569187161206 , 0.335718874318913 , -0.702201817962629 , -0.117201917463845 , -0.441472848574391 , -0.372605456021147 , -0.871388525491004 , -0.852095975300037 , 0.819307395441819 , 0.502242818781655 , -0.354893970768034 , -0.0201027345338088 , -0.0617945854830806 , 0.294144574173984 , 0.407450259574931 , 0.71807063636975 , -0.366587363088277 , -0.575129317180215 , -0.520607351883169 , -0.00598777871370871, 0.0189277633633295 , 1.01209224408144 , 0.898855308304813 , 0.150016151262913 , -0.449073886449674 , -0.916228846184638 , -0.619709707129591 , -0.144263801860766 , 0.587622242598263 , -1.15951914880434 , -0.272605410791513 , -0.958577631731385 , -0.0386480171335184 , 0.0868395365936365 , 0.241444949223838 , -0.503148029086916 , -0.897052167650673 , 0.391493337311885 , -0.646538757019997 , -0.926130203605425 , -0.153927172403093 , 0.615707367663906 , -0.172064047492387 , -0.260132430128793 , -0.0360206670845681 , 0.665091694821746 , -0.0793196994300395 , -0.0364236153324243 , -0.16722784265479 , -0.285790175897775 , -0.421406291713377 , 0.0203874078763574 , -0.022598819234547 , -0.00860917776926347, 0.328869761522726 , -0.626959458704585 , 0.875850685621606 , -0.385449881557801 , 0.636883227012787 , 0.344260464329286 , -0.373870066868461 , -0.765099076139003 , -0.0471586012141518 , 0.510702986801883 , 0.986222240796606 , -0.117995917588631 , 0.333939079308236 , -0.140999681055714 , 0.147307269487028 , 0.540116549375112 , 0.0871988799223226 , 0.0548974668606046 , 0.118472161734311 , 0.0345520432945993 , 0.874448173864501 , -0.151384351721619 , 1.166627078182 , 0.329584807886052 , -0.138710958491074 , -0.132901285222018 , 0.383324203620407 , -0.00129490876686123, 0.505224279477048 , -0.183945029543255 , 0.164186609102357 , -0.490932355172843 , 0.411802548081122 , 0.288014595712148 , 0.210951971337254 , 0.215009264374053 , -0.0188994473921924 , -0.457618045966373 , 0.232025483794346 , 1.02531874673904 , 0.108557443105824 , 0.299035334510141 , 0.130714532355068 , -0.834245802732898 , 0.317402996337877 , -0.0931296931992604 | 0.0181102 |
| 54 | 50 | 0.0 | 0.0 | 1.0 | control , control , control , control , control , control , control , control , control , control , control , control , control , control , control , control , control , control , control , control , control , control , control , control , control , control , control , control , control , control , control , control , control , control , control , control , control , control , control , control , control , control , control , control , control , control , control , control , control , control , intervention , intervention , intervention , intervention , intervention , intervention , intervention , intervention , intervention , intervention , intervention , intervention , intervention , intervention , intervention , intervention , intervention , intervention , intervention , intervention , intervention , intervention , intervention , intervention , intervention , intervention , intervention , intervention , intervention , intervention , intervention , intervention , intervention , intervention , intervention , intervention , intervention , intervention , intervention , intervention , intervention , intervention , intervention , intervention , intervention , intervention , intervention , intervention , intervention , intervention , 0.409800335926543 , 0.638402549616717 , -0.776809008704547 , -1.61862861267471 , -1.36547062309289 , 0.137978079909718 , 0.470212680768371 , -0.25197356671659 , -1.16579896121504 , -0.457842613607533 , 0.167651568413129 , 0.117091296831474 , -0.402350750782709 , -0.58205379651163 , 0.321316764208905 , -0.228233643174452 , -0.0809061545308976, 0.102732638260314 , 0.315707283047441 , -0.0880935845310257, -0.57226985817445 , -0.805092625548446 , 0.258657495062623 , 1.28612629548992 , -0.0898858442301417, -0.549161761876301 , -1.20538777686165 , -0.470928266521996 , 0.518824300679743 , 0.899467158033038 , 2.05399893306159 , -0.62977352228099 , -1.20843926321622 , 2.79290434818899 , -0.297001934395355 , -0.169018488662171 , 0.94641124600728 , 0.292419916502704 , 0.6048056680846 , -2.22122009358003 , 0.316870272539105 , -1.76357702959112 , -0.520964998932669 , 2.14694655935751 , -3.0148707356488 , 0.206054696139894 , -0.939181340281609 , -0.645337818734984 , 2.17008598517925 , -0.0650800663163737, -1.23842257022059 , 1.23979187407753 , 1.22769056055303 , -0.0739066167549862, 1.20707983567546 , 0.71934016350776 , -0.0965477594941013, -0.579725193716714 , 0.0575362127644916 , -1.18630692555725 , -1.7987874714391 , 2.03930217260936 , 1.20730400132754 , 0.814774001176264 , 0.648547294592298 , 0.0837467283425926 , 0.320749790399361 , 0.0327443016229271 , 0.314726553155039 , -0.505226925428271 , 1.02773167612458 , 0.253333465191769 , -0.708598346854702 , -0.403557615211093 , -1.06308177880484 , 1.37499657800106 , 0.872184599786549 , 0.341727299405538 , -0.566185670982042 , 0.414401830082593 , 0.83353855090924 , 0.0646974554495313 , 0.264368163989336 , -1.9784619994295 , 0.861092267857492 , 0.842988262664334 , 1.34936546321109 , -0.719932983442593 , 0.585008785166688 , 0.207395160333394 , 0.180030262540103 , -0.294504245632907 , -0.463500051242611 , 0.58669796187826 , 0.984172916523951 , -1.7361959701613 , -1.96602589903432 , -1.34301791739429 , -0.46654225587158 , 0.731747801957904 | 0.3524315 |
| 54 | 50 | 0.0 | 0.1 | 0.5 | control , control , control , control , control , control , control , control , control , control , control , control , control , control , control , control , control , control , control , control , control , control , control , control , control , control , control , control , control , control , control , control , control , control , control , control , control , control , control , control , control , control , control , control , control , control , control , control , control , control , intervention , intervention , intervention , intervention , intervention , intervention , intervention , intervention , intervention , intervention , intervention , intervention , intervention , intervention , intervention , intervention , intervention , intervention , intervention , intervention , intervention , intervention , intervention , intervention , intervention , intervention , intervention , intervention , intervention , intervention , intervention , intervention , intervention , intervention , intervention , intervention , intervention , intervention , intervention , intervention , intervention , intervention , intervention , intervention , intervention , intervention , intervention , intervention , intervention , intervention , 0.436053075006609 , -0.0031832895131636, -0.768742340884886 , 0.606465389050481 , 0.10961395206698 , 0.316090672268489 , 0.595631092970564 , 0.64797487866508 , 0.372789054608597 , 0.237618537710574 , 0.35820446972458 , -0.315613332277385 , 0.196022454498163 , 0.582512374424805 , 0.331458624216366 , 0.715802810265593 , -0.114444693101434 , 1.01061255646002 , 0.35098890532181 , -1.21876809632613 , -0.274890242524337 , 0.275096450670628 , -0.475438914646041 , -0.333581404163686 , 0.0915222634120562 , -0.265325262412334 , 0.760257689468575 , 0.622309766481746 , -0.045944961327769 , -0.165053533870136 , -0.0785656129709282, 0.496023735608828 , 0.151088845742405 , 0.545478280020553 , 0.511900562652121 , 0.896812652778221 , 0.2460933841199 , -0.411312667185669 , 0.0552297856353116 , -0.0952810766710216, 0.394524443070514 , -0.669253979209557 , -0.397411003643469 , -0.4763238137047 , 0.526452006809782 , 0.0291519323298559 , -0.104812585849885 , -0.298913820807352 , 0.121951011742208 , -0.0456462661906479, -0.0483599071247207, 0.3355769294816 , 0.543177971403965 , 0.34653107104705 , -0.207666652221064 , 1.35322954192093 , -0.371982457679926 , 0.380880447955517 , -0.0897545026154469, -0.0714803971936798, -0.45584278640134 , 0.455916954436386 , -0.546182778757499 , -0.223210658726486 , -0.676921731811463 , -0.147866779824111 , -0.596414321315109 , 0.669578131878843 , 0.552664265983959 , -0.438938490860174 , -0.362249756059325 , -0.773075599720516 , 0.146433405435791 , 0.306461808696004 , -0.612495140740125 , 0.250764873393168 , 0.594673243333232 , -0.391642387015091 , -0.185305583150381 , 0.879311747945217 , -0.954550265274809 , -0.433943728117789 , -0.896638767634717 , 0.0564378688011352 , 0.188249868247295 , -0.0953945843356705, 0.492390358105144 , 0.297613124421769 , 0.143180820668507 , 0.0150966797549861 , -0.0155536464860017, 1.21614200931745 , -0.378189150425606 , 0.165471648521526 , -0.165194607093026 , -0.210178095634031 , 0.246189603489565 , 0.862600827118347 , 0.554058008821853 , 1.08752750899283 | 0.5157117 |
| 54 | 50 | 0.0 | 0.1 | 1.0 | control , control , control , control , control , control , control , control , control , control , control , control , control , control , control , control , control , control , control , control , control , control , control , control , control , control , control , control , control , control , control , control , control , control , control , control , control , control , control , control , control , control , control , control , control , control , control , control , control , control , intervention , intervention , intervention , intervention , intervention , intervention , intervention , intervention , intervention , intervention , intervention , intervention , intervention , intervention , intervention , intervention , intervention , intervention , intervention , intervention , intervention , intervention , intervention , intervention , intervention , intervention , intervention , intervention , intervention , intervention , intervention , intervention , intervention , intervention , intervention , intervention , intervention , intervention , intervention , intervention , intervention , intervention , intervention , intervention , intervention , intervention , intervention , intervention , intervention , intervention , -0.833821828288751 , 0.336676320386062 , -0.165999188959241 , -0.680803880021018 , -0.328095814685435 , -0.640223432702348 , 0.442215097260845 , -1.24465886992293 , 1.17039309138211 , 0.795439306695205 , 0.999152523422529 , 0.0236847693142566 , 0.644608997410581 , -1.3791530159566 , 0.877664696853124 , -2.22824745422681 , 0.745280490205677 , -0.687171141270429 , -1.9266054897168 , -0.767935707991185 , 0.111854038208449 , -0.0646551997580616, 0.188831733657142 , 0.704910530917118 , 1.48885705279287 , 0.670478050671226 , 1.45893673903954 , -0.111114378291302 , -0.503884125195139 , -0.963569193070308 , 0.333454023237964 , 1.49586221901893 , 0.340456006060777 , -0.879505699111649 , 2.21503092754836 , -0.426309648781949 , -1.01988530273908 , 0.48736615295622 , 2.09798589755055 , -0.821889852154909 , 1.55630019926957 , -0.0232593218727886, 1.53210671271855 , -0.10914692711351 , -0.224136829143082 , -0.92191762064014 , -0.133966269261009 , -0.455776823233158 , 0.120133532181528 , 0.496582573660812 , 0.380382727168195 , 1.98236071848143 , 0.110153356141908 , 0.561159889438747 , -0.281757035089035 , 0.204587803307407 , -0.0951823749967998, 1.24871618450484 , -0.359930380367418 , -0.217693791326731 , 2.74217751158804 , 0.12076636254562 , 0.747458478934021 , -0.347382005452888 , -0.096514267481901 , 0.123283159980502 , -0.336587138606427 , -1.88953792192693 , -0.480369252903721 , -0.227280313766886 , -0.751894035197856 , -0.152826516963077 , -0.12009618162423 , -1.39846199597612 , -1.07360086725433 , -0.117691704711922 , -0.654789769979685 , -0.266694975650635 , 0.0713369473041698 , -0.0278686637595965, -0.687483130034656 , 0.0986338357201741 , -1.30624898723955 , 0.307176318871777 , 1.08298331320254 , 1.00223867669835 , -0.300935101511269 , 0.208567663843405 , -1.16578505398914 , 1.40102089254898 , 1.40752098254815 , 0.35885406583998 , -0.19942635289849 , 0.00984465753748321, -1.63321710000195 , -0.223729697418562 , 0.127565628439259 , -0.0968169349954874, 0.859849102656686 , -1.02169666968728 | 0.6542621 |
| 54 | 50 | 0.5 | 0.0 | 0.5 | control , control , control , control , control , control , control , control , control , control , control , control , control , control , control , control , control , control , control , control , control , control , control , control , control , control , control , control , control , control , control , control , control , control , control , control , control , control , control , control , control , control , control , control , control , control , control , control , control , control , intervention , intervention , intervention , intervention , intervention , intervention , intervention , intervention , intervention , intervention , intervention , intervention , intervention , intervention , intervention , intervention , intervention , intervention , intervention , intervention , intervention , intervention , intervention , intervention , intervention , intervention , intervention , intervention , intervention , intervention , intervention , intervention , intervention , intervention , intervention , intervention , intervention , intervention , intervention , intervention , intervention , intervention , intervention , intervention , intervention , intervention , intervention , intervention , intervention , intervention , -0.510874225031414 , 0.529587994422413 , -1.12097742062873 , 0.17099764180656 , -0.18437024290622 , 0.569922303951003 , -0.142011321759659 , -0.338681267437645 , 1.18144593668373 , -0.329788723309844 , -0.752835015378233 , -0.362706105530382 , -0.692387483037475 , 0.492849682725536 , -0.203402069994581 , 0.00542126265410004 , -0.651391570071017 , 0.533499871613131 , -0.0788490351108069 , 0.972971801752502 , 1.29995165673768 , 0.103449218373929 , 0.70239162370282 , 1.08988161307945 , 0.651757221594525 , -0.239903569878343 , -0.277210446542285 , 0.370405431964823 , -0.142558004992474 , 0.15169903428618 , 0.37949485395252 , -0.0800298447812876 , 0.38944028634537 , -0.00143526269845542, 0.0891089796614488 , 0.183540290199782 , 0.103058214292491 , -0.494785645072138 , -0.646724451582308 , 0.794838698268415 , -0.138152598156494 , 0.00520469348559276 , 0.859211786410098 , 0.367506263024164 , -0.480176989358213 , 0.946692839452751 , 0.327761097854398 , 0.216558217223476 , 0.279903821690871 , 1.25221413144127 , 0.0483617146632699 , 0.665658342060373 , -0.507141652367995 , 0.513851215635871 , -0.111486888684881 , 0.229576759096071 , 0.254103365536944 , 0.828614542482345 , 0.608016195835694 , 0.129449166274045 , 1.2912963621962 , 0.594886346911474 , 0.70082230934188 , 0.0740087886613076 , 0.527475483469766 , 0.907885884751406 , -0.302696538692693 , 0.337515035328809 , -0.104992853801047 , 0.656902625867763 , 1.21923988738164 , 0.375691997056011 , 0.148907493133717 , 1.69647225306871 , -0.00317635394682425, 1.11352388855824 , 0.553482217625023 , -0.156999690302656 , 0.0350532549048747 , 0.964667630435 , 0.563666751588826 , 1.18830352801571 , 0.574975696553806 , 1.0927779081583 , 0.626500679099889 , 0.131743142634326 , 0.765891496217665 , -0.105664379775833 , 0.622697831688544 , 1.05426525044573 , 0.367707101814178 , 0.928904083860368 , 0.164326255156148 , 1.11471508670286 , 0.0212855489714025 , 0.0261355164340457 , 0.186222125242846 , 1.15892912738817 , -0.0588596106787179 , 0.205182724648196 | 0.0018841 |
| 54 | 50 | 0.5 | 0.0 | 1.0 | control , control , control , control , control , control , control , control , control , control , control , control , control , control , control , control , control , control , control , control , control , control , control , control , control , control , control , control , control , control , control , control , control , control , control , control , control , control , control , control , control , control , control , control , control , control , control , control , control , control , intervention , intervention , intervention , intervention , intervention , intervention , intervention , intervention , intervention , intervention , intervention , intervention , intervention , intervention , intervention , intervention , intervention , intervention , intervention , intervention , intervention , intervention , intervention , intervention , intervention , intervention , intervention , intervention , intervention , intervention , intervention , intervention , intervention , intervention , intervention , intervention , intervention , intervention , intervention , intervention , intervention , intervention , intervention , intervention , intervention , intervention , intervention , intervention , intervention , intervention , 0.0163925292082579 , -0.138002049411871 , 0.567993673176536 , -1.23616752353984 , -0.0268526304798917, 0.930392747451889 , 1.55699869374791 , 0.0448698842795065 , -1.54544693011246 , 0.785307438533967 , 0.439425683792731 , -1.19425101769061 , -0.498022743977619 , 0.204119279980693 , 0.466462182639697 , -0.465400314352818 , -2.10297069322322 , -0.0461577479737707, -1.12587350808388 , 0.654932037697406 , -1.94586376925536 , -0.0354560120454966, 1.58343345715741 , -0.270100342035931 , -0.0763350788863121, -0.423305401296618 , -2.26519979199497 , -0.659856574700915 , -0.0419148214871329, 0.856484941762848 , -1.29539788523385 , -1.87558916250264 , 0.835839888679397 , -0.286195598080664 , -1.30635648254647 , -0.391375719359147 , 0.144180245850983 , 1.57636443159678 , 0.285712869213178 , -0.755932914617028 , 0.26293306775606 , -1.03685503188385 , 0.0526561358359121 , 0.495898198172933 , -1.88472205581738 , 0.183511386723094 , 0.520370106348673 , 1.3635436761751 , 2.41141920060894 , -1.26258994126975 , -0.510708605792497 , 0.0305864421406621 , 1.2518762068851 , -1.16141146374816 , 0.235974717970633 , 0.0879216880902133 , 0.918956960057404 , 1.50306048288364 , 0.431107143064999 , -0.0216611551827585, 0.134537138952931 , 1.40860875901178 , -0.242873459918825 , 0.71392834253283 , 1.6822121070114 , 1.50116042945776 , 2.22679108440106 , -1.17829959396775 , 2.5781910509023 , -0.434348659239789 , -0.743885942163729 , 0.881008791975436 , 0.865818865463711 , -0.0128018628753167, 0.594061632253774 , 0.748149579387624 , -0.220445364616737 , 0.0672065192220377 , 1.7043246532795 , -2.20567429067309 , 1.80597910873614 , 0.862311467183588 , 0.262697074951942 , -0.0543210974297021, -0.58410923556488 , 1.50670023471571 , 0.761105243483474 , -0.0449627585461784, 1.4911252195884 , -0.430768576886066 , -0.0368238563684651, 0.663121741806098 , -0.14167414679225 , -0.514577807767345 , -0.195204985935993 , 2.08141058441346 , 1.143561889946 , 0.610515899405722 , 1.58142622220381 , 2.79310504075139 | 0.0012558 |
| 54 | 50 | 0.5 | 0.1 | 0.5 | control , control , control , control , control , control , control , control , control , control , control , control , control , control , control , control , control , control , control , control , control , control , control , control , control , control , control , control , control , control , control , control , control , control , control , control , control , control , control , control , control , control , control , control , control , control , control , control , control , control , intervention , intervention , intervention , intervention , intervention , intervention , intervention , intervention , intervention , intervention , intervention , intervention , intervention , intervention , intervention , intervention , intervention , intervention , intervention , intervention , intervention , intervention , intervention , intervention , intervention , intervention , intervention , intervention , intervention , intervention , intervention , intervention , intervention , intervention , intervention , intervention , intervention , intervention , intervention , intervention , intervention , intervention , intervention , intervention , intervention , intervention , intervention , intervention , intervention , intervention , 0.18489484196726 , -0.872849720586035 , 0.68162990634741 , -0.248683735683257 , 0.766274509750141 , -0.260810175684813 , 0.550472031881424 , 0.160824628253124 , 0.751315563665246 , -0.281703986196584 , 0.279350544629885 , 0.15209991980373 , -0.313863183444061 , -0.780795703443664 , 0.529478510945534 , 0.419454263467664 , -0.876039076107163 , 0.61208111970298 , -0.0301475303159672 , 0.70685509293626 , 0.0444202657957324 , 0.625387315919257 , 0.00325560342536031 , -0.662000747953724 , 0.0965458916497547 , 0.0308915833178633 , -0.124194841651775 , -0.578540259753813 , 0.504231098500021 , 0.492449651756235 , -0.127951162502768 , 0.688559329105628 , -0.0311132764455384 , -0.00277990755199274 , 0.914455757925158 , -1.37436089336933 , 0.373795116909625 , -0.20311608099298 , 1.18730247549408 , -0.0976433613283813 , -0.686172141575003 , 0.44909964338071 , 0.601102151645779 , 0.932796227054693 , -0.217160139567153 , -1.14872502510598 , -0.529487031579768 , 0.25215371248115 , 0.64685730142324 , 0.207004643932749 , 1.27531254929045 , 0.192376539555906 , -0.114405804829047 , 0.586691477906386 , 0.514212208343663 , -0.272950696530342 , -0.148756943585802 , 0.590985392604575 , 0.694959318220363 , 0.606637145977798 , 0.390778105086312 , 1.11301883995214 , 1.22888996309388 , 0.320203526928917 , -0.0902375357887047 , 0.11502148427059 , 0.519153299765665 , 0.590362940894197 , 0.26809537832267 , 0.758910990471163 , 1.32669964893686 , 0.153384431289255 , 0.387288236019935 , 0.852682323859366 , -0.000441908832181759, 0.392007796728666 , 0.514778809101604 , 0.556155571550718 , -0.315459913953131 , 0.926803099028577 , -0.759889618515504 , 1.07213497252067 , 1.05278974268715 , 0.577469937427686 , 0.394927341157804 , 0.385875995283757 , -0.531174771084187 , 0.259156219344306 , 0.00157955864566078 , 0.874455119003783 , 1.19820539002251 , 0.214239146506605 , 0.826164927666148 , 0.320259604735926 , 0.728844867165247 , -0.0768377371539987 , 0.156956778669839 , 0.255719207989353 , 0.947324367707262 , 0.673829437424917 | 0.0008245 |
| 54 | 50 | 0.5 | 0.1 | 1.0 | control , control , control , control , control , control , control , control , control , control , control , control , control , control , control , control , control , control , control , control , control , control , control , control , control , control , control , control , control , control , control , control , control , control , control , control , control , control , control , control , control , control , control , control , control , control , control , control , control , control , intervention , intervention , intervention , intervention , intervention , intervention , intervention , intervention , intervention , intervention , intervention , intervention , intervention , intervention , intervention , intervention , intervention , intervention , intervention , intervention , intervention , intervention , intervention , intervention , intervention , intervention , intervention , intervention , intervention , intervention , intervention , intervention , intervention , intervention , intervention , intervention , intervention , intervention , intervention , intervention , intervention , intervention , intervention , intervention , intervention , intervention , intervention , intervention , intervention , intervention , 0.0525312284633767 , 0.825366825914768 , -0.22393034354368 , -0.229970108982639 , 0.293404933447903 , 0.130966500097547 , -0.929268365790405 , -1.27686653885407 , -0.394607400551914 , 0.103554532443137 , -1.85142765731423 , -0.228355064852471 , -1.99465112331262 , 0.79478049657917 , -0.390687776498431 , -1.16954145975206 , -0.00473011526434791, 1.28734301468681 , -0.055175009727027 , 0.638232555661067 , -1.38445347542646 , 0.911044311145774 , 0.532277677964329 , -0.443122312413163 , -1.0977293039887 , -0.364465825207366 , 0.607830592906147 , 0.477569670178331 , -0.651809891676669 , -0.513372967713965 , -0.939703359382636 , 1.22476316166424 , 0.734810746044964 , -1.48753091730926 , 0.0658952019631196 , -0.079589832560569 , -0.428798595862898 , 1.30561156819189 , -1.632366218786 , 1.25514409111812 , -0.0143769749046524 , 0.498309376758644 , 1.50543565574649 , -0.590681116523981 , -0.646087194837515 , -1.62905232464566 , -0.115970356382852 , -0.446576008322521 , 0.382846836825706 , 2.04903663391248 , 1.37150507309824 , 0.900742710828399 , 1.71280710413321 , 1.19298228562829 , 0.531628840436581 , 0.778754385458179 , 0.71183846358944 , 0.728017627024407 , 0.777947581513996 , 0.100753709114923 , 1.5179560229337 , 1.57457575842621 , 1.10099477534434 , 1.87594817886259 , -1.57353875100258 , 1.94560245876243 , -0.677325594193406 , 1.37638737419727 , -1.63272064550934 , -0.0729028035112194 , 0.721218246278514 , 0.296375221701389 , 1.21296407890074 , -0.651854364974157 , 0.309094266209918 , -0.0910500708662604 , 0.881884007116573 , 0.0500434890754088 , 2.44219803243826 , -0.654286255457148 , 0.0213817631602094 , 0.589918968559678 , -0.034189452572867 , 0.457804054859783 , 0.701153307358074 , 2.8750859042761 , 0.558497733714451 , 0.315681626479984 , -0.577802822381882 , -0.845483801151169 , 1.43758038879958 , -0.231600796926418 , 1.18965541251841 , 0.35952101191169 , 0.383747857843211 , 0.873282770852047 , -0.374400351929791 , 0.504412531753536 , 0.939330209125366 , -0.424210566501622 | 0.0005668 |
| 55 | 20 | 0.0 | 0.0 | 0.5 | control , control , control , control , control , control , control , control , control , control , control , control , control , control , control , control , control , control , control , control , intervention , intervention , intervention , intervention , intervention , intervention , intervention , intervention , intervention , intervention , intervention , intervention , intervention , intervention , intervention , intervention , intervention , intervention , intervention , intervention , -0.387342752080558 , -0.154171221488974 , -0.0859181998545406 , -0.255100078733569 , 0.234078913076568 , 0.136867190594492 , 0.459999695116075 , 0.366200411921288 , -0.879642577594148 , 0.179004120279711 , -0.368119173847765 , 0.703610168340586 , 0.454707506083337 , -0.0549522705514991 , 0.296342657961521 , -0.735776394271471 , -0.26775213463677 , 0.548326040449361 , 0.192275104306711 , 0.102106457291773 , 0.146519346948747 , 0.277661747919127 , 0.32322499582865 , -0.687806826434228 , -0.505632197967776 , 0.0893454185375818 , 0.0171579883698658 , 0.456499695326892 , 0.186741304709413 , 0.0735568376063797 , 0.0797572207820284 , -0.427583436877334 , 0.314957900248645 , 0.352807886339434 , 0.635172215817595 , -0.00672944474266524, 0.052074084005083 , 0.138010234273637 , -1.68120914221968 , 0.220583502103848 | 0.8848608 |
| 55 | 20 | 0.0 | 0.0 | 1.0 | control , control , control , control , control , control , control , control , control , control , control , control , control , control , control , control , control , control , control , control , intervention , intervention , intervention , intervention , intervention , intervention , intervention , intervention , intervention , intervention , intervention , intervention , intervention , intervention , intervention , intervention , intervention , intervention , intervention , intervention , -1.11693638769884 , -2.17886751501591 , -1.3286885173855 , 0.0438967175307233 , 1.26718521377817 , 0.653768644511243 , 0.865457058702855 , 0.156516366921755 , -0.19302367860091 , -1.15960690534508 , -0.91024774510342 , 1.05538784692978 , 1.01361752070912 , -0.0811402253039607, -0.273004460489367 , -0.66584992213084 , 0.180687074417688 , -0.326778927261201 , -0.52850251147633 , -0.663558911881317 , 0.338032183219115 , -2.36364889138057 , 0.672602728574902 , 1.20608247631398 , -1.62885215610002 , 0.378377334741606 , -0.434439275998405 , -0.519727769400948 , 0.708445600470549 , -1.72392858097391 , 0.0491620174865296 , -1.21222421064784 , -0.127503375947112 , -0.447397548060106 , -0.820969702983747 , 1.26719770260022 , -0.235856012473908 , 0.763948053988342 , 0.856906314633855 , 0.35679945068455 | 0.8345902 |
| 55 | 20 | 0.0 | 0.1 | 0.5 | control , control , control , control , control , control , control , control , control , control , control , control , control , control , control , control , control , control , control , control , intervention , intervention , intervention , intervention , intervention , intervention , intervention , intervention , intervention , intervention , intervention , intervention , intervention , intervention , intervention , intervention , intervention , intervention , intervention , intervention , 0.502600576128278 , -0.157330020850362 , -0.235593938695208 , 0.751848258259515 , -0.333048381077737 , 0.255825300025565 , -0.405063352745439 , -0.396022519331405 , -0.0501604076928198, -0.845028085003481 , -0.348568290875795 , 0.239329077441756 , 0.0348576657598511 , -0.685195253771329 , 0.625984590800712 , -0.489909273702874 , 0.360387226370837 , -0.344686832617181 , -0.370514873394373 , -0.572185436447617 , 0.552849981880043 , -0.667035655280871 , -0.238985092148977 , -0.364809723989997 , 0.402586532372285 , 0.157571419839623 , -0.187674667603866 , 0.0249930365939023 , 0.87906811805267 , 0.510065821368493 , 0.117609525830884 , 0.53197012545623 , 0.342325658639804 , 1.07267942463613 , -0.259478304831032 , 0.199806340544751 , -0.78446697123813 , 0.0307634521914979 , 0.118710757518077 , -0.906173754089196 | 0.2022940 |
| 55 | 20 | 0.0 | 0.1 | 1.0 | control , control , control , control , control , control , control , control , control , control , control , control , control , control , control , control , control , control , control , control , intervention , intervention , intervention , intervention , intervention , intervention , intervention , intervention , intervention , intervention , intervention , intervention , intervention , intervention , intervention , intervention , intervention , intervention , intervention , intervention , 0.742270093351413 , -0.114337765787123, 0.689454938925155 , 0.410609044898894 , 0.393905699945133 , -0.676658490937579, -1.33981462440626 , 0.366330622261306 , -0.717878654496743, 0.551891621670247 , -1.0716163814689 , 0.464651176423428 , 0.244407016531951 , 0.200985228742298 , 0.528650023385856 , 0.0303276991013803, -1.28554169434688 , 0.692160641967119 , 0.580916291588557 , -0.631994924598343, -0.632408207418937, 2.29549784421283 , -0.645551816407145, 0.957682425571826 , -2.02847001214325 , 0.179292066755138 , -2.13010894327625 , 0.749147331018048 , 2.38364128292748 , 0.414197398163189 , -0.469255826012491, 1.01182285461703 , -0.937916329638408, 0.0473005911949584, 1.04364283594201 , 2.13010524368217 , 0.150754394067921 , 0.657304901799945 , -0.912672191343278, 0.993154061886162 | 0.4276339 |
| 55 | 20 | 0.5 | 0.0 | 0.5 | control , control , control , control , control , control , control , control , control , control , control , control , control , control , control , control , control , control , control , control , intervention , intervention , intervention , intervention , intervention , intervention , intervention , intervention , intervention , intervention , intervention , intervention , intervention , intervention , intervention , intervention , intervention , intervention , intervention , intervention , 0.40568729734339 , 0.157165136935293 , -0.211540953676242 , 0.485446128848181 , 0.49691032323499 , 0.475440334871274 , 0.188529138483941 , 0.90097196763927 , 0.399954549309319 , -0.247467302840741 , 0.431790979123956 , -0.514138808330071 , -0.342474539944671 , -0.0122161931732422, 0.530289958219587 , -0.660995960487046 , -0.317381058829382 , -0.174212863623172 , 0.0996631039469207 , 0.226214038369834 , -0.685140636367095 , 0.269139650355925 , 0.810187575560598 , -0.225907346023539 , 1.13341100607494 , 0.130770349909115 , 0.318780726894718 , 0.227672823690774 , -0.0487043953262893, -0.347328833605566 , 0.695602467033204 , 0.187855031641239 , 0.578674546019347 , -0.151344392086001 , 0.893960144478015 , 0.590691671394856 , 0.202198711672494 , 0.0696097684487583 , 1.06386701216322 , -0.613093971439693 | 0.3530791 |
| 55 | 20 | 0.5 | 0.0 | 1.0 | control , control , control , control , control , control , control , control , control , control , control , control , control , control , control , control , control , control , control , control , intervention , intervention , intervention , intervention , intervention , intervention , intervention , intervention , intervention , intervention , intervention , intervention , intervention , intervention , intervention , intervention , intervention , intervention , intervention , intervention , 1.25704106192618 , 0.9721409629846 , 0.239645909531393 , -0.713425707785836 , 0.0199523465245182 , -1.25105649889541 , -0.123280317689686 , -0.321783924623733 , -0.0155653239359287, -0.331551328181138 , -2.23336293996558 , 0.51266809731453 , -0.0726969492044397, -0.988545993414689 , -0.804610292071997 , 1.64764104527045 , -0.329894170097824 , 0.13105804438872 , -0.593719164205507 , -0.725603751458633 , 1.21979279665874 , -2.00936790185106 , 1.84271740376164 , 1.00378787098382 , -0.450519962325306 , 0.840801736531911 , 1.2164977813779 , 0.282189460105662 , -0.0710192886454823, 0.284053791637276 , 1.43487091588261 , 2.70780518180677 , -1.21729312706069 , -0.305117482233992 , 0.191734752663575 , 0.0811543220699504 , 1.71749236963984 , 2.3828356162179 , -0.0829600634891239, -1.67366595057284 | 0.0650520 |
| 55 | 20 | 0.5 | 0.1 | 0.5 | control , control , control , control , control , control , control , control , control , control , control , control , control , control , control , control , control , control , control , control , intervention , intervention , intervention , intervention , intervention , intervention , intervention , intervention , intervention , intervention , intervention , intervention , intervention , intervention , intervention , intervention , intervention , intervention , intervention , intervention , 0.215533597787583 , 0.237316872801663 , -0.277948435642851 , 0.0244286236500352 , 0.374565601878224 , -0.00425400403536287, 0.330440571391226 , -0.431874125597554 , 0.00392085295718585 , -0.203930247597637 , -0.10115639839998 , 0.028546462179427 , -0.128390804474431 , 0.694590157446246 , 0.0316517995321431 , 0.313778378417536 , 0.286502915668324 , 0.403567107166129 , 0.0845714764128108 , 0.16552770467973 , 1.09820172744353 , 0.038796987403704 , -0.252694173681017 , 0.507931111431729 , 0.624725148269465 , 0.283716412608238 , -0.77640160549635 , 1.22984885272415 , 0.872365829068757 , 0.533609207255234 , 0.346124765040512 , 1.10522415937285 , 0.0117088936496461 , 0.327193736199807 , 1.07693753112801 , 0.679365949976912 , 0.365309504182684 , -0.315571802391196 , 0.902083226977096 , 1.05846756713661 | 0.0075425 |
| 55 | 20 | 0.5 | 0.1 | 1.0 | control , control , control , control , control , control , control , control , control , control , control , control , control , control , control , control , control , control , control , control , intervention , intervention , intervention , intervention , intervention , intervention , intervention , intervention , intervention , intervention , intervention , intervention , intervention , intervention , intervention , intervention , intervention , intervention , intervention , intervention , 1.31026268025804 , 0.198501506113265 , 0.912808626335547 , -0.824102501011956 , 0.788664162721592 , -1.19062114116143 , -0.327751604785933 , -1.48860401842011 , -2.11175254411241 , -1.20660487281522 , 0.0724478256835733 , -1.18679279334573 , -0.352344682078335 , -0.0184356593995356, 0.613508754716497 , 0.531238855495097 , -0.350690364451979 , 1.84857167368489 , -0.284590367324238 , 0.205256407289572 , 0.564059125140641 , 0.71484659172447 , 2.10499402251783 , 1.71099551147526 , 0.414196640302201 , 1.57104881920304 , -0.988761420758724 , -0.397446080267009 , 1.71201449164638 , 0.438046538363453 , 0.461545237842265 , 1.67076808942034 , 0.0939343877647718 , -1.1679971985235 , 0.151137457158624 , 1.42223804028524 , 2.29517449177629 , -0.685675245100114 , -0.62532837413617 , 0.713281949864437 | 0.0255351 |
| 55 | 50 | 0.0 | 0.0 | 0.5 | control , control , control , control , control , control , control , control , control , control , control , control , control , control , control , control , control , control , control , control , control , control , control , control , control , control , control , control , control , control , control , control , control , control , control , control , control , control , control , control , control , control , control , control , control , control , control , control , control , control , intervention , intervention , intervention , intervention , intervention , intervention , intervention , intervention , intervention , intervention , intervention , intervention , intervention , intervention , intervention , intervention , intervention , intervention , intervention , intervention , intervention , intervention , intervention , intervention , intervention , intervention , intervention , intervention , intervention , intervention , intervention , intervention , intervention , intervention , intervention , intervention , intervention , intervention , intervention , intervention , intervention , intervention , intervention , intervention , intervention , intervention , intervention , intervention , intervention , intervention , 0.137256287873306 , -0.706688193011939 , -0.577942413311499 , -0.0284293419178172, -0.720961834598224 , -0.111356626004427 , 0.974673265869423 , -0.0808642276176964, 0.16618244116524 , 0.0272101362221825 , -0.058211953212669 , -0.786615837862432 , 0.604366842564255 , 0.267589653756255 , -1.0770210579632 , -0.670183428093429 , -0.527572842891737 , 0.144883887402 , 0.0993576634910749 , 0.138848217065821 , -0.333802784531878 , 1.02593689465894 , -0.331476148000925 , -0.115863655665335 , -0.0169241760946292, 0.33019542939528 , -0.017070314638514 , -0.149716252603242 , -1.16287616445506 , 0.909918335097104 , -0.187423253583103 , -0.0120492705534321, 0.957330279364412 , -0.352645861014356 , -0.232796862678779 , -0.938264403760061 , 0.0179781948117175 , -0.211894289768561 , 0.446373657017145 , 0.11563958661201 , -0.459221754167413 , 0.099209937638298 , 0.294482736684483 , 0.18305521492276 , 0.378182743071568 , 0.502908485228233 , 0.261981114463964 , 0.14803502510705 , 0.00185666270435787, -0.154448772931384 , -0.209096661010093 , -0.701488243442219 , 0.671570274060707 , 0.0351832180910601 , 0.122877203866856 , 0.333526580050947 , -0.0844445807650813, -0.438529043057261 , 0.148913780700622 , 0.293420071854619 , 0.916480581622658 , 0.206181427775709 , 0.303664577909371 , -0.105697030401602 , -0.25622200279907 , -0.752911353910233 , -0.164313131557507 , 0.38382709102756 , -0.019659503455752 , -0.271503834972596 , -0.2030960123946 , 0.145221103493661 , 0.316873955252522 , 0.166393695619093 , 0.632900340885842 , 0.144908655692748 , 0.142423017278541 , 0.607274831164445 , -0.341187273877303 , 0.531095583050929 , 0.100117777853698 , 1.09379178131162 , -0.276501891242597 , -0.044226825944196 , -0.820167508044977 , 0.463156328613802 , 0.184973291242017 , -0.28733988007412 , -0.326754368657358 , 0.052240250839784 , 0.997295320467701 , 0.168318218593402 , -0.543785753285097 , -0.683570392240386 , -0.398225061742126 , -0.370332309493421 , -0.370462593232396 , -0.0734842865356999, 0.697938514541942 , -0.0373312491846477 | 0.4133168 |
| 55 | 50 | 0.0 | 0.0 | 1.0 | control , control , control , control , control , control , control , control , control , control , control , control , control , control , control , control , control , control , control , control , control , control , control , control , control , control , control , control , control , control , control , control , control , control , control , control , control , control , control , control , control , control , control , control , control , control , control , control , control , control , intervention , intervention , intervention , intervention , intervention , intervention , intervention , intervention , intervention , intervention , intervention , intervention , intervention , intervention , intervention , intervention , intervention , intervention , intervention , intervention , intervention , intervention , intervention , intervention , intervention , intervention , intervention , intervention , intervention , intervention , intervention , intervention , intervention , intervention , intervention , intervention , intervention , intervention , intervention , intervention , intervention , intervention , intervention , intervention , intervention , intervention , intervention , intervention , intervention , intervention , -0.26555144847258 , -0.00897583914650769, 1.14195128537814 , 0.281800292444807 , -1.48876685345265 , -0.833490576780983 , -0.535149056381026 , -1.0977204899631 , -0.567137533142185 , -0.599299602337008 , -0.824838583882424 , -0.129051496922233 , -0.500866942724405 , 0.551031771781243 , 1.02383603189864 , -0.82320678031646 , 0.86358189209447 , 0.731180121743278 , -0.896113782616175 , 0.0976806391592753 , 0.401277735400772 , 0.899045746698121 , 1.28862116924696 , -0.384328627434027 , 0.772083040595678 , 0.821380114946347 , 2.06399290184029 , -0.664415456841393 , -0.13893323420417 , -2.0855979192762 , 1.09388632604255 , -0.69077067334227 , -0.19768678731673 , 1.89211650097014 , -1.71340337012216 , 0.169338521731793 , -0.938759459268368 , 0.0540032304418438 , -0.149220921225072 , -0.783779805160202 , 0.841028991118616 , 0.1904349636363 , 0.551604548633473 , -0.575133298600387 , -0.612475335564515 , -0.113844498954829 , -0.574661918555272 , -1.25433269316274 , 0.121099195442051 , -0.136144926509548 , -1.41891921725075 , 0.851318525984565 , -0.193466688021878 , -1.52710369770638 , -0.550988161124156 , 0.115116292994395 , 1.9059295038128 , 0.235826390788905 , 1.07552205023315 , -0.729673401841394 , 0.791259791570614 , -0.349923860820831 , 2.01996090886679 , 0.882661602314534 , -1.83230663830689 , -0.00455207429314473, 0.750847214943711 , 0.332444557917336 , 0.46963803858472 , -0.19392575090884 , -1.43589677356134 , -0.830151664351808 , -0.443012900745287 , -0.793002644583006 , -1.87566188319709 , -0.957145680838032 , -0.638529301913413 , -1.14411437880879 , -1.80087977846003 , -0.0890358446524271 , -1.51219614151345 , 0.408778461158113 , -1.20894550756291 , -0.662581426115153 , 0.382177420225355 , 0.55232624861117 , 0.576427533652755 , -0.147720547204857 , -1.12001113603159 , 1.04496637855486 , -0.518229016516402 , -1.01615044217964 , 0.762350819103875 , -1.52497110690238 , 0.285306931705102 , -0.0517954117431996 , 1.73601231635291 , -1.12155726825055 , -0.54115016259366 , 0.246784842619451 | 0.4510908 |
| 55 | 50 | 0.0 | 0.1 | 0.5 | control , control , control , control , control , control , control , control , control , control , control , control , control , control , control , control , control , control , control , control , control , control , control , control , control , control , control , control , control , control , control , control , control , control , control , control , control , control , control , control , control , control , control , control , control , control , control , control , control , control , intervention , intervention , intervention , intervention , intervention , intervention , intervention , intervention , intervention , intervention , intervention , intervention , intervention , intervention , intervention , intervention , intervention , intervention , intervention , intervention , intervention , intervention , intervention , intervention , intervention , intervention , intervention , intervention , intervention , intervention , intervention , intervention , intervention , intervention , intervention , intervention , intervention , intervention , intervention , intervention , intervention , intervention , intervention , intervention , intervention , intervention , intervention , intervention , intervention , intervention , -0.0113478654377261 , -0.397501512604713 , 0.0141497454913186 , 0.124735008758371 , 0.620553689022294 , 0.194031705053373 , 0.64084457959378 , 0.337496477688939 , 0.75184215207265 , -0.252192873154337 , 0.942550290669095 , -0.512093704370574 , -0.368288266234562 , -0.341052136316234 , 0.239047472027559 , -0.382284987610541 , 0.507922894522441 , -0.134652402264535 , 0.822731716467336 , -0.451185660616162 , -0.704246905821439 , -0.151683830247471 , 0.0396106299574645 , -0.00711162198984269 , 0.423854704846344 , 0.251335401658987 , -0.202797009770042 , 0.729775106547548 , -0.250027032786095 , 0.147311119403733 , 0.189146828125264 , -0.00624634654214234 , -0.483677378123325 , 0.832060648384881 , -0.101999563888827 , 0.726070477282699 , -0.833567638665395 , -0.24229135008567 , 0.916504838148709 , 0.0371897758473652 , 0.570262744025252 , 1.00075997999356 , -0.345364540439547 , 0.783666033278559 , 0.393123305884371 , 0.341120426631538 , 0.623447104061636 , 0.365188228712552 , 1.04818663084993 , -0.244510131299046 , 0.0796330266172058 , -0.16677513005802 , 0.142101697555839 , -0.0904256658972383 , -0.000299277268746967, 0.118152313142325 , -0.261471709914116 , 0.281962982667315 , 0.42945929244696 , 0.494795471757035 , -0.371471343900061 , -0.173998632487646 , -0.208942838050228 , -0.0508590536790768 , -0.457112989278146 , 0.999797708809331 , 0.406041534315139 , 0.122829056489653 , 0.665613494113373 , -0.779273398658165 , -0.852734799860224 , -0.721220545182928 , 0.591931325447462 , -0.426299031858986 , 0.0373952657229972 , -0.850899750745128 , -0.537917514849291 , 1.58810700017931 , 0.919200658909554 , 0.623472153264674 , 0.329284507527551 , -0.640059478111537 , -0.0378385968922899 , -0.157876347753412 , 0.990464300566585 , 0.634098296872165 , -0.171811873699758 , 0.11586344093067 , 0.489722111186203 , 0.326044567177355 , 0.179779958705878 , 0.290394387065564 , -0.0198883077131386 , -0.660736895857174 , 0.0222189321122532 , 0.179661872906056 , -0.322613500917616 , 0.433076670672142 , 0.118056147082593 , 0.0736615730002483 | 0.3736378 |
| 55 | 50 | 0.0 | 0.1 | 1.0 | control , control , control , control , control , control , control , control , control , control , control , control , control , control , control , control , control , control , control , control , control , control , control , control , control , control , control , control , control , control , control , control , control , control , control , control , control , control , control , control , control , control , control , control , control , control , control , control , control , control , intervention , intervention , intervention , intervention , intervention , intervention , intervention , intervention , intervention , intervention , intervention , intervention , intervention , intervention , intervention , intervention , intervention , intervention , intervention , intervention , intervention , intervention , intervention , intervention , intervention , intervention , intervention , intervention , intervention , intervention , intervention , intervention , intervention , intervention , intervention , intervention , intervention , intervention , intervention , intervention , intervention , intervention , intervention , intervention , intervention , intervention , intervention , intervention , intervention , intervention , -0.754983635435257 , -0.361433432651016 , -0.230975431858627 , 0.317106182477317 , 0.0331954486646616 , 1.82742672857684 , 1.11115981130772 , 1.04342810538764 , 0.212785962336083 , 1.09769998512066 , -0.195856851465839 , -1.06924168254169 , 1.36328804700951 , 0.243639495935146 , -0.697348520235285 , 0.662566060518621 , 2.05776896071172 , -0.265287407942995 , -1.17158210647674 , -0.952911250294245 , 0.31281842156219 , -0.691383837847595 , -1.48923942267777 , -2.11520479986465 , -1.75506608674973 , 0.268843624022767 , 1.51571496019734 , -0.738400184550688 , -1.54695503911715 , -0.45263382588043 , -1.60597410351712 , -0.0238413313932109, 1.75696884276882 , -2.19713636832371 , 0.560932392136954 , 1.04375301241966 , -0.580816419662523 , -0.171644675489268 , 0.723098935864492 , -0.431642620897053 , 0.342146181100186 , 0.255823837197538 , -1.15292972669374 , -0.766207330952653 , -1.45540201965647 , -0.274026153998463 , -2.38045102697988 , 1.96120310720827 , -1.66320924810565 , -0.606760713214427 , 1.36536356369198 , 0.659750646176491 , 0.0941586222318881 , -1.44358419268365 , -0.336715544826769 , 1.67593464442998 , -1.08539068109262 , 0.329446534032306 , 1.29645797213436 , -0.507084115795057 , -0.198184532847233 , -2.95501412319457 , 1.52685477513505 , -0.663668256387852 , 1.38739789959676 , -1.21000117896206 , -0.382690533474991 , 1.36622249173849 , 0.724784680167839 , 0.0329932158679021 , 0.828296315416372 , -0.124986280746625 , 0.424695933317336 , 0.549773301910833 , 0.464904721947125 , -0.15126891648524 , -0.216096958788634 , 0.267157969724797 , -1.24528861017407 , -0.038891745495696 , -0.626311718053775 , -0.137487694651212 , 0.300914532494795 , -0.59175987038974 , 0.611326890487221 , 1.03996112281772 , -0.216835487806559 , 1.71135171277219 , 0.773936374136008 , 0.101780407167426 , -0.326231862650935 , -1.11643773143307 , -0.132805541576347 , -0.944440774685765 , -0.0107130130471323, -2.28182722729921 , -1.85236643807746 , -0.487748554624343 , -2.21451409830019 , 1.31323236742651 | 0.5574363 |
| 55 | 50 | 0.5 | 0.0 | 0.5 | control , control , control , control , control , control , control , control , control , control , control , control , control , control , control , control , control , control , control , control , control , control , control , control , control , control , control , control , control , control , control , control , control , control , control , control , control , control , control , control , control , control , control , control , control , control , control , control , control , control , intervention , intervention , intervention , intervention , intervention , intervention , intervention , intervention , intervention , intervention , intervention , intervention , intervention , intervention , intervention , intervention , intervention , intervention , intervention , intervention , intervention , intervention , intervention , intervention , intervention , intervention , intervention , intervention , intervention , intervention , intervention , intervention , intervention , intervention , intervention , intervention , intervention , intervention , intervention , intervention , intervention , intervention , intervention , intervention , intervention , intervention , intervention , intervention , intervention , intervention , 0.294720973842251 , 0.524153010657403 , -1.76182028048732 , 0.294911345778594 , -0.0584656655932318, -0.47623582307862 , 0.291788529450764 , 0.34407493439593 , 0.469621272458238 , 0.129385724536836 , -1.29296187618349 , 0.117344715447733 , -0.69075977106514 , 0.353813848083021 , -0.901451624057708 , -0.0508278001157091, 0.470146134114675 , 0.140590349788431 , -0.959828282062952 , -0.352221225853214 , 0.318143858693781 , 0.888107328475537 , -0.224386546061907 , -0.272835120172646 , 0.216618618412634 , -0.316256650724766 , 0.177014429873188 , 0.457660764709547 , 0.311339699296163 , -0.172058549032114 , 0.448284090538885 , 0.0567830710856344 , 0.159449706251056 , 0.720252550853597 , 0.434626615329362 , 0.903311233423231 , -0.532179447698143 , 0.117559897682166 , -0.697110206780151 , 0.444282436239154 , -0.333315660996706 , -0.0446556398356635, -0.868766182761596 , 0.895127744737744 , -1.26102621706644 , -0.592902027426173 , 0.21272028962427 , 0.647156186441588 , 0.940008481262181 , 0.753458402633481 , 0.975810958702834 , -0.18115233242288 , 0.448389705197351 , 0.171875976752843 , 0.435223940307482 , 0.0270445430023167 , 1.12107448771088 , 0.973919677693573 , 0.939214270442969 , 0.951962448466304 , -0.234347137819318 , 0.252745801458053 , 1.24212418303562 , 0.984475318463112 , 1.11560622178304 , 1.34656196427785 , 0.294878946523717 , -0.189985969423145 , 0.295915263273316 , 0.900437894404033 , -0.210221807319328 , 1.33363611005465 , 0.951505567862617 , 1.2053465855246 , 0.626698363932816 , -0.123622430043092 , 1.16941534266279 , -0.140357523334252 , 1.46138971170147 , 0.849488067820325 , 0.543091570360604 , 0.298372914788061 , 0.59977656041825 , 0.232756824769988 , 0.609946815577653 , 0.429023594403867 , 0.606672460377982 , 0.703523995565189 , 0.893711689633828 , 1.20383021896182 , 0.580587156126938 , -0.155327416950895 , 0.25423307867209 , 0.47765660395256 , 1.78750180191784 , -1.21430655006942 , 0.0487131351741161 , 0.295387590407488 , -0.410686667319393 , 0.0587793487561848 | 0.0000298 |
| 55 | 50 | 0.5 | 0.0 | 1.0 | control , control , control , control , control , control , control , control , control , control , control , control , control , control , control , control , control , control , control , control , control , control , control , control , control , control , control , control , control , control , control , control , control , control , control , control , control , control , control , control , control , control , control , control , control , control , control , control , control , control , intervention , intervention , intervention , intervention , intervention , intervention , intervention , intervention , intervention , intervention , intervention , intervention , intervention , intervention , intervention , intervention , intervention , intervention , intervention , intervention , intervention , intervention , intervention , intervention , intervention , intervention , intervention , intervention , intervention , intervention , intervention , intervention , intervention , intervention , intervention , intervention , intervention , intervention , intervention , intervention , intervention , intervention , intervention , intervention , intervention , intervention , intervention , intervention , intervention , intervention , -0.0787339890690771 , 2.05332638542946 , -0.712415190672681 , 0.663723706503617 , 0.774704133933656 , 0.993843892061011 , 0.203098941177423 , -0.917330516935357 , 0.151279842395306 , -0.330583993965379 , -0.611166659230991 , 1.9661916810325 , 0.0213094596213952 , 0.988052951822327 , -0.0544702450540789 , -1.39056071974997 , -0.322774387212971 , -0.994109904204222 , -0.6081889191888 , -2.21407261517896 , -0.476454852473557 , -0.668117271635574 , 1.09112459909332 , 0.153265080462085 , -0.0573835823508756 , 0.316163806422404 , -1.05467858878124 , -0.377219211591997 , 0.939876240622392 , -1.84030603406611 , -0.609272280548518 , -0.37550744145584 , 1.96024544951482 , 2.03896024884235 , 0.90109470946058 , -0.823482576702987 , 0.397014337348836 , 0.331971523891771 , 1.24013599379131 , -0.208733054467772 , -0.379515285426151 , -0.639259775033507 , -0.449621412326526 , 1.2896265528925 , -0.176878462805744 , -0.301827439744356 , 0.599710406943319 , 0.426098141405035 , -1.16180959399097 , 2.23692947867659 , 1.24492668990755 , 0.351751499742152 , 1.28261941928335 , 0.0100783230400678 , 0.085533517059664 , -0.79044761822671 , 2.34314513969853 , -0.44495563091248 , 0.950932849907182 , -0.0971029818296522 , -0.141650603162375 , 2.80470696096236 , -0.524031911567424 , -0.518795494935965 , 2.81663159606594 , 0.673888747298014 , 1.81941085514174 , -0.707452887690393 , 0.505256129102511 , -0.204922753925911 , -1.00152732397251 , -1.28217539811291 , 0.171153330987308 , -1.67083935173422 , 1.31432713437533 , 0.789777854404567 , -0.436772823119412 , 0.277100058208479 , 1.98658754748479 , -0.219250182972009 , -1.01062463329605 , 1.02458958745908 , -0.0347469725808062 , 0.145145634009557 , 0.595290406026521 , 1.99622277746534 , -0.483541808685857 , -1.45471952051492 , -0.458898099742095 , 1.48311104359193 , -0.924428807052361 , -1.30020639500173 , -0.00569086305101718, 0.697877594987843 , -0.130713479150102 , 1.93083439464343 , 0.0538333621906005 , 0.65825564318288 , -0.567213662438224 , 0.182933556131283 | 0.3495344 |
| 55 | 50 | 0.5 | 0.1 | 0.5 | control , control , control , control , control , control , control , control , control , control , control , control , control , control , control , control , control , control , control , control , control , control , control , control , control , control , control , control , control , control , control , control , control , control , control , control , control , control , control , control , control , control , control , control , control , control , control , control , control , control , intervention , intervention , intervention , intervention , intervention , intervention , intervention , intervention , intervention , intervention , intervention , intervention , intervention , intervention , intervention , intervention , intervention , intervention , intervention , intervention , intervention , intervention , intervention , intervention , intervention , intervention , intervention , intervention , intervention , intervention , intervention , intervention , intervention , intervention , intervention , intervention , intervention , intervention , intervention , intervention , intervention , intervention , intervention , intervention , intervention , intervention , intervention , intervention , intervention , intervention , 0.305639718724591 , -0.247560185123756 , -0.0139892697155569 , 0.841584147763567 , -0.116398104391084 , 0.79216843908906 , -1.00267722698376 , -0.875670760078182 , -0.0470446136588781 , -0.358055121872561 , 0.180407896214275 , 0.0692647657245634 , 0.347191781608697 , -0.700929890763249 , 0.317611680493921 , 0.161796553668246 , -0.581994130865652 , 0.643473753721007 , 0.244589108068596 , -0.892203292181352 , -0.454496593344214 , 0.244575165876254 , -0.404476715816468 , 0.0579497264358052 , -0.0982718832373035 , 0.875426812195257 , -0.689630128230082 , 0.791679745722314 , 1.00529765499302 , -0.19561786390146 , -0.00502054834943648, -0.108194609316733 , 0.703336244421493 , 0.199248412945627 , -0.472206865285163 , 0.717533100281428 , 0.048719505055271 , 1.13708686222288 , -0.0855925843782186 , -0.0746025856301527 , 0.812236147745511 , -0.433333405203373 , -0.340474936359208 , 0.769554517441521 , 0.493475964673306 , 0.138831956685836 , 1.00098165728113 , 0.573063105951528 , 0.107796814969498 , 0.738666748292605 , 0.204764476561019 , 0.645219950352771 , 0.896487988819463 , 0.0375344639098467 , 1.01668913607726 , 0.312381616775183 , 0.44548356936347 , 0.225221436973337 , -0.104693825574958 , 0.693435757887827 , 0.507582547317917 , 0.775671261433634 , 0.347774495068071 , 0.298769411095178 , 0.140121577497916 , -0.136301562206845 , 0.00566195943878711 , 0.26864344407871 , -0.387475508327041 , 0.0936713967632227 , 0.301055724094515 , 0.0608195314069684 , 0.26889785150409 , 1.08577340168311 , 1.27291280266155 , 0.704964860675142 , 1.32987314615869 , 0.490315007392275 , 0.921590139374229 , 0.0665221608082066 , 1.0964468895404 , 0.153224869600686 , 0.013974352803716 , 0.966793753016329 , 1.55725069213495 , 0.172733682813308 , 0.578338536858396 , 0.606227422534416 , 0.549488006026985 , 0.706844358224407 , 0.906627431666727 , -0.301127311014292 , 0.0263447046975063 , -0.212941992955545 , 0.108453430732364 , 0.761804878247397 , 0.469448145729676 , -0.0135010035295193 , 0.0583504281562192 , -0.0122770579707897 | 0.0037812 |
| 55 | 50 | 0.5 | 0.1 | 1.0 | control , control , control , control , control , control , control , control , control , control , control , control , control , control , control , control , control , control , control , control , control , control , control , control , control , control , control , control , control , control , control , control , control , control , control , control , control , control , control , control , control , control , control , control , control , control , control , control , control , control , intervention , intervention , intervention , intervention , intervention , intervention , intervention , intervention , intervention , intervention , intervention , intervention , intervention , intervention , intervention , intervention , intervention , intervention , intervention , intervention , intervention , intervention , intervention , intervention , intervention , intervention , intervention , intervention , intervention , intervention , intervention , intervention , intervention , intervention , intervention , intervention , intervention , intervention , intervention , intervention , intervention , intervention , intervention , intervention , intervention , intervention , intervention , intervention , intervention , intervention , -1.37380520710114 , 0.896975123547392 , 1.80478654150548 , 0.371825019617024 , -1.20201659417327 , 1.42392062684213 , 0.756102634895976 , -1.30808751632349 , 0.919453891832751 , 0.444579872109783 , -1.97855095651012 , 0.706546282493996 , 0.556722004695073 , 0.674901920466057 , 1.07359810685041 , -0.641352099523321 , -0.872611459165695 , 0.653173647099006 , 0.252876669312087 , 0.662276661666004 , 0.0389582266284036 , -1.34928710413376 , 0.183121722330034 , -0.501104523269327 , -0.304786700236343 , 0.609066665618695 , -0.045542284608638 , 0.865993640082167 , -0.651637144393023 , 0.0999667897266839 , -0.917010677102539 , 0.66577536544571 , 1.40670599861356 , 0.336006956273615 , -0.586294341903534 , -1.54082779720579 , -1.02465136208057 , 0.175312117756908 , 0.140227671875002 , 0.676544529167663 , -0.226745609526994 , 0.450859561542246 , 1.20392365038768 , -0.81217165279691 , 1.07449463541981 , 0.634633109227893 , 0.195475884206626 , 0.178469382432241 , 1.29953480541341 , 1.61388876641757 , 0.00981796381925726, -0.482519454244865 , -0.232298212940517 , 2.1412146238415 , 2.16476530609796 , 0.401756485741985 , 2.16659582015568 , 1.35794587276344 , 0.658081780204985 , 1.27115325621499 , 0.467591569896354 , 0.654457437530471 , -0.332534324872927 , 0.270063728963386 , 0.482509973011595 , -0.0734752934754553, 0.393523496991766 , 0.220788140054324 , 0.752574687456464 , -0.292205424304438 , 0.597661329648135 , 0.476082784510933 , 0.0706923127839214 , 1.17754826832443 , -0.616620337696753 , 0.409770887495117 , 2.22687287015209 , -0.257897320540748 , 2.48676861676927 , 1.42735473374843 , 1.43079867106068 , 2.04990176815881 , 0.45626109931553 , 1.00586827755743 , -0.212019566653812 , -0.0763579174372926, 0.781778254227588 , -0.423641228579543 , 0.82417156990153 , 0.893275809597598 , 1.82843242440621 , 0.0814488142452827 , -0.2255595270061 , 1.92849584233614 , 1.1522922427685 , -0.327943145952907 , 1.95060592983254 , 0.575128479279469 , 1.54390895395409 , 0.670649775496633 | 0.0017646 |
| 56 | 20 | 0.0 | 0.0 | 0.5 | control , control , control , control , control , control , control , control , control , control , control , control , control , control , control , control , control , control , control , control , intervention , intervention , intervention , intervention , intervention , intervention , intervention , intervention , intervention , intervention , intervention , intervention , intervention , intervention , intervention , intervention , intervention , intervention , intervention , intervention , 0.718369257883767 , -0.811731776420357 , -0.288917248090531 , -0.644126057295636 , 0.473476306386407 , -0.978772271452924 , 0.322929301378963 , -0.085418101935181 , 0.0343579967833969 , -0.0190104407817936 , 0.422081864800335 , 0.321506929908759 , -0.00465720926938386, -0.577164068154857 , -0.508047341557048 , -0.991843300175891 , -0.267245448492695 , -0.27339667140511 , 0.0218284840693283 , 0.497479735092575 , 0.475634238238339 , -0.892481724836708 , 0.211783919005293 , -0.280115205494554 , -0.185471237532729 , -0.0178343232346255 , 0.0434350981812006 , 0.369653836384762 , -0.481404562080296 , -0.264507259641787 , 0.610616316072332 , -0.238921649979666 , -0.0553001690194875 , 1.50472716958022 , 0.338793715569307 , -0.903411540868827 , -0.557197016560891 , -0.757760124349649 , 1.0090512288556 , 0.792699344474319 | 0.3624746 |
| 56 | 20 | 0.0 | 0.0 | 1.0 | control , control , control , control , control , control , control , control , control , control , control , control , control , control , control , control , control , control , control , control , intervention , intervention , intervention , intervention , intervention , intervention , intervention , intervention , intervention , intervention , intervention , intervention , intervention , intervention , intervention , intervention , intervention , intervention , intervention , intervention , -0.000420933536078905, -0.349573856245629 , -0.97567800172224 , -0.719624684238214 , -1.66980262883676 , -0.851355798501874 , 0.629230814767041 , 0.865223630061943 , 1.42449601402605 , -0.228534485597547 , 0.0460684336563434 , -1.78094895422377 , -0.705805195917697 , 0.216844500956845 , -1.04440789496092 , -0.458615791348298 , 0.225968091773768 , 0.304207192250557 , 0.774734323402429 , -0.151248899972799 , 0.850230274708384 , -0.37892486176351 , -0.680704740827759 , -1.85233631121659 , -0.0210744545210957 , -0.343131829309813 , -0.0246210075819737 , 0.534199832484122 , 1.01975270271565 , -0.302928528650961 , 1.98692966451804 , -0.282185496566591 , -0.20949699750607 , 0.642725781205868 , -0.0997839109809613 , -0.400324785032172 , 0.10642906916079 , 0.396586818382271 , 1.77236768718579 , -1.40447246752568 | 0.3061447 |
| 56 | 20 | 0.0 | 0.1 | 0.5 | control , control , control , control , control , control , control , control , control , control , control , control , control , control , control , control , control , control , control , control , intervention , intervention , intervention , intervention , intervention , intervention , intervention , intervention , intervention , intervention , intervention , intervention , intervention , intervention , intervention , intervention , intervention , intervention , intervention , intervention , 0.246091938725186 , 0.12243393603232 , -0.47407978986133 , 0.502702371276624 , -0.71939170224566 , -0.403352407516453 , 0.324080911906968 , 0.188961395661636 , 0.220348499195711 , 0.33593298153231 , 0.149326893828587 , 0.123609583200961 , -0.0129357184386556, -0.172545856845471 , -0.246582697442398 , 0.192846879630361 , -0.141716332625147 , 0.371469589001274 , -0.169360426783731 , -0.194732271113183 , -0.0717142610188462, 0.00744854389404776, 0.425761273715472 , -0.349892189383411 , -0.0560720568614317, -0.729076257575626 , 0.144170893299879 , -0.157619910263718 , 0.623939316071614 , 0.642119587129585 , 0.0277240994408082 , -0.195394135553381 , 0.100821174077844 , 0.700528689284164 , -0.731691943676098 , -0.32511872661073 , 0.478640774869114 , 0.138783674369468 , -0.250463678020964 , 0.204390056316948 | 0.8695350 |
| 56 | 20 | 0.0 | 0.1 | 1.0 | control , control , control , control , control , control , control , control , control , control , control , control , control , control , control , control , control , control , control , control , intervention , intervention , intervention , intervention , intervention , intervention , intervention , intervention , intervention , intervention , intervention , intervention , intervention , intervention , intervention , intervention , intervention , intervention , intervention , intervention , -1.02764812764348 , 1.20290408780444 , -0.691256245114012 , -0.253631683152486 , -0.16929981395743 , -0.551547894738557 , 1.74133752714385 , -2.41175222215086 , -1.85873497831787 , -0.557952359544693 , 2.00230700428653 , 0.0958859258646018 , -1.02524668963861 , -0.653330349873025 , 1.16892793563595 , -0.698648894899851 , -0.549684030510996 , 0.552857856758966 , 1.59685251525518 , 0.675872833129968 , 0.199809648946154 , 0.268811646225536 , 1.5724801218709 , -0.199939168511993 , -0.29008565107804 , 1.38982516631581 , -1.57529422285679 , -0.353263544419803 , -0.0191483833466209, 0.0178235156936222 , 0.397111568476289 , 0.533656324136883 , -0.274480250552002 , -0.17057073062161 , -1.18432384139628 , -0.20855202438565 , 0.809744292682796 , 0.394855203243587 , -1.65418832446134 , -0.539809908280443 | 0.9357072 |
| 56 | 20 | 0.5 | 0.0 | 0.5 | control , control , control , control , control , control , control , control , control , control , control , control , control , control , control , control , control , control , control , control , intervention , intervention , intervention , intervention , intervention , intervention , intervention , intervention , intervention , intervention , intervention , intervention , intervention , intervention , intervention , intervention , intervention , intervention , intervention , intervention , 0.600710961082993 , -0.0361911446722247 , 0.416424263214754 , 0.180029888535328 , 0.239369922213743 , 0.363646596999652 , -0.820919041533711 , 0.2605928521263 , -0.348480605697836 , 0.353886517253936 , 1.02579505764022 , 1.01653596677793 , 0.479212720938944 , 0.655788730134869 , 0.533913769769778 , -0.00190980687002302, 0.263997051286542 , -0.933108699681685 , 0.0871927466371382 , 0.992836204392173 , -0.108903995388876 , 0.75342183578055 , 0.218617891043111 , 0.565901064013684 , 0.953016578851281 , 0.328289047577114 , 1.16117377751554 , 0.0658756671880677 , 0.118347941186297 , 0.732382019129054 , 0.399748765604421 , 1.27109341063804 , 0.579922209446673 , 0.814211711370638 , 0.0498052019559851 , 0.315184251583904 , 1.323722034284 , -0.659911581967973 , 0.935023042923781 , 0.83256445490869 | 0.1113187 |
| 56 | 20 | 0.5 | 0.0 | 1.0 | control , control , control , control , control , control , control , control , control , control , control , control , control , control , control , control , control , control , control , control , intervention , intervention , intervention , intervention , intervention , intervention , intervention , intervention , intervention , intervention , intervention , intervention , intervention , intervention , intervention , intervention , intervention , intervention , intervention , intervention , -0.405106620579445, -0.484388251375698, 0.730811002713415 , 0.873393892470717 , -0.630257895747223, 0.499906360432791 , 0.84976268261604 , 0.132421896925136 , -0.664124362287198, 0.823394304813635 , 1.20313091276925 , 0.290249894973884 , -0.861562903863225, -0.284692390409975, -2.06259085060869 , 1.36418767425798 , 0.0521160868678408, 2.08849222263558 , -0.661142020565642, -1.17622067379142 , 1.1368576799359 , 1.43256583842306 , 0.753882218511642 , 3.03046884221048 , 1.93646787345934 , -0.582491885211404, 0.723754405312274 , 0.665939011354902 , -0.350237115232034, -0.510742630227116, -0.584182728489442, 1.38119353784799 , 1.88734237839476 , -0.84922263178406 , 0.305883974981292 , 1.65614680935476 , -0.37586507122916 , -1.02510124193488 , -0.521987940371017, -0.197604896429974 | 0.2295831 |
| 56 | 20 | 0.5 | 0.1 | 0.5 | control , control , control , control , control , control , control , control , control , control , control , control , control , control , control , control , control , control , control , control , intervention , intervention , intervention , intervention , intervention , intervention , intervention , intervention , intervention , intervention , intervention , intervention , intervention , intervention , intervention , intervention , intervention , intervention , intervention , intervention , 0.515266716408454 , 0.340716824935778 , 1.19855651700678 , -0.268106998558029 , 0.287021755785999 , 0.134206544467234 , 1.14397065506279 , 0.441545507647427 , -0.730335034525022 , 0.552562054275502 , -0.0833026073199922, 0.301963416152926 , 0.0150987610441794 , -0.119159547143348 , -0.277818852224471 , 0.291821413170024 , 0.702494031066475 , 0.688133303134536 , 0.485875228869745 , -0.226458677218703 , 0.868274579621112 , -0.146324780555637 , 0.890848212294535 , 0.28712664777488 , 0.652190689574959 , 0.292131200609757 , 0.799220865212996 , 0.593815826846613 , 1.14889944595313 , 1.05181041568363 , 0.276859299400468 , -0.557605766941125 , 1.11845384697247 , 0.484712593963406 , 0.160865100661111 , 0.818449684617796 , 0.695171569597855 , 0.872934396574043 , 1.34993618971302 , 0.369204646988602 | 0.0329130 |
| 56 | 20 | 0.5 | 0.1 | 1.0 | control , control , control , control , control , control , control , control , control , control , control , control , control , control , control , control , control , control , control , control , intervention , intervention , intervention , intervention , intervention , intervention , intervention , intervention , intervention , intervention , intervention , intervention , intervention , intervention , intervention , intervention , intervention , intervention , intervention , intervention , -1.31789408664869 , 0.316011430306731 , -0.800450229168316 , -0.0509470143257614, 0.848954286120907 , -1.32438986911748 , 1.17855588981862 , -0.0535558848252731, 0.927359173830192 , 1.84089185200578 , -0.421448494384661 , -1.45625797633208 , 0.461005083407489 , 1.05460212623071 , 0.345690008467207 , -1.00104347438565 , -0.253339956861639 , -0.0323456260252508, -0.247372370813573 , 1.17294799737752 , 0.912117090784871 , 1.51386044524987 , 3.03162843963279 , -0.25221963644264 , 0.598387542470711 , -0.744766695601342 , 0.271523968961395 , -0.876538933970146 , 0.887765024844976 , -0.543854560303009 , 0.375438059840585 , -0.409151825832073 , 1.44594499299173 , 2.28361028526982 , 0.697046561911162 , 1.2380614624662 , 1.56742679392684 , 1.63601407940733 , -1.44696900084613 , 0.610377756681345 | 0.0853734 |
| 56 | 50 | 0.0 | 0.0 | 0.5 | control , control , control , control , control , control , control , control , control , control , control , control , control , control , control , control , control , control , control , control , control , control , control , control , control , control , control , control , control , control , control , control , control , control , control , control , control , control , control , control , control , control , control , control , control , control , control , control , control , control , intervention , intervention , intervention , intervention , intervention , intervention , intervention , intervention , intervention , intervention , intervention , intervention , intervention , intervention , intervention , intervention , intervention , intervention , intervention , intervention , intervention , intervention , intervention , intervention , intervention , intervention , intervention , intervention , intervention , intervention , intervention , intervention , intervention , intervention , intervention , intervention , intervention , intervention , intervention , intervention , intervention , intervention , intervention , intervention , intervention , intervention , intervention , intervention , intervention , intervention , 0.243689761675895 , -0.576760641180647 , -0.238615862775113 , 1.06997795961803 , 0.043863031652143 , 0.397369767831714 , -0.319468475934935 , 0.212344317103278 , 0.288315556663381 , -0.313906627329844 , -0.284288990099611 , 0.600397232786193 , -0.225667516687022 , 0.0614096309036403 , -0.129861466568771 , -0.0455055109510471 , 0.119209466768249 , 0.126223736913816 , 0.324958703595502 , 1.18189021491976 , -0.68513700789659 , -0.303447050093468 , 0.219883523821506 , 0.604853985648988 , -0.584967321351704 , -0.506490301979182 , -0.0637179462118035 , 0.384334860131594 , 0.72158309159339 , -1.29864801699889 , -0.201496208450181 , -0.144815911427243 , 0.693779435871633 , 0.0236588072415044 , -0.192602418191877 , -0.596586703460993 , 0.123551071353095 , 0.549960473563246 , 0.458842877017022 , 0.479262364679595 , -0.593597776050284 , -0.61889521481056 , -0.455938205071863 , 0.0278327453740036 , -0.2967640087706 , -0.689703709028406 , -0.237262387635935 , -0.707800618950237 , -0.436107696768505 , -0.464740769686813 , -0.110321834687894 , 0.580226273592353 , -1.20717267601511 , 1.3686401299323 , 0.078616858679544 , -0.296109643360188 , -0.772132576108622 , 1.64273953698208 , 0.267509297812765 , 0.58642390449285 , -0.292248020235502 , -0.00714655101964131, 0.134313428374212 , -0.566397158137846 , -0.402809012908336 , -0.364088868831442 , 0.872931385012123 , 0.0245049638827677 , 0.0451680161995652 , -0.740127803529404 , 0.319160688447591 , -0.972486921367764 , 0.638135104855772 , -0.879427210020224 , 1.19303732645084 , 0.218628309394377 , -0.321747830031911 , 0.103614202454741 , -0.380303485208294 , -0.522710411695676 , -0.39567777784942 , 0.321480236277635 , -0.502940121883716 , -0.351380985933372 , -0.445957041612395 , 0.0921741943662354 , -0.843064924618817 , -0.944415827449425 , -0.302049064927688 , 0.455789238298415 , 0.556799170661163 , 0.112035587722431 , -0.432532978326124 , 0.0688737154037272 , -0.79134988288931 , 0.102339596147033 , -0.413672017820472 , 0.949911986970417 , 0.535885805340919 , 0.224340786134648 | 0.9307983 |
| 56 | 50 | 0.0 | 0.0 | 1.0 | control , control , control , control , control , control , control , control , control , control , control , control , control , control , control , control , control , control , control , control , control , control , control , control , control , control , control , control , control , control , control , control , control , control , control , control , control , control , control , control , control , control , control , control , control , control , control , control , control , control , intervention , intervention , intervention , intervention , intervention , intervention , intervention , intervention , intervention , intervention , intervention , intervention , intervention , intervention , intervention , intervention , intervention , intervention , intervention , intervention , intervention , intervention , intervention , intervention , intervention , intervention , intervention , intervention , intervention , intervention , intervention , intervention , intervention , intervention , intervention , intervention , intervention , intervention , intervention , intervention , intervention , intervention , intervention , intervention , intervention , intervention , intervention , intervention , intervention , intervention , -1.99618302185712 , -0.205719550831343 , -0.193012245569581 , 0.241182383907359 , 0.107315246275718 , 0.201563546161417 , -0.683422674298067 , -0.834517593181452 , -0.605827255186862 , -1.92450658976786 , -0.0157902215898266, 0.788503637660369 , 0.152625772122164 , 0.513167177028739 , 0.429425158591068 , 0.218667201519899 , 0.493422572698715 , -0.651176344687506 , 1.38509062434095 , 0.0843393764536619 , -0.492744690596996 , 0.674487924883634 , -0.179069052752543 , -0.660402138111026 , 0.0970643730582045 , -2.05985304262016 , 1.21226081839845 , 1.1523738903194 , -0.412864083755643 , -1.25792381305315 , 1.01105527080371 , -0.395258192086742 , 1.44932361225818 , 0.397715226398335 , 0.528827194060913 , -0.486938422600022 , 1.27785121915442 , -0.0699618850262596, -0.712818708161208 , -0.455041909275217 , -0.643792560802381 , 0.17095000370265 , -0.132115182016002 , 0.104604814579311 , -1.6092551925505 , 1.0939527113882 , 0.983902914141376 , -0.357340337549434 , 0.735864189708637 , 0.570662094319752 , -0.0711446367554721, -0.597192280167027 , 0.652727490698462 , 1.56162888749754 , 1.39305354818081 , -1.30266554105968 , 2.24609274923623 , -0.997071557653678 , -0.0254193905809542, -0.322230153599837 , -0.831608122818643 , -1.315265422934 , -0.75406881323675 , -0.783047597217719 , 1.32637621713465 , -0.059976536374718 , -0.97006153864401 , 0.32533018121992 , -0.122562492647446 , 1.33818160238701 , -0.393432087358151 , -0.665201665290977 , -0.447137877437051 , 1.3297992273576 , 0.348370195056975 , 0.65932739877834 , -0.308609648246593 , 1.54198844730855 , 0.330992005690766 , 1.62402708200156 , -1.40731301008337 , -0.935618982738952 , 0.65428210158395 , -0.790033284192166 , -0.280291942796115 , -0.185221152156836 , 0.497872107565095 , -0.494405508028805 , -0.446438174648296 , 0.511516913190223 , -0.400928442758288 , -1.09239608244561 , 0.936331928755242 , -0.222915432365567 , 0.750594580600262 , 0.946904984547518 , -0.545400409307744 , -0.644159918149941 , -0.919425358512975 , -1.75600765168781 | 0.9864403 |
| 56 | 50 | 0.0 | 0.1 | 0.5 | control , control , control , control , control , control , control , control , control , control , control , control , control , control , control , control , control , control , control , control , control , control , control , control , control , control , control , control , control , control , control , control , control , control , control , control , control , control , control , control , control , control , control , control , control , control , control , control , control , control , intervention , intervention , intervention , intervention , intervention , intervention , intervention , intervention , intervention , intervention , intervention , intervention , intervention , intervention , intervention , intervention , intervention , intervention , intervention , intervention , intervention , intervention , intervention , intervention , intervention , intervention , intervention , intervention , intervention , intervention , intervention , intervention , intervention , intervention , intervention , intervention , intervention , intervention , intervention , intervention , intervention , intervention , intervention , intervention , intervention , intervention , intervention , intervention , intervention , intervention , 0.46453213043838 , 0.199099637722848 , 0.43144353159566 , -0.0166284327022665 , 0.114078496878573 , 0.870605535345023 , 0.110060283540708 , 0.648767556250603 , -0.289189198099636 , 0.543468157256845 , 0.0908110480893729 , -0.898181265141823 , 0.834838358654035 , -0.00822132860674075, 0.666463366180186 , -0.201443625850014 , 0.429336997353607 , -0.111487151025964 , 0.0438958762952566 , 0.587275427217515 , -0.884316676783979 , 0.831713045808803 , 0.640202890666232 , 0.224053899135122 , -0.269779085591262 , 0.1712977220085 , -0.292892862599129 , -0.0886978465676126 , -0.42592104765184 , -0.267841859661763 , -0.327158498706548 , 0.364543272293489 , 0.777002695780489 , -0.473199927618557 , -0.446856576544908 , 0.250399561778379 , 0.610629702154726 , -0.265606950751462 , -0.638948201465517 , -0.31636336750926 , -0.391710038682236 , -1.43158760611558 , 0.500559501018977 , 0.408288618379565 , 0.614087122880032 , -0.154991895347428 , 1.30814349385963 , 0.155290880143734 , -0.138826752622225 , -0.199379704498814 , 0.532050905053178 , -0.349608858712285 , -0.663078482289731 , 0.556554407463695 , -0.0299868166178304 , -0.984950655083033 , -0.33624729698227 , -0.045987145469349 , -0.673778583442724 , -0.366829344729617 , -0.00705664324260167, 0.000166921499767999, 0.927240126886518 , -0.719775089622962 , -0.0293840780260058 , 0.462056045069811 , -0.15376618681631 , 0.313274109435435 , 0.209714662703358 , 0.93260848651488 , 1.31476837841294 , 0.197319200986839 , -1.02540035848095 , 0.0147119981717332 , 0.321960305489208 , 0.194109154200624 , -0.362862368397487 , 0.00701825092314022 , -0.986985671523023 , -0.166953184769224 , -0.174128963210192 , -0.737584201558942 , -0.132141939055238 , -0.587962983649507 , -0.0071920270930994 , -0.0781246849886109 , 0.712715538877467 , -0.476887058741341 , 0.847324671212719 , 0.103098156271401 , 0.458749955906025 , 0.270532704568944 , -0.314540659668134 , 0.684689048725568 , 0.284757225865889 , -0.55708144326763 , -0.26599485478946 , 0.257629792986102 , 0.212685899016922 , 0.813647695409026 | 0.4586133 |
| 56 | 50 | 0.0 | 0.1 | 1.0 | control , control , control , control , control , control , control , control , control , control , control , control , control , control , control , control , control , control , control , control , control , control , control , control , control , control , control , control , control , control , control , control , control , control , control , control , control , control , control , control , control , control , control , control , control , control , control , control , control , control , intervention , intervention , intervention , intervention , intervention , intervention , intervention , intervention , intervention , intervention , intervention , intervention , intervention , intervention , intervention , intervention , intervention , intervention , intervention , intervention , intervention , intervention , intervention , intervention , intervention , intervention , intervention , intervention , intervention , intervention , intervention , intervention , intervention , intervention , intervention , intervention , intervention , intervention , intervention , intervention , intervention , intervention , intervention , intervention , intervention , intervention , intervention , intervention , intervention , intervention , 0.242962287845164 , -0.811126729689663 , 0.25510406336491 , 1.0719687716941 , -0.109693382837236 , 0.224844984421566 , 1.01421313942854 , 0.679984994721335 , 0.492567260371403 , 1.08630941990169 , 0.0636122371516473 , -0.345516916946503 , -0.553046553325642 , -0.88224307907904 , -1.4369512974725 , 1.14055087902663 , 0.284003498105779 , -0.327154865362384 , -1.20858848556998 , -0.972351035320928 , -0.0645252086117683 , 1.28857512129139 , 1.27525310689162 , 0.608939750656854 , 1.77456088875715 , 1.11125631319123 , -0.160592199332721 , 1.1552855973214 , 0.239769383410413 , 0.881855572027366 , 0.596939742146343 , 0.219357876097696 , 0.245240986309798 , -0.0233966708732616 , 0.740285443879308 , 0.903085024624369 , 1.09443556916095 , 0.0988676459322703 , 0.767518508893026 , -0.0626649440377538 , -1.64915207791061 , 0.270039633471318 , 0.198544802269057 , 0.306794697731874 , 1.25277810803119 , -1.64289019242766 , 0.141582444542064 , 0.766888070844179 , 0.195736666359259 , 0.0310877793449812 , -0.600971809566069 , 0.617188860052433 , 0.185614579273029 , 0.167531828293332 , -0.303378904144015 , 0.946590139310989 , -0.813475729880729 , -1.55667862313017 , 0.965907157631703 , -0.706351448111811 , -1.66893076325577 , 0.875134161056266 , 0.806738663775387 , 0.360871051307972 , -0.323842757911183 , -0.583396847689618 , 2.56245719325636 , -0.56584956237089 , -1.26590566575489 , -1.14199087924017 , 3.191060731768 , -1.53050345204747 , -0.424721283092189 , 0.397704307449127 , -0.0955315876207944 , -2.18568132942103 , 0.205248772947061 , 0.709972851091204 , -1.16699603834804 , 0.172766609332608 , 0.617009324940172 , 0.622413150464343 , -0.918309482365231 , -1.13978158882848 , -0.62165925955627 , -0.751001063151636 , -0.342684601033937 , 0.841959224979288 , 0.0709300637285652 , -1.66851090247359 , -0.149813505923971 , -1.04520035846861 , 2.1269465788397 , -0.731496173627483 , 0.261105584883959 , -0.20538986468966 , -0.00628166492071486, -1.07993417024235 , 1.0061857786443 , 1.05117007844491 | 0.0704678 |
| 56 | 50 | 0.5 | 0.0 | 0.5 | control , control , control , control , control , control , control , control , control , control , control , control , control , control , control , control , control , control , control , control , control , control , control , control , control , control , control , control , control , control , control , control , control , control , control , control , control , control , control , control , control , control , control , control , control , control , control , control , control , control , intervention , intervention , intervention , intervention , intervention , intervention , intervention , intervention , intervention , intervention , intervention , intervention , intervention , intervention , intervention , intervention , intervention , intervention , intervention , intervention , intervention , intervention , intervention , intervention , intervention , intervention , intervention , intervention , intervention , intervention , intervention , intervention , intervention , intervention , intervention , intervention , intervention , intervention , intervention , intervention , intervention , intervention , intervention , intervention , intervention , intervention , intervention , intervention , intervention , intervention , 0.211686298004036 , 0.495531690853527 , -0.352701987313372 , 0.154152171410324 , 0.50290555959136 , -0.675698592345842 , -0.640275839633281 , 0.284373990799158 , -0.377696638549993 , -1.02521393154314 , 0.588695857916339 , -0.0106490988836632 , 0.144809656877688 , 0.0467441890155824 , 0.783765766386116 , -0.732642888330205 , -1.21303013687146 , 0.147635585382583 , 0.520508370276972 , -0.632127950740779 , -0.193533340901666 , 0.4209391594581 , -0.0261027889458718 , -0.193004222057405 , 0.633188047037039 , -0.606236529132063 , -0.198732204762505 , -0.441348888510622 , 0.483990560719481 , -0.484180864446516 , -0.377209126362119 , 0.331683667849321 , 0.372568777753995 , -0.172786620543204 , 0.278346261301362 , -0.579054365842688 , 0.388061610246049 , -0.038276704952753 , -0.47166569402084 , -0.188232252550896 , -0.446994835744567 , -0.926998629550978 , 0.87255820526684 , -0.142562908952667 , -0.457392221365965 , -0.865248530884986 , -0.883183812148514 , -0.594172726419419 , -0.812446420494491 , -0.202072662222395 , 0.325726227094904 , 0.434860980284985 , 1.3270676091519 , 0.341187877501159 , 0.257482391787043 , 0.52830676278273 , -0.0678277210400079 , -0.343140442447357 , 0.884425996072125 , 0.230112873033343 , -0.00900904051894214, 0.864420755765772 , 1.11865096221087 , -0.165794821753246 , 0.254939904569228 , 0.976811540518289 , 0.760583018695084 , -0.190937002117894 , -0.479158366252965 , -0.0727461828622445 , 0.384800324765104 , 0.919058833234949 , 0.838088698939106 , 0.600197177963793 , 0.673657582478572 , 0.536342294737224 , 0.215874626154661 , 0.463167397113138 , 0.792906898298091 , 0.802277683789968 , 0.558845290828603 , 0.971324876304441 , 1.537741047113 , 0.513557366879697 , -0.0328519947742162 , 0.272914776162045 , 0.54312120869689 , 0.0389820802189912 , 0.866505272046137 , -0.769851203688409 , 0.0962387027041089 , 0.469942119199305 , 0.416506340682157 , -0.173505489148889 , 0.948206961266023 , 0.102812329708858 , -0.075389860660244 , 0.374480490698142 , 1.36252924609967 , 1.35489983159892 | 0.0000001 |
| 56 | 50 | 0.5 | 0.0 | 1.0 | control , control , control , control , control , control , control , control , control , control , control , control , control , control , control , control , control , control , control , control , control , control , control , control , control , control , control , control , control , control , control , control , control , control , control , control , control , control , control , control , control , control , control , control , control , control , control , control , control , control , intervention , intervention , intervention , intervention , intervention , intervention , intervention , intervention , intervention , intervention , intervention , intervention , intervention , intervention , intervention , intervention , intervention , intervention , intervention , intervention , intervention , intervention , intervention , intervention , intervention , intervention , intervention , intervention , intervention , intervention , intervention , intervention , intervention , intervention , intervention , intervention , intervention , intervention , intervention , intervention , intervention , intervention , intervention , intervention , intervention , intervention , intervention , intervention , intervention , intervention , -0.176355284384467 , 0.474895608960139 , 0.576217043362409 , -0.406425232011786 , 0.534041003245789 , 1.98136319826847 , -2.04640748440707 , -0.00428574828034353, -0.176238126201277 , 0.238861759006214 , -0.109694948896167 , 0.851807532624628 , -0.17287783846856 , -2.86255598313894 , 0.0218942956907566 , 0.821439500761134 , 0.790381690684447 , -0.60425582191669 , -1.76006100950034 , 0.184241143016584 , 0.069193628892796 , 0.175290286380453 , 0.415665654330942 , -0.891279888817198 , 0.742464814759096 , 0.740075226545526 , 0.739550675322152 , 1.11739881588064 , 1.34780532570001 , -0.220699109860976 , -0.536952163073577 , 1.09313984144322 , -1.48958377152297 , -0.54230562648323 , -0.752366100129855 , 1.16959954685551 , -0.361656851959653 , -0.560689413392601 , -1.39794590239936 , 1.35154605473883 , -0.191187909510545 , 1.5557839881026 , 0.880513315443208 , -1.01147613257517 , -1.22413090079349 , 0.879378410919103 , -2.53025920365987 , -1.46094761684945 , -1.12315684573161 , -0.561677003217018 , 0.82118001418919 , -0.59154531784599 , -0.128670216362136 , 0.287486671861283 , 1.15807989264641 , 0.645462188274677 , 1.01235460855916 , 0.898696898019404 , 0.625045924383052 , 0.0951970720091578 , 1.56045070498528 , 1.86133407493674 , -0.223418233362804 , -0.417477844022187 , 0.794575271221044 , 0.11948888854635 , -0.284405010047236 , -0.996683475087652 , 1.20572769541818 , 0.94618286531569 , 1.02756675563131 , 1.24850603178636 , 3.52596914113664 , 1.54998655751492 , -0.42024362248848 , 0.757232593434917 , 0.865215084995206 , 0.71426365369626 , 1.20367012253846 , 0.165637186281712 , 0.567382563499739 , 0.646832757256962 , -0.112034982133235 , 2.03804490644922 , 1.96773759618931 , 1.72499971500309 , 1.30137107374927 , -0.811561233236083 , 1.24310791280178 , 0.421349676630882 , 1.14685137965778 , 1.11214646812664 , 0.814860224535 , 0.839269293755433 , 0.0217422211687912 , 0.93783066827585 , 1.84520090330597 , 1.67973158993182 , 0.647021195450596 , -0.284689853133255 | 0.0000278 |
| 56 | 50 | 0.5 | 0.1 | 0.5 | control , control , control , control , control , control , control , control , control , control , control , control , control , control , control , control , control , control , control , control , control , control , control , control , control , control , control , control , control , control , control , control , control , control , control , control , control , control , control , control , control , control , control , control , control , control , control , control , control , control , intervention , intervention , intervention , intervention , intervention , intervention , intervention , intervention , intervention , intervention , intervention , intervention , intervention , intervention , intervention , intervention , intervention , intervention , intervention , intervention , intervention , intervention , intervention , intervention , intervention , intervention , intervention , intervention , intervention , intervention , intervention , intervention , intervention , intervention , intervention , intervention , intervention , intervention , intervention , intervention , intervention , intervention , intervention , intervention , intervention , intervention , intervention , intervention , intervention , intervention , -0.275328979129607 , 0.813857381684204 , 0.214539389148093 , 0.053580968772393 , 0.294216940156354 , 0.152093680979826 , -0.69749922579523 , 0.478685146051852 , 0.767162846975449 , 0.07471542203856 , 0.0345170903860414 , 0.0215234967137962 , 0.663839270933949 , -0.115562110380044 , -0.454849349967674 , -0.757964381803278 , 0.731016588276213 , 0.620514874326463 , 0.442805366060844 , 0.205595439312694 , -0.370526388538079 , 0.740905769762592 , 0.36151772957276 , -0.0726426589769516, -0.360985850616534 , -0.610317879702253 , 0.315249325136175 , 0.604003158279804 , -0.593033247052159 , 0.0122917059503529 , -0.109406081095665 , 0.515070388078672 , 0.991894945484437 , 0.329647552501276 , 1.09764729357972 , -0.260801126762071 , -0.596862638758998 , -0.202008082142271 , 0.466884570810498 , -0.0250610652481842, 0.498387840285817 , -0.251205133775969 , 0.216595694148945 , -0.30766290652884 , 0.214236592904939 , 0.0342004950343416 , -0.0156258637123364, 0.844317499309931 , 0.189081867888738 , -0.213569157051951 , 0.854069341433841 , 0.706962975334747 , -0.198302047738684 , 0.451041150975413 , 0.439867037091532 , 0.251914754529541 , 0.164551071472044 , 1.44694696136687 , -0.294084424443243 , 1.0881572194519 , 0.376765506513937 , -0.0746707928491612, 0.970939396942762 , 0.71391067403276 , 1.28968831352056 , 0.698856393769444 , 0.690592950605564 , -0.0376943761323794, 0.429921881568905 , 1.37046776485821 , 0.297768204142317 , -0.163972485421214 , 0.847928875029872 , 0.31312644577596 , 0.700530801423809 , 0.761886903272441 , 1.64664570353034 , 0.919470463607633 , 0.784485661099192 , 0.337704600471608 , 0.281815092265527 , 0.501292950612201 , 0.59400524678617 , 0.129723609688661 , 0.478779108959031 , 0.644435994423322 , 0.499157467929404 , 0.957244234962621 , 0.782537149901344 , 0.742051490054945 , 0.371448617392419 , 0.659842908463301 , 1.01014833846814 , 0.757557448267217 , 0.899040129498548 , 0.268605861274202 , 0.443744996495531 , -0.372565440150367 , -0.249362472336269 , 0.348044499556223 | 0.0000132 |
| 56 | 50 | 0.5 | 0.1 | 1.0 | control , control , control , control , control , control , control , control , control , control , control , control , control , control , control , control , control , control , control , control , control , control , control , control , control , control , control , control , control , control , control , control , control , control , control , control , control , control , control , control , control , control , control , control , control , control , control , control , control , control , intervention , intervention , intervention , intervention , intervention , intervention , intervention , intervention , intervention , intervention , intervention , intervention , intervention , intervention , intervention , intervention , intervention , intervention , intervention , intervention , intervention , intervention , intervention , intervention , intervention , intervention , intervention , intervention , intervention , intervention , intervention , intervention , intervention , intervention , intervention , intervention , intervention , intervention , intervention , intervention , intervention , intervention , intervention , intervention , intervention , intervention , intervention , intervention , intervention , intervention , 1.68250554752643 , 0.561403416374771 , -2.65573644308233 , 0.175382453870246 , 0.121915900873432 , 0.990244275868172 , -0.825947464399292 , -1.0370632099659 , 1.60791120126094 , -0.126642607112679 , 1.37620402730008 , 0.309870878575271 , 1.02244999163345 , -0.183166499216077 , 0.220553863063037 , 1.53542203385661 , 1.39576526390464 , -1.61865016294473 , 0.362204551125496 , 0.304977754079478 , 0.0340397151580018 , 0.834458018976069 , 1.14955208923444 , 1.00369205521873 , -0.155028060374237 , 0.743215768340683 , 0.606102790317498 , -0.995043635789991 , 0.709757888523228 , 1.00414726019828 , -0.621803470855851 , -0.732054607116481 , 0.554661857778846 , 1.85135008126885 , 0.511866192624226 , 0.558236737615325 , 2.05927546195638 , 1.40360930986865 , 0.708988643532034 , 0.2259895089236 , -1.69343543976933 , 0.396276388789171 , 0.195543364186194 , -0.293911759241194 , 0.866890524355371 , 2.31852181971465 , 0.668637203408929 , -0.5164535328622 , -0.423801265921689 , -0.469339899463593 , 0.0944580073998552 , 1.36474624754036 , 0.439273001914234 , 0.86689289400972 , 2.69108503767879 , 2.01052926767706 , -0.40055109166004 , 0.155400116852814 , -0.752373210403539 , -0.331641917646492 , -0.14584878932223 , 1.81828105408335 , 1.23486371484438 , -0.441512464365445 , 0.0266419379104536 , 0.82326592816536 , -0.60886806468945 , 1.10205588894084 , -0.233178304145892 , 1.60741209033577 , 0.75301133851647 , 1.43473740088627 , 1.42940273617895 , 0.0509888515051585 , -0.223299550934788 , 1.39853719420687 , 2.37666576178442 , 0.329003584508415 , -0.0497738014123185, -0.12231567683958 , 0.587563621558381 , 0.931174811236987 , 0.664205788833516 , -0.480119786213059 , -0.625846043829617 , -1.44847836445555 , 1.71666662726056 , 0.450828156391793 , 1.33035641973559 , 1.1486847187759 , 2.21506991659051 , 2.69008592695344 , 0.0200937573959425 , 0.927143204042127 , 1.42957417659468 , 0.157485225346526 , 0.845595841965118 , 2.12346055209998 , 0.148507523491676 , -0.504651585771936 | 0.1236866 |
| 57 | 20 | 0.0 | 0.0 | 0.5 | control , control , control , control , control , control , control , control , control , control , control , control , control , control , control , control , control , control , control , control , intervention , intervention , intervention , intervention , intervention , intervention , intervention , intervention , intervention , intervention , intervention , intervention , intervention , intervention , intervention , intervention , intervention , intervention , intervention , intervention , -0.0278435210018029 , -0.287672724373249 , -0.079152459523468 , 0.046061615910318 , -0.343580989578806 , 0.201558112672723 , -0.132059900683201 , -0.235003855140434 , -0.133275603995234 , -0.586812199696621 , -0.35714173805267 , 0.289886684669367 , -1.33561357591319 , 0.000830756376315871, 0.209744330453008 , 0.584391456698954 , 0.36148330838706 , -0.0215282419013864 , -0.501056507549486 , -0.316113131902701 , -0.336602511747303 , 0.0434995444252163 , -0.362488891995444 , 0.121246282016278 , 0.361713766337702 , -0.601554022365716 , 0.942277769887366 , -0.0773969426076334 , -0.269339342369567 , -0.0903158737654031 , -0.171042666602 , -0.644984185590288 , -0.809759597767992 , -0.409701277571319 , 0.444636799985448 , 0.044186672562126 , 0.263082814765268 , -0.21964701997018 , -0.108032104878651 , -0.464037022390219 | 0.9033948 |
| 57 | 20 | 0.0 | 0.0 | 1.0 | control , control , control , control , control , control , control , control , control , control , control , control , control , control , control , control , control , control , control , control , intervention , intervention , intervention , intervention , intervention , intervention , intervention , intervention , intervention , intervention , intervention , intervention , intervention , intervention , intervention , intervention , intervention , intervention , intervention , intervention , 1.71337015377913 , -1.42962350972956 , -0.811840140930196 , -0.529446265684561 , -1.61887546710955 , 1.5514257559657 , 0.138217397904925 , 0.0318228124812648 , 0.80935526806895 , -0.740894852049893 , 1.07317204759221 , -0.143207120468582 , -0.351766915630266 , -0.845403438590592 , -0.0291544736369934, 0.600630425064389 , -0.1509538138985 , 0.900664342668936 , -0.59939825597106 , 1.01422483753048 , 1.5091094400866 , 0.240520373591969 , -0.163294710125096 , -1.73261129376458 , 0.527471002335943 , -1.60525689655908 , 1.1126652410868 , 0.502102168999277 , -1.19122476441091 , -1.42092532805237 , -1.56627281992681 , 0.174995003069398 , -1.01436211536513 , -0.618448901757478 , -2.46369196505026 , -1.30322718435349 , 1.36784977422369 , -0.246733624980718 , -0.696685252291699 , -1.69333322632178 | 0.1087317 |
| 57 | 20 | 0.0 | 0.1 | 0.5 | control , control , control , control , control , control , control , control , control , control , control , control , control , control , control , control , control , control , control , control , intervention , intervention , intervention , intervention , intervention , intervention , intervention , intervention , intervention , intervention , intervention , intervention , intervention , intervention , intervention , intervention , intervention , intervention , intervention , intervention , 0.519706841019928 , -0.000165623459788752, -0.546992668321669 , 0.68574631824589 , 0.322588973087693 , -0.585173480455474 , 0.417834124312656 , -0.098551854154133 , 0.764707702875678 , -0.331091803679373 , 0.312840754738829 , 0.134152142869386 , 0.229842083267777 , -0.390827686199181 , -0.203934968431004 , -0.43033840728457 , 0.858297149167861 , 0.455065433626813 , 0.751039594408561 , 0.571654855394418 , -0.418299910778706 , -0.0759864394476565 , 0.503361052317767 , 0.161973133657757 , 0.391485965553765 , 0.0220763975548301 , 0.669510951763179 , -0.128881472348296 , 0.388568990402606 , -0.0642039761944673 , -0.345497165775469 , -0.546471328076383 , -0.301948610500539 , -0.34370302667175 , 0.433296180635352 , 0.32104797456207 , -0.172099084120441 , 0.445201387700718 , 0.369840973737529 , 0.430569962669269 | 0.5270021 |
| 57 | 20 | 0.0 | 0.1 | 1.0 | control , control , control , control , control , control , control , control , control , control , control , control , control , control , control , control , control , control , control , control , intervention , intervention , intervention , intervention , intervention , intervention , intervention , intervention , intervention , intervention , intervention , intervention , intervention , intervention , intervention , intervention , intervention , intervention , intervention , intervention , 0.106168966392398 , -1.00734629076324 , -0.214545563018977 , -0.0640780810611636, 0.793855862364477 , -0.0533774936710707, 0.176264647489761 , 0.341805566649283 , -0.690092983931466 , 0.966387045880013 , 0.0641956441666344 , 0.397977808642307 , -1.1528519650487 , 0.215699146203713 , 0.0598883125348316 , 1.01980756689253 , -0.775590446233644 , -0.985504568442858 , -0.97235868191704 , -0.741988642294804 , -1.49968710423872 , 0.141303572897884 , 1.6766645243502 , -0.851720448779328 , 0.365015387926425 , -0.854954123916674 , -1.39174981510581 , -0.89662610974336 , 0.493480300370977 , -0.504022437269772 , -1.23086195130396 , 0.441497974707412 , 0.924007922214552 , 0.269948182232017 , -0.9531845241523 , -0.566539899934348 , 0.60431519032751 , 1.09536127965691 , 1.09449149737201 , -1.4081949381473 | 0.9199674 |
| 57 | 20 | 0.5 | 0.0 | 0.5 | control , control , control , control , control , control , control , control , control , control , control , control , control , control , control , control , control , control , control , control , intervention , intervention , intervention , intervention , intervention , intervention , intervention , intervention , intervention , intervention , intervention , intervention , intervention , intervention , intervention , intervention , intervention , intervention , intervention , intervention , -0.964988895776292 , 0.466918758036511 , 1.17049398336194 , -0.414228128679732 , 0.0306819081922962 , 0.213423131138778 , -0.0246765391310509, -0.562434152149726 , 0.598341369464352 , 0.595099576440554 , -0.781560564553821 , -0.287509960791569 , -0.747882503545747 , 0.190477974066441 , 1.31486340332255 , 0.12215126322651 , 0.482460823395033 , 0.486121724751423 , 0.430660810834234 , -0.32699339007375 , 1.15476024685496 , 0.697855539462834 , 1.03016740706323 , 0.525288965388472 , 0.30135374540454 , 0.887276170316327 , 1.51758442797124 , 0.591587245808561 , 1.41107218322437 , 1.27494078933831 , 0.576587124279475 , 1.31042111172498 , 0.647091338708569 , 1.07359523381765 , 0.699335511220985 , -0.21318681966051 , -0.0142094015374844, 0.853332963190488 , 0.184550266659722 , 0.391022115941478 | 0.0007035 |
| 57 | 20 | 0.5 | 0.0 | 1.0 | control , control , control , control , control , control , control , control , control , control , control , control , control , control , control , control , control , control , control , control , intervention , intervention , intervention , intervention , intervention , intervention , intervention , intervention , intervention , intervention , intervention , intervention , intervention , intervention , intervention , intervention , intervention , intervention , intervention , intervention , 0.209774715645086 , 0.102434565991771 , 0.507420229931369 , -1.09992241012221 , 1.00542484127834 , 2.31110893529138 , 0.258590338586612 , -2.68070597224073 , 0.200451183357437 , -0.256356326679036 , -0.153541194443344 , 1.24332891823265 , 0.238854467105462 , 1.0321127316218 , 0.0374269873612654 , 0.571273460737966 , 0.338139972949483 , -0.317358555657887 , -0.472911010950015 , -0.521571448117338 , 0.690292730100583 , 2.17947480526705 , 0.00116638346859871, 0.193512115335213 , 1.88181816770711 , 1.22596630673184 , 0.636051056025037 , 0.306032700820665 , 1.03383211890282 , 2.53564130846281 , 0.910935878549647 , 0.948269163727907 , 0.918057821791112 , 1.07070011610282 , 0.954252274542891 , 1.41212167926443 , 2.03022322197945 , 0.692350742604471 , -0.383628979710099 , 0.00328411921619526 | 0.0050153 |
| 57 | 20 | 0.5 | 0.1 | 0.5 | control , control , control , control , control , control , control , control , control , control , control , control , control , control , control , control , control , control , control , control , intervention , intervention , intervention , intervention , intervention , intervention , intervention , intervention , intervention , intervention , intervention , intervention , intervention , intervention , intervention , intervention , intervention , intervention , intervention , intervention , -0.0519662934321378, 0.0809962550206254 , -0.296057945798661 , -0.236148438193978 , 0.160502656357525 , -0.112671311168305 , 0.480747010234785 , 0.327000310108466 , -0.587543353544209 , -0.181034151500725 , 0.61586374144068 , 0.0332759223596055 , -0.0794707627816295, 0.348571133555993 , 0.542809461094969 , 0.470990027054719 , 0.443082673238999 , -0.419691568690497 , 0.889810626991064 , -0.408866646904858 , 0.875729171490036 , 0.839952014479367 , 1.38597515527469 , 0.492448712679443 , 0.379012205512928 , -0.0896436649701264, 0.255259672542411 , 0.202296859636926 , 0.468521752199533 , 0.0134429114848573 , 0.502462010547923 , 1.07594130511176 , 0.999409806785415 , 0.464836903737513 , 0.715706641135349 , 1.50854680190717 , 0.227968193506274 , 1.07065759409495 , -0.938550155486753 , 0.0786947585469844 | 0.0091929 |
| 57 | 20 | 0.5 | 0.1 | 1.0 | control , control , control , control , control , control , control , control , control , control , control , control , control , control , control , control , control , control , control , control , intervention , intervention , intervention , intervention , intervention , intervention , intervention , intervention , intervention , intervention , intervention , intervention , intervention , intervention , intervention , intervention , intervention , intervention , intervention , intervention , 0.782436876714421 , 0.324228062471343 , 0.879267603499008 , 0.603843847188596 , -0.165812815109169, 0.918721270341189 , 0.243058120873754 , 1.29271903740677 , 1.68053357989978 , -0.435104934348485, -0.441670633643932, -0.885637674897693, 0.621226890864814 , 0.015139997617546 , 0.0245032713758767, -0.690250417061599, -1.35508923330601 , 0.171529780421672 , 1.79818119497872 , 0.2818493429828 , -1.86369580432287 , 1.84009198155954 , 0.638581428459535 , 0.440813619161784 , 0.084781549985261 , 0.740318060268986 , -0.454594051997424, 0.0132065212023956, 1.08950988058687 , -0.622431845836684, -0.927451976832025, -0.56311672437292 , -0.616312732422223, -0.622120725877273, 0.933191532500792 , 1.24336044336005 , 0.62034616191098 , 1.49616685239446 , 2.73283792581655 , 1.68249467718367 | 0.7232368 |
| 57 | 50 | 0.0 | 0.0 | 0.5 | control , control , control , control , control , control , control , control , control , control , control , control , control , control , control , control , control , control , control , control , control , control , control , control , control , control , control , control , control , control , control , control , control , control , control , control , control , control , control , control , control , control , control , control , control , control , control , control , control , control , intervention , intervention , intervention , intervention , intervention , intervention , intervention , intervention , intervention , intervention , intervention , intervention , intervention , intervention , intervention , intervention , intervention , intervention , intervention , intervention , intervention , intervention , intervention , intervention , intervention , intervention , intervention , intervention , intervention , intervention , intervention , intervention , intervention , intervention , intervention , intervention , intervention , intervention , intervention , intervention , intervention , intervention , intervention , intervention , intervention , intervention , intervention , intervention , intervention , intervention , 0.514185439580693 , 0.847286003983654 , -0.234498936808489 , -0.27651009324897 , -0.53394962261597 , -0.485588107982733 , 0.166502417360386 , -0.2764486912917 , -0.418196523749811 , -0.840475817880366 , -0.102822479620825 , 0.428668606664149 , -0.527601123503618 , 0.843923476856283 , 0.140927717531822 , 0.203011588636794 , -0.0606310222455038 , 0.38933068077058 , -0.47183066878889 , -1.5208237997084 , -0.421019089605183 , -0.0630150093976536 , -0.18470789926185 , -0.15814156760937 , 0.626238241526529 , 1.07240325585726 , -0.303279171542811 , 0.83865115347117 , 0.429615343539632 , 0.194018624769605 , -0.908754043671529 , -0.492110147718195 , -0.307212619415264 , 0.664177513200415 , 0.165322697934007 , -0.508303548473386 , 0.0626952544684798 , 0.696058737186053 , 0.299342357535239 , -0.699545309096284 , 0.0577849307670041 , -0.263103653899518 , 0.0800095648554719 , -1.01217686091454 , -0.256666839014015 , 0.225743953765389 , -0.695893436609441 , 0.0804512313407721 , 1.35258273114106 , -0.952740104257607 , -0.628966763993685 , 0.487215079149881 , 0.188359221508355 , 0.424480016221698 , 0.391901152690242 , -0.0514123873589981 , 0.288552907485004 , 0.377368776427169 , -0.118778318658146 , -0.0624865546764918 , -0.263658559577615 , 0.551691522129426 , -0.389850986226963 , -0.673900738212436 , 0.155955729971589 , 0.0732354750103094 , 0.54529332396887 , 0.972756344232402 , -0.408165944493125 , 0.0963389763067464 , -0.0300848799147989 , 0.779319832068695 , 0.150165238152699 , -0.285657259660109 , 0.0177459588928677 , -1.18074739228593 , 0.474360506448813 , 0.593013614169892 , 0.0314285901248328 , 0.132305389812508 , -0.429618039969188 , -0.562500582161698 , -0.140476875735407 , 0.885160129807805 , 0.0861586395947373 , 0.0857302559660243 , 1.09304150424416 , -0.00830134327466994, -0.238458283668403 , -0.0126839452626572 , -0.249449245650336 , 0.447335399208712 , -1.00519203067137 , 0.0818018726688055 , -0.594654071964469 , 0.665399851382094 , 0.0087399072100613 , -0.207748879399407 , -0.0933341033529093 , -0.657190539424753 | 0.4142206 |
| 57 | 50 | 0.0 | 0.0 | 1.0 | control , control , control , control , control , control , control , control , control , control , control , control , control , control , control , control , control , control , control , control , control , control , control , control , control , control , control , control , control , control , control , control , control , control , control , control , control , control , control , control , control , control , control , control , control , control , control , control , control , control , intervention , intervention , intervention , intervention , intervention , intervention , intervention , intervention , intervention , intervention , intervention , intervention , intervention , intervention , intervention , intervention , intervention , intervention , intervention , intervention , intervention , intervention , intervention , intervention , intervention , intervention , intervention , intervention , intervention , intervention , intervention , intervention , intervention , intervention , intervention , intervention , intervention , intervention , intervention , intervention , intervention , intervention , intervention , intervention , intervention , intervention , intervention , intervention , intervention , intervention , -0.0546156373612578, 0.715107085937123 , 0.163011459341392 , -0.366224832618693 , 1.04439668999972 , -1.82906986570471 , -0.412545438289636 , 0.648896778664704 , -1.92908568382983 , 0.679633477489102 , -0.608953189594681 , 1.12216862088443 , 0.186736445253575 , 1.20862004913803 , 0.959235119651837 , 1.05385943439882 , -0.684871285770658 , -0.719275846821175 , 1.77436122909646 , -1.96156709332083 , 0.404866538558337 , 0.493951901342696 , -0.986956721030443 , -0.266704744177146 , 1.37218158958886 , 0.170050872950631 , 1.66110303008044 , -0.346004472188517 , -0.458927451026807 , 0.263081359353239 , 0.980108679163107 , 1.93619689641904 , -1.23052364117138 , 1.52093547974589 , -0.38165593029124 , 1.35183729956775 , -0.222441922089907 , 0.675440471508508 , 1.1902083731779 , 1.40336723890775 , 2.2616405818025 , 0.696434675591119 , 1.08400685805081 , -0.513369593302311 , -0.86937987181129 , -0.057030455155115 , 0.454395264986232 , -0.7411931493133 , 0.949971481745151 , 0.807853276006906 , -0.465717703320184 , -1.34758073346968 , 1.28086751496104 , 1.29171077797378 , -0.489750190405986 , 1.16769284553605 , 0.366581481308302 , 0.961971278378244 , -1.21492692816806 , -0.731627633714119 , 1.24993455411178 , 0.345456448626679 , -0.225218775599953 , 0.769872729677498 , 0.416576656452733 , 0.242967534353533 , 0.0451303347927455 , 1.65758069230914 , -0.020095654267404 , -0.618398790338347 , -0.910636659925167 , 0.490002411943186 , 1.24411342886944 , -1.58612225764353 , 1.10950398500799 , 0.217597913707815 , -0.71164911124738 , -0.479805883224529 , -0.349958805561911 , -1.38980395831499 , 0.134506025950898 , 0.0718780453052189 , 0.769295356932491 , -1.05220532645785 , 0.322468698626552 , -0.0539604468108459, -1.57826532869837 , 0.83794235121006 , -0.825435911308703 , 0.282009624544913 , -0.268064254894257 , 0.12764017398332 , 0.10862257332374 , -0.239124082777816 , 0.565689973232222 , -0.893217208167324 , -0.721310649293951 , -0.63227283310972 , 1.28920766125612 , 0.324790872080626 | 0.1429738 |
| 57 | 50 | 0.0 | 0.1 | 0.5 | control , control , control , control , control , control , control , control , control , control , control , control , control , control , control , control , control , control , control , control , control , control , control , control , control , control , control , control , control , control , control , control , control , control , control , control , control , control , control , control , control , control , control , control , control , control , control , control , control , control , intervention , intervention , intervention , intervention , intervention , intervention , intervention , intervention , intervention , intervention , intervention , intervention , intervention , intervention , intervention , intervention , intervention , intervention , intervention , intervention , intervention , intervention , intervention , intervention , intervention , intervention , intervention , intervention , intervention , intervention , intervention , intervention , intervention , intervention , intervention , intervention , intervention , intervention , intervention , intervention , intervention , intervention , intervention , intervention , intervention , intervention , intervention , intervention , intervention , intervention , 0.211060733866403 , -0.546979931239039 , 0.209407923701307 , -0.602413992799113 , 0.313315234206476 , 0.33401183959204 , 0.229984593802378 , 0.225155740563406 , 0.445599845494211 , 0.318746204178016 , 0.69423189279543 , 0.906096609266105 , -0.296519130452358 , -0.644075680885808 , -0.0711795690947222, -0.259628204885827 , 0.049262523013847 , -0.654464633751423 , -0.168185539266086 , -0.787948367803861 , -0.293824899285375 , 0.675858936101534 , -0.531734481347814 , 0.785862076350337 , -0.125728693849662 , 0.746518869751867 , 0.109444046194614 , -0.0878889322084927, 0.492831076013458 , 0.691680690508652 , -0.166832145997715 , 0.20715030930187 , -0.264613756871217 , 0.582040498540242 , 0.308976580156503 , 0.0221013567827993 , 0.59746819430953 , -0.143433690086029 , -0.355691528458754 , -0.0415887070844677, -0.629898363594453 , -0.154886830363848 , -0.414022836683383 , 0.250041192336081 , -0.0549312146088913, 0.404725740801394 , 0.381751565249569 , -0.150186177897921 , 0.857421628034585 , 0.731572168051821 , 0.486970757037373 , 0.685305213682405 , 0.556620443335983 , 0.176836268826906 , -0.389583921670792 , -0.126004272372245 , 0.0360593344237844 , 0.24106112985417 , 0.163525049180855 , -0.259250418291956 , -0.550518862309437 , -0.101863737836568 , 0.334766289115604 , 0.120689002079791 , 0.0278579789536611 , 0.0640785929456981 , 0.390304752119515 , 0.677661649428602 , -0.127792073162607 , -0.224597898130251 , -0.377885335657184 , 0.316588017877893 , -0.17745819928271 , 0.763275169886958 , 0.0146706520424953 , -0.387836633097783 , -0.357737958433252 , -0.704893789373336 , 0.352242814260403 , 0.0967937578235026 , -0.901635075050914 , 0.130234305022742 , -0.355480905895418 , -0.432135060594799 , -0.424679665353411 , -0.439270735304473 , -0.461942162539886 , 0.612475287116181 , -0.353102081432299 , -1.01288870548625 , -0.290874510777452 , -0.375415687455961 , -0.125886489062551 , 1.00940870885561 , -0.0513092126840479, -0.553961900941132 , -0.623703902532357 , 0.408266426255395 , 0.00944852542310884, -0.326590568896276 | 0.1121267 |
| 57 | 50 | 0.0 | 0.1 | 1.0 | control , control , control , control , control , control , control , control , control , control , control , control , control , control , control , control , control , control , control , control , control , control , control , control , control , control , control , control , control , control , control , control , control , control , control , control , control , control , control , control , control , control , control , control , control , control , control , control , control , control , intervention , intervention , intervention , intervention , intervention , intervention , intervention , intervention , intervention , intervention , intervention , intervention , intervention , intervention , intervention , intervention , intervention , intervention , intervention , intervention , intervention , intervention , intervention , intervention , intervention , intervention , intervention , intervention , intervention , intervention , intervention , intervention , intervention , intervention , intervention , intervention , intervention , intervention , intervention , intervention , intervention , intervention , intervention , intervention , intervention , intervention , intervention , intervention , intervention , intervention , -0.082149300436638 , -0.222478051757132 , 0.753025035762778 , 1.42122847723304 , 1.38538297991954 , -0.59107071535583 , -2.1345584249198 , -0.00902468868248325 , -0.1585171131563 , 0.881850011377816 , 0.0148101823876207 , -0.0428609747558422 , -1.47664683332685 , -0.811681805971167 , 0.637674472523448 , 1.33133913498544 , -1.48203589851458 , -1.69741369188986 , 2.00822048781158 , 0.546252478836559 , -0.60491354190481 , -0.438389865711692 , -0.345472682060395 , 0.0236581422222162 , -0.376213945958446 , 0.5167969848562 , 1.70915834103797 , 0.676089400759506 , 1.85803564195195 , -0.229244241567332 , 0.795218007028861 , 0.131996639715835 , -1.43235469417036 , 0.258951640938943 , 0.587922075182505 , 0.826697101338909 , -1.03680554435597 , 0.52366149768409 , -0.830282556258255 , -0.0419777245630775 , 1.25412722828298 , 0.435198588510237 , -0.027495954050682 , 0.866701144118249 , -1.72607716541099 , 0.268192725944387 , 0.40550232966765 , 0.852579682195148 , -0.524600627307204 , 2.69961906893905 , 1.43563538504562 , -0.545004165974481 , -0.204310021140882 , -2.12121721088784 , 0.47799507713014 , -1.79473135528987 , 1.07459270500916 , 0.697020274435229 , 1.59650025018713 , 1.05217521154423 , 0.0678820017368371 , -0.740889794133079 , 0.660896380351621 , 0.500696899929918 , 0.00929895788560567 , -0.99144385025868 , -1.29579349656858 , 0.146672782614529 , 0.23238950709005 , -1.45907106212499 , 0.858033138671185 , -1.05051389838566 , -0.522035744081003 , 0.87567743850352 , -0.000268391821057973, 0.361491188444599 , -1.37167763644011 , -0.897926150323132 , 0.0852494016550506 , -1.12389473723152 , 0.262200356951603 , 1.90302843730061 , 0.948912362752225 , 0.517382372665809 , 0.89673106494314 , 2.10196732057304 , -0.36398400496409 , 0.526989443934582 , -1.00916162897222 , -1.54450072337273 , -0.911161139743674 , -0.866400755937153 , -0.680610811808204 , 0.962823261576877 , -0.592008861688701 , 0.389608798112813 , -0.090988518203267 , 0.506664332839282 , -1.38129395186257 , 0.0986144478491963 | 0.3403780 |
| 57 | 50 | 0.5 | 0.0 | 0.5 | control , control , control , control , control , control , control , control , control , control , control , control , control , control , control , control , control , control , control , control , control , control , control , control , control , control , control , control , control , control , control , control , control , control , control , control , control , control , control , control , control , control , control , control , control , control , control , control , control , control , intervention , intervention , intervention , intervention , intervention , intervention , intervention , intervention , intervention , intervention , intervention , intervention , intervention , intervention , intervention , intervention , intervention , intervention , intervention , intervention , intervention , intervention , intervention , intervention , intervention , intervention , intervention , intervention , intervention , intervention , intervention , intervention , intervention , intervention , intervention , intervention , intervention , intervention , intervention , intervention , intervention , intervention , intervention , intervention , intervention , intervention , intervention , intervention , intervention , intervention , 0.753577278932934 , 0.336212643342636 , 0.729421017901461 , 0.550830774581324 , 0.40121243377225 , -0.164093962353223 , 0.108195583795732 , 0.893838170544972 , 0.249885878692901 , -0.0879651094184024 , 0.195246353044038 , -0.672742994448373 , -0.0250868310650469 , 0.359199501810683 , 0.654751648906754 , 0.479141996666864 , -0.547486118663189 , -0.00103886242056968, -0.338063500147374 , -0.079513270852817 , -0.549593056569068 , 0.175500159472349 , -0.339774957233558 , -0.317767014610885 , -0.10193570602124 , -0.287711815585276 , 0.226322639195395 , 0.263773916327414 , 0.00876902413640761 , -0.248082850223712 , -0.115340045372999 , 0.509605696847847 , 0.0955896226088466 , 0.192537970372587 , 1.01264326012146 , -0.0888997309079784 , 0.0180614342418513 , -0.116165331187682 , -0.786772432026417 , -0.213240362390535 , -0.0649827542265373 , -0.458062635475857 , -0.33617216529506 , -0.693757266064133 , 0.267466039491476 , 0.501714487952003 , 0.382885837531677 , 0.579796226455139 , 0.00379321399454698 , -0.184380089536326 , 0.331921031117315 , 0.658247248100151 , 0.544083604763956 , 1.03317761808173 , 0.486291519672115 , 0.494220812006392 , -0.0600810933160487 , 0.168857202416143 , 0.198509009921194 , 0.117266146244422 , -0.523141190618277 , 0.114041475966219 , 0.16747407791941 , 0.679942376532494 , 0.162992024357742 , 1.15134766989487 , -0.181025531123552 , 0.706643355608237 , 0.532393631092466 , 0.353188655729032 , 0.793405184599818 , 0.875260408268201 , 1.08699565449823 , 0.0357465961123676 , 1.16142220512562 , 0.368606023161166 , -0.425563291458212 , 0.636069237072775 , 0.661744709537569 , 0.573864970769524 , 0.342000161562103 , 0.669190456760488 , -0.156134369795645 , 0.662768283737626 , 0.707463060719351 , -0.330146357235492 , 0.370781398393816 , 0.319700986702023 , 1.02133748696712 , 0.16774329718387 , 1.24468766784756 , 0.554746901948613 , 0.461810692044311 , 1.05649947417289 , 0.675800519132919 , 0.440708861961233 , 1.5791337967814 , 1.08587157641734 , -0.390550960376233 , -0.161943147647609 | 0.0000176 |
| 57 | 50 | 0.5 | 0.0 | 1.0 | control , control , control , control , control , control , control , control , control , control , control , control , control , control , control , control , control , control , control , control , control , control , control , control , control , control , control , control , control , control , control , control , control , control , control , control , control , control , control , control , control , control , control , control , control , control , control , control , control , control , intervention , intervention , intervention , intervention , intervention , intervention , intervention , intervention , intervention , intervention , intervention , intervention , intervention , intervention , intervention , intervention , intervention , intervention , intervention , intervention , intervention , intervention , intervention , intervention , intervention , intervention , intervention , intervention , intervention , intervention , intervention , intervention , intervention , intervention , intervention , intervention , intervention , intervention , intervention , intervention , intervention , intervention , intervention , intervention , intervention , intervention , intervention , intervention , intervention , intervention , 0.733697453000345 , 0.246087561699815 , 1.89675797606171 , -1.32014123754898 , 0.801297340470068 , 0.877142364674282 , 0.307468029572362 , -0.284543406728987 , 1.36482980434733 , 0.153371598117998 , 0.0924448530874642 , 0.562349434175249 , -1.07706356558481 , -0.47999839711861 , -0.670504474004021 , -0.244455829002141 , 0.340080517473799 , 0.575014570193612 , -0.613251922928828 , -0.639961808070366 , -0.0965193952552696, 0.0259052373722857 , 1.02604181692942 , 0.21276425504207 , 0.0887378671881342 , 1.79880419993303 , -0.439220501326101 , -0.0821024605611872, 0.901656735344519 , 0.0372434788979826 , -0.380013007114031 , -1.4837929300614 , -1.43001268272026 , 1.28580998645493 , -0.438838446753627 , -0.303649502052039 , 0.495970091133763 , 0.956050303933583 , 0.837731884969618 , -0.467281138158205 , 1.72265763082969 , 0.173356130372769 , -1.42551340056135 , 2.43212717424447 , -1.62542172855329 , -1.18669054648014 , -0.432459772715324 , 0.0178700886348141 , 0.91983277916716 , 0.180415084918234 , 0.844249708495464 , -0.930659354976432 , -0.29966263892868 , 0.172590944475812 , -0.095914661340221 , -1.02134601431398 , 0.641245759489101 , 0.554326688903567 , 1.17252282673531 , 0.613501563619869 , -0.935480358947557 , 0.861923680200788 , 1.9629250366248 , 0.892820328656512 , 1.27679605584444 , 0.857510108759083 , -0.135156492696731 , 0.12098263094474 , 0.503611101400525 , 0.307604813670341 , 1.17926138667904 , 1.58833275748255 , 0.648563115654103 , -0.413021827752463 , 1.16691930126935 , -0.482732747397562 , -0.68932331562441 , -1.02535447300301 , -1.19372391478798 , 1.9054533060616 , 0.414141817231681 , -0.86453971359759 , -0.644766698831735 , 1.60095826980998 , 0.832526047852586 , 1.10439359542873 , 0.868281499397865 , 0.708302845019968 , 0.931022507811292 , 1.12528404993235 , -0.199967041364279 , 0.0404368351489839 , 0.38580296169355 , -0.690152046287768 , -0.239091054191592 , -0.315892393667648 , 0.0979065342734687 , 0.987993225234301 , 1.00451664021936 , 1.76709705905722 | 0.1446960 |
| 57 | 50 | 0.5 | 0.1 | 0.5 | control , control , control , control , control , control , control , control , control , control , control , control , control , control , control , control , control , control , control , control , control , control , control , control , control , control , control , control , control , control , control , control , control , control , control , control , control , control , control , control , control , control , control , control , control , control , control , control , control , control , intervention , intervention , intervention , intervention , intervention , intervention , intervention , intervention , intervention , intervention , intervention , intervention , intervention , intervention , intervention , intervention , intervention , intervention , intervention , intervention , intervention , intervention , intervention , intervention , intervention , intervention , intervention , intervention , intervention , intervention , intervention , intervention , intervention , intervention , intervention , intervention , intervention , intervention , intervention , intervention , intervention , intervention , intervention , intervention , intervention , intervention , intervention , intervention , intervention , intervention , 0.713732178259953 , 0.00728801812634508 , 0.736435522732255 , 0.0448899025846355 , 0.491132601540042 , 0.00704353311893878 , 0.427500902039406 , 0.267319961340585 , -0.213569293454558 , 0.849844450676349 , 0.19775829621591 , -0.362660529112419 , -0.0206580609293789 , 0.0403637312349569 , 0.567418261424913 , -0.731361274356062 , 0.465503205861768 , 1.19273532575857 , -0.0964458689829543 , -0.360943790784525 , -0.203149272571787 , -0.421645132637669 , 1.11896486640414 , 0.219313892501366 , 0.143242098645807 , -0.0162484885972037 , 0.0358802199006221 , -0.386316986878326 , -0.342128454686245 , -1.5757343442111 , -0.61903440237638 , -0.0739483404508281 , 0.490642014598134 , 0.143613690242053 , -0.0483537945773474 , -0.161218086688729 , -0.576126271404848 , 0.67396224705612 , 0.236710187611798 , 0.935521804082125 , 1.15220237288183 , -0.397846106581825 , -0.184342363932841 , 0.452424893220854 , -0.00616372256755583, 0.402599031715899 , -0.555744741233504 , 0.105845791482905 , 0.993634909745963 , 0.0467523669583111 , 0.546924406623826 , 0.488842715659178 , 0.102230874350073 , 0.959293840304412 , 0.662632916201606 , -0.52591008735183 , 0.728764322833661 , -0.0481811023424665 , 0.041836055301264 , 0.732568588156885 , -0.0411992392270726 , 1.29697371327276 , 0.959068968917267 , 0.292122430958949 , 0.0919317966881072 , 0.203573545393325 , 0.41099090920506 , 0.54467121581102 , 0.259073187495736 , 0.650679171899956 , -0.179765591696133 , 0.339034392750206 , 0.0991565633017857 , 0.14188916298573 , 0.239872244535463 , -0.495484923315219 , 0.763616109321448 , -0.214494985539902 , -0.100881788824638 , 0.585365986499698 , -0.290615442416662 , 0.462173038150393 , 0.137021385817165 , 0.778630646261496 , 0.531748893265737 , 0.437552454962432 , -0.63306359590615 , 0.728286680085101 , 0.646190054056246 , 1.01903702622783 , -0.120514832563688 , 0.23854467848597 , 1.85724951892426 , 0.860595240360664 , -0.0437803530582644 , 0.220841817193706 , 0.19282318745802 , 0.343665093054704 , 0.00683029267456081 , -0.154328865115943 | 0.0340184 |
| 57 | 50 | 0.5 | 0.1 | 1.0 | control , control , control , control , control , control , control , control , control , control , control , control , control , control , control , control , control , control , control , control , control , control , control , control , control , control , control , control , control , control , control , control , control , control , control , control , control , control , control , control , control , control , control , control , control , control , control , control , control , control , intervention , intervention , intervention , intervention , intervention , intervention , intervention , intervention , intervention , intervention , intervention , intervention , intervention , intervention , intervention , intervention , intervention , intervention , intervention , intervention , intervention , intervention , intervention , intervention , intervention , intervention , intervention , intervention , intervention , intervention , intervention , intervention , intervention , intervention , intervention , intervention , intervention , intervention , intervention , intervention , intervention , intervention , intervention , intervention , intervention , intervention , intervention , intervention , intervention , intervention , 0.362908892362476 , 1.44941291865352 , -1.18304737479441 , -0.806961260738348 , 1.20005976986899 , -0.745809842409004 , 0.860278161439602 , 0.782458655032273 , 0.62646538011338 , -0.438840586899179 , 0.559045214909857 , 2.51015670298136 , 0.306301567088517 , -1.41045727845052 , 2.16061643299851 , -0.631062867902498 , 0.195807934493129 , -1.55426454345109 , 0.113532046420609 , -0.919933870058055 , -0.461055557927437 , 0.110635999236597 , -1.48913325977343 , 1.21213476052645 , 0.930822575988905 , -0.940844366682529 , 0.843621598035836 , -0.0757386724904931, -0.203383976421442 , 2.17140594717228 , 0.602250964610863 , -0.711047456648302 , 0.365418987109509 , 0.0453000224693175 , -1.31898420955237 , 0.570436232502735 , -1.15599406626523 , 0.394482037976874 , -0.3272039022994 , -0.611154045748398 , -0.29152304227634 , -0.699539416933409 , 0.112713630987439 , 0.818198357904824 , -0.80488833587371 , 0.127090444791416 , 1.29029373584159 , -0.114057959025571 , 0.336026447745375 , 1.06189110531655 , 0.32819386300218 , -0.353254834647339 , -0.733298535234129 , 0.806962633676833 , -0.0634057343951279, 0.308059429158463 , -1.05413906621698 , -1.77790454789782 , 1.46535785731086 , 1.07469895631442 , -0.978611997317769 , 0.65220339601788 , 0.391034308741663 , 0.200470293403318 , -0.953348306091954 , 2.21172165705753 , 1.05999481541197 , -1.48865803964794 , 1.45673656951528 , -0.326752195695026 , 1.36810958805516 , -1.42092648365362 , -0.270031331041046 , 1.47853210833868 , 0.400675964614269 , 1.07991804670466 , -0.733030041793588 , 1.34267136099666 , 0.238601211215113 , -0.66166135687698 , 2.65976610137773 , -2.74014535499127 , 0.709353226516096 , -0.599438648520099 , 1.37305248068029 , -0.264203217428073 , 0.162707788085896 , -0.943585282776819 , 2.02579533955747 , -0.416065074424284 , -0.241232792398402 , 2.28814829155802 , 0.951035915339606 , 0.0781399944698689 , 0.280712600074457 , 1.14673895308974 , -1.07625642297954 , 2.20397525009815 , 1.67483853939696 , 0.710750259723304 | 0.3635157 |
| 58 | 20 | 0.0 | 0.0 | 0.5 | control , control , control , control , control , control , control , control , control , control , control , control , control , control , control , control , control , control , control , control , intervention , intervention , intervention , intervention , intervention , intervention , intervention , intervention , intervention , intervention , intervention , intervention , intervention , intervention , intervention , intervention , intervention , intervention , intervention , intervention , -0.619376188166106 , -0.456168153268539 , 0.0184965451443949 , 0.478590202900379 , -0.0766218451740144, 0.0816398840581226 , 0.194574513045627 , 0.193421082450181 , -1.28770253670122 , 0.19608437880464 , 0.0747513123627066 , -0.711511650271159 , -0.313879318542825 , -0.621165017961768 , -0.159912038393029 , -0.929549238229641 , 0.15474698588304 , -0.815791710822203 , 0.726166776140386 , 0.209464480417928 , 0.591359275644304 , -0.0454395401320585, 0.15001799968357 , 0.078215244839916 , 0.583259238147878 , -0.388643219428198 , 0.287341816496984 , 0.264478308541661 , -0.57250713785299 , -0.528576365538681 , 0.395670158977516 , 0.553026188371293 , 0.0205673483119492 , -0.593896528652912 , 0.892562218743892 , -0.405976627007112 , -0.030586651681615 , 1.12529400786423 , 0.224418619532002 , 1.15500883759319 | 0.0311209 |
| 58 | 20 | 0.0 | 0.0 | 1.0 | control , control , control , control , control , control , control , control , control , control , control , control , control , control , control , control , control , control , control , control , intervention , intervention , intervention , intervention , intervention , intervention , intervention , intervention , intervention , intervention , intervention , intervention , intervention , intervention , intervention , intervention , intervention , intervention , intervention , intervention , -0.388710405777076 , 0.0547325174127698 , -0.207491058886826 , -0.0562558713579176, -0.963013494224375 , 1.41238624736152 , 0.500476465919057 , -1.31596045302128 , -0.814560577123136 , -1.0419851997145 , -0.644602970803844 , 0.408511441344432 , -0.121550682876678 , -1.357524188121 , -0.267388404458424 , -0.301851704964092 , 0.147428297059405 , 1.02466207254714 , -1.04861575412772 , 0.917481674122078 , -0.706649449012993 , -0.145068933729802 , 2.27095387496612 , -1.94909425386651 , 0.742378290803207 , 0.554646990376814 , 0.802407360915225 , 1.69616499595213 , -0.528023482082992 , -1.35332245790536 , 0.315181073579596 , -1.39603242002372 , 0.96720196645303 , 0.554600782270763 , -1.60118065282427 , -0.431353506052037 , -0.323316303523131 , 0.219123347024203 , -1.47073945387144 , -0.960266363694282 | 0.8323496 |
| 58 | 20 | 0.0 | 0.1 | 0.5 | control , control , control , control , control , control , control , control , control , control , control , control , control , control , control , control , control , control , control , control , intervention , intervention , intervention , intervention , intervention , intervention , intervention , intervention , intervention , intervention , intervention , intervention , intervention , intervention , intervention , intervention , intervention , intervention , intervention , intervention , 0.0891735561569924 , 0.516169617269233 , 0.464965127869944 , -0.0208943473435431, 0.151029054612491 , -0.343473078206869 , -0.146640052580605 , -0.174468985376162 , -0.332468280414448 , -0.780818059149394 , 0.0435927505699722 , 0.0607099008230932 , -1.04136559377785 , 1.34408049586099 , 0.0196614701511663 , 0.166231482796504 , 0.730444926345618 , 0.375372935990443 , 0.282327137180069 , 0.984934918733768 , -0.487668658911312 , 0.135836171196545 , 1.06521422582611 , -0.935106785069406 , 0.776685588621798 , 0.363515063490215 , 0.329506293509169 , 0.0590069911196113 , -0.244674949344733 , 0.110475577389939 , 0.599912349018352 , 0.470858360192023 , -0.204924081422073 , 0.670379284059955 , 0.551912123060446 , 0.217319213825407 , 0.00782579541424377, 0.052205016364046 , 0.517941595344457 , -0.0817176539647574 | 0.6254464 |
| 58 | 20 | 0.0 | 0.1 | 1.0 | control , control , control , control , control , control , control , control , control , control , control , control , control , control , control , control , control , control , control , control , intervention , intervention , intervention , intervention , intervention , intervention , intervention , intervention , intervention , intervention , intervention , intervention , intervention , intervention , intervention , intervention , intervention , intervention , intervention , intervention , 0.477847163782288 , 0.904862077633566 , 0.475626067858701 , -0.173371802389744 , 1.91338227164519 , 2.4769199210782 , -1.84491568119149 , -0.7078107544714 , 1.53605629081848 , 0.487587144653025 , -1.44667128487839 , -0.17072040796846 , 0.930344184480734 , -0.228647769721146 , -0.157864207001653 , 0.557000809183547 , 0.22127564862094 , -0.546906067322592 , 2.68669479054914 , -0.254031601839686 , 2.03126664151309 , 0.979115847930868 , -0.373142767522886 , -1.58838165951241 , -2.01529064999048 , 0.272172831332134 , -0.371804613387162 , -1.70169877338529 , -0.43506764824691 , -0.0612167402745666, -0.380516048458657 , -0.0466891469055631, 0.439264776228296 , -0.410297513809663 , -1.11416515416481 , 1.13883851696639 , -0.85307986064933 , -0.928032787710742 , 0.290297159500328 , -0.740925919348973 | 0.0656229 |
| 58 | 20 | 0.5 | 0.0 | 0.5 | control , control , control , control , control , control , control , control , control , control , control , control , control , control , control , control , control , control , control , control , intervention , intervention , intervention , intervention , intervention , intervention , intervention , intervention , intervention , intervention , intervention , intervention , intervention , intervention , intervention , intervention , intervention , intervention , intervention , intervention , -0.241584358450512 , 0.0367691857613553 , 0.0122225908608756 , 0.533251055106108 , -0.266719609208393 , 0.286531683376894 , -0.544769487848634 , 0.14026527119739 , -1.28457303061864 , -1.27327275252877 , -0.49508714267102 , 0.278602756065638 , 0.223967004384155 , -0.221518133583156 , 0.0436087017549657 , -0.577473526543956 , -0.249875975086903 , 0.171135326952078 , -0.444033763623577 , -0.454021695367413 , 1.25671038476516 , 0.631890850578273 , 1.12493164942815 , 0.65050036556173 , 0.519434265002443 , 0.131813696729263 , -0.0318094386645568, 0.395861733968704 , -0.625572423599335 , 0.448506378156695 , 0.0392128116492629 , 0.252426395634216 , -0.373851499444724 , 1.05356862277604 , 0.784865148150766 , 0.364434670761401 , 1.14070061766506 , 0.527215301269568 , 0.068549580002575 , -0.0520595547075533 | 0.0002533 |
| 58 | 20 | 0.5 | 0.0 | 1.0 | control , control , control , control , control , control , control , control , control , control , control , control , control , control , control , control , control , control , control , control , intervention , intervention , intervention , intervention , intervention , intervention , intervention , intervention , intervention , intervention , intervention , intervention , intervention , intervention , intervention , intervention , intervention , intervention , intervention , intervention , 0.575672555125245 , -0.641461469578122 , 0.49258555685441 , 0.30557655873826 , -0.324250002108472 , 0.892174267858922 , -0.7823128494677 , -1.53109279667899 , -2.19535864192654 , 0.820761072406776 , -0.0632752634355501 , 0.152270414581033 , -1.86085534150046 , 1.48202358134815 , 0.6787976847998 , 0.0435513016638796 , 1.41177556480432 , 0.217454903212155 , 0.164510927206935 , 0.310571198406156 , -0.537014199482281 , -0.945712541973202 , 1.85240158857396 , 1.06569480182756 , 0.598177046273 , 1.3626752966101 , 1.74498562627824 , 1.53221052133291 , 1.32921621494291 , -0.743898930226984 , 1.33791622107073 , 1.4524784701836 , 2.10709776963016 , -0.514746403617254 , 0.630744333081384 , -0.00953157676038008, 2.45321497731516 , 1.14886349170752 , 1.30641625991205 , -0.0409764850519575 | 0.0104987 |
| 58 | 20 | 0.5 | 0.1 | 0.5 | control , control , control , control , control , control , control , control , control , control , control , control , control , control , control , control , control , control , control , control , intervention , intervention , intervention , intervention , intervention , intervention , intervention , intervention , intervention , intervention , intervention , intervention , intervention , intervention , intervention , intervention , intervention , intervention , intervention , intervention , 0.590364942515799 , -0.203147962312826 , 0.256345534506534 , 0.636942117923868 , -0.504765781072406 , -0.0980310986521526, -0.210509917260815 , 0.431303686384342 , 0.510215543957508 , 0.127913090588341 , 0.685124109253715 , 0.670482026687239 , 0.375355798824507 , 0.327123606792538 , 0.0236590103145991 , -0.335461571563743 , 0.0249470557336401 , 0.44786235207753 , 0.483861239794636 , 0.00217384658468951, 0.761713159789275 , -0.593045860741344 , 0.251015211917148 , 0.736782389096779 , 0.653382143150607 , 0.439546661748551 , 0.241466830254213 , 0.205635128371272 , 1.44712496420115 , 0.375997953076831 , 1.0309218056812 , 1.07120380593145 , 0.11215993420709 , -0.0900119916612034, 1.20866409338018 , 0.091785568759595 , 0.889339216916275 , 0.629796077124441 , 0.535489979329978 , 1.03930970325635 | 0.0174633 |
| 58 | 20 | 0.5 | 0.1 | 1.0 | control , control , control , control , control , control , control , control , control , control , control , control , control , control , control , control , control , control , control , control , intervention , intervention , intervention , intervention , intervention , intervention , intervention , intervention , intervention , intervention , intervention , intervention , intervention , intervention , intervention , intervention , intervention , intervention , intervention , intervention , -1.00695546700096 , 1.37307601172378 , -0.19333038062863 , 0.930967432856747 , -0.201528552003278 , 0.166490332795012 , -0.259713342609297 , -0.194410603152057 , -0.0673400432025489, -1.26416760267118 , -1.42142317449612 , 1.48473020444655 , -0.525683402002878 , -0.467052534206281 , 0.316594344310259 , 0.0165579835869613 , 0.220315900205012 , 0.301086772430142 , 1.86762917338293 , 0.971170875616715 , 0.918427229959038 , 0.132576706005093 , 0.430912629088059 , -0.161903647848303 , -0.598599711647714 , -0.46994587611232 , 1.35487224840387 , 0.523600157989748 , -1.30748687381681 , 0.346140431632934 , 1.41562476737077 , 0.421480271898614 , 0.236743789852373 , 2.23768346150864 , -0.272840578630936 , -0.35862305811753 , -0.293866815923546 , 0.431417236030652 , -1.18653278877573 , 0.748092927748511 | 0.6534261 |
| 58 | 50 | 0.0 | 0.0 | 0.5 | control , control , control , control , control , control , control , control , control , control , control , control , control , control , control , control , control , control , control , control , control , control , control , control , control , control , control , control , control , control , control , control , control , control , control , control , control , control , control , control , control , control , control , control , control , control , control , control , control , control , intervention , intervention , intervention , intervention , intervention , intervention , intervention , intervention , intervention , intervention , intervention , intervention , intervention , intervention , intervention , intervention , intervention , intervention , intervention , intervention , intervention , intervention , intervention , intervention , intervention , intervention , intervention , intervention , intervention , intervention , intervention , intervention , intervention , intervention , intervention , intervention , intervention , intervention , intervention , intervention , intervention , intervention , intervention , intervention , intervention , intervention , intervention , intervention , intervention , intervention , -0.453336133865199 , -0.120025284640815 , -0.144420539465099 , 0.73709312199796 , 0.34821380517857 , 0.501488578578218 , 0.295163848676103 , -0.35799799575906 , -0.125681147730866 , -0.53674695020591 , -0.358352150446008 , -0.038723974347563 , 0.517806010267305 , 0.344287404538669 , -0.590063229450495 , 0.418073640637434 , 0.819158478125953 , 0.186048577411949 , -0.0645472256771759, 0.357359804216205 , 0.331467723676509 , -0.315727607494572 , -0.24978070066414 , 0.971140997242288 , -0.211349828593103 , -0.249429243587248 , 0.650010980820473 , -0.609524690026137 , -0.705878928573067 , -0.430132223559827 , -0.259374858704597 , 0.528379941304512 , 0.384565966144991 , -0.37387807750872 , 0.260674334409192 , 0.614357118889489 , -0.552702383412939 , -0.456671542298123 , 0.0564445458712952 , -0.365412616951519 , -0.517545308232248 , 0.182495055949469 , 0.208985752803925 , 0.319129572549525 , -0.23880791270744 , 0.0908792083522902 , -0.489872517318787 , 0.497967323881035 , -0.0254429081291269, -0.0671844299218213, -0.197987310369417 , -0.0712356796181802, 0.347439684903647 , 0.374538986022875 , 0.899566610701868 , -0.625224109702711 , 0.35870120326481 , 0.607113704735048 , -0.493037137888066 , -0.10247699317773 , 0.0437066806397882 , 0.533202983031836 , 0.158819765110318 , -1.01558439075145 , 0.801637411396851 , -0.0169683086237089, -0.561612230260605 , 0.462080511093777 , 0.279377214037819 , -0.533647793404544 , -0.0403815854029577, 0.375315460908419 , 0.126079102827352 , 0.287054194770356 , -0.735766092225484 , 0.681348756819363 , 0.384754403678808 , 0.516495686606393 , 0.501085626008334 , -0.129335937342809 , 0.204002871425319 , 0.143344839101088 , -0.591362131010721 , 0.295035834231818 , -0.416928459411648 , -0.928268276145037 , 0.403021464063376 , -0.0260484156434533, -0.272587004638285 , -0.112947698371479 , 0.289385338172108 , -0.394850578469142 , 0.25027176329637 , -0.0739140983700463, -0.0359505152337687, 1.3936810572813 , -0.2951599108776 , 0.495043958107094 , -0.0264849247412576, -0.580893851353259 | 0.6298013 |
| 58 | 50 | 0.0 | 0.0 | 1.0 | control , control , control , control , control , control , control , control , control , control , control , control , control , control , control , control , control , control , control , control , control , control , control , control , control , control , control , control , control , control , control , control , control , control , control , control , control , control , control , control , control , control , control , control , control , control , control , control , control , control , intervention , intervention , intervention , intervention , intervention , intervention , intervention , intervention , intervention , intervention , intervention , intervention , intervention , intervention , intervention , intervention , intervention , intervention , intervention , intervention , intervention , intervention , intervention , intervention , intervention , intervention , intervention , intervention , intervention , intervention , intervention , intervention , intervention , intervention , intervention , intervention , intervention , intervention , intervention , intervention , intervention , intervention , intervention , intervention , intervention , intervention , intervention , intervention , intervention , intervention , -0.186332073067029 , -0.850037886619518 , -1.60396707302727 , 1.13886813019974 , -0.931299565475925 , -0.0579557337136867, -0.908939715330398 , 0.146390855622561 , 0.096372787498701 , 1.10606654773402 , -0.971212306066 , 0.213719976251411 , 0.766759648153429 , -0.369694031213583 , 1.42968114561755 , -0.607648387150541 , 0.775212230763415 , -0.0672230568902043, 0.794397906298748 , -1.53674432257162 , -1.94461923328563 , 1.27975993673226 , 1.11664489622985 , 0.0769041967543268 , 0.959843828007731 , 0.0151600480579493 , 0.61066688012644 , -0.739789961538495 , 0.636443093553386 , 1.63999004874831 , 0.486868927181268 , -1.19462976543801 , 1.10257686662905 , -0.0241220350052852, -0.943890919353825 , 0.776911262507945 , 0.792759383464373 , -0.87630377647365 , -0.989127157982185 , -1.37096401270315 , -0.971883480211427 , -0.193967777660304 , -1.82505411916717 , -0.175497073755907 , -2.04233374287892 , -1.53831709982167 , 1.97859975196425 , 0.59230449075421 , 0.349396387352004 , 0.754868432909441 , -0.892184151986226 , -0.402317247235699 , -0.209417961702205 , 0.42714414414452 , -0.903730652797357 , 1.38370395338469 , -0.3454245286022 , -1.07573913751179 , 0.65825784957201 , 0.848652151709987 , 0.680415137319196 , -0.122346681933865 , -1.08859402869516 , -1.19687391811883 , -1.23363711358562 , -0.90349179411621 , -1.86065075452272 , -0.0977552549538891, 2.17022999375121 , -1.53924168520682 , 1.45838991987202 , 0.0112983607064548 , -0.941837707161205 , 0.107478686250659 , 0.503095151904228 , -0.0198010295012812, -0.343964092466462 , 0.58712672315895 , 1.42006026210483 , -0.451218911827673 , -0.341150616330127 , -1.00640850315243 , 0.640413185875043 , 1.18126907096966 , -1.09998129329135 , 0.0223752866822305 , 0.864674966743013 , -1.38034113477667 , -2.18505066159399 , 0.259223665820638 , 0.655712776028994 , -0.632814297623831 , -0.990279691157867 , -0.951984406693175 , 1.07817381190493 , -1.54593060729423 , -2.41900528048547 , 0.629118299560262 , -0.373421733033499 , -0.242094560322899 | 0.4375396 |
| 58 | 50 | 0.0 | 0.1 | 0.5 | control , control , control , control , control , control , control , control , control , control , control , control , control , control , control , control , control , control , control , control , control , control , control , control , control , control , control , control , control , control , control , control , control , control , control , control , control , control , control , control , control , control , control , control , control , control , control , control , control , control , intervention , intervention , intervention , intervention , intervention , intervention , intervention , intervention , intervention , intervention , intervention , intervention , intervention , intervention , intervention , intervention , intervention , intervention , intervention , intervention , intervention , intervention , intervention , intervention , intervention , intervention , intervention , intervention , intervention , intervention , intervention , intervention , intervention , intervention , intervention , intervention , intervention , intervention , intervention , intervention , intervention , intervention , intervention , intervention , intervention , intervention , intervention , intervention , intervention , intervention , 0.144580032341588 , 0.0405362128850199 , 0.172070515287006 , -0.461324234271572 , 0.0670552387576613 , -0.221217723102204 , 0.71931643483721 , 0.318605165156422 , -1.02502041360178 , 0.813283150475128 , -0.430700783940666 , -0.319648954534819 , 0.266784478950684 , -0.335778720897707 , -0.183052499896703 , 0.100389280974064 , 0.136748462913164 , -0.444804258288018 , -0.155024227939729 , -0.263169840700405 , 0.485371608451481 , 0.0298034166311854 , 0.0473983493214594 , -0.0629288741663458, -0.155858808589436 , 0.23243160160073 , 0.316224360455468 , -0.474186285967174 , -1.07344313160718 , 1.44188304504915 , -0.66766355220932 , -0.269157732948893 , 0.00817849280419002, 0.332231156175288 , -0.726107869031656 , -0.332186529084031 , 0.217568206730966 , -0.915262505630807 , -0.339449196284006 , 0.499158020201855 , -0.174806908278501 , -0.934813509769871 , -0.0331104808216126, -0.13749562167703 , 0.464329661983715 , 0.135337491655573 , 0.68917537923341 , 0.434695138609825 , -0.751128231469836 , 0.279567657628138 , 0.325881937928243 , 0.116582000122162 , -0.257647574856064 , -0.168643937730136 , -0.0160777437102835, 0.284453372582251 , -0.393206523845861 , 0.0213947174265654 , 0.352067902859132 , -0.712514491571228 , -0.129310657304375 , -0.367247967228277 , -0.0332824427511985, 0.268238586077679 , 0.758394825675268 , -0.281189077858424 , 0.199286183301824 , -0.237831290929197 , 0.534982719147722 , -0.243981091150467 , 0.781176612445997 , 0.528904166229993 , 0.295321942005228 , 0.379064244046629 , -0.461262229135986 , 0.676868560351952 , 0.156406265369447 , -0.820567074006761 , 0.0729696438480504 , 0.0662420291819783 , -0.403267506177749 , -0.0628714323724758, 0.0456377671737369 , 0.817207465304921 , -0.590808636235731 , 0.80518674069332 , -0.540292249738873 , -0.511219004714756 , -0.125154314499732 , -0.121353475438957 , -1.48295734860808 , -0.319559990423625 , 0.846648645398648 , 0.637883656599996 , 0.0509894692052858 , 0.195911263231449 , 0.283626430280677 , -0.346991826388372 , -0.481059442650183 , 0.315662520597123 | 0.5146847 |
| 58 | 50 | 0.0 | 0.1 | 1.0 | control , control , control , control , control , control , control , control , control , control , control , control , control , control , control , control , control , control , control , control , control , control , control , control , control , control , control , control , control , control , control , control , control , control , control , control , control , control , control , control , control , control , control , control , control , control , control , control , control , control , intervention , intervention , intervention , intervention , intervention , intervention , intervention , intervention , intervention , intervention , intervention , intervention , intervention , intervention , intervention , intervention , intervention , intervention , intervention , intervention , intervention , intervention , intervention , intervention , intervention , intervention , intervention , intervention , intervention , intervention , intervention , intervention , intervention , intervention , intervention , intervention , intervention , intervention , intervention , intervention , intervention , intervention , intervention , intervention , intervention , intervention , intervention , intervention , intervention , intervention , -0.885978232349106 , -0.886158489276014 , -0.616664041421849 , 0.364037640995501 , 1.13603755724254 , -0.781646635434972 , -0.185937926870228 , 0.609936582637295 , 0.279563149355186 , -1.36389897860083 , 0.152275249872125 , -1.38341896635722 , -0.0845195809801674, 1.31511186231736 , -0.0978159361751098, 0.91991469518039 , 0.0994848749795634 , 1.66485657724353 , 1.59791418697507 , 0.887087450783078 , 0.809756768083727 , -0.397756027546582 , -0.603631246048166 , -0.393928349242848 , -1.0069233839961 , 0.422821161379114 , 1.69556614895807 , 0.19603604167033 , -1.16768177734481 , -0.14802877210819 , -0.340587701173094 , -1.68184703787071 , 0.65869040030043 , -1.18528987593073 , -0.3657283044794 , 1.09186206878135 , 0.364862196939709 , -0.173489903740904 , 1.83291879369371 , -1.51760663383662 , 0.956880640762275 , 0.864170064501187 , 0.616303011324748 , -0.429645601392754 , -1.00422533453854 , 0.199651110340007 , 0.0447158974975283 , 0.617911785415503 , 0.169825444610864 , 0.332066042948712 , 0.107206208535728 , -1.88959870668974 , -0.376805996550738 , 0.835546700662275 , -0.453188400128987 , -1.24975190941661 , 0.489943310833836 , 0.625087323542093 , 0.131519849939256 , 0.34439216065602 , 1.86619291920944 , -0.459063259231986 , 1.23484718452485 , 0.58944563559085 , -1.36940300070026 , -1.12370439684339 , 0.446292839753873 , 1.08069008032753 , -0.0275425244384137, 0.274898170811735 , 1.5668636544151 , -1.17283865983157 , -0.169046842372655 , -0.0568098041446471, 0.64613823137483 , 0.540179768538333 , 0.281243224304733 , -0.308489839086309 , -0.24604677980234 , 2.01512474922921 , -1.31604786220992 , 0.789137067400081 , 0.437550141504046 , 0.549233954940456 , -2.18309814283899 , -1.7257157851473 , 0.416668680384456 , 0.771202630368152 , 1.11621161727574 , -0.515938051783529 , 1.27870905801545 , 0.010839412359937 , -0.085125804035008 , -1.58430147753242 , 1.89390349450095 , 0.699208222882866 , -0.370508232186256 , 0.430875075626879 , -1.84398298688247 , -0.0132094405856869 | 0.9776651 |
| 58 | 50 | 0.5 | 0.0 | 0.5 | control , control , control , control , control , control , control , control , control , control , control , control , control , control , control , control , control , control , control , control , control , control , control , control , control , control , control , control , control , control , control , control , control , control , control , control , control , control , control , control , control , control , control , control , control , control , control , control , control , control , intervention , intervention , intervention , intervention , intervention , intervention , intervention , intervention , intervention , intervention , intervention , intervention , intervention , intervention , intervention , intervention , intervention , intervention , intervention , intervention , intervention , intervention , intervention , intervention , intervention , intervention , intervention , intervention , intervention , intervention , intervention , intervention , intervention , intervention , intervention , intervention , intervention , intervention , intervention , intervention , intervention , intervention , intervention , intervention , intervention , intervention , intervention , intervention , intervention , intervention , 0.332915843908963 , 0.110388352284705 , -0.654158138691754 , 0.779454628851424 , 0.773821877826823 , 0.0777043178279868 , 0.488976192766536 , 0.469181110791085 , -0.0499944479423542 , -1.16840481996699 , 0.155649875093225 , 0.0316334889511011 , 0.867299445215835 , -0.329519265128252 , -0.484876397516021 , 0.910149608784201 , 0.0563386737978465 , -0.984279034380934 , 0.345386315236305 , 0.338174040308615 , -0.432912030221586 , -0.8661597373431 , -0.197232543504648 , 0.232431394832082 , 0.382393198717797 , -0.420646325666341 , 0.580814890887914 , 0.0601937219869669 , 0.317632929894656 , -0.949381782391481 , 0.157977547648711 , -0.0801659402500438 , -0.0156182335637082 , 0.37932517345013 , 0.380899438835631 , 0.216379057127371 , -1.03545035930924 , -0.468263072642064 , 0.433449386586713 , 0.345703532531196 , 0.187870114452327 , 0.992257005507357 , 1.16007633259745 , 0.197352806322672 , 0.512488031889068 , -0.413343301772541 , -0.00266975125337454, 0.34547219960442 , 0.6684846876723 , -0.929134436034132 , 0.147422992644299 , 0.660409538117302 , 0.494727305542417 , 0.334139104083087 , 1.13238097764848 , 0.0720942036243635 , 0.974587327210832 , 1.1852316173627 , 0.386677450561256 , 0.606437885086374 , -0.303045590114916 , -0.0419042506970172 , 0.750215076910185 , 0.370247553362401 , 0.00573442345003533 , 0.173328578017005 , 0.553484957207398 , 0.7993978314718 , 0.0355321468496291 , 1.05713091521946 , 1.80397509962489 , 0.180768073065342 , 0.766689535895488 , 0.395741322794848 , -0.0774513413076295 , 0.657644576570384 , 0.205481069699033 , 0.0695036358977065 , 1.98757259397937 , 0.877789662226619 , 0.342381498601004 , 1.19101069888931 , 0.406263477622955 , 0.266120814431446 , 1.05569875741 , 0.218700580832529 , 0.85968951000132 , 0.458578014284127 , 0.239041126707626 , 1.33273424426348 , -0.084499264043994 , 0.267961576290711 , 0.222961682490794 , 1.14286259887921 , 1.62572205391329 , 1.19882868189291 , 0.437131693406952 , 1.03197620967841 , 1.41688634182995 , -0.00832947834804365 | 0.0000061 |
| 58 | 50 | 0.5 | 0.0 | 1.0 | control , control , control , control , control , control , control , control , control , control , control , control , control , control , control , control , control , control , control , control , control , control , control , control , control , control , control , control , control , control , control , control , control , control , control , control , control , control , control , control , control , control , control , control , control , control , control , control , control , control , intervention , intervention , intervention , intervention , intervention , intervention , intervention , intervention , intervention , intervention , intervention , intervention , intervention , intervention , intervention , intervention , intervention , intervention , intervention , intervention , intervention , intervention , intervention , intervention , intervention , intervention , intervention , intervention , intervention , intervention , intervention , intervention , intervention , intervention , intervention , intervention , intervention , intervention , intervention , intervention , intervention , intervention , intervention , intervention , intervention , intervention , intervention , intervention , intervention , intervention , -0.678708647582243 , -1.82020671484933 , 0.264027295205695 , 0.274892689287265 , 0.444397361316864 , -1.29485060180699 , -1.61501807565248 , -0.0150215392431711, 0.400888342322262 , 0.203939512790515 , -0.412507713666668 , 0.645660382058227 , -1.06575681552245 , -0.703092508138911 , -0.958043135371765 , -1.44549103274469 , 0.0839959790740267 , -0.797770029402165 , -0.507068545842158 , -0.100945396528068 , 2.38990060823145 , 0.462737963950966 , 0.670776543406108 , 0.183820617407604 , -1.25271145281049 , -0.560930853566536 , 0.793377954925026 , 2.07171770631609 , 1.73564272929161 , -0.0158081688771102, -0.304851633018591 , -0.97836578934026 , 0.964910300422006 , 0.137747130705817 , 1.50986551259358 , -0.838402706259555 , 0.0516020490927524 , 0.724237683074073 , 1.00821076804944 , -0.198589367072076 , 0.220640473997694 , 0.0464860056956902 , -0.62306737291541 , 0.0175317399956581 , -1.86216441064924 , -1.20957621426935 , 3.12015853304783 , 0.443992202670423 , -0.075065422418319 , 0.730890135612748 , 0.114465845158493 , -0.80048701776912 , -0.282609503375266 , 1.74861202565199 , 1.85835989668117 , 0.341488598971216 , 2.16450020178432 , -0.11327637999813 , 0.0303861619696495 , 0.099040084120186 , 1.27673203716616 , 1.63495961283948 , 2.08645054518215 , 0.448896390519013 , 2.13022355674909 , 0.775314282723048 , 0.0725742279178961 , 0.43688860174769 , 1.36831663522918 , -0.0371517576598577, 2.19166340307211 , -0.128410979051559 , 0.445760997441841 , 1.0199580219995 , 2.90262973814589 , 0.146734104533868 , 0.425374010691936 , 0.517439095029723 , -0.522304206149312 , 1.24321802557339 , -0.0481369570924568, 1.83223354244568 , 1.19603599232611 , 0.557943294554323 , 0.0635708670492376 , 0.532323422367928 , 1.63956001936722 , -1.25101827241406 , 0.520710589260102 , 0.304224875517232 , 2.00971827219453 , -1.96082277590178 , -0.16646613092878 , 1.42839975239779 , 0.978613083299438 , 3.13950077850402 , -0.594085444532781 , 0.741953178845933 , 1.76134917964837 , -0.199372307947283 | 0.0008950 |
| 58 | 50 | 0.5 | 0.1 | 0.5 | control , control , control , control , control , control , control , control , control , control , control , control , control , control , control , control , control , control , control , control , control , control , control , control , control , control , control , control , control , control , control , control , control , control , control , control , control , control , control , control , control , control , control , control , control , control , control , control , control , control , intervention , intervention , intervention , intervention , intervention , intervention , intervention , intervention , intervention , intervention , intervention , intervention , intervention , intervention , intervention , intervention , intervention , intervention , intervention , intervention , intervention , intervention , intervention , intervention , intervention , intervention , intervention , intervention , intervention , intervention , intervention , intervention , intervention , intervention , intervention , intervention , intervention , intervention , intervention , intervention , intervention , intervention , intervention , intervention , intervention , intervention , intervention , intervention , intervention , intervention , -0.0985820472344242, -0.132640444629551 , 1.01341627296483 , 0.722657831802281 , 0.657093187796633 , 0.70263965076563 , 0.0975655192155039 , 0.56846383557835 , 0.631540501256826 , -0.0950310991928795, -0.328991784792794 , -0.243389041730062 , -0.34997008059817 , 0.785640184715661 , 0.429494494761153 , 0.19255079673445 , -0.360253390601391 , 1.17257834785935 , -0.792928656656226 , -0.340823898178297 , 0.380808894132853 , 0.0695157155725963 , 0.33232314013178 , 0.201720036283376 , 1.0286468986046 , -0.44702015101911 , -0.482794711546721 , 0.705474087078819 , 0.840653344212186 , 0.0699278887665039 , -0.586651051606258 , -0.0602907326419593, 0.609770182452982 , 0.979562382369518 , 0.30495844046259 , -0.195028635293899 , -0.328788371253814 , -0.418777696056765 , -1.21862314482383 , -0.702235049066006 , -0.663967923278633 , -0.629061401052127 , -0.0415586902973984, -0.224383801074287 , 0.278971805465499 , 0.196589593956655 , -0.393504948838183 , 0.365970079043081 , 0.755694682131733 , 0.913493914160376 , 0.556127841926637 , 0.279984573371522 , 0.140746054411712 , 0.162284647195933 , 0.995711986034974 , 1.06706360519909 , 0.760510093079515 , -0.50821466696808 , 0.959131677644437 , -0.125967640011233 , 0.348318019654332 , 0.98222404301441 , 0.190466067267806 , 1.65182372382517 , 0.647728385229462 , 1.09664327632762 , 0.424478811640347 , 0.437300336225465 , 0.096954225282798 , 0.162594171691587 , 0.223243132216416 , 0.472377402256 , -0.0312526029350579, 1.14935773857156 , 1.17938481735298 , -0.131687772004867 , 1.12184207222226 , 0.284375708718935 , 0.214226455633319 , 0.60151538082746 , 0.0152762675384368 , 0.960627446130454 , 0.556875466409375 , 0.536800150960097 , 1.3468405010036 , 0.739620676565428 , 0.167792722864532 , 0.967487693065245 , 0.675475253742364 , 0.220559883447383 , 0.398740271290978 , 0.520134399875138 , 0.0541700177703004 , -0.118027816035783 , 1.10903006130211 , 0.664294763539088 , 0.677006481550526 , 0.640605099350943 , 0.634954211430862 , -0.1003308520029 | 0.0001549 |
| 58 | 50 | 0.5 | 0.1 | 1.0 | control , control , control , control , control , control , control , control , control , control , control , control , control , control , control , control , control , control , control , control , control , control , control , control , control , control , control , control , control , control , control , control , control , control , control , control , control , control , control , control , control , control , control , control , control , control , control , control , control , control , intervention , intervention , intervention , intervention , intervention , intervention , intervention , intervention , intervention , intervention , intervention , intervention , intervention , intervention , intervention , intervention , intervention , intervention , intervention , intervention , intervention , intervention , intervention , intervention , intervention , intervention , intervention , intervention , intervention , intervention , intervention , intervention , intervention , intervention , intervention , intervention , intervention , intervention , intervention , intervention , intervention , intervention , intervention , intervention , intervention , intervention , intervention , intervention , intervention , intervention , -0.764933003493755 , -0.548803714991948 , 0.0528970605657157 , -0.464347803624368 , -1.17532601343313 , -0.0367317557582406, 0.0200375325276181 , 1.02262695999546 , 0.851306837471662 , 0.468160453887699 , 0.351300574867805 , -0.395679014438295 , -0.0418719983892606, -1.60701663174505 , 0.820613472191084 , -0.357274865980515 , -2.31276704581977 , 0.321181561666156 , -0.824000680144207 , -0.300555217230921 , -0.359282600830538 , 0.481473315540462 , -0.786905068772865 , -1.55265327712386 , 1.77024864913554 , -0.363052532324934 , -2.21917900729205 , -0.181344861628094 , 0.0259689202326341 , 1.65892912780075 , 0.87771378490198 , 0.830100809425281 , -0.739444231847662 , 0.602350295625009 , -0.220426773894133 , -1.01587917760499 , -0.493180301526622 , 0.270652662362985 , 0.554649604263227 , -0.169461013196285 , 1.301335869352 , -0.0377853510977198, 0.925426516028755 , 0.195328840573643 , -0.931518012223932 , 0.548572060083151 , -1.08615450124116 , -0.584156437919906 , 0.379424457933786 , -0.741111804454932 , 0.665484508627597 , 0.785070449858099 , 0.893937663816298 , -0.184409011252092 , -0.72765989362107 , 1.40986042457642 , 0.652269007614249 , 1.53223137476197 , -0.327966959220133 , 0.871971271250102 , 1.16474030199177 , 0.64153668358559 , 0.272474795220059 , -0.134085753103674 , 0.0362544481205617 , 1.53167015925966 , 2.47892999522506 , 2.21492695292281 , 0.726561786533567 , 2.04024435676863 , -0.526520249715681 , 0.511149302203191 , -0.820091029875462 , 2.41158256677081 , 2.34800030150349 , 0.748874210257495 , 0.638167972472366 , -0.558084003103059 , -0.0392925851357769, 0.560226858505061 , -2.41256671886836 , 0.263872654047981 , 0.0720120238044792 , 1.60205726802703 , 0.629488898006741 , -0.725564430946172 , 0.891920687325989 , 0.444007686429911 , 0.705897364314425 , 0.788117477003308 , 1.2808018825369 , -0.0897273320669408, -0.085572702365335 , 0.899160282162761 , 0.238675097588132 , 0.836099795348237 , 3.28145548810635 , 1.77519654441766 , 0.663120040141151 , -0.869290699302716 | 0.0001354 |
| 59 | 20 | 0.0 | 0.0 | 0.5 | control , control , control , control , control , control , control , control , control , control , control , control , control , control , control , control , control , control , control , control , intervention , intervention , intervention , intervention , intervention , intervention , intervention , intervention , intervention , intervention , intervention , intervention , intervention , intervention , intervention , intervention , intervention , intervention , intervention , intervention , 0.844374901644256 , 0.252983293505611 , -0.543613588883038, 1.33888197039232 , -0.556853457112766, -0.121441026670033, 0.304825713272529 , 0.27946364329815 , -0.554235904521132, 0.186315000806978 , -0.140004220597802, 0.557449989370358 , 0.639120148631209 , 0.137381083701027 , 0.330928111732366 , 0.179434471290196 , 0.246097530022729 , -0.779753577343779, 0.383616059360637 , 0.266760237421626 , -0.891165867711936, -0.492316427951489, -0.241603816401677, -0.111189433863315, -0.689655095274319, 0.127064377031546 , 0.167685707274207 , 0.874057557987491 , 0.681461386177914 , 0.229883780332408 , 0.49119047447505 , 0.559150904053288 , 0.723399128126594 , 0.207699703999934 , 0.0421191368370118, -0.747007855860215, -0.844012659917882, 0.176391447269182 , 0.680332577539992 , -0.186657184614667 | 0.4630844 |
| 59 | 20 | 0.0 | 0.0 | 1.0 | control , control , control , control , control , control , control , control , control , control , control , control , control , control , control , control , control , control , control , control , intervention , intervention , intervention , intervention , intervention , intervention , intervention , intervention , intervention , intervention , intervention , intervention , intervention , intervention , intervention , intervention , intervention , intervention , intervention , intervention , -0.0153010146428488, -0.912838956608266 , 0.310093347582021 , 1.46469962533726 , 0.0590098824015078 , 0.646318332534842 , -0.807694509891447 , 1.39168667995928 , 0.118084671312914 , 1.97640192706984 , 0.281599352925008 , -0.389273160995652 , -0.497633472486944 , 0.986730304775348 , -0.0232763161927602, -1.07504647958774 , 0.439839650696666 , 0.595812198877747 , -0.424866708132069 , 0.712047255644419 , -0.336206585447018 , -1.07408934621951 , 1.68326237646847 , -0.503422775059497 , 1.10950401227864 , 1.78539336123019 , 0.862675478369828 , -0.304545319222766 , -0.992263760311408 , 1.02829707228214 , 0.215129977812485 , -0.328305781857004 , -1.17478897253916 , 0.299344594602699 , -0.314978424674638 , 1.04406259852903 , -0.0836155521982072, -0.971256701641088 , -2.08319622930089 , -0.535971092477664 | 0.3534552 |
| 59 | 20 | 0.0 | 0.1 | 0.5 | control , control , control , control , control , control , control , control , control , control , control , control , control , control , control , control , control , control , control , control , intervention , intervention , intervention , intervention , intervention , intervention , intervention , intervention , intervention , intervention , intervention , intervention , intervention , intervention , intervention , intervention , intervention , intervention , intervention , intervention , 0.231486442011109 , -0.592826432048767 , 0.0708041131185274 , -0.412431059488487 , -0.929797470404772 , 0.811491764774291 , -0.0701763584184967, -0.202392291896735 , 0.481979594977186 , -0.329153100952702 , 0.962668202343316 , 0.145143485387851 , -0.171305322093734 , 0.115261624232701 , 0.405898090659555 , 0.198439114181142 , 0.379643764147517 , 0.573174675803709 , 0.833481412212482 , 0.36306959170484 , 0.663233757688676 , 0.0786207207187518 , 0.544320476326632 , 0.748191781297578 , -0.537044571559237 , 0.41188020873077 , -0.0679897131867415, -0.702676294775323 , -0.615012803344031 , 0.0792251828966173 , -0.563795364680139 , 0.776004381237408 , 0.0489805917098615 , -0.282909953963669 , -0.0870503493290459, -0.513786585035532 , 0.11922155421452 , 0.637005637379029 , 0.188684151713138 , -0.477235634029489 | 0.4413324 |
| 59 | 20 | 0.0 | 0.1 | 1.0 | control , control , control , control , control , control , control , control , control , control , control , control , control , control , control , control , control , control , control , control , intervention , intervention , intervention , intervention , intervention , intervention , intervention , intervention , intervention , intervention , intervention , intervention , intervention , intervention , intervention , intervention , intervention , intervention , intervention , intervention , 1.19770764508469 , -1.93392488876181 , -1.23214918557352 , 0.168416032117014 , -0.676015675632616, -1.03423224333341 , 0.542472524554737 , -0.688901603044645, 0.531617601341946 , -0.27186740725876 , -1.38695217522543 , -0.604994372274198, -0.568694240477276, 0.941639247071863 , -2.50939030176434 , -1.17058523081209 , 0.257937599981102 , 0.980978909502422 , 1.69569823400896 , -2.24018873556398 , -1.3894712946728 , -0.22613654902529 , -1.5514729653755 , 1.36203507272034 , 0.128669411823779 , 0.185256425580682 , 0.18954650250871 , 0.941566953465703 , 0.800474170039806 , 0.504002244461947 , 0.919211824184743 , -0.667433990616583, -0.838337527956148, 1.93001844428964 , -2.27514575819929 , -0.237501855398352, 0.0383158921834754, 0.117741567133602 , 0.910267610313096 , -1.40798211803969 | 0.3028461 |
| 59 | 20 | 0.5 | 0.0 | 0.5 | control , control , control , control , control , control , control , control , control , control , control , control , control , control , control , control , control , control , control , control , intervention , intervention , intervention , intervention , intervention , intervention , intervention , intervention , intervention , intervention , intervention , intervention , intervention , intervention , intervention , intervention , intervention , intervention , intervention , intervention , 0.0801079625503007 , 0.70295431043093 , -0.279920730677519 , 0.0082611806079152 , -0.0205068961258666, -0.0186357677653234, -0.634065686380227 , 0.259865366693864 , -0.255973747106994 , -0.809979074136993 , -0.32837330493333 , 1.05598133203843 , -0.28539601704143 , 0.538958080239465 , 0.403063704625918 , -0.869457227138515 , 0.384714850877404 , -0.0577733897782527, -0.71155324548079 , -0.338840178466148 , -0.890503152431769 , 1.35160438335597 , 0.0750789883968034 , 0.359675483401778 , -0.218244667205213 , 0.727358899037566 , -0.442212681387502 , 0.871916742014974 , 0.689326081113555 , 0.230562873281964 , 0.627105962100537 , 0.796916091373668 , 0.309190011868338 , 0.714362704543512 , -0.0685303581498066, 1.30276023935119 , 0.552627561611288 , 0.745222186155176 , 0.179983096066606 , 0.481371670158015 | 0.0070815 |
| 59 | 20 | 0.5 | 0.0 | 1.0 | control , control , control , control , control , control , control , control , control , control , control , control , control , control , control , control , control , control , control , control , intervention , intervention , intervention , intervention , intervention , intervention , intervention , intervention , intervention , intervention , intervention , intervention , intervention , intervention , intervention , intervention , intervention , intervention , intervention , intervention , -0.00573271043755199, 0.3551292447579 , 2.54623141377868 , -1.09275368541639 , -1.72201659520451 , -0.256473929147757 , -0.6580123214943 , -1.57746268415581 , -1.38675417267188 , 0.550426498680669 , 0.871702369283151 , 1.91749958655414 , 0.489076175393313 , 0.397789016158802 , 0.583943091986887 , 1.13493662349425 , -0.397841893680428 , 1.52691976527937 , 1.33297343437189 , -0.1426453994853 , 0.0107068441693613 , 2.55673010217361 , 0.122778079323012 , 1.21201088629151 , 0.867451656974879 , -1.72513388089849 , 0.412800105388484 , 0.155215302929981 , 0.23898602567963 , 2.78975842961987 , 0.718137214715878 , 1.9200701256601 , 1.50852751948494 , -0.823743707502598 , -1.48934215531818 , 0.519466998991474 , 1.13245231916968 , 1.13125909160198 , 1.18039293027886 , 1.17275429085357 | 0.2206714 |
| 59 | 20 | 0.5 | 0.1 | 0.5 | control , control , control , control , control , control , control , control , control , control , control , control , control , control , control , control , control , control , control , control , intervention , intervention , intervention , intervention , intervention , intervention , intervention , intervention , intervention , intervention , intervention , intervention , intervention , intervention , intervention , intervention , intervention , intervention , intervention , intervention , 0.731094754960147 , 0.449723214205316 , -0.733171173717799 , 0.463594265916714 , -0.0296907174523772, 0.0536014575143763 , -0.05235617741667 , 0.0898472741350377 , 0.453378384970365 , -0.0655314391479848, 0.251314774572508 , -0.538161047017589 , -0.283200080221704 , -0.329669839165572 , 0.23629863923936 , -0.0206714942605357, 0.482686581586125 , 0.361108543289578 , 0.232242323893096 , 0.212102139935084 , 0.319335169233711 , 0.49613910568514 , 0.905510291622212 , 0.966343145514308 , 0.630821006166568 , 0.885991174115853 , 0.053016824440806 , 0.839282921196058 , 0.516917473308774 , 0.782521783399752 , 0.761924944669842 , -0.0605367585323457, 0.428000777446519 , 0.899239118321046 , 1.53992984799258 , 0.712131463636145 , 1.08966274233474 , 0.363253067938878 , -0.153934541996676 , 0.259119814064155 | 0.0001834 |
| 59 | 20 | 0.5 | 0.1 | 1.0 | control , control , control , control , control , control , control , control , control , control , control , control , control , control , control , control , control , control , control , control , intervention , intervention , intervention , intervention , intervention , intervention , intervention , intervention , intervention , intervention , intervention , intervention , intervention , intervention , intervention , intervention , intervention , intervention , intervention , intervention , 0.827249501380608 , 1.4601886413418 , -0.651846180171296 , -0.0305714765863479, -1.27801633307306 , -0.860049724105815 , -0.52808149134835 , 0.403124169527188 , -0.757226997450825 , 1.23519048074893 , 1.33002759992904 , -1.48965199092658 , 0.503574993280745 , -0.477913966906567 , -0.80455725803589 , 0.670387655617519 , 0.733701353103935 , 0.840656644380139 , -0.0611355831803588, 0.506130330122678 , 0.700824293499599 , 1.87151586293727 , -0.753410239769122 , 0.563926527368833 , 0.295313145384071 , 0.716888126703994 , -1.60949182044253 , 0.277136660856435 , -0.410769761070461 , 0.570680695189632 , 1.41711165248446 , -0.367094128937663 , 0.825950059077311 , 0.85436951257369 , 1.30478163157526 , -0.406070098214952 , -0.103016578428387 , -0.13473043287458 , -0.45953359752845 , 1.28930557384802 | 0.3833384 |
| 59 | 50 | 0.0 | 0.0 | 0.5 | control , control , control , control , control , control , control , control , control , control , control , control , control , control , control , control , control , control , control , control , control , control , control , control , control , control , control , control , control , control , control , control , control , control , control , control , control , control , control , control , control , control , control , control , control , control , control , control , control , control , intervention , intervention , intervention , intervention , intervention , intervention , intervention , intervention , intervention , intervention , intervention , intervention , intervention , intervention , intervention , intervention , intervention , intervention , intervention , intervention , intervention , intervention , intervention , intervention , intervention , intervention , intervention , intervention , intervention , intervention , intervention , intervention , intervention , intervention , intervention , intervention , intervention , intervention , intervention , intervention , intervention , intervention , intervention , intervention , intervention , intervention , intervention , intervention , intervention , intervention , 0.0503762361556416 , 0.115556635864588 , 0.344220935445936 , -0.634797525369599 , -0.0430265934513472, -0.0462199411520094, -0.93220152705318 , -0.292613207822633 , -0.400532403113193 , -1.03762452116543 , -0.703488692672339 , 0.286121144773943 , 0.174818072167227 , -0.764349215345292 , -0.450329299358137 , -0.442978388094494 , -0.0674853019915425, 0.292971409593757 , 0.0110540575345711 , 0.567686218763079 , -1.10072561193459 , 0.221943253700679 , -0.181909421988575 , 0.114153122173521 , -1.58876378207966 , -0.199130643204445 , -0.951064688657023 , 0.0798148693011212 , 1.18990723927018 , -0.196041204455 , 0.652345735472204 , -0.139818114026608 , 0.185957866664533 , 0.59131781302901 , 0.341745280300861 , -0.925909960747793 , -0.547912391035288 , -0.325112357055857 , -0.369591745307741 , 0.56136491364138 , 0.129576245968354 , -0.429920992368964 , -0.0497251765409993, -0.48273955126699 , -0.0464377643625704, -0.4188667385975 , 0.183194394665809 , -0.293437107641388 , 0.838562238860122 , 0.409351128707427 , 0.0174665434082529 , 0.376534862760055 , -0.532942509874211 , -0.77498393556658 , 0.622917000494196 , 0.525705200490046 , -0.792312286185763 , -0.222562192911108 , 0.183341092332198 , 0.264510716271067 , -0.0732934388864725, -0.0295709423845437, -0.263568302233035 , -0.216157878223845 , 0.232708979009962 , 0.403753699228384 , -0.0722138422022417, 0.657209668785356 , 0.795161009435506 , 0.344947276446329 , -0.353386935213016 , 0.0201549202565989 , 1.07021698562242 , -0.0664093656205158, 0.597469328145226 , 0.117458086300664 , -0.901770980553424 , -0.711611204293729 , -0.245607545480921 , -1.18011766246185 , -0.238306181745138 , 0.935111413602276 , -1.19807808568498 , -0.264379615167668 , -0.612753462495122 , -0.255004793390262 , -0.434239120824357 , 0.269422176739715 , -0.379574359499329 , 0.32300327695661 , 0.154971648626807 , -0.862597122957578 , 0.203609984155853 , 0.00206939721726879, -0.32867630479251 , -0.381125721921051 , -0.289276398773598 , -0.28414400038647 , 0.00508575302574233, 0.363562016028417 | 0.5401057 |
| 59 | 50 | 0.0 | 0.0 | 1.0 | control , control , control , control , control , control , control , control , control , control , control , control , control , control , control , control , control , control , control , control , control , control , control , control , control , control , control , control , control , control , control , control , control , control , control , control , control , control , control , control , control , control , control , control , control , control , control , control , control , control , intervention , intervention , intervention , intervention , intervention , intervention , intervention , intervention , intervention , intervention , intervention , intervention , intervention , intervention , intervention , intervention , intervention , intervention , intervention , intervention , intervention , intervention , intervention , intervention , intervention , intervention , intervention , intervention , intervention , intervention , intervention , intervention , intervention , intervention , intervention , intervention , intervention , intervention , intervention , intervention , intervention , intervention , intervention , intervention , intervention , intervention , intervention , intervention , intervention , intervention , -0.96038895573258 , 1.2737528387003 , 0.502266949012929 , 0.0184719918058574 , -1.60709148769025 , -1.05718861932117 , -0.0920658323494705, 0.242618265553572 , -0.302553541669081 , -0.135266491251794 , -0.902038869769285 , 0.805435241672598 , 0.38054161830698 , -0.286116376324435 , -1.0857419397409 , 1.44654018780262 , -2.06809435372745 , -0.523594957259277 , 0.0468372893180726 , -1.56113106324102 , -1.88891310169663 , 0.550402597331145 , 0.0760234797864672 , 0.0257786771752326 , -0.556251396186085 , -0.647007876016782 , -0.174266510782606 , 1.28903727980572 , 1.74092543947864 , 0.491969631078105 , 1.12473982178176 , -0.884562507751774 , -0.492992580956727 , 0.950243344876378 , -0.615237764742527 , 0.755400821896719 , -0.641886248073382 , 1.21705744214973 , -1.44046364992835 , -0.592905225793868 , 0.201601746767969 , 0.908568989777537 , -0.13011583708621 , -1.11166805994304 , -0.576995495285569 , -0.0422099430188306, 1.06876282188341 , 1.01269773038418 , 1.96106447630367 , 1.60356466577228 , 2.10368972184798 , -2.89884179266374 , 0.275628079933019 , 0.873418618673815 , 0.125305072673553 , -1.31590413717342 , 0.282227991743075 , 0.346059237815287 , 0.270007065931702 , 0.974117925801979 , -0.754557568668153 , -0.947429707820496 , 1.16936912567079 , 0.0971627695649202 , 0.785830655474869 , 1.09441313931531 , -0.5433441390268 , -0.653595268336414 , 0.38216141946016 , -0.733350100262591 , -0.693116354755674 , 0.779620833746321 , -0.181881262673542 , 0.689237443694329 , 0.628337486301967 , -0.917060486810953 , 1.82762142429578 , -1.11651986519934 , 0.039947160212452 , 0.373637094800875 , 0.84508695554498 , 0.0406659222372258 , 0.672340276104161 , 0.172018146188998 , 0.755784060447637 , 1.39861562380113 , 0.31474280565935 , 0.223559262326688 , 0.529342589884248 , 0.50844492275522 , -0.103265684093846 , -2.3190905338728 , 1.60501555549548 , 0.3581133222312 , 0.689051347505325 , 1.35583228849732 , 0.437882621589442 , 1.43902047860779 , -0.224352978244341 , 1.13660067004118 | 0.1901231 |
| 59 | 50 | 0.0 | 0.1 | 0.5 | control , control , control , control , control , control , control , control , control , control , control , control , control , control , control , control , control , control , control , control , control , control , control , control , control , control , control , control , control , control , control , control , control , control , control , control , control , control , control , control , control , control , control , control , control , control , control , control , control , control , intervention , intervention , intervention , intervention , intervention , intervention , intervention , intervention , intervention , intervention , intervention , intervention , intervention , intervention , intervention , intervention , intervention , intervention , intervention , intervention , intervention , intervention , intervention , intervention , intervention , intervention , intervention , intervention , intervention , intervention , intervention , intervention , intervention , intervention , intervention , intervention , intervention , intervention , intervention , intervention , intervention , intervention , intervention , intervention , intervention , intervention , intervention , intervention , intervention , intervention , 0.626520927302667 , -0.873681974600527 , 1.41222407136024 , -0.234687151031442 , 0.0612339387676826 , 0.0398821291161612 , -0.636110535108853 , -0.429260469090717 , -0.115169489640537 , 0.529019907082155 , 0.461806128485009 , -0.231882331607438 , -0.209763531904228 , -0.336431511794934 , 0.735670002980924 , 0.536030257932252 , -0.294316754830779 , 0.914837637613 , -1.24382228506159 , 0.287195048332377 , -0.2402196536499 , 0.154016903260976 , -0.15011175461546 , -0.198348048848302 , -0.0891795944193133, -0.150711257527041 , 0.756561357946525 , 0.184331481307387 , 0.563224273729695 , 0.22398929331519 , -0.841314706276622 , 0.441883252544086 , -0.0215920540613721, 1.05490340156282 , 0.615520326468692 , 0.282410928183613 , -0.65076136786548 , 0.015135657648311 , 1.03267202815276 , -0.0333398059786214, 0.560284154623202 , 0.419997513735079 , 0.314995011103933 , 0.419098935229977 , 0.084310932588262 , -0.0117964814133894, 0.410784670813965 , 0.723705531675667 , -0.211498290428821 , 0.0927392448768774 , 0.0930509418207582 , 0.549235187789643 , 0.695042246119593 , -0.286559831204442 , 0.0559587749941387 , -0.0555255737146884, -0.876943278658925 , 0.240705318168335 , -1.00502924128678 , 0.0772870683960716 , -0.703661388521255 , -0.796802507003625 , -0.3532245761406 , -0.294561476605618 , 0.692910240517308 , 0.65885415723028 , 0.550009184173887 , 0.169497459201409 , -0.817178326068926 , 0.518195957250808 , 0.0967118862505993 , 0.784063557945269 , -0.667428916160506 , 0.799136859117769 , 0.19778704476249 , -0.612394029613302 , -0.578818845757427 , -0.315885390624556 , 0.448999820663506 , 0.103770574846306 , 0.700084250475627 , -0.133541870535663 , 0.603632855074859 , 0.679461631119556 , -0.377842433716005 , 0.342682537868669 , 0.028099868624327 , -0.40771568746283 , 0.343420019545138 , -0.189992772946473 , -0.27772171707163 , -0.288473794967744 , 0.477383614920175 , -0.268841726130666 , 0.803988166600989 , 0.17208226126479 , -0.281672414832116 , 0.14776322807029 , -0.843463270637937 , 0.349253685697257 | 0.2679376 |
| 59 | 50 | 0.0 | 0.1 | 1.0 | control , control , control , control , control , control , control , control , control , control , control , control , control , control , control , control , control , control , control , control , control , control , control , control , control , control , control , control , control , control , control , control , control , control , control , control , control , control , control , control , control , control , control , control , control , control , control , control , control , control , intervention , intervention , intervention , intervention , intervention , intervention , intervention , intervention , intervention , intervention , intervention , intervention , intervention , intervention , intervention , intervention , intervention , intervention , intervention , intervention , intervention , intervention , intervention , intervention , intervention , intervention , intervention , intervention , intervention , intervention , intervention , intervention , intervention , intervention , intervention , intervention , intervention , intervention , intervention , intervention , intervention , intervention , intervention , intervention , intervention , intervention , intervention , intervention , intervention , intervention , -1.78313678786858 , 0.657700504919594 , 0.815702268666283 , -0.095042965941093 , 0.403642992700016 , 1.22920051506361 , 0.972283061575267 , 0.336506086916338 , 1.79356707680257 , -0.0999625442139417, -0.936018403581228 , -0.314224133942809 , -0.0107505419413499, -0.599003684302585 , 1.5706651540519 , 0.304308496581986 , 0.0954231588022322 , 2.09321835095757 , -1.31889906284796 , -1.26449451783653 , 0.237425741724329 , -0.729818494984169 , 0.765612001301657 , 0.214420107779408 , 1.15596345210064 , -0.322935406191212 , -0.796276445735102 , 1.34907027512687 , -1.37172806810371 , 0.10275596921417 , 2.14651115387054 , 0.614605989048185 , -1.33566247448781 , 1.12533328773231 , 0.443990331597391 , 0.557148382675879 , 0.699152863501842 , -2.24739507668502 , -1.40696146613472 , 0.491369415021305 , -1.35218052761752 , 1.51925160076879 , 0.00437392084221597, 0.092368612307771 , -0.630326744717297 , 1.22151627404251 , -0.280395655708049 , -0.783055223644506 , -0.285456348645534 , 0.058772062515648 , -1.05850167538574 , 0.610945150550298 , -0.0945955685221788, -1.46040379918539 , 1.320948281812 , -1.50257515020246 , 0.728071186857296 , -0.580489622650143 , 0.84132371335021 , -1.29729479069773 , 0.830066803774243 , 0.0844397989484711 , 0.859541414539029 , 0.175139958507868 , -0.955841719484128 , -0.795277027134293 , -1.34216938127281 , 2.00617407476964 , 0.916585749813096 , 0.774765317300406 , -2.22997640941376 , 2.36730209432057 , 0.307056609291276 , 0.556236875110321 , -1.18070593038519 , 0.250617639392921 , 1.15220535333025 , -1.5379180658369 , 0.673623953291297 , -0.0751650868983031, 0.498583854570415 , 0.759766503072588 , 0.936011152825652 , -0.879829436277822 , 0.504459267367982 , 1.40156247053879 , 0.00195722344554181, -0.425359413368205 , -1.58268820549254 , -0.790279290727955 , -0.933276885508057 , 0.676602496244635 , -1.35123033166545 , 1.00153777413712 , 0.88536771522931 , 0.316672085977099 , -0.841507900598595 , -1.5988308644695 , 0.317182169469938 , 0.89124219648604 | 0.6340893 |
| 59 | 50 | 0.5 | 0.0 | 0.5 | control , control , control , control , control , control , control , control , control , control , control , control , control , control , control , control , control , control , control , control , control , control , control , control , control , control , control , control , control , control , control , control , control , control , control , control , control , control , control , control , control , control , control , control , control , control , control , control , control , control , intervention , intervention , intervention , intervention , intervention , intervention , intervention , intervention , intervention , intervention , intervention , intervention , intervention , intervention , intervention , intervention , intervention , intervention , intervention , intervention , intervention , intervention , intervention , intervention , intervention , intervention , intervention , intervention , intervention , intervention , intervention , intervention , intervention , intervention , intervention , intervention , intervention , intervention , intervention , intervention , intervention , intervention , intervention , intervention , intervention , intervention , intervention , intervention , intervention , intervention , -0.151807400771107 , -0.103470352041134 , -0.307936982791688 , -0.474751601920858 , 0.0292332566476145 , -0.694777925269745 , -0.636019472983019 , 0.141864415591356 , -0.13918903948554 , -0.127570953092445 , -0.108481423060176 , -1.06223811804858 , 0.213284311407546 , -0.133414397436903 , 0.253963784374591 , -0.123405386252397 , 0.0666648224370558 , 0.0142018596053542 , -0.0177994909494217 , -0.791560612152342 , 0.53240362368367 , 0.492890118389139 , 0.599056921504815 , -0.401584757216359 , -0.0450249537092878 , -0.257285551366562 , -0.0903990171359996 , -0.222144080545523 , 0.115518774050727 , 0.85440418079306 , -0.273435559826281 , -0.751787512015436 , -0.0163927414672461 , 0.566903368334185 , 0.899071245565066 , -0.28777627933578 , -0.0338452396214183 , 0.538657613615095 , -0.58871616791102 , -0.0104504835293248 , -0.296892237929439 , -0.00634350298866362, 0.171803227451855 , -0.264397280274444 , -0.144244712212035 , -0.159038807546352 , -0.125862976882292 , -0.00284054547228227, -0.627767082668132 , -0.747158506066087 , 0.279911327103516 , 0.497842852370003 , 0.0105095760902272 , 0.275632927534001 , 0.45610818496818 , 0.0705281097997312 , 0.538488928581613 , 0.428972624244496 , -0.377272068858111 , 0.588119657638246 , -0.276438723256426 , 0.900105738799402 , 0.856497506851381 , -0.563413980192191 , -0.00918007427180201, -0.692127647648434 , 0.739625397567625 , 1.28457876883027 , 1.07780222846072 , -0.64575711687374 , 0.242975235535689 , 0.429275138534238 , -0.581247985793727 , -0.128663868150752 , -0.600415138771171 , 0.620903308459115 , 0.78665610415497 , -0.052892633985148 , 0.575826242690589 , 0.259327105333888 , 0.197607053440811 , -0.0303971048603242 , -0.699157969570527 , 0.0401728930306413 , 0.491072333180559 , 0.148109534848582 , -0.268208839066919 , 0.457377292566571 , 0.266555801880612 , -0.191176653507905 , 0.0716799179811956 , 0.463061085421713 , 0.142706179192548 , -0.00849763805006565, 0.161671361426968 , 0.796649508259001 , 0.606567735907104 , 0.314950729729801 , 0.411644971517002 , 0.385114168207473 | 0.0006762 |
| 59 | 50 | 0.5 | 0.0 | 1.0 | control , control , control , control , control , control , control , control , control , control , control , control , control , control , control , control , control , control , control , control , control , control , control , control , control , control , control , control , control , control , control , control , control , control , control , control , control , control , control , control , control , control , control , control , control , control , control , control , control , control , intervention , intervention , intervention , intervention , intervention , intervention , intervention , intervention , intervention , intervention , intervention , intervention , intervention , intervention , intervention , intervention , intervention , intervention , intervention , intervention , intervention , intervention , intervention , intervention , intervention , intervention , intervention , intervention , intervention , intervention , intervention , intervention , intervention , intervention , intervention , intervention , intervention , intervention , intervention , intervention , intervention , intervention , intervention , intervention , intervention , intervention , intervention , intervention , intervention , intervention , 1.13040921799356 , 0.0353345768113126 , 0.421436471960281 , -0.48651390289993 , 0.349639189597612 , 0.587376963372869 , 0.812395514340359 , 2.48457141003695 , 0.979507949508547 , -1.24079291892919 , -1.1281409986968 , -0.839020833651656 , -0.676852042720815 , -1.59609781031814 , -0.287785070212092 , 0.396782419391557 , 0.531980755666176 , 0.378555196238319 , -0.9379565813473 , -1.3587375302482 , -1.26123594399026 , 2.2791287709452 , 0.155993785378962 , -0.127322895702387 , -0.366488546298346 , -0.310639013799893 , -0.345163853246752 , -1.41459305893515 , 0.178620051870231 , -0.283060893228733 , 0.891438731942012 , 0.0605823747406644 , -0.0109723631766322, 1.36923254411301 , 0.00227158538778431, 0.87614072661506 , 0.203927967974685 , -0.0710508451607096, 0.22065743043357 , -1.39382030031946 , 1.28775707525591 , -1.63725606655506 , 0.516928559405029 , 0.1752892738783 , 0.859587162268532 , 1.10949424866155 , 0.214321802086631 , 0.751688249818228 , -2.07778222319175 , 0.56813918244933 , 1.20143751535907 , -0.860386282576441 , -0.433456661605749 , -0.239633882981658 , 3.18447040553024 , -0.50576120245 , 0.823408120421934 , 0.180552613314641 , 0.531053870847226 , -0.0840504726668799, 0.0432232960712298 , 1.03724736945598 , 0.932810890133815 , 2.13447873950421 , -0.077607491069361 , 0.847907593575236 , 1.11762185413323 , 0.289287863652131 , 2.1642966593966 , 1.0845602037216 , -2.18346286577927 , 0.998071399506747 , 1.06989943684487 , 0.858308732912745 , -0.145908322442269 , 0.52931667925417 , 1.99961689653725 , 0.639419624796811 , -0.150579233680764 , 0.758196656816034 , -0.65092298799369 , 1.03468009065218 , -0.762012136952068 , 0.76590614247752 , 2.1169644116619 , 1.09462149342193 , 0.682448035421802 , 0.296396885505445 , 2.52598929625607 , 0.526279811347432 , -0.156945423565537 , 0.381526940691774 , -0.165831418266951 , 0.240666489406274 , 0.741064005414753 , -0.708887276531463 , -0.44044528961538 , -0.406493270606631 , -0.23662956259238 , -0.0484646506583023 | 0.0223074 |
| 59 | 50 | 0.5 | 0.1 | 0.5 | control , control , control , control , control , control , control , control , control , control , control , control , control , control , control , control , control , control , control , control , control , control , control , control , control , control , control , control , control , control , control , control , control , control , control , control , control , control , control , control , control , control , control , control , control , control , control , control , control , control , intervention , intervention , intervention , intervention , intervention , intervention , intervention , intervention , intervention , intervention , intervention , intervention , intervention , intervention , intervention , intervention , intervention , intervention , intervention , intervention , intervention , intervention , intervention , intervention , intervention , intervention , intervention , intervention , intervention , intervention , intervention , intervention , intervention , intervention , intervention , intervention , intervention , intervention , intervention , intervention , intervention , intervention , intervention , intervention , intervention , intervention , intervention , intervention , intervention , intervention , 1.00502585628314 , 0.760112009001711 , -0.279147822097251 , 0.388724203874889 , -0.0985004191622906, 0.414720308310525 , 0.530730406337545 , -0.881751041945093 , -0.0471850221512363, -0.412789084364547 , 0.34692427221111 , -0.442300370852305 , -0.168814350973256 , 0.504497564807914 , 0.615137676707776 , -0.190184873276292 , 0.381730605476929 , 0.50102708933625 , 0.190313715027023 , 0.544092417235683 , 0.201520123748965 , -0.136735172898285 , -0.585021888373563 , -0.768157616761942 , 0.362353299013275 , 0.635338843643474 , -0.470071571453543 , -0.653259181265702 , 0.128246323011735 , 0.410308946837274 , 0.0442661331901848 , -0.299809551462754 , 0.620843533951768 , -0.220789658674363 , -0.768475604438718 , 0.786930605087025 , 0.0330246525165601 , 0.149406861218907 , 0.242768308815474 , -0.501034473246536 , 0.574584314188212 , -0.107799699709699 , 0.138773626313967 , 0.0585254007057876 , 0.0266839754000254 , -0.799798687444677 , -0.903115021283662 , 0.0532553671649337 , 0.0519520215560739 , -0.568267399070627 , 1.07930039223566 , 0.647707189779879 , 0.608269691756848 , 0.176583989698962 , 0.413143286290374 , 0.794929390633736 , -0.104176352495322 , 0.286060155123005 , 0.130134692617259 , 0.763974483407552 , 0.0875941500011829 , 0.998800536234874 , 0.318034540480053 , -0.557745015479254 , 0.426856471559679 , 1.16209461127344 , 0.808661537032613 , -0.285853822807947 , 0.468249983810045 , 0.6577093018848 , -0.244900465083304 , 0.782572752824236 , 0.425855702411407 , 1.28385509379052 , 1.06121594052462 , -0.267029164263585 , 0.862640830470697 , 0.141468909978887 , 0.943027031475553 , 1.0166303999303 , 1.54074764105814 , 0.0181015234318166 , -0.0765390399594348, 0.683554092919645 , 1.58565671297416 , 0.309511598975046 , 0.697213893699063 , -0.260564145858388 , 0.70114904016867 , 0.877729119651031 , -0.481179926363443 , 1.46439111441848 , 0.792051216258375 , 0.625480598586387 , 0.727533883515068 , 0.605760324995714 , 1.00367288578416 , -0.32969177157527 , 0.803057757933652 , 0.663482951215899 | 0.0000022 |
| 59 | 50 | 0.5 | 0.1 | 1.0 | control , control , control , control , control , control , control , control , control , control , control , control , control , control , control , control , control , control , control , control , control , control , control , control , control , control , control , control , control , control , control , control , control , control , control , control , control , control , control , control , control , control , control , control , control , control , control , control , control , control , intervention , intervention , intervention , intervention , intervention , intervention , intervention , intervention , intervention , intervention , intervention , intervention , intervention , intervention , intervention , intervention , intervention , intervention , intervention , intervention , intervention , intervention , intervention , intervention , intervention , intervention , intervention , intervention , intervention , intervention , intervention , intervention , intervention , intervention , intervention , intervention , intervention , intervention , intervention , intervention , intervention , intervention , intervention , intervention , intervention , intervention , intervention , intervention , intervention , intervention , 0.595942437684681 , 0.258802118967919 , -1.14629856089844 , -1.05174120531876 , -1.05959653487715 , 1.40315902648848 , -0.781006160981615 , 1.50092166088001 , 0.856173492479412 , 0.162904553399386 , -1.43563038485702 , -1.38772713198495 , 0.746716385142137 , -0.846438841875937 , 0.0168776582410734 , -1.15689025094308 , -0.431907026903844 , 1.71500069519933 , 0.163658262589486 , -2.20658650583885 , -0.90763619133821 , 0.578744065864646 , 2.26385530766545 , -0.72854346316326 , -0.334147299905905 , 1.88579243896428 , -1.75158098031703 , -0.669393775083392 , -1.5020914389558 , -2.10517624122143 , 0.783694372985233 , 0.826124282938397 , -1.35276136514318 , 0.917834073740193 , 0.754556753244032 , -1.45570030444002 , -0.175695902453459 , 0.960590406465831 , -1.0000382601945 , -1.01172446000003 , -0.232400504867661 , -1.22050067540594 , 0.977066656644076 , 0.371615530981299 , -0.0208256194786959, -0.659987385897211 , 1.57596285188055 , -0.26793257762685 , 1.47866709493289 , -0.295028822790324 , 1.07956119233514 , 1.15397382213698 , 0.980846145807899 , 1.19923891054895 , 1.50857172425903 , -0.287340507086798 , 0.962757396433256 , 0.153869317810702 , 1.46266292255768 , 0.455163914503133 , -0.0741835728528928, 0.981108640369853 , -0.308098516234416 , -0.033978815965869 , -1.13862292243383 , 0.461606193128047 , 0.963379117523475 , 0.431121518816008 , -0.473998801323944 , 0.119767268720414 , 1.31642075314164 , 0.979242431913033 , 0.348093782010088 , 2.04371082607319 , -0.346201472233691 , 1.15631351721172 , 0.634531062506932 , -0.999169412632306 , 0.274576925674895 , 2.51123859699679 , 1.54769870651641 , 0.386203448369814 , -0.764430548092973 , 2.22457868246717 , -0.381003356533938 , -0.0558452038030144, 1.27287255966547 , 0.507478378712261 , 0.670754620836648 , 1.33917039377144 , 1.10349009078767 , -1.52360749845685 , 0.942149573344425 , 3.55662075828237 , -1.07330494932748 , 0.195605953694943 , -0.0368735931471549, 0.268117090444539 , -0.778536804009824 , 0.241859939818973 | 0.0019493 |
| 60 | 20 | 0.0 | 0.0 | 0.5 | control , control , control , control , control , control , control , control , control , control , control , control , control , control , control , control , control , control , control , control , intervention , intervention , intervention , intervention , intervention , intervention , intervention , intervention , intervention , intervention , intervention , intervention , intervention , intervention , intervention , intervention , intervention , intervention , intervention , intervention , -0.138683151845484, 0.386425675921847 , 0.162636081814211 , -0.192439954322638, 0.048346974677573 , 0.796754987781178 , -0.603760760945631, 0.136908688298938 , 0.481254835669869 , 0.124007801071966 , 0.247354333996215 , -0.210886448729563, -0.568524445357623, 0.666854501421772 , -0.038750348845479, -0.269709021371094, -0.665010811005752, 0.75321929007438 , 0.211822304054486 , 0.336940851813204 , -0.530278846006274, -0.352989757775076, -0.26082057937952 , 0.504980872749586 , -0.206618383727455, 0.204145523294401 , 0.0237987583944676, 0.584389390159221 , 0.181836538470071 , 0.250460165850125 , -0.58776010308972 , 0.124183807824929 , -0.195065053353478, -0.530792188099835, -0.215450566954218, 0.176070180174376 , -0.260763894280879, 0.1007308908944 , -0.675784546614964, -0.88809198114649 | 0.1146182 |
| 60 | 20 | 0.0 | 0.0 | 1.0 | control , control , control , control , control , control , control , control , control , control , control , control , control , control , control , control , control , control , control , control , intervention , intervention , intervention , intervention , intervention , intervention , intervention , intervention , intervention , intervention , intervention , intervention , intervention , intervention , intervention , intervention , intervention , intervention , intervention , intervention , -0.0283755030366785, 2.39126734334262 , 0.367768904153856 , 1.40618579055889 , -0.118254235043048 , -0.540055256711241 , -0.14256272915149 , -1.13014133053169 , 1.76265404687189 , -0.291148677063464 , -0.162024189403918 , -0.418818810327797 , 0.401074517150832 , 0.253588009416243 , 0.344633820185723 , 0.789959526869096 , -1.71346201395528 , -0.293961748905112 , 0.650832663900146 , -0.688296003459966 , -0.551038672451559 , 0.282304932569423 , -0.792750796174277 , 0.325812405490469 , -0.44968596155588 , 0.934013698320826 , 1.5577584575829 , 1.62198121109274 , -0.0831644574086089, 0.932941055020811 , -0.571526849480279 , -0.484970914673782 , 0.848628881603442 , -0.888782512484406 , -0.517663176851667 , 1.95894108589676 , 1.01445139918302 , 0.762240341052841 , -0.99131602556438 , 0.371683635018943 | 0.6811202 |
| 60 | 20 | 0.0 | 0.1 | 0.5 | control , control , control , control , control , control , control , control , control , control , control , control , control , control , control , control , control , control , control , control , intervention , intervention , intervention , intervention , intervention , intervention , intervention , intervention , intervention , intervention , intervention , intervention , intervention , intervention , intervention , intervention , intervention , intervention , intervention , intervention , 0.882696660919322 , 0.132048181391324 , -0.0289435905607723 , -0.0898624328393375 , -0.410207374816437 , 0.493701859939527 , -0.647583896508234 , -0.531699990686631 , -0.502614848140069 , 0.859310069002424 , 0.252572041159249 , -0.00725328218568244, 0.301360800641518 , -0.214784026074293 , -0.904964010754842 , 0.151738496474371 , -0.155067874651008 , -0.237113388368639 , -0.561763719451755 , -0.409912092038885 , 0.511876843337701 , -0.215866897733167 , -0.0198510585823452 , -0.264385533931096 , -0.243342705905707 , 0.379435942101461 , 0.419331317805256 , -0.310925707643945 , -0.453449280023702 , 0.0031396549861003 , -0.211137422173926 , 0.545815045450975 , 0.60547060505144 , -0.350637837525371 , -0.311239964055287 , -0.0430889541031131 , -0.554263583386592 , 0.615123523288055 , -0.220850868215462 , 0.0384503529514496 | 0.5748710 |
| 60 | 20 | 0.0 | 0.1 | 1.0 | control , control , control , control , control , control , control , control , control , control , control , control , control , control , control , control , control , control , control , control , intervention , intervention , intervention , intervention , intervention , intervention , intervention , intervention , intervention , intervention , intervention , intervention , intervention , intervention , intervention , intervention , intervention , intervention , intervention , intervention , 0.272209632031517 , 2.69665830904278 , -0.912685605910363 , 0.65684496749292 , 1.66364795758874 , 1.69468348610218 , 0.0585056075509736 , 1.52747308056036 , -0.728735102078562 , 1.07644323458105 , 0.375568999303473 , -1.80527537510519 , -0.748990176616588 , -0.912339873347964 , -0.0747413116030932, -0.570965121302409 , 0.385675566742383 , -2.16730858143701 , -0.302960790257886 , 2.03092860017614 , -0.589100513628419 , 0.217124224906199 , -0.0247102949756665, -0.579675155956286 , 0.484806103736626 , 0.819950545798312 , -0.392732143459526 , -0.224006044273169 , 0.883183754248026 , 0.0244746930001836 , -1.24784071322282 , 1.4911808157107 , 0.606135471954273 , 0.251214093013284 , -0.72667911226438 , 0.681159428349888 , -0.736406355222369 , -0.108938587683137 , 0.794826592344313 , 1.11981140862386 | 0.8250141 |
| 60 | 20 | 0.5 | 0.0 | 0.5 | control , control , control , control , control , control , control , control , control , control , control , control , control , control , control , control , control , control , control , control , intervention , intervention , intervention , intervention , intervention , intervention , intervention , intervention , intervention , intervention , intervention , intervention , intervention , intervention , intervention , intervention , intervention , intervention , intervention , intervention , -0.242741715984493 , 0.280360362489551 , 0.525943518105006 , -0.664985973397498 , 0.162768704754144 , -1.05743924688649 , -0.250854126964993 , 0.15602621865303 , -0.409958875710435 , 0.00581785048774696, -0.91270967532723 , 0.139711795693189 , 0.0578169784420144 , -0.628084365079592 , 0.34580803319488 , 0.379099721927705 , 0.161838451730863 , 0.248116674191639 , -0.612566270697037 , 0.0965690608847395 , -0.349770866696595 , -0.101157925958548 , 0.075505282339694 , 0.8220377726042 , 0.636933979196762 , 1.05964473671387 , 1.0156022787249 , 0.716869810859011 , 1.52580774451036 , 0.775232814182889 , 0.628936197536128 , -0.409163930763791 , 0.75136708101021 , -0.149756685284514 , 0.58524648242243 , 0.381064313736595 , 0.41392935945631 , 0.970666006640233 , -0.0577831002810199, 0.345759415350473 | 0.0004489 |
| 60 | 20 | 0.5 | 0.0 | 1.0 | control , control , control , control , control , control , control , control , control , control , control , control , control , control , control , control , control , control , control , control , intervention , intervention , intervention , intervention , intervention , intervention , intervention , intervention , intervention , intervention , intervention , intervention , intervention , intervention , intervention , intervention , intervention , intervention , intervention , intervention , 0.239265502577218 , 1.2677736724037 , 1.00642118476891 , -2.30778044409543 , 1.10979544113375 , 0.358791740006349 , 0.420022795411409 , 0.50179712531597 , 1.80712640655007 , 0.261234233861695 , -0.155509097019087 , -1.51736017634137 , 1.1035017535645 , 1.48261487153565 , 0.0382376999678227 , 1.00359228504534 , -0.277419872339397 , -0.82625810996223 , -0.148609401987433 , 0.880669539760536 , -1.98149396929344 , 2.21035442576373 , 0.636084485089375 , -0.0629001923891317, 0.827900277442601 , 0.260900936038759 , 0.986278917541185 , -1.48664249082232 , -0.253435569849455 , -0.394530594084503 , -0.0775866043943221, 0.343702952238385 , 1.6733680205997 , 1.62564400300273 , -0.0494930364353235, 0.941547430429879 , 0.731851982513437 , -0.249782724512647 , 1.2904147362548 , -1.99289424525984 | 0.8536249 |
| 60 | 20 | 0.5 | 0.1 | 0.5 | control , control , control , control , control , control , control , control , control , control , control , control , control , control , control , control , control , control , control , control , intervention , intervention , intervention , intervention , intervention , intervention , intervention , intervention , intervention , intervention , intervention , intervention , intervention , intervention , intervention , intervention , intervention , intervention , intervention , intervention , -0.460229363199451 , 0.525088305521 , 0.0240025347531751 , 0.321431572273784 , -0.331646498413748 , 0.0220738394955799 , -0.198307516010778 , 0.131975689607335 , -0.398087922395992 , -0.235372133633861 , -0.0676681972086769, -0.372180481705376 , 0.272076671615643 , -0.486669851498308 , 0.784929532634594 , -0.238049182835083 , 0.708233654469249 , 0.657103843184023 , -0.353690022344564 , 0.827165378850979 , 0.381069521995077 , 1.44235463484752 , -0.21562952908789 , 0.335113640252792 , 0.496962382753158 , 0.424712020878849 , 1.97458025829496 , -0.0555230148445569, 0.907614090855397 , 0.978435524556592 , -0.600339667256442 , 0.33507422291504 , 0.76384560510232 , 0.736846893419376 , 0.0595449224115283 , -0.202821868727137 , 0.240044342289509 , 0.67824124882156 , 0.270990960090545 , 1.02470324150529 | 0.0116721 |
| 60 | 20 | 0.5 | 0.1 | 1.0 | control , control , control , control , control , control , control , control , control , control , control , control , control , control , control , control , control , control , control , control , intervention , intervention , intervention , intervention , intervention , intervention , intervention , intervention , intervention , intervention , intervention , intervention , intervention , intervention , intervention , intervention , intervention , intervention , intervention , intervention , -0.886892290107559 , 0.0848978878693477 , -0.811921665957418 , 0.938912452940448 , 0.766804090576615 , -0.0338266826295448, 0.258144731130035 , 0.692535585393958 , 1.12617133549172 , 0.604993753246403 , -0.704346090607467 , 0.279801746004986 , -1.21522013944924 , 1.25637618791114 , -0.75976440872241 , -0.134945116714496 , -1.42665236712192 , -1.15274329531141 , 0.482178997958828 , -1.01980869979525 , -1.866111738009 , -0.914622919678873 , 0.368823636126659 , 1.67325345143747 , 1.23504762080847 , 0.0299751034068971 , 2.08100211386639 , -0.342195193752105 , 0.47849564296704 , 0.5072325388876 , 0.338708541556905 , 1.25127377078744 , -0.0905603820017956, 0.985258846894107 , -1.73315628666639 , -0.0700833831860888, 1.03691940438765 , 1.52637408767062 , 0.4457221535616 , 1.25010820713195 | 0.1131320 |
| 60 | 50 | 0.0 | 0.0 | 0.5 | control , control , control , control , control , control , control , control , control , control , control , control , control , control , control , control , control , control , control , control , control , control , control , control , control , control , control , control , control , control , control , control , control , control , control , control , control , control , control , control , control , control , control , control , control , control , control , control , control , control , intervention , intervention , intervention , intervention , intervention , intervention , intervention , intervention , intervention , intervention , intervention , intervention , intervention , intervention , intervention , intervention , intervention , intervention , intervention , intervention , intervention , intervention , intervention , intervention , intervention , intervention , intervention , intervention , intervention , intervention , intervention , intervention , intervention , intervention , intervention , intervention , intervention , intervention , intervention , intervention , intervention , intervention , intervention , intervention , intervention , intervention , intervention , intervention , intervention , intervention , -0.879791401419957 , 0.606511259861996 , -0.169034155496343 , 0.109412251274133 , 0.74018657768659 , 0.701383259750048 , 0.176268503907391 , -0.0255239578939268, -0.377719132618823 , 0.39876682335782 , 0.132223746296936 , 0.284514312896057 , 0.176406200685522 , 0.655744698155798 , 0.706421285806308 , 0.469869845961125 , -0.455724853118455 , 0.760666826769392 , -0.710518497457082 , 0.151384604143356 , 0.619764963123358 , 0.0170901518453717 , -0.812950244359244 , 0.168020918180892 , 0.352732683723922 , -0.222183507646141 , -0.374475634303829 , -0.436071554462999 , -0.221067441652072 , -0.0107437398398283, -0.631974732062777 , -0.381030901394163 , -0.0761546386612623, 0.0361083392534023 , -0.0209863304094219, -0.25684128575903 , 0.12448448875428 , 0.144201548371822 , -0.620731687503427 , -0.410607968745598 , -0.208307838047225 , -0.511756973486497 , 1.25868657678649 , -0.0319284474930638, 0.328180789938819 , 0.48459506543073 , -0.306499692329129 , -0.455935139865936 , -0.491921925912584 , -0.183421277740286 , 0.265176059271128 , 0.793473540605936 , 0.428444259028317 , 0.211150704409573 , 0.0737034420140348 , -0.602870588155019 , -0.344249661165964 , -0.373560921606985 , 0.437426625837322 , -0.240280690156904 , -0.522805627581306 , 0.267544132731452 , -0.739796398362868 , 0.492992321066624 , -0.610762089001111 , 0.617838349468143 , 0.482712762142282 , 0.518956446736362 , -0.631688904241383 , 1.14755473851678 , -0.562216150664078 , 0.438580635644455 , 0.155709496941095 , 0.0826732679237027 , -0.278032720817413 , 1.71278114425026 , -0.591362494772054 , 0.40922372089527 , 0.177401090826737 , -0.407151190265388 , 0.0847263522613205 , -0.0161387178771269, -0.665071070879442 , -0.540291250959158 , 0.825336463315588 , 0.5222006323206 , -0.267926654343379 , 0.058862795665472 , 0.578337810937751 , -0.853972484178466 , -0.659974587893437 , 0.222140245406075 , 0.122074181370682 , 0.176647016616488 , -0.208019396650022 , -0.690250290411543 , -0.498697150272234 , 0.669664084133816 , -1.02091046442418 , 1.11144187943031 | 0.7874678 |
| 60 | 50 | 0.0 | 0.0 | 1.0 | control , control , control , control , control , control , control , control , control , control , control , control , control , control , control , control , control , control , control , control , control , control , control , control , control , control , control , control , control , control , control , control , control , control , control , control , control , control , control , control , control , control , control , control , control , control , control , control , control , control , intervention , intervention , intervention , intervention , intervention , intervention , intervention , intervention , intervention , intervention , intervention , intervention , intervention , intervention , intervention , intervention , intervention , intervention , intervention , intervention , intervention , intervention , intervention , intervention , intervention , intervention , intervention , intervention , intervention , intervention , intervention , intervention , intervention , intervention , intervention , intervention , intervention , intervention , intervention , intervention , intervention , intervention , intervention , intervention , intervention , intervention , intervention , intervention , intervention , intervention , 0.168482448115852 , 0.258314503753015 , 1.41708659289729 , -0.547637202033952 , 0.568845335383857 , 1.41081411483392 , 0.347438602081709 , 1.07453849471622 , 0.317912632917893 , 0.313038797699759 , -0.212025895479336 , -0.142507142064776 , -0.994062009511985 , 0.193522227708735 , -1.39277753829882 , -0.0587791911967057 , 0.00560511486341874 , -0.24436607108842 , 0.542009353041671 , 1.74778224649582 , 0.223723193477253 , -0.0701119077440471 , -0.314072597302852 , -0.17977348634557 , -0.831877794240502 , 0.0348072384737968 , 0.606964291108469 , -1.73122786705347 , 1.4631178642513 , 0.532897674212012 , 1.65578077870667 , 0.177569392643957 , 0.113359664680277 , 0.157636969835896 , 0.472545468185126 , -0.95603141352252 , -1.28454164726592 , -0.650760078962713 , 0.243367260735825 , 0.108925471313016 , 2.40629837589015 , 1.31007108748174 , -1.68457671061486 , -0.452250201444333 , -0.433148877909271 , 0.37560625964875 , 0.477252278066791 , -1.04053972041461 , -1.02060684473736 , 1.74481423117797 , 0.723162681066906 , -1.16396689228499 , -0.921070255085487 , 1.95299339035604 , 0.539704795127065 , 0.297639226776975 , 0.301739956170381 , 0.481780979669794 , 0.490667569911262 , 0.292108956882657 , 1.1543498196769 , -0.120942734569577 , -0.468546753639974 , 0.44363673553631 , 0.438669328377242 , -0.594466637669696 , -0.807484713865214 , 1.03278802170403 , 1.0180341156013 , 0.82615699316155 , -0.388718517683347 , -0.997939035560228 , 0.223446872671154 , 0.516898503561548 , -0.768703718414378 , 1.06633794310888 , -0.159355712036175 , 0.172731537047836 , -0.167216077312137 , -0.00725256494963304, -2.03118663925114 , 0.529359682457255 , 1.02099072414288 , -0.820265458921574 , -1.48114140137536 , 0.669337712052026 , 0.967793573245262 , -0.552170092924227 , -0.802518927515252 , -0.886958803188836 , -0.307059536553483 , -1.38253390828836 , -0.546072613698099 , 0.805328547751681 , 2.75466741800581 , -1.54560576970342 , -0.385799178105177 , -1.29961640922174 , -2.41540080303784 , -0.790721876834246 | 0.3330171 |
| 60 | 50 | 0.0 | 0.1 | 0.5 | control , control , control , control , control , control , control , control , control , control , control , control , control , control , control , control , control , control , control , control , control , control , control , control , control , control , control , control , control , control , control , control , control , control , control , control , control , control , control , control , control , control , control , control , control , control , control , control , control , control , intervention , intervention , intervention , intervention , intervention , intervention , intervention , intervention , intervention , intervention , intervention , intervention , intervention , intervention , intervention , intervention , intervention , intervention , intervention , intervention , intervention , intervention , intervention , intervention , intervention , intervention , intervention , intervention , intervention , intervention , intervention , intervention , intervention , intervention , intervention , intervention , intervention , intervention , intervention , intervention , intervention , intervention , intervention , intervention , intervention , intervention , intervention , intervention , intervention , intervention , 0.952700127280244 , 0.137793157026285 , -0.980060146752566 , -0.439821677537354 , -0.304431886792057 , 0.190238907076251 , -0.120912894048571 , 0.907400850470731 , 0.371803452650636 , 1.14239819048581 , 0.978216021591199 , 0.250997375702235 , -0.130852689925398 , -0.034757384125486 , -0.630678591533721 , 0.419701433346859 , -0.759902989024074 , 1.31149374692891 , 0.809122472975756 , -0.591925590132074 , 0.282046979890478 , 0.334087315503934 , -0.0244528141775416, -0.716151708172936 , 0.59569462617643 , 0.477205013778225 , 0.532574580424157 , -0.235956630276519 , -0.439007327961896 , 0.0221396830359191 , -0.864964013218575 , 0.399025864884764 , 0.0255361044192191 , 0.00692942143752656, 0.158515635345419 , -0.114366973727714 , -0.290473674995075 , 0.200170436796546 , -0.398684493950999 , 0.217907796198882 , 0.173793202957112 , 0.552307022789458 , 0.909438606863135 , -0.461905249373548 , -0.279245217720752 , 0.374691451560538 , -0.673823827508808 , 0.410628272563651 , 0.563971829862502 , 0.253284039193619 , 0.0544182071767192 , -0.146255682313388 , -0.0200554844314456, 0.820588384641726 , -0.239646468065972 , -0.720957847626354 , 0.294270940917223 , -0.410504277073351 , -0.432951659188643 , -0.289382661404647 , 0.347216161507778 , -0.582833777361574 , -0.673387298173657 , 0.0889650056740134 , 0.878824187492189 , -0.74278272432478 , -0.222442025724021 , 0.41347481696606 , 0.496837933283636 , -0.926565258968676 , -0.333521561740346 , -0.554262676206086 , -0.0152173317506064, -0.626175792466478 , 0.0889598157600777 , -0.308016198988792 , -0.0447742965902042, -0.378703833677197 , -0.257857359335035 , -0.26709508884973 , 0.30376448788081 , 0.453790632164392 , 0.130557377797325 , -0.345867795130852 , -0.572891020742174 , -0.435755692271432 , -0.146383988527063 , -0.147085089799124 , -0.416614327737307 , -0.215639896726432 , -0.0818890593940501, -0.110980111534642 , 0.474643798398278 , 0.0874814004636246 , -0.764677281873045 , -0.214430330210756 , 0.0133573671707431 , 0.098586044837525 , -1.87357309294083 , -0.410231224060314 | 0.0057146 |
| 60 | 50 | 0.0 | 0.1 | 1.0 | control , control , control , control , control , control , control , control , control , control , control , control , control , control , control , control , control , control , control , control , control , control , control , control , control , control , control , control , control , control , control , control , control , control , control , control , control , control , control , control , control , control , control , control , control , control , control , control , control , control , intervention , intervention , intervention , intervention , intervention , intervention , intervention , intervention , intervention , intervention , intervention , intervention , intervention , intervention , intervention , intervention , intervention , intervention , intervention , intervention , intervention , intervention , intervention , intervention , intervention , intervention , intervention , intervention , intervention , intervention , intervention , intervention , intervention , intervention , intervention , intervention , intervention , intervention , intervention , intervention , intervention , intervention , intervention , intervention , intervention , intervention , intervention , intervention , intervention , intervention , -0.279394275432898 , -0.117008331602249 , 2.07516177551087 , -1.27667991121775 , 1.61792919225675 , -0.366501335096882 , -1.62506091227005 , 0.492667551247509 , -0.256129799225069 , -0.57155067799818 , -1.66125696505734 , -0.332219848260525 , 0.748085431685083 , -1.45847221643409 , 1.36538730761814 , 1.14913868052867 , 0.25934161823256 , 0.346261088917344 , 0.248942808988017 , 0.15639526379945 , -0.153088376565732 , 0.588614064535262 , 0.428791020176192 , 0.0926395069297432 , -0.331351656793401 , -0.571017245173026 , -1.81503340604945 , -0.118889706942439 , 0.188692228663611 , -0.929619406703955 , -0.687106325228161 , 0.671000201520517 , -0.700347162963258 , -1.65610882794394 , -0.195068636414241 , -0.82210168003505 , 0.975255450477903 , -0.899783492955245 , 1.62931846312982 , 0.858560351220225 , -2.01419601344674 , -1.65999641364266 , -0.76278384329276 , 1.42252392983055 , -1.41156039143173 , 0.64977193354463 , 0.149365693529784 , 0.240535861461666 , -0.768422049056307 , -0.711237018047258 , 0.0959917389189565 , -0.100618734645717 , -0.417196612871562 , 0.399599928016876 , -0.281884143245693 , -0.454112502081396 , -0.772990905927131 , -0.123574237723831 , 1.1894192039575 , -0.614465736460263 , -3.44942367212001 , -0.902583738567014 , -0.310709730065394 , 0.727970308373016 , 1.30905311616042 , -0.0278503685155696, -0.0426297291794912, 0.215369753691143 , -0.112676306470974 , 0.982124796140989 , -0.745849634509458 , 0.0237646893134217 , -0.495132210359058 , 0.11406778788306 , 0.621611434915827 , -2.33987559352711 , 1.03110544083181 , -0.787624066716245 , -1.13818388517646 , -0.856685179185648 , 0.00139275212443519, 0.531635641805094 , 0.281760746882012 , 0.723886890194266 , -0.463960120459436 , -0.882051836262793 , 0.595506173145056 , 1.2813909871426 , 0.640826718315307 , -0.125235370213487 , -1.20249872775069 , -0.809031114689776 , -0.07552517401184 , 0.23825320574205 , -0.291182640601377 , 0.688082806986038 , 0.0305368323533624 , -0.583786531566538 , -0.587159735273453 , -1.35064601991101 | 0.9299300 |
| 60 | 50 | 0.5 | 0.0 | 0.5 | control , control , control , control , control , control , control , control , control , control , control , control , control , control , control , control , control , control , control , control , control , control , control , control , control , control , control , control , control , control , control , control , control , control , control , control , control , control , control , control , control , control , control , control , control , control , control , control , control , control , intervention , intervention , intervention , intervention , intervention , intervention , intervention , intervention , intervention , intervention , intervention , intervention , intervention , intervention , intervention , intervention , intervention , intervention , intervention , intervention , intervention , intervention , intervention , intervention , intervention , intervention , intervention , intervention , intervention , intervention , intervention , intervention , intervention , intervention , intervention , intervention , intervention , intervention , intervention , intervention , intervention , intervention , intervention , intervention , intervention , intervention , intervention , intervention , intervention , intervention , 0.95200591481244 , 0.551858893978639 , 0.217458133681608 , 0.0714727439899537 , -0.332523136790826 , -0.169317668283297 , 0.156852476299922 , -0.372860289381355 , 0.729009595334082 , -0.376424425173292 , -0.388486762471621 , -0.333381762133708 , -0.747207731821784 , -0.167033790840821 , -0.261152020387504 , -0.674002607185151 , -0.0751756470109833 , -0.513057829555643 , -0.299591361176925 , -0.0197854802386162 , -0.27255834769459 , -0.0699392042247164 , -1.08392467168103 , -0.222117818942111 , -1.14665784758633 , 1.02680561783386 , -0.560407315415341 , -0.816739652615221 , 0.37534710378281 , 0.414263071928881 , -0.850152235766763 , 0.487435851642585 , 0.16121789853334 , 0.0761588641188337 , 0.000660658870440353, 0.494425213646745 , -0.286714619922934 , 0.71982879363926 , -0.528410270021881 , 1.05493754233099 , 0.231365906086284 , 0.139449497560013 , -0.302232246840832 , 0.238676734719767 , 0.0989023076684738 , -0.173759051876027 , -0.650650843198942 , -0.982843527445115 , 0.611242794599913 , 0.185922962839009 , 2.1228875634228 , 0.140434923689754 , 0.777783853012692 , 0.854353239531306 , 0.0232897868020955 , -0.232518974453214 , 0.250679739527121 , -0.0997891856476045 , 0.826187459697644 , 0.676877535893975 , 0.305797379716508 , 0.0614411357260496 , 0.738174554517256 , 0.530175206274346 , 0.842749741286528 , -0.11741767507619 , 0.906910553294356 , 0.767414650476638 , 0.887327160245032 , -0.473194443234074 , 0.504291847588436 , 0.75390648939135 , -0.18705947432547 , 0.27843931815365 , -0.367688090062287 , 0.345467594947276 , 1.06418549438434 , 0.505748202360209 , 0.357508023753665 , 0.307822736785958 , -0.434223512652057 , 0.187650720187821 , 1.02398889033055 , 0.883823797081703 , -0.458161944652965 , 0.133570213980752 , -0.112734186423801 , 0.998695348851176 , 0.498721087789779 , 0.383849124667728 , 0.0523639094398718 , 0.936808436236342 , 0.317922384751312 , -0.166054004874487 , 0.283622109720338 , 1.11939051609277 , 1.23212699855902 , -0.560248802333418 , 1.12509936099072 , 0.161829462279595 | 0.0000135 |
| 60 | 50 | 0.5 | 0.0 | 1.0 | control , control , control , control , control , control , control , control , control , control , control , control , control , control , control , control , control , control , control , control , control , control , control , control , control , control , control , control , control , control , control , control , control , control , control , control , control , control , control , control , control , control , control , control , control , control , control , control , control , control , intervention , intervention , intervention , intervention , intervention , intervention , intervention , intervention , intervention , intervention , intervention , intervention , intervention , intervention , intervention , intervention , intervention , intervention , intervention , intervention , intervention , intervention , intervention , intervention , intervention , intervention , intervention , intervention , intervention , intervention , intervention , intervention , intervention , intervention , intervention , intervention , intervention , intervention , intervention , intervention , intervention , intervention , intervention , intervention , intervention , intervention , intervention , intervention , intervention , intervention , -0.725688110618135 , -0.918929651416914 , 0.525371511934572 , -0.0871904960743458 , 1.10019135095542 , -0.511387464753138 , -0.524686403167664 , 1.07833780141632 , 1.42456266448146 , 1.28073873450081 , 0.277990783621699 , 0.11643535503532 , -1.31906452733364 , -0.789755800126309 , 0.974920046288463 , 1.18224693724967 , -0.465652647527387 , -0.755605352274371 , 1.73794395749262 , -1.14675257085401 , -0.684985693932602 , -1.41127104596474 , -0.3800669889704 , -0.152868984597722 , 0.850257177159757 , 1.64360662511348 , -0.19031906638149 , -1.33234849749383 , 0.765614721066949 , 0.000772518157669407, 0.246490609580707 , 0.633685648723072 , -0.350909847516704 , 0.132534563643278 , 0.728233684853502 , 1.08967176687602 , 0.69851429646225 , 0.184298724410025 , 0.377185149893364 , -2.08105561466732 , -0.0180281851387623 , 2.38890454215772 , 2.2199368232864 , -0.727970280512014 , 1.65630323801191 , -0.240363278599619 , -0.219004750053314 , 0.585220874324908 , -0.397996862068311 , 0.8604966530929 , -1.46651347993423 , 2.78958253237639 , 1.75424480340004 , -1.01855879930596 , 2.03168879687381 , 1.59667044670723 , -0.15754724190828 , 1.36491864549169 , -0.318482501258599 , -0.589736783999679 , 1.23288656002332 , 0.215703349344742 , 1.46265789062727 , 0.453263281637682 , 0.971849736133072 , 0.515028593247156 , 1.62904245064727 , -1.26707646369603 , 0.591510750434142 , -0.208848625171011 , 1.23019775982041 , 1.19741739369028 , 0.311686443821116 , 1.51542292425029 , 2.50033467932216 , 1.68873697838435 , 0.340363461133496 , 1.99120796939463 , -0.788418315562908 , 1.91817573218155 , -0.0330316844688718 , 0.159459446303622 , -1.13378812586668 , 0.615091150407376 , 1.91116069238234 , 1.47584346328514 , -2.63564035559676 , 1.56188486346732 , -0.258059039650292 , 0.43010078392146 , 0.529148161707395 , -1.00700072732774 , -1.41149349649165 , -0.340542915957786 , 0.660584539221802 , 0.714699624991219 , 0.817455860071743 , 0.0817167877448944 , 0.654881610304774 , 1.55879267129571 | 0.0874092 |
| 60 | 50 | 0.5 | 0.1 | 0.5 | control , control , control , control , control , control , control , control , control , control , control , control , control , control , control , control , control , control , control , control , control , control , control , control , control , control , control , control , control , control , control , control , control , control , control , control , control , control , control , control , control , control , control , control , control , control , control , control , control , control , intervention , intervention , intervention , intervention , intervention , intervention , intervention , intervention , intervention , intervention , intervention , intervention , intervention , intervention , intervention , intervention , intervention , intervention , intervention , intervention , intervention , intervention , intervention , intervention , intervention , intervention , intervention , intervention , intervention , intervention , intervention , intervention , intervention , intervention , intervention , intervention , intervention , intervention , intervention , intervention , intervention , intervention , intervention , intervention , intervention , intervention , intervention , intervention , intervention , intervention , 0.0573384831785339 , 0.730713681214418 , 0.830727804136922 , 0.236614353452472 , 0.414428549104073 , 0.226330522297012 , 0.352627536883178 , -0.105095725875543 , 0.451167535837977 , 0.545748173177204 , 0.885539718305401 , 1.16508400702288 , -0.0670123084046587, -0.564667904196661 , 0.0693638202294183 , 0.198000958455296 , -0.429957140673676 , 0.369602049483648 , -0.319735328504316 , -0.387371812528373 , 0.115477888415345 , -0.0663155023486399, -0.253410429965211 , 0.657091348260549 , -0.129756593207793 , 0.606931341350994 , -1.01716040893768 , -0.143042604538514 , -0.291784164396951 , 0.583480415585214 , -0.263103188484941 , -0.333076032427432 , -0.0348129906233875, 0.211538942627362 , 0.148479929609601 , 0.0744047417017238 , -0.383508125522971 , 0.61799974664595 , 0.664613531460995 , 0.553407655519393 , 0.195641731201267 , -0.124337504694637 , 1.04000045767534 , -0.135365861932217 , -0.142150076229912 , -0.0647989241208245, 1.10007307379387 , 0.453811436487131 , 0.412140370745847 , 0.283507881901136 , 0.368181410860427 , -0.0372447381241728, 1.1647479903029 , -0.181731052215819 , 0.415355409267165 , 0.771417182322484 , 0.0702215920445327 , -0.0140523800012696, -0.409239721351814 , 0.723411904148237 , 0.349137081683761 , 1.1810152949021 , -0.545772531065343 , 0.154986746325675 , 1.35431966503493 , 0.775525084556397 , 0.90226050618182 , 0.682535626506696 , 1.3927937075558 , -0.162247212298426 , 0.721352341080931 , 0.76769183460917 , -0.324321541836841 , 1.08212614409611 , 0.278811106761714 , 1.30154672133253 , 0.881071957642177 , 0.359315046298071 , 0.816980260727771 , 1.00659796217656 , 0.445213611214707 , 0.0631355597749293 , 0.0265903727664691 , 1.0347400550179 , 0.615956510665557 , 1.40531682479665 , 0.151847722066887 , 0.216378179938397 , -0.213357533663595 , 0.856892684978953 , 0.606121500094856 , 0.0252998785234713 , 0.953761376095636 , 0.139017852452684 , -0.0128116203514766, 0.177164751235375 , -0.157285018091586 , 0.431935596353192 , 0.285564719028369 , -0.695087788038886 | 0.0093780 |
| 60 | 50 | 0.5 | 0.1 | 1.0 | control , control , control , control , control , control , control , control , control , control , control , control , control , control , control , control , control , control , control , control , control , control , control , control , control , control , control , control , control , control , control , control , control , control , control , control , control , control , control , control , control , control , control , control , control , control , control , control , control , control , intervention , intervention , intervention , intervention , intervention , intervention , intervention , intervention , intervention , intervention , intervention , intervention , intervention , intervention , intervention , intervention , intervention , intervention , intervention , intervention , intervention , intervention , intervention , intervention , intervention , intervention , intervention , intervention , intervention , intervention , intervention , intervention , intervention , intervention , intervention , intervention , intervention , intervention , intervention , intervention , intervention , intervention , intervention , intervention , intervention , intervention , intervention , intervention , intervention , intervention , 0.486567481795636 , 0.0243141403189894 , -1.0666019030028 , 1.21008174737678 , 0.443968495924806 , -1.08745927378217 , 1.2200594372 , 0.138818766407104 , -0.494126201288888 , 0.370326401646046 , -0.947436034509436 , 1.21472088335811 , -0.512505188801891 , 0.224573041734502 , -0.491605761390195 , 2.43007390864623 , -0.071863440921281 , 2.45228408972194 , -0.423030683533417 , -0.180793747123106 , -0.873641341215632 , 1.2122171175825 , -0.0489057184129659, 0.549748956038711 , 1.16551637221321 , -0.841441369586269 , -0.534399939539875 , 0.860206719587118 , 0.450377635231604 , -1.12161389830546 , -0.143724151981078 , -1.37881823266394 , -0.319010117090373 , -0.516684695914169 , -1.08540901393729 , 0.00105552868350581, 1.30348764849253 , 0.527896599261315 , 0.548278465362317 , -1.3453380450693 , -0.35571435491733 , -0.371426045707154 , 0.465101893399495 , -0.196020387560037 , -0.907914272311827 , -0.0771985069551748, 0.912816871538729 , 1.29441234569351 , -0.0462835199015898, 0.0514763866113035 , 1.18976968825396 , 0.339742279977968 , -0.656829740511982 , 0.890933925818369 , 0.948849871058237 , 1.26169797019285 , -0.333099904010938 , 1.31155588139431 , 0.766248491315857 , -1.41399035509266 , 1.20787042960087 , -0.149493786661326 , 0.293672370828827 , 1.36872570550743 , 0.95840951642016 , -1.14825699818836 , -0.707843759885086 , 0.494084389006477 , 0.585005927074534 , 1.65986052835708 , 0.435697725059024 , -0.370719315197598 , 1.17207158913862 , 1.68609164631424 , 0.152971058630161 , -0.735394718768467 , -0.847096437682388 , 0.669448528064712 , 0.285913480864318 , 1.5950028160695 , 0.604880493195196 , 2.36783352092444 , -1.29969391741333 , 0.330621305333786 , 1.57320197359815 , 0.428268533192292 , -0.512950822626197 , 0.00597179754452454, 0.43653806847308 , 0.0519898891860183 , 1.77319731030094 , 1.73024873595022 , -0.0605136522925019, 0.0566950956269485 , 0.740901965931841 , 1.13461611898946 , 0.486966310495409 , 0.857638581412099 , 1.44448080524464 , 0.136813942783089 | 0.0190956 |
| 61 | 20 | 0.0 | 0.0 | 0.5 | control , control , control , control , control , control , control , control , control , control , control , control , control , control , control , control , control , control , control , control , intervention , intervention , intervention , intervention , intervention , intervention , intervention , intervention , intervention , intervention , intervention , intervention , intervention , intervention , intervention , intervention , intervention , intervention , intervention , intervention , 0.115047927370973 , 0.108694379602036 , 0.398817428737786 , 0.15746878490895 , 0.0145902728163128 , 0.0731736066404429 , 0.257843483526322 , 0.69148011221823 , 0.162151722767845 , 0.174406552678848 , 0.864014065270668 , -0.0374252118551025, -0.364977031284238 , 0.462347326635062 , -0.522498296409648 , -0.839466773650966 , -0.159528885010398 , 0.0650209873821559 , 0.34693034299958 , -0.586410630035734 , -0.0736177510348709, -0.418819618188331 , 0.00832197568359339, 0.542870132366504 , 0.0505449772189884 , 0.375102506861086 , 0.290765188953173 , -0.765641971206734 , -0.151095454640734 , -0.563248874008499 , 0.274512189675887 , -0.584363353086337 , -0.319721329987816 , -0.0320296411580409, -0.430971622970503 , 0.742572885452525 , -0.863239278377172 , -0.269059788823076 , 0.0861156153336138 , -0.409592993829655 | 0.1554409 |
| 61 | 20 | 0.0 | 0.0 | 1.0 | control , control , control , control , control , control , control , control , control , control , control , control , control , control , control , control , control , control , control , control , intervention , intervention , intervention , intervention , intervention , intervention , intervention , intervention , intervention , intervention , intervention , intervention , intervention , intervention , intervention , intervention , intervention , intervention , intervention , intervention , 0.304955761200094 , -1.15177006238108 , -1.11939445261316 , -0.473728705127282 , -0.678689999299933 , 0.221041977117176 , -1.70342516267657 , -0.578256069458593 , 0.210439184031383 , 0.703783847379951 , 0.0606336517674198 , 1.33378470937923 , 0.194231384929131 , 0.413925586823709 , 0.0397879149266845 , -1.20460541289815 , 2.34161035209574 , -1.91172681468457 , -0.554363064197678 , 0.309702141794163 , -0.815157894958787 , 0.611028820355523 , 0.168170478104556 , 0.276242791129618 , -0.454312623744198 , -1.29671864010776 , -1.23361860102865 , -0.645697072977385 , 0.107262118003037 , 0.532710147389086 , 0.363977810146001 , 0.442130313419253 , 0.661929476882094 , 2.08952971369149 , 0.27269661185189 , -0.0316199994625956, -0.536106489254468 , 1.68191004993933 , -1.08747804138016 , -0.430870974222639 | 0.5199509 |
| 61 | 20 | 0.0 | 0.1 | 0.5 | control , control , control , control , control , control , control , control , control , control , control , control , control , control , control , control , control , control , control , control , intervention , intervention , intervention , intervention , intervention , intervention , intervention , intervention , intervention , intervention , intervention , intervention , intervention , intervention , intervention , intervention , intervention , intervention , intervention , intervention , 0.5952636264961 , 0.455201870167083 , 0.744032324230465 , -0.623993694543632 , -0.0412632017461542, -0.859962164685877 , -0.718575759242662 , -0.198578679764011 , 0.531748256431648 , 0.231579393978057 , 0.469735401843844 , 0.946305040699229 , 0.161101737439019 , -0.111695469561553 , 0.0351064751439858 , -0.866080986511562 , 0.560859699932189 , 0.443872141922094 , -0.2248977989801 , 0.317828681813161 , 0.225092629107529 , -0.494161496113795 , -0.266068118264981 , -0.0358965766478597, 0.00941977441880917, -0.163068252387473 , 0.0256774534272262 , -0.311491879933301 , 0.167526791839799 , 0.222126161480435 , 1.07683614851919 , 0.624256330560717 , -0.403756197973003 , -1.01325828267314 , 0.00128310048787172, -0.857192046260007 , -0.212153857969022 , -0.514912195987713 , 0.0118539629642372 , 0.752956775307886 | 0.3696361 |
| 61 | 20 | 0.0 | 0.1 | 1.0 | control , control , control , control , control , control , control , control , control , control , control , control , control , control , control , control , control , control , control , control , intervention , intervention , intervention , intervention , intervention , intervention , intervention , intervention , intervention , intervention , intervention , intervention , intervention , intervention , intervention , intervention , intervention , intervention , intervention , intervention , -0.733674779411756 , 0.0159898918546351 , -1.12587576630314 , 0.329491037155353 , 0.0795063537324909 , 1.04840165946204 , 0.804051599594627 , 0.260644705674251 , -0.739850539937387 , -0.757235414158788 , -0.326275881521174 , 0.548249520094873 , 0.769166916898409 , 0.138780553897789 , 1.25450059508645 , -0.0961651301174188, -0.937411389331558 , -2.33564525598031 , -1.49275583783575 , 1.12175007013733 , 0.687420497467311 , -0.42973974043923 , -0.116292023589665 , -0.25446505053368 , 1.34580781635405 , 0.80120956588231 , -0.875804595063637 , -0.778090401864962 , 1.42448264823315 , 0.0436194338377335 , 0.490773848980705 , -0.0960045924801818, 1.14664230498114 , 0.553153841083109 , -0.594150681391172 , 0.133766699896814 , -0.357126887581979 , -0.0819537876368485, 0.0869672861825246 , 0.325573224381812 | 0.2842465 |
| 61 | 20 | 0.5 | 0.0 | 0.5 | control , control , control , control , control , control , control , control , control , control , control , control , control , control , control , control , control , control , control , control , intervention , intervention , intervention , intervention , intervention , intervention , intervention , intervention , intervention , intervention , intervention , intervention , intervention , intervention , intervention , intervention , intervention , intervention , intervention , intervention , -0.131299566078965 , 0.897494810920353 , 0.743881021658448 , -0.061645210640646 , 0.076915762551814 , 0.206262985856667 , 0.339606656721509 , -0.0450540949297268, -0.0710318389569049, -0.131994664405486 , 1.22532798344447 , 0.207682404115184 , -0.197741541841938 , -0.258539735591471 , -0.19753914238113 , 0.297639297046452 , -0.264831387708715 , -0.729006006336864 , 0.120991715733941 , 0.519066076282409 , 0.845619892217135 , 1.35468226592874 , 0.498059328867019 , 0.323272527976366 , 0.0220076339986284 , 0.825978546644731 , 1.53810732854448 , 0.303706172303612 , 0.526913459053298 , 0.867788504204906 , 0.808392662506348 , 0.947092885113071 , 0.395012884685096 , 0.507663491152961 , 0.427911535179068 , 0.501806157340177 , 0.183798089850671 , -0.594202803499216 , 0.224060501450376 , 0.245459292079272 | 0.0077642 |
| 61 | 20 | 0.5 | 0.0 | 1.0 | control , control , control , control , control , control , control , control , control , control , control , control , control , control , control , control , control , control , control , control , intervention , intervention , intervention , intervention , intervention , intervention , intervention , intervention , intervention , intervention , intervention , intervention , intervention , intervention , intervention , intervention , intervention , intervention , intervention , intervention , 1.91189546304264 , -0.58047760814136 , -1.24217773553679 , 0.425625348969563 , -0.255580033850746, 1.34796378700843 , 0.787439465403311 , 0.25480668240493 , -0.315326600389999, -2.72512750778752 , -0.865109125163941, 2.19267724595588 , 0.0795271919066087, -1.2635435678277 , -0.95844394099043 , -1.64246554482987 , 0.135169651547103 , -0.331524791516004, 0.883326231844386 , 1.05279194104651 , 1.52562961610437 , 0.664788590971775 , -1.64854273267054 , 0.932621555060473 , 0.213710176825332 , 1.16498179944837 , 0.428610124801984 , 0.630873088988075 , 0.414397138256213 , 1.82951484002879 , 1.02802944349504 , -0.155813944711815, 0.141158947995945 , 1.88203162324122 , 1.80638668652586 , -0.382979412797656, 0.459403745128514 , 0.666113567227184 , -1.10275953478545 , -0.659497090474191 | 0.1236410 |
| 61 | 20 | 0.5 | 0.1 | 0.5 | control , control , control , control , control , control , control , control , control , control , control , control , control , control , control , control , control , control , control , control , intervention , intervention , intervention , intervention , intervention , intervention , intervention , intervention , intervention , intervention , intervention , intervention , intervention , intervention , intervention , intervention , intervention , intervention , intervention , intervention , -0.438167010125641 , -0.447446482167275 , -0.250750612540154 , -0.117722523297038 , 0.701465074131791 , 0.0977635147991313 , -0.0545051859469178, -0.408994609741203 , 0.15822964351598 , -0.422219615919889 , -0.24829640261751 , -0.0950865615978299, 0.309124626981507 , 0.78447938537813 , -0.865065538214267 , -0.212274305437973 , 0.3264635189039 , -0.497687835291505 , -0.462560648380202 , -0.712038421611065 , 1.03658694452333 , 1.1054632265838 , 0.363375526551269 , 0.584382754054522 , 0.485915118612242 , 0.553064929782221 , 0.549526812202569 , 0.79409345311178 , 1.27819002067865 , 0.473995927121706 , 1.32802409122121 , 0.482003401074726 , -0.0879429752109723, 0.673303294086829 , 0.130130210044459 , 0.532034116299002 , 0.617267589403104 , 0.408732671202993 , 0.287891522208819 , 1.31861533766579 | 0.0000005 |
| 61 | 20 | 0.5 | 0.1 | 1.0 | control , control , control , control , control , control , control , control , control , control , control , control , control , control , control , control , control , control , control , control , intervention , intervention , intervention , intervention , intervention , intervention , intervention , intervention , intervention , intervention , intervention , intervention , intervention , intervention , intervention , intervention , intervention , intervention , intervention , intervention , -1.21953817999033 , 2.42096769881204 , -0.547369106317013, 0.685203825362184 , 1.15195115307596 , 0.0607680082082305, 1.2184304759617 , 0.247746224129134 , -1.75810834538127 , 1.17104615291291 , 1.32722201540317 , -0.999597830585876, -0.775354113759474, -0.472421552869285, -0.981277109491305, -0.105290489395948, 1.07101682821694 , -0.3520094136122 , 0.337140144183415 , 1.43173587968108 , 0.132643009925714 , 1.36663662175835 , -0.946116218129517, 0.709336956560653 , 1.42102856156673 , -0.113644463061108, 0.805884150936051 , 0.890501955479904 , 1.23504275976713 , -0.081166126108537, -1.16707361306893 , 0.0773843958947186, 0.58852207380959 , 0.870793385933952 , 0.953520830042819 , 3.04752493863588 , -0.342494566627569, 1.2891723649396 , 2.30880830180703 , -1.15992771778899 | 0.2540263 |
| 61 | 50 | 0.0 | 0.0 | 0.5 | control , control , control , control , control , control , control , control , control , control , control , control , control , control , control , control , control , control , control , control , control , control , control , control , control , control , control , control , control , control , control , control , control , control , control , control , control , control , control , control , control , control , control , control , control , control , control , control , control , control , intervention , intervention , intervention , intervention , intervention , intervention , intervention , intervention , intervention , intervention , intervention , intervention , intervention , intervention , intervention , intervention , intervention , intervention , intervention , intervention , intervention , intervention , intervention , intervention , intervention , intervention , intervention , intervention , intervention , intervention , intervention , intervention , intervention , intervention , intervention , intervention , intervention , intervention , intervention , intervention , intervention , intervention , intervention , intervention , intervention , intervention , intervention , intervention , intervention , intervention , 0.306243854160316 , 0.0901720837052848 , 0.715384541076683 , 0.425546600162614 , -1.01984757318423 , 0.682008965476083 , -0.0900056780470723, 0.113060301655889 , -0.374696513711977 , -0.596382539655607 , 0.568132992617487 , -0.413584114121722 , 0.283078015536633 , 0.950690697435027 , 0.610387624073456 , -0.262300686934848 , 0.463228574768641 , 0.956031382843363 , 0.115201564782793 , -0.578747761385746 , -0.396330667749927 , -0.634576322816576 , 0.724459345569204 , -0.517836098404005 , -0.173787494812107 , 0.706483384918786 , 0.860922360491753 , 0.393949336811082 , 0.170226329032547 , 0.265235303784372 , 0.608447058199649 , 0.234106635428288 , 0.0217716531316463 , 0.647869110404343 , 1.3499298510508 , 0.403604719041621 , -0.402794716077575 , 0.354974088115759 , -0.655893580175272 , 0.435258163919575 , -0.134704738447654 , 0.475780731087608 , 0.190703417944048 , 0.538677803784111 , 0.330532422610996 , -0.297101268527512 , 0.504651358633725 , 0.0318097770144429 , 0.381360558635681 , 0.320133090578243 , 0.152297582221244 , 0.712278680875566 , 0.27269415647493 , 0.754490090165919 , 0.13606366824213 , 0.110237998754332 , 0.340153927240221 , -0.130052332385343 , -0.219989543707123 , 0.653968670730985 , 0.289683223856508 , 0.0301171475000257 , -0.374005577900845 , 0.584268912590999 , 0.396562714225833 , 0.535399947037206 , -0.168818860577892 , -0.321961863476609 , -0.30130105485752 , 0.190807854828125 , 0.738908595887145 , -0.405828910965614 , 0.0429283034451099 , -0.450080357548353 , -0.4453919529032 , -0.247010280897084 , -0.707563481098071 , -0.971645962616712 , -0.311062752920987 , 0.303253963000952 , -0.677486810526093 , 0.173447542757168 , -0.49240573196243 , 0.39958560024696 , -0.290201583514926 , -0.623170262724901 , 0.159279555919548 , -1.48293863175384 , -0.132104073058665 , 0.222525921142412 , -0.0770385550458245, -0.228590968222684 , -0.159582921453227 , -0.501562219784932 , -0.0378491741579402, -0.432929571540577 , 0.637907205225739 , -0.749303779170887 , -0.336631241791702 , 0.0403722587734047 | 0.0083672 |
| 61 | 50 | 0.0 | 0.0 | 1.0 | control , control , control , control , control , control , control , control , control , control , control , control , control , control , control , control , control , control , control , control , control , control , control , control , control , control , control , control , control , control , control , control , control , control , control , control , control , control , control , control , control , control , control , control , control , control , control , control , control , control , intervention , intervention , intervention , intervention , intervention , intervention , intervention , intervention , intervention , intervention , intervention , intervention , intervention , intervention , intervention , intervention , intervention , intervention , intervention , intervention , intervention , intervention , intervention , intervention , intervention , intervention , intervention , intervention , intervention , intervention , intervention , intervention , intervention , intervention , intervention , intervention , intervention , intervention , intervention , intervention , intervention , intervention , intervention , intervention , intervention , intervention , intervention , intervention , intervention , intervention , -0.924993048474962 , 1.16633617764625 , 0.160990325923084 , 0.117705077835392 , -0.0732892508010369 , 0.520651158227744 , 1.81568296254375 , 0.175872340141222 , -0.105124831166839 , 0.0890808911197001 , 0.221007661703455 , 1.1970170560316 , -0.228309401142344 , -0.00067028556905977, -0.332293484633047 , 2.3230409037198 , -0.117809122233641 , 0.62047572145542 , -0.545310836394867 , -0.277785132240422 , 1.69705875361504 , 1.83497169379005 , -2.42838551696284 , -0.0107712265452061 , -0.377092494939095 , 0.571365720289747 , 1.23002552404887 , -0.271213825982702 , -1.25948878665487 , 9.17295337678821e-06, 0.451240784622276 , -1.53683097695094 , 1.23044162962937 , 0.356095665433168 , -1.34264507862478 , 0.824321801118193 , 2.01327123922936 , 0.615424664108822 , -0.109679408869629 , 1.84089974512622 , -0.345254320939796 , 0.890548622982599 , -0.236207595914952 , 0.208633332748057 , -1.50608699732721 , -1.93715094116009 , -0.803720463136926 , -0.97122644272037 , -0.315938025885555 , -0.0401098377992119 , -0.220170906830371 , 0.974628050657085 , 0.27863639844053 , 0.57190119810936 , 0.117938298969784 , 0.285944222563494 , -3.59200132931475 , 1.971076515338 , 1.04044450757875 , -0.288636415438515 , 0.430699682198081 , 1.26133249127945 , 1.27805462606034 , 0.0191270469269413 , -1.48505378866501 , -0.753088345334222 , -0.240991441508364 , -1.42319972416558 , -1.81245398339484 , -0.533796128037505 , 2.42159829876429 , -0.365311588580066 , 0.913377629678006 , -0.332514231542568 , -0.217542548970728 , 1.69422576696768 , 0.151152048782903 , 1.34791968421719 , 1.18363783392811 , 1.45970218453636 , -0.251767772909332 , 0.693401282076855 , 0.34994533621689 , -0.38957577042374 , -0.208325361792942 , 0.549401630549515 , -0.668906217503006 , -0.0283337637415059 , 0.802901902192298 , 0.320128729252127 , -1.3664770301133 , 1.38627554148655 , -0.598861776980813 , 1.95528362870938 , -1.1601966842518 , -0.634325220228094 , -1.27850542722448 , 0.718889247757822 , 1.7871026691208 , -1.29419016282884 | 0.9456507 |
| 61 | 50 | 0.0 | 0.1 | 0.5 | control , control , control , control , control , control , control , control , control , control , control , control , control , control , control , control , control , control , control , control , control , control , control , control , control , control , control , control , control , control , control , control , control , control , control , control , control , control , control , control , control , control , control , control , control , control , control , control , control , control , intervention , intervention , intervention , intervention , intervention , intervention , intervention , intervention , intervention , intervention , intervention , intervention , intervention , intervention , intervention , intervention , intervention , intervention , intervention , intervention , intervention , intervention , intervention , intervention , intervention , intervention , intervention , intervention , intervention , intervention , intervention , intervention , intervention , intervention , intervention , intervention , intervention , intervention , intervention , intervention , intervention , intervention , intervention , intervention , intervention , intervention , intervention , intervention , intervention , intervention , -0.270829554570234 , 0.291443778957972 , -0.478259475250743 , -0.446205209748105 , 0.965089132940798 , -0.565607930635624 , -0.0323957720680328, 0.235998123975773 , -1.0496508444926 , 0.00662493944488687, 0.356853522762035 , -0.394136635084053 , 0.355008228982049 , -0.384470554732705 , -0.770426334314205 , 0.0816416988620363 , 0.0879342000835304 , -0.0960794342853606, -0.425716960089557 , -0.189024253408645 , 1.0395025214826 , -0.399659292888636 , -0.200090641065584 , 0.193311589092447 , 0.345147763150877 , -0.110333938342668 , -0.681669566627622 , -0.344556497371463 , 1.21599525139046 , -0.347652856879395 , -0.793895384434017 , 0.401424597667163 , 0.192095409962314 , 0.167152175225602 , -0.322919648244709 , -0.383228538829453 , 0.943942541494237 , 0.78825690616103 , -0.549330276606336 , 1.03067530638614 , 0.21698802258009 , -1.19704511761208 , 0.273301023722233 , -0.834810315484383 , 0.260733757704635 , 0.74347336228705 , 0.0293651179552966 , -0.604299901944618 , 1.29326628072532 , -0.244789789679794 , 0.167174795346942 , 0.245603865610094 , -0.28130496478208 , 0.422397924864312 , -0.466690346104769 , 0.946160338898306 , 0.74162088122452 , 0.828474086788952 , 0.565957175325566 , -0.24203240854009 , -0.451948124866263 , 0.635570722524713 , 0.157604549971611 , -0.404348931489471 , 0.527020260966018 , 0.126594169535892 , 0.431609001193225 , 0.39232781296812 , 0.325708611105514 , 0.0832990254198231 , -0.48890883302701 , -0.177977303656045 , 0.0439993430613473 , 0.754631855070797 , 0.0481924329614846 , 0.232457782796478 , -0.137317574317273 , -0.400287447545466 , 0.844738992203726 , -0.259902795933811 , -0.188173552758744 , 0.0391185368325209 , -0.17528387694213 , -0.288637025898468 , -0.524605022752179 , -0.254593412583208 , -0.485059324451882 , -0.0486183170335454, 0.999886523496627 , 0.49622157371827 , 0.901339152618976 , 0.122964658114477 , -0.427398053246118 , 0.402413723305622 , 0.286401582516415 , -0.199086984059311 , -0.69503310155126 , -0.1964428929429 , 0.33986195856795 , 1.04214134730712 | 0.1929770 |
| 61 | 50 | 0.0 | 0.1 | 1.0 | control , control , control , control , control , control , control , control , control , control , control , control , control , control , control , control , control , control , control , control , control , control , control , control , control , control , control , control , control , control , control , control , control , control , control , control , control , control , control , control , control , control , control , control , control , control , control , control , control , control , intervention , intervention , intervention , intervention , intervention , intervention , intervention , intervention , intervention , intervention , intervention , intervention , intervention , intervention , intervention , intervention , intervention , intervention , intervention , intervention , intervention , intervention , intervention , intervention , intervention , intervention , intervention , intervention , intervention , intervention , intervention , intervention , intervention , intervention , intervention , intervention , intervention , intervention , intervention , intervention , intervention , intervention , intervention , intervention , intervention , intervention , intervention , intervention , intervention , intervention , 1.563105813255 , 2.24016682919708 , 0.10365450224679 , 0.684056327461873 , -1.14681579943646 , 0.654043050692398 , 1.32246076979048 , 1.04023641806132 , 0.76556679517446 , -0.829068495517632 , 1.34487663408374 , 0.109301140210446 , -0.517466272263092 , 1.26218058700616 , 1.91615455404732 , 0.254292357440643 , -1.0877686787247 , 0.329811540639621 , -0.652233372171968 , -1.99027675299834 , -1.20354604752941 , -0.0607380903557332, -1.23905177780233 , 0.248669604044527 , -0.195802928719097 , 1.4091633739641 , 1.35204911320114 , -0.84585340375435 , -0.0857872203030984, 1.80239252047006 , 1.25374083468912 , 0.698000592398135 , 0.646350991835599 , -0.305671299053203 , 0.888144838279353 , 0.825023905772685 , -0.0903426088011227, 1.17787196144939 , 0.780495470786549 , -0.87577017246881 , -0.51313853511688 , -1.81536083161598 , -0.269723846877492 , 0.0941925691813418 , -0.600371573384707 , -1.2485562568987 , -1.28974892817002 , -0.729639799551615 , -1.76035504666579 , 0.230659570551391 , 0.406425251026508 , -0.407906047795899 , -0.0872493889096447, 0.887304817789393 , 0.00216692134951949, -0.322555460091886 , -1.10250889104288 , 0.474769491696377 , 0.104308998486514 , 0.546068861176773 , -0.357234015549436 , -0.151282701250659 , -0.191541797870501 , -0.931487776273898 , 0.235842160186579 , -1.72210210423759 , -1.20630888137267 , -0.756188600412511 , -1.62635635300019 , 0.46499319660325 , -2.39387380415024 , 0.244561235963388 , -0.046572667230031 , 1.40408865498362 , -0.742881974734199 , -0.294590389049516 , 0.744025604384108 , 0.859833180550037 , -2.16975708913596 , -0.287878617912905 , -0.71574558060518 , 1.6780484675744 , -0.490892252989866 , -1.19722652450361 , 0.254926399613946 , 0.10357883782022 , 1.22467988530439 , 1.06577231661215 , -0.496438398153091 , 1.02520908445283 , 0.589461763714618 , 1.47851736726286 , 0.70981455416944 , 0.278121416347228 , -1.06736557895593 , -0.984487733646774 , 0.883332024783984 , -0.87989705409856 , -0.179248180415025 , 0.0441920194487311 | 0.2818120 |
| 61 | 50 | 0.5 | 0.0 | 0.5 | control , control , control , control , control , control , control , control , control , control , control , control , control , control , control , control , control , control , control , control , control , control , control , control , control , control , control , control , control , control , control , control , control , control , control , control , control , control , control , control , control , control , control , control , control , control , control , control , control , control , intervention , intervention , intervention , intervention , intervention , intervention , intervention , intervention , intervention , intervention , intervention , intervention , intervention , intervention , intervention , intervention , intervention , intervention , intervention , intervention , intervention , intervention , intervention , intervention , intervention , intervention , intervention , intervention , intervention , intervention , intervention , intervention , intervention , intervention , intervention , intervention , intervention , intervention , intervention , intervention , intervention , intervention , intervention , intervention , intervention , intervention , intervention , intervention , intervention , intervention , 0.147989717607157 , -1.12970008550887 , 0.331590207873655 , -0.187363031439927 , 0.198092989654403 , 0.110138326748147 , -0.187278252625438 , -0.0873506511093713, -0.0830756747444918, 1.08812657944675 , 0.856744482565898 , -0.101963801599597 , -0.425187846426545 , 0.167867548243678 , -0.346381191989493 , -0.118447299802701 , -0.156645792590854 , 0.576171108088821 , 0.199521256238064 , -0.113062394148782 , -0.657741935951561 , 0.0434368542546575 , 0.059736302815638 , 0.573263978848315 , -0.311782115114758 , -0.240744111413592 , -0.539300674199667 , 0.629969805759067 , 0.532059576012295 , -0.0360879980008361, -0.188732879780675 , 0.245042073789231 , -1.0740717728811 , -0.134770336044019 , 0.336695032660561 , 0.311812057191218 , 0.300656751641365 , 0.101098821957564 , -1.25084564507765 , -0.319231077088481 , 0.152598732264371 , 0.00859795342452625, -0.567369728030516 , -0.0189197429724025, -0.728930441241576 , 0.220550297301386 , 0.236894415553959 , -0.0370243586464946, 0.699649940058156 , 0.149652830959814 , 0.352388087223636 , -0.0263234251242581, 0.21828278315513 , 1.43150816510133 , 0.710603495044624 , 0.824964965543321 , -0.265289800543485 , 0.21249539101565 , 0.0623049894320573 , 0.053216165704288 , 0.673040973874646 , 0.766747439556374 , 0.51703952628006 , 0.0836464509309126 , 0.739529839332446 , 0.888145080101892 , 0.153350670990876 , 0.331569966793633 , 0.673834380276991 , 0.941027237029477 , 0.831447423314751 , 0.19127076086088 , 0.664428268280435 , 0.872128245636001 , 1.33061804515229 , 0.92459312785395 , 1.64400470046723 , 0.257033898843755 , 1.63057160306363 , 0.989787414171327 , 0.51952946794737 , 1.30182031835984 , 0.174133200182523 , -0.333105662531597 , 0.145190110377066 , 0.619129464530866 , 0.114048849066836 , -0.0554848630286597, 0.456445395262123 , 0.566889588294082 , 0.548108630058243 , 0.153009050049531 , 0.958626634082768 , -0.65372659684274 , 0.50691584788502 , 1.08686067770942 , 0.265939875023784 , 1.16480969329448 , 0.0668086230242694 , 0.208503922140062 | 0.0000002 |
| 61 | 50 | 0.5 | 0.0 | 1.0 | control , control , control , control , control , control , control , control , control , control , control , control , control , control , control , control , control , control , control , control , control , control , control , control , control , control , control , control , control , control , control , control , control , control , control , control , control , control , control , control , control , control , control , control , control , control , control , control , control , control , intervention , intervention , intervention , intervention , intervention , intervention , intervention , intervention , intervention , intervention , intervention , intervention , intervention , intervention , intervention , intervention , intervention , intervention , intervention , intervention , intervention , intervention , intervention , intervention , intervention , intervention , intervention , intervention , intervention , intervention , intervention , intervention , intervention , intervention , intervention , intervention , intervention , intervention , intervention , intervention , intervention , intervention , intervention , intervention , intervention , intervention , intervention , intervention , intervention , intervention , -0.916881289449337 , -0.135004847331409 , -0.285129171266612 , -0.544342845404484 , 0.0349610405169253 , 1.70515932091547 , 1.06743725494596 , 0.378135625894244 , 0.0954392844677861 , 1.26173859986207 , -0.421339700208922 , 0.190622562992406 , -0.805050808558342 , 2.23764743176706 , -0.23499816703661 , 1.2636084566849 , 0.187711021239794 , -0.463474204602168 , -0.208369989329653 , -0.650040316366016 , 0.532142791181059 , 0.687997935169573 , -1.56495146657017 , -1.09066533961859 , 1.35806799945244 , -0.0964350662374993 , -1.10956084766361 , -0.298830815175021 , 1.17399645894056 , -1.3042614303629 , 0.19301061098724 , -0.822733602923707 , -0.644838927380767 , -0.748423915006354 , -0.944377186012519 , -0.709930535927219 , -0.542021432910938 , 0.704598714321213 , -0.630001804286169 , -0.356398247020076 , 0.237027520835545 , -0.350553148247184 , 1.67632943416379 , -0.665436388795599 , -0.60104621666069 , -0.217828728818298 , 0.420241227133326 , 0.416687394807415 , -0.653103928997522 , -0.514114554706686 , 0.35320970033218 , -0.51090547404058 , 1.72278279387043 , 1.23820699740738 , 0.297152414870591 , 0.62227340383031 , 1.77216537761685 , -0.00738031384496007, -0.536614734501167 , 2.24797107314077 , -0.0711525273268646 , 0.639779245882007 , 1.964860552116 , 0.341929295970555 , -0.589821157499821 , 1.14833976650478 , 2.99457117067139 , 0.662550208805161 , 0.651157680260672 , 2.34357381288597 , 1.33834693710984 , 0.0555352890397555 , -1.10148755013682 , -0.502559031835211 , -0.405787626853053 , 1.89274682685191 , 0.372632223230951 , 0.371616559915547 , -1.47243106005559 , 1.54833610298584 , 0.682122825012785 , 1.76053090460534 , -1.23864753491765 , -0.552637416770515 , -0.199209229150284 , 0.426742199107351 , 0.113017937033019 , 1.49298482997409 , -0.962003136389506 , 1.50101321013289 , 0.247512632104417 , -0.595511571857867 , 0.238324012502446 , 0.528439936566867 , -1.58368785445244 , 0.470322792279054 , 0.887951869694337 , 0.52759659416462 , 0.00721655652109043 , -1.25172648151104 | 0.0116736 |
| 61 | 50 | 0.5 | 0.1 | 0.5 | control , control , control , control , control , control , control , control , control , control , control , control , control , control , control , control , control , control , control , control , control , control , control , control , control , control , control , control , control , control , control , control , control , control , control , control , control , control , control , control , control , control , control , control , control , control , control , control , control , control , intervention , intervention , intervention , intervention , intervention , intervention , intervention , intervention , intervention , intervention , intervention , intervention , intervention , intervention , intervention , intervention , intervention , intervention , intervention , intervention , intervention , intervention , intervention , intervention , intervention , intervention , intervention , intervention , intervention , intervention , intervention , intervention , intervention , intervention , intervention , intervention , intervention , intervention , intervention , intervention , intervention , intervention , intervention , intervention , intervention , intervention , intervention , intervention , intervention , intervention , 0.415104682047507 , 0.181185708586641 , 0.433355055629128 , -0.0900100591395694 , -0.701370443239102 , 0.268884922637237 , -0.484036885059928 , 0.301558601531479 , 0.541589978586115 , -0.317312650436404 , -0.476118267838924 , -0.594584252937328 , -0.145514491788125 , 0.588999600802302 , -0.0553742446474781 , -0.00388774174511787, -0.212786128004729 , -0.305577140793844 , 0.450623197767459 , -0.340782528557151 , -0.385945650100218 , 0.657281433090807 , 0.606949354354561 , 0.137821515602593 , -0.492513210667068 , -0.319497893603679 , 0.151979958359407 , 0.507603032328734 , 0.296858765979371 , 0.308599615349001 , -0.313148663621078 , -0.1234848710587 , -0.315297334644714 , 1.05193223504051 , 0.213490072982498 , -0.789509243791331 , 0.551611842677188 , -0.665975817770791 , 0.283491946858346 , -0.459234661071834 , -0.0644584568638823 , -0.181403492196108 , 1.37636698915481 , 0.685502207024799 , -0.0830630792355866 , 0.148394064122081 , 0.116225653566784 , 0.679147951545658 , 0.213980518140615 , -0.19799979617717 , -0.261182309146949 , 0.904026597032221 , 0.233304791915195 , -0.201945973567156 , -0.311591963130826 , 0.398069514868114 , 0.530304864750002 , 0.316158469273878 , 0.770053282510186 , 0.902680508724655 , 1.24509953347794 , 1.00089503964925 , 0.363646610811908 , 0.16604141840141 , -0.631090199662992 , 1.39089093841575 , 0.477421148241185 , -0.00368875228332111, -0.279959963007843 , 0.0800186459194537 , -0.391739209588513 , -0.649676517079002 , -0.298366587116687 , 0.325863014411372 , 0.51083283844441 , 0.297702702939315 , 0.395362153958356 , 0.277008067738021 , 0.382740093835822 , 0.845187204538726 , 0.382588548752353 , -0.278286105003957 , 0.652994420624141 , 0.694072100256388 , 0.56370868609657 , 0.684704585583699 , 0.464878087598116 , -0.131208220184317 , 0.75721052529867 , 1.28313432503349 , 1.00631673632954 , 0.513693323406325 , 0.932712261531271 , 0.518883420692701 , 1.20070060304944 , 0.141374581288507 , 0.649413607538636 , 0.835696496905157 , 0.658178831077096 , 0.862781510333766 | 0.0002972 |
| 61 | 50 | 0.5 | 0.1 | 1.0 | control , control , control , control , control , control , control , control , control , control , control , control , control , control , control , control , control , control , control , control , control , control , control , control , control , control , control , control , control , control , control , control , control , control , control , control , control , control , control , control , control , control , control , control , control , control , control , control , control , control , intervention , intervention , intervention , intervention , intervention , intervention , intervention , intervention , intervention , intervention , intervention , intervention , intervention , intervention , intervention , intervention , intervention , intervention , intervention , intervention , intervention , intervention , intervention , intervention , intervention , intervention , intervention , intervention , intervention , intervention , intervention , intervention , intervention , intervention , intervention , intervention , intervention , intervention , intervention , intervention , intervention , intervention , intervention , intervention , intervention , intervention , intervention , intervention , intervention , intervention , -0.500485639695071 , -0.274791704306315 , 1.33475543451795 , -1.26001103179152 , -0.379791203988426 , -1.2827998862382 , -0.969499216648492 , 0.197029025057513 , 0.0269601638447083 , 0.210799646027166 , -0.938913859616576 , -0.0299487955922728, 0.0977823911067804 , 2.54399988982069 , -0.814379855599102 , 0.423376226801189 , -0.176826074165402 , 0.228777677050077 , 0.87153528213248 , 1.50854674269601 , 2.23077909142301 , -0.173436746168529 , -0.677077195738134 , -0.127777644320391 , -2.09291426415544 , 1.51227831786474 , 0.822973184865776 , 0.304413131426676 , 0.215351402196543 , -0.865185526119415 , 0.833345953325266 , -0.627932824349899 , -0.0631412122644651, -1.42635947929239 , 0.267608304202836 , -0.204661791320164 , 0.495749741764468 , 0.326803846746626 , 0.316449174399125 , 0.836212391688928 , -0.388118771112428 , -0.0298632904564265, 2.18124563495154 , -2.31799710756157 , 0.370411911535424 , -0.384095440318982 , -1.78407108772781 , 0.340877958428012 , 0.0567871161795073 , -0.961649678323394 , 1.50926068193349 , 3.13045742509054 , -0.812466924976343 , 0.251646545999883 , 0.31409355035337 , -0.551258280007636 , 0.501007265421752 , 0.205184546814012 , 0.606765651724869 , -0.503189653426678 , -0.295868264842668 , 2.25118077848572 , 1.22965687412977 , -0.519918033356209 , 0.245509352282038 , -1.11735381321534 , 2.08819197488147 , 1.55210763676785 , 0.597063439641318 , 0.114018219373667 , -1.39748247372148 , 0.821332290925494 , -0.127163236187383 , 2.46501771303316 , -0.626616670432204 , -1.08937657162445 , 0.401819480315378 , 2.28730962241232 , 3.26429651189351 , -2.57164564114558 , 0.970692839929812 , 0.39195978616583 , -1.53424421706266 , 0.908874426818069 , 0.858266644885887 , 0.326886446260367 , 0.710726782440896 , 0.410561064851365 , -0.446583316896566 , 0.646706002164438 , 0.346184633016106 , -0.825458958753957 , 0.599002247531861 , -1.02954366816426 , -2.19182265610947 , -0.67874232578576 , -2.31055960830132 , 0.668292593171365 , 3.4904468844188 , 0.558958346064161 | 0.1763017 |
| 62 | 20 | 0.0 | 0.0 | 0.5 | control , control , control , control , control , control , control , control , control , control , control , control , control , control , control , control , control , control , control , control , intervention , intervention , intervention , intervention , intervention , intervention , intervention , intervention , intervention , intervention , intervention , intervention , intervention , intervention , intervention , intervention , intervention , intervention , intervention , intervention , 0.198401730026803 , 0.977209174265998 , 0.739972294325925 , 0.667989474484528 , -0.575281844900163 , 0.140752217576125 , 0.28729108010113 , -0.211593725945744 , -0.396525708786648 , 0.0212127859521242 , 0.269095420856827 , 0.58563584690179 , -0.601083661642697 , -0.34297953120431 , -0.853896110785013 , -0.148279598563082 , -0.948345430154635 , -0.417030008214688 , -0.0268223323212523, 0.135969879290785 , -0.132993324399025 , -0.0622135548146935, 0.293046397968362 , -0.467450420690422 , -0.0272060365481165, 0.3699241121203 , -0.572064387019065 , 0.862680237844711 , 0.810045217644963 , -0.054118018703755 , -0.521386292358656 , 0.485245189025818 , -0.921809311421764 , -0.13123037285912 , 0.200360192434078 , -0.34702038386224 , 0.433484167683103 , 0.161080347391436 , 0.70824553258028 , -1.3090373758274 | 0.9372268 |
| 62 | 20 | 0.0 | 0.0 | 1.0 | control , control , control , control , control , control , control , control , control , control , control , control , control , control , control , control , control , control , control , control , intervention , intervention , intervention , intervention , intervention , intervention , intervention , intervention , intervention , intervention , intervention , intervention , intervention , intervention , intervention , intervention , intervention , intervention , intervention , intervention , 1.53898566560833 , -2.82039695471967 , 0.261211066556353 , -0.648616674043802 , -0.25367430488414 , -0.196465322606362 , -0.0627823814490039, 1.78757960233397 , 0.445974609756887 , -1.83789502681238 , -0.41275554825082 , -1.14629933599741 , 0.130573881561617 , -2.37343849327042 , -1.4659203969386 , -1.50424124988509 , 0.450797497500806 , -1.87041556291277 , -0.454303347251682 , 1.17760805306217 , -0.562657901364354 , 0.949713102260968 , -0.554892110280752 , -1.33632612318062 , 0.203090036072972 , -1.41203353559581 , -0.0609308871437524, -2.02205929837746 , -0.493271872806886 , -0.49432938536157 , -0.595662459012042 , -0.0749978857673369, 0.189202855178679 , -1.11941738253853 , -0.9557063356551 , 1.05886245256978 , 0.462537783446057 , -2.11470694917632 , -0.819162108245029 , 0.346115616275286 | 0.9824606 |
| 62 | 20 | 0.0 | 0.1 | 0.5 | control , control , control , control , control , control , control , control , control , control , control , control , control , control , control , control , control , control , control , control , intervention , intervention , intervention , intervention , intervention , intervention , intervention , intervention , intervention , intervention , intervention , intervention , intervention , intervention , intervention , intervention , intervention , intervention , intervention , intervention , -0.4710268882383 , -0.745003675667761 , -0.533811193503341 , -0.11927201708017 , -0.535389269813665 , -0.943538078596742 , 0.32857825335464 , -0.458555364431812 , -0.234282337021592 , 0.432059792637136 , -0.199529614866155 , -0.0689258701588032, 0.393812430433381 , -0.187697218245679 , -0.305240064187176 , -0.0236353109870286, -0.183165802202879 , 0.51394881494234 , 0.1895221744709 , 0.466921764366831 , -0.1037440678753 , 0.878028714095712 , 0.0508743217943434 , 0.221497747737397 , 0.86480124194221 , 0.238317342215908 , -0.803273809563614 , -0.528451087114887 , 1.07727042341466 , 0.160155320892051 , 0.0621756053797493 , 0.634582336898328 , -0.0141900007712168, 1.1419602646869 , 0.57344182070916 , 0.201044644863901 , 0.651382604714092 , 0.236125113394822 , 0.508894407076649 , 0.0438506704342203 | 0.0045405 |
| 62 | 20 | 0.0 | 0.1 | 1.0 | control , control , control , control , control , control , control , control , control , control , control , control , control , control , control , control , control , control , control , control , intervention , intervention , intervention , intervention , intervention , intervention , intervention , intervention , intervention , intervention , intervention , intervention , intervention , intervention , intervention , intervention , intervention , intervention , intervention , intervention , -1.4787706590852 , -0.672458258607427 , -0.864124275929435 , 1.16915681253532 , -0.00435552012539714, -0.217883579787756 , -1.47638563161572 , -0.132233994207274 , -0.819897386285983 , 2.4731354641374 , 1.45133767483882 , 0.212503301547243 , -0.0418947281217412 , -0.531359149441022 , 0.145055454606595 , -0.886878034187474 , -0.221552241038466 , 0.283158762572961 , -0.653727713431108 , -0.24306734206001 , -2.58824422056802 , -0.388160469193448 , -1.21636080491334 , 2.56057061910578 , -0.890693041801334 , -0.449106006906066 , 0.808377655593496 , -0.872239783957023 , -0.514898739005826 , 0.533795724109213 , 0.216445620245253 , -1.17952024617037 , 0.64187725678875 , -0.503684595889983 , 0.61549350793007 , -2.06199084940494 , 1.0073525596742 , 0.921383459191883 , 1.61124101168275 , -0.660232138641316 | 0.9884859 |
| 62 | 20 | 0.5 | 0.0 | 0.5 | control , control , control , control , control , control , control , control , control , control , control , control , control , control , control , control , control , control , control , control , intervention , intervention , intervention , intervention , intervention , intervention , intervention , intervention , intervention , intervention , intervention , intervention , intervention , intervention , intervention , intervention , intervention , intervention , intervention , intervention , 0.576106726410759 , 0.0191537156636032 , -0.459561160977326 , -0.178813346968512 , -0.475097479049767 , 0.345961838514616 , -0.101388188705782 , 0.145970793349195 , -0.0593755449831644, 0.303128497318564 , -0.102414547283955 , -0.0199280325522594, 0.300205665189562 , 0.28022149719724 , 0.231257067215071 , -0.854904702437969 , -0.287750005507925 , -0.253365844596602 , 0.664003923595383 , 0.665391803543865 , 1.07609032930095 , 0.344585882987585 , -0.885785450862292 , 0.703816711052572 , 1.29009760812568 , 1.43350512595192 , 0.741430188063065 , 0.35361978632806 , -0.190491092867489 , 1.87711584085811 , 0.114656846888713 , 0.673619208919618 , 0.255901978925699 , 1.367421200133 , 0.715205096009593 , 0.516155704942141 , 0.520225376456857 , 0.413543074603727 , -0.689384143931953 , 0.139859311215221 | 0.0071789 |
| 62 | 20 | 0.5 | 0.0 | 1.0 | control , control , control , control , control , control , control , control , control , control , control , control , control , control , control , control , control , control , control , control , intervention , intervention , intervention , intervention , intervention , intervention , intervention , intervention , intervention , intervention , intervention , intervention , intervention , intervention , intervention , intervention , intervention , intervention , intervention , intervention , -1.14354508441554 , -1.31572271313049 , 2.00000739543672 , 0.171469677614444 , 1.25561769968949 , -0.120250661964935, -2.06136797102607 , 0.680730096692249 , -0.554427906753971, -0.330673570212781, -1.67731334923883 , -0.398042644601258, 1.40807110412064 , 0.508758580633847 , 0.526063073548477 , -0.9200461936101 , -1.02920892045692 , 1.59251215784809 , -0.433393686565103, -0.777742724761338, -0.331046951472383, 0.742293184335841 , 0.383104740050514 , 0.253016697868128 , 0.340735612895985 , -1.59100139738897 , 1.16817954166485 , 0.185646557251513 , 0.249655236563228 , 0.585632164120667 , -0.260132126483322, 1.56067368502366 , -0.120313792303983, 2.62933502720079 , 0.504894118859604 , 0.609378083246463 , 1.08435527687624 , 0.788255382591287 , 1.1530777394685 , 1.57856595541723 | 0.0325435 |
| 62 | 20 | 0.5 | 0.1 | 0.5 | control , control , control , control , control , control , control , control , control , control , control , control , control , control , control , control , control , control , control , control , intervention , intervention , intervention , intervention , intervention , intervention , intervention , intervention , intervention , intervention , intervention , intervention , intervention , intervention , intervention , intervention , intervention , intervention , intervention , intervention , 1.27207441910699 , 0.565382331262655 , 0.132807052420138 , 0.0136306207532038 , 0.267507830877832 , 0.467544051929972 , 1.23498602231786 , -0.0907050185920006, -0.413654198487456 , -0.239206150030471 , -0.575401331394228 , -0.201634082399603 , 0.771665161369809 , 0.658250070837489 , -0.396322658650172 , 0.282961419447167 , 0.19998860174869 , 0.236599934022197 , -0.582029921244341 , 0.771051106085014 , 1.17449454539744 , 0.642228433098543 , 0.513247514123095 , 0.166068506684531 , 0.497119564525882 , 0.314849944154159 , 0.286121227629091 , 0.966988148148106 , -0.0193063027926251, -0.321031008572078 , 0.795847280812314 , 1.13279808639924 , 0.607372501321622 , 0.979930644756555 , 0.786489508103261 , 0.0648130706249012 , 0.264500308655592 , 0.435482516196379 , 0.657268209670248 , 1.00620944918286 | 0.0375264 |
| 62 | 20 | 0.5 | 0.1 | 1.0 | control , control , control , control , control , control , control , control , control , control , control , control , control , control , control , control , control , control , control , control , intervention , intervention , intervention , intervention , intervention , intervention , intervention , intervention , intervention , intervention , intervention , intervention , intervention , intervention , intervention , intervention , intervention , intervention , intervention , intervention , -0.828412603087982, 1.15466027514878 , -0.953418446529822, 0.521755844456487 , -1.27415336323344 , 0.696187407347508 , 2.00960859714429 , -0.802447641434364, 0.688452355760283 , -0.691854010764999, 0.714350690417787 , -0.837258084241114, -1.21727114636936 , -0.917241630199327, -0.620055347573696, -0.350610576266713, -1.09271550390662 , -0.532854993102287, -0.401298277959125, 1.66798959173451 , -0.301144037674428, 1.56845533607199 , -0.339195929660247, 0.257837962462599 , 2.02398729845085 , 1.01505502238189 , 1.42618205891582 , -0.968703202186234, 0.501159518633314 , -0.788564967357732, -1.62688460679908 , -0.2032537893546 , 1.99687890834108 , -0.284262898123103, 1.05278557775292 , -0.837162860742177, 0.40650579870755 , 2.12374247398539 , 0.112144866562795 , -1.13374207624067 | 0.1875606 |
| 62 | 50 | 0.0 | 0.0 | 0.5 | control , control , control , control , control , control , control , control , control , control , control , control , control , control , control , control , control , control , control , control , control , control , control , control , control , control , control , control , control , control , control , control , control , control , control , control , control , control , control , control , control , control , control , control , control , control , control , control , control , control , intervention , intervention , intervention , intervention , intervention , intervention , intervention , intervention , intervention , intervention , intervention , intervention , intervention , intervention , intervention , intervention , intervention , intervention , intervention , intervention , intervention , intervention , intervention , intervention , intervention , intervention , intervention , intervention , intervention , intervention , intervention , intervention , intervention , intervention , intervention , intervention , intervention , intervention , intervention , intervention , intervention , intervention , intervention , intervention , intervention , intervention , intervention , intervention , intervention , intervention , 0.697980107023799 , 0.510077387443914 , -0.400478332628752 , 0.138361471334831 , 0.276863672462704 , 0.144367744063873 , 0.518708446067578 , -0.386749946943298 , -0.379654759084542 , 0.499228218034398 , -0.252758783330885 , 0.339140855010874 , 0.0999059023831869 , -0.703639008419053 , 0.156218723108421 , 0.686199759031698 , 0.525100944151016 , 0.469760831446123 , -0.059306970596393 , -0.172996930508576 , 0.32442586962371 , 0.645487446632385 , -0.221378999263645 , -0.130538249280169 , -0.125897122762363 , -0.598621354350498 , -0.227593478243541 , -0.462238847557102 , 0.244588158186647 , 0.0862357276716241 , 0.365799539461674 , 0.348246930420424 , -0.943669628147238 , -0.555246464466519 , -0.302761781351574 , -0.426118289673606 , 0.127734123762906 , 0.11701554074237 , -0.528108621644272 , -0.38573846255782 , 0.980293799540412 , 0.740681728544781 , 0.12327743730982 , -0.212842992106682 , -0.340013273889983 , -0.564895393459177 , 0.301275887129052 , -0.395152570793161 , 0.813858160617649 , -0.130401830922152 , 0.508711677023053 , 0.770306914970245 , -0.594821235098892 , -0.0784889342830465, 0.156203256881258 , -0.340362242903431 , -0.532163056945652 , 0.58836013935757 , -0.803138952470715 , -0.703948347187698 , -0.961891569201712 , 0.351191422202805 , 0.117031546950995 , -0.397526462152509 , 0.667911652955471 , -0.79570444062159 , 0.51165567203491 , 0.0956043451575287 , -0.362111917528359 , -0.267992845650517 , 0.174208791597434 , 0.383835940807739 , 1.09943187749636 , 0.268655234840109 , 0.310905392485322 , 0.650356935475206 , -0.155651307693402 , -0.111575314426199 , 0.0616861367416645 , -0.221332392411384 , 0.442828255955174 , 0.833584416526346 , 0.0571522603670389 , 0.249543298663985 , 0.380352870353773 , -0.850387659005926 , 0.0848626962516464 , 0.169708711288733 , -0.0207697894124763, -0.211291286911926 , -0.283565644289137 , 0.337266073281745 , 0.384387212679701 , 0.0193412659860853 , -0.172774471210453 , -0.180504754061666 , 0.382635232921675 , 0.302851886641184 , -0.385692714716331 , 0.21882438923781 | 0.8661335 |
| 62 | 50 | 0.0 | 0.0 | 1.0 | control , control , control , control , control , control , control , control , control , control , control , control , control , control , control , control , control , control , control , control , control , control , control , control , control , control , control , control , control , control , control , control , control , control , control , control , control , control , control , control , control , control , control , control , control , control , control , control , control , control , intervention , intervention , intervention , intervention , intervention , intervention , intervention , intervention , intervention , intervention , intervention , intervention , intervention , intervention , intervention , intervention , intervention , intervention , intervention , intervention , intervention , intervention , intervention , intervention , intervention , intervention , intervention , intervention , intervention , intervention , intervention , intervention , intervention , intervention , intervention , intervention , intervention , intervention , intervention , intervention , intervention , intervention , intervention , intervention , intervention , intervention , intervention , intervention , intervention , intervention , 0.590307363931226 , -0.370415696931821 , -1.91793298476524 , 0.363789111190668 , 0.915630244667952 , 1.19255521417218 , -1.34323850044332 , 0.527160482708809 , 1.48115155777597 , -0.831095533938294 , -1.50399183957564 , -0.989367153685298 , 1.34064700754374 , -1.68192440393663 , -1.18743041821248 , 0.923672495060913 , 1.12408836234851 , -1.18570848605926 , -0.106197813927107 , 1.90203886234726 , 0.627636517185673 , -0.490914959760135 , 0.808087950557827 , 1.69211237752029 , 0.304346008290587 , -0.0669260012526912 , -0.241705220902601 , 0.433446244013 , 1.53393800237486 , -1.92998565472387 , -0.866916008812723 , 0.384182016414316 , -0.768130221338714 , -0.599705871989457 , -1.10806227144369 , -0.487355604899549 , 0.247573169371271 , 0.615029976567833 , 0.242694338240805 , 0.274028199346125 , 0.323836868343821 , 1.34382095066615 , -0.88767955597468 , -0.893333050642344 , 0.0779145303324735 , 0.0545512215590119 , -0.842019619140511 , 0.644447473060963 , -0.521765101356417 , -0.471567746579616 , -2.14722027509639 , -0.237372201245626 , -0.594096836088491 , -0.272945026297833 , -1.44498918779816 , -0.252863414797512 , 0.595784042296351 , -2.01268350064105 , 0.46288181824025 , 0.55075140000467 , 0.261734875141975 , -1.75524468055072 , 0.674792587769088 , -0.0498568023905963 , -0.397744732966185 , -0.250683915461189 , -0.321911340171167 , 0.419600928580131 , -0.842082823796777 , -0.962742420223802 , 0.197749796076676 , 1.68966950432291 , 1.43416957306568 , -1.30310167958131 , 1.22053008276445 , -1.84231744344254 , 0.48002595872324 , -0.933876225490821 , -0.494819875627642 , 0.399491317075339 , 0.678754473594563 , 0.785771925029847 , -1.72851399789728 , 0.325619902412462 , -0.890325873036291 , 0.593657225347955 , 0.569644684717194 , 0.666637031735319 , -0.0940472374756172 , -0.065755858679501 , -0.91293355917388 , -1.96350700495392 , 0.0970187555271182 , 0.308643357792505 , -0.124684332961741 , -0.30235044872772 , -1.8206684404998 , -0.00792968523128402, -0.0263525926133144 , -0.754326347388767 | 0.2515199 |
| 62 | 50 | 0.0 | 0.1 | 0.5 | control , control , control , control , control , control , control , control , control , control , control , control , control , control , control , control , control , control , control , control , control , control , control , control , control , control , control , control , control , control , control , control , control , control , control , control , control , control , control , control , control , control , control , control , control , control , control , control , control , control , intervention , intervention , intervention , intervention , intervention , intervention , intervention , intervention , intervention , intervention , intervention , intervention , intervention , intervention , intervention , intervention , intervention , intervention , intervention , intervention , intervention , intervention , intervention , intervention , intervention , intervention , intervention , intervention , intervention , intervention , intervention , intervention , intervention , intervention , intervention , intervention , intervention , intervention , intervention , intervention , intervention , intervention , intervention , intervention , intervention , intervention , intervention , intervention , intervention , intervention , 0.556300798372495 , 0.566902584410034 , -0.354520316511666 , 0.178728093607388 , 0.457748707526693 , -0.153828426977156 , -0.512850792076265 , 0.254692572267767 , 0.00136722455432467, 0.65952844617968 , 0.455265992778041 , 0.72438557446511 , 0.371331797798957 , 0.0684120392536182 , -0.425120764166445 , 0.0485449958677375 , 0.227979408334787 , 0.00853147800995917, 0.790794278603627 , -0.423546638566818 , 0.688670685553414 , 0.416163714922537 , 0.0191931752879014 , 0.167488088764736 , 0.355294665340713 , 0.0278499823309701 , 0.842566607153543 , -0.133439066008825 , 0.556919117014465 , 0.383232473428332 , 0.309242269054507 , 0.228052297686189 , 0.405862245578167 , -0.162955746692326 , 0.458691225131681 , -0.157167060299103 , 0.876004559489244 , 0.423373784640279 , -0.582146784814924 , -0.877347092366079 , -0.450667049498368 , 0.0441814548010903 , 0.604474110006426 , 0.0683876785378333 , 0.751672495938147 , 0.0822737722153322 , -0.258591047565834 , 0.0798945204852813 , 1.08239696197209 , -0.283194730969595 , 0.109258592473252 , 0.4164078187058 , -0.241068383952179 , 1.35900008110911 , -0.0138424677491005, -0.324115356870462 , 0.172093407913094 , -0.390120909597594 , -0.599110814426259 , 0.382924339057696 , 0.64743312102168 , -0.393400855946668 , 0.571096324591602 , 0.499220731395311 , 0.0361234433295641 , -0.304397064836131 , 0.914306622337165 , -0.166355435687845 , 0.251720095459428 , -0.276026339684012 , -0.356016827808822 , 0.506029724549622 , -0.309554685727367 , -1.11080255828067 , 0.752867837224197 , -0.0243153211546202, 0.392486184492429 , 0.104121716164977 , 0.544510958520199 , 0.451487530615849 , -1.27690621267647 , 0.519300161171524 , -0.53202023359746 , 0.793251825146424 , 0.165822793340662 , 0.777729165635638 , 0.912900964037111 , 0.381684348854975 , 0.0869812685483303 , -0.446095455781813 , 0.300934991175939 , 0.230427356825414 , 0.468559746015127 , -0.530002366771063 , -0.0625447708457446, 0.370724822861682 , 0.978049862196385 , 0.898847757423559 , -0.211976002799256 , 0.466466654199392 | 0.7475219 |
| 62 | 50 | 0.0 | 0.1 | 1.0 | control , control , control , control , control , control , control , control , control , control , control , control , control , control , control , control , control , control , control , control , control , control , control , control , control , control , control , control , control , control , control , control , control , control , control , control , control , control , control , control , control , control , control , control , control , control , control , control , control , control , intervention , intervention , intervention , intervention , intervention , intervention , intervention , intervention , intervention , intervention , intervention , intervention , intervention , intervention , intervention , intervention , intervention , intervention , intervention , intervention , intervention , intervention , intervention , intervention , intervention , intervention , intervention , intervention , intervention , intervention , intervention , intervention , intervention , intervention , intervention , intervention , intervention , intervention , intervention , intervention , intervention , intervention , intervention , intervention , intervention , intervention , intervention , intervention , intervention , intervention , -0.185951516927046 , -0.64250280731269 , -0.107597173466025 , -1.25279423852927 , 2.39851778989742 , 1.49573723493816 , 0.9964286595781 , 0.515625131300317 , 0.201666036537177 , -0.36625051205625 , 1.18185419597822 , 0.764436909900474 , -0.0404700707626098, 1.99456247810033 , -2.02245307291672 , -0.573112559913756 , -0.16619928427173 , -0.0678720129704359, 0.718698022262715 , -1.55390702727972 , 2.60967806341061 , -1.528996376043 , 0.817588375612451 , -0.790752900582947 , 0.0729464992174712 , 1.66670420675731 , -1.96262318806735 , -1.21458285892248 , -0.0768463524014147, -1.73398955018494 , -1.17667287044805 , -0.479904982438981 , -0.887558504951849 , -1.37160639670611 , 0.671804203687403 , -0.0956104576976432, -0.355264510059044 , 0.0985430634146594 , -0.938014950589638 , 1.24471130324723 , -0.390972259146357 , 1.29565364538522 , -0.99852352727333 , 0.30679340926528 , -1.82234649346937 , 0.1991442291702 , 1.00139990612626 , -0.104692003285869 , 0.592164878511828 , -0.956147251315823 , -0.561233185457094 , -0.212991923092984 , -0.332418788134639 , -0.930176056630942 , 0.504010133816951 , -0.909781328738365 , 1.35700345686961 , -0.212259781972777 , -0.0382877559124163, -0.496242198105302 , 0.841561341049206 , 1.28448804500781 , -0.568509958237626 , -0.0403608133462332, -2.21656223136272 , 2.59125063829674 , 0.455028299848798 , -1.31556483256228 , -0.86885894228131 , -0.800038943912832 , 0.691623323649177 , -1.47809504898773 , -1.33067875998659 , 1.1242984174466 , -0.670896244225189 , 0.638690575032173 , 0.0223857446928688 , 0.231363308073023 , 0.474069535113294 , -0.0308684267435346, 1.53630114464495 , -0.576088759000866 , -0.424701642509468 , -0.835115966107022 , -1.5550738011712 , -1.38869286059279 , -0.351110725475922 , 0.685149615724297 , 0.591472441867611 , 0.293182983483477 , 0.082996396355173 , -1.33701910460658 , 0.229407978015584 , 1.00388573278608 , 0.154125798801966 , 0.486681180896072 , -1.1702915981355 , 0.377721818513284 , 1.10534784772228 , -0.306781382187651 | 0.9099567 |
| 62 | 50 | 0.5 | 0.0 | 0.5 | control , control , control , control , control , control , control , control , control , control , control , control , control , control , control , control , control , control , control , control , control , control , control , control , control , control , control , control , control , control , control , control , control , control , control , control , control , control , control , control , control , control , control , control , control , control , control , control , control , control , intervention , intervention , intervention , intervention , intervention , intervention , intervention , intervention , intervention , intervention , intervention , intervention , intervention , intervention , intervention , intervention , intervention , intervention , intervention , intervention , intervention , intervention , intervention , intervention , intervention , intervention , intervention , intervention , intervention , intervention , intervention , intervention , intervention , intervention , intervention , intervention , intervention , intervention , intervention , intervention , intervention , intervention , intervention , intervention , intervention , intervention , intervention , intervention , intervention , intervention , -0.0909119937117126 , 0.0387614418593813 , 0.242266115135914 , 0.957657039278263 , -0.538112159475646 , 0.392013763434684 , 0.525640770596072 , 0.185456738154182 , 0.223408350312498 , 0.112571003294053 , 0.432927248909441 , 0.242729036040455 , -0.317850309356751 , -0.530679396221097 , 0.47887472198191 , -0.187595545386011 , 0.236661082417665 , 0.1143104511299 , -0.45495017144005 , -0.261167838104116 , 0.664304781778476 , -0.361635920667973 , -0.334457680920516 , 0.367452887082871 , -0.298503670230043 , 0.0942390785205052 , 0.167695894005808 , -0.724020896676684 , -0.243914393296977 , -0.882872687926398 , 0.910940351302024 , -0.417858936736258 , -0.146963759618019 , -1.06572999994224 , -0.223628323304317 , -0.222060164013242 , 0.317335263867857 , -0.654823736420374 , 0.789421063034804 , 0.108884327588476 , 0.285014901824203 , -0.295915206914409 , 0.530066069685424 , 0.156634352088062 , 0.259531675891955 , -0.00376358157506144, -0.0578642367356994 , -0.333506193705343 , -0.59525563191419 , 0.4548217299092 , -0.40146656267029 , -0.0420822029356999 , 0.0636895644793856 , 1.01555509394706 , -0.149926451858068 , 0.342259154317544 , 0.380933049906342 , -0.475850020019305 , 0.629141842204105 , 0.612836217320004 , 0.874258232779716 , -0.176846404050403 , 0.723735948363535 , 0.647820485876529 , 0.101799637612116 , -0.351860269530225 , 1.41380518909604 , 0.74897811801073 , -0.469492253891318 , 0.99484521597135 , 0.498369061053447 , 0.335508070515988 , 0.100118456941313 , 1.6603961818237 , 0.449815385110985 , 0.783294977905319 , 0.376010220166759 , 0.468310012996981 , -0.11867449311042 , 0.472127792594914 , 0.185856080917149 , 0.488269040262951 , 1.0856756301655 , 0.261304239880128 , 0.3678041993777 , -0.371582883883132 , 0.619169061055716 , 1.05158471263601 , 0.624625500287235 , 0.480013869870857 , -0.135999915232426 , -0.219870721407005 , 0.535084809969041 , 0.73104965357625 , 0.293561057141012 , 0.123389890581892 , 0.207436044596597 , 0.448284103305224 , -0.0964819765430059 , 0.207457356792033 | 0.0001440 |
| 62 | 50 | 0.5 | 0.0 | 1.0 | control , control , control , control , control , control , control , control , control , control , control , control , control , control , control , control , control , control , control , control , control , control , control , control , control , control , control , control , control , control , control , control , control , control , control , control , control , control , control , control , control , control , control , control , control , control , control , control , control , control , intervention , intervention , intervention , intervention , intervention , intervention , intervention , intervention , intervention , intervention , intervention , intervention , intervention , intervention , intervention , intervention , intervention , intervention , intervention , intervention , intervention , intervention , intervention , intervention , intervention , intervention , intervention , intervention , intervention , intervention , intervention , intervention , intervention , intervention , intervention , intervention , intervention , intervention , intervention , intervention , intervention , intervention , intervention , intervention , intervention , intervention , intervention , intervention , intervention , intervention , 0.207479319692555 , 1.38419184206479 , 0.00175784854744289, 1.65377275711037 , 1.25888524562266 , 0.291272275742732 , 0.0920192571180754 , 0.61649875030159 , -0.350495477611939 , 0.471942167285508 , 0.353363533219917 , -0.860241258511624 , 1.0880329902841 , -0.921217772800137 , -1.63407451135346 , -0.410564508130128 , -0.485721318168424 , -0.293351312210245 , -1.15419660223352 , 0.485573763382703 , -0.206597381672779 , -0.491855050006354 , -0.695125080270846 , 0.982020295132026 , 0.0333017931431079 , 0.227173054920826 , -1.05733576858614 , 0.131114162547846 , -0.0667445676088609, -1.33700199768427 , -0.0521167765320563, -0.480623540879176 , 1.13961431503677 , 1.4809646033953 , -1.30526326120394 , 0.3982731933322 , -0.396772942434198 , 0.87398068772533 , -1.65481261612823 , 1.31648558416872 , 1.15477331771318 , -1.13521696306449 , -1.29752999795645 , -1.43527380293994 , 0.0206037322621511 , 0.135381240784447 , -0.859100778727333 , 0.608511113433931 , -1.00885269458775 , -1.65757051951055 , -0.956102587754108 , 0.358558835302073 , 0.137642380257007 , 1.57902015494689 , -1.32799676626649 , 2.6052328458669 , 0.241072223516526 , -0.573859685013229 , 0.82588718867641 , 0.250973247424156 , 1.40684411184356 , -0.327862751316513 , 1.04768634674555 , 0.301699241830545 , -0.776082373520964 , 1.9372740318047 , -1.30045985724524 , 1.78779780426659 , -0.483067449828465 , 1.57821088064696 , 1.43444085343647 , 0.65983278130124 , -0.445558793595173 , 1.17762251625246 , 0.364721426985762 , -0.223231455968754 , 1.117505411061 , -0.0377734957512686, 0.495721932448953 , 0.451457368195129 , -0.271378896524828 , 0.126271613425209 , 0.365476682264105 , -0.0936580838692956, 0.143399312540012 , 0.975662322545938 , 2.84213058083992 , 1.21137783297236 , 0.412750156771513 , -0.149766709616004 , 0.826730450872875 , 2.5171560148 , -0.847565047044582 , 0.100370567548488 , 1.39976655077296 , 1.50399436994024 , 0.662624559878723 , -0.631816507902742 , 0.854537162386092 , 0.964321888903378 | 0.0013897 |
| 62 | 50 | 0.5 | 0.1 | 0.5 | control , control , control , control , control , control , control , control , control , control , control , control , control , control , control , control , control , control , control , control , control , control , control , control , control , control , control , control , control , control , control , control , control , control , control , control , control , control , control , control , control , control , control , control , control , control , control , control , control , control , intervention , intervention , intervention , intervention , intervention , intervention , intervention , intervention , intervention , intervention , intervention , intervention , intervention , intervention , intervention , intervention , intervention , intervention , intervention , intervention , intervention , intervention , intervention , intervention , intervention , intervention , intervention , intervention , intervention , intervention , intervention , intervention , intervention , intervention , intervention , intervention , intervention , intervention , intervention , intervention , intervention , intervention , intervention , intervention , intervention , intervention , intervention , intervention , intervention , intervention , -0.662748077082265 , -0.0277881035854267 , -0.127949136733329 , 0.772942343322614 , 0.266562029237887 , -0.140178115970272 , 0.0483481609717808 , -0.533850645626076 , -0.26073787668627 , 0.413691126535422 , -0.00194018715970579, -0.515458607767494 , 0.0763064382160806 , -1.20378057150288 , -1.14526066279683 , -0.0169692739717295 , -0.726717420009366 , 0.410295657438558 , -0.973288560143096 , 0.532700882180423 , -0.256028340432812 , -0.783438265370271 , 0.384435908490803 , 0.356699442760698 , 0.33722316116453 , -0.519739995059903 , -0.094584201389373 , -0.0802533701318004 , 0.970229866639617 , -0.00182792333629872, -0.0974503872809616 , 0.207536457851984 , 0.00264894540761294 , 0.70005691710631 , -0.422363815213674 , 0.322775895898477 , -0.658780273718858 , 0.179779909468371 , 0.480614019619969 , -0.687082558985616 , -0.0946882612191817 , 0.657493860275603 , 0.663815717490733 , -0.357227456284856 , 0.257594711169257 , 0.452218971508614 , 0.277367202279513 , -0.332925735816012 , -0.177618968049513 , 0.0676611313663046 , 0.137494724977809 , -0.545192336147592 , 0.209277274846793 , 0.53218830271671 , 0.846655698051801 , 0.681745137194235 , -1.03612044131831 , 0.0181170680875175 , 1.04717689149443 , 0.571805126873562 , -0.0229299754923555 , 0.934104195396155 , 0.757082937014866 , 0.613896327143346 , -0.413292059954208 , -0.205771379154162 , 0.644649306509512 , -0.135484336895424 , 0.567006317956152 , 1.16081447678351 , 0.281287616956913 , 0.120798084968566 , 1.02302923734753 , 1.30932002572383 , 0.264172004799147 , 0.872601246900764 , 1.4850725805445 , 1.29149474863113 , 0.31244237884756 , 0.821541248041317 , 1.21534563608248 , 0.252237849276457 , 0.968050132769838 , 0.872171403518399 , -0.0393641799265895 , 0.505551382905478 , 0.191473658281022 , 0.190856236947123 , 0.425779413269033 , 1.32401374420277 , 0.84153918326071 , 0.19128915029057 , 0.0036239048815554 , 0.490063827218509 , 0.465333631517855 , 1.04842804132591 , 1.21043580276169 , 0.729955792656149 , 0.339443893571367 , 0.485484284150996 | 0.0000004 |
| 62 | 50 | 0.5 | 0.1 | 1.0 | control , control , control , control , control , control , control , control , control , control , control , control , control , control , control , control , control , control , control , control , control , control , control , control , control , control , control , control , control , control , control , control , control , control , control , control , control , control , control , control , control , control , control , control , control , control , control , control , control , control , intervention , intervention , intervention , intervention , intervention , intervention , intervention , intervention , intervention , intervention , intervention , intervention , intervention , intervention , intervention , intervention , intervention , intervention , intervention , intervention , intervention , intervention , intervention , intervention , intervention , intervention , intervention , intervention , intervention , intervention , intervention , intervention , intervention , intervention , intervention , intervention , intervention , intervention , intervention , intervention , intervention , intervention , intervention , intervention , intervention , intervention , intervention , intervention , intervention , intervention , -0.786334450580808 , 0.270182548701284 , 1.52743549208019 , 0.665353075331849 , -0.146929318646544 , 0.685148180362045 , -0.817277085191468 , -0.684778422004076 , 1.42255758972295 , -0.15653918062622 , -0.907840345294646 , 0.957287770406289 , -0.434126118494115 , -3.12072638595678 , 1.39303588906574 , 0.775077815458216 , -2.14058749620427 , -0.0203700442355271, -2.04595662836521 , 0.755550956731161 , 0.767578624615888 , 0.0369024505424098 , 0.919865985788818 , 0.578772515451157 , 0.731304307082146 , -0.621192535815177 , 0.901367157848859 , 0.148297159242478 , -0.799689171222023 , -0.1814602517025 , -1.53058244393874 , 0.038634954043242 , 0.603976077015424 , 2.86805342252842 , -1.03675174542677 , -0.0846922978145852, 0.069391433770097 , -0.264857153459996 , 1.0340832536551 , 0.101389728418867 , 0.60992475659861 , -0.187934100156259 , 0.179057628425942 , -0.630387054427858 , 0.172181267050129 , -1.05421175803018 , 0.31698795379449 , -0.0072891013182428, 1.57766829062903 , 0.0636715539347559 , 2.39173159340893 , 0.871302403617767 , -0.585251876705058 , 0.83364866052693 , 1.15218790232835 , 0.168646643887354 , 0.0368041205929711 , 2.345133210397 , 0.629327270269191 , 0.630434006222888 , 1.33355417930052 , -0.866447080582962 , 0.519895891563316 , 3.19557805640957 , -0.84482588661866 , -0.846565171757147 , -0.51700706384056 , -2.0294086834738 , 1.4097340949317 , 1.49659050135379 , 1.29602072461358 , 1.08517200141982 , -0.604826154697316 , -0.582101056878292 , 0.764936890741529 , 1.77291789881954 , -1.22013567585292 , 1.03870313181487 , 0.948858447790034 , 0.0687841436735657 , 0.657712264481238 , -0.226182726836907 , 0.856917760644867 , -0.194151591134899 , -0.63426544273316 , 2.23628176361897 , 2.22369270893417 , -0.627057557287171 , 1.90781467058122 , 0.395922595786654 , 1.17670921737624 , 0.986190257781862 , -0.198627550408145 , 0.498421684232587 , 1.14159547235725 , -0.270550797787696 , 2.5186054053838 , -0.587778200839219 , 0.398449567151485 , -1.24906650971764 | 0.0267157 |
| 63 | 20 | 0.0 | 0.0 | 0.5 | control , control , control , control , control , control , control , control , control , control , control , control , control , control , control , control , control , control , control , control , intervention , intervention , intervention , intervention , intervention , intervention , intervention , intervention , intervention , intervention , intervention , intervention , intervention , intervention , intervention , intervention , intervention , intervention , intervention , intervention , 0.288544176565254 , -0.158317617459441 , 0.0602761460970678 , 0.477137200940411 , 0.0899224158875166 , -1.59486724040987 , -0.223671743991605 , 0.889958653703895 , 0.662038748002903 , 0.235539352521291 , -0.247080243388274 , -0.45442318151266 , 0.558851629693363 , -0.128398925715122 , -0.363769280716533 , -0.879866082020968 , -0.0710175618099892, -0.0318291112357191, -0.327850768758753 , 0.0785150867005374 , -0.417005918131241 , 0.134836377138355 , -0.742377937658001 , 0.153215497635159 , -0.159786148136503 , -0.501383502335247 , 0.532266337666249 , -0.805789789171592 , -0.134948710863474 , -0.250153054097813 , 0.577024289637247 , 0.462955437481921 , 0.266713401684463 , 0.488789268654861 , 0.860262147802424 , -0.445924736840238 , -0.214507050434946 , -0.380474705565932 , -0.451544355566898 , 0.112278673051252 | 0.9451438 |
| 63 | 20 | 0.0 | 0.0 | 1.0 | control , control , control , control , control , control , control , control , control , control , control , control , control , control , control , control , control , control , control , control , intervention , intervention , intervention , intervention , intervention , intervention , intervention , intervention , intervention , intervention , intervention , intervention , intervention , intervention , intervention , intervention , intervention , intervention , intervention , intervention , -0.897631735133836 , -0.136614904181028 , 1.54605905653919 , -0.598200659362938 , 1.43344081000157 , -1.30769969933212 , -0.771488840145103 , -0.813596725217612 , 0.844223617700767 , 0.972923507478055 , -0.903173857389678 , 0.0962680089364556 , -0.152273400786347 , 1.03925931147436 , -0.504361684798581 , -0.828860358429453 , -0.599174902271109 , -0.573715451529136 , 1.14994115080754 , 1.05381810607947 , -0.401993866387961 , -0.601721959859816 , 0.103260916963086 , 0.479442028065049 , -0.435563158412598 , 0.0326520936112129 , -1.26748516019389 , 1.12963046060696 , -1.46297531193559 , 1.65300019917789 , -2.24606618381969 , 0.303221981377328 , -0.230888526360903 , -0.0729326976929546, -1.05660755662972 , 1.84551458059983 , -0.0528056025364305, 1.40916824654612 , -1.43010467278885 , 0.20299356644082 | 0.7375831 |
| 63 | 20 | 0.0 | 0.1 | 0.5 | control , control , control , control , control , control , control , control , control , control , control , control , control , control , control , control , control , control , control , control , intervention , intervention , intervention , intervention , intervention , intervention , intervention , intervention , intervention , intervention , intervention , intervention , intervention , intervention , intervention , intervention , intervention , intervention , intervention , intervention , -0.778422036321664 , -0.0516040709301433, -0.966928696862441 , 0.465381618053826 , -0.278658649924058 , 0.153215789281616 , 0.148853323483267 , 0.83178416903092 , 0.00487877119625653, 0.658150645146193 , 0.667398008680059 , -0.0259163384579291, -0.329504433845224 , 0.329665792998094 , -0.171818796589623 , 0.147835064670049 , -0.644917745638862 , 0.615131128097303 , -0.258235494019339 , -0.247772436339249 , -0.522814011977789 , -0.126542019183503 , -0.163691600981417 , -0.350928565521978 , 0.265116789379807 , -0.274415656847134 , 0.652215690815895 , -0.621485601646111 , 0.446337515783864 , -0.487902689938642 , 0.493302645430083 , 0.750649841207092 , 0.298639372136997 , 0.290465816020493 , -0.388579697763471 , -0.160787388304487 , -0.715955744536637 , 0.639482402017067 , 0.15444315345193 , -0.917437449895133 | 0.7501936 |
| 63 | 20 | 0.0 | 0.1 | 1.0 | control , control , control , control , control , control , control , control , control , control , control , control , control , control , control , control , control , control , control , control , intervention , intervention , intervention , intervention , intervention , intervention , intervention , intervention , intervention , intervention , intervention , intervention , intervention , intervention , intervention , intervention , intervention , intervention , intervention , intervention , -1.363386741748 , 2.62188743841298 , 1.26497239726826 , -0.208598942487609 , 0.294558329975569 , 0.78272213971255 , -1.05218215003723 , 0.401212416565038 , -0.768125327764507 , -0.230364349806937 , -2.23985132427077 , -0.803717471173496 , 1.67725575128275 , -0.833534282325642 , -0.525688772255048 , -0.342707594761518 , 0.894705064452652 , -1.59529946279615 , 0.236738435429603 , 1.64001157456216 , -0.166665656609767 , 0.206602793871129 , -0.067471504148151 , -0.342048820024867 , -0.150491037332664 , -0.647222108627957 , 0.340557757186862 , 0.193620093575759 , 1.6334665448588 , -0.0368825629263193, -0.716826600445786 , 0.496231819311466 , -0.603161286979609 , -1.41749778835708 , 0.413819512725029 , 1.27917935102189 , -0.318340092387924 , -0.263186939986077 , -1.90230474910855 , -0.955737105788779 | 0.6652224 |
| 63 | 20 | 0.5 | 0.0 | 0.5 | control , control , control , control , control , control , control , control , control , control , control , control , control , control , control , control , control , control , control , control , intervention , intervention , intervention , intervention , intervention , intervention , intervention , intervention , intervention , intervention , intervention , intervention , intervention , intervention , intervention , intervention , intervention , intervention , intervention , intervention , -1.63644958106275 , 0.273927833444596 , -0.266105955701599 , -0.350729054058577 , -0.536180996779735 , -0.738761694989522 , 0.66276273909744 , 0.404826393036407 , 0.110216053070739 , 0.548434186377123 , 0.944087720835243 , -0.518072571145023 , 0.0381175981695479 , -0.153045571524483 , -0.175643885217275 , -0.761323114608621 , 0.69413401699881 , -0.575440879323304 , 0.971786146370844 , 0.172598188255559 , 0.247232504366293 , 0.814186599318631 , 0.142812535081979 , 0.0297524066754852 , 0.619882680643536 , 0.775903142291941 , 1.36138624050819 , 0.416343000552242 , -0.0437377073052694, 1.21618544302955 , -0.40913217953761 , 0.683456357424435 , 0.457045512037 , 0.104229048797058 , 0.6792663972099 , 0.650960530385936 , 0.763978654259049 , 0.623408217685412 , 0.337319012598062 , 0.181407943274216 | 0.0046600 |
| 63 | 20 | 0.5 | 0.0 | 1.0 | control , control , control , control , control , control , control , control , control , control , control , control , control , control , control , control , control , control , control , control , intervention , intervention , intervention , intervention , intervention , intervention , intervention , intervention , intervention , intervention , intervention , intervention , intervention , intervention , intervention , intervention , intervention , intervention , intervention , intervention , -0.129138230399944, 1.83564882157455 , -0.800114851838128, -1.20774587111761 , 0.154968369750011 , 2.21730567635562 , 0.787022363434012 , 0.0126686235640243, -0.330724997884269, 0.47795252116307 , 0.0477299712481414, -0.56227225154266 , -0.324683883076419, -0.530897932888369, 0.211971969335896 , -0.077373688967043, -2.11404194119861 , -0.3724742166701 , -0.558044411050245, -0.497839103784179, 0.454939072512749 , 0.928189569663384 , 0.52428001683134 , 0.591702996432345 , 2.32980586764061 , 0.872580544017011 , 0.281207475781076 , 1.24256983769957 , -0.959263093619043, 0.256052770728666 , 1.75173287171261 , -0.556612911516917, 1.02374462163175 , -0.586258704233211, 1.36814805565129 , 1.663540749761 , 0.109162168059865 , 0.858388557148606 , 0.605489732966863 , 1.35011501474214 | 0.0075453 |
| 63 | 20 | 0.5 | 0.1 | 0.5 | control , control , control , control , control , control , control , control , control , control , control , control , control , control , control , control , control , control , control , control , intervention , intervention , intervention , intervention , intervention , intervention , intervention , intervention , intervention , intervention , intervention , intervention , intervention , intervention , intervention , intervention , intervention , intervention , intervention , intervention , -0.811870826016359 , -0.897083562394101 , -0.0188487915187782, -0.315309918216333 , 0.492070106884644 , 0.0206374501820308 , 0.0351637253096786 , 0.454942538248753 , -0.707586196581027 , 0.233013464983249 , -0.286608771991923 , -0.0631238984468623, 0.0778758052517452 , 0.137521344896496 , 0.947322739783486 , -0.184896207686342 , 0.419652630295341 , -0.101848705262783 , 0.224292771600368 , 0.526652170196976 , 0.013311115008917 , -0.741142344703087 , 0.446374687766718 , -0.231063374459108 , 0.00431620783032988, 0.212631854532428 , 0.126644250951117 , -0.112879773890017 , 0.0331789059713209 , 0.382366697837863 , 0.050229524502403 , 0.969622156409932 , 0.659033798964683 , 0.216089401261767 , -0.558449451821628 , 1.24428372182233 , 0.151080806770042 , 1.00926782088893 , -0.12246053458334 , 0.790511113955748 | 0.1665273 |
| 63 | 20 | 0.5 | 0.1 | 1.0 | control , control , control , control , control , control , control , control , control , control , control , control , control , control , control , control , control , control , control , control , intervention , intervention , intervention , intervention , intervention , intervention , intervention , intervention , intervention , intervention , intervention , intervention , intervention , intervention , intervention , intervention , intervention , intervention , intervention , intervention , 0.0491463881276234 , 0.342993052576928 , 1.22083355409378 , -0.0747351407514866, 1.86275336508125 , -0.226132988464282 , 0.752036048625191 , -0.679150989666496 , 0.94919149322721 , 0.855309623459997 , 1.11374063069941 , 1.73010737572344 , 1.99337347777311 , 0.848469159146876 , -1.16877341254774 , -0.768707204501146 , 2.02980437619318 , -0.580564174596178 , 0.191041504218372 , 0.177488394529661 , 0.181223219241091 , -1.23322801439611 , -0.307117686695072 , -0.913038178650727 , 1.71811011537094 , 0.325776526605671 , -1.08622075885315 , -0.870688579472249 , -1.06699581203526 , 0.0502294568983243 , 2.80528698241876 , -0.411428936465456 , 0.925532463044451 , 1.63843259750307 , -0.866973188849885 , 0.92540812312184 , 0.936843514563563 , -1.16471468669518 , -0.162486587455286 , 1.21929308070475 | 0.2420030 |
| 63 | 50 | 0.0 | 0.0 | 0.5 | control , control , control , control , control , control , control , control , control , control , control , control , control , control , control , control , control , control , control , control , control , control , control , control , control , control , control , control , control , control , control , control , control , control , control , control , control , control , control , control , control , control , control , control , control , control , control , control , control , control , intervention , intervention , intervention , intervention , intervention , intervention , intervention , intervention , intervention , intervention , intervention , intervention , intervention , intervention , intervention , intervention , intervention , intervention , intervention , intervention , intervention , intervention , intervention , intervention , intervention , intervention , intervention , intervention , intervention , intervention , intervention , intervention , intervention , intervention , intervention , intervention , intervention , intervention , intervention , intervention , intervention , intervention , intervention , intervention , intervention , intervention , intervention , intervention , intervention , intervention , 0.498610709462519 , 1.02514674917969 , -0.282288631627244 , 0.133133113351482 , -1.02287652676813 , 0.0768690515784851 , 0.679488529454376 , 0.606126862570643 , -0.0747208423596585 , 0.279255309683512 , -0.796139966631524 , -0.27088438809953 , -0.0746975583271021 , 0.12897487927934 , 0.0444402619643047 , 0.538707165839645 , 0.295057172546958 , -1.13996971076249 , 0.633749079268919 , -0.568370207550804 , -0.290078557197893 , -0.449718701453006 , 0.199732682631336 , -0.173009548872574 , 0.270292999869484 , -0.506973831724193 , -0.0152177174649093 , 0.378140348952844 , -0.105889824414299 , -0.432154306107786 , -0.133978469451974 , -0.294590949256135 , 1.24256961042731 , -0.100029797597373 , -0.113431316113644 , 0.440047768231571 , -0.677190891886705 , 0.863636906818384 , -0.341529445022267 , -0.180034685290446 , 0.963323965568279 , -0.260609396630692 , 0.826893065746502 , -0.0261399269435903 , -0.0422548202034733 , -0.00978743329716048, -0.365838197148148 , 0.28001845162151 , 1.45436529340299 , -0.0866354967162602 , 0.0256743835731264 , 0.208189152171994 , 0.907248898030031 , 0.625297614611137 , 0.493746087200641 , 0.526781202315968 , 0.343657440436541 , -0.599963962395931 , 0.50754784321172 , -0.0861629049027354 , -0.343036864822459 , 0.3335063044431 , -0.121306163487665 , -0.498166783539167 , -0.168702049987377 , -0.27736095883616 , -0.0607175723044324 , -0.194726765354604 , -0.212770454436334 , 0.443821826174909 , -0.125720786812135 , 0.815259329844708 , -0.179283117173668 , 0.224312249925838 , 0.132357203321539 , 0.420958467045881 , 0.525595841653526 , 0.143570231468094 , -0.223916678945477 , 0.483725918370486 , -0.987128994246559 , 0.288506682301732 , 0.246764267412071 , -0.19171669139808 , 0.818902599233306 , -0.265989190472319 , 0.0960505102513889 , -0.39648633390386 , -0.506068689697919 , -0.132852240568847 , 0.750153851256722 , 0.602158582824844 , -0.228957321533823 , -1.21435737901987 , 0.165477492084808 , 0.321698139602473 , -0.163632685014728 , 0.392357514356511 , 0.22041439349063 , 0.142193054207941 | 0.8409300 |
| 63 | 50 | 0.0 | 0.0 | 1.0 | control , control , control , control , control , control , control , control , control , control , control , control , control , control , control , control , control , control , control , control , control , control , control , control , control , control , control , control , control , control , control , control , control , control , control , control , control , control , control , control , control , control , control , control , control , control , control , control , control , control , intervention , intervention , intervention , intervention , intervention , intervention , intervention , intervention , intervention , intervention , intervention , intervention , intervention , intervention , intervention , intervention , intervention , intervention , intervention , intervention , intervention , intervention , intervention , intervention , intervention , intervention , intervention , intervention , intervention , intervention , intervention , intervention , intervention , intervention , intervention , intervention , intervention , intervention , intervention , intervention , intervention , intervention , intervention , intervention , intervention , intervention , intervention , intervention , intervention , intervention , 0.337015748804103 , -0.715513264911285 , 1.94101665441793 , 0.630063676101649 , -0.111817153839249 , -1.94325048355758 , -2.33372701463611 , 0.861554224736979 , -1.55762560051679 , -0.397174216714607 , -1.9584274413981 , 1.61519749741424 , -0.0146285047397626, -2.87342257855276 , -0.253204703037979 , 0.333876888224382 , -0.0741201089495562, -0.761348682513003 , 0.545455101948375 , -1.00988399894531 , -0.817004984700384 , -1.58263860624985 , -0.378610730389973 , 1.77327450978395 , -0.0952190559606773, 0.409224817738479 , -0.990167211899417 , -0.0711216065769969, -0.319716397503005 , -0.648800729115589 , 0.388099193954643 , 0.837911621893536 , -0.0162661681163027, 1.57676102440917 , 0.403120564658147 , 1.05753716498421 , -1.9136067996907 , 0.831111402158119 , -0.185141429321539 , -0.53377532507074 , -0.361817407792451 , 0.517757317992365 , 0.106881802954646 , 0.162859020311466 , -1.05205367910855 , 1.11820803060572 , -0.102742992161753 , 2.6856139147269 , -0.399913075609769 , -0.304204879659868 , -0.195978275620168 , -0.16129741644136 , -0.29349784513271 , 0.872787829236672 , -1.0717497027748 , -0.229935216526255 , -0.0432294003645436, -1.06829346381193 , -1.04655933374063 , 0.298059500322328 , 1.70128470291878 , -1.80795949710572 , -0.788669572891992 , 1.06696262169915 , -0.307289670048991 , 0.847902926602422 , 1.38338918758516 , -0.260440090770789 , 0.22732506391655 , 1.9965663682419 , 0.154796102868213 , -0.0809227391999275, -1.26558166732281 , 0.55135400658777 , -0.869175530427825 , 0.968216254807167 , 1.81489399366154 , -0.908582477049743 , 0.830313330990597 , 1.15637836590977 , -0.643132478156217 , -0.230004637742348 , -0.436592911500827 , 0.267566364805207 , -1.27715166871888 , -0.440161111803853 , 0.305848620921243 , -0.758499384349005 , 0.113883422055384 , -0.181712973456361 , -0.309360164615111 , 0.751616181201372 , 1.05146993364578 , 0.352022847358526 , -0.287423419329591 , 0.668687370529325 , 0.80060143444001 , -0.0885345650953721, 0.521215082931956 , -0.0442593678639454 | 0.3535213 |
| 63 | 50 | 0.0 | 0.1 | 0.5 | control , control , control , control , control , control , control , control , control , control , control , control , control , control , control , control , control , control , control , control , control , control , control , control , control , control , control , control , control , control , control , control , control , control , control , control , control , control , control , control , control , control , control , control , control , control , control , control , control , control , intervention , intervention , intervention , intervention , intervention , intervention , intervention , intervention , intervention , intervention , intervention , intervention , intervention , intervention , intervention , intervention , intervention , intervention , intervention , intervention , intervention , intervention , intervention , intervention , intervention , intervention , intervention , intervention , intervention , intervention , intervention , intervention , intervention , intervention , intervention , intervention , intervention , intervention , intervention , intervention , intervention , intervention , intervention , intervention , intervention , intervention , intervention , intervention , intervention , intervention , -0.3020789798073 , 0.270924790870608 , 0.700588688284585 , 0.138779486204795 , -0.540417794495676 , 0.359198805078975 , -0.323334860990679 , 0.662848785644119 , 0.42427891570215 , -0.582561367024237 , 0.314500141047197 , 0.105368081569989 , -0.337120063532643 , 0.501575960475707 , 0.17323139239175 , -0.492402565966473 , -0.03968488264375 , 0.938751481362645 , 0.602253422259257 , 0.320624474852974 , 0.0953818263463615 , -0.463537253558218 , 0.147774559236608 , 0.103016887535275 , -0.183206402724328 , 0.855476130240497 , 0.622579542575494 , -0.106935431008147 , 0.436570084067764 , 0.0774071626324733 , 0.59257853643013 , 0.614230839178989 , 0.260736416284282 , -0.512841358203453 , 0.828038566996243 , 0.0824792084307872 , 0.021398665480387 , 0.529416441909517 , 0.252084229468124 , 0.478053823760705 , 0.594636606963484 , -0.0553679446954605 , -0.872418290721154 , 0.418431240399467 , -0.27486027922249 , -0.0886092209333479 , -0.275321166193937 , 0.122121491467822 , 0.827919791084118 , 0.224923523164532 , 0.45916847724467 , -0.557861581037118 , -0.591524108735057 , 0.918843431737414 , -0.182919119875239 , -0.535163687237845 , -0.174404625499531 , -0.308433146537093 , -0.266896087724825 , 0.443974143227374 , -0.158132666317636 , 0.316108390114862 , -0.149988071279894 , 0.316895445089866 , -0.121363784925697 , 0.320661931394627 , -0.464197297646449 , 0.501174453401619 , 0.021531326482176 , -0.194453071024114 , 0.228762056233854 , 0.216307962049168 , 0.27791775280968 , -0.420972229797641 , -0.208113347031938 , -0.098755745037842 , 0.280233269197026 , 0.411839212838772 , 0.102638636936161 , 0.216575821903505 , -0.167362582684999 , 0.266200261492039 , 0.472894423166083 , 0.734433072858922 , -0.348604087811237 , 0.306819716826872 , -0.0230626892666769 , 0.440752681560974 , 0.172903975002759 , -0.725572656406742 , -0.000393741891636745, 1.07004959995395 , -0.0676066717679792 , 0.125317818790151 , 0.151194122881446 , 0.185511629618145 , 0.638880053125213 , 0.00306481701475024 , 1.02011151711234 , 1.60954850318053 | 0.6887870 |
| 63 | 50 | 0.0 | 0.1 | 1.0 | control , control , control , control , control , control , control , control , control , control , control , control , control , control , control , control , control , control , control , control , control , control , control , control , control , control , control , control , control , control , control , control , control , control , control , control , control , control , control , control , control , control , control , control , control , control , control , control , control , control , intervention , intervention , intervention , intervention , intervention , intervention , intervention , intervention , intervention , intervention , intervention , intervention , intervention , intervention , intervention , intervention , intervention , intervention , intervention , intervention , intervention , intervention , intervention , intervention , intervention , intervention , intervention , intervention , intervention , intervention , intervention , intervention , intervention , intervention , intervention , intervention , intervention , intervention , intervention , intervention , intervention , intervention , intervention , intervention , intervention , intervention , intervention , intervention , intervention , intervention , -0.650178577632211, -0.146437736170242, 0.584196197631214 , 0.351569064544327 , 0.617101461569726 , -0.245720373976125, -0.601763815383088, 0.488401431322111 , 0.706033789404756 , 0.79985767284522 , -0.476918238638537, 0.38675781928738 , -0.47515424420222 , 1.99135668968524 , 1.14624391047366 , -0.109237784993573, -0.410623727444685, 0.652026419728766 , 0.623981238557355 , -0.087615592918588, -1.16209618153705 , 0.401002794476273 , 0.257651096334356 , 0.0593396967389567, -0.770932048350875, -1.03317849697059 , -0.727361127792571, 1.35916591276294 , -1.53533713478477 , -0.99137474389362 , -0.183813667844373, -0.127610664694985, 0.842235323493598 , 0.428312197319074 , 0.103922113766899 , -1.78863114545866 , 0.523401822302172 , -0.26648515711873 , 0.115367673402116 , -0.8090380878528 , 0.172024593739183 , 0.522879378273117 , 0.427470578965604 , 1.09481486816651 , 0.181569694001108 , 1.3783818431833 , -0.357882487954646, 0.78912102103705 , 0.312071059695961 , -1.54559188594843 , -1.13284310187342 , 1.03587553671844 , -0.228103677627913, -0.387186516915359, 0.101491446009008 , 0.894775670995305 , 0.332371865816605 , -0.490496151286512, 0.382488611053536 , 1.08773867922803 , 0.189661853918307 , 1.11696147001054 , -0.627198811598888, 1.00649965722784 , 0.168026568599437 , 1.24154423776223 , -1.83918020626124 , -0.388098230732545, -1.17179298023587 , 0.316475807146032 , -0.615003352053749, 0.0292069120645108, -0.400073408397567, -1.72382838952363 , 0.347526357986516 , 0.327633741803287 , -1.09757079805857 , -0.319806726306784, 1.40576949658918 , -0.424371759994386, -0.094246480265089, 0.790494123722226 , 0.768437552484021 , 1.16340837140022 , 0.675553390901882 , 0.782363635937709 , -1.04439438173444 , -1.20485039761069 , 0.867934967909354 , 0.301223202952454 , -0.964663794586009, -0.926162881493242, 0.918821577577031 , -1.62218952406924 , -1.07299670412475 , 0.241482571175231 , -0.490728081007564, 1.26013693189943 , 0.78323553698004 , 1.27369571825989 | 0.8808887 |
| 63 | 50 | 0.5 | 0.0 | 0.5 | control , control , control , control , control , control , control , control , control , control , control , control , control , control , control , control , control , control , control , control , control , control , control , control , control , control , control , control , control , control , control , control , control , control , control , control , control , control , control , control , control , control , control , control , control , control , control , control , control , control , intervention , intervention , intervention , intervention , intervention , intervention , intervention , intervention , intervention , intervention , intervention , intervention , intervention , intervention , intervention , intervention , intervention , intervention , intervention , intervention , intervention , intervention , intervention , intervention , intervention , intervention , intervention , intervention , intervention , intervention , intervention , intervention , intervention , intervention , intervention , intervention , intervention , intervention , intervention , intervention , intervention , intervention , intervention , intervention , intervention , intervention , intervention , intervention , intervention , intervention , 0.363686039006933 , -0.182938448322934 , 0.1308618932966 , -0.391442413761324 , -1.02936905009895 , -0.267052429538694 , 0.184159578363651 , -0.700073392997627 , -0.0119172341719814, -0.353412054977146 , 0.172859340727594 , 0.171555853659743 , 0.577641924062806 , 0.292513258798201 , -0.607831644290397 , 0.234401454466792 , 0.0173511940835065 , 0.900592691677051 , -0.152392961021956 , -0.0931991697462472, -0.0501629232265354, -0.829257615642509 , -0.187816822417432 , 0.579606023151971 , 0.438713910014754 , -0.246154603349843 , 0.332254307700578 , 0.0581835964151102 , 0.469257807333854 , 0.424116394803448 , 0.514227887709813 , 0.3624742856693 , -0.384401748763451 , -0.448062061895619 , -0.442406602921993 , 1.11842756056272 , 0.579387595801051 , 0.0571736512916731 , 0.381219930252015 , -0.512780737114363 , 0.474504094478657 , -0.806139154235886 , -0.597783038671586 , 0.269748170874372 , 0.228450640818182 , 0.0775505513736662 , 0.334323571645007 , 1.03026174740019 , 0.63907756001129 , -0.349339889011312 , 0.808929883355867 , -0.677458239907824 , -0.247236632526178 , 0.695762424157771 , 0.890194987197572 , 0.400330862598771 , 1.62142717547543 , -0.132678615616964 , 0.477602730128182 , 0.467778745284826 , 0.700894594633201 , -0.0810760262449535, 0.440799378505462 , 0.851471314845378 , 0.134363893972549 , 0.474671756673563 , 0.74293411324677 , 0.563145879544556 , 0.821277427842987 , 0.792755236424208 , 1.05359076965582 , 0.382141081630127 , 0.11915016172158 , 0.638355838194961 , -0.164064177712652 , 0.642796220168618 , 0.722995175426326 , -0.0854079541498641, 0.937704380598759 , 1.03729097883505 , -0.0909583132421948, -0.217966470546752 , 0.811884496622141 , 0.490514349072574 , 0.117746781225186 , 0.631448451809389 , 0.154523208123431 , 0.506075289963605 , 0.346712049948476 , 0.0280855126972504 , 0.467435499076554 , -0.521421616136366 , -0.212173228210081 , 0.252006314973394 , -0.311165638999839 , 0.0886747335188698 , 0.157044429675481 , -0.281725331772628 , 0.798837317772784 , 0.462527897439437 | 0.0011287 |
| 63 | 50 | 0.5 | 0.0 | 1.0 | control , control , control , control , control , control , control , control , control , control , control , control , control , control , control , control , control , control , control , control , control , control , control , control , control , control , control , control , control , control , control , control , control , control , control , control , control , control , control , control , control , control , control , control , control , control , control , control , control , control , intervention , intervention , intervention , intervention , intervention , intervention , intervention , intervention , intervention , intervention , intervention , intervention , intervention , intervention , intervention , intervention , intervention , intervention , intervention , intervention , intervention , intervention , intervention , intervention , intervention , intervention , intervention , intervention , intervention , intervention , intervention , intervention , intervention , intervention , intervention , intervention , intervention , intervention , intervention , intervention , intervention , intervention , intervention , intervention , intervention , intervention , intervention , intervention , intervention , intervention , 0.58615700613027 , 0.949330117696519 , 0.594750365964874 , -0.386129209569604 , -0.512619878450424 , -1.38478676179074 , -0.19417070761039 , -1.13378130889955 , -0.211553065614002 , 0.565165461961561 , 0.852703685248301 , 1.03753273452251 , 0.820681206983428 , -0.138770430342265 , -1.28782584448573 , -1.07938841509143 , -0.943844695395181 , -0.599571097520201 , 1.45259571139041 , 0.449813567907468 , 0.406980242194141 , 1.11134975798458 , -1.65345444353261 , -1.39693464873962 , 1.42260261491187 , -0.168644596225422 , -0.437753880321086 , -0.755209844322154 , -0.173872713506214 , 1.83416679540241 , -1.16222625792102 , -1.43013036548213 , 0.0553422262551437 , -1.3718721351456 , -0.0369269745383973 , -1.43086240893411 , -0.598289802655167 , 1.67610387342486 , -1.46103675036989 , -1.4839147104764 , 0.180223585126196 , -1.03297104943578 , 1.52377863460504 , 0.186937860664806 , -0.930229292653863 , -0.553035140044726 , 0.51332969000601 , 0.140958777942012 , 0.471750288390251 , -0.619103761090418 , -0.354186345951938 , 0.732414506991655 , -0.61449287539254 , 2.16731813874639 , 0.73117574569436 , -0.335273380599721 , -0.31363645271161 , 2.52681300921336 , -0.439885245922905 , 0.262327878463033 , 0.961780376752932 , 0.932355720462838 , -1.28801534655361 , 0.735662405080596 , 1.31054188522869 , 0.645697080580783 , 0.666945447536082 , -1.60610098016361 , 0.261397002059075 , -0.534378952890582 , -0.15754628264689 , 1.45214992626098 , -0.194278934127759 , -0.472839936345751 , 0.582992824556499 , 1.75787536039192 , 1.03438469347145 , -0.015626560306179 , 1.41586713879103 , 1.20088498860085 , 0.609668447074757 , 1.81524388069128 , 2.14120038927064 , 0.000993635585382124, 0.80951425319981 , -0.0818596965405928 , 1.71367801761688 , 0.244570838493645 , -0.25411042114218 , 2.00360944388407 , -1.34102472615191 , 0.055741062290554 , -0.65863246413183 , 1.67377688571075 , -1.20968511028109 , 1.12258899991044 , -0.673225804493668 , 0.749586728622218 , 1.5995968774456 , -0.00524617303074149 | 0.0021396 |
| 63 | 50 | 0.5 | 0.1 | 0.5 | control , control , control , control , control , control , control , control , control , control , control , control , control , control , control , control , control , control , control , control , control , control , control , control , control , control , control , control , control , control , control , control , control , control , control , control , control , control , control , control , control , control , control , control , control , control , control , control , control , control , intervention , intervention , intervention , intervention , intervention , intervention , intervention , intervention , intervention , intervention , intervention , intervention , intervention , intervention , intervention , intervention , intervention , intervention , intervention , intervention , intervention , intervention , intervention , intervention , intervention , intervention , intervention , intervention , intervention , intervention , intervention , intervention , intervention , intervention , intervention , intervention , intervention , intervention , intervention , intervention , intervention , intervention , intervention , intervention , intervention , intervention , intervention , intervention , intervention , intervention , -0.563852160706582 , 0.626776933943933 , 0.554322804389568 , -0.429208156967179 , 0.623087472316867 , 0.0583543479973913 , 0.498989746368849 , -0.183650872199612 , 0.569885310504191 , 0.227890316936276 , -0.0323537728462476, -0.0810600876955373, 0.230995726972142 , 0.683192542933347 , 0.402843222972843 , -0.240338197594262 , 0.31740871736165 , -0.193897881820184 , 0.086669923678631 , 0.398314066190728 , 0.225636988269447 , 0.705249337955186 , 0.23581641722863 , -0.316933548936506 , -0.0817282331278682, 0.0945174064664656 , 0.48082817077815 , 0.413379178808632 , 0.111132083474417 , 0.843578510469844 , -0.177711840412575 , 0.253192054396152 , -0.165114740069993 , 0.112377754218009 , -0.260155225916953 , 1.48180776309042 , -0.192061010101349 , 0.531225458073251 , -1.58181378202378 , 0.371399606155597 , 0.326258950579432 , -0.316028127721965 , 0.711112244568924 , -0.269019117564103 , -0.104938912257512 , -0.473818253640796 , 0.834455551701331 , 0.0304962172104086 , 0.50355368143727 , -0.202556679994426 , 0.248128699296631 , 0.0670681132676962 , 0.760635280196455 , 0.176695684753158 , 0.251922761825906 , 1.13937448426514 , 0.0876904840498532 , 0.105855351841946 , 1.43404889664777 , 0.522747837558408 , 0.644506077019338 , 0.48108525455144 , -0.154398649100361 , 0.424480117492369 , 0.550272470964341 , 0.665899309293151 , 0.676146008240754 , 0.19414997877154 , 0.680800368672719 , 0.527102082634788 , 1.01870185996106 , 0.820860164693433 , 0.373477077238437 , 0.833453783564612 , 1.06848399678417 , 0.588008891606054 , -0.391100150722083 , -0.280460757641957 , 0.405401921453837 , 0.629144269120947 , 1.44329000380838 , 0.822895924458912 , 0.545828484338424 , 1.35873918340977 , 0.0144328601805068 , 0.178215392045107 , -0.201468624534101 , 0.837824413918006 , 0.529954740821325 , 0.0650198268676555 , 0.243065978120895 , 0.992015759747336 , 0.126197696040676 , 1.11709516167039 , -0.306603506657549 , 0.397511869564199 , 1.2968140692667 , 0.442862559581149 , 0.267828862868358 , 0.856752476050631 | 0.0002335 |
| 63 | 50 | 0.5 | 0.1 | 1.0 | control , control , control , control , control , control , control , control , control , control , control , control , control , control , control , control , control , control , control , control , control , control , control , control , control , control , control , control , control , control , control , control , control , control , control , control , control , control , control , control , control , control , control , control , control , control , control , control , control , control , intervention , intervention , intervention , intervention , intervention , intervention , intervention , intervention , intervention , intervention , intervention , intervention , intervention , intervention , intervention , intervention , intervention , intervention , intervention , intervention , intervention , intervention , intervention , intervention , intervention , intervention , intervention , intervention , intervention , intervention , intervention , intervention , intervention , intervention , intervention , intervention , intervention , intervention , intervention , intervention , intervention , intervention , intervention , intervention , intervention , intervention , intervention , intervention , intervention , intervention , 0.475774491643193 , 1.22483121685259 , 1.97070378785912 , -1.09936207628372 , -1.18139668920187 , -0.181480292638223 , -2.26771730809508 , 1.61245097269685 , 0.066199315596778 , 1.24350812409909 , 0.0240605629872442 , -0.794708448386612 , -0.0776470608042004, -0.911704677168017 , 1.35765628524731 , 1.69842663930102 , 0.0542125043960296 , -0.640169109137774 , -0.457103320614311 , 2.111942639139 , -0.354434659030739 , -0.51216979634647 , 0.210595770063942 , -0.168020122906969 , -0.281820375954333 , 0.226720426597962 , 0.525136122430079 , -0.520620791908076 , 1.10622762953815 , 0.449012599369202 , -0.609938232076201 , 1.45873610273025 , -1.61907568757984 , 0.552028822553685 , 0.248976897744458 , 0.791740074126762 , -0.964277065538755 , -0.0720598341898813, 0.306100318282435 , -1.42967949547429 , -0.960052765618235 , 0.273365324418937 , -0.053676519290788 , -0.877394572896308 , -1.83246336997388 , 0.261801657005123 , -0.879927882327585 , 0.248754530347293 , 0.279714415930579 , -0.118359148742309 , -0.539883279057485 , 1.37668227868453 , -0.0123654172518833, 0.956417848902292 , 0.787880750720978 , 0.479622417644229 , -0.0508460617504466, 1.39290413388607 , -0.0834125812966583, 1.05659376184933 , 0.32120575424279 , 2.09518078545889 , 1.12268904113754 , 0.701606376673004 , 1.42192058006798 , 1.37438783692458 , -0.428719354317276 , -0.463874452509494 , 0.283508628645395 , -0.574937922416403 , 0.961120922591747 , -1.22296336781878 , 1.38734609945983 , -0.976592748584027 , 0.363310024959295 , 2.36270418579479 , -0.111648794675714 , 0.833926989030177 , 1.16081146243453 , -1.43974616720349 , 0.880858624131034 , 0.301664176191393 , 0.189439885490743 , 1.26706139433736 , -0.202354542802256 , -0.313389136008881 , 2.33533525348551 , 0.101411397089152 , 0.796626964595558 , 1.29163233782864 , -0.357985356641533 , -0.421854421864901 , 0.901595643059969 , 0.632863507578055 , 0.363719078100388 , 0.680320532742604 , 0.299739902626121 , 0.502218872812391 , 1.2821169137209 , 1.05072129377345 | 0.0050566 |
| 64 | 20 | 0.0 | 0.0 | 0.5 | control , control , control , control , control , control , control , control , control , control , control , control , control , control , control , control , control , control , control , control , intervention , intervention , intervention , intervention , intervention , intervention , intervention , intervention , intervention , intervention , intervention , intervention , intervention , intervention , intervention , intervention , intervention , intervention , intervention , intervention , -1.05584532667682 , -0.299592985111109 , -0.221791024808721 , 0.0102018201482091 , -0.719078641020745 , 0.044248616407989 , -0.614059945158065 , -0.161152134622815 , 0.846719468600987 , -0.499819918747514 , 0.217886662099813 , -0.468777056175085 , 0.181780575826983 , -0.519180621052142 , 0.355567941232672 , 0.25013774663448 , 0.277348909176049 , 0.463038194619557 , -0.74331585259403 , -0.124843485083444 , -0.0408801491320281, -0.0118665008819196, -0.433073487600759 , -0.048207257301398 , -0.390093607824682 , 0.0809263946427923 , 0.797414204909284 , 0.950992632018516 , 0.307392764846164 , 0.801066072904541 , -1.06069869206601 , 0.318984451827596 , -0.501136748852417 , -0.197712016157566 , 0.27218305251619 , -0.292527485418982 , 0.0191869484710372 , 1.05658819260283 , -0.299295975828631 , -0.174581697761901 | 0.2291497 |
| 64 | 20 | 0.0 | 0.0 | 1.0 | control , control , control , control , control , control , control , control , control , control , control , control , control , control , control , control , control , control , control , control , intervention , intervention , intervention , intervention , intervention , intervention , intervention , intervention , intervention , intervention , intervention , intervention , intervention , intervention , intervention , intervention , intervention , intervention , intervention , intervention , 0.355526736798312 , -0.71173925997818 , 0.40181343936321 , 0.152044452655048 , 0.479758535600118 , -0.141401606816611 , -0.853391743169857 , -0.00064068532683015, -0.147568088817803 , 0.0660884518808119 , -0.390841037759687 , 0.358827374685618 , -0.461126540166422 , -0.889010665316619 , -0.0278149476118861 , -0.00186532618470283, -0.690019848132865 , 1.29562740530042 , 1.04697244082092 , -2.48078027210922 , -1.15534663220278 , -0.546638897713506 , -0.160571600978008 , 0.434782757490365 , -0.546826831081699 , -1.20671051712377 , -0.107832504439829 , -0.584687197972754 , 0.442130769456827 , 2.47465883350664 , 0.598845518249455 , -0.806657045409878 , 0.807982429302208 , -0.641893370341399 , 0.00178381200448596 , 0.200316375232557 , -0.534742821627853 , -0.160843273142813 , 0.196181107803444 , -0.443280657947073 | 0.8614991 |
| 64 | 20 | 0.0 | 0.1 | 0.5 | control , control , control , control , control , control , control , control , control , control , control , control , control , control , control , control , control , control , control , control , intervention , intervention , intervention , intervention , intervention , intervention , intervention , intervention , intervention , intervention , intervention , intervention , intervention , intervention , intervention , intervention , intervention , intervention , intervention , intervention , 0.675482308121334 , 0.361150663279458 , 0.755234653428818 , 0.748244793264366 , -0.0932009522350384, -0.599488970101636 , 0.0260281944887672 , 0.0153954916436485 , 1.06005681883329 , 0.755126293029286 , 0.507491154788558 , -0.107892330174758 , 0.647464131840212 , 0.524770826362615 , -0.235485253767925 , -0.626862987009032 , 0.535515705010148 , -0.715454708823288 , 0.64422639038568 , 0.22816258528489 , 0.649705937417128 , -0.112912889035467 , -0.097087887843145 , 0.586264084389163 , -0.0718087383954267, 0.303719447176947 , 0.208636408026393 , -1.3724240558213 , -0.448222233895365 , -0.0696559339035814, 0.259757284552529 , 0.749652827707745 , -0.298002443655233 , -0.574510040073977 , 0.0780340615468183 , -0.564360177706776 , -0.308899131305775 , 0.221057399639151 , -0.231517037065842 , -0.0768699247468859 | 0.0566555 |
| 64 | 20 | 0.0 | 0.1 | 1.0 | control , control , control , control , control , control , control , control , control , control , control , control , control , control , control , control , control , control , control , control , intervention , intervention , intervention , intervention , intervention , intervention , intervention , intervention , intervention , intervention , intervention , intervention , intervention , intervention , intervention , intervention , intervention , intervention , intervention , intervention , 1.46693798693034 , -0.106438226279471 , 1.06529314460868 , -1.15791908728852 , 0.220020079258608 , -0.470513967008952 , -0.5409072393323 , -1.14573512034864 , -1.2760544962977 , 0.73333695789387 , 0.508995770910564 , 0.489947128123735 , 0.288943666424762 , -0.288208649008806 , 0.291555517275771 , -0.58978123065362 , -0.347661387808404 , 0.427624359774885 , -0.15994004111762 , -1.6024015848124 , -0.832695611419276 , -1.24190223257868 , 0.446687363415693 , 1.30712434794153 , -0.424923115014304 , 1.2084360785159 , 0.895811764129938 , -1.07599532699787 , 1.78299477099495 , 0.519500520067462 , -0.0689281105603953, -0.461863712816461 , -0.148164298472046 , -0.986575362897898 , 0.0123878830532575 , 0.919214447202244 , -2.0790610003519 , -0.81227483559944 , -0.809570437141236 , 0.219338076312636 | 0.9223833 |
| 64 | 20 | 0.5 | 0.0 | 0.5 | control , control , control , control , control , control , control , control , control , control , control , control , control , control , control , control , control , control , control , control , intervention , intervention , intervention , intervention , intervention , intervention , intervention , intervention , intervention , intervention , intervention , intervention , intervention , intervention , intervention , intervention , intervention , intervention , intervention , intervention , 0.0242852993894786 , 0.24711887452387 , -0.125581873356996 , 0.283955929754836 , -0.0112010674421933 , 0.226800877159413 , -0.469853091845407 , 0.330024448275055 , 0.589691608294228 , -0.0268577606967485 , 0.927495876485576 , 0.670994819785318 , -0.43295165325182 , 0.205864114939779 , -0.174549213295462 , -0.490665598257279 , 0.746568835955112 , 0.666617875642738 , 0.487748830340125 , -0.00598105859671461, 1.83503188906947 , 0.722127258099218 , 0.481893183053157 , 0.270991605589706 , -0.0382188394126971 , 0.959350837087192 , 0.583852574953111 , 0.290420137786372 , 0.402623242194406 , 0.602421372675836 , 0.481760312573665 , 0.137892215894374 , 0.20569082877314 , -0.176659302871311 , 1.32803485618711 , 0.933847429551557 , 0.402617729333419 , 0.547317128557315 , 0.203835359926 , -0.265616041890852 | 0.0374753 |
| 64 | 20 | 0.5 | 0.0 | 1.0 | control , control , control , control , control , control , control , control , control , control , control , control , control , control , control , control , control , control , control , control , intervention , intervention , intervention , intervention , intervention , intervention , intervention , intervention , intervention , intervention , intervention , intervention , intervention , intervention , intervention , intervention , intervention , intervention , intervention , intervention , -0.314736887340392 , -0.515168779220577 , 0.690744229004846 , 0.0553343338798487 , -1.2005753302031 , 0.464473647259626 , 0.183862612811096 , -1.11814303643641 , -1.49739796253382 , 1.71687594237036 , -1.48768616508117 , 0.121567672033206 , 1.53148489613242 , -1.05272752089706 , 0.248591181501627 , 0.994518010180189 , 0.336235593431628 , -1.53787151686197 , -0.312254883994608 , -1.11784733251921 , 0.909860575064537 , 0.289240942801325 , -0.0320426775681089, 2.10460411699888 , 1.16748574191471 , -1.48104500436364 , 3.86627967189344 , 1.11634100778126 , 0.707553372018884 , 0.983360957133071 , -0.851563065998524 , -0.727673075274823 , 1.74364797443141 , 2.50063215162068 , 2.60234586316191 , -0.135361177412901 , -0.0510543950150903, 0.458520396616336 , 1.22223777471277 , 0.382043916597967 | 0.0075148 |
| 64 | 20 | 0.5 | 0.1 | 0.5 | control , control , control , control , control , control , control , control , control , control , control , control , control , control , control , control , control , control , control , control , intervention , intervention , intervention , intervention , intervention , intervention , intervention , intervention , intervention , intervention , intervention , intervention , intervention , intervention , intervention , intervention , intervention , intervention , intervention , intervention , 1.52017065965798 , 0.441118772688989 , -0.265214954216652 , -0.287269213683172 , 0.861027439499866 , -0.0907190119194456, 0.770979228196301 , 0.720579046745572 , 0.021239575535343 , -0.424611400342339 , 0.86042303386121 , 0.669637861395372 , 0.11221635113872 , 0.435990316354334 , 0.266382248036069 , -0.724104862711617 , -0.194275334109518 , 0.0250678779124146 , -0.472915142759769 , 0.00411221002582386, -0.585745781326594 , 0.784974377632446 , 0.541479698483148 , -0.278088436123531 , 0.93962811749572 , -0.253835382945977 , 0.732573194878043 , 0.715195500230252 , 0.573162389772821 , 0.936142588290513 , 0.847004832182392 , 1.3079855645536 , 1.07927775752226 , -0.143700366295901 , 0.392233314214821 , 0.339630755121004 , 0.477252773443819 , -0.273097982722227 , -0.0966479889995443, 0.238537338183933 | 0.2527561 |
| 64 | 20 | 0.5 | 0.1 | 1.0 | control , control , control , control , control , control , control , control , control , control , control , control , control , control , control , control , control , control , control , control , intervention , intervention , intervention , intervention , intervention , intervention , intervention , intervention , intervention , intervention , intervention , intervention , intervention , intervention , intervention , intervention , intervention , intervention , intervention , intervention , 0.873139082409434 , 0.801452898997873 , -0.730003192013661 , -0.833027662759848 , -0.570819159595306 , 1.21815728105064 , -1.40687677658584 , -2.29669171268669 , -1.16928404461445 , -0.396350743962939 , 1.01594209229234 , 1.40581305739739 , 0.0271797761813167 , 0.753121241658474 , 0.758282759614429 , 0.337583161298388 , 1.59302282301182 , -1.20213016603042 , -0.727766045008135 , 0.167008505822969 , 1.18864124196746 , 0.0674484983630801 , 0.143810506336091 , 1.73741450490419 , 0.169002159748166 , 0.623279536075189 , 0.662256289372178 , 1.10894559278101 , -0.126927896166862 , 1.64809984258347 , 1.50087249016777 , -0.517037678296847 , 0.267517139776997 , -2.04844045672994 , 1.06859321635232 , 1.23798371727099 , -0.0504579050277828, 1.04517138353176 , 1.64746325875083 , -0.514470324499056 | 0.0871442 |
| 64 | 50 | 0.0 | 0.0 | 0.5 | control , control , control , control , control , control , control , control , control , control , control , control , control , control , control , control , control , control , control , control , control , control , control , control , control , control , control , control , control , control , control , control , control , control , control , control , control , control , control , control , control , control , control , control , control , control , control , control , control , control , intervention , intervention , intervention , intervention , intervention , intervention , intervention , intervention , intervention , intervention , intervention , intervention , intervention , intervention , intervention , intervention , intervention , intervention , intervention , intervention , intervention , intervention , intervention , intervention , intervention , intervention , intervention , intervention , intervention , intervention , intervention , intervention , intervention , intervention , intervention , intervention , intervention , intervention , intervention , intervention , intervention , intervention , intervention , intervention , intervention , intervention , intervention , intervention , intervention , intervention , 0.137960976935178 , -0.357258776311491 , -0.418645381177636 , 0.539332873558591 , -0.173451906743805 , -0.455150807759114 , 0.170705690586784 , -0.16760432637922 , 0.0714982322753372 , 0.301202086248923 , 0.00100098525224762 , 0.409643012201328 , -0.263433193760972 , -0.560080379934465 , -0.593457091592782 , 0.116110839682911 , -0.0451566573376572 , -0.225821569209067 , -0.289609827127747 , 0.204452124325594 , -0.514570303385836 , 1.11186091068954 , -0.65406423256279 , 0.0259443982155239 , -0.621762550254262 , 0.251015701536829 , -0.558294983329915 , 0.24999929175279 , -0.626528096834928 , -0.389296660635262 , -0.420170705114298 , -0.360624770281276 , -0.32057930146289 , -0.24943043121076 , 0.109967191912556 , -0.233574311928793 , -0.845665819129495 , 0.174470579134794 , 0.305962936126042 , -0.176417959789277 , -0.208010578061854 , -0.291190004553321 , 0.387197832381621 , -0.136240697350454 , 0.869940217376673 , 0.280924666787432 , 0.178224277135472 , 0.456791478726006 , -0.112691398132127 , 0.0241375010334687 , 0.245153350614274 , -0.0875975351791479 , 0.503824312246118 , 0.86680455482654 , 0.0371755349644767 , -0.688913560524506 , 0.148516273753654 , -0.15538209537897 , -1.28969478590838 , 0.198978153701714 , -0.624987524062103 , 0.387232624276274 , 0.449575387681015 , 0.430797829681849 , -0.370635113347575 , -0.117348644559519 , 0.258883822096852 , 0.498663099493687 , 0.543505377369325 , -0.329006010317104 , 0.479458068770847 , -0.418080956427617 , 0.042065073514027 , 0.574675835885434 , -0.200764763770079 , -0.117855118252541 , -0.0116331083892602 , -0.51443609822972 , 0.0778968338536477 , -0.148733355057114 , 0.266490051468142 , -0.166169314306944 , 0.627620040619993 , -0.471137394905756 , -0.638283961000338 , 0.071616236332481 , -0.194866263065217 , 0.430511391432794 , -0.317739120191485 , 0.255809936362915 , 0.223255830307342 , 0.0436533319305995 , -0.000378934568262788, -0.859148124424307 , -0.331627226181806 , -0.629898277567438 , 0.816158136183059 , -0.436630498126914 , -0.0173226952698316 , -1.62605825295192 | 0.7250624 |
| 64 | 50 | 0.0 | 0.0 | 1.0 | control , control , control , control , control , control , control , control , control , control , control , control , control , control , control , control , control , control , control , control , control , control , control , control , control , control , control , control , control , control , control , control , control , control , control , control , control , control , control , control , control , control , control , control , control , control , control , control , control , control , intervention , intervention , intervention , intervention , intervention , intervention , intervention , intervention , intervention , intervention , intervention , intervention , intervention , intervention , intervention , intervention , intervention , intervention , intervention , intervention , intervention , intervention , intervention , intervention , intervention , intervention , intervention , intervention , intervention , intervention , intervention , intervention , intervention , intervention , intervention , intervention , intervention , intervention , intervention , intervention , intervention , intervention , intervention , intervention , intervention , intervention , intervention , intervention , intervention , intervention , -0.990064764624643 , -0.594071402272815 , -0.948128396138742 , -1.33565907391307 , 0.75640648215996 , -0.663776262305526 , 0.569690937303623 , -0.0803996308547436, -1.08252936499675 , -0.0121418316005466, 0.43233302401515 , 1.00129810813469 , 1.37604873244165 , -1.32138486354599 , -0.608602884742458 , 1.59012858064668 , -1.57277301568334 , -1.58637594560092 , 0.00753678713773839, 1.29031878378917 , -0.314198833020531 , 0.121422355160167 , 0.644518011106922 , 0.245032914784459 , 1.64735465693207 , 0.640244065354605 , 1.1829415419981 , -0.0602907142759015, 0.980359953199276 , -0.362795742209521 , -1.05311590677193 , 0.0968940555872913 , -0.0049847814331594, 0.226777451491031 , -0.888071661909617 , -0.128358811449214 , 0.589447637739564 , -0.383914788037476 , -0.469983804922458 , 0.663078852366633 , 0.476549385951784 , -1.55893552183215 , 1.18716824745048 , -1.71131436896543 , 2.2034868516813 , -0.953316005239162 , -0.112629959863472 , 0.917957868209518 , -0.736530092818851 , 2.4821011120076 , 0.325379943496249 , -0.412663277281937 , 1.24076032648827 , -0.346464314395357 , -0.384935668632225 , -1.28647569212444 , 1.02840303135396 , 0.631342233576212 , 0.873688770028154 , 1.42983091604673 , 1.22754268408061 , -0.270821621294795 , -0.202632952967578 , 0.11208984290025 , -0.677447249655747 , -1.04630105279457 , -1.12663061516381 , -0.477992492824244 , -1.04034108873238 , -0.985351116690402 , -0.35630525042577 , 1.52302758106452 , 0.0734147063094174 , 0.047979551493133 , 1.13996918637019 , -1.66258041954391 , -0.506551296780383 , 1.77284764722812 , -1.19510762936256 , -0.109001746176708 , 0.10246160457109 , 0.824798842453848 , -0.479511775628108 , -0.12296829945567 , 0.249060247287002 , -0.265395251054273 , -0.972761822990895 , 0.667472291990665 , -0.622452487810733 , -1.3410778018157 , -1.48219115775552 , -0.573799401760089 , 0.373646161256693 , 1.45873955317263 , 0.0900294521003723 , 0.681327502030538 , 0.57310030391994 , -0.746443672073028 , -0.486711254253443 , 1.20872009811695 | 0.7283792 |
| 64 | 50 | 0.0 | 0.1 | 0.5 | control , control , control , control , control , control , control , control , control , control , control , control , control , control , control , control , control , control , control , control , control , control , control , control , control , control , control , control , control , control , control , control , control , control , control , control , control , control , control , control , control , control , control , control , control , control , control , control , control , control , intervention , intervention , intervention , intervention , intervention , intervention , intervention , intervention , intervention , intervention , intervention , intervention , intervention , intervention , intervention , intervention , intervention , intervention , intervention , intervention , intervention , intervention , intervention , intervention , intervention , intervention , intervention , intervention , intervention , intervention , intervention , intervention , intervention , intervention , intervention , intervention , intervention , intervention , intervention , intervention , intervention , intervention , intervention , intervention , intervention , intervention , intervention , intervention , intervention , intervention , -0.38098001791314 , 0.555395462413514 , 0.099435504367277 , 0.511700191317265 , 0.0765686934387714 , 0.309447754814136 , 0.704360015035015 , 0.526562299157584 , -0.212368082448989 , -0.295933682472683 , -0.197348297116887 , 0.280937783431548 , 0.203518437103899 , 0.965217263207213 , 0.813314206140872 , 0.661434594121493 , 0.48190223237423 , -0.320311235017673 , 0.37625447920466 , 0.111014390263786 , 0.239491718107645 , 0.194128677454216 , 0.585962394734738 , -0.0417345739145011, 0.15574866074488 , 0.107966138745008 , 0.206804151343108 , 0.93173941362678 , 0.225781275239228 , 0.848132515942922 , 0.249504039832605 , -0.163142239338625 , 0.77225956250403 , 0.591249905246777 , 0.0180685565217465 , -0.291574301634682 , -0.240016044853812 , 1.33578465243252 , 0.436846686487572 , 0.399244400710102 , 0.112399624071166 , -0.407855122612027 , 0.555807611260607 , 0.955343427496394 , -0.457700844170535 , -0.074388606840908 , 0.631136761405681 , 0.533914221396174 , 0.112096554273385 , -0.648941322382071 , -0.524327956251067 , 0.349162134933296 , 0.547322154575296 , 0.111817162274109 , 0.247968995741844 , 0.405248546953946 , 0.33494210345591 , 0.498104617613377 , -0.337600149557643 , 0.469553220293121 , -0.601197409545961 , 0.112589744587084 , -0.162084687327981 , -0.590514895086799 , -0.064685033609966 , 0.466200265077205 , 0.884807794547959 , -0.458063601016998 , 0.2671470945712 , 0.363944714401137 , 0.553399176687903 , 0.116651920754984 , 0.374056482535547 , -0.190956738197528 , 0.407993237120807 , 0.311743930101387 , -1.11619634790609 , 0.575952336269 , 0.21401371209226 , 0.205254787082594 , 0.731637692591083 , 0.353777244744136 , 0.314919615831818 , 0.0490189409817141 , 0.179255097293906 , 0.0410564321498133 , 0.813486312266261 , -0.348174321676574 , 0.479615735243721 , -0.525409629181465 , 0.130470390309 , -0.248008325750135 , -0.196623640290741 , -0.0312466305350279, 0.393948974376801 , 0.402430036572041 , -0.0225039766702099, 0.0595063247135955 , -0.230781823803417 , 0.0217521585431722 | 0.0977976 |
| 64 | 50 | 0.0 | 0.1 | 1.0 | control , control , control , control , control , control , control , control , control , control , control , control , control , control , control , control , control , control , control , control , control , control , control , control , control , control , control , control , control , control , control , control , control , control , control , control , control , control , control , control , control , control , control , control , control , control , control , control , control , control , intervention , intervention , intervention , intervention , intervention , intervention , intervention , intervention , intervention , intervention , intervention , intervention , intervention , intervention , intervention , intervention , intervention , intervention , intervention , intervention , intervention , intervention , intervention , intervention , intervention , intervention , intervention , intervention , intervention , intervention , intervention , intervention , intervention , intervention , intervention , intervention , intervention , intervention , intervention , intervention , intervention , intervention , intervention , intervention , intervention , intervention , intervention , intervention , intervention , intervention , -0.085132369292408 , -0.626364048183805 , -1.29671078210704 , 0.848931533950743 , 2.72146904205418 , -1.81168962654315 , 0.102919505787127 , 1.05010412269713 , -1.72672559298624 , 1.3507544920275 , -0.14395321143284 , 0.380806288774942 , -0.0942639392595163, -0.148473143117191 , -0.347533280835668 , -0.146671479791664 , 1.72677606128378 , -0.295099835391551 , -0.55919684804734 , 0.870182530021772 , -0.202627387122391 , 0.0702160000887431 , 0.558881328524362 , 0.646384829367697 , 0.585890554375453 , 0.260613412822125 , -1.15888608231438 , 0.798759888946383 , 1.10508671540106 , -0.372209209650608 , -0.669702456630777 , -2.94405377013651 , -1.0337590493182 , 0.616649646246267 , 0.708445627751461 , -1.34053458166355 , -1.75965512083975 , 1.22275262170248 , 1.73179316600703 , 0.900509077195126 , 0.742284914132789 , 1.59205950344384 , -0.0856798886106457, 0.576892711152132 , 1.30713885285197 , -0.374339337012553 , -0.26546324156537 , 1.88872354002312 , -0.550545699884498 , -1.29356590899395 , -2.80185473852197 , -0.880739698936351 , 2.62889398714892 , -0.640825825875736 , 0.773029159924924 , -2.06215315075105 , -0.717982187990221 , 0.414605192928019 , 0.71670472270746 , -2.12359134490884 , -0.289109559531781 , 0.48077203512619 , 1.25699036605054 , 0.129269217009724 , -0.0840926291853703, 0.945702588077223 , -0.397856026034982 , 0.0438389682436351 , 1.28751458645759 , 0.836337097967896 , 1.61832036166341 , -1.14578960674173 , -0.0681710511621463, -0.487928032103498 , 0.924167194353718 , -0.119212995877877 , 0.442258608292755 , -0.265977658904692 , -0.732572638946824 , 0.718412129564078 , -1.49919601769528 , 1.6902216494243 , -0.582567442567488 , -0.299879736148428 , -0.448147689362166 , -0.736516979331165 , 0.700277041810041 , -0.934178330737297 , 1.19218963692636 , -0.731995531764959 , -0.403095697830851 , -0.581880599597898 , -0.500267249072212 , 1.72369792320214 , -0.517276422533465 , 0.935420841713814 , -1.30010051618986 , -1.80458490252016 , 0.594223729966454 , -0.0919349396873426 | 0.4547811 |
| 64 | 50 | 0.5 | 0.0 | 0.5 | control , control , control , control , control , control , control , control , control , control , control , control , control , control , control , control , control , control , control , control , control , control , control , control , control , control , control , control , control , control , control , control , control , control , control , control , control , control , control , control , control , control , control , control , control , control , control , control , control , control , intervention , intervention , intervention , intervention , intervention , intervention , intervention , intervention , intervention , intervention , intervention , intervention , intervention , intervention , intervention , intervention , intervention , intervention , intervention , intervention , intervention , intervention , intervention , intervention , intervention , intervention , intervention , intervention , intervention , intervention , intervention , intervention , intervention , intervention , intervention , intervention , intervention , intervention , intervention , intervention , intervention , intervention , intervention , intervention , intervention , intervention , intervention , intervention , intervention , intervention , 0.592376069870376 , 0.0587915910548655 , 0.717099222454767 , 0.0734178359164372 , -0.134373054467657 , 0.342585521617261 , 0.304382684888175 , 0.738911771761301 , -0.950230616812588 , -0.0549545967023411, -0.0613693405218328, 0.86245429673272 , 0.211582950899903 , -0.58585514554613 , -0.414962845827319 , 0.792140594120232 , -0.116611875318916 , -0.923776137563677 , 0.528432151143788 , 0.558361454225708 , 0.109631100037858 , -0.506512691873381 , 0.305864112410373 , 0.929583813333674 , 0.35674884134243 , 0.205529545766442 , 0.424982632851759 , -0.0977353441132102, 0.845103899490155 , -0.463847130551456 , -0.0698845065702103, 0.0817647191384961 , 0.199049400209923 , -0.611318291926985 , -0.220532122892606 , -0.357241272419313 , 0.145258619907666 , 0.0851191188111359 , 0.180514248785488 , -0.546993198030131 , 0.0248382786541953 , 0.0491244056634691 , 0.545769186400348 , -0.48003268276099 , 0.306323574919662 , 0.154874529994486 , 0.344379937923761 , -0.0947232852032727, -0.390312301759811 , -0.38469579170065 , -0.27852774816419 , -0.33043000661528 , 0.290217908557777 , 0.896808728107435 , 1.10145431675579 , 0.862399638917057 , 0.468585098759054 , 0.198095912862938 , 0.910465322755695 , -0.657754698248429 , -0.309215070212315 , 0.34812533867526 , -0.115711427734919 , 0.421859003440922 , 0.210953129123336 , 1.60047760341567 , 0.560610062845277 , -0.477791904050594 , 0.48866172206938 , 0.0931547040332899 , 1.39921066875407 , 0.658125208862886 , 0.571395227921438 , 0.196260788443471 , 0.397630855460289 , 0.0488665917039236 , 1.11210499605572 , 0.800285965544681 , 0.810848403764184 , 1.09678361460865 , 0.890265895472231 , 0.0960527248318891 , 0.296258087018686 , 0.437201200494789 , 0.500554266973274 , 0.515613930395776 , 0.274011915108651 , 1.30648627818093 , 1.28167040265886 , 0.436914619066423 , 0.743020171568739 , 0.083068302270761 , 0.446744421736716 , 0.515251960279602 , 0.227460246842956 , 1.32558210393217 , -0.0396023059931646, 0.114912370879888 , 0.945304387812819 , 0.37472761318892 | 0.0000455 |
| 64 | 50 | 0.5 | 0.0 | 1.0 | control , control , control , control , control , control , control , control , control , control , control , control , control , control , control , control , control , control , control , control , control , control , control , control , control , control , control , control , control , control , control , control , control , control , control , control , control , control , control , control , control , control , control , control , control , control , control , control , control , control , intervention , intervention , intervention , intervention , intervention , intervention , intervention , intervention , intervention , intervention , intervention , intervention , intervention , intervention , intervention , intervention , intervention , intervention , intervention , intervention , intervention , intervention , intervention , intervention , intervention , intervention , intervention , intervention , intervention , intervention , intervention , intervention , intervention , intervention , intervention , intervention , intervention , intervention , intervention , intervention , intervention , intervention , intervention , intervention , intervention , intervention , intervention , intervention , intervention , intervention , 0.680026825502646 , 0.746114963341391 , 1.67444085159106 , -1.64949268424868 , -0.740249663909324 , -0.270577468821308 , 0.326081929541737 , -0.815840235370097 , 0.499406185528094 , 1.20926424299934 , -0.33752751928508 , 0.592348808948208 , -0.174965944695639 , 0.219433490559268 , -1.47182194367785 , -0.223310145468252 , -2.18441197983165 , 1.88128994545549 , -0.214708864768625 , -0.520315692818319 , 0.704099955914208 , -0.11905074882653 , -1.41202768087072 , 0.517048836431536 , 0.150684218946101 , -0.720626512856969 , -0.65129870246688 , 1.50079030992211 , 0.729340531155949 , -0.722266043238585 , -0.48235656060722 , 1.26388701900764 , -0.00354526855008013, -1.36854239880056 , 0.433428988052689 , 1.77623615226869 , -0.945206898138012 , -0.132005947690975 , -0.751617119776553 , -1.00492201407186 , 0.546008062731435 , 0.198947100126193 , -0.194492343647916 , -2.19281221314423 , -1.43526983518573 , 0.906540342362877 , 0.20071156599071 , -0.430369170497302 , -0.658881468216184 , -0.824938893895386 , -0.13726137683039 , 0.981961470473551 , 1.47041499470794 , 4.43421056523915 , 1.36088993963442 , 1.30702763705364 , 0.695616152151457 , 0.322425002713295 , -0.220237591184663 , -0.663253681914135 , -0.0529761037581777 , -0.506366678701015 , 0.185144731154613 , 1.67100987308845 , 1.33858626253459 , 0.0422629907436438 , 0.919681793194501 , -0.363391782834239 , 0.833689305011424 , 0.892161342995317 , -0.207592177681657 , -0.0653055334653007 , 1.61640113138125 , 1.99424599129513 , 1.39123848643448 , 0.768261881093486 , 0.604845206402441 , -1.51907578521011 , 0.409945914044388 , 0.904271296903545 , 1.56993755704064 , 2.58544802362822 , 0.350314468826292 , -1.46262329019554 , -0.175735660900394 , 0.923628602080068 , -0.280981632588169 , -0.492308735273563 , 1.05691871356878 , 0.394892770771 , -0.154990765489526 , 1.35292173945284 , -1.55923025392963 , 0.81618413935692 , -0.158780208620671 , 0.446607078288966 , -1.22522168891971 , 0.143332289400849 , -0.374881263163362 , 0.893448584184831 | 0.0032151 |
| 64 | 50 | 0.5 | 0.1 | 0.5 | control , control , control , control , control , control , control , control , control , control , control , control , control , control , control , control , control , control , control , control , control , control , control , control , control , control , control , control , control , control , control , control , control , control , control , control , control , control , control , control , control , control , control , control , control , control , control , control , control , control , intervention , intervention , intervention , intervention , intervention , intervention , intervention , intervention , intervention , intervention , intervention , intervention , intervention , intervention , intervention , intervention , intervention , intervention , intervention , intervention , intervention , intervention , intervention , intervention , intervention , intervention , intervention , intervention , intervention , intervention , intervention , intervention , intervention , intervention , intervention , intervention , intervention , intervention , intervention , intervention , intervention , intervention , intervention , intervention , intervention , intervention , intervention , intervention , intervention , intervention , -0.57894728822515 , 0.107323675522879 , 1.0585998698735 , -0.539688315255664 , 0.359905841346011 , 0.320196160215128 , -0.163046756726908 , 0.0728086106283763 , -0.15730083978185 , -0.462553020876395 , 0.724667505255933 , -0.263760010752723 , 0.334259738142422 , 0.31049863584019 , -0.631655823544398 , -0.199369441884764 , -0.0668116682977754, 0.032953278058486 , -0.144433422473012 , 0.168077205620701 , -0.998002873626814 , 0.587615476259952 , 0.0576361571326733 , -0.099091210508343 , -0.483163314725405 , -0.512514090050402 , 0.33208911726644 , -0.584223799973564 , -0.218408126881241 , 0.31658454453804 , -0.199416359652556 , -1.07409815137147 , -0.0680205408950294, 0.772898410813619 , -0.240266046607001 , 0.409399144060926 , -0.149612667957079 , 0.2070887659619 , -0.662712823232081 , 0.505190847519978 , -0.514653246042469 , 0.0306455578898967 , 0.137076593324268 , -0.435390691560191 , -0.245945983173236 , -0.159607627469205 , 0.567691927277005 , 0.786887493562384 , 0.101887012734319 , -0.116337170262395 , -0.474242352360679 , 0.547644278056221 , -0.298223070251983 , 0.610736309501805 , 0.213231666946145 , 0.852537491303669 , 0.666381068787978 , 0.639171816856252 , -0.121542825936236 , 0.427243895198848 , 0.83206441273444 , -0.127485736498445 , 0.865869822994216 , 0.210118814354001 , 0.479560950830925 , 0.794867873878617 , 0.681016474239861 , 1.08494510587145 , 1.05268115166674 , 0.30868817374745 , -0.0446068103818641, 0.780735126195617 , 0.632599557258294 , 0.423574936738385 , 0.83532858626228 , 1.11765492629842 , 1.06318658767518 , -0.764547580896644 , 0.791233787833175 , 1.23391773698132 , 1.25667952227243 , 0.552042651537001 , 0.190421866465788 , 0.73818479774096 , 0.815947435695558 , 0.693023359574451 , 0.960506799971241 , -0.213604597924084 , -0.775088201807421 , 0.255835668235082 , 1.88460084661997 , 0.0378333181069562 , 0.964178818141077 , -0.396336545199151 , 0.174257504166815 , 0.758880068021793 , 0.0189434079865488 , -0.201786318883744 , -0.195650093087011 , -0.092441259280569 | 0.0000061 |
| 64 | 50 | 0.5 | 0.1 | 1.0 | control , control , control , control , control , control , control , control , control , control , control , control , control , control , control , control , control , control , control , control , control , control , control , control , control , control , control , control , control , control , control , control , control , control , control , control , control , control , control , control , control , control , control , control , control , control , control , control , control , control , intervention , intervention , intervention , intervention , intervention , intervention , intervention , intervention , intervention , intervention , intervention , intervention , intervention , intervention , intervention , intervention , intervention , intervention , intervention , intervention , intervention , intervention , intervention , intervention , intervention , intervention , intervention , intervention , intervention , intervention , intervention , intervention , intervention , intervention , intervention , intervention , intervention , intervention , intervention , intervention , intervention , intervention , intervention , intervention , intervention , intervention , intervention , intervention , intervention , intervention , -0.472267019964199 , 0.0468439066890091 , -0.0095823443618766, 0.0507841911289319 , -1.08978533423415 , 0.862264751385194 , -0.705965919110296 , -1.43208584372934 , -1.23509880975877 , -1.89559612638221 , -1.59422541576802 , -0.314323920238554 , -0.352882329297659 , 1.06513993877189 , -1.21665684856597 , 0.719401160047427 , 1.21041918680919 , -0.029288105759297 , 1.17939498679894 , -1.21787534015304 , -0.51362920759168 , -0.0353248090035516, 1.73132867520295 , 1.01756477510623 , -0.0650659481849386, 1.15074108531654 , 0.217429274178562 , -0.661507677038008 , 1.11122353032394 , 1.12613503836695 , 1.21717463747485 , -0.908251068446586 , 0.0998049415128641 , -1.06027037968913 , -0.0552536624212228, 0.369446100163794 , -1.25288097125496 , 1.14343069910815 , -1.14357059732554 , -0.840051327136271 , 0.509038038457883 , -0.798165717293736 , 0.0669216737756144 , 1.80687606823852 , 0.239718060038755 , 0.490120080389623 , 0.982563093545976 , -2.11192093127608 , -0.945000629476627 , 1.50401720534483 , -0.597967465132906 , 0.862791340263332 , 0.332117498203708 , 3.16598714313806 , -0.465567056740692 , 0.857315503932287 , 2.50611797992414 , 1.45839811729633 , 0.0616733144025543 , 0.694697910531035 , 1.31144884146633 , -0.355250679592399 , -0.0797523614788457, -0.0117362202109094, -2.70134546279401 , 0.466527923650254 , 0.239566620106818 , -0.229588360199171 , 1.52952440328086 , 0.853735596100815 , 1.55132863903303 , 1.36709910181838 , 1.5256182104773 , 0.268752442064507 , -0.93836564430626 , 2.00747113293465 , 1.1068409301102 , 0.200608060791909 , 1.48319397033923 , -0.737948454302782 , 0.381747311683707 , 0.810239431348506 , 0.27654879446858 , 1.14690986208796 , 1.4443317511603 , 1.54176444805358 , 1.4247285113659 , -1.64861762388042 , 1.96277636837663 , 0.446919963263412 , 0.334324460621272 , -0.0896672505071455, 0.177470235757891 , 0.998388992798217 , 0.302953116322473 , 2.50988086700188 , 1.02122595080044 , 0.74469647714634 , -0.188589932815588 , 0.78339433403207 | 0.0012808 |
| 65 | 20 | 0.0 | 0.0 | 0.5 | control , control , control , control , control , control , control , control , control , control , control , control , control , control , control , control , control , control , control , control , intervention , intervention , intervention , intervention , intervention , intervention , intervention , intervention , intervention , intervention , intervention , intervention , intervention , intervention , intervention , intervention , intervention , intervention , intervention , intervention , -1.12688240897784 , -0.562144929409565 , 0.183097513982232 , 0.28250770792795 , 1.10448131660456 , -0.616147237658212 , -0.032834607339269 , -0.17899861693343 , 0.188741301303249 , -0.818460296309453 , -0.558569383268583 , 0.313805687172658 , 0.520780086630845 , -0.509919973935235 , -0.297460979373684 , -0.667640005949249 , 0.225450229444264 , -1.0384299610132 , 0.371164611361366 , 0.793763128036507 , 0.403161676686532 , 0.528832170145387 , -0.441729881968226 , -0.152554633216515 , -0.232653740224903 , -0.899007427831447 , -0.043434552700349 , -0.41169854736887 , -0.587580171429423 , -0.0824828696617514, 0.321774265522372 , 0.00383460253958265, 0.0926382659211725 , 0.470154181884926 , -0.333437937891091 , 0.32977201124454 , 0.213671175115538 , 0.930131121165506 , 0.107650790062406 , 0.475861998820298 | 0.3620396 |
| 65 | 20 | 0.0 | 0.0 | 1.0 | control , control , control , control , control , control , control , control , control , control , control , control , control , control , control , control , control , control , control , control , intervention , intervention , intervention , intervention , intervention , intervention , intervention , intervention , intervention , intervention , intervention , intervention , intervention , intervention , intervention , intervention , intervention , intervention , intervention , intervention , 0.884902477580212 , -0.581803349730099, 1.17329737665727 , -1.78320435553816 , 0.328694385274331 , 0.0551675619008534, 1.48817409283803 , 0.0060807606879749, 1.40527144428734 , -1.18392477155828 , -1.1102921799652 , -0.120537083325841, 0.323769305622522 , 0.344432591051313 , -1.61121770116821 , -1.47179698424989 , -1.06272264787073 , 1.5301923935591 , 0.684874200787516 , 1.17111890196313 , -1.45901140109721 , 0.326783014800841 , -0.222220854504225, 1.36739625528096 , 1.24618931930381 , -1.44692918123314 , -0.478978764458007, 0.171523487642261 , 1.0473042862756 , -1.56560327379029 , 1.05536396128145 , 0.600492381852219 , 1.95570514067957 , 0.991011694161667 , -1.12098896797795 , -0.145740198536669, 0.330276633936379 , 0.532056793080217 , 0.0556809563612924, -2.21939446909717 | 0.9382630 |
| 65 | 20 | 0.0 | 0.1 | 0.5 | control , control , control , control , control , control , control , control , control , control , control , control , control , control , control , control , control , control , control , control , intervention , intervention , intervention , intervention , intervention , intervention , intervention , intervention , intervention , intervention , intervention , intervention , intervention , intervention , intervention , intervention , intervention , intervention , intervention , intervention , -0.534064332591575 , -0.0110428690587658, -0.132988371611435 , -0.38281047214693 , 1.05917757526752 , -0.173274082682261 , 0.544063486909716 , -0.0861118009453122, 0.127153195641305 , 0.273566097578279 , 1.04020830666042 , 1.21223963562895 , 0.708273337307497 , 0.104458787366128 , 0.262190701961962 , 0.310906048872217 , 0.698742679976368 , -0.470807313171667 , -0.196519737390091 , 0.533161844869837 , 0.426158481433777 , 0.342486865053473 , -0.216673525910258 , 1.44540033349075 , -0.0558604985777808, 0.75687291003075 , -0.28078055744813 , 0.142346484988933 , 0.608882410400008 , 0.0338380891364207 , -0.27280045495437 , -0.859571534383604 , 0.11234587848736 , 0.174304107580874 , 0.135369588201599 , -0.410622283159524 , -0.34465327967856 , -0.0945677691369371, -0.853826161786359 , 0.500642703699548 | 0.2886211 |
| 65 | 20 | 0.0 | 0.1 | 1.0 | control , control , control , control , control , control , control , control , control , control , control , control , control , control , control , control , control , control , control , control , intervention , intervention , intervention , intervention , intervention , intervention , intervention , intervention , intervention , intervention , intervention , intervention , intervention , intervention , intervention , intervention , intervention , intervention , intervention , intervention , -1.19019926821989 , 0.989687981092393 , 0.841637078018192 , -0.770109048665464 , 0.383019192899016 , 0.588824711970959 , 1.64775838502556 , 1.96185384448871 , -0.204246975760053 , 1.06394730844687 , -1.17572903900311 , -0.798713084396769 , -0.679851031826621 , 2.05719092095356 , 1.2690067874091 , 0.462505294228872 , 0.57843690748935 , 1.12297457549886 , -0.156771081305829 , -0.571924886865262 , -0.4566814023884 , 1.68885113940914 , 1.10193585999837 , 0.633835105199633 , 1.56340915614745 , 0.110474096876845 , 0.636335466117685 , -0.684742965480818 , -0.247339216950712 , 0.516388951022981 , -1.10668109677036 , -0.373395636895983 , 0.0703558819005556 , -0.0244135308959005, 0.898039924959206 , -0.479668950134848 , -1.84209107871007 , 0.635342289409329 , 0.342423561976521 , 0.571158590947142 | 0.5221193 |
| 65 | 20 | 0.5 | 0.0 | 0.5 | control , control , control , control , control , control , control , control , control , control , control , control , control , control , control , control , control , control , control , control , intervention , intervention , intervention , intervention , intervention , intervention , intervention , intervention , intervention , intervention , intervention , intervention , intervention , intervention , intervention , intervention , intervention , intervention , intervention , intervention , -0.281941975136995 , 0.243483303551677 , -0.0374553690962782, -0.21406651204809 , -1.52772081499694 , 0.35085988657101 , 0.245070514695867 , 0.239271701950086 , -0.0415927047081371, 0.138639436690048 , 0.0504242065382388 , -0.0471375244500662, -0.239864588683032 , 0.01995453501705 , 0.354622057675658 , 0.50279950260492 , 0.229090993314136 , -0.326588348279706 , -0.0843093491472147, -0.068479615658372 , 0.118047688941409 , 0.382178823478866 , 1.15847119453915 , 1.05053004977665 , -0.24116672853452 , 1.36829277607251 , -0.195047351116938 , 0.660569514212892 , -0.118235007039208 , 0.701117314941576 , -0.112130422683114 , 0.103958615538377 , 0.1803559653809 , -0.108588969670894 , 0.557680920989352 , 1.25148967804774 , 0.340372979908067 , 0.164304865737114 , 0.18289085964985 , 0.633953619934073 | 0.0057653 |
| 65 | 20 | 0.5 | 0.0 | 1.0 | control , control , control , control , control , control , control , control , control , control , control , control , control , control , control , control , control , control , control , control , intervention , intervention , intervention , intervention , intervention , intervention , intervention , intervention , intervention , intervention , intervention , intervention , intervention , intervention , intervention , intervention , intervention , intervention , intervention , intervention , 0.434532781556654 , 0.118866344220814 , -0.299414147852544, -0.922214816977551, -0.161400730394833, -0.938866619679185, 0.98543165613284 , -0.3049123359943 , -0.386998237470546, 0.671225019617489 , -0.19697063698585 , -0.370627373107058, -0.524139350000875, -3.06954080712921 , 1.22842806146041 , 2.39833293957733 , -0.376753972155125, -0.534127273142378, 0.84649140935667 , -0.40988119471037 , 0.57197733516823 , 0.688474742323285 , 1.2169441474519 , 1.19089104202165 , 1.14090746174963 , 0.346380727124532 , 0.510595160789209 , 0.315044695721856 , 0.923253632682122 , 1.07243905450727 , 0.115561097709207 , -0.636801687307658, 1.14633223342681 , 0.700043879460099 , -0.582694168425196, -0.509582739840159, -0.241651530211082, -0.16264333738894 , 1.44184479161356 , 0.822968123925534 | 0.0413193 |
| 65 | 20 | 0.5 | 0.1 | 0.5 | control , control , control , control , control , control , control , control , control , control , control , control , control , control , control , control , control , control , control , control , intervention , intervention , intervention , intervention , intervention , intervention , intervention , intervention , intervention , intervention , intervention , intervention , intervention , intervention , intervention , intervention , intervention , intervention , intervention , intervention , 0.640602391250421 , -0.618292948421675 , 0.667839142866785 , -0.786008026716085 , -0.148593111533393 , -0.347086202488351 , -0.131077558748324 , 0.559457607336898 , -0.0243663764361106 , 0.166643605728232 , 0.534196150230167 , 0.168225684167055 , 0.337822529286062 , 0.572095486525265 , -0.0781115727377367 , 0.481340782954388 , -0.120302716875539 , 0.930915981783211 , -0.526334481719166 , 0.067078689029272 , 0.408502193456189 , 0.358079011086558 , 0.393293458378818 , -0.384650350711753 , 1.13331957500881 , -0.119747197474398 , -0.0474033424022228 , 0.665550500058472 , -0.183915325324243 , 0.498800891401124 , 0.0601954286413284 , 0.936223086824332 , -0.533117152449487 , 0.600899614410076 , 0.575774182286588 , -0.00188832404294437, -0.214318925916192 , -0.8148673036297 , 0.951384954585843 , 1.24737418135025 | 0.3411699 |
| 65 | 20 | 0.5 | 0.1 | 1.0 | control , control , control , control , control , control , control , control , control , control , control , control , control , control , control , control , control , control , control , control , intervention , intervention , intervention , intervention , intervention , intervention , intervention , intervention , intervention , intervention , intervention , intervention , intervention , intervention , intervention , intervention , intervention , intervention , intervention , intervention , 0.421864329646525 , -0.647002407274841, -1.08203979714465 , -0.855937948366377, -0.386958219609072, 0.602290115893612 , 0.055899768803101 , 0.0643140789907777, -0.829106271841737, -0.466793067436325, -1.15847974488063 , -0.248206960439269, 1.36677932012109 , 1.31910760546399 , -1.17960608945014 , -1.75872979457134 , 1.19591948722647 , -0.684816855131218, -0.627663688757557, 0.227130489758528 , 2.1299044416031 , 1.35630084927885 , 1.22419483129635 , 0.208840432563027 , 1.43137923206858 , 1.84091656649009 , -0.963216400423468, 0.668759387700784 , -0.393777128439077, -0.622864944835932, 0.638531767110857 , 0.0950832946651988, 1.13856297125248 , 1.16211025680916 , 1.09716778718751 , -0.337503585864794, 1.09745012041054 , -0.740622819862536, -0.835520019344819, 0.299867187947184 | 0.0119668 |
| 65 | 50 | 0.0 | 0.0 | 0.5 | control , control , control , control , control , control , control , control , control , control , control , control , control , control , control , control , control , control , control , control , control , control , control , control , control , control , control , control , control , control , control , control , control , control , control , control , control , control , control , control , control , control , control , control , control , control , control , control , control , control , intervention , intervention , intervention , intervention , intervention , intervention , intervention , intervention , intervention , intervention , intervention , intervention , intervention , intervention , intervention , intervention , intervention , intervention , intervention , intervention , intervention , intervention , intervention , intervention , intervention , intervention , intervention , intervention , intervention , intervention , intervention , intervention , intervention , intervention , intervention , intervention , intervention , intervention , intervention , intervention , intervention , intervention , intervention , intervention , intervention , intervention , intervention , intervention , intervention , intervention , 0.127108929063809 , 0.606289224091673 , -0.101370356349998 , -0.22792783935595 , 0.274181029659254 , 0.871049053631572 , -0.016444567975125 , 0.184505032695494 , -0.133116534458681 , -0.019238054729384 , 0.315993786502197 , -0.318110507690988 , 0.123114351715669 , 0.108377897281685 , -0.70508589418371 , -0.775036144702189 , 0.20345582891716 , 0.288073335874392 , 0.255243947953188 , 1.16565933542119 , -0.276403609055183 , -1.1694452607056 , -0.549636293206037 , -0.367494366921742 , -0.532169147277342 , -0.569037830234505 , -0.354406059478936 , 0.115125384569234 , -0.891300338987208 , 0.335273573128297 , -1.23324248516852 , 0.291061216009874 , 0.236317611035557 , 0.184219950932238 , -0.402082610542729 , -0.646804513003697 , -0.426022477172418 , -0.00726556387483905, 1.02711899297059 , -0.446512850089902 , -0.339573888081828 , 0.00739850155649167 , -0.197238655949709 , 0.141737650432312 , -0.571900245269168 , -0.239137740903761 , -0.211197354665166 , -0.704974464451554 , -0.140304278211767 , 0.0322122431806752 , -0.0334767342082624 , -0.148130897442089 , -0.46779205083858 , -0.273190914713314 , 0.00381466641183716 , -0.320025516065303 , -0.208852682409328 , -0.827023390710285 , -0.338876842902228 , -0.0211062311711682 , -0.607281291972188 , 0.237509242700129 , 0.055452785964631 , -0.42614799206875 , 0.179549745373612 , 0.770994234708327 , 0.221493796667749 , 0.0948904636808086 , -0.709885453562465 , 0.439987700055867 , -0.113184529137011 , 0.487826496522458 , -0.128392754397708 , 0.891080612379562 , 0.180995349851102 , -0.639691436053868 , 0.0371591512357789 , -0.182459269170722 , 0.664403195799698 , 0.731616106942116 , 0.120738292057969 , 0.12389148950417 , -0.470676450400949 , -0.482225176812224 , -0.0290679960119043 , 0.410345939160177 , -0.171716011136938 , 0.470111611696988 , -0.149557890232551 , 0.285570707091456 , 0.0174561790156608 , 0.311333389390888 , -0.256243598778776 , 0.844092184900864 , -0.084663910160866 , 0.548786865826192 , 0.105874568430981 , -0.735038584263163 , 0.440687946309719 , -0.372755957120771 | 0.1841470 |
| 65 | 50 | 0.0 | 0.0 | 1.0 | control , control , control , control , control , control , control , control , control , control , control , control , control , control , control , control , control , control , control , control , control , control , control , control , control , control , control , control , control , control , control , control , control , control , control , control , control , control , control , control , control , control , control , control , control , control , control , control , control , control , intervention , intervention , intervention , intervention , intervention , intervention , intervention , intervention , intervention , intervention , intervention , intervention , intervention , intervention , intervention , intervention , intervention , intervention , intervention , intervention , intervention , intervention , intervention , intervention , intervention , intervention , intervention , intervention , intervention , intervention , intervention , intervention , intervention , intervention , intervention , intervention , intervention , intervention , intervention , intervention , intervention , intervention , intervention , intervention , intervention , intervention , intervention , intervention , intervention , intervention , 1.40712015669457 , -0.863208491072929 , -0.864581252254613 , 1.89800765024797 , 1.37223540963837 , -0.332932414998583 , 0.338997072525512 , -1.4829818127929 , -0.0509380900050181 , -1.27790291794014 , 0.290983991045988 , 0.00164053435073105 , 0.380425943444353 , -0.286037782052392 , -0.0917714074355164 , -0.29428425261009 , -0.801495924952007 , 0.884143913097951 , 0.440643057303148 , -0.919167787472491 , -1.36945002461387 , -0.171492477852573 , -0.802138905796657 , -0.238703048351412 , 1.56064466483599 , 0.924701226576283 , 0.508534106212751 , 1.1909470851251 , -2.00260157609419 , -0.317900804139455 , -0.440227367889393 , 0.376279210123664 , 0.309107630132527 , 0.406719314237588 , 1.38086558530492 , 0.105433871044882 , -1.43262455553386 , 0.0360742347362437 , -0.13472005470852 , -0.957047057263792 , 1.58056246327908 , 1.12018180100093 , -3.02140762169931 , 0.266845725175894 , -0.693495234751704 , 0.75231514668472 , -0.190554457268243 , -2.49691292903118 , -0.416387887175251 , 0.0502047460676598 , 0.0978636237010599 , -0.0882193514609607 , -1.33051154719179 , -0.889409238482924 , -1.37450060825763 , -0.0497498216317135 , 0.684177879114963 , -1.55987625676859 , 0.564119879178617 , 0.563634285086331 , -1.28636994860911 , -1.12177043942386 , -0.181148854636738 , -1.4190855982578 , 0.465310980653355 , -0.0985109511362377 , 0.447057234657987 , -0.725304113207755 , 0.138833575598088 , 2.62052058097968 , 1.13440104774723 , -1.58263944700068 , 0.021452747547494 , 0.901644983761192 , 0.0840523825774239 , 1.02127546492968 , -1.42329680761563 , 0.354361346236442 , -1.52318734015638 , -0.358364402314734 , 0.189004077903341 , -0.450498700118901 , 0.742836492273983 , 0.563354021470036 , -0.00441394782394072, -0.379464379450576 , -1.45955345195685 , -1.785598507688 , -0.22654830689154 , -0.364136782239067 , 0.743325224116769 , 0.731642748368249 , -1.89305887417051 , -0.543063198977157 , 2.02688042765201 , -0.0351441186058278 , -0.137291715060149 , 0.134333478499077 , 0.0819663677660195 , -1.02590020019653 | 0.6463919 |
| 65 | 50 | 0.0 | 0.1 | 0.5 | control , control , control , control , control , control , control , control , control , control , control , control , control , control , control , control , control , control , control , control , control , control , control , control , control , control , control , control , control , control , control , control , control , control , control , control , control , control , control , control , control , control , control , control , control , control , control , control , control , control , intervention , intervention , intervention , intervention , intervention , intervention , intervention , intervention , intervention , intervention , intervention , intervention , intervention , intervention , intervention , intervention , intervention , intervention , intervention , intervention , intervention , intervention , intervention , intervention , intervention , intervention , intervention , intervention , intervention , intervention , intervention , intervention , intervention , intervention , intervention , intervention , intervention , intervention , intervention , intervention , intervention , intervention , intervention , intervention , intervention , intervention , intervention , intervention , intervention , intervention , 1.10850428311592 , -0.1914885600382 , 0.562285565311491 , 0.452646586570107 , 0.415075688669696 , -0.371654737248312 , 0.274648877865626 , -0.0677276598843143 , -0.532883188532268 , 0.990040354822572 , -0.624122702914384 , 0.328950924063718 , 1.25506083778443 , 0.283233643374985 , -0.269541506304463 , -0.267829904976342 , 0.244677328961226 , 0.657555415651175 , 0.366053787087621 , -1.00635731459085 , -0.0550118948217782 , 0.453491907551497 , -0.026815013515169 , -0.466925309530568 , 0.842445758336309 , 0.242749578211926 , -0.53226718692248 , 0.391527088861981 , -0.00501440107967065, 0.621789110366441 , -0.233794371037473 , 0.0695706514028523 , -0.428321823681803 , 0.555262676859221 , 0.941704039688782 , 0.212158733487451 , 0.664187692435251 , 0.853842020811157 , 0.181834450785109 , 1.0460688708933 , 0.188543100992944 , -0.761690503797802 , 0.669000545088404 , 0.685575351654879 , 0.789058868687815 , 0.329753379553403 , 0.0471184063715722 , -0.246353142181249 , -0.343511746037492 , 0.00426212138949279 , -0.0236651123977637 , 0.564633133202157 , -0.368251859706593 , -0.132167518096869 , -0.246830059041376 , -0.159204999627755 , -0.0836473067710528 , -0.27310871056275 , -0.944340873109388 , -1.01052135762736 , 0.0986605478742378 , -0.833196864063379 , 0.680029174399525 , -0.494645772604454 , -0.268323496446581 , 0.263705997792362 , -1.05775189732864 , 0.510726123646398 , -0.477994940671499 , -0.170097395192868 , 0.129452389123666 , 0.239056388303977 , -0.836625025248979 , 0.778990877029391 , 0.597439641383119 , 0.0797859845003814 , 0.740099095453492 , -0.115340908167628 , 0.350865376764207 , 0.406811319190412 , -0.584182055802544 , 0.452066207561114 , 0.554578810484878 , 0.857307780743416 , 0.657468176961805 , 0.358844515489201 , 0.0365947869110562 , -0.0741102535787032 , -0.097566078590982 , 0.0140545508549568 , -0.308165724000142 , 0.130234774369662 , 0.210250672884203 , -0.210252366082469 , 0.262119704877485 , -1.2445385977367 , 0.151988936547182 , -0.103411321290594 , 0.567695212816471 , -0.395914208994962 | 0.0344068 |
| 65 | 50 | 0.0 | 0.1 | 1.0 | control , control , control , control , control , control , control , control , control , control , control , control , control , control , control , control , control , control , control , control , control , control , control , control , control , control , control , control , control , control , control , control , control , control , control , control , control , control , control , control , control , control , control , control , control , control , control , control , control , control , intervention , intervention , intervention , intervention , intervention , intervention , intervention , intervention , intervention , intervention , intervention , intervention , intervention , intervention , intervention , intervention , intervention , intervention , intervention , intervention , intervention , intervention , intervention , intervention , intervention , intervention , intervention , intervention , intervention , intervention , intervention , intervention , intervention , intervention , intervention , intervention , intervention , intervention , intervention , intervention , intervention , intervention , intervention , intervention , intervention , intervention , intervention , intervention , intervention , intervention , -1.03364485665186 , -1.54112801343073 , -0.935984403994825 , -0.0294237756817464, 1.1346521416243 , -0.920238954901362 , -2.33855432065157 , 0.272727139136777 , -0.605514423468351 , 0.407242711033259 , 2.25236169616282 , -0.0513181095209588, -1.10898988115534 , 0.181061898368454 , -0.237063493939252 , -0.868647524495389 , -0.0376388125840766, -1.28237466239862 , -0.880123828317215 , -0.677235283798388 , -1.53011218058072 , -0.711885497118697 , -1.05854641783068 , 1.10180485178327 , -1.95782287853077 , -1.25701760601892 , -0.520276602839992 , 0.743982498227558 , 1.11928632789313 , 0.544615291073404 , 0.863111077133596 , 1.33329235637094 , 0.8953005501442 , -0.0736271562728432, 0.00117789845711617, -1.64752650850384 , -1.38083659498233 , -0.251895929130667 , 0.309220071858412 , 0.602206851728554 , 1.13274358004525 , -0.0972897267489598, -0.945824649231043 , -0.248206807460648 , 0.783308328091698 , -0.470323644308195 , 0.641957521101767 , 0.617178662294425 , 1.66869844135371 , 1.05835002360925 , -1.69970168026553 , 0.346132357569958 , 0.868638783187172 , 2.00583663266085 , -1.20247392302673 , 0.448230733666455 , 0.559373296987118 , -0.798831207141902 , 0.200977833862147 , -0.0911802475806948, -0.526758154653346 , 0.724775613395213 , 0.215620232399502 , 0.51219503035245 , -0.698620123247096 , -0.612945690165617 , -1.86322269896383 , -1.10249951203905 , 0.77443444513723 , -0.776238007691715 , -0.628134137031372 , 1.4468918242681 , -1.74554807716686 , 0.86042736377392 , -0.496015003557184 , 0.709711657630401 , -0.101727945123227 , 1.43580906641324 , 1.03945010238507 , -0.937557183941985 , -0.262520727140577 , -0.182165870781988 , 0.35450952580302 , -0.51143709970017 , 0.492245569870753 , 0.132717828053363 , 1.87836912613576 , 0.681112803171641 , 0.00992592880967103, -0.164765793927542 , -1.80329975981755 , -0.828190493065795 , -0.24220128620544 , 0.230055721746279 , 0.206943081141183 , -0.716741341330947 , 0.276668883413605 , -0.57203361666366 , 0.149823904346473 , -1.70665690671745 | 0.7330800 |
| 65 | 50 | 0.5 | 0.0 | 0.5 | control , control , control , control , control , control , control , control , control , control , control , control , control , control , control , control , control , control , control , control , control , control , control , control , control , control , control , control , control , control , control , control , control , control , control , control , control , control , control , control , control , control , control , control , control , control , control , control , control , control , intervention , intervention , intervention , intervention , intervention , intervention , intervention , intervention , intervention , intervention , intervention , intervention , intervention , intervention , intervention , intervention , intervention , intervention , intervention , intervention , intervention , intervention , intervention , intervention , intervention , intervention , intervention , intervention , intervention , intervention , intervention , intervention , intervention , intervention , intervention , intervention , intervention , intervention , intervention , intervention , intervention , intervention , intervention , intervention , intervention , intervention , intervention , intervention , intervention , intervention , 0.2867551820843 , -0.715203617879744 , -0.323245223767127 , -0.194098471067379 , -0.300660295613283 , -0.0932622637772352 , -0.90845457897472 , 0.459316150699237 , -0.0763008802204423 , -0.250955230893422 , -0.523460070854529 , -0.151597235480596 , 0.416256982144069 , 0.411157996094656 , -0.31135256909776 , -0.195655537564054 , 0.662154516722573 , 0.00157469190241343 , 1.38095075065253 , 0.310802444238904 , -0.99338064011277 , -0.124954922880598 , 1.742155122955 , 0.197204952901629 , 0.0186845932602724 , 0.649007933043747 , 0.322037101670449 , 0.477215619206269 , 0.358850326728442 , 0.427676078981184 , 0.209731976567522 , -0.313409110644434 , -0.138719498983801 , 0.137890160643581 , -1.15925996742912 , -0.622433429940428 , 0.142212305119933 , 0.711110740208985 , -0.0678646886070526 , 0.658888644598509 , -0.465578780983737 , 0.385631226774483 , 0.428647557841756 , -0.000540019045112506, -1.04914330672441 , 0.324765613704395 , -0.23064088463056 , -0.443152933890947 , 0.0758090443625527 , 0.377877017202313 , 0.205168590042045 , 0.77735195577585 , 0.79960949398065 , 0.250172598477121 , -0.72673903665854 , 0.658367651000855 , 1.51956391816858 , 0.827606233195774 , 0.156835639233207 , 0.436599190278735 , 1.05091533246734 , 1.14017445270491 , 1.03423174560759 , 0.0825415917745751 , 0.397631009174935 , 0.826134453126488 , 1.31537143638811 , 0.582204532672145 , 0.67290067757666 , 1.17435884416442 , 0.712419489668028 , 0.783013677382332 , 0.199756562377194 , 0.542278237166972 , 1.16433011551858 , 0.0273780562262932 , 1.03331872873929 , 1.51352891573992 , 1.04115424639714 , -0.384078136530119 , 0.0652034903604561 , 0.348042384579431 , 0.60323421251494 , 0.30902967157077 , 0.113846860959621 , 0.0384121713767963 , 0.0552524514058397 , 0.517855504514201 , 0.66438397837824 , 0.0294818346498698 , 0.354983168741306 , 0.465026953149697 , 0.369553586681863 , -0.367223538916935 , -0.340125335725231 , 1.16984563571801 , 0.0363105760111715 , 0.0588954877746509 , -0.273076050323775 , 1.26032633793182 | 0.0000374 |
| 65 | 50 | 0.5 | 0.0 | 1.0 | control , control , control , control , control , control , control , control , control , control , control , control , control , control , control , control , control , control , control , control , control , control , control , control , control , control , control , control , control , control , control , control , control , control , control , control , control , control , control , control , control , control , control , control , control , control , control , control , control , control , intervention , intervention , intervention , intervention , intervention , intervention , intervention , intervention , intervention , intervention , intervention , intervention , intervention , intervention , intervention , intervention , intervention , intervention , intervention , intervention , intervention , intervention , intervention , intervention , intervention , intervention , intervention , intervention , intervention , intervention , intervention , intervention , intervention , intervention , intervention , intervention , intervention , intervention , intervention , intervention , intervention , intervention , intervention , intervention , intervention , intervention , intervention , intervention , intervention , intervention , -0.264116928020488 , 0.980155292490673 , -0.795501175992035 , 0.549893852105882 , 0.00934016725392248 , -0.0250862552280528 , -0.475715584327955 , -0.828170735210348 , -0.333590819198692 , 0.893669433751747 , -0.8850648036636 , 0.247591345167794 , -1.22278650144576 , -0.255744642841474 , -0.955110403957066 , 0.726128130541162 , 0.484774932403882 , 2.21939231131443 , 2.56925679655944 , 2.09355153549903 , -0.937525953624502 , 1.73034964237326 , 0.389596423251587 , 0.698434750309192 , -1.94582899871262 , -0.67123996337158 , 0.35309923224533 , 0.465504382395249 , -0.0519698563420837 , 0.0713712590837492 , -1.4197795389197 , 0.301073465545124 , -1.06180092508287 , -0.436827033843358 , -1.50848174313282 , 1.70353672599356 , 1.85568679529334 , -1.21133024199956 , -0.0286415393240391 , 1.07485216331134 , 0.0995672140026305 , 1.8971268534482 , 1.77180230965606 , 0.571235698648885 , -1.29398885693135 , 0.966187581468302 , 0.538916484689253 , 0.516981817656224 , -0.218681831822284 , -0.0966277640878679 , -0.528539812800212 , 0.691337162286031 , 0.874410791176509 , 1.50788935627199 , 0.369087946899782 , 2.78795452170219 , -2.1854644879174 , 1.58721130049501 , -0.316522525112468 , -0.510658784515812 , -0.111477895881645 , -0.437579357392112 , -0.0665842029486287 , -1.11953062971317 , -0.116470357600284 , 0.463982414474586 , 0.675558179821759 , 2.46706398125293 , 0.689906937098358 , 0.865520836295224 , -0.409719647896713 , 2.53816653997381 , 1.01700264243797 , 1.15535535237433 , 1.03521009940397 , 1.18913670138306 , -1.52944701820177 , 0.0784992596223245 , -0.529520397892555 , 2.33577609768908 , 0.761649783306868 , 1.38340032906696 , 1.10351745161316 , -0.0374012739787314 , -0.0337951717239895 , 0.6998491421245 , 0.471495024359192 , -0.10066866835047 , -0.388595747422017 , 1.6332856150173 , -0.00861329390284826 , -0.000341795278673951, 1.35575584067273 , 1.88583894965678 , 0.608264043943469 , 0.811956542916845 , 1.77844966300516 , -0.546169887045226 , 0.318540294039708 , -0.669615224389952 | 0.1184089 |
| 65 | 50 | 0.5 | 0.1 | 0.5 | control , control , control , control , control , control , control , control , control , control , control , control , control , control , control , control , control , control , control , control , control , control , control , control , control , control , control , control , control , control , control , control , control , control , control , control , control , control , control , control , control , control , control , control , control , control , control , control , control , control , intervention , intervention , intervention , intervention , intervention , intervention , intervention , intervention , intervention , intervention , intervention , intervention , intervention , intervention , intervention , intervention , intervention , intervention , intervention , intervention , intervention , intervention , intervention , intervention , intervention , intervention , intervention , intervention , intervention , intervention , intervention , intervention , intervention , intervention , intervention , intervention , intervention , intervention , intervention , intervention , intervention , intervention , intervention , intervention , intervention , intervention , intervention , intervention , intervention , intervention , 0.798552462456822 , -0.0471496227446798, 0.0695052274530653 , -0.493061847131825 , -0.7419067801842 , -0.409311302878896 , -0.0852758735611966, 0.883336605455824 , 1.41830763615846 , -0.102068831832429 , 0.534170909270868 , -0.301479584576758 , -0.0973612654422057, 0.171465447018907 , -0.710494837150475 , 0.0275123089167958 , -0.292592186207215 , -0.178994303779164 , 0.0909527910154044 , -0.134957653045288 , -0.335950659859936 , 0.676971588123897 , 0.0581092244149687 , 0.375866610515449 , 0.880230083905754 , 0.137822702571217 , 0.442957351884771 , -0.215296595649285 , -0.0499090375854778, 0.29445965692331 , -0.621269311899626 , -0.116462644465669 , 0.756656504280518 , -0.87401957232032 , -0.241985708346556 , 1.22076170946929 , -0.533798550802178 , 0.251936664885875 , -0.308071852217989 , 0.102019602353686 , 0.753532980736651 , 0.210134635602475 , 0.693358951116059 , -0.839716146668516 , 0.446971948644611 , 0.182026007121673 , -0.093064670210296 , 0.245855999905834 , 0.485095234549585 , 0.411939331789395 , -0.478984202738512 , -0.679737618720498 , 0.931943287474265 , 0.239739951291534 , 0.580079375260549 , -0.0129002127894243, 1.01585877899085 , 1.20462410153393 , 0.784989786783023 , -0.0248228589492914, 1.0299291533618 , 1.33878596639867 , -0.437935232014633 , 1.3174029765538 , 0.493504979603515 , 0.332183185819197 , 1.15541711548017 , 0.385755210762532 , -0.246681877902527 , 0.484120306328411 , 0.774951346225085 , 1.12578409937489 , 0.388041527952239 , 0.681369860137416 , 0.392866491538805 , 1.61715706507933 , 0.641772279413933 , -0.157347916502749 , 0.362456700527846 , 0.560535546733969 , 0.0144741121494821 , -0.0153258417856024, 0.0266760821943629 , 1.19887709320998 , 0.132136318041727 , 0.71204367958889 , 0.157261971823932 , 0.68966640050225 , 1.15792807301004 , 1.04810337326745 , 0.170668557527106 , 0.981125686550441 , 0.141762274687191 , 1.26023720367633 , 0.527304399511337 , 0.238515186053923 , 0.594897635836397 , 0.776541405951985 , -0.255485085416688 , -0.623701754733222 | 0.0003374 |
| 65 | 50 | 0.5 | 0.1 | 1.0 | control , control , control , control , control , control , control , control , control , control , control , control , control , control , control , control , control , control , control , control , control , control , control , control , control , control , control , control , control , control , control , control , control , control , control , control , control , control , control , control , control , control , control , control , control , control , control , control , control , control , intervention , intervention , intervention , intervention , intervention , intervention , intervention , intervention , intervention , intervention , intervention , intervention , intervention , intervention , intervention , intervention , intervention , intervention , intervention , intervention , intervention , intervention , intervention , intervention , intervention , intervention , intervention , intervention , intervention , intervention , intervention , intervention , intervention , intervention , intervention , intervention , intervention , intervention , intervention , intervention , intervention , intervention , intervention , intervention , intervention , intervention , intervention , intervention , intervention , intervention , 1.18721786254498 , 0.969152861056745 , 1.08094016739326 , 0.446229736967087 , 1.19528681507726 , -0.667074650242812 , -2.49537147574097 , -0.178676181844865 , 0.505858696754061 , -1.35276038327463 , -0.0906896192585211, 2.00460326515505 , 1.3226113459402 , 0.0358234049103254 , -1.50967198785378 , 1.51166470927524 , -0.628285956700355 , 0.925948497117135 , -1.31733490910993 , 0.774904377734981 , -0.0873211834094533, 0.920558550598907 , -0.570690450791716 , 0.369775084932597 , -0.64097738182957 , 1.26425021917117 , 1.85920145536436 , 0.257759607945351 , -0.182519276314247 , 0.703863586533802 , -1.19386099900975 , 0.494520764531386 , -0.41012520440427 , -0.640703051252245 , 2.10195790605059 , -1.11499291012804 , 2.91448939293434 , 0.203002540213216 , -0.214233873152552 , 1.13785014694949 , 1.04200211391446 , 0.513413013184665 , -0.76431718885537 , -0.0157752120414777, -0.688298391950116 , 0.561978025043375 , -0.815913597059564 , -1.1605822921522 , -0.49586857016154 , -0.488327556082995 , 1.42395757072289 , -1.19050731086782 , 1.87261563975796 , 1.29192900174038 , 0.994438847304545 , 0.571413219341185 , -0.418348542437749 , 1.04590630717333 , 1.09234913522973 , 2.34347939428712 , -2.74061147069332 , 0.66763310076511 , 1.97495484050358 , 0.747098278429278 , 0.804554226971918 , -0.917008175841875 , -0.583418402778589 , -1.22871177198458 , -1.22283526065367 , 1.38689847746641 , 1.05284257936658 , 0.519366254464158 , -0.121420502473857 , 0.388156866629796 , 1.84224160122217 , 0.292372973008555 , 0.367113254107697 , 2.26106751829592 , -0.651986488441351 , 0.406796332005422 , 0.124473146151105 , 0.552177132090593 , -0.0733843010157875, -1.08142848105234 , 0.970920888411558 , 0.458418486131376 , -0.666948987914073 , -0.301433454548231 , 1.16432614386643 , 0.686913018092092 , 1.9497278613515 , 0.762210069434708 , 0.179298965059663 , 0.608402186634895 , -0.412896123431555 , 0.113222329956509 , 1.05821968480365 , 0.562713806098386 , 1.09816877189008 , 0.577612461705784 | 0.1835861 |
| 66 | 20 | 0.0 | 0.0 | 0.5 | control , control , control , control , control , control , control , control , control , control , control , control , control , control , control , control , control , control , control , control , intervention , intervention , intervention , intervention , intervention , intervention , intervention , intervention , intervention , intervention , intervention , intervention , intervention , intervention , intervention , intervention , intervention , intervention , intervention , intervention , -0.252275201373918 , -0.320333157647649 , 0.376060180371097 , 0.133628907843581 , 0.319347234851107 , -0.799607214717728 , 0.562634028350146 , -0.430125441794224 , 0.607259851238549 , 0.792285161398459 , -0.397480525320598 , -0.714383463111545 , -0.38245392086326 , -0.0637129868962856 , -0.144356675462511 , -1.46232635560527 , 0.941750792372465 , 0.65929274499562 , -0.249000966882388 , -0.780130155467348 , -0.126263929919689 , -0.311073712178541 , -0.377416307827093 , 0.486646368375504 , 0.476114329075098 , 0.16333555621232 , 0.00187343624754599 , -0.303526512321634 , 0.143099198889416 , -3.39154766873563e-05, 0.916468293519657 , -0.570880295323386 , 0.288965361253311 , -0.600628617258861 , 0.243492425686287 , -0.491980231938161 , -0.518253784880284 , 0.276288645208129 , 0.667095222553595 , 0.52327171760793 | 0.4726892 |
| 66 | 20 | 0.0 | 0.0 | 1.0 | control , control , control , control , control , control , control , control , control , control , control , control , control , control , control , control , control , control , control , control , intervention , intervention , intervention , intervention , intervention , intervention , intervention , intervention , intervention , intervention , intervention , intervention , intervention , intervention , intervention , intervention , intervention , intervention , intervention , intervention , -1.34307538312659 , 0.851783802957222 , 0.673572761268835 , -1.32973821147724 , 0.253566687724955 , -0.25356374592971 , 0.156789912944786 , 0.593839993899053 , 0.311122537658369 , -0.936336029585593 , 0.453052651033536 , 0.129984763044518 , 0.534284225419103 , 0.659975724060885 , 0.734622381029257 , -0.487356273899151 , 0.757873549346498 , 0.154679093879623 , -1.67142506475074 , 0.0233779004947653 , -1.47942017035403 , -0.122154511438611 , 0.0298623392012687 , -0.743973875250744 , -0.0666171634864391, 1.51421754184903 , -0.46590001689454 , -1.07554542653406 , 0.796427998658572 , -0.297085127489045 , 0.19589969435863 , -0.828066878733504 , -1.59067717771356 , -0.158563652459312 , -0.834407912039868 , -2.22725879551324 , -1.48544168200346 , -0.429736457929544 , -0.375936713529308 , 0.0432676258611372 | 0.0636758 |
| 66 | 20 | 0.0 | 0.1 | 0.5 | control , control , control , control , control , control , control , control , control , control , control , control , control , control , control , control , control , control , control , control , intervention , intervention , intervention , intervention , intervention , intervention , intervention , intervention , intervention , intervention , intervention , intervention , intervention , intervention , intervention , intervention , intervention , intervention , intervention , intervention , -0.110513270133802 , -0.0928445825682492, -0.057864500600798 , 0.36041946145913 , -0.0786805271315175, 0.2913166561828 , -1.03256060156032 , -0.0359906057434499, -0.153975485956191 , 0.687734341039314 , -0.269640254661976 , 0.915010679203437 , -1.49515230865966 , 0.199600634077275 , 0.606243689168104 , -0.0976849047451415, 0.0455302575511051 , 0.607847242161587 , 0.701293302920145 , 0.165168094184648 , 0.0824043429074171 , 0.338714689540073 , -0.540534192654309 , -0.10606104402398 , 0.640393337892601 , 0.107606999088151 , 0.339515449279056 , 0.299694522267487 , 0.0914456800174322 , 0.337778204608989 , 0.517830540730565 , 0.205266100334464 , 0.196918395124649 , -0.167365448323629 , 0.274432465038696 , -0.647248576281806 , -0.679058057236422 , -0.0237093313671292, -0.332312228702229 , -0.102769554174226 | 0.9161657 |
| 66 | 20 | 0.0 | 0.1 | 1.0 | control , control , control , control , control , control , control , control , control , control , control , control , control , control , control , control , control , control , control , control , intervention , intervention , intervention , intervention , intervention , intervention , intervention , intervention , intervention , intervention , intervention , intervention , intervention , intervention , intervention , intervention , intervention , intervention , intervention , intervention , -0.239074048713974 , -0.454590590631366 , -2.22952710433356 , -0.516075920245444 , 1.47017980611554 , 0.0261714530250097 , -0.812799761445655 , 1.06145991653259 , -0.13145215632666 , 1.07898963658696 , 0.165073828344794 , -1.16205939953154 , 0.359776638282293 , 2.13995974277277 , -0.296417908751983 , 0.722506540027763 , -1.56963545327118 , 0.492892287738349 , -0.389477905261408 , 0.861015820559443 , -0.0234274209668335, 1.1447553170516 , 0.814810176942589 , -1.5716471155472 , 1.11932461880322 , 0.954708878855876 , -1.12445876871862 , -1.3009461692029 , 1.01883015825105 , -0.491841255573394 , -1.68879905383994 , 2.44085732617347 , 0.835119393956109 , 0.0508924643688909 , -0.929459234295659 , 0.209739388385966 , 0.810368226607311 , 2.12862269224064 , 1.70214608628811 , -1.06190918305238 | 0.5427795 |
| 66 | 20 | 0.5 | 0.0 | 0.5 | control , control , control , control , control , control , control , control , control , control , control , control , control , control , control , control , control , control , control , control , intervention , intervention , intervention , intervention , intervention , intervention , intervention , intervention , intervention , intervention , intervention , intervention , intervention , intervention , intervention , intervention , intervention , intervention , intervention , intervention , -0.881934763311913, -0.695314622802901, 0.396741941959717 , 0.129767950097106 , -0.68733696897734 , 0.32902595728349 , 0.574139923004051 , 0.621827475790605 , 0.720956972928286 , 0.565702369236792 , 0.187312290764057 , -1.13911582914301 , -0.455163422713858, 0.193563530214008 , 0.252950534868441 , 0.0141555493897228, 0.497406260600357 , 0.425770265176145 , 0.141239162673622 , -0.121615007694535, 0.621643672466614 , 0.931657885719906 , 0.554608298256696 , -0.435117674292196, 0.876572636673721 , -0.109662019676651, 1.18365398141718 , 1.26821022691458 , 1.0462211713534 , 1.26136545118444 , 1.40055918977389 , -0.052177334882873, 0.0324141000222682, 1.124194385373 , 1.07428584437533 , 0.654540296426981 , 0.366402283603018 , 1.24455064019026 , 0.859766613197348 , 0.515213867815451 | 0.0003457 |
| 66 | 20 | 0.5 | 0.0 | 1.0 | control , control , control , control , control , control , control , control , control , control , control , control , control , control , control , control , control , control , control , control , intervention , intervention , intervention , intervention , intervention , intervention , intervention , intervention , intervention , intervention , intervention , intervention , intervention , intervention , intervention , intervention , intervention , intervention , intervention , intervention , 2.23229159501152 , -0.492299848268605 , 1.31420158107072 , -0.338530853140672 , 1.38463556360936 , 0.242055904313179 , 1.60805430063144 , -1.05334216740205 , -1.62295375232267 , 1.03292824077089 , 0.881327919451123 , 0.524150746329372 , 0.342503849676347 , 0.624690911061767 , 0.380976802951544 , 0.171204270239227 , 1.03561281204167 , 0.0707669079010634 , -0.553019238655845 , -0.222823113064493 , 1.51458352254555 , 1.48245473908295 , 1.13455252904825 , -0.600406346689765 , 0.354108888902528 , 0.145681448222237 , 0.383882139331052 , 1.84130675286737 , -0.618826516651124 , 1.29412247536211 , 1.23579204190969 , -0.000388977592167605, -0.706202898827672 , 1.71985004116935 , 0.909116715812278 , 0.540879407106375 , -1.81088762825755 , 0.832572134410436 , 1.6064298537593 , -0.250060925157723 | 0.5750974 |
| 66 | 20 | 0.5 | 0.1 | 0.5 | control , control , control , control , control , control , control , control , control , control , control , control , control , control , control , control , control , control , control , control , intervention , intervention , intervention , intervention , intervention , intervention , intervention , intervention , intervention , intervention , intervention , intervention , intervention , intervention , intervention , intervention , intervention , intervention , intervention , intervention , -0.298808100361735 , 0.0626882398864586 , 1.38687289411687 , 0.271220046552874 , 0.742254035100637 , 0.94327348253307 , 0.358802729357181 , 0.34191038009578 , -0.0318287326995753, 0.430848460069846 , 0.632274340094474 , 0.345430178905211 , -0.345719052069905 , 0.733556985045579 , 0.539080433768851 , -0.069474715990283 , 0.425783023181572 , 0.602671883832325 , 0.0657753340051884 , 0.102087472313018 , 0.872863835400712 , 0.464736763967499 , 1.37679682574658 , 0.418448055260332 , 0.343778090837401 , 0.540046411120585 , 0.867703385269343 , 1.14142528759512 , 0.663274710646335 , 0.487827866498216 , 0.732774829017861 , 0.290493225859746 , 0.495546642396004 , 0.493574205509954 , 0.429537664645672 , 0.0944016842065651 , 0.53121508323112 , 0.199626025631269 , 0.58506268331875 , -0.106496522499863 | 0.1368152 |
| 66 | 20 | 0.5 | 0.1 | 1.0 | control , control , control , control , control , control , control , control , control , control , control , control , control , control , control , control , control , control , control , control , intervention , intervention , intervention , intervention , intervention , intervention , intervention , intervention , intervention , intervention , intervention , intervention , intervention , intervention , intervention , intervention , intervention , intervention , intervention , intervention , 1.80961591152066 , -1.23325690918861 , -1.4201194258641 , 2.12652516216199 , 0.396981238115171 , 1.01103035284427 , 0.345160443627372 , -0.984342313740318 , 2.16796370876898 , 0.821100969407632 , -0.384279191554405 , 0.305616694052099 , 0.312959794636878 , 0.0652515873447364 , 1.09613729177938 , -0.103493749519682 , 1.13141982951186 , -0.592758338605293 , 0.778859667773635 , 0.353723122091169 , 1.20977888049938 , 1.00949035467843 , 0.371878065597814 , -1.03468577068272 , -0.563180378567352 , 0.615175770219015 , 0.833113002614157 , 0.744236243441732 , 1.02776098799925 , 0.163694975510626 , -0.0507150055387456, -0.357863597602585 , 1.53960267560007 , 0.635159756418045 , 2.08247000395377 , 0.754705700095856 , 0.893169981887771 , 0.752269244742122 , 0.658177587222303 , 1.14024657771512 | 0.4333248 |
| 66 | 50 | 0.0 | 0.0 | 0.5 | control , control , control , control , control , control , control , control , control , control , control , control , control , control , control , control , control , control , control , control , control , control , control , control , control , control , control , control , control , control , control , control , control , control , control , control , control , control , control , control , control , control , control , control , control , control , control , control , control , control , intervention , intervention , intervention , intervention , intervention , intervention , intervention , intervention , intervention , intervention , intervention , intervention , intervention , intervention , intervention , intervention , intervention , intervention , intervention , intervention , intervention , intervention , intervention , intervention , intervention , intervention , intervention , intervention , intervention , intervention , intervention , intervention , intervention , intervention , intervention , intervention , intervention , intervention , intervention , intervention , intervention , intervention , intervention , intervention , intervention , intervention , intervention , intervention , intervention , intervention , 0.031426060960946 , 0.267115266569643 , -0.357771824581233 , -0.218549231311302 , 0.14123550178001 , -0.0780767256208655 , 0.52460511663425 , 0.0829968942630922 , -0.596047104222732 , 0.664670013916487 , -1.37838027598078 , -0.0504548604354103 , 0.367902494666178 , -0.0470254265292065 , -0.337065369095524 , 0.511644481951755 , 0.145831121242219 , 0.278411012145919 , 0.15185837172683 , 0.963848536993828 , -0.147385662539815 , 0.293183456213199 , 0.421243740201914 , -0.658238253674234 , 0.875224616619855 , 0.0640801508685698 , 0.125168373602084 , 0.834711498093815 , -0.278011046786681 , 0.525027003104269 , -0.192655499478311 , -0.925856420627376 , 0.157808314450996 , 0.304360720995789 , -0.440188924565264 , -0.553607189178977 , 0.11925296828198 , -0.381635242327363 , 0.278601706279195 , -0.556760307099042 , -0.0259780065330346 , -0.700172417292656 , -0.0465686652406289 , 0.246127626027506 , -0.286884944948267 , -0.447574971800753 , 0.00757843859114881 , 0.349649661982272 , 0.0716893240120455 , 0.186300527519826 , -0.225570775412017 , 0.799508928828115 , -0.145406714003299 , 0.635689619798236 , 0.28626309855692 , 0.33482121197505 , 0.108077343849763 , -0.0660729999757135 , -0.818510877757509 , -0.210307630406318 , -0.286547981718263 , -0.0452842637419221 , 0.829810832521487 , 0.575819262501105 , 0.44783494698663 , 0.521068827832228 , 0.462363565503714 , -0.28338262082106 , 0.220681238230013 , 0.00238365818139304 , 0.463861661704244 , -0.507566034106749 , -0.339106340936778 , 0.262535546560885 , -0.62003046542762 , -0.190164214861072 , 0.835203360391176 , -0.171928346699725 , 0.368132226048407 , 0.601782438683459 , 1.15198616577635 , -0.0815744346721063 , 0.343330056657741 , -0.580182006383714 , -0.467463651065347 , -0.513486828985447 , -0.661771500723871 , -0.971694224637228 , 0.869704576311095 , -0.284731972663982 , 0.190479201432878 , -0.0483326753281225 , -0.00951956787099249, 0.822283388757146 , 1.04975306030111 , 0.0137571614677507 , -0.644722845847732 , 0.059775805178679 , -0.616110428825502 , -0.13878544717926 | 0.5367197 |
| 66 | 50 | 0.0 | 0.0 | 1.0 | control , control , control , control , control , control , control , control , control , control , control , control , control , control , control , control , control , control , control , control , control , control , control , control , control , control , control , control , control , control , control , control , control , control , control , control , control , control , control , control , control , control , control , control , control , control , control , control , control , control , intervention , intervention , intervention , intervention , intervention , intervention , intervention , intervention , intervention , intervention , intervention , intervention , intervention , intervention , intervention , intervention , intervention , intervention , intervention , intervention , intervention , intervention , intervention , intervention , intervention , intervention , intervention , intervention , intervention , intervention , intervention , intervention , intervention , intervention , intervention , intervention , intervention , intervention , intervention , intervention , intervention , intervention , intervention , intervention , intervention , intervention , intervention , intervention , intervention , intervention , 1.05859396658787 , -0.0674646890632423, 0.811195741031495 , -0.0599263275177215, 1.1122685485039 , -0.17101393098652 , -0.577005671145007 , 0.0392296299745946 , 1.13856195679477 , 0.426726899453075 , 1.52770997146094 , 1.96198052218971 , 0.013778387374463 , -1.30517412317097 , -0.592856794574507 , 1.00143172666538 , 0.721147237149559 , -0.094259002187967 , -1.25069423955487 , -0.955630983820096 , 0.307451958086979 , -0.406109548423989 , 0.272163088299128 , 1.26474013211797 , -1.22843330002322 , 0.763577727639107 , -0.112577801146158 , 0.704353595547777 , 0.272478490921665 , -0.457195397370876 , -0.20525287151249 , 0.653713875131137 , -1.12180655826538 , -1.44015249326171 , -0.269733563795292 , -0.870119940121454 , -0.360470571630212 , -1.05206648761015 , -0.346892887212414 , 0.187751949177103 , -2.18899951979154 , -0.238193604039935 , 0.488349081815684 , -0.284421990209748 , -0.276996449780431 , 0.393202472659118 , -0.503860390339417 , 0.452923143949846 , -0.307614040092496 , -1.70323277071475 , 2.16496331982858 , -0.389325719194406 , -0.542655183415305 , 1.47824195272783 , 0.771422588839961 , 0.767229121331971 , 0.123711509608403 , 0.0484896760190794 , -1.06585892963664 , -1.0137433350882 , 1.58388161443384 , -1.66171904105513 , 0.98842445707417 , 0.929818870433977 , 0.232793920400774 , 0.81180380652057 , 0.402823726360024 , 0.851696527303136 , -1.26623594873073 , -0.484052397005684 , -0.305685300401185 , -1.62661927901176 , 0.0818540958190783 , 0.389083057455411 , -0.0233024995540462, -1.299373513994 , 0.340763218941052 , 0.558994679957022 , -1.02668765604639 , 0.343357761877915 , 1.64889287890773 , 0.51515271899897 , -0.46797842735821 , 0.120933960240298 , -0.0923269154840223, -0.702156333751798 , 1.73346196120099 , 0.978862226681687 , -1.75049984454445 , 0.427017307942309 , -0.62591647286319 , 0.231422438553319 , 2.20372073205667 , 1.03984300942073 , -0.479284165718757 , 0.730020098956468 , -1.12582186164264 , -1.12826808121644 , 0.599923727755588 , -1.82695366917147 | 0.4575288 |
| 66 | 50 | 0.0 | 0.1 | 0.5 | control , control , control , control , control , control , control , control , control , control , control , control , control , control , control , control , control , control , control , control , control , control , control , control , control , control , control , control , control , control , control , control , control , control , control , control , control , control , control , control , control , control , control , control , control , control , control , control , control , control , intervention , intervention , intervention , intervention , intervention , intervention , intervention , intervention , intervention , intervention , intervention , intervention , intervention , intervention , intervention , intervention , intervention , intervention , intervention , intervention , intervention , intervention , intervention , intervention , intervention , intervention , intervention , intervention , intervention , intervention , intervention , intervention , intervention , intervention , intervention , intervention , intervention , intervention , intervention , intervention , intervention , intervention , intervention , intervention , intervention , intervention , intervention , intervention , intervention , intervention , 0.358778782460701 , -0.0743428759672237, -0.44517443400616 , 0.893878832801481 , 0.177509383132389 , -0.325861769813754 , 1.05144906530454 , 0.53547416818692 , 0.66891699383531 , 0.520561707874655 , 0.175860646715043 , -0.108873709060648 , 1.09193689600385 , 0.147375438189805 , -0.145754488744648 , 1.08864388491596 , 0.00448922680341583, 0.665608992631141 , 0.767958295042801 , -0.131328240267422 , 0.0775921966579009 , -0.827725442597642 , -0.249899293665746 , 0.0165335128445484 , -0.122339973949315 , 0.045768681567752 , -0.101121559972373 , 0.0465881771239006 , -0.592114832215745 , 0.662689140524792 , -0.558703818340423 , 1.04965856723229 , 0.0319781857573564 , 0.558339014820184 , 0.696637672141719 , -0.216552296489049 , -0.467008724896782 , 0.659962889666235 , 0.0341716842773063 , -0.0902729798066061, 0.476319403337386 , 0.903874363849127 , -0.405453136486164 , -0.298902237487914 , -0.489233555383523 , -0.268887644562092 , 0.678232074389271 , -0.322075588102494 , -0.624555379826763 , 0.814293298457453 , -0.49032296604345 , 0.284088495313737 , -0.494526114067319 , 0.214739938368553 , -0.546564840329448 , 0.0746794787803746 , 0.363577647186817 , -0.313827072412517 , -0.37143214435969 , 0.249807089886358 , -0.679897302473112 , 0.12459819214537 , -0.208980492433288 , 0.0474054599453233 , -0.722296618560591 , 0.0761036565889966 , -1.16858869507958 , -0.751527250499047 , -0.421205946601202 , -1.12658723542005 , 0.173526276471957 , -0.370296740980141 , -0.393144298972119 , -0.368359776681412 , -0.248022894936576 , 0.419431297503035 , 0.677756514465026 , -0.085614309600531 , -0.263373227346058 , 0.145733767813308 , 0.213673392337313 , -0.6890514101431 , 0.888969689381733 , 0.0905039631478992 , -0.197337047507913 , -0.20398775906339 , -0.807505034946048 , -1.17336114210971 , 0.113423091567661 , 0.508561172753859 , 0.203689790563209 , -0.88807385447216 , 0.288993111711854 , 0.0127896538364261 , -0.0277035365045581, 0.920809875549581 , 0.0628450039359282 , 0.0420491019883955 , -0.257596032034708 , -0.665606137462285 | 0.0024160 |
| 66 | 50 | 0.0 | 0.1 | 1.0 | control , control , control , control , control , control , control , control , control , control , control , control , control , control , control , control , control , control , control , control , control , control , control , control , control , control , control , control , control , control , control , control , control , control , control , control , control , control , control , control , control , control , control , control , control , control , control , control , control , control , intervention , intervention , intervention , intervention , intervention , intervention , intervention , intervention , intervention , intervention , intervention , intervention , intervention , intervention , intervention , intervention , intervention , intervention , intervention , intervention , intervention , intervention , intervention , intervention , intervention , intervention , intervention , intervention , intervention , intervention , intervention , intervention , intervention , intervention , intervention , intervention , intervention , intervention , intervention , intervention , intervention , intervention , intervention , intervention , intervention , intervention , intervention , intervention , intervention , intervention , 0.484236238173984 , 0.728534998277709 , -0.237310804488722 , 0.291497678426004 , 1.19830935317059 , 0.439897617862908 , 0.920822118612597 , -0.440949259480053 , 1.50571485078663 , 1.25445821747432 , -0.160513191548166 , -0.251410993386928 , 0.652473671359461 , -1.99668988619702 , 0.708025382424523 , 1.78426099442942 , 0.0687393280356336 , -0.957249174738676 , -0.544056951869986 , -1.71201534201263 , 0.115189160102242 , 1.2066513571022 , -0.0494136967114385, -1.88213917324087 , 1.33928930051966 , -0.0320868365486551, 0.226235992862519 , 0.497656865113234 , -0.962398141096914 , -1.22947839302888 , -0.686526176961084 , 0.0788754156701497 , -0.437281806089657 , 1.10632228079101 , -1.54079720401543 , -0.0146300857894729, 0.940002594685913 , -0.248737375146902 , -0.546568118677317 , -0.2861783292623 , 2.08357922275357 , -1.61440952255285 , -0.0131222142370144, -0.0870423331012657, 1.19657720129169 , 0.134643829241822 , 0.610865596170088 , 0.692248609865092 , 0.634714139265238 , 1.37026423114626 , 1.99131284072714 , 2.12641608403177 , 1.14368987619018 , -0.324487308344023 , 0.811362179827099 , -0.944568333034015 , -0.574366147948069 , 1.14167092076947 , -0.388900502246324 , 0.329349061345913 , 1.7463645848738 , -0.0765429677427858, -1.1728882640557 , 0.439166974583524 , -0.898560275645634 , -1.55281211808528 , -0.740662267506196 , 1.42209473152109 , 0.349151294660418 , 0.0677751888483768 , 0.243121169452227 , -0.608638883817778 , 1.00534385064698 , 1.20889427128056 , 0.820897894662217 , -0.973556436083972 , 0.362540953217268 , -0.573062565156168 , 0.539381260994053 , 0.0312901379971612 , 1.24035245662742 , 0.21834035629961 , -0.455466040419672 , -0.329362366652774 , -0.253747250186246 , -1.36405834463162 , -0.560191379705255 , 0.618210185488628 , -0.527645868088695 , 0.334277509405064 , -0.685145113182711 , -0.393211036180891 , 1.27356766848251 , -0.186362968691557 , 0.0976562574902308 , -0.957957690973259 , 1.26009399568826 , -1.47618793851137 , 1.48870418653305 , 1.30563390501925 | 0.8954069 |
| 66 | 50 | 0.5 | 0.0 | 0.5 | control , control , control , control , control , control , control , control , control , control , control , control , control , control , control , control , control , control , control , control , control , control , control , control , control , control , control , control , control , control , control , control , control , control , control , control , control , control , control , control , control , control , control , control , control , control , control , control , control , control , intervention , intervention , intervention , intervention , intervention , intervention , intervention , intervention , intervention , intervention , intervention , intervention , intervention , intervention , intervention , intervention , intervention , intervention , intervention , intervention , intervention , intervention , intervention , intervention , intervention , intervention , intervention , intervention , intervention , intervention , intervention , intervention , intervention , intervention , intervention , intervention , intervention , intervention , intervention , intervention , intervention , intervention , intervention , intervention , intervention , intervention , intervention , intervention , intervention , intervention , -0.0183717199842683 , -0.639892083509232 , -0.475215486831172 , 0.220325672442168 , -0.111330238201283 , -0.189502856023103 , -0.0939491478156585 , -0.361090766269477 , -0.508064659633496 , 0.681469387106012 , 0.226693645629027 , -0.0336307280756591 , 0.549022194592852 , -0.0459855771525141 , -0.985529018146414 , -0.406142394811159 , 0.54190261379931 , 0.504727627833383 , -0.184081036870988 , 0.627467291242992 , -0.796361883295809 , 0.0189189757751328 , 0.283449419168659 , -0.273345364224335 , -1.14555952054209 , -0.465592159039771 , -0.234295402878125 , -0.363079976066874 , -0.855829260227903 , 0.243183977728584 , -0.591938301965318 , 0.217702942308051 , -0.142167348694724 , 0.57514498034208 , -0.917718712782696 , -0.264166936685924 , 0.446574708284287 , 0.998956158533419 , 0.131386024108364 , -0.23269651963062 , -0.0153194706227415 , 0.278604020499002 , -0.408224278345677 , -0.051168503430298 , 0.333115725301131 , -0.250424128921351 , -0.0397513532320704 , 0.432150828569035 , 0.306529257739917 , 0.007941692660987 , 1.10062235143427 , 0.749393427019325 , 0.637585969225094 , 0.274621963902563 , -0.0863122288578501 , 0.857753909138447 , -0.157379531279838 , 0.542233353730831 , 0.0420717592832666 , 0.84222238471854 , 1.61289084739749 , 0.386845789192627 , -0.10716920455399 , 0.200049651183681 , 0.580515201360103 , 0.853183051723475 , 0.729553124441566 , 0.345922475084843 , 0.203508176069073 , 0.0923524874267916 , 0.171899702759539 , 0.61553048944433 , 0.538795527285483 , 0.13335458852548 , 1.33870943552359 , 0.762681110833248 , -0.574399603982703 , -0.193263058334356 , 0.981311281235978 , 0.306958697553156 , 0.0614880820434138 , -0.286628538285707 , 0.0632465867240829 , 1.38334937526935 , 0.390195212765027 , -0.196607703921306 , -0.0242101353122873 , 0.263298478391198 , -0.28335876554899 , 0.331726863305863 , 0.000733562514764308, 1.28340842611879 , 0.706105724652748 , 0.0838928782175423 , -0.613882969066626 , 0.63075281780209 , 0.284475308005095 , -0.0770654385616438 , 0.0919262172701366 , -0.284558437337704 | 0.0000365 |
| 66 | 50 | 0.5 | 0.0 | 1.0 | control , control , control , control , control , control , control , control , control , control , control , control , control , control , control , control , control , control , control , control , control , control , control , control , control , control , control , control , control , control , control , control , control , control , control , control , control , control , control , control , control , control , control , control , control , control , control , control , control , control , intervention , intervention , intervention , intervention , intervention , intervention , intervention , intervention , intervention , intervention , intervention , intervention , intervention , intervention , intervention , intervention , intervention , intervention , intervention , intervention , intervention , intervention , intervention , intervention , intervention , intervention , intervention , intervention , intervention , intervention , intervention , intervention , intervention , intervention , intervention , intervention , intervention , intervention , intervention , intervention , intervention , intervention , intervention , intervention , intervention , intervention , intervention , intervention , intervention , intervention , -0.728275237748652 , 1.68105732268388 , 0.617985186629199 , -0.402561810331653 , -1.67777549334692 , 0.518894172364989 , 0.107356193366127 , -0.577317098987382 , -0.301623691361972 , 0.584926802031794 , 0.173053651704814 , -0.55816424883255 , -0.449497203918471 , -1.01742018414576 , 1.33671278794942 , 0.847427895006415 , 1.29526310084547 , 0.426598316954747 , 0.178828767983181 , 1.41012142671826 , -0.908744498134873 , 0.271122034493101 , -0.168734065477051 , 0.595190935526796 , -0.0803511258609177, 0.834560547234425 , -0.249219309499488 , 0.170579235575934 , 0.770394910765672 , -1.15439383701694 , -1.61013027054719 , -0.764048167237548 , -0.666817591912297 , -0.759671548029898 , -1.10078516534599 , -0.247297765029649 , 0.611186376971725 , 0.991988890195919 , 1.11318310632313 , 0.950978009606506 , 1.39027743899437 , 0.328098739689143 , -1.34974244784968 , 0.526420088097845 , 0.987679740909335 , -0.642692819392993 , -1.1043787055726 , 0.279524144239664 , 0.0334557297165476 , 0.512347936920511 , 1.0073865678015 , 0.307296441629072 , -1.35560341325131 , 0.782525638797554 , 0.109215844010129 , -0.389647986077792 , 0.386747912414313 , -0.471256731948151 , -0.454725963833499 , -0.434391877951644 , 0.114628109501603 , 0.883813839835179 , 0.36849256575943 , 0.715662798610601 , 0.877948640130624 , 3.39158334062892 , 0.939191124902488 , 0.384254108901872 , 1.77101930935575 , 1.11131309438992 , 1.68181281080002 , 0.808545939341753 , 0.309606153800081 , 0.26488714858788 , 0.258786975105862 , 1.58846592767974 , 1.27311608806377 , -1.46714193833791 , 0.888755538908489 , -0.16857357192925 , 0.85465282964029 , -0.835553179442582 , -0.574151143471006 , 0.918150154358847 , 0.498851341613928 , 2.35491480795511 , 0.533797051959571 , 1.51597312845195 , -1.27976206847393 , -0.983043639718181 , -0.216380874673271 , -0.0914789753446187, -0.144433016957726 , 0.387453739881732 , 0.0398785936063825 , 0.413830426842949 , 1.1847084219483 , -0.409793315521944 , -2.19083492394997 , -0.0376065463643549 | 0.1238707 |
| 66 | 50 | 0.5 | 0.1 | 0.5 | control , control , control , control , control , control , control , control , control , control , control , control , control , control , control , control , control , control , control , control , control , control , control , control , control , control , control , control , control , control , control , control , control , control , control , control , control , control , control , control , control , control , control , control , control , control , control , control , control , control , intervention , intervention , intervention , intervention , intervention , intervention , intervention , intervention , intervention , intervention , intervention , intervention , intervention , intervention , intervention , intervention , intervention , intervention , intervention , intervention , intervention , intervention , intervention , intervention , intervention , intervention , intervention , intervention , intervention , intervention , intervention , intervention , intervention , intervention , intervention , intervention , intervention , intervention , intervention , intervention , intervention , intervention , intervention , intervention , intervention , intervention , intervention , intervention , intervention , intervention , -0.358557528412371 , 0.319484382394765 , -0.38482093103108 , -0.167103900444888 , -0.2513901554897 , 0.435211663712308 , 0.112684131827531 , -0.0375129274453065, 0.830230895647398 , -0.272297650539145 , 0.481681638617825 , -0.64570064760623 , -0.521497885704451 , 0.634673176331848 , -0.100229640073461 , -0.229000314757981 , 0.3413307033536 , -0.291278309523239 , -0.0959113759212641, 0.814691328253022 , -0.207563223152712 , 0.415983929072119 , 0.156273250701417 , -0.0652294792737103, -0.23943334183578 , 0.207426149988361 , 0.244849756340985 , -0.0866298385186297, -0.422187271394544 , 0.296421479656078 , 0.100027101651804 , -0.338765221585795 , 0.0305548429287075 , -0.0650748149719149, 1.12550308570575 , -0.122835342503034 , 0.42750514556978 , 0.112172506840447 , -0.414764690677625 , -0.0849840430137569, 0.44525605927951 , 0.00791160419281364, -0.327467830146598 , 0.913389501452991 , 0.370518810241067 , 0.931283598262937 , -0.23007654110023 , 0.0342364645523045 , -0.466239034537657 , -0.424001400940787 , -0.691383357944002 , 2.14363446448441 , 1.0808665151805 , 0.65832478026186 , 0.532061192881351 , 0.13077185801669 , 0.213076513448561 , 0.532634126928477 , 0.245913876866013 , -0.350390757607028 , 1.21288401297498 , 1.00409115898829 , 0.562212837346642 , 0.490278874559481 , 0.879861262643838 , 0.672263727735269 , 1.24494787290491 , 0.283116577024866 , 1.06653848340945 , 0.558828709761862 , 0.258710968052423 , 0.496892862822987 , 0.00906691534543513, 0.0348902382271282 , 0.385647471753363 , -0.0427065238400492, 0.497535036288799 , -0.1933816853788 , 0.723368880956462 , -0.670824921557656 , 0.599312257515466 , 0.546513662782621 , 0.723693489412191 , 0.656885993166253 , 0.00513954427904517, -0.075622137449786 , 0.00330319929663103, 0.610432864672077 , 0.502731174874733 , 1.24494586476852 , 0.744990066042895 , 0.976850793454828 , 1.65904491779859 , 0.707207630910628 , 0.349411649441775 , -0.216433029082335 , 0.20423826527866 , 0.190381554039483 , -0.356440481673326 , 1.65294446266498 | 0.0000343 |
| 66 | 50 | 0.5 | 0.1 | 1.0 | control , control , control , control , control , control , control , control , control , control , control , control , control , control , control , control , control , control , control , control , control , control , control , control , control , control , control , control , control , control , control , control , control , control , control , control , control , control , control , control , control , control , control , control , control , control , control , control , control , control , intervention , intervention , intervention , intervention , intervention , intervention , intervention , intervention , intervention , intervention , intervention , intervention , intervention , intervention , intervention , intervention , intervention , intervention , intervention , intervention , intervention , intervention , intervention , intervention , intervention , intervention , intervention , intervention , intervention , intervention , intervention , intervention , intervention , intervention , intervention , intervention , intervention , intervention , intervention , intervention , intervention , intervention , intervention , intervention , intervention , intervention , intervention , intervention , intervention , intervention , -0.691379457441133 , -0.412368523274023 , 1.82118436243956 , -0.643358679436424 , -0.737162375753713 , -1.79532508896478 , -1.01161589299133 , 0.699502363075192 , -0.0357435654814451, -0.284471533294983 , -0.679841901310063 , -1.29732516012911 , -0.726508019011315 , 0.57636666639576 , -1.64829496314509 , -0.47872451504359 , 0.824920113330393 , 1.11010021106576 , -0.518308832699573 , 0.252825121890115 , 0.804692878192247 , -1.9071526437188 , -1.39416605037452 , 0.700301059409068 , -2.43731853211481 , 0.830057048832734 , -0.96656243462964 , 1.77612452341552 , -0.243083030398355 , -0.218768941998638 , 1.21125042052646 , 0.724365506701912 , -1.84230586693096 , -0.419020578575364 , 1.10463996092093 , -0.803695981458625 , -0.185139191193713 , -0.0538995285966972, 1.2903652836445 , -0.0606420265797765, 1.5093488792608 , 0.11221843495535 , 0.290324434067956 , 0.813526596718405 , -0.121856350492871 , -0.716463089067092 , 0.96745513440754 , -0.0716216709435834, 0.597657408123938 , 0.710206523534466 , 1.59974585757911 , -0.379884041254628 , -0.434760458276966 , -0.127975242192907 , 1.50853129358941 , 0.361928343915712 , 0.804743879310683 , 0.895312802994846 , 0.741095612636857 , -0.621564733607558 , 0.570328310288694 , 0.68886563789316 , 0.903777600787982 , -0.198019860204585 , -0.075796889103612 , 0.629393708116394 , -0.611284526584671 , 1.53742240982718 , 1.40833518316705 , 3.36895273445117 , 1.31364554523883 , 2.72807106875411 , 1.58917350778862 , 0.662602979083479 , -1.69655380822493 , 1.13174746291487 , -0.503935351714452 , 0.825430796192533 , -0.245426783771836 , 0.215837064545818 , 0.559282523891824 , -0.827469612900745 , -0.713812047731869 , -0.0769098195968982, 0.552284373823012 , 1.04368368625602 , -0.86508960004763 , -0.0594804079760373, 0.190504161736151 , -0.55319770906741 , 2.4064122686177 , -0.604224160887074 , 0.480997443368558 , 0.365813292736175 , 1.57334055372201 , 3.14526146917342 , -0.0765754829597928, 2.9007773702589 , 0.570786114636624 , -0.252617560627831 | 0.0030021 |
| 67 | 20 | 0.0 | 0.0 | 0.5 | control , control , control , control , control , control , control , control , control , control , control , control , control , control , control , control , control , control , control , control , intervention , intervention , intervention , intervention , intervention , intervention , intervention , intervention , intervention , intervention , intervention , intervention , intervention , intervention , intervention , intervention , intervention , intervention , intervention , intervention , -0.294748726614403 , 0.0868988681795227 , 0.0615854897225601 , -0.408994048898494 , -0.155502766724776 , 0.0340439757016954 , -0.460072295506325 , -0.510102031401665 , -0.437277770298367 , 0.24415849003281 , 1.13982528184257 , 0.108482356253375 , 0.0593206532638706 , -0.712486662683917 , 0.115624245147662 , -0.0603704574968897, -0.416595834260602 , -0.0266637217559236, 0.559428658361983 , -0.543963933606735 , -0.784778505932592 , -0.422684288685332 , -0.309482107149811 , 0.103770866596789 , -0.023340071713473 , -0.0991399943831699, -0.488182278431225 , -1.16729679637615 , -0.60720257942505 , 0.160778789520091 , 0.637329049278004 , 0.185988261322289 , -0.686600547418426 , -0.270682054900152 , -0.077768258038652 , -0.0356603966557864, 0.492772304912888 , 0.0425977609101465 , -1.38507906967032 , -0.130407614395426 | 0.2816699 |
| 67 | 20 | 0.0 | 0.0 | 1.0 | control , control , control , control , control , control , control , control , control , control , control , control , control , control , control , control , control , control , control , control , intervention , intervention , intervention , intervention , intervention , intervention , intervention , intervention , intervention , intervention , intervention , intervention , intervention , intervention , intervention , intervention , intervention , intervention , intervention , intervention , -0.0732206894044877, 0.752300578263203 , 0.152863056404635 , 0.883568680783063 , -0.390508600972261 , -0.0158849312214655, 0.240451979631047 , 0.609331833171159 , -0.950444813708035 , 0.484303635654517 , -1.64491772977487 , -0.558838003403625 , 0.308172649131249 , 0.0268900801977117 , -0.465467671696517 , -0.844837168652543 , -0.290881719456116 , 1.73646685981827 , -1.18543411461779 , -0.450232641843176 , 2.40211249831763 , -1.18336420805872 , -1.38666442382605 , -0.0981407569637152, 0.867089921578896 , 0.331725089248596 , -0.101196917584464 , 1.58913026732538 , -0.452821767206951 , -2.14395298431266 , 0.491693072139024 , 0.894956845289961 , 1.36743946847556 , -0.910188781389402 , 0.296732815790336 , 0.761981265379268 , 0.118818295576201 , 2.44055750412533 , -0.0951791664231338, 0.482196071407578 | 0.2526057 |
| 67 | 20 | 0.0 | 0.1 | 0.5 | control , control , control , control , control , control , control , control , control , control , control , control , control , control , control , control , control , control , control , control , intervention , intervention , intervention , intervention , intervention , intervention , intervention , intervention , intervention , intervention , intervention , intervention , intervention , intervention , intervention , intervention , intervention , intervention , intervention , intervention , 1.0006268018617 , -0.374293417497089 , -0.211203526035857 , -0.545359539341459 , 0.260788032104083 , 0.432865189692531 , -0.704642565170822 , -0.50043110001748 , 0.00677708086013239, 0.426808156952946 , 0.143602804507387 , -0.484004084162602 , 1.08309236129894 , 0.311555562233944 , 0.631576754619882 , 0.257416367434174 , -0.184165234363917 , 0.288263645611076 , 0.339474777824513 , -1.05006138425654 , 0.0652658092072034 , 0.267644899673096 , 0.858854592445551 , -0.246980356656727 , -0.10170683475114 , 0.380999386198659 , -0.497668765084786 , -0.760989587284199 , -0.0470948609960253, -0.377705207113824 , -1.08617499944824 , -0.585445101581755 , 0.533295762176037 , 0.575420941628041 , 0.845346566169612 , -0.174096370856374 , 0.214760163877298 , -0.285559942678003 , 0.443539170659578 , -0.916905989511373 | 0.5714245 |
| 67 | 20 | 0.0 | 0.1 | 1.0 | control , control , control , control , control , control , control , control , control , control , control , control , control , control , control , control , control , control , control , control , intervention , intervention , intervention , intervention , intervention , intervention , intervention , intervention , intervention , intervention , intervention , intervention , intervention , intervention , intervention , intervention , intervention , intervention , intervention , intervention , -1.83122332170052 , 1.01966546091055 , 1.04591171941764 , -0.771769831863634, -1.0008167176406 , -0.33822945842975 , 0.833785828367008 , -0.201889926813935, -0.702022003753881, 2.19736690910733 , -0.541697341817582, -1.46168550835254 , 1.06776784984905 , 2.01034807567773 , -1.23174888678968 , 0.134943003198002 , 0.11917309991324 , -0.277551093979935, 1.06544381452704 , 0.21193153014395 , 1.2015370650403 , -1.52685630301675 , -1.01823511472585 , 1.17535098869655 , 1.43277594605711 , -0.396924405216495, 1.59038212968509 , -0.585059692017165, 0.113496571861231 , -2.05188944184344 , 0.336620681706965 , -0.227977856132054, 1.25226787160784 , -0.908862140887064, -0.63098519446345 , -1.90649006160126 , -0.749164141313929, -0.772684872373517, -0.818761207826664, -1.0200269854951 | 0.3357613 |
| 67 | 20 | 0.5 | 0.0 | 0.5 | control , control , control , control , control , control , control , control , control , control , control , control , control , control , control , control , control , control , control , control , intervention , intervention , intervention , intervention , intervention , intervention , intervention , intervention , intervention , intervention , intervention , intervention , intervention , intervention , intervention , intervention , intervention , intervention , intervention , intervention , -0.0909420924862186, 0.020401056702419 , 0.202296279095189 , 0.782925253627572 , 0.151013006688492 , 0.542415924159682 , 0.286299385133419 , 0.0244389656153066 , 0.277328010136996 , -0.0208151076100998, -0.0782694950552491, 0.319473814913832 , -1.57267353291193 , -0.320488576553598 , -1.1384754286254 , 0.00751865862535228, 0.121937485022289 , -0.0689251314059268, -0.559365317531028 , 0.340088927260027 , 0.840826689375839 , 0.806034946895486 , 0.983307005953593 , 0.342249709494028 , 1.04409798881283 , 0.253837234274021 , -0.386508773670599 , 0.188994198054093 , 1.34080054777324 , 1.31444287154043 , 0.0949838893787328 , 1.3618041490736 , -0.126684347084582 , 0.350783741807689 , 0.476747553583369 , 0.665706077123611 , 0.847898884352758 , 0.091286731836416 , 0.44659673874851 , -0.552296435692514 | 0.0025736 |
| 67 | 20 | 0.5 | 0.0 | 1.0 | control , control , control , control , control , control , control , control , control , control , control , control , control , control , control , control , control , control , control , control , intervention , intervention , intervention , intervention , intervention , intervention , intervention , intervention , intervention , intervention , intervention , intervention , intervention , intervention , intervention , intervention , intervention , intervention , intervention , intervention , 2.48629497139773 , 1.04701296936204 , -1.36577412869815 , -1.37657103999153 , -0.0517360808914492, 0.484409430628969 , -0.298196323908295 , 0.730734475409788 , 0.496747119638381 , 1.13939652321987 , -1.02922731308444 , 0.613050124747128 , -1.12529610658267 , -1.86390030017703 , -0.747674811710387 , -0.602869960008829 , -1.44920763487137 , 1.87245599421916 , -0.613965085929502 , 0.712315226469911 , -0.569606622492265 , 0.473936284303561 , 0.716924641630612 , 1.04430147444438 , 1.0011132520768 , -0.990408847224265 , -0.855150687109443 , 1.2554302380801 , 0.131596301413016 , 1.05355986358034 , 1.09231493917173 , 1.67295261835199 , 1.87464390824693 , 0.365509601589656 , -0.737341840721783 , 1.99281708312045 , 0.519179572905234 , 1.5748111082942 , 0.60392013751595 , -1.01798812065196 | 0.0843025 |
| 67 | 20 | 0.5 | 0.1 | 0.5 | control , control , control , control , control , control , control , control , control , control , control , control , control , control , control , control , control , control , control , control , intervention , intervention , intervention , intervention , intervention , intervention , intervention , intervention , intervention , intervention , intervention , intervention , intervention , intervention , intervention , intervention , intervention , intervention , intervention , intervention , 0.323507600987178 , 0.348573034346556 , -0.988748122120797 , 0.375354605563067 , 0.0549922145738256 , 0.136944825542529 , 1.39002087569323 , 0.328947530723516 , 0.579995156456959 , 0.268069270414415 , 0.633789935253613 , 0.8590353001123 , 0.282112437568743 , 0.270389178797864 , -0.19200052712465 , -0.777342997687758 , -0.444040976003466 , 0.605202661535049 , 0.0220767195901811 , -0.109905514484556 , 1.10474608187417 , 0.179527320653318 , 1.35902348286303 , -0.173677032669452 , 1.29551921759629 , -0.0527350230834822, 0.858198600065312 , 0.863398537419301 , 0.676462489902264 , 1.42569624762359 , 0.959120652353546 , -0.372175529963381 , 0.644251492562208 , -0.73904372254905 , 0.773552444841713 , 0.379950245452662 , 1.55096994107961 , 0.691775315875741 , -0.293282646851791 , 0.510467183490743 | 0.0490704 |
| 67 | 20 | 0.5 | 0.1 | 1.0 | control , control , control , control , control , control , control , control , control , control , control , control , control , control , control , control , control , control , control , control , intervention , intervention , intervention , intervention , intervention , intervention , intervention , intervention , intervention , intervention , intervention , intervention , intervention , intervention , intervention , intervention , intervention , intervention , intervention , intervention , 1.20011172883633 , -0.646078324144001, 0.509325734056982 , 1.68548225847462 , 0.837673289857434 , -0.599446381350653, -0.577688880817366, 0.103387252800602 , -0.65663405824676 , 0.41674038689694 , 0.712346358202525 , -0.416765643638437, 0.98370650552354 , 0.716695222575294 , 1.8625023119402 , -1.23249708275674 , 1.87540287692426 , 0.435184914667665 , -0.648332062934037, 1.16987370762996 , 0.804965373251845 , 0.0389746533512256, -2.19331766959084 , 2.5448987852979 , -0.244228569744897, 2.72560444721492 , -0.42999441443076 , -1.02883458071819 , -0.638571114946271, 2.32082854829161 , 0.296541759307928 , 1.66969366924163 , -1.91958142227221 , 0.892154590025393 , 0.692177012133307 , 0.492019202573222 , -0.208696147048609, 1.18041942027614 , 0.645903124106946 , 0.588876624937811 | 0.9455300 |
| 67 | 50 | 0.0 | 0.0 | 0.5 | control , control , control , control , control , control , control , control , control , control , control , control , control , control , control , control , control , control , control , control , control , control , control , control , control , control , control , control , control , control , control , control , control , control , control , control , control , control , control , control , control , control , control , control , control , control , control , control , control , control , intervention , intervention , intervention , intervention , intervention , intervention , intervention , intervention , intervention , intervention , intervention , intervention , intervention , intervention , intervention , intervention , intervention , intervention , intervention , intervention , intervention , intervention , intervention , intervention , intervention , intervention , intervention , intervention , intervention , intervention , intervention , intervention , intervention , intervention , intervention , intervention , intervention , intervention , intervention , intervention , intervention , intervention , intervention , intervention , intervention , intervention , intervention , intervention , intervention , intervention , -0.838021230266157 , -0.0312614695122257, 0.731360571467457 , 0.391987440729293 , -0.536496580680646 , -1.00740863678837 , -0.063205158760914 , 0.0238730500548561 , -0.133807003567527 , 1.36740999364913 , -0.97319444027565 , -0.770625562919002 , 0.0127285311374886 , 0.754391330345186 , 0.0999776000978568 , 0.253618810514332 , -0.579625371775852 , 0.282625409192996 , 0.379151670777716 , -0.0571475090575321, 0.384767495727739 , 0.323910532894872 , 0.715236558649709 , 0.679418204539073 , 0.115497511330854 , -0.383005298887457 , -0.0748136002300077, -0.461211548806838 , -0.503649637028448 , -0.52026575823458 , -0.305160053984855 , 0.203510646822217 , -0.295188027026556 , 0.351005891381248 , -0.214665525875366 , -0.653210445728496 , -0.214414656884883 , -0.0357395157293351, 0.465056312529299 , -0.607585762095796 , 0.0387784198477051 , -0.612602948170726 , -0.0540301463002313, 0.0980134950322912 , 0.942880936659271 , -0.23368765668186 , -0.0263749702409958, -0.59928810788163 , 0.166373476542111 , 0.503146603462756 , -0.659780291815863 , -0.03488143964415 , -0.395662671441467 , 0.29598509794548 , 0.665865852293498 , 0.354444935353566 , 0.447291620472622 , -0.127690024217625 , -0.963648497685692 , 0.0590001253671236 , 0.084487952719899 , -0.226391451381118 , -0.451251143915852 , 0.620618088626064 , 1.21541623942282 , -0.403866852420826 , 0.237424264490283 , 0.81910727473886 , -0.0727336381019354, -0.558298245670938 , 0.125244789077339 , 0.81881583050759 , -0.0386545976599047, 1.02712913667923 , 0.146609103956008 , 0.0156032330119409 , -0.285764363330168 , -0.0272090319408027, 0.0141365343506673 , -0.627825743279274 , -0.316716752010023 , -0.296397409487228 , -0.132212558446661 , -0.83385604207894 , -0.189187529560745 , -0.368040774101342 , -1.08239465453032 , 0.225238221000472 , -0.108515243132507 , -0.639773198243902 , 0.319728035298152 , 0.22241116980186 , 0.113563255774798 , -0.924747299937555 , -0.129498947050872 , -0.579295365816304 , -0.763251149635599 , 0.295634136123823 , 0.349258230729555 , -0.205788077397986 | 0.7741681 |
| 67 | 50 | 0.0 | 0.0 | 1.0 | control , control , control , control , control , control , control , control , control , control , control , control , control , control , control , control , control , control , control , control , control , control , control , control , control , control , control , control , control , control , control , control , control , control , control , control , control , control , control , control , control , control , control , control , control , control , control , control , control , control , intervention , intervention , intervention , intervention , intervention , intervention , intervention , intervention , intervention , intervention , intervention , intervention , intervention , intervention , intervention , intervention , intervention , intervention , intervention , intervention , intervention , intervention , intervention , intervention , intervention , intervention , intervention , intervention , intervention , intervention , intervention , intervention , intervention , intervention , intervention , intervention , intervention , intervention , intervention , intervention , intervention , intervention , intervention , intervention , intervention , intervention , intervention , intervention , intervention , intervention , 1.78708768128842 , -1.24753233104009 , -0.360962276350701 , -1.40053483057262 , 2.11320719193435 , -1.12822024848219 , -0.205982284874825 , 0.395120092431648 , 0.154020111726487 , -1.20520586489991 , 0.551850057238727 , -0.906668169427293 , -0.880116359632318 , -1.04149585276209 , -0.714994052462355 , 1.44602913034583 , -0.53743363866744 , 0.210828904683214 , 1.4605852267637 , 0.488554788392007 , 0.525010627681393 , -2.03897999434623 , 0.510109000705635 , -0.295876083106945 , 2.21599298132077 , -0.371034074257813 , -0.902153687239371 , 0.594864637411689 , 0.0543995459465151 , -1.37318031998338 , 0.0959687492813088 , -0.000397752570050641, 0.0303780681375058 , 0.336191680173029 , -0.190337049454029 , -1.14373837499171 , 0.448643479414466 , -0.499080638469766 , 0.690391575503283 , 0.0500856941624469 , -0.245784321704033 , 0.192672733986399 , 0.469939947848156 , -0.837907867197397 , 0.694464581257885 , -0.357348681454364 , 1.65974348315377 , -0.439257929270823 , 0.783462164478648 , -1.17277823858637 , -0.990900479306082 , -0.0776714261036353 , 0.97551918915286 , 0.43656405983509 , 0.0712335576966551 , -0.0819931724247502 , -0.770997130613793 , 0.778637124218053 , -1.78451935021406 , 0.97263785753172 , 0.559104033292988 , 0.11087537169369 , -0.345482755296012 , 0.00724821560678742 , 0.661318275891233 , 1.75211228438593 , -0.318972983473833 , -0.750347536802032 , -0.0280274874485158 , -0.643148305501371 , 0.72810104248003 , -1.4155244846537 , 1.2599966745227 , -1.45968468233002 , -1.00933656714075 , 1.07782375061619 , -0.644697321578471 , -1.28945932279338 , 0.130051064612953 , -0.696859596109713 , -0.54693265228531 , -0.478999417036239 , -0.785431568133096 , -0.974191961155277 , -0.735050928882944 , 0.0248526118449533 , 0.867052168631906 , 1.00675172931654 , 0.286471136961287 , 0.648103533875702 , 0.431278138290786 , 1.23596879591586 , -1.18882267795871 , 1.72064860189538 , -0.167214133680379 , -1.30720190614451 , -0.041327636156805 , 1.21420171275188 , -0.0627077067145457 , 0.932840815894571 | 0.9281828 |
| 67 | 50 | 0.0 | 0.1 | 0.5 | control , control , control , control , control , control , control , control , control , control , control , control , control , control , control , control , control , control , control , control , control , control , control , control , control , control , control , control , control , control , control , control , control , control , control , control , control , control , control , control , control , control , control , control , control , control , control , control , control , control , intervention , intervention , intervention , intervention , intervention , intervention , intervention , intervention , intervention , intervention , intervention , intervention , intervention , intervention , intervention , intervention , intervention , intervention , intervention , intervention , intervention , intervention , intervention , intervention , intervention , intervention , intervention , intervention , intervention , intervention , intervention , intervention , intervention , intervention , intervention , intervention , intervention , intervention , intervention , intervention , intervention , intervention , intervention , intervention , intervention , intervention , intervention , intervention , intervention , intervention , 0.0401767742687389 , 0.0500260244067208 , 0.232594915914325 , 0.24678137603528 , -0.0955621610805207 , -0.632422816173541 , -0.102229840496735 , 0.593283950383404 , 0.0364263241712716 , -0.280686173876582 , -0.312542314513261 , -0.281342543859516 , 1.04652686063738 , 0.638171839679641 , -0.00242524979452134, -0.145272428378552 , 0.300494776260554 , 0.0294796771106041 , 0.486806596101622 , 0.719654490009351 , 1.58265559023329 , 0.402682042576489 , -0.760216898680397 , 1.1068529775909 , 0.0634148935533302 , -0.110964752048863 , 0.305901386850551 , -0.105563078621861 , 0.605738047604229 , 0.650623046076491 , 0.06538189040077 , -0.381447043465418 , -0.854167209979743 , 0.79296533014604 , 0.227325954166771 , 0.452612663694803 , -0.254641899715722 , 0.717508671837075 , -0.198761958630252 , -0.606406892501642 , 0.588086753962167 , 0.761997287817757 , 0.262974345312736 , 1.23742138650218 , -0.364144980568069 , 0.949853194657562 , -0.0961647378326024 , 0.0623600651811243 , 0.822432805908379 , -0.39501659842518 , -0.429365168118754 , 0.675592518605979 , -0.478525891469341 , -0.134923827534498 , 0.474031264944253 , 0.500392909858681 , 0.304053719818803 , 0.212737730479447 , 0.389248367799045 , -0.200061596122309 , -0.25767805126608 , 0.584239918192098 , -0.457684634509582 , -0.693760042974656 , 0.79180953337545 , -0.348800147620512 , 0.282257853132807 , 0.140706555592712 , 0.968091549043713 , 0.172507934768412 , -0.616364310210667 , 0.588371033760853 , 0.269541556751606 , -1.27074220092999 , -0.187274516017068 , -0.0378544044771662 , 0.0513804312538546 , -0.0582294754436587 , 0.219685272078653 , 0.12893060065042 , 0.197015251614591 , 0.194333358029808 , 0.858434038369977 , 0.0494669851257892 , -0.0183329641648491 , 0.0789132274012696 , 0.355667398807345 , 0.0026321147424447 , 0.117954670375573 , 0.940436040868989 , 0.12468881106093 , -0.46282626456482 , 0.595734960615958 , 0.817847462521769 , 0.234434293836802 , 0.624259779751024 , 0.123535231933877 , -0.180968974994975 , -0.170136116191095 , 0.0581443937083997 | 0.4238957 |
| 67 | 50 | 0.0 | 0.1 | 1.0 | control , control , control , control , control , control , control , control , control , control , control , control , control , control , control , control , control , control , control , control , control , control , control , control , control , control , control , control , control , control , control , control , control , control , control , control , control , control , control , control , control , control , control , control , control , control , control , control , control , control , intervention , intervention , intervention , intervention , intervention , intervention , intervention , intervention , intervention , intervention , intervention , intervention , intervention , intervention , intervention , intervention , intervention , intervention , intervention , intervention , intervention , intervention , intervention , intervention , intervention , intervention , intervention , intervention , intervention , intervention , intervention , intervention , intervention , intervention , intervention , intervention , intervention , intervention , intervention , intervention , intervention , intervention , intervention , intervention , intervention , intervention , intervention , intervention , intervention , intervention , 0.358392814909717 , -1.11426602897764 , -0.604883077127468 , 0.0613607995027925 , 1.2241903105508 , 1.45870656796148 , 0.772390648616601 , -1.04180986206328 , -1.30553791420885 , -0.63351395967711 , -0.0931162718080604 , -2.63700440275269 , -1.02787864060913 , 1.05565527316643 , 0.443756712673662 , 0.997693223276483 , 0.0234980524076155 , -0.63631162930146 , 0.00545491322532658 , 0.834375006266012 , -1.15815153381519 , 1.24154053339778 , -0.835126866318754 , -0.869920778888647 , -1.51577923443147 , -2.12241027753833 , -0.223753365471487 , 0.787685292578089 , 0.623838688076711 , 0.236125688561644 , 0.632318709341268 , 0.646520700167936 , 1.89661165047403 , 0.400962273658366 , 0.819994965274697 , -0.0106957803216011 , -0.235464958454841 , -0.258608015076344 , -0.888515866818881 , -0.184210175726036 , 0.648426347136287 , 0.553507448206014 , 1.48825633348037 , -0.00649943660441973, -0.903769821215043 , 0.619304169256132 , -1.39770176019124 , -0.437943017629995 , -1.89698222261951 , 0.22480954314224 , 2.31074172850275 , -0.796480593156653 , 0.567092043090624 , 0.630314698316768 , -0.792823213087794 , -0.66981816862706 , -0.158542512199226 , 0.242771408496008 , -0.0500774648530492 , -0.213618402618275 , -0.164022419646851 , 0.860984647824301 , -0.537021035102838 , -1.33873817810324 , 0.493066150214678 , -0.502989855119116 , 1.08155553055494 , -0.146947575001894 , 0.302317504215667 , -0.413913353021783 , 0.569575806193901 , 1.25249613785674 , -0.995726179384167 , -0.51137659691991 , 0.581579684673437 , 0.456834636026003 , 0.755064039633851 , 0.566929010459978 , -0.215164215482736 , -2.01494970809637 , 0.161875946902116 , 1.03780829320024 , -0.256249331608193 , -0.976487896999455 , 0.835604591047514 , -0.370549786138204 , -0.154615388022077 , -1.30349764605778 , 0.721467256669237 , 1.77125678901493 , -0.44141656798871 , -1.80660626367616 , 0.535859529749023 , -0.262410887635909 , -0.818118445589726 , 0.804714704314407 , 0.475880437217557 , -1.88800697785248 , -0.332511731760782 , 0.0637144228483803 | 0.7569111 |
| 67 | 50 | 0.5 | 0.0 | 0.5 | control , control , control , control , control , control , control , control , control , control , control , control , control , control , control , control , control , control , control , control , control , control , control , control , control , control , control , control , control , control , control , control , control , control , control , control , control , control , control , control , control , control , control , control , control , control , control , control , control , control , intervention , intervention , intervention , intervention , intervention , intervention , intervention , intervention , intervention , intervention , intervention , intervention , intervention , intervention , intervention , intervention , intervention , intervention , intervention , intervention , intervention , intervention , intervention , intervention , intervention , intervention , intervention , intervention , intervention , intervention , intervention , intervention , intervention , intervention , intervention , intervention , intervention , intervention , intervention , intervention , intervention , intervention , intervention , intervention , intervention , intervention , intervention , intervention , intervention , intervention , -0.509077503862929 , -0.153319611863182 , 0.920942958218848 , -0.577192700433193 , -0.28445538396322 , 0.360432971900953 , 0.358442881570763 , 0.59257031431077 , -0.266905893495646 , -0.525594321844329 , 0.41350907695155 , -0.215587921653292 , 0.931969877461421 , -0.640778449426027 , 0.111950589136069 , 0.168027360709881 , -0.484955373722452 , -0.30285958740667 , -0.13424467251274 , 0.180210534754088 , -0.260740474867549 , -0.109718337793192 , -0.24439923251702 , -0.311034780875942 , 0.149794569206523 , 0.421992466572926 , 1.19369049213471 , -0.260331786170462 , -0.617871407974845 , 0.730358591278105 , 0.557607902440165 , 0.369456247691665 , 0.191730833161539 , 1.52402809623531 , 0.145773216455565 , 0.869968345828412 , -0.319412059125111 , 0.384214415540423 , 0.877598570078887 , -0.351823002444802 , 0.454286378670156 , 0.425308337957751 , -0.400341341494921 , -0.0285106075609346, -0.549322696233924 , 0.418823285417895 , 0.771668247326926 , -0.197589971366878 , -0.227116895084648 , 0.176167238373287 , 0.702405682640221 , -0.17608535851535 , 0.937723835600619 , -0.225790673323393 , 0.420863707523434 , 0.513337502130016 , 0.75336355486716 , -0.426768036349592 , -0.0285835984487962, 0.383897251631414 , 0.554305470644977 , 0.224355804566294 , 1.08247879592885 , -0.0242042536226655, -0.450211497043249 , 0.523143215980951 , 0.606662171094205 , 0.61639055940362 , 1.48555900576188 , 0.775386247522327 , 0.347328729863523 , 0.435503212749878 , 0.380813751962637 , 0.283028393059609 , 1.59270330346978 , 0.235320300398336 , 0.332006379668829 , 0.368052432861366 , 0.455700239576363 , 0.554428764693481 , 1.26553970289649 , 0.0310025835582182 , 0.201213178729426 , 0.0978708543439131 , 0.137382931289857 , -0.233960754662022 , 0.407971768862399 , -0.496666585685139 , 0.71987948119443 , -0.498017394437751 , -0.0657199394609705, 0.612773137590161 , 0.255710479311126 , 0.221068684328205 , 0.486206276517628 , 0.645784871439356 , 0.670118337076876 , 0.426716728949842 , -0.196879442602316 , 0.450039622887876 | 0.0112959 |
| 67 | 50 | 0.5 | 0.0 | 1.0 | control , control , control , control , control , control , control , control , control , control , control , control , control , control , control , control , control , control , control , control , control , control , control , control , control , control , control , control , control , control , control , control , control , control , control , control , control , control , control , control , control , control , control , control , control , control , control , control , control , control , intervention , intervention , intervention , intervention , intervention , intervention , intervention , intervention , intervention , intervention , intervention , intervention , intervention , intervention , intervention , intervention , intervention , intervention , intervention , intervention , intervention , intervention , intervention , intervention , intervention , intervention , intervention , intervention , intervention , intervention , intervention , intervention , intervention , intervention , intervention , intervention , intervention , intervention , intervention , intervention , intervention , intervention , intervention , intervention , intervention , intervention , intervention , intervention , intervention , intervention , -0.747822914747763 , 2.32532282879907 , 0.565565077711895 , 0.85050403436785 , -0.583306425033677 , 0.0649403717232814 , -0.596719814182929 , 1.5838513560616 , 1.15128662935428 , 1.75160059102976 , 0.277654990259972 , -0.211334541945251 , 0.574007073451274 , -0.599052864179217 , -1.40157687050689 , -0.0842689314078037 , -1.00488555821173 , -0.741947842095944 , -1.74357082579951 , 0.237356095938461 , 0.315695345873551 , 1.10692840259873 , -0.636089945604113 , -1.14652315398787 , 0.515960988808725 , 0.407719490788298 , -1.23128835383824 , 0.349366845786891 , 0.163210317196649 , -0.366445960765684 , 0.379195253675408 , 0.765531252224918 , -0.395234804311544 , -1.16661310297897 , 0.268245018194262 , -0.559359708521692 , -0.939659198254378 , 1.34480262398834 , 0.367489567384131 , 0.249888121921764 , 1.00174579969455 , 0.334483502929945 , 1.5698693762146 , 0.265592400550454 , -0.628323705623606 , 1.00551367170047 , 2.58466610467281 , -0.561962600130734 , -0.927017315381279 , 0.239329926779523 , -0.741322183198265 , 0.152565679043592 , 2.04633735391294 , 1.80283475125721 , 1.4919571932727 , -0.799880743892482 , 0.664742359642086 , -0.201159265549211 , -0.834638110071867 , -0.754209194601237 , 2.48114737719277 , 0.394128650984298 , 1.34997955984995 , 0.749171292402417 , 2.30056771481992 , 2.36132875449336 , 0.561114170781224 , 1.27558137660023 , 1.57013413365748 , 0.0527127104241926 , -0.148301926962003 , 1.16027307235589 , -0.00286381319091766, 1.03205674993977 , -0.927712321191058 , 0.665708147353758 , 1.32969000823491 , 0.245859465276106 , 0.564032087695258 , 2.23375753626131 , -1.0745314973679 , -0.820720846825687 , 0.0912564944944862 , 1.33246661109751 , 1.15852964551644 , 0.0277741333724153 , 1.57545824716663 , 1.2278486859856 , 1.89401368058016 , 0.209625156456973 , -0.200597327736027 , 0.590037804406872 , 1.40932826700765 , 0.695292029329681 , -0.199595894642091 , 1.00337691126089 , -0.05322966452236 , 2.01562202083048 , 0.319351515486809 , 0.232749787009865 | 0.0057571 |
| 67 | 50 | 0.5 | 0.1 | 0.5 | control , control , control , control , control , control , control , control , control , control , control , control , control , control , control , control , control , control , control , control , control , control , control , control , control , control , control , control , control , control , control , control , control , control , control , control , control , control , control , control , control , control , control , control , control , control , control , control , control , control , intervention , intervention , intervention , intervention , intervention , intervention , intervention , intervention , intervention , intervention , intervention , intervention , intervention , intervention , intervention , intervention , intervention , intervention , intervention , intervention , intervention , intervention , intervention , intervention , intervention , intervention , intervention , intervention , intervention , intervention , intervention , intervention , intervention , intervention , intervention , intervention , intervention , intervention , intervention , intervention , intervention , intervention , intervention , intervention , intervention , intervention , intervention , intervention , intervention , intervention , 0.146132851882122 , 0.121292050236856 , -0.0698999037475677 , 1.06890126044532 , -0.422701057856812 , -0.185433161713042 , 0.329937035385732 , 0.286083968940468 , -0.0833693708314334 , 0.664366117071736 , -0.164222808067206 , 0.0982204519560773 , 0.572637534426402 , -0.0153997664354755 , 0.237405206211588 , 0.191931894177092 , 0.147166788402367 , 0.456608323865354 , 0.160871760457966 , -0.494598019348499 , -0.519346845620226 , 0.20234544475792 , 0.396589165076147 , -0.115079392987019 , -0.0114990932295165 , 0.129016180566914 , -0.056636396935451 , -0.397751720913853 , 0.448255887954337 , 0.386256158902515 , -0.549926287535898 , -0.362160411885118 , -0.110142089634887 , 0.581535261883463 , 0.883474328612496 , 0.355045815878115 , -0.00524149521483194, -0.540676924287015 , 0.898260864048538 , 0.920727700982764 , -0.0903850248220036 , -0.605276160313172 , -0.459192211742602 , 0.944869931109207 , 0.415264679840587 , -0.594197276352793 , -0.0340333589721914 , -0.0701742415292491 , -0.847934116027123 , 0.726800983450719 , 0.601901269519311 , 0.766318447111574 , 0.248007474463351 , -0.563032640718716 , 1.04972390312193 , -0.167427443175963 , 0.460137028233722 , 0.936869939827589 , -0.092360924197072 , 0.326765694638249 , 1.91288175933219 , 0.532495270435048 , 1.9703619183546 , 1.05992732886114 , 0.893804867888684 , 0.820388196405604 , 0.131742092108501 , 0.870360269489081 , 0.69928870504911 , 0.635104638274855 , 0.213357168923318 , 0.030818178326564 , 0.725391370340322 , 0.648097104458008 , 0.78319470544598 , 0.545562386054975 , 0.754009302267347 , -0.0092872176836094 , -0.219890311110562 , 0.606761509902569 , 0.2918903937225 , -0.142827407446694 , 0.0160710266736733 , -0.0637554912842114 , 0.634616265589833 , 0.64548026418528 , 0.124921725047471 , 0.854274198172685 , 0.805579250378105 , 0.344296253872237 , 0.483230730075061 , 1.71706218086126 , 0.150855044556783 , 0.00643956305307908 , 1.11317535670493 , 0.0795945293700487 , 0.316178531234251 , 1.15781705642939 , 0.168660406725782 , 0.498648313255952 | 0.0000335 |
| 67 | 50 | 0.5 | 0.1 | 1.0 | control , control , control , control , control , control , control , control , control , control , control , control , control , control , control , control , control , control , control , control , control , control , control , control , control , control , control , control , control , control , control , control , control , control , control , control , control , control , control , control , control , control , control , control , control , control , control , control , control , control , intervention , intervention , intervention , intervention , intervention , intervention , intervention , intervention , intervention , intervention , intervention , intervention , intervention , intervention , intervention , intervention , intervention , intervention , intervention , intervention , intervention , intervention , intervention , intervention , intervention , intervention , intervention , intervention , intervention , intervention , intervention , intervention , intervention , intervention , intervention , intervention , intervention , intervention , intervention , intervention , intervention , intervention , intervention , intervention , intervention , intervention , intervention , intervention , intervention , intervention , -0.519100790714397 , 0.220699170749304 , 0.835866599820247 , -1.18794017322191 , -0.0758332457037282, -0.0613441473903897, -0.663699288215106 , -0.169389197770338 , -0.0142550819999768, -0.704156138703749 , 0.586397758741047 , -3.25074062889549 , 0.492396777388975 , 0.344234721989477 , 1.05620547684645 , 0.3956165387147 , 0.535530966564821 , 0.315580732679063 , -1.02718871819765 , -0.908116910451101 , 0.616503889233474 , -1.39586250140964 , 1.57562886583687 , 0.0742770701378363 , 0.930973902329888 , -0.824937058985345 , 1.41629003721898 , -1.6396862905627 , -0.282576705477019 , 1.56516447511438 , 1.19256236113393 , -1.07967709698558 , 0.870603458043296 , -1.28099765378157 , 0.385476275557371 , -0.739938944241441 , 0.882196088577106 , 0.1630958635814 , -0.815720736810564 , -0.380064629397697 , 0.162516550457805 , -0.32182783097824 , 1.52601399047692 , -0.28762943226684 , 1.65755935088245 , 1.37318348101335 , 1.25334148410865 , -0.430196815227532 , -0.0414666898684971, -0.633784170202628 , -2.36549779944641 , 1.14457483329105 , 1.20504671865505 , 1.09973606733669 , 0.263756433355656 , -0.395502715316542 , 0.0850716094347432 , 0.579359823420939 , 0.562053851083414 , -0.705138276385038 , 0.399219410829601 , 1.98399981050683 , 1.39889169911254 , -2.5057349657005 , 1.17575026798742 , 0.607905845790294 , 0.955933858218162 , -0.267997428427803 , 1.2701791763966 , 0.8013879921859 , 0.208000756607291 , 0.331944318329343 , -1.22054517678494 , 1.52555677181145 , 0.638839895698023 , -0.317061219332121 , -0.70300546420228 , 0.0593107804318846 , 1.69153518724881 , 0.659433154128273 , -0.535002970272346 , 1.19306545119039 , 0.228392939058775 , 0.99708593533681 , -0.0871366770639015, 1.60820495966598 , 0.659142926692434 , 0.821482053623301 , -0.150042787652449 , -0.311899575496248 , -1.11543999477987 , -1.02517259723527 , 0.862679948108423 , 0.659298496528223 , -0.973386594902417 , 2.0377100574396 , -1.75867635311369 , -0.368164471958765 , 2.31915039292264 , 0.680205959734245 | 0.1708793 |
| 68 | 20 | 0.0 | 0.0 | 0.5 | control , control , control , control , control , control , control , control , control , control , control , control , control , control , control , control , control , control , control , control , intervention , intervention , intervention , intervention , intervention , intervention , intervention , intervention , intervention , intervention , intervention , intervention , intervention , intervention , intervention , intervention , intervention , intervention , intervention , intervention , 0.0898822106600768 , -0.189337180379681 , -0.243645796396789 , -0.0655398157571817, 0.384046846443195 , -0.0971735059217582, 0.340224231559473 , -0.708103758747593 , -0.42191672582116 , 0.060012754645036 , -0.282788596173431 , 0.933368350829979 , -0.383017785552066 , 1.02032971414802 , 0.510515606279421 , -0.42033402789031 , -0.931557549287834 , 0.121709157396499 , -0.255434216072002 , -0.330642590684926 , -0.223104459641998 , 0.407703282092131 , -0.0816189975332972, -0.347563518265889 , 0.00755920894338213, 0.702345435198403 , -0.611648768038492 , 0.138235257380439 , 0.322827665855875 , -0.353894975427611 , -0.617247690693521 , -0.368712228021754 , 0.219222074850864 , -0.564915491483767 , -0.0238586654263493, -0.396873889174538 , 0.0998576259823216 , 0.191747311727418 , -0.0596636817723322, 0.123809694422492 | 0.8372363 |
| 68 | 20 | 0.0 | 0.0 | 1.0 | control , control , control , control , control , control , control , control , control , control , control , control , control , control , control , control , control , control , control , control , intervention , intervention , intervention , intervention , intervention , intervention , intervention , intervention , intervention , intervention , intervention , intervention , intervention , intervention , intervention , intervention , intervention , intervention , intervention , intervention , -1.33176635781163 , -0.463474786367682 , -1.03287874858606 , -0.747993597315046 , 1.34398421796791 , 1.60066530446845 , 1.71565934375653 , -0.33900359975382 , -0.555368398933303 , 1.45008535587245 , 0.208444811450773 , -0.275724611875814 , 1.11318370176904 , -0.632486501166706 , -0.128455223967109 , -0.545139572368088 , 1.52768071126681 , -0.0117904678000024, -1.27916514101333 , -0.116806229643981 , 0.683614287330195 , -0.943511829228936 , 0.362767920654598 , -0.123074884086769 , -0.774712167008697 , -0.469183525617117 , 0.248161327153005 , -0.563301298100162 , -0.362271865258244 , 0.832762943239439 , 1.02832486672284 , 0.0921662340874887 , -0.071446734952353 , -0.336010681470206 , 0.37988909722472 , 0.0660504097172397 , -0.0652346369972343, 2.434852061704 , -1.82328972567086 , 0.175967692852612 | 0.9032120 |
| 68 | 20 | 0.0 | 0.1 | 0.5 | control , control , control , control , control , control , control , control , control , control , control , control , control , control , control , control , control , control , control , control , intervention , intervention , intervention , intervention , intervention , intervention , intervention , intervention , intervention , intervention , intervention , intervention , intervention , intervention , intervention , intervention , intervention , intervention , intervention , intervention , 0.165940811711102 , 0.761788066950777 , 0.791945787876651 , -0.537400677215206 , -0.182886939208001 , 0.172558513142715 , 0.814560077979432 , 0.126526537836079 , -0.659752561378291 , 0.0787091127829288 , 0.0290433820594939 , 0.920396728482712 , -0.15051279101717 , 0.786409529493736 , -0.375979752210313 , 1.12182218640795 , 0.0941154205655783 , -0.131685110178637 , 0.0686666476777894 , 0.484582866452629 , 0.273599556588784 , -0.277989627225585 , -0.203981902389999 , 0.0904959031656629 , -0.348453957448542 , 0.217563048310828 , -0.143804732843906 , 0.0667748286674009 , -0.182668534384132 , 0.310936633754944 , 1.06544540636106 , 0.604359090625756 , -0.199378709182214 , -0.548972056627848 , 0.0069254323193925 , 0.48658054844098 , 0.356164857338423 , 0.791493485919512 , -0.0504499979917888, -0.771548726326292 | 0.3557404 |
| 68 | 20 | 0.0 | 0.1 | 1.0 | control , control , control , control , control , control , control , control , control , control , control , control , control , control , control , control , control , control , control , control , intervention , intervention , intervention , intervention , intervention , intervention , intervention , intervention , intervention , intervention , intervention , intervention , intervention , intervention , intervention , intervention , intervention , intervention , intervention , intervention , -0.507254768236894 , -0.827062912518727 , 0.0898235485254468 , 0.606093707052725 , 0.11265883095235 , -1.61225889847321 , 0.449109336078803 , -0.655923894519305 , 0.914656979120371 , 0.791276182278989 , -1.99601063820199 , 0.911801078345631 , 0.456083145506655 , -0.427507520008105 , 1.64481530543127 , -0.3695085252174 , 0.116272141820479 , 1.53404834113136 , -1.64817023874782 , -0.928368084505057 , 1.29750347713004 , 0.190009284226097 , -0.0484588271225191, -1.74156935785548 , -0.159264234669656 , 1.06172094376852 , -2.10796058473561 , 0.079763783354876 , 0.442774053363796 , -0.51024959257006 , 0.917463636199802 , -0.707234990422688 , 2.94205815851037 , -1.1395393381271 , -1.29425107551607 , 1.56935603447785 , -0.0212924915973423, -1.01924630015654 , 0.0949806646643138 , -1.12665498633246 | 0.9927453 |
| 68 | 20 | 0.5 | 0.0 | 0.5 | control , control , control , control , control , control , control , control , control , control , control , control , control , control , control , control , control , control , control , control , intervention , intervention , intervention , intervention , intervention , intervention , intervention , intervention , intervention , intervention , intervention , intervention , intervention , intervention , intervention , intervention , intervention , intervention , intervention , intervention , 0.0184848996333869 , -0.0655894883754537, 0.550595569086237 , 0.423622357448077 , 0.451944336474979 , 0.0753061118610491 , -0.946083219710578 , -0.706053120679728 , -0.548952378161932 , -0.886428509514671 , 0.149139082222451 , -0.809338557477305 , 0.110009636620687 , 0.425170951385018 , 0.310496441029252 , -0.617840284668473 , -0.0226805245593917, 0.252435181792173 , 0.707894988957686 , 0.280249762121967 , 0.277386237739171 , 0.740322718079315 , 0.407375717708022 , 0.783074114954452 , 0.349918891816908 , 0.758660295145247 , 0.0868389732105734 , 0.287815133049188 , -0.329317015681331 , 0.410542928573409 , 0.482692107825087 , 0.329073142505701 , 0.580736477914065 , 1.72179740408973 , -0.114184042203762 , 0.453810454578848 , 0.482042830560916 , 0.181812075923288 , 0.033857140640862 , 0.855050506852029 | 0.0027899 |
| 68 | 20 | 0.5 | 0.0 | 1.0 | control , control , control , control , control , control , control , control , control , control , control , control , control , control , control , control , control , control , control , control , intervention , intervention , intervention , intervention , intervention , intervention , intervention , intervention , intervention , intervention , intervention , intervention , intervention , intervention , intervention , intervention , intervention , intervention , intervention , intervention , 0.108286253867737 , -0.34485699942418 , 0.186811669295992 , -1.0096472324842 , 2.17740873625995 , 1.34980460352531 , 0.957233795194757 , -0.0401582784709275, -0.412396194452492 , -0.593287597217988 , 0.382692713225409 , -0.159982098484141 , 0.170829744350732 , -0.639091606108282 , 0.815052246424746 , -0.357357031706156 , 0.0764235315232618 , -1.90640849213219 , 1.10341829894168 , -0.0602008782136953, 0.495494579837132 , 1.46900646395956 , -0.0864929217710358, 1.25591478630988 , 1.33874459385686 , 0.841409356261314 , 0.0725451323737095 , -1.76183006255765 , 1.50870916071953 , 0.266539336199482 , 1.65449789650989 , 0.326982762726214 , 0.79421660504476 , 0.344738698909163 , 0.856631301674699 , 0.655294651923823 , -1.02505956762796 , 0.551415994890637 , -2.22738386396891 , -1.20823319071843 | 0.4982498 |
| 68 | 20 | 0.5 | 0.1 | 0.5 | control , control , control , control , control , control , control , control , control , control , control , control , control , control , control , control , control , control , control , control , intervention , intervention , intervention , intervention , intervention , intervention , intervention , intervention , intervention , intervention , intervention , intervention , intervention , intervention , intervention , intervention , intervention , intervention , intervention , intervention , 0.0374724256320552 , -0.432905543699075 , 0.0451418749839804 , -0.178560391650768 , 0.524294085936202 , -0.00463254029013981, 0.353147688693344 , -0.363911808951566 , 0.21766714545775 , -0.193579091533704 , 0.506565582057104 , 0.74788033583594 , -0.398089113218625 , 0.255218206853482 , -0.56214163595604 , 0.0905257555401034 , 0.339740955621133 , -0.373011656207841 , 0.282612210735585 , -0.236064807556225 , 0.170152137244192 , 0.873536083917924 , 0.703042959061001 , 0.572433086405026 , 0.712029470182978 , 0.952865940466116 , 1.5874006764739 , 0.922271341674862 , 0.679071881678148 , -0.230993546918321 , 0.640995812393264 , 0.459813486707999 , 0.436901718983861 , 0.1508186576917 , -0.255677148997311 , 0.871201861502459 , 0.542294639688453 , 0.73170355963694 , -0.0798253941921714 , 0.811774204338602 | 0.0002031 |
| 68 | 20 | 0.5 | 0.1 | 1.0 | control , control , control , control , control , control , control , control , control , control , control , control , control , control , control , control , control , control , control , control , intervention , intervention , intervention , intervention , intervention , intervention , intervention , intervention , intervention , intervention , intervention , intervention , intervention , intervention , intervention , intervention , intervention , intervention , intervention , intervention , 1.02125215381643 , 2.37045145456671 , -0.951679845589386 , -0.553692345065871 , 0.0865710772642352 , -0.612641487602507 , 0.376191321403148 , -0.753902732597941 , 0.254706807264645 , -0.2549551663929 , 1.42183390267995 , -0.0827009684185305 , 1.1761478414531 , 1.38871503093779 , 0.676165872136206 , 0.308592875876456 , 0.565483161425169 , -1.5310969073814 , 0.178745892728379 , 2.19233332427031 , 2.69719091605915 , -0.487527643243921 , 0.970107573379019 , -0.0970698527761505 , 2.17006707891432 , 0.311258441726148 , 0.846646464306793 , 0.476639087933723 , 0.368816038918039 , -0.00378880993510344, -0.315233390863737 , 2.66344671971629 , 0.180444726304015 , 2.23364086981591 , 1.87732244567848 , -1.23260639919399 , 1.2954836583906 , 0.888553280500905 , -0.0287365406660671 , -0.0889862443920238 | 0.2756340 |
| 68 | 50 | 0.0 | 0.0 | 0.5 | control , control , control , control , control , control , control , control , control , control , control , control , control , control , control , control , control , control , control , control , control , control , control , control , control , control , control , control , control , control , control , control , control , control , control , control , control , control , control , control , control , control , control , control , control , control , control , control , control , control , intervention , intervention , intervention , intervention , intervention , intervention , intervention , intervention , intervention , intervention , intervention , intervention , intervention , intervention , intervention , intervention , intervention , intervention , intervention , intervention , intervention , intervention , intervention , intervention , intervention , intervention , intervention , intervention , intervention , intervention , intervention , intervention , intervention , intervention , intervention , intervention , intervention , intervention , intervention , intervention , intervention , intervention , intervention , intervention , intervention , intervention , intervention , intervention , intervention , intervention , 0.0278113220356211 , -0.900939986290274 , 0.297418087701863 , -1.10126521137537 , 0.092421179526254 , 0.731348358236108 , 0.599301674814824 , 0.224893914996833 , 0.0719308205938965 , 0.204733948558913 , 0.0817334484473506 , -0.200371141885166 , 0.737118746317163 , 0.746864010038328 , -0.380414808145689 , 0.21225490823395 , -0.57194603403945 , -0.115204892606108 , -0.137429497133512 , 0.275131053255559 , 0.536456612082018 , 0.878554394755228 , 0.600369433812827 , -1.09616165795972 , -0.0815507595437932, -0.132761972191721 , -0.28218504517063 , 0.0987429349642585 , -0.226519114936591 , 0.230585342633274 , 0.496403892433707 , -0.545070938843988 , 0.278836376559773 , -0.416033295144324 , -0.307281999996457 , -0.864670692864699 , 0.568525441588633 , 0.158187277508843 , -0.350958907578735 , 0.158658195424681 , -1.17683046334973 , 0.821372144478957 , -0.828524583383365 , -0.369830988001355 , -0.172602949864354 , -0.272634352185115 , 0.915332504214701 , -0.460126292193336 , 0.0307172403914277 , 0.188740855413211 , -0.73803197743317 , 0.182815723222996 , 0.443190042238594 , 0.433875261228929 , 0.293254772293546 , 0.39217444902531 , 0.198202186251977 , -0.212422992703214 , 0.188146066612824 , -0.656803769320766 , 0.489247728724725 , -0.228028620937907 , -0.505083262514158 , -0.531633542315936 , 0.879820635503761 , 0.549160154408171 , -0.16669633741973 , -0.218817911543876 , -0.811205065636167 , 0.173144227717024 , 0.087993488694197 , 0.190163742663622 , 0.743394623113163 , 0.149892068155528 , -0.612831851257991 , 0.267091561342623 , 0.0574426386724215 , -0.724322471046075 , -0.0693766399899451, 0.393959950228346 , 0.176847500463224 , -0.113684279289221 , 0.287376002011071 , 0.486228051558239 , -0.115307584436937 , 0.39265197125682 , 0.221067314025672 , -0.656381258514766 , 0.0896300056813922 , -0.647795944480622 , 0.486690261808421 , 0.248352767536736 , 1.43210463121906 , 0.781123319091605 , -0.539590158295377 , 0.271929994038633 , -0.258601252185525 , -0.407074136562825 , 0.0355348446809968 , 0.385131694648038 | 0.4398071 |
| 68 | 50 | 0.0 | 0.0 | 1.0 | control , control , control , control , control , control , control , control , control , control , control , control , control , control , control , control , control , control , control , control , control , control , control , control , control , control , control , control , control , control , control , control , control , control , control , control , control , control , control , control , control , control , control , control , control , control , control , control , control , control , intervention , intervention , intervention , intervention , intervention , intervention , intervention , intervention , intervention , intervention , intervention , intervention , intervention , intervention , intervention , intervention , intervention , intervention , intervention , intervention , intervention , intervention , intervention , intervention , intervention , intervention , intervention , intervention , intervention , intervention , intervention , intervention , intervention , intervention , intervention , intervention , intervention , intervention , intervention , intervention , intervention , intervention , intervention , intervention , intervention , intervention , intervention , intervention , intervention , intervention , -0.232356461786452 , 0.0755989386605232 , -0.827952577303802 , 0.765363236336218 , 0.182385922843577 , -0.956846554254344 , 0.0553576790166324 , -0.00420872792077424, -0.427321386824025 , -0.0343193349790723 , 0.87547559743744 , -0.58295591823259 , 1.51764680086704 , -1.50995063719853 , -0.866474329518996 , -1.16566712394806 , 0.37270889522948 , 2.13853410567531 , -0.435389100318748 , -1.89860736348323 , -0.319975623486981 , -1.52950796141482 , -0.815763889009076 , -0.789094496401534 , 0.398098793229536 , 0.259110973776402 , 0.0237138274428582 , -0.645115623254724 , -0.504309788314268 , 1.52466244597571 , 1.08378293579832 , -0.494419050728405 , 0.904042752612164 , -0.57783487724512 , 0.849912387375715 , -1.71875089872629 , 1.2050910272092 , 0.850643528420422 , -0.993829915060999 , 1.3802036869677 , -1.32436800374687 , 0.701995521891396 , -1.39445478844573 , 0.777610830112142 , -0.95580928550321 , 0.826324539375095 , -1.55345242296812 , -0.791508157850891 , 1.62027247449887 , 0.47584833991394 , 0.706704411352653 , 0.800531876163307 , -1.01542429203487 , 1.63510618301555 , -1.4146767460801 , -0.230313935995934 , -0.870614750144259 , -0.491817538622864 , 0.431563147505448 , -0.365299226832307 , -0.281495336750592 , 0.721104438878564 , -0.0187461021204579 , 0.184685548724961 , 0.720700564672581 , 1.19725445856625 , 0.754281533004696 , 0.730610833378302 , 0.138055940382133 , 0.0998142196740162 , 2.57969954982114 , 0.5348448367326 , 0.659122274631435 , -0.0673876154963718 , 1.02020836527912 , 0.903349609613429 , -1.10406014807273 , 0.526926505199102 , 2.0136861436962 , -2.25569517916402 , 0.27315292881876 , 0.798940580126656 , 0.247283094724228 , 1.90055050639253 , 0.905148040028828 , 0.309112074778282 , -0.892738700631592 , -0.896245995088737 , -1.65968598773888 , 1.43701472737268 , 0.916112173331219 , -0.654624106528152 , -0.915136388003634 , -0.0450260139755608 , -1.14468395261566 , -0.412145312579734 , -0.659277794393177 , -0.263447143871731 , 0.619392865150344 , -0.916026039130222 | 0.2427472 |
| 68 | 50 | 0.0 | 0.1 | 0.5 | control , control , control , control , control , control , control , control , control , control , control , control , control , control , control , control , control , control , control , control , control , control , control , control , control , control , control , control , control , control , control , control , control , control , control , control , control , control , control , control , control , control , control , control , control , control , control , control , control , control , intervention , intervention , intervention , intervention , intervention , intervention , intervention , intervention , intervention , intervention , intervention , intervention , intervention , intervention , intervention , intervention , intervention , intervention , intervention , intervention , intervention , intervention , intervention , intervention , intervention , intervention , intervention , intervention , intervention , intervention , intervention , intervention , intervention , intervention , intervention , intervention , intervention , intervention , intervention , intervention , intervention , intervention , intervention , intervention , intervention , intervention , intervention , intervention , intervention , intervention , -0.515199169044802 , -1.1499663920503 , -0.514734068684048 , 0.426073001353351 , 0.748518204892216 , -0.944841833714417 , -0.624057524514837 , -0.446444859665263 , -0.7668272813089 , 0.40314603669276 , 0.244275556554266 , 0.724714843737644 , -0.604124719670695 , 0.72563083011386 , 0.562375518359969 , 0.942397153277994 , -0.292560472185637 , -0.9542342230721 , -0.681683422331937 , -0.453835592162913 , 0.0168287521041214 , -1.05165489852522 , -0.207567326365586 , -0.234036349980898 , -0.0623334331770494, 0.199864000475371 , 0.55811255122182 , 0.121018687834693 , -0.0534177526314515, -0.0561240336806232, 0.525690566481391 , 0.368161218498471 , 0.483333916494036 , -0.835832268939126 , 0.655767947194719 , -0.627849697280368 , 0.32346270141805 , 0.201985160025346 , 0.827404729335629 , -1.01905868787164 , 0.414190480571275 , -0.212773044871847 , -0.638190195863247 , -0.390548645622033 , -0.45898655711257 , 0.204766295736259 , 0.533934846684798 , -0.210913462347224 , -0.307044627705841 , 0.0655566113043251 , 0.43982100281882 , 0.268365787081448 , 0.630183985556026 , -0.519652332886427 , 0.093913660260967 , 0.560696689167154 , 0.606560088268762 , -0.78254048475535 , -0.52505722789587 , 0.378715276441025 , 0.392190684300858 , 0.159699946124774 , -0.309868142200164 , -0.023264110202741 , 0.585374647932919 , 1.35776071624536 , 0.814644454203564 , -0.365524588762043 , 0.684443464312268 , 0.37246957562484 , 0.370724239070975 , 0.0896760353435071 , -0.711468784889449 , 0.448938475430475 , -0.309268468999737 , 0.269595851788577 , 0.174973553755878 , 0.477641009467985 , -0.0034354519380354, 0.171240368077239 , -0.074426484519297 , 1.19625106762261 , -0.0686881516368339, 0.137552053515322 , 1.29096359495616 , -0.0329613532271862, -0.0398549549058342, -0.123541820046854 , 0.331392625101884 , 0.450470185071443 , -0.638269081487805 , 0.117199936231012 , 0.537492132645777 , 1.10731175862065 , -0.48257661731889 , -0.373700989282141 , 0.841676060457397 , -0.324679679816515 , 0.67615083994748 , 0.47177626535177 | 0.0072576 |
| 68 | 50 | 0.0 | 0.1 | 1.0 | control , control , control , control , control , control , control , control , control , control , control , control , control , control , control , control , control , control , control , control , control , control , control , control , control , control , control , control , control , control , control , control , control , control , control , control , control , control , control , control , control , control , control , control , control , control , control , control , control , control , intervention , intervention , intervention , intervention , intervention , intervention , intervention , intervention , intervention , intervention , intervention , intervention , intervention , intervention , intervention , intervention , intervention , intervention , intervention , intervention , intervention , intervention , intervention , intervention , intervention , intervention , intervention , intervention , intervention , intervention , intervention , intervention , intervention , intervention , intervention , intervention , intervention , intervention , intervention , intervention , intervention , intervention , intervention , intervention , intervention , intervention , intervention , intervention , intervention , intervention , -0.276026730323648 , 1.19091037158478 , 2.21912111890713 , 0.176529749740136 , 1.18241702925455 , 0.827316567058173 , -0.350597292016056 , -1.47254318800447 , -0.901482334290079 , 0.177958560043855 , -0.0187758781204474 , 0.344260610803498 , 0.1436863161247 , 1.05893145173809 , 1.66886730464774 , 0.710972646030947 , 0.642777225171518 , 0.851528188583772 , -0.694397733276409 , -0.164797593343618 , -1.74829193915087 , -0.344911079288684 , -0.413858622951379 , -0.142022630877798 , -0.445721179601309 , 0.290692031254486 , 0.411535483156328 , -0.277437500100762 , -1.25884040664674 , -1.04723311243895 , 1.05069371863206 , 0.797202067634734 , 2.73844031517368 , 0.615483314881371 , 0.989881256217158 , 1.27186353454348 , 1.13355298331274 , -1.25210723313067 , 0.553442029287941 , 1.18527284831152 , 2.32260020015415 , -0.480880888993023 , 0.614128332885592 , 1.98573154704072 , 0.224969201445468 , 1.50617525764494 , 1.12635039908289 , -1.67245014302445 , 0.0575560030108661 , 0.128393750579996 , 1.3504059516429 , 1.21912366181533 , 0.546666053751944 , 0.956830264478815 , -1.94670056649166 , -2.14787498304805 , -0.342525204476238 , 1.09979294693282 , 0.872170129856041 , 0.796688668285344 , 1.52673820641929 , 0.431810244997572 , -0.0390042112806018 , 0.413801441933447 , 2.15584597883354 , 0.93152471446105 , 0.693450756558075 , -0.638825735904143 , 0.375467491605334 , -0.388112892567852 , 0.395842244092259 , 0.472554917198651 , 0.144774482852273 , -1.29370105684962 , 0.852065232063431 , 1.17604211200116 , 0.819431609519501 , 1.43406322582748 , -1.01864690384478 , -0.438831328408363 , 0.604766150221871 , -0.825374465642697 , -0.877051118673948 , 0.54768419124549 , 0.720611568611495 , 1.30041353676012 , 0.634073486895897 , -0.980592932126249 , -0.152799808950537 , 1.76476261843559 , -1.2595496512822 , 1.57759730250908 , 0.330961778276439 , 2.11339960880504 , -1.0875083651557 , 0.667167694225882 , -0.00372518661682314, 1.65077121349297 , 0.230614984302677 , 1.39853152478235 | 0.8809653 |
| 68 | 50 | 0.5 | 0.0 | 0.5 | control , control , control , control , control , control , control , control , control , control , control , control , control , control , control , control , control , control , control , control , control , control , control , control , control , control , control , control , control , control , control , control , control , control , control , control , control , control , control , control , control , control , control , control , control , control , control , control , control , control , intervention , intervention , intervention , intervention , intervention , intervention , intervention , intervention , intervention , intervention , intervention , intervention , intervention , intervention , intervention , intervention , intervention , intervention , intervention , intervention , intervention , intervention , intervention , intervention , intervention , intervention , intervention , intervention , intervention , intervention , intervention , intervention , intervention , intervention , intervention , intervention , intervention , intervention , intervention , intervention , intervention , intervention , intervention , intervention , intervention , intervention , intervention , intervention , intervention , intervention , 0.11068090974166 , 0.079147501145421 , 0.216018164358091 , -0.175453832613474 , -0.194644538058436 , 0.335400095169886 , -0.541188100701064 , 0.285531518198024 , 0.621800327430666 , -0.542450340790567 , -0.211870780876858 , -0.516526590739065 , -0.438571251405849 , -0.264446754650724 , -0.178884396850721 , 0.521676812063783 , 0.381516985376581 , -0.74823119843816 , -0.0772815785139233 , 0.509087105016403 , -0.181638940099466 , -0.138498231806503 , -0.0462049288242923 , -0.237109321821207 , -1.44647605402356 , -0.625920681286773 , 0.0426145154353784 , -0.71495453294987 , 0.580798763723313 , -0.464153030484052 , 0.109377371011622 , -0.168914536680206 , 0.758177198713841 , 0.335338147579323 , -0.0786212722173846 , -0.149287117841276 , 0.555202848597284 , -0.488712005990374 , -0.238556296099312 , 0.492744097794762 , -0.190903663707125 , 0.608987124116176 , -0.0233244003733373 , 0.509611121025796 , 0.147430154955627 , -0.295506497344451 , -0.245166453539041 , 0.0553121083568 , 1.16847838405615 , -0.0177710307669604 , 0.0885726590026606 , 0.411758993381237 , 0.133741055148519 , 1.27276652158818 , 0.806598023688693 , -0.217816758597768 , 0.230271949926518 , 0.398106877204508 , 0.562686663099008 , 1.43290650026693 , 0.252782631560383 , 0.337043701775667 , -0.280149421655633 , -0.0707327378323641 , 0.574757795133675 , 0.54348621524726 , 0.94899686100447 , 0.864008701580248 , -0.00126572726080854, 1.26785306207814 , 0.387351562635994 , 1.00423768000673 , -0.114423950290761 , 0.169498499144834 , 1.09314690899443 , 0.598297652143013 , 0.792385742037653 , 1.02797001879164 , -0.480647143227896 , 0.882976841551465 , 0.892133462672983 , 0.752806209039878 , 0.408442627076166 , 0.544898143612216 , 0.335954642132731 , 1.07392295891744 , 0.244564548568112 , 1.3628703925289 , 1.39679121348224 , 1.21806185191092 , -0.359202218138363 , 0.179533365513665 , 1.01481171406112 , 0.258303916796701 , 0.499783529706996 , 0.000590697026706111, 1.25676836235496 , 0.0410886662776614 , 0.131813448894719 , 0.0144249638855417 | 0.0000002 |
| 68 | 50 | 0.5 | 0.0 | 1.0 | control , control , control , control , control , control , control , control , control , control , control , control , control , control , control , control , control , control , control , control , control , control , control , control , control , control , control , control , control , control , control , control , control , control , control , control , control , control , control , control , control , control , control , control , control , control , control , control , control , control , intervention , intervention , intervention , intervention , intervention , intervention , intervention , intervention , intervention , intervention , intervention , intervention , intervention , intervention , intervention , intervention , intervention , intervention , intervention , intervention , intervention , intervention , intervention , intervention , intervention , intervention , intervention , intervention , intervention , intervention , intervention , intervention , intervention , intervention , intervention , intervention , intervention , intervention , intervention , intervention , intervention , intervention , intervention , intervention , intervention , intervention , intervention , intervention , intervention , intervention , 0.146198123546623 , -0.576237480823377 , 0.811572753271434 , 0.563389880009375 , -0.791039963042833 , -0.293122834966161 , -0.328714892535495 , 1.25955635337229 , -1.66373930211531 , 0.164105007595592 , 0.307690098520371 , -1.52929035916336 , -0.278996039607492 , -1.238397789805 , 1.20297895866865 , 1.009526526934 , -0.78048618398044 , 0.138369609263441 , -0.94423006539115 , -1.31040645953793 , 0.474812814224348 , 1.10941984446901 , 0.175852485256295 , -0.113391703410814 , 1.36556051141728 , -0.136483129995824 , -0.0652761358906748, 0.577845030492167 , 0.890859885121262 , -0.517878517550344 , 2.48967579093111 , 0.383676435091509 , 0.117350027358249 , 1.82494496275522 , -1.17851058564509 , -0.746529028585698 , 0.566313483129002 , 0.694177426387708 , -0.538111660290592 , 0.256353291586558 , -0.375912125443039 , -0.574633061675514 , -1.00396692406334 , -1.59290162001076 , -0.51001487393123 , 0.68978741304272 , 0.416417934549019 , 0.634082719384155 , 0.977286459439261 , 1.33884989550555 , 0.930747231745707 , 1.39606390712336 , 0.561116266766153 , 1.86648525808722 , 1.35921813098693 , -0.123571989790391 , 0.719988503137725 , 2.02552283770444 , 1.25417255261934 , -0.694216509357106 , -0.683287980233754 , 1.38666817136222 , 0.800678247980157 , 0.684620248304676 , 0.435160709333033 , 0.0768117403104002 , 0.754579030127075 , -0.976042641347321 , 1.09537604118803 , 0.92261955137328 , 0.107226384831628 , -0.0907902025568958, 1.30504888737166 , 1.46120317204314 , -1.15689008890609 , -0.186036124838674 , 1.87663171074341 , 2.09818293681152 , -0.607411964082709 , 0.756875350057003 , 0.640271215320272 , -0.317005367330541 , 1.69160386048331 , 1.3636422719094 , 1.0625376503719 , 1.33285385452348 , 0.887587472235036 , 2.46784968723243 , 1.30988594260684 , -1.20533050381295 , -0.185001502947571 , -0.302325302893169 , 1.25803713742753 , 0.292185029329509 , 0.285924701835023 , 1.08671330808203 , 1.29486941421357 , -1.04580209517961 , 2.10525423576999 , 0.283427996429193 | 0.0015471 |
| 68 | 50 | 0.5 | 0.1 | 0.5 | control , control , control , control , control , control , control , control , control , control , control , control , control , control , control , control , control , control , control , control , control , control , control , control , control , control , control , control , control , control , control , control , control , control , control , control , control , control , control , control , control , control , control , control , control , control , control , control , control , control , intervention , intervention , intervention , intervention , intervention , intervention , intervention , intervention , intervention , intervention , intervention , intervention , intervention , intervention , intervention , intervention , intervention , intervention , intervention , intervention , intervention , intervention , intervention , intervention , intervention , intervention , intervention , intervention , intervention , intervention , intervention , intervention , intervention , intervention , intervention , intervention , intervention , intervention , intervention , intervention , intervention , intervention , intervention , intervention , intervention , intervention , intervention , intervention , intervention , intervention , 0.539419344113689 , -0.16808862268863 , 0.938509786558859 , 0.336389848369914 , 0.30107611898359 , -0.0496353654585054 , -0.0452646783500302 , 0.592539533813366 , 0.827143421044442 , 0.263508946879543 , -0.321395249858079 , 0.391492675214991 , 0.096972613208275 , 0.602266808880528 , 0.266119992301975 , 0.266836137316965 , 0.480251893883968 , -0.684591675528299 , -0.172254870207285 , 0.980785871013364 , -0.0798739734504215 , 0.524662447640174 , 0.429080733848109 , -0.339564675294142 , 0.746984110619408 , 0.0247106155247556 , 1.08277059028703 , -0.13458137008583 , 0.342190033446905 , 0.667852533745258 , 0.559234794237043 , 0.243152184190684 , -0.647945356745182 , -0.282326778521951 , 0.0967826867776559 , -0.217799606540466 , 0.933780407702517 , -0.701053086370609 , 0.269941617661012 , 0.604230828903676 , 0.214461079654965 , 0.102806701167916 , -0.538091227389182 , -0.205183317262745 , 0.0832351226957956 , 0.652169209192215 , 0.325029694624945 , 0.882864615124041 , 0.928457274997736 , -0.162390239353161 , -0.047997619134221 , -0.571296209219732 , 1.35733754729902 , 0.543889645616305 , -0.503673389562091 , 0.328977475820461 , 0.477576008450184 , 1.01837481530636 , -0.159091862813433 , 0.944362916038084 , 0.210877837875076 , 0.541152906227731 , -0.0534057190834055 , 0.741337100732582 , 0.344825232995651 , 1.10747326073667 , 0.738704699960066 , 1.17308742217679 , 0.101797688012256 , 0.470248186157831 , 1.4705164421024 , 1.04258129373234 , 0.0499624107321435 , 0.389414031987591 , 1.42944899193528 , 1.19645743479462 , 0.432157548031047 , -0.38600408559298 , 0.0545390836519697 , 0.444055400660304 , 0.126894896961709 , 1.23435860470962 , 0.805915850278884 , -0.422317116674976 , 1.16590648451659 , 0.993077576880144 , 0.847415163610677 , 1.01443972761729 , 0.72896955847309 , 0.461785101100109 , 0.254513276539582 , -0.00342301403629042, 0.695763193381446 , 0.338856907609128 , 0.999684596363303 , 1.27665845979384 , 0.255922871736318 , 0.891080585452679 , 0.710539432943413 , 0.225793960319247 | 0.0020928 |
| 68 | 50 | 0.5 | 0.1 | 1.0 | control , control , control , control , control , control , control , control , control , control , control , control , control , control , control , control , control , control , control , control , control , control , control , control , control , control , control , control , control , control , control , control , control , control , control , control , control , control , control , control , control , control , control , control , control , control , control , control , control , control , intervention , intervention , intervention , intervention , intervention , intervention , intervention , intervention , intervention , intervention , intervention , intervention , intervention , intervention , intervention , intervention , intervention , intervention , intervention , intervention , intervention , intervention , intervention , intervention , intervention , intervention , intervention , intervention , intervention , intervention , intervention , intervention , intervention , intervention , intervention , intervention , intervention , intervention , intervention , intervention , intervention , intervention , intervention , intervention , intervention , intervention , intervention , intervention , intervention , intervention , -0.290129300773923 , 0.88557132133931 , -0.111901947021368 , 0.582156383270633 , 0.98101021378697 , -1.09914439444803 , -0.591082923833345 , -0.782488586059552 , -0.150883982287227 , 0.341986323297576 , 0.904875867302991 , -1.1199347167818 , 1.26581702356122 , 0.23651440730306 , -0.540774132810708 , -1.28555501974631 , -1.09991184722489 , -0.914933188246125 , -2.29583537451811 , -0.370720368385935 , -0.053514961973818 , -0.791075078662121 , -0.431214205753023 , 0.623555664899623 , 0.05651474260019 , 1.51896596464416 , -2.22489142022666 , -0.838866194101013 , -0.473594132381633 , -0.144492465574819 , 1.10305594598006 , -0.496377200502462 , -0.588503202861291 , -1.35288289997911 , -1.7507555745259 , -0.831564669332722 , -0.445436190071148 , 0.820448737211245 , 0.497283936795467 , 0.6179943289056 , 0.886651073915841 , 0.110916044229086 , 0.139858126748464 , -2.8906899537077 , 1.13165428272218 , 0.350485955201166 , 0.533163982402137 , -1.38862578766838 , -0.433334992093587 , -0.792530781730833 , -1.20498737354429 , 0.854046652770807 , 1.32278747280557 , -0.559772146987195 , 0.974923379931154 , 1.39512624697507 , 0.566875240291424 , 0.388523085414568 , 1.65690582312342 , 1.37698957001666 , 0.123977231103626 , 2.1249444572974 , 0.526274517230023 , -0.61302637581983 , 2.62305571002486 , -0.163317553047633 , 1.45414525136125 , 0.138689168454383 , -1.16481747890078 , 0.867002890759237 , -0.339222364166156 , 0.695423020018351 , 2.16769668485328 , 2.0971682059215 , 2.06181824080942 , 0.218712127529307 , 1.21733516922128 , 0.572208248096385 , 1.8527739442083 , 1.17137242255403 , 1.62095291517245 , 0.75721312434233 , 0.906305337720781 , -0.0985370900358574, 0.152607645560114 , -0.218028711990574 , 1.5837542153342 , 1.68394263482284 , 1.54809232507456 , 0.709464169790619 , -0.764101706425343 , 0.340364405281594 , 0.69770136900059 , 0.751551969487479 , 0.0694877192398611 , 2.06848406484049 , -0.884338424448089 , 0.440050143554007 , 1.64370071785707 , 0.486143690122107 | 0.0000006 |
| 69 | 20 | 0.0 | 0.0 | 0.5 | control , control , control , control , control , control , control , control , control , control , control , control , control , control , control , control , control , control , control , control , intervention , intervention , intervention , intervention , intervention , intervention , intervention , intervention , intervention , intervention , intervention , intervention , intervention , intervention , intervention , intervention , intervention , intervention , intervention , intervention , -0.715746145561367 , 0.0447651121097833 , -0.180950263278821 , 0.592041975984002 , 0.0648303134101433 , 0.235735685176374 , -0.696510807230959 , -0.0802103783739862, 0.631770802025136 , -0.0465243693097039, -0.558274126166866 , 0.22835826047667 , 0.200114884322386 , -0.365294643086616 , -0.525544691755343 , -0.293239533815887 , -0.101267996109875 , -0.233844859797898 , 0.610846351482499 , -0.306462937232062 , 1.00084075408941 , 0.19925466740717 , -0.454633933518796 , -0.289361859262963 , 0.413639207363804 , -0.661123426432385 , -0.17384019293459 , -0.322436492008205 , 0.48562336021431 , -0.971543448008413 , -0.592342563177317 , -0.551473306409349 , 0.606842046357633 , 0.156256849340962 , -0.0806878704391078, -0.688877193869512 , -0.263764100218855 , -0.0103686585006962, 0.0212677735396177 , -0.826153900578381 | 0.6120205 |
| 69 | 20 | 0.0 | 0.0 | 1.0 | control , control , control , control , control , control , control , control , control , control , control , control , control , control , control , control , control , control , control , control , intervention , intervention , intervention , intervention , intervention , intervention , intervention , intervention , intervention , intervention , intervention , intervention , intervention , intervention , intervention , intervention , intervention , intervention , intervention , intervention , -0.123885770906112 , -0.293298300040853 , 0.527987476193455 , 2.18417003457183 , -2.35540743762321 , -0.367706280369782 , -0.64012255919846 , 1.4020355069054 , -0.0687940719319947, -1.00702152678105 , 0.415377837249694 , 0.998337450952859 , 0.567429509731364 , 0.140228393417071 , 0.402906730101042 , -1.01946299233953 , 0.32562162912801 , 1.7796837311536 , -0.658541155560605 , -0.204698637481371 , -1.66944117423575 , 0.336084466820416 , 1.01048564280768 , 0.418665992845829 , -0.477258326951361 , 0.0568877287563497 , -0.316395594224385 , -0.875400344801025 , 0.0886939350777797 , 1.07667594919202 , 1.04166291003053 , -1.13176982414948 , 0.21887991827252 , -2.54356487490838 , 0.660683308839843 , -1.35781485542135 , 4.07094583572292 , 1.415335906387 , -0.215817522078475 , -2.86168438746629 | 0.7130884 |
| 69 | 20 | 0.0 | 0.1 | 0.5 | control , control , control , control , control , control , control , control , control , control , control , control , control , control , control , control , control , control , control , control , intervention , intervention , intervention , intervention , intervention , intervention , intervention , intervention , intervention , intervention , intervention , intervention , intervention , intervention , intervention , intervention , intervention , intervention , intervention , intervention , -0.34233801437097 , -0.105517970539961 , -0.146040067386778 , 0.0260130359496364 , 0.10950756467106 , 1.18468328499959 , -0.669608776172634 , 0.861277581185925 , 0.078997340939455 , -0.39614730108329 , 0.771309551590564 , 0.40061229919446 , -0.156254472670966 , 0.354290966412754 , 0.260384443135763 , -0.0692001804835136, -0.15659512741963 , 0.288915251037666 , 0.277462437786491 , 0.544229196429884 , -0.194074067784284 , -0.599569710866647 , 0.38081380475824 , -0.768789989735852 , 0.843382209850782 , 0.148626443208392 , -0.356368074727931 , 0.0898547872651288 , -0.0280094223623619, 0.204281665465975 , 0.00583052059538291, -0.401804308810261 , 0.252854406663001 , 0.014955965102614 , 0.383972614228641 , -0.621419733890486 , 0.249646047398329 , 0.214397174683489 , 0.0883496006414904 , -0.331803725422555 | 0.1971976 |
| 69 | 20 | 0.0 | 0.1 | 1.0 | control , control , control , control , control , control , control , control , control , control , control , control , control , control , control , control , control , control , control , control , intervention , intervention , intervention , intervention , intervention , intervention , intervention , intervention , intervention , intervention , intervention , intervention , intervention , intervention , intervention , intervention , intervention , intervention , intervention , intervention , -1.39687453896031 , 1.00813340000744 , 1.70530473383094 , 0.929943245596393 , 0.958840676829789 , -0.765434687841438 , -0.0967456479312067, 0.814305686379779 , -1.14945382670162 , 0.214177860455069 , 1.26640759806914 , -0.448483367835583 , -0.188229366809798 , -0.642238482315066 , 0.155947028424998 , 0.528467234689124 , 1.66355286833769 , -1.68593575273237 , 0.413571776606295 , 1.31072326300057 , -0.462809754223746 , 0.694277834208815 , 0.310639934340373 , -1.18295039429502 , 1.21379315066987 , 0.247566938917911 , -0.39285382619746 , 0.166448248023849 , -0.85760234225714 , -0.823148816298892 , -0.349171241639067 , -0.180837570569387 , 0.249552017222835 , -0.47682200070833 , 1.06051935857471 , -1.16364620966887 , 0.811932704228738 , -0.370415243054718 , -2.55214655964338 , 1.27012751417426 | 0.2381946 |
| 69 | 20 | 0.5 | 0.0 | 0.5 | control , control , control , control , control , control , control , control , control , control , control , control , control , control , control , control , control , control , control , control , intervention , intervention , intervention , intervention , intervention , intervention , intervention , intervention , intervention , intervention , intervention , intervention , intervention , intervention , intervention , intervention , intervention , intervention , intervention , intervention , 0.374987248383956 , -0.0015773173636 , -0.552005186223782 , 0.280871340218478 , -0.111117091064204 , -0.599471746259753 , 0.403378741734731 , -0.296360258099308 , 0.299576029692638 , -0.719865596812377 , 0.31031896553079 , 0.671074024061154 , -0.0723250039024072 , 0.412630853441827 , -0.00679018144820313, -0.105567098021564 , 0.219252344136191 , 0.0486713137188461 , -0.159163486277973 , -0.020877714095456 , 0.776918394002141 , 0.697404011476702 , 0.730615104133959 , 0.297819235248496 , -0.91878561203639 , 1.13258663775442 , 0.517774678051719 , 1.3520946531404 , -0.097109107341799 , -0.301577636757954 , 0.425818824867109 , 0.532077164935569 , -0.429538067735966 , 1.19728559540042 , 0.103564119084637 , 1.16982678433821 , 0.523982590084191 , 0.956014540688532 , 0.108875939721779 , 1.14084856470889 | 0.0048076 |
| 69 | 20 | 0.5 | 0.0 | 1.0 | control , control , control , control , control , control , control , control , control , control , control , control , control , control , control , control , control , control , control , control , intervention , intervention , intervention , intervention , intervention , intervention , intervention , intervention , intervention , intervention , intervention , intervention , intervention , intervention , intervention , intervention , intervention , intervention , intervention , intervention , 0.568902684599685 , -0.671239231608664, 1.02429901143956 , 2.07805761374935 , -0.58743202138523 , 1.22716319664279 , 0.805422717132412 , -1.31848044132626 , 0.830556280063581 , -0.618501038728756, -1.18000950682184 , -0.491129280639862, -0.829998725047234, 1.15303827242164 , -1.07530106852329 , -0.398597959008905, -0.754105043268593, -0.520877022888548, 0.39203242318645 , -1.28522751269133 , -0.458562773706494, -1.3211441663307 , 0.227051643298144 , 1.05397469115828 , 0.719113419340517 , 1.81981602807178 , -0.878470898033253, -0.39253402684586 , 0.104056732207633 , -0.82751717804509 , 0.250412724336823 , -0.142650039017987, 0.355581446085525 , 0.918309708088036 , 0.727547549751879 , -0.548630915269606, -0.54670132825229 , 2.48898330883223 , -1.03214219623357 , -2.35321893696652 | 0.7875582 |
| 69 | 20 | 0.5 | 0.1 | 0.5 | control , control , control , control , control , control , control , control , control , control , control , control , control , control , control , control , control , control , control , control , intervention , intervention , intervention , intervention , intervention , intervention , intervention , intervention , intervention , intervention , intervention , intervention , intervention , intervention , intervention , intervention , intervention , intervention , intervention , intervention , 0.701473377794927 , 0.0483841588284802 , -0.149703371593598 , 0.145784379459735 , -0.498136783482776 , -0.252924293249418 , 0.0526961611180621 , -0.144068556066578 , -0.767006084345547 , -0.585529346966799 , 0.316040946113479 , 0.029018123621606 , 0.766244083716468 , -0.247624037169824 , -0.870725757380089 , -0.140145054758839 , -0.118131879236755 , 0.326862167014877 , -0.756588149082937 , -0.115239372209807 , 0.204034427673027 , 0.68875363512635 , 1.42536034727349 , 0.98849413673504 , 0.679513167594586 , 0.528207769783911 , 0.813783513103769 , 0.774783979601725 , -0.0336718800023039, 0.347827345899651 , 0.665116125871193 , -0.0482039566940471, 1.34101334533819 , 0.00104928415427191, 0.337279331883043 , 0.939986060908665 , 0.664025360043352 , -0.0424331582520467, -0.199003740019492 , 0.50153746469475 | 0.0000672 |
| 69 | 20 | 0.5 | 0.1 | 1.0 | control , control , control , control , control , control , control , control , control , control , control , control , control , control , control , control , control , control , control , control , intervention , intervention , intervention , intervention , intervention , intervention , intervention , intervention , intervention , intervention , intervention , intervention , intervention , intervention , intervention , intervention , intervention , intervention , intervention , intervention , 0.124486289312679 , 2.35334628756697 , -1.13204366391452 , -0.674946842055199 , 0.699344957546257 , -0.209029345528321 , 0.417802063590312 , 1.57106395711439 , 2.73263819119852 , 0.992589485070758 , 1.88293558926348 , 0.0796231906392906 , 0.650241165437168 , 0.550349285836554 , -1.5842114843672 , -2.21992920793239 , 0.485413641402323 , -1.61759342294485 , 0.797339492616179 , 0.163478929461659 , 1.05394123623113 , 0.902933693684598 , -0.839634237721273 , 1.13794820108394 , 0.584533942111115 , 0.40744708120084 , -0.0753482295963075, 1.84455022070589 , 0.688960998215732 , 0.075655580747104 , 0.827838009721034 , 0.433844087862275 , -0.677684031335665 , 0.728461557304129 , -0.30700842069908 , 1.70981473790061 , 1.32004920699902 , -0.745839086651427 , 2.95570856216427 , 0.811029750174475 | 0.3513515 |
| 69 | 50 | 0.0 | 0.0 | 0.5 | control , control , control , control , control , control , control , control , control , control , control , control , control , control , control , control , control , control , control , control , control , control , control , control , control , control , control , control , control , control , control , control , control , control , control , control , control , control , control , control , control , control , control , control , control , control , control , control , control , control , intervention , intervention , intervention , intervention , intervention , intervention , intervention , intervention , intervention , intervention , intervention , intervention , intervention , intervention , intervention , intervention , intervention , intervention , intervention , intervention , intervention , intervention , intervention , intervention , intervention , intervention , intervention , intervention , intervention , intervention , intervention , intervention , intervention , intervention , intervention , intervention , intervention , intervention , intervention , intervention , intervention , intervention , intervention , intervention , intervention , intervention , intervention , intervention , intervention , intervention , -0.0883619885194002 , 0.330221359085614 , -0.17603921733727 , -0.144248720315233 , 0.811681542711829 , 0.140017773867498 , -0.0831547580677164 , -0.272133202305125 , -0.064745766089738 , 0.628600981476435 , 0.592232116789513 , -0.516223245128177 , 0.103287913695204 , 0.13830353869961 , 0.143059625377982 , -0.187959910143072 , -1.05734955825326 , -0.609886928664147 , 0.118433153755728 , -0.260323821223729 , -0.343731463727885 , -0.166690943145579 , -0.462622537200679 , -0.295902546921886 , -0.338187790881467 , 0.61572427605736 , 0.622750759776328 , 0.722030153130138 , -0.300824505215327 , -0.248014922919196 , -0.226627610850316 , 0.169598322088414 , -0.171164364696517 , -0.171088254874408 , -0.192021717421743 , -0.133739751152965 , 0.507749593902 , -0.273642165879218 , 0.190164431679562 , 0.220455116501405 , 0.124691677518062 , -0.402757969924046 , 0.966665516061701 , -0.463407876436992 , 0.462094039887364 , -1.35166207647298 , 0.632995266772096 , 0.372657736655634 , -0.331175244292868 , -0.444027582244067 , 0.326022502216469 , -0.161880789070967 , -0.252320822611047 , 0.870452833765075 , 0.922328573065395 , -0.226359989671592 , -0.00769803248608829, -0.403474026556443 , 0.235635048019815 , -0.00428957122335825, -0.0618143574754386 , -0.204457197181849 , -0.157411037948073 , -1.55757599653156 , -0.482081551111328 , 0.343232802038459 , -0.326498336648114 , -0.915707370670859 , -0.958047930521802 , -0.0911692343777652 , -0.270855520684275 , -0.285202101208718 , 0.205062085284437 , -0.317011641116742 , 0.226756936041385 , 0.601365726564614 , -0.295470218469493 , 0.225438215261306 , -0.0135910002303967 , 1.22111655999635 , -0.780846569667578 , 0.0603959410215643 , -0.457604822133762 , -0.0449038236194263 , -0.506834864197146 , -0.441067865169619 , 0.132192607285657 , 0.453400685381073 , 0.109284414744348 , -0.44873212457399 , -0.233636778251194 , 0.551447123202204 , -0.767044140377209 , -0.5038855501202 , -0.781706837223219 , -0.578887816350505 , 0.265024833156632 , -0.00360504789709198, 0.232261449908719 , -0.513104113916107 | 0.3138522 |
| 69 | 50 | 0.0 | 0.0 | 1.0 | control , control , control , control , control , control , control , control , control , control , control , control , control , control , control , control , control , control , control , control , control , control , control , control , control , control , control , control , control , control , control , control , control , control , control , control , control , control , control , control , control , control , control , control , control , control , control , control , control , control , intervention , intervention , intervention , intervention , intervention , intervention , intervention , intervention , intervention , intervention , intervention , intervention , intervention , intervention , intervention , intervention , intervention , intervention , intervention , intervention , intervention , intervention , intervention , intervention , intervention , intervention , intervention , intervention , intervention , intervention , intervention , intervention , intervention , intervention , intervention , intervention , intervention , intervention , intervention , intervention , intervention , intervention , intervention , intervention , intervention , intervention , intervention , intervention , intervention , intervention , -0.210051235042873 , 0.663941104503789 , 1.26778377426637 , 0.974001893140394 , 1.24433727463751 , -1.28045475625043 , -0.573220646565656 , -1.46957682849757 , -0.667175817022588 , -1.01208839435448 , -0.910242138020475 , 1.59998193108824 , 1.63494353872537 , -0.37467525768264 , 1.54325752146217 , 0.0404346379467747 , 1.62087093319105 , 0.77852283265556 , -1.37220714592507 , 1.17219937385636 , 1.59857405522637 , -0.0603183526545561, -0.811948737085541 , -0.26966629756369 , -2.43842970748283 , -1.1227747720162 , 0.952794739074465 , -1.23475951793097 , -1.88124193570746 , 1.12415535170917 , -0.0988347908580957, -1.1313468787402 , 0.303150928060557 , -0.972065097858924 , 0.489877290590044 , 0.633349496675666 , -0.292714753673915 , -0.370520872842446 , 0.576118559672005 , 0.406885207513863 , 0.84129853590125 , -0.803516259715418 , -1.05078301197016 , -1.09727132706288 , -0.993209824713913 , -0.485996007291502 , -0.146054525847629 , -0.06552055257113 , 0.120332248699591 , -0.504480969179748 , 0.94585654146597 , 0.0914142415291852 , -0.48847592800269 , -0.986250632502098 , 0.825117283927584 , -1.37337571638774 , 0.53534096394636 , 0.551338470458964 , 0.539386963727746 , 0.547239822461529 , -1.23856314833379 , 0.087690529284162 , -0.0556261593935068, 0.97180953484729 , 0.184329927260703 , 0.940929348224251 , -0.13817634853258 , -1.14166077147505 , 1.18151054984433 , 0.290843528036494 , -0.336825953985277 , -1.31473995046563 , -1.59947840968968 , 0.208214485165891 , -1.05998611101782 , 0.721651384710208 , -0.102259628779512 , -0.829743865487759 , 0.0301402673551012 , -0.979046557280648 , 1.06219731343661 , -0.86955167502258 , -0.508490339050337 , -1.74285000794499 , -0.15856500055557 , 0.579239868889629 , 0.141745523135152 , -0.136313666015546 , -1.54830743752589 , 0.459001893765084 , -0.777680948839642 , -0.210540316871257 , 0.513603262289867 , 0.504786709334383 , -1.24625275738304 , 0.55506156265898 , -1.26720239467053 , -1.08489884610484 , -0.687411581366674 , 1.27733278723477 | 0.6688255 |
| 69 | 50 | 0.0 | 0.1 | 0.5 | control , control , control , control , control , control , control , control , control , control , control , control , control , control , control , control , control , control , control , control , control , control , control , control , control , control , control , control , control , control , control , control , control , control , control , control , control , control , control , control , control , control , control , control , control , control , control , control , control , control , intervention , intervention , intervention , intervention , intervention , intervention , intervention , intervention , intervention , intervention , intervention , intervention , intervention , intervention , intervention , intervention , intervention , intervention , intervention , intervention , intervention , intervention , intervention , intervention , intervention , intervention , intervention , intervention , intervention , intervention , intervention , intervention , intervention , intervention , intervention , intervention , intervention , intervention , intervention , intervention , intervention , intervention , intervention , intervention , intervention , intervention , intervention , intervention , intervention , intervention , 0.55212160330168 , 0.230445599573122 , -0.199118725800238 , 0.406827029564509 , 0.501360167016553 , -0.279282830084523 , 0.372466178879917 , 0.161857403474005 , -0.111629155487298 , -0.341684560951154 , -0.192657980032848 , -0.206457426859752 , 0.638706303070977 , -0.176058332522726 , 0.124004320412722 , -0.300923150534833 , -0.268002637784423 , -0.437334128697504 , 0.69847078548092 , 0.71926699465716 , -0.379782028369865 , 0.658021090888465 , -0.497435057530312 , 0.290473132673445 , -0.548377762786069 , 0.56391728305312 , -0.764503521160911 , -0.263236261858857 , 0.427406870106183 , 0.727783250208275 , -0.110215549403939 , 0.0976876254450093 , -0.197086679396815 , 0.532743935709303 , 0.568157071986468 , 1.03232431749766 , -0.216669891399329 , 0.371014600286545 , 0.162819042836783 , 0.579703865428196 , -0.45681601272969 , -0.456698599632725 , 0.857368487814884 , -0.368789788782103 , 0.544009927999715 , 0.675873404535859 , -0.0365717529384309, -0.15495851906981 , 0.151812784496185 , -0.160460334457794 , 0.307514478501969 , 0.878573772569945 , -0.0124776446175774, 0.377530493941172 , 0.384898544216328 , -0.659401755438132 , -0.228909375024548 , -0.69672072420408 , 0.205948794941469 , 0.11960859059351 , 0.548886938047981 , -0.221386953885927 , 0.232449656144042 , 0.238040134302191 , -0.0943597226534076, 0.569932069041362 , 0.655550118012269 , 0.0737390177440115 , 0.985698016235432 , -0.323966360388501 , 0.908304755210142 , -0.710114865058538 , 0.435832424380466 , -0.0691361309209633, -0.453184329240636 , -0.0537323849748164, -0.315737136992895 , 0.291421909500819 , -0.0784296101592159, -0.0924271406395346, 0.0123940116194962 , 0.802217159456777 , -0.616191327320839 , 0.21468684885592 , 0.0802558942424902 , 0.708409852492431 , -0.369815140657307 , -0.120945983340571 , 0.319714569664941 , 0.221417021431468 , -0.544068391999913 , -0.0140063200297877, 0.942322288113452 , 1.62282590989302 , 0.201228695262587 , -0.513246657866305 , 0.116344636078869 , -0.458256750858914 , 0.273918881505432 , 0.496961649762549 | 0.8231976 |
| 69 | 50 | 0.0 | 0.1 | 1.0 | control , control , control , control , control , control , control , control , control , control , control , control , control , control , control , control , control , control , control , control , control , control , control , control , control , control , control , control , control , control , control , control , control , control , control , control , control , control , control , control , control , control , control , control , control , control , control , control , control , control , intervention , intervention , intervention , intervention , intervention , intervention , intervention , intervention , intervention , intervention , intervention , intervention , intervention , intervention , intervention , intervention , intervention , intervention , intervention , intervention , intervention , intervention , intervention , intervention , intervention , intervention , intervention , intervention , intervention , intervention , intervention , intervention , intervention , intervention , intervention , intervention , intervention , intervention , intervention , intervention , intervention , intervention , intervention , intervention , intervention , intervention , intervention , intervention , intervention , intervention , 0.0873639104045431 , 0.838562560803284 , 0.000675081126041449, 2.63116637824755 , 0.519595392224357 , 0.725853465908984 , 1.62597062681438 , 0.0428877394725674 , -1.22601179843185 , -0.378599637405615 , -0.239767443668852 , 1.15904810347605 , 0.367052719360781 , -0.27184937635652 , 1.10818764814133 , 0.726206193364562 , 1.80232218000477 , -1.46718384277449 , 0.699807300624266 , 0.0087335093764916 , 1.45770756808833 , -1.95723230132718 , 0.809175068066974 , -0.561522637620341 , 0.0455752475691932 , 2.37737796530197 , 0.228294512278235 , 0.72553967533052 , 1.52190355144445 , 1.04545559962549 , 1.16590475725662 , 0.103086207056293 , 1.34466801593356 , 0.0894361996609564 , 1.89582926416903 , 0.33364099996723 , -0.24556088404429 , -0.331428593232387 , -0.844453126901764 , 1.38784586769324 , -1.20825810793356 , 1.42022787325847 , 0.406625279634114 , -0.567402714911879 , -0.17847011762468 , -0.627456540472168 , 0.830260385213269 , 0.857015635600849 , 0.26243328851056 , 1.58502596762506 , -0.308833468905683 , 0.242548188408962 , -0.568262715070672 , -0.359670995990862 , -0.46004593523441 , 0.235360427380455 , -1.91900810830468 , 1.14361086046432 , 0.93705086079933 , -1.29967162087063 , -0.100693558644527 , -0.315361165037291 , -0.393965806712772 , -0.42722240454035 , 0.485619923136883 , -0.0672514455908658 , -0.880876205198883 , 0.42384150284868 , -0.2291213947423 , 0.456496944980777 , 1.03320512088485 , 0.390157349382171 , 1.20742254094475 , 0.523964489190864 , 0.908357258981257 , 0.0996315581699625 , 1.34455161222615 , 0.997995011801914 , -0.2134022515922 , 1.2242212634855 , 2.67252422269767 , 0.524492195582344 , -0.90110250242273 , 0.127669344343199 , -0.711576310635649 , 0.293937080286649 , 1.00259233513338 , 1.50592005075686 , -0.651989572144425 , 1.13846490888355 , 0.561925545422281 , 0.356689603936133 , 0.936231565003661 , 1.00578285961035 , 1.47546875438784 , -1.3054974702907 , 1.99627490050615 , -0.803881715837864 , -0.754886173999069 , -0.130558624780609 | 0.3079912 |
| 69 | 50 | 0.5 | 0.0 | 0.5 | control , control , control , control , control , control , control , control , control , control , control , control , control , control , control , control , control , control , control , control , control , control , control , control , control , control , control , control , control , control , control , control , control , control , control , control , control , control , control , control , control , control , control , control , control , control , control , control , control , control , intervention , intervention , intervention , intervention , intervention , intervention , intervention , intervention , intervention , intervention , intervention , intervention , intervention , intervention , intervention , intervention , intervention , intervention , intervention , intervention , intervention , intervention , intervention , intervention , intervention , intervention , intervention , intervention , intervention , intervention , intervention , intervention , intervention , intervention , intervention , intervention , intervention , intervention , intervention , intervention , intervention , intervention , intervention , intervention , intervention , intervention , intervention , intervention , intervention , intervention , 0.714878019161663 , -0.346433370270304 , 0.0562017880111589 , -0.920299421814775 , -0.0824980559400702 , 0.561203182815322 , 0.0163849735958516 , -0.363637950453441 , -0.0523725310855077 , -0.285845295640386 , 0.84773461378023 , -0.415280728753708 , -0.199958506614939 , 0.498428773886523 , 0.134280153838801 , 0.559577225708231 , 0.191660498853538 , 0.0734443114735464 , 0.584572137232421 , 0.670468183673047 , 0.0420702209863747 , -0.547350765097386 , -0.119766158187891 , -0.060237209410258 , 0.163115967780938 , 0.710625261119779 , -0.355752793071033 , 0.0722007257555268 , 0.436540078952077 , 0.500062938347916 , -0.65765887284154 , -0.235327448088319 , 0.3216745276652 , -0.362776742519986 , -0.16735281852003 , -0.574330813795368 , -1.23327889892906 , -0.0770392423736665 , -0.0660649983835995 , -0.342620340577808 , 0.100651763575586 , -0.0408629423400371 , -0.331875612080869 , -0.147114859819017 , -0.215618258553749 , -0.639411203388839 , 0.103807705796002 , 0.337275524402869 , 0.871122328190507 , -0.187481862216585 , 0.650628487385747 , -0.20709667378658 , 0.671492036784815 , 1.02580973832359 , 0.192677755704227 , 0.953280994405227 , -0.237444254981513 , 0.682204951646996 , 0.512079975317586 , -0.318298437955764 , 0.268167252098655 , 0.931109118970059 , -0.492519576202572 , 0.27475544084492 , 1.29957532093791 , 0.88351868698098 , -0.000997465614457904, 1.14670036690029 , 0.170905770287493 , 1.31814072724646 , 1.00580846999287 , 0.634604874505362 , 0.207367897772189 , 1.09013882887192 , 1.06149355644559 , 0.10818718907266 , -0.283620327298971 , 1.49117628087571 , 0.346306169477654 , 0.199478705314564 , 0.484346096647831 , 0.310538809938258 , 0.694579325225948 , 0.729932630455847 , 0.915260765895457 , 0.529020030334628 , 0.941570506336307 , -0.244397292640052 , 0.821080144340738 , -0.493003924572477 , 0.7205567336008 , 1.07563685322977 , 0.846525992338237 , 0.602937890305321 , 0.504660490664127 , 1.01471125158372 , -0.0241314806583819 , -0.0623597165421644 , 0.345096358548062 , -0.53328047507162 | 0.0000013 |
| 69 | 50 | 0.5 | 0.0 | 1.0 | control , control , control , control , control , control , control , control , control , control , control , control , control , control , control , control , control , control , control , control , control , control , control , control , control , control , control , control , control , control , control , control , control , control , control , control , control , control , control , control , control , control , control , control , control , control , control , control , control , control , intervention , intervention , intervention , intervention , intervention , intervention , intervention , intervention , intervention , intervention , intervention , intervention , intervention , intervention , intervention , intervention , intervention , intervention , intervention , intervention , intervention , intervention , intervention , intervention , intervention , intervention , intervention , intervention , intervention , intervention , intervention , intervention , intervention , intervention , intervention , intervention , intervention , intervention , intervention , intervention , intervention , intervention , intervention , intervention , intervention , intervention , intervention , intervention , intervention , intervention , 0.83686921027811 , -0.935778107684983 , 0.498036456220837 , 0.769165612259787 , 0.588865597782187 , 1.3163316891297 , 0.605904479343248 , -1.39762559788161 , 0.734691407841687 , 0.031723880086354 , 0.620355749223983 , -0.218235481975251 , -0.151969147482148 , 0.134845246353814 , -2.79655059191457 , 0.783266515549706 , -1.84302105975032 , -1.26935683216574 , 0.528488718535086 , 0.374923819651506 , 0.467628989706986 , -0.70003775811932 , 0.152808045229904 , 0.577025371459923 , -1.73655824490865 , 2.90964443928027 , 0.214436362428763 , -1.21790800713632 , -2.01315680899143 , -0.376611626260918 , -3.29008311997366 , 0.0412340494040774 , -0.207424705998923 , -1.08896807852354 , 0.0572675289754512 , 0.666004574439509 , 0.719594012042913 , -1.13997962881802 , 0.137408731507771 , -0.741968147798181 , 0.0221840612635032 , -1.09013083320939 , -0.145188954773369 , -0.0549760993014339, 0.85385812729837 , -0.819149424397601 , -2.04581767484557 , 0.0436742709038031 , -0.75402093019674 , -0.275645660565467 , 0.885155615722074 , 1.1002961489323 , 0.762015803636542 , 1.5718711738482 , 0.942787017443668 , 1.29236637856945 , -0.132270782005638 , 0.384013408430158 , -0.111725154238423 , 0.972822150174934 , 0.691412035177492 , -1.10029005911662 , 0.226521001433861 , -0.503643070148622 , 1.12952022063699 , 0.24656215320028 , 0.275260096016452 , -0.379598690887804 , -0.0255881838959903, 2.43712416755058 , 0.955550290294411 , -0.63477447028759 , -0.804436452002958 , 0.453026410717407 , 0.569423228768278 , 0.361095570414032 , 1.74120274253954 , 1.62726939923748 , 0.038495766637362 , -0.171999599178086 , 1.28237908039671 , 0.547371333618538 , 1.4071765147259 , 0.575181808023643 , 0.0022567843014159 , 1.41989406751248 , -0.45296887320473 , 0.242913227018949 , 1.11980493410083 , 1.50308171452783 , -1.70853109735401 , -0.827821724869543 , -0.604798293539067 , 0.78288757385196 , 1.03809098468467 , 1.22338901860621 , 1.03360153185094 , 1.23711133914419 , 1.45203559298932 , 1.68633604442935 | 0.0001277 |
| 69 | 50 | 0.5 | 0.1 | 0.5 | control , control , control , control , control , control , control , control , control , control , control , control , control , control , control , control , control , control , control , control , control , control , control , control , control , control , control , control , control , control , control , control , control , control , control , control , control , control , control , control , control , control , control , control , control , control , control , control , control , control , intervention , intervention , intervention , intervention , intervention , intervention , intervention , intervention , intervention , intervention , intervention , intervention , intervention , intervention , intervention , intervention , intervention , intervention , intervention , intervention , intervention , intervention , intervention , intervention , intervention , intervention , intervention , intervention , intervention , intervention , intervention , intervention , intervention , intervention , intervention , intervention , intervention , intervention , intervention , intervention , intervention , intervention , intervention , intervention , intervention , intervention , intervention , intervention , intervention , intervention , 0.189274373412527 , -0.581758833978428 , 0.0346643033605911 , 0.262477679930079 , 0.20410840475789 , 0.120230351790102 , 0.347154262276172 , 1.09934228843927 , -0.114304760649734 , -1.13612635054446 , 0.535137492596279 , -0.697727090703413 , 0.62997101942343 , 0.28304193529228 , 0.0720791708092547 , 0.321381161850907 , -1.53587886414685 , 0.0446638380806172 , 0.797853529282422 , 0.311681612438231 , -0.445735668828386 , 0.0141840002245195 , -0.122757634792146 , 1.43004404534142 , -0.21439866855223 , -0.0676896669259903, 0.464814115680695 , -0.2041760205967 , -0.546050075212107 , 0.0262510882118245 , -0.474515411387986 , 0.242275501806981 , -0.220923333989703 , 0.377658174527109 , -0.464491630801446 , 0.548904778801752 , 0.15028458031109 , 0.084986086290101 , 0.512827794399757 , -0.364865571064047 , 0.27928092571731 , 0.84028198468384 , -0.205559846905184 , 0.510763404684082 , -0.0584554196769848, 0.280128216549996 , -0.613743206662514 , -0.116134696450254 , -0.116594238672899 , 0.031813312638962 , 0.484449054508464 , 1.49821981092282 , 1.88751800088113 , 0.277864651565659 , -0.0684175280295505, 0.83930404099059 , 0.627768515563423 , 0.147002668023634 , 0.988590581906256 , 1.29433021614059 , 0.569645056099916 , 0.814129652111293 , 0.0554093939755999 , 0.597076017135039 , 1.15667229099224 , 0.473875762556359 , 0.419311016421849 , 0.710991832276838 , 0.308110402474542 , 0.676695544416103 , 1.11940733010784 , -0.0715286912041605, 0.737538723643458 , 0.506428511488875 , 0.769868232915187 , 0.727421797079449 , 0.283237650632092 , 1.50966113128586 , -0.232336214056201 , 0.564899767233462 , 0.438375503975422 , 0.467999844822322 , 0.767691125474811 , 0.915024428779197 , -0.075508110081305 , 0.464966674578198 , -0.265921790885377 , 0.789653490121045 , 0.5808869559179 , 1.71831691053776 , 0.182795414684024 , -0.113516880653837 , 0.682615308950148 , 1.31190577950949 , 1.03286597391061 , 1.6668433552293 , 2.08368096371402 , -0.0881734952493252, -0.46338146663776 , 0.399705281348283 | 0.0000005 |
| 69 | 50 | 0.5 | 0.1 | 1.0 | control , control , control , control , control , control , control , control , control , control , control , control , control , control , control , control , control , control , control , control , control , control , control , control , control , control , control , control , control , control , control , control , control , control , control , control , control , control , control , control , control , control , control , control , control , control , control , control , control , control , intervention , intervention , intervention , intervention , intervention , intervention , intervention , intervention , intervention , intervention , intervention , intervention , intervention , intervention , intervention , intervention , intervention , intervention , intervention , intervention , intervention , intervention , intervention , intervention , intervention , intervention , intervention , intervention , intervention , intervention , intervention , intervention , intervention , intervention , intervention , intervention , intervention , intervention , intervention , intervention , intervention , intervention , intervention , intervention , intervention , intervention , intervention , intervention , intervention , intervention , -0.627139656171167 , 0.0656815863513981 , 2.34297268412974 , 0.540724945384249 , 1.43936723519144 , -0.16589996149937 , -0.224006794243272 , 1.27740976197564 , -0.0524845474302516, -0.940771692213583 , 0.672190191337309 , 0.147738469924111 , 1.33689596017901 , 0.613800015496839 , -0.364342865690299 , -0.389441610445598 , -0.441714070959668 , 0.374486319751277 , -0.0114223070279614, -0.514706305629162 , -2.3518845448149 , -0.473500051400368 , 0.141008538607784 , 0.80159400643823 , 0.945575864053304 , 0.725707595515389 , 2.98819736709259 , 0.148698958096909 , 0.914889384663018 , -0.827154732347801 , 1.74508929583871 , 0.509599516977031 , 0.56466609107044 , -0.926086939042412 , -0.0464690336451289, -0.749893795068665 , -0.520603343246512 , 0.820393506680373 , -0.232214944938129 , 0.128993693315765 , -0.673416321883923 , 0.542368710373733 , 0.523032525834582 , -1.65431041972583 , -0.206676516347993 , 0.0520339506204724 , 1.64494706187408 , -0.415738363874021 , 1.3345445025934 , 1.700855505674 , 1.35188936660532 , 2.21039000380075 , 2.22575297583017 , -3.07512727275315 , 1.13844343088795 , -0.249227493214337 , -0.151291201003531 , 0.277129957699843 , -0.350856047715866 , 1.85179402167675 , 1.89638364460916 , 0.394944939117736 , 1.03799868462209 , 0.136255551181869 , 0.789221815332904 , -1.50731570922367 , 1.91754325095199 , 1.71079554814933 , 0.281329812659309 , -1.08497148935274 , 0.490085792101881 , 2.35254783365558 , 1.2598954573971 , 0.80218411617305 , 2.30220877966385 , 0.931519482878783 , 1.10351025584031 , 0.273629121897862 , 0.0227759248706426 , 1.92612750033583 , 1.32009435777635 , -0.784746541152927 , 2.23159419200276 , -0.360940001107485 , 1.10353008868009 , 1.7736195519442 , 1.18007732183673 , 0.102737915981766 , 1.76953651769823 , 0.5241762750452 , 2.02867512711915 , -1.17770827764222 , 2.06018288491436 , 0.0512254620934834 , 1.46297481227852 , -1.56943611975891 , -0.661841410138362 , 1.58931670987247 , -1.41401069482562 , -1.25432181070073 | 0.0793089 |
| 70 | 20 | 0.0 | 0.0 | 0.5 | control , control , control , control , control , control , control , control , control , control , control , control , control , control , control , control , control , control , control , control , intervention , intervention , intervention , intervention , intervention , intervention , intervention , intervention , intervention , intervention , intervention , intervention , intervention , intervention , intervention , intervention , intervention , intervention , intervention , intervention , 0.727912246104665 , -0.44193150534206 , 0.401206247660021 , 0.91146929668179 , -0.410884835143902 , 0.277759870392501 , -0.214006020975082 , 0.492566546747251 , -0.472900253329069 , -0.543411882711637 , -0.303044359236041 , 0.355468933849885 , -0.589895471971191 , -0.663579061347675 , -0.72789361929421 , -0.125667500316882 , -0.11678420241821 , 0.0953158625441642 , 0.182989660452233 , 0.308833366599983 , -0.401320204753767 , -0.523792281089622 , 0.583083527851857 , -0.295206306137777 , -0.452298138777531 , 0.268518677984138 , 0.229878418093722 , -0.2354599766695 , 0.115770233963794 , -0.0740560508801615, 0.448635409865938 , 1.26685875544846 , -0.275074055146212 , -0.621698393049657 , 0.289827330404063 , 0.217616881286838 , -0.0384038089755031, -0.508705684021041 , 0.269780392642614 , 0.384693946363809 | 0.6190407 |
| 70 | 20 | 0.0 | 0.0 | 1.0 | control , control , control , control , control , control , control , control , control , control , control , control , control , control , control , control , control , control , control , control , intervention , intervention , intervention , intervention , intervention , intervention , intervention , intervention , intervention , intervention , intervention , intervention , intervention , intervention , intervention , intervention , intervention , intervention , intervention , intervention , 2.2933674012587 , -0.603544236267995, 0.232691573336178 , -2.05416621570937 , 0.751350011840869 , -0.219074511135212, 0.0533310113747483, 2.20677656035067 , 0.405218046439204 , -2.00786395989591 , -1.12675890877853 , 0.678866619825152 , -0.905682877082077, 0.607888033439447 , -1.43364538867588 , 0.313858951554639 , 0.313932536072913 , 2.03586515576286 , 1.01387065391971 , 0.166105919458605 , 0.4036220532862 , 0.549040429176334 , 1.32126277776916 , 0.425883043273296 , -0.363107957880168, 0.471998578084088 , 1.45712338497571 , -1.45314165397508 , 0.361074457332602 , -0.427616989954953, 0.237924027935068 , -0.466520865521293, 0.360682873703337 , 1.53720138560264 , 0.902061710678896 , 0.258537894910789 , -2.27388844499403 , -0.435075316885051, -0.194007832212837, 0.614567156246038 | 0.9355164 |
| 70 | 20 | 0.0 | 0.1 | 0.5 | control , control , control , control , control , control , control , control , control , control , control , control , control , control , control , control , control , control , control , control , intervention , intervention , intervention , intervention , intervention , intervention , intervention , intervention , intervention , intervention , intervention , intervention , intervention , intervention , intervention , intervention , intervention , intervention , intervention , intervention , 0.150989913456904 , -0.16685593924025 , 0.478140789036141 , 0.0604472219661443 , 0.567061788896584 , 0.652019201606608 , 0.30405446782427 , 0.728404132669064 , 0.696881116425108 , -0.309401789495245 , -0.354414068189533 , 0.501721177623132 , -1.04969712179215 , 0.208413798688933 , -0.0671517990892123, 1.36890397194943 , -0.674032141962353 , 0.0657425596205829 , 0.823125061564047 , 0.00403345962514313, -0.141929088804133 , 0.0511511757655545 , -0.0403525054175535, 0.346930235005614 , 0.060415781942269 , -0.0426335367796911, 0.456405635240848 , 1.0601689673904 , 0.173952072086127 , -0.155622678797654 , -0.809403572812276 , 0.104087682498891 , -0.323617764788219 , 0.0963478125811882 , -0.568066130502054 , 1.04175616885772 , 0.0595658556043601 , 0.372359494911404 , 0.275972791439805 , -0.147334645373802 | 0.5128159 |
| 70 | 20 | 0.0 | 0.1 | 1.0 | control , control , control , control , control , control , control , control , control , control , control , control , control , control , control , control , control , control , control , control , intervention , intervention , intervention , intervention , intervention , intervention , intervention , intervention , intervention , intervention , intervention , intervention , intervention , intervention , intervention , intervention , intervention , intervention , intervention , intervention , -0.0905820046789842, -0.909757350518707 , -0.309638200658829 , -0.436308644100813 , -0.625357693762738 , 0.0160836305537948 , 0.321367263045938 , -0.448165570730331 , 1.12862085961422 , -0.0477321479196629, 0.49817190168138 , -1.88027408412504 , 1.07023383632088 , 1.05720667220448 , -0.0162248141696178, 0.60761684944074 , 0.487899049683411 , 1.19703025868717 , -0.145703427259256 , -1.13879587574761 , -2.07291843369468 , 1.3500709975226 , 0.605900863713811 , -0.648316259328223 , -0.551196284219983 , 0.521268022070106 , 1.58627768771683 , -2.26088077320911 , 0.12283614015969 , 0.265715492447379 , -0.866105786070329 , -0.437525646008152 , 0.765081185738641 , 0.681438382051048 , -0.314972484909887 , 2.1092384007106 , -0.587252215644695 , 0.952934198082449 , -0.625478073975961 , -0.0473576956180391 | 0.9725168 |
| 70 | 20 | 0.5 | 0.0 | 0.5 | control , control , control , control , control , control , control , control , control , control , control , control , control , control , control , control , control , control , control , control , intervention , intervention , intervention , intervention , intervention , intervention , intervention , intervention , intervention , intervention , intervention , intervention , intervention , intervention , intervention , intervention , intervention , intervention , intervention , intervention , 0.515140556300508 , 0.264821573945953 , 0.338138216313728 , 0.069023381689552 , 0.156395836072529 , -0.0953363743033384, -0.0978387955432559, 0.329809366484421 , -0.121164327612287 , -0.466107672281021 , 0.428470997856749 , -0.980323678255439 , 0.0762660802854684 , -0.113738891695005 , -1.01957113044906 , -0.452394933368085 , 0.158755209461515 , -0.154938502428268 , 0.334437954880286 , -0.832263339113435 , 0.830819490987164 , 0.0836708097932221 , -0.455619097934911 , 0.305735831447284 , 0.956482203749021 , 0.432091520517516 , -0.24465347049794 , 0.0613840157079711 , 0.920526771572083 , 0.353350023823236 , -0.0322086174332648, 0.679599771725858 , 0.813750713687783 , -0.269448463088736 , -0.732550507721228 , 1.43120599529194 , 0.871616309386148 , 1.08758274590319 , 1.33467169226579 , 1.02019058081296 | 0.0024960 |
| 70 | 20 | 0.5 | 0.0 | 1.0 | control , control , control , control , control , control , control , control , control , control , control , control , control , control , control , control , control , control , control , control , intervention , intervention , intervention , intervention , intervention , intervention , intervention , intervention , intervention , intervention , intervention , intervention , intervention , intervention , intervention , intervention , intervention , intervention , intervention , intervention , -0.031253035861332 , -0.261994643866364 , 0.598475769142104 , -0.711354744234189 , -0.212968901256863 , -0.985402713617826 , -0.605804642830636 , 1.1231487928803 , -0.958519629190828 , 1.04620405880654 , -0.00134455487460317, -1.56451472063274 , 1.77602374624465 , -0.206292154044886 , 0.388433700332625 , 2.06465637632 , 0.369243516989 , -0.182829830065346 , -1.42006030930991 , 0.331424322395242 , 0.0691694257831792 , 0.973905804746472 , 1.30898757173418 , 1.87733009902008 , 0.214961326343743 , 0.713998968778786 , 1.35710458501111 , 2.68928677285733 , 0.431941030343983 , 0.0938413187440831 , -0.657470462097179 , -0.833913087122338 , 1.09987307135047 , 0.884106569756 , 1.84774876559308 , -0.052412876241727 , 1.21301763402474 , -0.017877039388647 , 1.2044499015604 , 0.534087214979093 | 0.0185127 |
| 70 | 20 | 0.5 | 0.1 | 0.5 | control , control , control , control , control , control , control , control , control , control , control , control , control , control , control , control , control , control , control , control , intervention , intervention , intervention , intervention , intervention , intervention , intervention , intervention , intervention , intervention , intervention , intervention , intervention , intervention , intervention , intervention , intervention , intervention , intervention , intervention , -0.0187654939928004, 0.303760126709166 , -0.0354753532998406, 0.293930880908058 , 0.182537629934417 , -0.710841926087344 , 0.60027796881252 , 0.367110247671987 , 0.155660566113179 , 0.399518289062009 , 0.0895228315219123 , 0.218913634377779 , -0.715510686923916 , 0.619342976057517 , 0.378223750423311 , -0.348800709034404 , -0.0231756003536351, -0.0830975180422035, -0.157725838286956 , 0.27325416838453 , 0.191831273585126 , 0.689340719407367 , 0.506628712684684 , 0.775889609240783 , 0.961984725094711 , 0.480994592748547 , 0.0935390378152038 , 0.661544541087006 , -0.058815714483999 , 0.859349449067334 , 1.0084965715243 , -0.0256175568208789, 0.468254628841196 , 0.737554735680021 , 0.59526338649051 , 0.367183655722745 , 0.235737270386211 , 0.343324991376777 , 0.816289508061832 , 0.405024668561511 | 0.0004363 |
| 70 | 20 | 0.5 | 0.1 | 1.0 | control , control , control , control , control , control , control , control , control , control , control , control , control , control , control , control , control , control , control , control , intervention , intervention , intervention , intervention , intervention , intervention , intervention , intervention , intervention , intervention , intervention , intervention , intervention , intervention , intervention , intervention , intervention , intervention , intervention , intervention , 1.00696653923208 , 0.146689222174244 , -0.815973846537696 , -0.250860449684367 , -2.18593069576623 , 0.659027725185409 , -0.648883823626206 , 0.134307469981718 , -0.373611069882384 , -2.05242737356179 , -0.155483431521171 , 0.420205155333762 , 0.930652508236803 , 1.22709143485943 , 0.27299501455019 , 0.242554278789715 , -0.0492975816720214, 1.09445951919882 , -1.15510914922544 , -1.06771763504504 , 1.35137829855339 , 1.90178744740354 , 0.0460384763840626 , 0.0875123252508279 , 1.97615682078346 , -0.0507875290887676, 0.139761559893352 , 0.837555391926923 , -0.297754152249536 , -0.582787661868053 , -1.01699214170211 , -0.259281641903654 , -1.12089207558176 , 0.078087810494427 , -0.35879049816531 , 0.107052316497152 , 1.53952570050652 , -0.542067341384709 , 0.054560693674196 , -1.54248860945661 | 0.4220436 |
| 70 | 50 | 0.0 | 0.0 | 0.5 | control , control , control , control , control , control , control , control , control , control , control , control , control , control , control , control , control , control , control , control , control , control , control , control , control , control , control , control , control , control , control , control , control , control , control , control , control , control , control , control , control , control , control , control , control , control , control , control , control , control , intervention , intervention , intervention , intervention , intervention , intervention , intervention , intervention , intervention , intervention , intervention , intervention , intervention , intervention , intervention , intervention , intervention , intervention , intervention , intervention , intervention , intervention , intervention , intervention , intervention , intervention , intervention , intervention , intervention , intervention , intervention , intervention , intervention , intervention , intervention , intervention , intervention , intervention , intervention , intervention , intervention , intervention , intervention , intervention , intervention , intervention , intervention , intervention , intervention , intervention , 0.0502590999011178 , -0.305048498346492 , 0.427318311540009 , 0.604904971729392 , -0.157296330357721 , 0.277450943644604 , 0.175423415748637 , -0.207797050826196 , 0.67796882990493 , -0.416529053755966 , -0.946233945439605 , -0.623608071141878 , 0.239325769632349 , -0.249438918831419 , 0.418715192870432 , -0.881435275989574 , -0.0688047679657129 , 0.31925883260486 , 0.53814842312265 , 0.658325460120699 , -1.25794372161547 , -0.359823359354511 , -0.00845899481677962, -0.0979575571624572 , -0.120193269498536 , 0.341988466748913 , 0.0282436577598741 , -0.71779372006552 , -0.925476955698736 , -0.0975131760124489 , -0.030814307334582 , 0.547868664379813 , -0.257438715017122 , -0.374439437982146 , -0.191389978096002 , 0.0979619935968795 , 0.0637531930801223 , -0.417157334311206 , 0.159332984136634 , -0.486241032924705 , 0.287279741794296 , -0.17886495781925 , -0.216820741535531 , 0.340349966680084 , -0.629506932791326 , 0.837871698038889 , 0.15422429175982 , -0.151336822387251 , 0.688358715733538 , 0.404370739937429 , -1.09364144084684 , -0.484165233012649 , -0.0164465509028354 , -0.245213378367841 , -0.849768178474857 , 1.03308304240656 , 0.454596415566869 , 0.300919992758744 , -0.127049896515286 , -0.124265292235642 , 1.52212227056449 , -0.850082490844326 , -0.268217858646281 , 0.0913743776677228 , -0.810265362333582 , -0.0763224349842944 , 0.32094920297618 , 1.11077627115533 , -0.340721647654891 , 0.820873458634858 , -0.967786322913326 , 0.0670324206149866 , -0.222527208646712 , 0.572362920974744 , 0.37298555607584 , -0.0423571117007846 , 0.108339061521432 , -0.969415730333297 , 0.743114481808646 , 0.30242993079102 , 0.443300000494496 , 0.971062732989036 , 0.651186120365399 , -0.569371337145793 , 0.702357130220103 , 0.447958585628976 , 0.654045917640318 , -0.617818112501928 , -0.776404595738156 , 0.246890462011944 , 0.288331270792026 , -0.251860072392594 , -0.244358106949609 , 0.279897170058076 , 0.158671494729674 , -0.0832672881024754 , 0.181263854662494 , 0.201878044835457 , 0.646350826663442 , -0.6446102559862 | 0.3509899 |
| 70 | 50 | 0.0 | 0.0 | 1.0 | control , control , control , control , control , control , control , control , control , control , control , control , control , control , control , control , control , control , control , control , control , control , control , control , control , control , control , control , control , control , control , control , control , control , control , control , control , control , control , control , control , control , control , control , control , control , control , control , control , control , intervention , intervention , intervention , intervention , intervention , intervention , intervention , intervention , intervention , intervention , intervention , intervention , intervention , intervention , intervention , intervention , intervention , intervention , intervention , intervention , intervention , intervention , intervention , intervention , intervention , intervention , intervention , intervention , intervention , intervention , intervention , intervention , intervention , intervention , intervention , intervention , intervention , intervention , intervention , intervention , intervention , intervention , intervention , intervention , intervention , intervention , intervention , intervention , intervention , intervention , -0.0174163374517701, -0.182526848491043 , 0.560675463830691 , 0.364768072305113 , -0.423540228675576 , 0.288913585300537 , 0.623807040236813 , -1.28267453999805 , -0.494666950390155 , -1.28510336859756 , 0.259444000690404 , 0.490076334260636 , -0.338806571222893 , -3.34467506770161 , 2.40325621329516 , 0.552321812510568 , 1.15111335508931 , -0.111949035703459 , -1.45364466159863 , -1.58047507831459 , 0.135565967943215 , 0.087004726174046 , -1.75039459469088 , 0.55087303191256 , -1.78586091106397 , 0.786078998655813 , 0.283907948953973 , -0.0292433511531879, 0.396644980525872 , 0.20148714927034 , 0.504547152349404 , -0.326998653362004 , -0.755528984861085 , -0.296318744772343 , -1.87614180960109 , 0.963368430084085 , -0.164211807584392 , 1.05725196638784 , -0.0538615034407158, -1.20612137744813 , -1.61772937895657 , -0.902168585448098 , -1.15890345361709 , -0.062614616621332 , -0.305282501348644 , 1.49178905586408 , -0.752883903331353 , 1.36525239229188 , 0.524730043900481 , 0.968377103611193 , 1.24842352011799 , -0.322969231722065 , 0.72849522893165 , 0.927253115027506 , 2.1060770996967 , 0.219259340103726 , 0.377752789368271 , 0.0108687471284444 , -0.175659180533778 , -0.499838622797802 , 1.11603046346117 , 0.411365395944446 , -1.89584058292747 , 1.87318665024134 , 1.08312890953117 , 0.263804161832106 , 0.151426902071527 , -0.0877168354790371, -1.24184181556462 , -0.0735356878051985, -1.18941482728154 , 0.0896641680505814 , 0.557363988217451 , 0.323436834002792 , -1.43211988230779 , -1.65912786271862 , 0.38560278754249 , -0.434986379300993 , -1.80922116579361 , 2.2674198881303 , 0.15718865220793 , -1.01407634944665 , -0.747249189036714 , -1.59254616306347 , 0.139040063095681 , 0.403073705114857 , 0.713930543170242 , 0.938225571285362 , -0.61598592332197 , 0.12313284099834 , 1.63912707561351 , 1.94063398978263 , 0.510812956867392 , 1.23638337538738 , 0.972109305078565 , -0.0168179593460513, 1.36419466506155 , -0.107066626251752 , -0.295963783823932 , -0.313461463731709 | 0.1167490 |
| 70 | 50 | 0.0 | 0.1 | 0.5 | control , control , control , control , control , control , control , control , control , control , control , control , control , control , control , control , control , control , control , control , control , control , control , control , control , control , control , control , control , control , control , control , control , control , control , control , control , control , control , control , control , control , control , control , control , control , control , control , control , control , intervention , intervention , intervention , intervention , intervention , intervention , intervention , intervention , intervention , intervention , intervention , intervention , intervention , intervention , intervention , intervention , intervention , intervention , intervention , intervention , intervention , intervention , intervention , intervention , intervention , intervention , intervention , intervention , intervention , intervention , intervention , intervention , intervention , intervention , intervention , intervention , intervention , intervention , intervention , intervention , intervention , intervention , intervention , intervention , intervention , intervention , intervention , intervention , intervention , intervention , -0.292366019804179 , 0.0678173081053487 , -0.0309296383245462, 0.21294339985709 , 0.30116542531398 , 0.159453500694184 , 0.530429069600698 , -0.0505111196109458, -0.623411535006573 , 0.204893797844821 , -0.0957092900092868, 1.36270061620112 , 0.721410607733079 , 0.05624585757729 , -0.708907996904844 , -0.486728942189663 , -0.21046701059523 , 0.56880321081678 , -0.21172953314056 , -0.15095721486489 , -0.156272187900083 , 0.57153527549288 , 0.789436627796651 , -0.241673790660169 , 0.88892917686756 , 0.614609315232866 , 0.0112113356114593 , 0.746218313750584 , 0.567807097133774 , -1.00670334443991 , -0.285754166407896 , -0.389140582857511 , -0.275777291384037 , 0.986726357146688 , -0.295518606265599 , -0.40843779899757 , 0.0862511138792613 , 0.0684790111566529 , 0.0233886004913554 , -0.272026210896239 , 0.463359732529482 , 0.457513331861207 , 0.322998965449448 , 0.227159748472819 , 0.378192751003074 , -0.825909922998012 , 0.241661670353198 , 0.751537434770403 , -0.673099572488576 , 0.685162196681378 , -0.0487982105363756, -0.0384519828222958, 0.321318872953579 , -0.597200917403113 , 0.499971833091748 , -0.104703609370646 , 0.889669731040101 , -0.16164628909758 , 0.428303342099606 , 0.0571346004143395 , 0.883135538668346 , -0.804083166335038 , -0.295648706723969 , 0.612151646971259 , -0.163303936934797 , 0.216725800147401 , -0.085773715988213 , -0.117096481164232 , 0.242783331986856 , -0.741003127145548 , 0.572958642544937 , -1.02622515836708 , -0.593130320052482 , -0.435394874710894 , -0.0879158613320437, -0.0701290647094192, 0.382894470212961 , -0.0361320632595197, -0.453525940537144 , 0.00518759855309196, 0.0411376144506126 , -0.247638888056847 , 0.915907218517392 , -0.100477470548599 , -0.174404351629285 , -0.872455264455478 , 0.210057489846416 , -0.294861163823167 , 0.495248401161502 , 0.13372576663514 , 0.339814677369081 , 0.672424466976247 , -0.11886415958009 , -1.35741866380392 , -0.313275413281136 , -0.438087067085737 , -0.438227961245785 , 0.928418958187714 , -1.09212940576996 , 0.329515284558541 | 0.1506383 |
| 70 | 50 | 0.0 | 0.1 | 1.0 | control , control , control , control , control , control , control , control , control , control , control , control , control , control , control , control , control , control , control , control , control , control , control , control , control , control , control , control , control , control , control , control , control , control , control , control , control , control , control , control , control , control , control , control , control , control , control , control , control , control , intervention , intervention , intervention , intervention , intervention , intervention , intervention , intervention , intervention , intervention , intervention , intervention , intervention , intervention , intervention , intervention , intervention , intervention , intervention , intervention , intervention , intervention , intervention , intervention , intervention , intervention , intervention , intervention , intervention , intervention , intervention , intervention , intervention , intervention , intervention , intervention , intervention , intervention , intervention , intervention , intervention , intervention , intervention , intervention , intervention , intervention , intervention , intervention , intervention , intervention , -0.409986214503345 , -1.27832868369693 , 0.0539093194363806 , 0.818214905343312 , 1.29752485122119 , -0.424893562215812 , -0.207370673706059 , -1.41859239031153 , -1.29260220759614 , -0.622439460337562 , -0.907362358635641 , 0.342878268748942 , -0.733457870533298 , -0.315830273633081 , -0.445091118874133 , -1.37375522557446 , -0.236667786686965 , -0.5286258112051 , -0.512725480904279 , 2.77725338696486 , 0.876385952523951 , 0.959207487321626 , -0.417658290373285 , 0.203805212280056 , 0.993393038882773 , -0.976354061043269 , 0.537210593728893 , 0.833926455868081 , 2.82585720916122 , 0.0189765387991112 , 0.337589524025797 , 1.0455002103378 , -2.07095785878924 , 0.0649948451722207 , -1.64649568065564 , -0.35976522809549 , -0.890634942199855 , -1.55918734753255 , 0.78884751711724 , 0.0789177350625898 , 0.622680771832005 , -1.51487454042751 , 1.27072146220772 , 0.953952779337652 , 1.21632905822753 , 0.0473563548634398 , 1.44661330468253 , -0.352501844242786 , 0.148961600795923 , 0.0108400368609933 , -0.167152732518163 , 1.25290437053264 , 0.883219442841907 , 0.642946692116129 , 1.01057205929123 , 0.926283990183465 , -2.23377949926489 , -0.323862461564821 , 0.247203290425186 , 0.67402376300725 , 1.58257025601647 , -0.842485590885722 , -0.441621563874221 , -0.462204125209173 , -1.35409366277993 , 1.71980688631963 , 0.460743893880056 , -0.447870636248221 , -0.410585914879058 , -0.71885375739274 , 1.27041352070916 , -0.372741812140597 , 0.0458089990558363 , 0.848087838188175 , 1.47589813120129 , 1.06352537679388 , -0.764663802253959 , 1.0323392941161 , 0.160299371632167 , -0.970092839242185 , -1.04607499876964 , -1.27992784899855 , -1.25732187065854 , -0.928210080388918 , -1.21401457922756 , 0.70533123258603 , -0.418961411719282 , -0.867468503701538 , -2.38759666837742 , 1.16432387500757 , 0.186387098058979 , 0.0167416255130511 , 0.485973737318323 , -1.14298586617192 , -0.913054812940568 , -0.769220635524221 , 2.12425429411321 , -0.00268173688324055, -0.334280146337834 , -1.60930776648317 | 0.7193088 |
| 70 | 50 | 0.5 | 0.0 | 0.5 | control , control , control , control , control , control , control , control , control , control , control , control , control , control , control , control , control , control , control , control , control , control , control , control , control , control , control , control , control , control , control , control , control , control , control , control , control , control , control , control , control , control , control , control , control , control , control , control , control , control , intervention , intervention , intervention , intervention , intervention , intervention , intervention , intervention , intervention , intervention , intervention , intervention , intervention , intervention , intervention , intervention , intervention , intervention , intervention , intervention , intervention , intervention , intervention , intervention , intervention , intervention , intervention , intervention , intervention , intervention , intervention , intervention , intervention , intervention , intervention , intervention , intervention , intervention , intervention , intervention , intervention , intervention , intervention , intervention , intervention , intervention , intervention , intervention , intervention , intervention , 0.819553739497242 , 0.439647870934375 , 0.693733014967895 , 0.0546348157359932 , 0.477314184406275 , 0.266194618375575 , 0.151138996937815 , -0.0110891581059635, 0.22094500790092 , 0.0111750572707962 , -0.309655069450135 , 0.301946143563736 , 0.326044571451598 , -0.814537145649348 , -0.0737933520197722, 0.297645214157749 , 0.472392822851365 , 0.793255934727983 , 0.162830078034767 , -0.673062851692555 , 0.28745516573254 , 0.258262814958093 , 0.956362316193139 , 0.246601571249523 , 0.47059258855266 , -0.394280686567521 , -0.646263092656104 , 0.235240147401946 , -0.652139675775688 , -0.959713766952133 , -0.320855407445878 , 0.153132032194279 , 0.422382441561765 , 0.909268060837848 , -0.350080370582904 , -1.44100626590603 , -0.393641782932807 , 0.354655442331609 , 0.480384291155729 , 0.449397380897895 , 0.0622442230533954 , -0.111852205277686 , -1.10514450576736 , -0.779490186630168 , 0.909917565063358 , 0.639158883544678 , -0.539604227636245 , -0.0838152787663984, -0.276347064262034 , 0.215769623154377 , 0.760066905561464 , 0.256786783546517 , -0.777791760148075 , 0.5347498682331 , 0.956666787216669 , 0.210909759292714 , 1.1866001932615 , 0.0399991176849316 , 0.628990159243871 , 0.315366643055748 , 1.4920691176653 , 1.72709595388658 , -0.647593808674399 , 0.192454398512835 , 0.49151333626314 , 0.20543302125079 , 0.747245471083465 , 0.929102724104817 , 0.182436347249381 , 0.280756438228225 , -0.278298456865834 , 0.914693764513605 , 0.909505195252695 , 0.593307115133995 , 0.768048503714999 , 0.748849359624956 , 0.00733688689057382, 0.920922580522841 , 0.974758887263362 , -0.0500490594484581, 1.01474325923698 , 0.112060458943234 , -0.325742808799772 , 0.427939779585639 , 0.521527628060672 , 0.292288768951022 , 1.34212648455634 , 0.435494851862434 , 0.836447227788503 , 0.214327530370345 , 0.988167211822464 , 0.537998967020433 , 0.396246447092857 , 0.434734070684447 , 0.688126623795468 , 0.97303168006752 , 0.989908974734544 , 0.369342159916017 , 0.0616446371459275 , 1.0049515711277 | 0.0000162 |
| 70 | 50 | 0.5 | 0.0 | 1.0 | control , control , control , control , control , control , control , control , control , control , control , control , control , control , control , control , control , control , control , control , control , control , control , control , control , control , control , control , control , control , control , control , control , control , control , control , control , control , control , control , control , control , control , control , control , control , control , control , control , control , intervention , intervention , intervention , intervention , intervention , intervention , intervention , intervention , intervention , intervention , intervention , intervention , intervention , intervention , intervention , intervention , intervention , intervention , intervention , intervention , intervention , intervention , intervention , intervention , intervention , intervention , intervention , intervention , intervention , intervention , intervention , intervention , intervention , intervention , intervention , intervention , intervention , intervention , intervention , intervention , intervention , intervention , intervention , intervention , intervention , intervention , intervention , intervention , intervention , intervention , -0.0755830360806499, 0.334193114965365 , 2.71970714386512 , 0.74904927339441 , -1.23361882885183 , 0.768911708996146 , -1.0800264312364 , -0.123819171477464 , 0.172479147452476 , -2.74759624307946 , 0.00416290520328147, 1.03687476485293 , -0.0287326565495388, 1.00206536905751 , -1.33342201518221 , -0.65474525209918 , -0.400522216406549 , 1.27799352676785 , -0.741291553626484 , 1.57262913223034 , -0.615107956198477 , -0.324820219440372 , -0.740285822764209 , -0.0562157390392193, -0.136519991701475 , 0.798493246543755 , -2.06766761525609 , -1.78981131135515 , -0.736168315090964 , 0.471354319194498 , -0.401772263308073 , -0.757650836948824 , 0.478256404739968 , -0.704832171452978 , 0.267919287614983 , 0.0493982951030118 , 0.747650538792995 , 1.92092804499044 , 0.240900889360017 , -0.239479754279009 , -0.0326873762895884, 1.27048793140003 , -0.404078074864352 , 1.80660805127754 , 1.79657334672481 , 0.92520809241071 , 0.462279495992742 , 0.259077070907093 , -0.803372428473405 , 1.06903627586811 , 0.0637806489547904 , -0.828469350808487 , 1.18539604230641 , -1.70372648352683 , 1.03473327800608 , 1.63962077311515 , -1.23897326967002 , 0.643281640079059 , 0.332852239522108 , -1.29225330512731 , -0.516151333930232 , 1.77098897109424 , 0.808810972980282 , -1.1717006565973 , 1.27206715077748 , -0.455031486993919 , 0.94931771244411 , 1.55298698044744 , 1.70139695279664 , -0.293551946263011 , 0.21766256867497 , -0.297991473120518 , -0.811503422152596 , -0.190384137159865 , 0.915145339337412 , 0.116074342249302 , 0.11236909935912 , -0.587303850406911 , 0.785067495969648 , -0.787861052203601 , 0.807856410680096 , 0.0768913883842934 , 0.419023664845171 , 1.00555179546927 , 0.282444804329977 , 1.49329862573574 , -0.381204936836251 , 1.57848232147806 , 2.46237041959649 , 0.0871531355866134 , -0.803959493336613 , 0.666724992421102 , 0.618388476291004 , 0.768942549192829 , -0.525708785738864 , -0.327482687852179 , -0.468148856982334 , 0.430959946467706 , 1.77241494196664 , -0.652114276317127 | 0.3103146 |
| 70 | 50 | 0.5 | 0.1 | 0.5 | control , control , control , control , control , control , control , control , control , control , control , control , control , control , control , control , control , control , control , control , control , control , control , control , control , control , control , control , control , control , control , control , control , control , control , control , control , control , control , control , control , control , control , control , control , control , control , control , control , control , intervention , intervention , intervention , intervention , intervention , intervention , intervention , intervention , intervention , intervention , intervention , intervention , intervention , intervention , intervention , intervention , intervention , intervention , intervention , intervention , intervention , intervention , intervention , intervention , intervention , intervention , intervention , intervention , intervention , intervention , intervention , intervention , intervention , intervention , intervention , intervention , intervention , intervention , intervention , intervention , intervention , intervention , intervention , intervention , intervention , intervention , intervention , intervention , intervention , intervention , 0.726336316542243 , 0.120919924905792 , 0.137389524221622 , 1.33453526898649 , 0.173222962021877 , 0.896512642465817 , -0.491442617621341 , -0.0763882362538852 , 0.155844080010867 , 0.317641746020398 , -0.123524769125116 , 0.416491179022163 , 0.122239540282841 , 0.517608379145936 , 1.05506724055603 , 0.812205624339082 , 0.547155604727992 , -0.58501905412945 , 0.287133787300565 , -0.0254438976853421 , 0.291190884150093 , 0.115340044049426 , -0.0126432171972186 , -0.393336022113931 , -0.150174766927029 , 0.745069825940148 , -0.448671317490805 , 0.615432457682103 , 0.780696840722386 , -0.000878885016365849, 1.26269265368408 , 0.617721570105366 , 0.377761120431373 , 0.360866914571869 , 1.10251723803517 , 0.226310379852805 , 0.104461509412339 , -0.909203423097705 , -1.41805362056741 , -0.0874166179493267 , -0.384978452373291 , 0.385724251141405 , 0.728333904550975 , -0.135695385611919 , -0.299523737007882 , 0.359657478424744 , 0.20994675092711 , 0.160118508798442 , 0.559001682453702 , -0.200474489028878 , 0.420062573805022 , 1.27175960251325 , -0.179639236229516 , 1.0501495930342 , 1.2876152522462 , 0.558746610712129 , -0.352543169289929 , 0.141968895869823 , -0.342276061000085 , 0.526816991925404 , 0.501733124231876 , -0.183955043636503 , 0.753204265408975 , 0.97423893546678 , 0.678978589306182 , 0.911627982065459 , 0.267489577474777 , 0.411575518698631 , 0.539175625348674 , 0.6371598255868 , 0.60767081384932 , 0.0175945275376417 , 0.466695305752635 , 0.762562695447551 , 0.902732658273741 , 1.3145987525703 , 0.915836042435814 , 1.02811202721112 , 0.251894701407434 , 0.333754804255051 , 0.405801655742133 , 1.08443178682463 , 1.48530845991811 , 0.955553810405382 , 0.493317632842395 , 0.893324834700142 , -0.0612274223831396 , 1.26770552819457 , 0.533005915152751 , 1.1317880695468 , -0.229822799255652 , 0.485061421035533 , 0.451403020316666 , -0.166132025615917 , -0.134976792196444 , 0.329917376242335 , 0.994653775125457 , 0.631956660383357 , -0.117847641136081 , 0.43361561686533 | 0.0016150 |
| 70 | 50 | 0.5 | 0.1 | 1.0 | control , control , control , control , control , control , control , control , control , control , control , control , control , control , control , control , control , control , control , control , control , control , control , control , control , control , control , control , control , control , control , control , control , control , control , control , control , control , control , control , control , control , control , control , control , control , control , control , control , control , intervention , intervention , intervention , intervention , intervention , intervention , intervention , intervention , intervention , intervention , intervention , intervention , intervention , intervention , intervention , intervention , intervention , intervention , intervention , intervention , intervention , intervention , intervention , intervention , intervention , intervention , intervention , intervention , intervention , intervention , intervention , intervention , intervention , intervention , intervention , intervention , intervention , intervention , intervention , intervention , intervention , intervention , intervention , intervention , intervention , intervention , intervention , intervention , intervention , intervention , 0.333144800039854 , -2.54686263365068 , -0.53087128779953 , -1.50469233953515 , -1.16950173337568 , 0.0476309297060735 , -1.11439233919906 , 0.709650212814541 , 0.859270781889051 , 2.38147808885041 , 0.37312434220531 , 0.604620638367425 , 1.36344539156398 , 0.34223620463644 , 2.11776241922915 , 0.931676995950823 , -1.31287561822454 , 0.185505358534986 , -0.600538792567975 , -1.35348277321979 , 1.28722747515925 , -0.0945109466960239, 0.335699866271683 , -0.512264124384423 , -0.98564554099467 , -0.0972322998783645, 0.595698142977238 , 1.46771329443469 , -1.32730511230602 , -0.282672337013287 , 0.09245436925953 , -1.04753421565481 , -0.198010309530137 , -0.341598628795356 , 0.0793441772438067 , 1.58011445680551 , -0.432153102108657 , 1.82078018873669 , 0.963298022325624 , -1.4622066619182 , 0.0404092501249471 , -0.81639195265291 , -1.2032961784336 , 0.72628108661475 , -0.203365180549031 , 1.56249082277045 , -0.44986709296569 , 0.998803348414527 , 0.310776409457667 , -1.87966132151511 , -0.647137228597676 , 1.01710866972962 , 0.721950821630321 , -0.0510814512038628, 0.432845512216935 , -0.700452778735585 , -1.75892357470665 , 1.41804457526365 , 0.608518026357218 , -0.091683487294068 , 0.653873995536843 , 2.94023082135617 , 2.35213008402988 , -0.0751492275383803, 0.949583876641305 , 0.0940775947731788 , 1.12343425760096 , -0.997621786842082 , 1.44868520836923 , 0.145778219655211 , 0.0772670712145287 , 0.600389285374051 , 0.894296573461433 , -1.16939460520271 , 0.73430484023707 , 0.41262010178585 , 0.670828899693562 , -0.887625162010576 , 0.72479146508017 , -0.154782252819401 , 0.0389909747170893 , 2.081405407445 , 0.669251902388112 , -0.341596628460794 , -0.0119043720568229, -0.521263392929189 , 0.734403785359628 , 0.324178610616847 , -0.850046586343403 , 1.10401150154946 , 0.639135743500592 , 0.775053012242182 , 2.14117090330529 , 0.548641516302864 , 0.505346575590686 , 1.43775891770809 , -0.576713548987466 , 0.64486620698438 , 1.84413412949931 , -0.0252523826714655 | 0.0326470 |
| 71 | 20 | 0.0 | 0.0 | 0.5 | control , control , control , control , control , control , control , control , control , control , control , control , control , control , control , control , control , control , control , control , intervention , intervention , intervention , intervention , intervention , intervention , intervention , intervention , intervention , intervention , intervention , intervention , intervention , intervention , intervention , intervention , intervention , intervention , intervention , intervention , 0.81886815385608 , 0.0475451170523016 , 0.488542815547421 , -1.11807029838342 , 0.334713165924967 , 0.232236300198559 , -0.893254844755475 , -0.992399224861825 , 0.312507448546734 , 0.594422042377495 , 0.458545400437221 , 0.259090282313679 , 0.665589074619503 , -0.545721173636506 , -0.306877872254004 , 0.435455894451865 , 0.260039085170984 , -0.45469569408092 , 0.558420785172763 , 0.704579863519517 , 0.517310757031965 , 0.138317577259734 , -0.493206402833923 , 0.35905989746202 , 0.127053998374064 , 0.446362450047677 , -0.529460059893307 , -0.203111355061677 , -0.177607335153091 , -0.224262647279306 , -0.0160069618119621, -0.183962840089088 , -0.514879410881766 , -0.28612979573008 , 0.256035298046476 , -0.384093536648386 , 0.119465016099455 , -0.205874770413181 , -0.143044961857028 , -0.137937703078951 | 0.2667968 |
| 71 | 20 | 0.0 | 0.0 | 1.0 | control , control , control , control , control , control , control , control , control , control , control , control , control , control , control , control , control , control , control , control , intervention , intervention , intervention , intervention , intervention , intervention , intervention , intervention , intervention , intervention , intervention , intervention , intervention , intervention , intervention , intervention , intervention , intervention , intervention , intervention , -0.841940070002196 , -0.584900010605073 , 1.31654497049348 , 1.00766839225029 , 0.813600179859366 , 0.948928933888774 , 0.145008626861463 , 0.881007833869134 , -2.18887382331258 , -1.11027169369229 , 0.097310476481541 , 0.854662715528506 , 0.217349899029299 , -0.893866985355594 , 0.80576275071098 , 1.74645089226852 , -1.76932068165542 , -0.560451135754128 , 0.436875330912102 , -0.43504450073353 , -0.429812504928979 , 0.559811103931914 , 1.20429252265416 , 0.464996981577885 , 1.62795309867394 , -0.18672224143576 , 0.42317239436563 , 0.425645366044352 , 0.82725322734843 , 0.590359639384814 , -0.146036777631331 , -0.577783189553874 , -0.135830974502056 , -1.13732520547157 , -0.488496808961703 , 0.183729667230535 , -0.978138453996064 , -0.0926413120299339, 1.03290664703935 , -0.039075817380665 | 0.6968401 |
| 71 | 20 | 0.0 | 0.1 | 0.5 | control , control , control , control , control , control , control , control , control , control , control , control , control , control , control , control , control , control , control , control , intervention , intervention , intervention , intervention , intervention , intervention , intervention , intervention , intervention , intervention , intervention , intervention , intervention , intervention , intervention , intervention , intervention , intervention , intervention , intervention , -0.713652940118538 , 0.0962305394329761 , -0.9887192555235 , -0.152254428934599 , -1.05382199095373 , 0.251263752655261 , 0.340848507917815 , -0.399869728519512 , 0.225753462121329 , -0.400397546277918 , 0.105104519501761 , -0.335551598878783 , -0.692051444553777 , 0.725826896109673 , -0.420994917509271 , 0.124208692757787 , -0.0967844339753199 , 0.314335556719344 , -0.270970939402627 , -0.14229304347492 , -0.106493287137086 , 0.154044437049254 , -0.93707444537384 , 0.172334682335707 , -0.506346613531837 , -0.485587122499955 , 0.305598151068095 , 0.162023676929362 , 0.26366321566282 , 0.269873469070861 , 0.0729315045422151 , -0.000927632622757192, -0.0504600031205678 , 0.241193871471286 , -0.721472307187352 , -0.749178739436697 , 0.0706984016175941 , 0.012731779511804 , -0.0846212378403402 , -0.581539040575577 | 0.7182916 |
| 71 | 20 | 0.0 | 0.1 | 1.0 | control , control , control , control , control , control , control , control , control , control , control , control , control , control , control , control , control , control , control , control , intervention , intervention , intervention , intervention , intervention , intervention , intervention , intervention , intervention , intervention , intervention , intervention , intervention , intervention , intervention , intervention , intervention , intervention , intervention , intervention , 1.27600592135807 , -0.0760458344786028, 0.301178399899753 , 0.340188275710858 , 0.417546062353679 , 0.384299876175191 , -0.662580752458964 , 1.89845968058353 , -0.20578452763261 , 3.16981768750599 , 1.98027466547094 , -0.363202094721725 , -1.70533595319759 , -0.144034702924397 , 1.46850688617447 , 0.79979896629376 , 0.570404545467838 , 1.11024285025183 , -0.123638810259006 , -1.32209035138149 , -0.655836740384084 , -0.788081121086407 , -0.795522947261832 , -0.823242219346976 , 0.552034207648385 , -0.664275289442772 , 1.15961805817401 , -0.58181115463337 , -1.98532776227992 , -0.656042886286507 , 0.548009187007063 , 0.234245638843419 , 1.01239833946568 , 0.906034761250819 , -1.31395588429145 , 0.455331216422485 , 1.25551685856116 , 1.52905791234978 , -1.0158247269123 , 0.716335478314284 | 0.1487674 |
| 71 | 20 | 0.5 | 0.0 | 0.5 | control , control , control , control , control , control , control , control , control , control , control , control , control , control , control , control , control , control , control , control , intervention , intervention , intervention , intervention , intervention , intervention , intervention , intervention , intervention , intervention , intervention , intervention , intervention , intervention , intervention , intervention , intervention , intervention , intervention , intervention , 0.117324606211377 , -0.0398850347968532, 0.885548361885158 , 0.220583187825392 , -0.5065007092195 , 0.503732453164006 , 0.182540099279214 , -0.267346417009348 , 0.321763229436127 , 0.35231403281743 , -1.16067823047388 , -0.0212377611325544, -0.0189553795287648, -0.0294395336704839, 0.614460122175412 , -0.388535784030188 , 0.0488702726089611 , -0.701917885658466 , 0.869610127893432 , 0.228653563248986 , 1.12561445053626 , 0.019287586586884 , 0.837511779644076 , 0.271021833599183 , -0.0876801552672912, 0.0967084818030232 , 1.20532064597479 , 0.801267018209084 , 1.16807271425914 , 0.805127036867446 , 0.161617215773353 , 0.836092058410734 , 0.293310825576957 , 0.331470025016748 , -0.452972585909268 , 0.46633426229922 , 1.29716418724036 , 0.29095439070998 , 0.484404031250671 , 0.635503332284404 | 0.0044156 |
| 71 | 20 | 0.5 | 0.0 | 1.0 | control , control , control , control , control , control , control , control , control , control , control , control , control , control , control , control , control , control , control , control , intervention , intervention , intervention , intervention , intervention , intervention , intervention , intervention , intervention , intervention , intervention , intervention , intervention , intervention , intervention , intervention , intervention , intervention , intervention , intervention , 0.942131345467123 , 0.495536740187561 , -0.0806478734986165, -0.223811193871653 , 0.223495024442796 , -1.61503050535225 , 0.43801105100534 , 0.259815670942388 , -0.571135681305859 , -0.213222471217829 , 0.680953752303653 , -1.82758043672065 , 0.904267368006644 , 0.984836710864695 , 0.651708667599089 , -1.31702966567841 , -1.01378011898961 , -1.25378073230746 , -0.681472447318029 , -0.0514442012905541, 1.33562879130344 , 0.932494689441116 , 0.982779615514888 , -0.54801560298485 , 0.0645001921285843 , 0.14265525340612 , 2.81460778741422 , 0.153854533954187 , 0.219185966313668 , 0.468266085994675 , 1.10079336904058 , 0.570620951903032 , 1.03271534242468 , 0.0782535679501213 , 1.45016420442918 , 0.355646218422198 , 0.236247315728224 , -0.96742213241835 , -0.257611990085272 , 1.7212301997771 | 0.0089260 |
| 71 | 20 | 0.5 | 0.1 | 0.5 | control , control , control , control , control , control , control , control , control , control , control , control , control , control , control , control , control , control , control , control , intervention , intervention , intervention , intervention , intervention , intervention , intervention , intervention , intervention , intervention , intervention , intervention , intervention , intervention , intervention , intervention , intervention , intervention , intervention , intervention , 0.236269153065299 , -0.674985869549083 , 0.549322099268603 , 0.70381688697015 , 0.675939416697629 , -0.277523842514102 , -0.0868648400998434 , 0.273808486174094 , 0.158098547836636 , 1.08463881924047 , -0.00360336018910087, -0.702430898982828 , 0.421675379809368 , 0.577967419121251 , 0.497371450482823 , 1.01917522238816 , 0.364988639696447 , 0.0904369343387405 , 1.1556749661169 , -0.41858694444432 , 0.47300928939497 , 0.53940951980384 , 0.583135623012995 , 0.674169421854164 , 0.952890400250314 , 0.903978704646479 , 0.0574221729507429 , 1.13609759784932 , 0.629522314732963 , 0.226526498589708 , -0.0108067998437121 , -0.049224773522545 , 0.275913755522643 , 0.528919796067096 , 0.736778825714937 , 0.258678521103974 , 0.372059265297782 , 0.495385145622436 , 1.13126019308027 , 0.41463254141434 | 0.1085911 |
| 71 | 20 | 0.5 | 0.1 | 1.0 | control , control , control , control , control , control , control , control , control , control , control , control , control , control , control , control , control , control , control , control , intervention , intervention , intervention , intervention , intervention , intervention , intervention , intervention , intervention , intervention , intervention , intervention , intervention , intervention , intervention , intervention , intervention , intervention , intervention , intervention , 1.33524297827533 , 0.117186715733122 , 0.075485484848904 , 0.785055369473864 , -1.64824935187205 , -1.41789441404573 , -0.539028450627676 , -0.432951234475224 , -0.498067490560754 , 1.25200759906784 , 2.36609234044674 , -1.65945748970314 , 1.05006973675083 , -0.862298190791658 , -0.857040547016048 , -1.63724689546446 , 0.58565694601875 , 2.24335815936604 , -0.693325112597479 , 0.937781006360975 , -0.952208490352286 , 0.693703314644911 , -0.317128915709414 , 0.642176605213909 , 1.10460089793227 , 1.51097938908773 , -1.26393713261912 , 1.85841845995173 , -0.712774037827766 , 0.42430235630702 , -0.315195723792332 , -0.744277595231952 , -0.714239871398533 , 1.01678390837322 , 1.00107438613485 , 0.844690063410954 , -0.0147736624619144, 0.675830677938118 , 0.506972340441216 , -0.439539556193185 | 0.5336782 |
| 71 | 50 | 0.0 | 0.0 | 0.5 | control , control , control , control , control , control , control , control , control , control , control , control , control , control , control , control , control , control , control , control , control , control , control , control , control , control , control , control , control , control , control , control , control , control , control , control , control , control , control , control , control , control , control , control , control , control , control , control , control , control , intervention , intervention , intervention , intervention , intervention , intervention , intervention , intervention , intervention , intervention , intervention , intervention , intervention , intervention , intervention , intervention , intervention , intervention , intervention , intervention , intervention , intervention , intervention , intervention , intervention , intervention , intervention , intervention , intervention , intervention , intervention , intervention , intervention , intervention , intervention , intervention , intervention , intervention , intervention , intervention , intervention , intervention , intervention , intervention , intervention , intervention , intervention , intervention , intervention , intervention , -0.511456389657659 , 0.297224608958076 , 0.0358474292532569 , 0.0990882936604419 , -0.345436659528584 , -0.96366491509631 , 0.487088884550075 , 0.91647403408447 , -0.429119778687263 , 0.556006330652181 , -0.0651758525975888, 0.621066085693328 , -0.14480977433059 , -0.738352460268226 , 0.180377026361017 , -0.380907744156635 , 0.288953354308167 , -0.460309065004604 , 0.196467728707989 , -0.0529371134636784, 0.814095822647458 , 0.363304518099455 , 0.451495885126188 , -0.109603248205529 , -0.157435745123304 , -0.261158523209433 , 0.0208017803722916 , 0.869806112659699 , 1.03973623014081 , 1.03551033917528 , 0.776137761938357 , 0.0326054892260619 , -0.125487776198808 , -0.124341195569066 , 0.27156157303208 , 0.681751472284349 , -0.0959323856053569, 0.257521768444325 , -0.198268901058454 , -1.2411452995547 , 0.225705432959842 , 0.017914954639937 , -0.16114781495087 , -0.957096062361449 , -0.692529771045787 , -0.115751432443624 , -0.450252649437292 , -0.0435308476411181, 0.19889592466816 , -0.361685296724614 , -0.322023516925324 , 0.147868465656615 , 0.138360436564519 , 0.171953002430873 , 0.8095125886253 , -0.166055447980049 , -0.266033333695254 , 0.566200261899643 , -0.765672873787696 , -0.214699502106886 , -0.105518384295959 , -0.185608498923626 , 0.245991041246774 , -0.174984424282933 , 0.487809008548014 , 0.0368972121412848 , 0.301517570357256 , -1.58748323617825 , 0.970908580185339 , -0.485395519024048 , -1.05557638260649 , 0.295022943546323 , -0.474776432039398 , 0.460273660537896 , -0.0728972539790664, 1.14048693320878 , -0.343400514403425 , 0.465945296001854 , 0.958201372652783 , -0.672960801364593 , -0.0707546228495059, 0.278635431178685 , -0.2524912496939 , 0.332492266327176 , -0.243447588463364 , -0.369329917695147 , 0.339798504806624 , -0.0913876919797379, 0.574412838303674 , 0.277070465982112 , -1.21116221627974 , -0.141453806418189 , -0.47512867152652 , -0.40909301703674 , -0.0217834130714067, 0.161792525048433 , -0.294678738781848 , -0.418186515013194 , 0.0264361852977039 , -0.517193622407075 | 0.4753802 |
| 71 | 50 | 0.0 | 0.0 | 1.0 | control , control , control , control , control , control , control , control , control , control , control , control , control , control , control , control , control , control , control , control , control , control , control , control , control , control , control , control , control , control , control , control , control , control , control , control , control , control , control , control , control , control , control , control , control , control , control , control , control , control , intervention , intervention , intervention , intervention , intervention , intervention , intervention , intervention , intervention , intervention , intervention , intervention , intervention , intervention , intervention , intervention , intervention , intervention , intervention , intervention , intervention , intervention , intervention , intervention , intervention , intervention , intervention , intervention , intervention , intervention , intervention , intervention , intervention , intervention , intervention , intervention , intervention , intervention , intervention , intervention , intervention , intervention , intervention , intervention , intervention , intervention , intervention , intervention , intervention , intervention , 0.330217215538315 , 0.510573646420714 , -0.446757961129874 , 0.97319187893397 , 0.267002192341176 , 0.768791737822357 , 1.37088291845425 , 0.354401643353336 , 0.696400685948279 , 0.972163051558765 , 1.07676621190653 , -0.330495260801368 , 0.307269073235574 , 0.584857493750375 , -0.991332967535191 , 1.56041425006127 , 1.84880924551621 , -1.20130227232582 , 0.312112049423259 , -0.189766653647425 , -0.199594499607752 , -0.685723854130846 , -2.57107616186677 , -0.49689106866522 , 0.148120196638552 , 0.128505812548008 , 0.0129759451314634 , -0.830498537934507 , -0.608742218205588 , 1.39831563976367 , 2.13529905552655 , -1.3032564989194 , -0.70714680608243 , -1.21914459403436 , -0.0711988879661757, 0.393065332472226 , 0.823191327415522 , -0.0583376768692318, -0.267647484954557 , 0.211648295602123 , 0.627264125120505 , 0.91579198183025 , 0.311904756323684 , 0.795690330309312 , -1.11945809873366 , -0.0892707399988771, 0.96916027895978 , -0.837855006592152 , -1.08579961235182 , 0.55776992222235 , -0.0343043426209911, -0.853792208139476 , 0.349398623410627 , -0.0459651734717718, -1.27996703528095 , -1.15011427923389 , 0.739600379724056 , 0.97581609694019 , 0.642871395302806 , 1.74584683387057 , -0.952769278485074 , -1.39058775833913 , -1.04428383415293 , -0.557531019276478 , -0.506714229221584 , -0.509760227419532 , -1.09315426715726 , 0.0694508337020363 , -2.16750844620572 , -0.515305939294255 , -2.43182092233734 , -0.861883549548119 , -1.58896085446488 , 0.00024608545696818, 1.06601071546254 , -0.768608640918819 , -1.23885431191724 , 0.814230149924895 , 0.138549803168591 , -0.83794548062337 , -0.22615336889094 , -1.44102444063457 , 0.231188985345895 , 0.996838138143952 , 0.305321355430605 , 1.25347954893407 , 0.0882966633883401 , 0.901193472822571 , -0.646685689004146 , -0.165819798953667 , 0.0383545152478587 , 1.78299895407504 , 1.88528096565467 , 2.61300623999896 , 1.67596552036325 , -0.989976685384573 , -0.390173293682973 , -0.99452673719595 , -0.788829483229872 , -0.201554010780064 | 0.1844619 |
| 71 | 50 | 0.0 | 0.1 | 0.5 | control , control , control , control , control , control , control , control , control , control , control , control , control , control , control , control , control , control , control , control , control , control , control , control , control , control , control , control , control , control , control , control , control , control , control , control , control , control , control , control , control , control , control , control , control , control , control , control , control , control , intervention , intervention , intervention , intervention , intervention , intervention , intervention , intervention , intervention , intervention , intervention , intervention , intervention , intervention , intervention , intervention , intervention , intervention , intervention , intervention , intervention , intervention , intervention , intervention , intervention , intervention , intervention , intervention , intervention , intervention , intervention , intervention , intervention , intervention , intervention , intervention , intervention , intervention , intervention , intervention , intervention , intervention , intervention , intervention , intervention , intervention , intervention , intervention , intervention , intervention , -0.974332692594696 , 1.2491534629977 , -0.556550976212699 , -0.256302209596374 , -0.305944512501011 , 0.079968329881442 , -0.889678557461974 , 0.209749277644176 , 0.300852999464112 , 0.439538878557669 , 0.00541412903480354, 0.341853429451299 , -0.238082174955081 , -0.173410976923662 , -0.40106282293907 , 0.447724239596017 , -0.504027913300772 , 0.122266278696474 , -0.573743810786657 , 0.23062440291339 , -0.0349332273234192, -0.561839697075813 , 0.108591196445419 , 0.358468056325397 , -0.121748463473625 , 0.904105307561461 , 1.40729495476289 , 0.454621705182678 , 0.292452774810367 , -0.486021008477737 , 0.299943706956497 , -0.37915358506282 , -0.466801849152398 , 0.909427105876559 , -0.482529957219268 , -0.203781612831034 , 0.27713762807042 , -0.162543669636682 , 0.307574683359391 , 0.334996933866321 , -0.276651542187482 , -0.207511455419393 , -0.566226519086804 , 0.819630920019642 , 0.576908298697461 , 1.39907139202616 , 0.40108991388124 , 0.763476113515393 , 0.160220752992742 , 0.709597309628311 , -0.196281879954219 , 0.324456921448642 , 0.700388292133656 , -0.223006807305618 , 0.931618554848661 , -0.749553171701703 , -0.383318861830008 , 0.432694270144466 , 0.642194206785081 , -0.33982925239981 , 0.370909721517615 , 0.00917155692899066, -0.742578491539691 , 0.0835317292865342 , -0.143027811595694 , -1.04198307906941 , 0.451904022193816 , 0.205409398796961 , 0.206813529070689 , 0.119604071510953 , -0.161251758421393 , -0.451258632831531 , 0.208825082398549 , -0.538533016559289 , 0.721157197626696 , 0.24132205756514 , 0.124602900331902 , 0.404752348586022 , 0.0736661112685325 , -0.481875942149556 , -0.180440984908259 , 0.147535081710738 , 0.264778559127399 , -0.0843708506895057, -0.331561401146404 , -0.940110613928527 , -0.273269104552366 , -0.240718749333915 , -0.160556909447211 , 0.201698419593334 , -0.418130373291463 , 0.0413390994542052 , 0.0164037218154303 , 0.239215369891186 , -1.01749874224787 , 0.827642549453568 , 0.586485656233551 , -0.234985741037884 , -0.780027392356177 , -0.117294138757146 | 0.1938179 |
| 71 | 50 | 0.0 | 0.1 | 1.0 | control , control , control , control , control , control , control , control , control , control , control , control , control , control , control , control , control , control , control , control , control , control , control , control , control , control , control , control , control , control , control , control , control , control , control , control , control , control , control , control , control , control , control , control , control , control , control , control , control , control , intervention , intervention , intervention , intervention , intervention , intervention , intervention , intervention , intervention , intervention , intervention , intervention , intervention , intervention , intervention , intervention , intervention , intervention , intervention , intervention , intervention , intervention , intervention , intervention , intervention , intervention , intervention , intervention , intervention , intervention , intervention , intervention , intervention , intervention , intervention , intervention , intervention , intervention , intervention , intervention , intervention , intervention , intervention , intervention , intervention , intervention , intervention , intervention , intervention , intervention , -0.375789245317337 , 0.143654940262054 , -1.04282174830193 , -0.985474120373738 , 0.16276016526868 , -0.729598803133835 , 0.256391332386721 , -0.620454078465333 , 0.399333384392964 , 0.778845041652079 , -0.207764842068781 , 1.50888061414522 , -0.965732478286205 , -1.87757787491004 , 1.08599434864031 , 0.346909957494495 , 0.104052707877073 , 0.844662159477034 , -0.381906273731303 , -0.800594145894209 , 0.739629585661223 , -0.210185419773241 , 0.673665334081583 , 0.087013687495209 , 0.325460552252865 , 0.867586899589575 , -1.64086189421266 , 1.88509772054081 , 0.596446545144795 , -0.148043745511565 , -0.954495373100395 , 0.473225369061518 , -1.33812798627575 , -0.280248875013862 , -1.11097129168933 , -1.0317943862096 , 0.212633821995858 , -0.511326622228501 , 1.14139166544573 , -0.303609701774554 , -0.627780842206462 , -0.484755771233374 , 0.247861763194963 , -1.43216033428084 , -1.72853784500687 , 0.978359657781744 , -1.22851747362676 , -1.14753221397478 , 1.97505016411941 , -1.12304867228853 , -1.5740567019795 , -0.3103917345255 , -0.933263455709327 , 2.05615032267172 , -0.780599662318206 , -0.241361710300478 , -0.435051207597821 , -1.5151596462746 , -0.459784076455858 , 1.63341752811778 , -1.30014039144149 , 0.671748160021521 , -0.427100305197516 , 0.20240069593453 , -0.632916536606829 , 0.549243550224525 , 2.28239046043875 , 1.6599999208747 , 4.02208794187425 , -0.848788433088079 , -0.778278054923578 , 1.98625735188942 , -0.376622178569919 , 0.977916507293183 , -1.54958764452036 , -1.21646977375761 , -1.46338172196538 , -2.44091080560439 , 1.00546728713767 , -2.12926751829628 , 0.21215789180892 , 0.736702895215747 , -0.231901829519966 , 0.14078352196518 , 0.167662185117154 , 0.891928251646364 , 0.694750835620711 , 0.342192489011321 , 0.112831656189694 , -0.135221033363524 , 0.566226718761238 , 0.662924408246285 , 0.659729653658805 , -1.93968107706361 , -0.32025192668505 , -0.0765920133544079, 0.0143247770888047 , -0.0550122265016303, 0.75517405493563 , -0.468874645583366 | 0.4730588 |
| 71 | 50 | 0.5 | 0.0 | 0.5 | control , control , control , control , control , control , control , control , control , control , control , control , control , control , control , control , control , control , control , control , control , control , control , control , control , control , control , control , control , control , control , control , control , control , control , control , control , control , control , control , control , control , control , control , control , control , control , control , control , control , intervention , intervention , intervention , intervention , intervention , intervention , intervention , intervention , intervention , intervention , intervention , intervention , intervention , intervention , intervention , intervention , intervention , intervention , intervention , intervention , intervention , intervention , intervention , intervention , intervention , intervention , intervention , intervention , intervention , intervention , intervention , intervention , intervention , intervention , intervention , intervention , intervention , intervention , intervention , intervention , intervention , intervention , intervention , intervention , intervention , intervention , intervention , intervention , intervention , intervention , -0.368483659012351 , -0.958661340494525 , -0.0263820427283601, -0.510198697953648 , -0.715072510923371 , -0.0844533681703338, -0.11199413331182 , -0.353276853034508 , 0.772861909768996 , 0.219492717205717 , 0.948590908119501 , -0.199133940319371 , -0.615517999360173 , -0.16816439094368 , -0.107470586867377 , -0.147820484180485 , -0.236507551396204 , -0.711795607919766 , -0.257423806969082 , -0.730292861564816 , -0.508906651450872 , 0.120769686026403 , -0.565755838029343 , -0.220350952490819 , -0.276605162058596 , -0.0865112675557982, 0.346232585243286 , -0.359879555808396 , -0.75909876561207 , -0.220048098557957 , -0.30365203334863 , 0.125958984433895 , -1.46688761040759 , -0.897165630856377 , -0.18920803972613 , -0.268562539699536 , -1.61169186487914 , -0.151600975478799 , -0.120684056094473 , 0.503472735888669 , 0.658025775206109 , -1.1923430642728 , 0.832485010376634 , 0.322926220912174 , 0.133418126181508 , 0.444149765217492 , 0.143838870007849 , -0.58113597318494 , -0.481299111932203 , -0.110922761344562 , -0.138315636036829 , 0.980396061679734 , 0.818349736138798 , 0.653776146780898 , 0.356352612756541 , 0.998764743713701 , 1.28806246022463 , 0.154232191100956 , 0.648877203324178 , 0.490919293276924 , 0.704415386979565 , 0.598357630618738 , -0.263237117672041 , 0.104119809223843 , 0.990577934670803 , 0.226546096616047 , 1.12731157714645 , 0.306673455982016 , 0.40118359295795 , 0.101430857034781 , 1.35779803605915 , 0.955818414385453 , 1.21437956021101 , 0.960154403121734 , 0.221932519239812 , 0.754929821816182 , 0.317779753265874 , -0.187464612572507 , 0.302170317315143 , 0.481556128553921 , 1.49159541426609 , 1.34326095536079 , 0.63382820164946 , -0.0544127482266314, 0.136258664309992 , -0.103912820287855 , -0.0609312827155729, -0.0843164826220294, 0.606351624424447 , 0.022745405418739 , 0.463569137833599 , 1.02517123865384 , 0.961659745123858 , -0.427795757850013 , 0.917585630892438 , 0.315842966939863 , 0.717131570370645 , 0.197971869098659 , 0.942715994514548 , 0.397861666688624 | 0.0000000 |
| 71 | 50 | 0.5 | 0.0 | 1.0 | control , control , control , control , control , control , control , control , control , control , control , control , control , control , control , control , control , control , control , control , control , control , control , control , control , control , control , control , control , control , control , control , control , control , control , control , control , control , control , control , control , control , control , control , control , control , control , control , control , control , intervention , intervention , intervention , intervention , intervention , intervention , intervention , intervention , intervention , intervention , intervention , intervention , intervention , intervention , intervention , intervention , intervention , intervention , intervention , intervention , intervention , intervention , intervention , intervention , intervention , intervention , intervention , intervention , intervention , intervention , intervention , intervention , intervention , intervention , intervention , intervention , intervention , intervention , intervention , intervention , intervention , intervention , intervention , intervention , intervention , intervention , intervention , intervention , intervention , intervention , -0.274986238194655 , -0.49760632916438 , -0.932239707094026 , -0.502919643809166 , 0.235401137996964 , 1.68909196524222 , 0.0638345903876117 , -0.344478528127774 , 0.236568102350059 , -0.772908809321505 , -1.53834472988848 , -1.00397822360263 , -1.10391690464788 , 1.31549664862981 , 0.634357004103748 , 1.69618980794414 , -0.0395108940478471, 0.784283528137363 , 1.50425798605931 , -0.139876404701972 , -0.0633607792937953, -0.0999921745299062, 0.545360229471649 , -0.19112936872482 , -0.0122519316047805, -0.695518763494989 , -0.998295910145644 , -0.643456693471325 , 0.999450423334741 , -1.55353406182166 , 1.74517532095899 , -1.00130914088624 , -0.355087517256309 , -0.631968394899439 , 0.356694663001216 , -0.373082023697044 , 0.6532452211823 , 0.0199861722687402 , -0.77391691897548 , -0.0231743448563283, 2.57824757274836 , -1.5493681201319 , 0.138954681643392 , 0.22098531515598 , -1.07762660678167 , 0.0386294176428329 , 0.60701930954868 , 1.38746454260955 , -0.909319535838404 , 1.12633523139458 , 0.774561310907506 , 0.607175565943233 , 0.0127774042931769 , 0.400696342457834 , 0.414054374113034 , 1.71988889488756 , -0.344222634915963 , 0.969810400604833 , 1.44866395313931 , 1.43643107087949 , 0.983529687535121 , 0.78498712935754 , -0.494541543416952 , 0.0424099643915006 , 1.26762334987231 , 0.169814725036155 , 0.805359082024778 , 0.123541047994302 , 0.711262310184336 , 0.260563770527167 , -0.0983039697250448, -2.65603559311341 , 1.37720776477172 , 0.286921945655412 , 1.164846674869 , -0.236261091656385 , 0.891918985784643 , 0.240200029750324 , 0.993238824873309 , 1.67722939654124 , 0.779870235686898 , -0.688875198010308 , 2.16174417148354 , 0.836512596166706 , 0.900330183502014 , 0.852007876007437 , 0.852413794933439 , 0.334081664830749 , 1.70914919903105 , 1.75415112672124 , 0.318523413275855 , 0.597670592344428 , -0.615959826403457 , 0.396779340954042 , 0.532596197242437 , 2.01757747520974 , -0.756912626460123 , 1.38763108177046 , 1.53038955996196 , 1.50410496466626 | 0.0006774 |
| 71 | 50 | 0.5 | 0.1 | 0.5 | control , control , control , control , control , control , control , control , control , control , control , control , control , control , control , control , control , control , control , control , control , control , control , control , control , control , control , control , control , control , control , control , control , control , control , control , control , control , control , control , control , control , control , control , control , control , control , control , control , control , intervention , intervention , intervention , intervention , intervention , intervention , intervention , intervention , intervention , intervention , intervention , intervention , intervention , intervention , intervention , intervention , intervention , intervention , intervention , intervention , intervention , intervention , intervention , intervention , intervention , intervention , intervention , intervention , intervention , intervention , intervention , intervention , intervention , intervention , intervention , intervention , intervention , intervention , intervention , intervention , intervention , intervention , intervention , intervention , intervention , intervention , intervention , intervention , intervention , intervention , -0.0832749269265018, -0.303733013701378 , 0.174413834233117 , 0.422391196265822 , -0.0927870192095286, -0.479991838028441 , 0.707510164637727 , -0.0395209586567607, 0.237834729441445 , -0.10409205318652 , -0.351396923413323 , 1.10606832741897 , 0.310822624959429 , -0.380931438036828 , 0.225875371348071 , 0.890126532550303 , 0.0220014582198698 , -0.327685281943779 , -0.255332802867802 , 0.292990953230212 , 0.245973945215117 , -0.299625456326506 , -0.176771382252946 , 0.0524890093018518 , 0.333371735623899 , -0.144346990545176 , -0.132597068948925 , 0.300061684487558 , 0.361658652991403 , 0.0624411231869096 , 0.580162475244783 , 0.515671457418208 , -0.0853642575111242, -0.243063044599283 , -0.173397366042961 , 0.271619630012017 , -0.747834881414889 , 0.330329112800003 , -0.658709963553806 , -0.272548931900961 , -0.234848912572765 , 0.35880666907311 , -0.230139247676014 , 0.564511629648762 , 0.753493295875897 , 0.730655776332215 , 0.0549324816494238 , 0.93515715522459 , -0.290982674802352 , 0.992773529694828 , 0.80002462061084 , 0.857082817733836 , 0.573610011712985 , 0.624235210906722 , 0.57888813149123 , 0.295323422861999 , 0.698558341081804 , -0.0529543831475173, 0.199923153550829 , 0.884570287092285 , 1.12654496003804 , 0.960901371460133 , 1.22430780735912 , 1.00501796092939 , 0.380162495602272 , 0.888360060934588 , 1.03774277084864 , 0.553839923114748 , -0.211540568382994 , 0.373856121756131 , 0.68688240363394 , -0.197322067380823 , -0.0700372674172668, 1.01827596158381 , 0.475624678598431 , 0.140007777005279 , 0.328875489282278 , 0.448824694010575 , 0.0252298143953914 , 0.664162603851875 , 0.928776909223775 , 0.81343355008497 , 0.655120468193026 , 0.41901469324466 , 0.567965818064163 , 0.732178433254636 , 0.0229283489334786 , 0.679008735366574 , 0.511528290746176 , 0.263180573354137 , 0.789784159003378 , 0.349142936213358 , 0.430166936691137 , 0.867979686380992 , 0.724160641615755 , 0.666398371497418 , 0.91192334642339 , -0.203366466248592 , 0.77208621072528 , 0.462621610365919 | 0.0000003 |
| 71 | 50 | 0.5 | 0.1 | 1.0 | control , control , control , control , control , control , control , control , control , control , control , control , control , control , control , control , control , control , control , control , control , control , control , control , control , control , control , control , control , control , control , control , control , control , control , control , control , control , control , control , control , control , control , control , control , control , control , control , control , control , intervention , intervention , intervention , intervention , intervention , intervention , intervention , intervention , intervention , intervention , intervention , intervention , intervention , intervention , intervention , intervention , intervention , intervention , intervention , intervention , intervention , intervention , intervention , intervention , intervention , intervention , intervention , intervention , intervention , intervention , intervention , intervention , intervention , intervention , intervention , intervention , intervention , intervention , intervention , intervention , intervention , intervention , intervention , intervention , intervention , intervention , intervention , intervention , intervention , intervention , 0.276486114041944 , 1.0848870725463 , 0.2946736820463 , 0.466287144065021 , -1.85405056424849 , -0.176220794143584 , -1.63185711687932 , 0.930045492569799 , 0.536029407787152 , -0.954153337617427 , -1.31976806688221 , 1.30393076791795 , 1.22239602233877 , -0.486120051581495 , -1.70377696286625 , -0.482322085302441 , 0.651266462893738 , -0.00316744245750568, -0.268362125892906 , 0.477157544838136 , -0.0102780007587228 , -0.108416393935205 , -1.19215766299613 , 1.66633635793617 , 0.0119917830496505 , 1.31584625473292 , -0.773582191971316 , -0.081213945994079 , 1.6355632961537 , 1.2693178135133 , 1.28382085951063 , -1.53094193704171 , -1.0299691207865 , 0.865473272458072 , 0.994029199913331 , -2.34023608993653 , -0.137957481455427 , -0.288902522200445 , -0.383716793022666 , -1.12132418957823 , 1.30539799086846 , 0.559392336595265 , -0.298606801685713 , 0.789373840689368 , 0.612131766170698 , 2.27244020690432 , -0.264393182095201 , -0.449891636719741 , -1.28767178803597 , 0.301152483940992 , 0.21209650959382 , 0.326263133031657 , 1.94159758457857 , 1.11196189203826 , -1.10989641559035 , -2.14050380072267 , -0.82766487342546 , 0.899590130534995 , -0.370368169971425 , 1.03945473944503 , -1.23798912347069 , 0.159648853346272 , -1.01844741232307 , 1.62615029330969 , 0.898474758271224 , 0.672532613960737 , 0.670622979185488 , -0.802230221451023 , 1.51740283512998 , 1.48131003233251 , -0.280551355936826 , 1.49620288535529 , 0.997255522875017 , 0.931256778383533 , 0.108875494700641 , 0.0640313879829815 , 1.25663942216968 , 0.510051705115637 , 0.754725801572753 , -0.562317427222138 , 1.20837298325607 , 0.680986023569457 , 0.640253896285677 , -1.17534754955737 , 1.53731986193916 , 0.486055141309608 , -0.960340076260015 , -0.312190775206066 , 0.471780043070165 , -0.0742025813317531 , 0.200075959198424 , 0.86635569489386 , 0.557433210812413 , 1.30290074632584 , 2.13159708455218 , 1.34078535343692 , 1.83489237421868 , 1.41048028457992 , -0.765506277742122 , 1.32897235582562 | 0.0394952 |
| 72 | 20 | 0.0 | 0.0 | 0.5 | control , control , control , control , control , control , control , control , control , control , control , control , control , control , control , control , control , control , control , control , intervention , intervention , intervention , intervention , intervention , intervention , intervention , intervention , intervention , intervention , intervention , intervention , intervention , intervention , intervention , intervention , intervention , intervention , intervention , intervention , -0.334956117434436 , 0.29023264720806 , -0.25610126360501 , -0.589268058698552 , -0.354610380382811 , 0.348364290649683 , -0.703699119401539 , 0.364904168002028 , -0.303334880333065 , 0.278255954245305 , -0.519873800503616 , -0.0603244761390783, 0.318036842285646 , 0.228350820759746 , 0.573716453721527 , -0.0592119168106874, 0.534924563429818 , 0.151767882804139 , 0.613163452187379 , 0.0658087542853862 , -0.398905911991675 , 0.578953724811047 , -0.208020281814136 , 0.133464301853346 , -0.499857957813232 , 0.20710955518805 , 0.913031481425526 , -0.564195841203559 , -0.774327070389299 , 0.712583824109054 , 0.383727767408987 , 0.286410787898994 , -0.281156335002972 , -0.437503659931421 , 0.377862214037371 , 0.94418667272212 , 0.597814318945219 , 0.483217072394504 , -0.0612252095838376, -0.568793444085802 | 0.6808708 |
| 72 | 20 | 0.0 | 0.0 | 1.0 | control , control , control , control , control , control , control , control , control , control , control , control , control , control , control , control , control , control , control , control , intervention , intervention , intervention , intervention , intervention , intervention , intervention , intervention , intervention , intervention , intervention , intervention , intervention , intervention , intervention , intervention , intervention , intervention , intervention , intervention , 0.335402240124119 , 0.382713203537168 , 1.07220788468465 , -1.76616858854031 , 0.156587314383753 , 1.00267843848035 , 1.08825919247354 , 1.46416765065961 , -0.921366717024326 , -1.05595138806722 , -1.33771694761468 , 0.209528728062382 , -2.58159129511621 , -2.09601989427504 , -1.59559753036002 , -1.14691452250275 , 0.0758953373384559 , 1.32840399392928 , 0.310923350090496 , 0.214403204739514 , 1.13273171367074 , -0.481193158003291 , 1.35752299185732 , -1.4032264318835 , -0.251215813967985 , 1.05935439299908 , 0.136977282194981 , 0.0762195307460921 , -2.11585269422302 , -1.29451196651661 , 0.473299432717809 , -0.226472505897283 , -0.0950189844798484, 0.930278150691016 , -1.45089123819961 , 0.137355252962879 , -0.202223715614084 , -1.28507815895175 , 0.842340588905564 , 1.22687183287815 | 0.6328031 |
| 72 | 20 | 0.0 | 0.1 | 0.5 | control , control , control , control , control , control , control , control , control , control , control , control , control , control , control , control , control , control , control , control , intervention , intervention , intervention , intervention , intervention , intervention , intervention , intervention , intervention , intervention , intervention , intervention , intervention , intervention , intervention , intervention , intervention , intervention , intervention , intervention , 0.0773338240736783 , 0.915202918182292 , 0.49219104220132 , -0.294804277202977 , -0.158486584401649 , 1.13717723401767 , -0.585268581125339 , 0.53632769076905 , -0.404804251670496 , -0.800334373790732 , 1.09233251943269 , -0.540199773818344 , 0.303947203844044 , -0.42588233487075 , -0.668566043853252 , 0.126761920693005 , 0.0496485181463342 , -0.593207186008412 , -0.173763864470237 , -0.219646385557643 , -0.262695462028239 , 0.248388616472474 , -0.312366978164727 , 0.603986354162871 , 0.247739688567611 , 0.126290596685074 , 0.0740371044060839 , 0.187253554144714 , 0.0118530534654143 , 0.123171669614213 , 0.658330758583837 , -0.697015154552012 , 1.00977388042156 , -0.399593502381824 , -0.0178081652433703, -0.340292350353483 , -0.107099192688342 , -0.0768485111827047, 0.71140810030598 , 0.0505382326991208 | 0.5442365 |
| 72 | 20 | 0.0 | 0.1 | 1.0 | control , control , control , control , control , control , control , control , control , control , control , control , control , control , control , control , control , control , control , control , intervention , intervention , intervention , intervention , intervention , intervention , intervention , intervention , intervention , intervention , intervention , intervention , intervention , intervention , intervention , intervention , intervention , intervention , intervention , intervention , -0.0627020495568941, -0.638648264892036 , -0.594870679187313 , -0.752085318839753 , 0.858614653489563 , -0.516895439484454 , -0.58607983888448 , 0.71674356194242 , -0.235690119810491 , 0.614186651085751 , -0.858435890865867 , -1.75946654791649 , 1.90542069999211 , 1.6059804827015 , -0.850315928673875 , 0.701832373016639 , -0.104562097525376 , -1.31094685979951 , 2.27261673486814 , -0.363187926708914 , 0.187336975568921 , -1.10328123891257 , 0.042128581445626 , 1.14324038260382 , -2.02329528019274 , -0.873598134844134 , 0.285298959355458 , 0.354136149907528 , 0.132290502608153 , 0.484966889681108 , 0.281062378868022 , -1.33390078836619 , 1.39102389433728 , -0.771943372831859 , 1.38642658472904 , -1.80490467913952 , -0.0787338838357211, -0.662772887677878 , 1.67119384682251 , 1.13422205488925 | 0.9766061 |
| 72 | 20 | 0.5 | 0.0 | 0.5 | control , control , control , control , control , control , control , control , control , control , control , control , control , control , control , control , control , control , control , control , intervention , intervention , intervention , intervention , intervention , intervention , intervention , intervention , intervention , intervention , intervention , intervention , intervention , intervention , intervention , intervention , intervention , intervention , intervention , intervention , 0.533276312402566 , -0.0835502607299528, 0.299598996172635 , -0.405065629869936 , 0.263726458763298 , -0.475800427956905 , 0.564973189232668 , 0.548662301198381 , -0.212325272238162 , -0.0037037694022313, -0.191853570441964 , 0.0463971490285083 , 0.0972272216664043 , 0.130508198873315 , -0.352977226649055 , 0.0398555460246372 , 0.279165218919922 , 0.210215140128003 , -0.0738827276769632, -0.566564733336795 , 0.36939237728085 , 0.0330502710571335 , -0.38586453100483 , 0.538393599237893 , -0.0901721874265368, 0.00393029013875373, 1.36532828770548 , 0.17231537598178 , 0.161775972572742 , 0.645556143682799 , 0.912774510604831 , -0.120081222862528 , 0.5858379844506 , -0.206511751192048 , 0.414459671989479 , -0.0618838711520108, 1.17414054422419 , 0.695824909784659 , 0.588757735647972 , -0.0376626467855294 | 0.0236298 |
| 72 | 20 | 0.5 | 0.0 | 1.0 | control , control , control , control , control , control , control , control , control , control , control , control , control , control , control , control , control , control , control , control , intervention , intervention , intervention , intervention , intervention , intervention , intervention , intervention , intervention , intervention , intervention , intervention , intervention , intervention , intervention , intervention , intervention , intervention , intervention , intervention , 0.283908882743109 , -0.378396217764097 , -0.0823664086616896, -1.51108255534782 , 1.10356243785885 , 1.39937898657102 , 0.320449224552972 , -1.00176135220553 , -0.766647046042007 , -1.48235215510463 , 1.76206619775177 , 0.0170801733714509 , -0.289341658449264 , 0.896331299153689 , -0.166122165390269 , 0.501092480805798 , 0.438747903177759 , -0.345441037090065 , 0.288903708742259 , -2.02743498119345 , 0.845440649181656 , 0.830154664699181 , -0.877189468453133 , -0.0473921281342464, 1.20054087853077 , -0.749776934312612 , 0.567795138148954 , -0.966756203369008 , -0.319015600983421 , 1.34437553804973 , 0.893210549459243 , 1.45561715797722 , -1.46577653791568 , 0.854897360678833 , 0.157543429461254 , 0.890696320478143 , 1.47686885754339 , 0.00414445512118544, -1.47444877132077 , -0.491950012568386 | 0.4064433 |
| 72 | 20 | 0.5 | 0.1 | 0.5 | control , control , control , control , control , control , control , control , control , control , control , control , control , control , control , control , control , control , control , control , intervention , intervention , intervention , intervention , intervention , intervention , intervention , intervention , intervention , intervention , intervention , intervention , intervention , intervention , intervention , intervention , intervention , intervention , intervention , intervention , -0.357716370379301, -0.96398155106229 , 0.551159849660062 , 0.750715235695258 , 0.351173798339571 , 0.560509054469115 , -0.200850963161087, 0.107573558472678 , -0.264420777129604, 0.237038067562639 , 0.356103978922394 , -0.342213519382193, 1.23282494461608 , 0.275830542104232 , -0.427884029448592, 1.31214063702749 , 0.642417596409891 , -0.653656558231108, -0.509420494887084, 0.818562113897388 , 0.897942531534951 , 0.84788973272517 , 0.74727757878489 , 1.21535005434854 , 0.311378966061076 , 0.739032550506165 , 0.322734356526949 , 0.59640733928342 , 0.403689945866622 , 0.330937735411601 , 0.120244940573164 , -0.156536809779038, 0.739714203884326 , 0.333450180558474 , 1.0414160460999 , 0.998921679873594 , 0.840310746887025 , 0.604795024060415 , 1.16089564566597 , 0.0570555164990974 | 0.0117383 |
| 72 | 20 | 0.5 | 0.1 | 1.0 | control , control , control , control , control , control , control , control , control , control , control , control , control , control , control , control , control , control , control , control , intervention , intervention , intervention , intervention , intervention , intervention , intervention , intervention , intervention , intervention , intervention , intervention , intervention , intervention , intervention , intervention , intervention , intervention , intervention , intervention , -0.594648901650778, 0.358957566383661 , -0.575499262533358, -0.464772398287461, -1.14963182290164 , 1.48648822403488 , -1.80511387168901 , -1.14178743770124 , -0.322806275390381, 1.44329210773072 , -0.418215049684806, -0.139556893289512, 0.995343249777063 , 0.0990585483586093, -1.19558628361509 , 1.47966418135083 , 0.650084888053929 , 1.53729127495037 , -2.72283528598411 , 1.51327008175718 , 1.28222639427293 , -1.0935912515569 , 1.16409744244423 , 1.71109043083131 , 0.183572651424471 , -1.64918204799094 , 0.742945894269209 , 0.0722442392730339, 0.948198229003085 , 0.146591563370866 , -0.186837057557422, 1.02673969916954 , 0.877161579030769 , -0.145321187429585, 0.82284934174866 , -0.35674252439033 , -1.26636541896949 , 1.16179295793334 , 0.0892620082303002, 2.70310096137329 | 0.2101034 |
| 72 | 50 | 0.0 | 0.0 | 0.5 | control , control , control , control , control , control , control , control , control , control , control , control , control , control , control , control , control , control , control , control , control , control , control , control , control , control , control , control , control , control , control , control , control , control , control , control , control , control , control , control , control , control , control , control , control , control , control , control , control , control , intervention , intervention , intervention , intervention , intervention , intervention , intervention , intervention , intervention , intervention , intervention , intervention , intervention , intervention , intervention , intervention , intervention , intervention , intervention , intervention , intervention , intervention , intervention , intervention , intervention , intervention , intervention , intervention , intervention , intervention , intervention , intervention , intervention , intervention , intervention , intervention , intervention , intervention , intervention , intervention , intervention , intervention , intervention , intervention , intervention , intervention , intervention , intervention , intervention , intervention , -0.657396447320752 , 0.216810733639855 , -0.687240837163919 , -0.679623495745666 , -0.391874152557164 , 0.486251833150687 , -0.166053908785961 , -0.812389771096289 , 0.234742085395325 , -0.616173955416058 , -0.161473420689142 , 0.318445993246335 , 0.0185529511512756 , -0.266878351022278 , 0.0599440813846648 , -0.27574767362089 , -0.628266309019658 , 0.784207819795283 , 0.507542963438941 , -0.154287198526986 , 0.0253798285407351 , -0.414554394149332 , -0.0284543583003694, 0.385001541737022 , -0.949029704968419 , 0.150872589188975 , -0.11424231722697 , 0.0811015811882917 , -0.699940573479961 , 0.316909019548675 , 0.0182629241166526 , 0.520010005872653 , 0.0788208112255611 , 0.153876471103883 , 0.218616028067695 , 0.697014705403877 , -0.47538041586091 , -0.496708443656563 , -0.702373036390774 , 0.493795724499958 , 0.650695449742813 , -0.941347422951549 , 0.247626641848233 , -0.952600274218673 , 0.225833593029392 , 0.101495595679707 , -0.507200060303681 , -0.673051747705616 , 0.0373868057596863 , -0.104597837711659 , 0.250515517496402 , 0.318441136404885 , 0.32916102776416 , -0.177616141773405 , -0.0222585449266762, 0.606287963717491 , -1.09608020140122 , 0.559249269657527 , 0.300166751604797 , 0.0360852850166003 , 0.0804243572738653 , -0.815418007405258 , -0.544968288026345 , 0.347444474846963 , -0.421717902847043 , -0.227553016228491 , -0.3132966104569 , 0.281919941474573 , 0.144646507701239 , -0.0807279010915814, -0.497831884649746 , -0.365961724995082 , 0.323991207300358 , -0.110393270222702 , 0.600869901440707 , -0.0929594900622942, 0.364511524436231 , -0.99176293299598 , -0.722985724642602 , 0.688858110265474 , -0.0359609347737937, 0.15253033060147 , 0.0502006440178941 , 0.249821344275916 , 0.655150125348325 , 0.317247784030285 , -0.183856990068255 , 0.303208534410159 , -0.987002977227197 , 0.140436190412132 , 0.343552462503512 , 0.776806239847281 , -0.0540029001016356, 0.689462347676723 , -0.148458028792497 , 0.0815614010541205 , -0.157581520290745 , -0.809359173878368 , 0.103761806635215 , -0.084059085192641 | 0.2257750 |
| 72 | 50 | 0.0 | 0.0 | 1.0 | control , control , control , control , control , control , control , control , control , control , control , control , control , control , control , control , control , control , control , control , control , control , control , control , control , control , control , control , control , control , control , control , control , control , control , control , control , control , control , control , control , control , control , control , control , control , control , control , control , control , intervention , intervention , intervention , intervention , intervention , intervention , intervention , intervention , intervention , intervention , intervention , intervention , intervention , intervention , intervention , intervention , intervention , intervention , intervention , intervention , intervention , intervention , intervention , intervention , intervention , intervention , intervention , intervention , intervention , intervention , intervention , intervention , intervention , intervention , intervention , intervention , intervention , intervention , intervention , intervention , intervention , intervention , intervention , intervention , intervention , intervention , intervention , intervention , intervention , intervention , -0.420618359845406 , 0.994570717648508 , 0.470291408624238 , 1.12308098460705 , 0.249738237903703 , -0.525645079335305 , -0.149955120893786 , 2.05162447556872 , -0.135332091213277 , 0.513784045055117 , 0.333012278039563 , -0.69163659820951 , 0.286922695552131 , -0.395358870451487 , 0.607892959253293 , -1.75415833008469 , 1.08826078881031 , -1.17300601660418 , -0.616560835584983 , 0.38547602331153 , -0.34538807848241 , -0.125538348259453 , 1.41679282178022 , 0.426520514819802 , 0.393253493641325 , -1.05295148716537 , -0.851271054073655 , -0.657065856243753 , 0.722418133991221 , 0.0712351033770288 , -0.795728709656671 , 0.770258030693246 , 0.178756945591699 , -0.137214973785955 , 0.727250179404717 , -2.8965730900019 , -0.104296433581555 , 0.582928119434416 , 0.599098531889881 , -0.277966446726479 , 0.542446483360053 , -1.81291292272624 , -1.6609060945221 , 1.54692985658533 , -0.566040215453778 , -0.485838145282388 , 0.190944278794858 , -0.811937722725719 , 1.12464864099638 , -0.568743202597888 , 0.277893961972377 , 0.0565240373335125 , -0.275368512122168 , -0.814698400222655 , 0.209841994180767 , -1.2400814658631 , -1.43278064802173 , -0.442411924079279 , 0.605664036836704 , -0.854028782966148 , 1.3597723423784 , -1.894985283878 , 1.65550138255923 , -0.752457635395494 , 1.36087966483626 , 0.640316496623557 , 0.791063434035927 , -0.812493296899361 , 1.44886532142075 , -0.0855665813444507, -0.218855394704451 , 1.22764465037271 , -0.393113341870348 , 0.821185027142137 , 0.0070198473712923 , 0.786574455222203 , 1.74620275110271 , -1.1407085726256 , -0.315306851727234 , -0.290460827076944 , 0.332490281179954 , 0.00283544847849399, 0.248940394525991 , 1.36982381032932 , -0.809332289306947 , -0.952365674381708 , 0.24938562549493 , 0.199916894773012 , 0.16887143191609 , -1.75780467611847 , 0.183038497113296 , -0.356786958960653 , -0.245119793699032 , -0.297087630532036 , -1.46141532044054 , -0.246901040147088 , -1.30649409968852 , 2.14608537884412 , 0.473857856112384 , 0.944110853447699 | 0.7887735 |
| 72 | 50 | 0.0 | 0.1 | 0.5 | control , control , control , control , control , control , control , control , control , control , control , control , control , control , control , control , control , control , control , control , control , control , control , control , control , control , control , control , control , control , control , control , control , control , control , control , control , control , control , control , control , control , control , control , control , control , control , control , control , control , intervention , intervention , intervention , intervention , intervention , intervention , intervention , intervention , intervention , intervention , intervention , intervention , intervention , intervention , intervention , intervention , intervention , intervention , intervention , intervention , intervention , intervention , intervention , intervention , intervention , intervention , intervention , intervention , intervention , intervention , intervention , intervention , intervention , intervention , intervention , intervention , intervention , intervention , intervention , intervention , intervention , intervention , intervention , intervention , intervention , intervention , intervention , intervention , intervention , intervention , 0.00781138216682295, 0.0896950842603736 , 0.634123928039821 , 0.25816259531594 , 0.164343376349551 , 0.305360581432023 , 0.270824894857767 , 0.288621141602913 , -0.107985331776766 , -0.0244750064178541, -0.12255828804808 , 0.29942931898244 , 0.233776831046926 , 0.499856259154803 , -0.181192714715934 , 0.963246363235514 , 0.571325861308763 , 0.562090726046637 , 0.607694277378602 , -0.22905589463012 , 0.0109040560074402 , 0.298711220705143 , 0.622296946839414 , 0.117795550369491 , -0.193280939500845 , 0.251749219148697 , 0.0348466431474299 , 0.331209222764076 , 0.0547434770511102 , -0.408506028053343 , 0.173322557695926 , 0.269942312802106 , 0.12248872160195 , 0.331619221685309 , 0.0912379405168471 , 0.214771302295611 , 0.342586383013023 , -0.309703806163907 , -0.271677224498203 , -0.0199441911700597, 0.376065692853582 , 0.8985664622115 , -0.0364049742844131, 0.558788908820714 , -0.033377552223133 , -0.58988648934263 , 0.114501825804155 , 0.284621001955431 , 0.642048153305032 , -0.819169159121218 , -0.375353176841355 , -1.34136958730397 , -0.544255742650566 , -0.358722333061679 , -0.176851812210604 , -0.474956099591697 , 0.610152303437907 , -0.901541015134844 , 0.287522777327609 , 0.015342842965563 , 0.440212972046128 , 0.00558229451447485, -0.0419221450019971, -0.334092189417856 , -1.0383519637216 , -0.34228108063381 , -0.278058652788898 , -0.950213856649237 , -0.284144743995456 , 0.420007949288004 , 0.507708952693317 , 0.342738409342267 , 0.315651027396872 , -0.956619831138798 , -0.201242059690601 , -1.16971654763973 , 0.570057804629377 , -0.222883089477969 , 0.560372743023845 , -0.511388493378624 , -0.497977984121849 , -0.131598015832571 , 0.164866241471272 , -0.779746231090416 , -0.559007257273277 , 0.0251150953338567 , 0.293327934555183 , 0.0505120993599586 , -1.11448733427719 , 0.760983341907249 , -0.920902666391072 , -0.256879575818301 , 0.0676975890021259 , 0.280416146350647 , -0.302015718010279 , -0.286371897521629 , 0.0395313623449222 , 0.44260345551625 , 0.367493315260249 , -0.366048673659792 | 0.0001344 |
| 72 | 50 | 0.0 | 0.1 | 1.0 | control , control , control , control , control , control , control , control , control , control , control , control , control , control , control , control , control , control , control , control , control , control , control , control , control , control , control , control , control , control , control , control , control , control , control , control , control , control , control , control , control , control , control , control , control , control , control , control , control , control , intervention , intervention , intervention , intervention , intervention , intervention , intervention , intervention , intervention , intervention , intervention , intervention , intervention , intervention , intervention , intervention , intervention , intervention , intervention , intervention , intervention , intervention , intervention , intervention , intervention , intervention , intervention , intervention , intervention , intervention , intervention , intervention , intervention , intervention , intervention , intervention , intervention , intervention , intervention , intervention , intervention , intervention , intervention , intervention , intervention , intervention , intervention , intervention , intervention , intervention , 0.315295189220758 , -1.0511420236495 , 1.14501181366079 , 2.65803875740774 , 1.47351118264916 , -1.14194648251892 , 0.731985621854826 , 0.524636741604227 , -0.550137878423763 , -0.796345266618941 , 0.673215699793567 , 2.71066763072753 , 0.24522114424285 , -0.281187068824756 , 0.350035302365224 , 0.349565326113013 , 0.480961923705299 , -1.50605782069684 , 1.54026665798546 , 0.362569084610004 , -0.94753575957751 , 0.00946033772049897, -0.831024030695608 , -0.0350113663274133, 0.993088780432257 , -1.55231290944707 , -0.428531569007541 , 2.14346929428573 , 1.23967646955805 , -0.0719666230237576, 3.16623894496817 , -0.546926547433915 , -0.705115274451973 , 0.0712122600693713 , -1.17257358165915 , -0.0141740732347048, 0.230161960813957 , -0.0675064311663372, 1.20430878262848 , -1.19561420645269 , -0.341405099130264 , -0.887453841189423 , -0.536089897065215 , 0.934395694483267 , -0.720556620268212 , -1.83364605760336 , -0.662211837943582 , -1.77742655692562 , -0.859806738176145 , 1.13219209386424 , 0.951134473954412 , -0.382394791223281 , 0.795331615574101 , -0.472035854590323 , -0.297874748012946 , -1.02481695671438 , 0.450037507554541 , -1.31308421860683 , -0.948625686042817 , 0.428858562863503 , 0.123021596824473 , -0.524510618139875 , 0.504734726628126 , 0.0177525067587814 , 1.12637481029834 , 0.776813429697423 , 0.586579784177872 , -1.48942056109638 , 0.156705780415315 , -0.493806003484694 , 0.527844617778898 , -0.37030173899123 , -0.310679073867491 , -0.805047756317054 , -0.221315280442877 , -0.797863199809975 , -1.22629886848106 , -0.164245116069361 , -0.235221561433638 , 1.09043485839456 , -0.0929269528709292, -0.44358378106019 , -0.818081489161185 , 1.72392884240015 , 0.886602865314233 , -0.13666788524839 , 0.0639886566573014 , 0.0888566099234352 , 1.45232169344199 , 0.752762482877582 , 0.305661767312953 , -1.61578416621074 , 0.81604474754642 , -0.434957947570229 , -0.91939199877899 , 0.482586205356708 , 0.139062070460228 , 0.447792301813938 , -0.814906235052336 , -0.983831074085169 | 0.4911400 |
| 72 | 50 | 0.5 | 0.0 | 0.5 | control , control , control , control , control , control , control , control , control , control , control , control , control , control , control , control , control , control , control , control , control , control , control , control , control , control , control , control , control , control , control , control , control , control , control , control , control , control , control , control , control , control , control , control , control , control , control , control , control , control , intervention , intervention , intervention , intervention , intervention , intervention , intervention , intervention , intervention , intervention , intervention , intervention , intervention , intervention , intervention , intervention , intervention , intervention , intervention , intervention , intervention , intervention , intervention , intervention , intervention , intervention , intervention , intervention , intervention , intervention , intervention , intervention , intervention , intervention , intervention , intervention , intervention , intervention , intervention , intervention , intervention , intervention , intervention , intervention , intervention , intervention , intervention , intervention , intervention , intervention , 0.687787756528037 , -0.392513178566536 , -0.491598977522287 , -0.0476860477992249, 0.200942390798166 , 0.150549655693961 , -0.234640285879887 , -0.244408317375061 , -0.134357972193902 , -0.0139038996117723, -0.325002440161921 , 0.69689743861403 , 0.342523372217547 , -0.226762520355553 , 0.0823984270206633 , 0.292079896401993 , 0.120612298101599 , -0.642510696608062 , -0.0213697573022476, -0.565293119931698 , -0.255118801071609 , -0.222719698276512 , -0.228993261816614 , 0.140366526678785 , -0.759003710470053 , -0.755143402730698 , 0.300194749673589 , 0.40878279092142 , 0.16959689271291 , -0.0530209949493209, 0.248753512058023 , -0.315661763500726 , -0.668948932744071 , 0.481506438464065 , -0.0911672713931908, -0.245340858006567 , -0.35551948778514 , 0.194103966382064 , -0.0804195740636581, 0.438727912302734 , -0.439747886649662 , -0.0797138884787069, 0.00179776994949577, 0.233736670851637 , -1.01205163749368 , -0.0801467537994765, -0.267331224634534 , -0.227343166511433 , 0.221903540579387 , 0.394016081460738 , 0.17555198580345 , 0.187553665946556 , 0.274846383144794 , 0.569412787423639 , -0.730070582727695 , 0.416048352999978 , 0.508198633999223 , 0.387662598158944 , -0.36745311220518 , 0.209064761239355 , 0.303837079676126 , 0.589754787814557 , -0.678798811946383 , 0.508929881221209 , 0.0191865569226801 , 0.0985567646252583 , 1.29664554425074 , 0.819992314408836 , 0.142519061194239 , 0.71666958626565 , 0.175540303862321 , 0.236846036417416 , 0.885198674405173 , 0.144107637899112 , 0.455836023749203 , -0.383777562345023 , 0.297623524827824 , 0.493457086200086 , 0.146292128828014 , 0.337732344698966 , 0.0664762784413657 , 1.3502493362729 , 0.863906581548318 , 0.184532056691331 , 0.519068918917421 , 0.764056498439222 , 0.482753892349784 , 0.853985029152078 , 0.172372158268808 , 1.2646818249743 , 1.09717080946311 , 0.102023586521479 , -0.213028624400003 , -0.348001052427981 , -0.0503187272517639, 0.433892908149216 , 0.592905796872853 , -0.110607763370976 , -0.223157681364079 , 0.589933220336114 | 0.0000050 |
| 72 | 50 | 0.5 | 0.0 | 1.0 | control , control , control , control , control , control , control , control , control , control , control , control , control , control , control , control , control , control , control , control , control , control , control , control , control , control , control , control , control , control , control , control , control , control , control , control , control , control , control , control , control , control , control , control , control , control , control , control , control , control , intervention , intervention , intervention , intervention , intervention , intervention , intervention , intervention , intervention , intervention , intervention , intervention , intervention , intervention , intervention , intervention , intervention , intervention , intervention , intervention , intervention , intervention , intervention , intervention , intervention , intervention , intervention , intervention , intervention , intervention , intervention , intervention , intervention , intervention , intervention , intervention , intervention , intervention , intervention , intervention , intervention , intervention , intervention , intervention , intervention , intervention , intervention , intervention , intervention , intervention , 0.641396299476932 , 1.14354321843799 , 0.198578428128523 , 0.0747502129092289 , -0.77881263118065 , 1.38779166149138 , -0.519245931460777 , 1.72495590781601 , 0.806860647492412 , 0.906215521073574 , -0.878656155755771 , 0.198546097942407 , -1.12694522492895 , 0.78451210505955 , 0.934527133719971 , -1.87268979044905 , 0.0200858235012425 , 2.05255774228889 , -1.80275373576638 , -1.55966876408763 , -0.227541912951271 , -2.1714271839552 , -0.836546619746028 , -1.74278460811684 , -1.2832958560348 , -0.185655716107679 , 1.03497794011669 , 0.517832800912292 , 1.34983282060069 , 0.533655750718931 , 1.76021857973661 , 1.68102283277659 , -0.897865529380182 , -0.385879951667673 , 0.289137078244849 , -0.767966320137096 , 1.40803041812341 , -0.386289882501381 , 0.807117493129441 , 0.202807356003087 , -0.0309939823690665 , 0.0946181437669949 , 1.00995133145625 , -1.23552447739304 , -0.00124948156235532, -0.574825136014242 , 1.7999163948331 , -0.896961498482462 , -0.189955153979147 , 1.12786893949948 , 0.194525376923614 , 1.5803286493617 , -0.341894598381453 , -0.00860017073133323, 0.860563091254388 , -0.149455215936176 , 0.638200957694875 , 0.970989695337228 , -0.00223459493431322, 0.406656740602724 , -0.114506892838145 , -1.08694566101566 , 1.8711095170819 , -0.518270308687774 , -1.53226235712785 , 2.23000695635812 , -0.187628516036905 , -0.941661513675153 , 0.285354926750058 , 1.25673430052337 , 1.36028450148631 , 0.407101067204403 , 1.3266383513247 , 0.240779509767965 , 1.75248743345295 , 0.139795977833631 , 0.053774876378566 , 0.359195334408477 , 1.09722230981111 , -1.39878676370253 , -0.667333606912873 , 0.0932024804511473 , -0.9650347235828 , 0.695822785556818 , 1.33223437394306 , 1.01130161403894 , -0.23649822580389 , 0.428261024223627 , 1.06815675770175 , -0.803214768046987 , -0.618785331215735 , 0.45934559797463 , -0.343945524740739 , -0.419994316536979 , 3.30809674598546 , -0.603911043796848 , 0.751033722061756 , 0.631209275368146 , 0.877491106672982 , 1.12928497727638 | 0.1841876 |
| 72 | 50 | 0.5 | 0.1 | 0.5 | control , control , control , control , control , control , control , control , control , control , control , control , control , control , control , control , control , control , control , control , control , control , control , control , control , control , control , control , control , control , control , control , control , control , control , control , control , control , control , control , control , control , control , control , control , control , control , control , control , control , intervention , intervention , intervention , intervention , intervention , intervention , intervention , intervention , intervention , intervention , intervention , intervention , intervention , intervention , intervention , intervention , intervention , intervention , intervention , intervention , intervention , intervention , intervention , intervention , intervention , intervention , intervention , intervention , intervention , intervention , intervention , intervention , intervention , intervention , intervention , intervention , intervention , intervention , intervention , intervention , intervention , intervention , intervention , intervention , intervention , intervention , intervention , intervention , intervention , intervention , 0.0795209252371152 , 0.219631041978999 , -0.29487823839594 , 0.124381142600684 , -0.217124757852385 , 0.278613080464834 , 0.16452201818712 , 0.158961363980485 , -0.287440417037145 , 0.00881815542220554 , -1.19121421979268 , -0.632088206158674 , 0.00584118731055716 , 0.363583215924505 , 0.129244483116425 , -0.0431709302174084 , 0.630364830394459 , 0.0774904919434193 , -0.1396708985831 , 0.68634163997399 , 0.18933688215592 , -0.622556161206536 , -0.331171958092517 , -0.134380521217473 , 0.187210655820977 , 0.197929448779134 , -0.221619208221583 , -0.0154424298132739 , -0.550168124089496 , 0.539341383594616 , 0.0368459885493053 , 0.308839976957966 , 0.0897355572185602 , -0.277693024143769 , 0.175088517004416 , 0.466298658611496 , 0.426683534420651 , -0.417275902017391 , -0.0651566008613535 , -0.244128519571835 , 0.437548316860288 , -3.81244059337316e-05, 0.106947225590459 , -0.262726191950369 , -0.461343742466783 , 0.0180526550446505 , 0.0117987447248834 , -0.23075069519326 , -0.400504833103287 , -0.668826969940182 , -0.021736516725785 , 0.610027151755517 , 0.161569158947508 , -0.225782821111422 , 0.318842986749505 , 0.432189618268158 , 0.746339350977395 , 0.281493659566736 , 0.972425312102652 , 1.26592890629663 , 1.02695379156714 , 1.10730543774205 , 0.0478301233584703 , 0.268412129528269 , 0.146262136411627 , 1.00896296882303 , -0.0826122422000537 , 0.486663902474129 , 0.732843811552216 , 0.588083041394432 , 0.681710110017833 , 0.237543660739243 , -0.486750681838279 , 0.093357554915311 , 1.00222233376099 , 0.446226010580899 , 1.37837502120902 , 0.226630936373556 , 1.09613349134141 , 1.26044856217879 , 1.05372683852361 , 0.804367805107423 , 0.580423590214225 , 1.14201959205668 , 0.307154452875051 , -0.0258464155791427 , 0.0405262623432767 , 1.00676012958136 , 0.922477121912405 , 0.912749744094328 , 0.139971956641146 , -0.286879985919432 , -0.16956254229615 , 0.503515141009101 , 0.615497122185092 , -0.137937984630815 , 1.25478393899651 , 0.482562654515311 , 0.0415026463065044 , -0.281464553160734 | 0.0000000 |
| 72 | 50 | 0.5 | 0.1 | 1.0 | control , control , control , control , control , control , control , control , control , control , control , control , control , control , control , control , control , control , control , control , control , control , control , control , control , control , control , control , control , control , control , control , control , control , control , control , control , control , control , control , control , control , control , control , control , control , control , control , control , control , intervention , intervention , intervention , intervention , intervention , intervention , intervention , intervention , intervention , intervention , intervention , intervention , intervention , intervention , intervention , intervention , intervention , intervention , intervention , intervention , intervention , intervention , intervention , intervention , intervention , intervention , intervention , intervention , intervention , intervention , intervention , intervention , intervention , intervention , intervention , intervention , intervention , intervention , intervention , intervention , intervention , intervention , intervention , intervention , intervention , intervention , intervention , intervention , intervention , intervention , 0.429739406863375 , 1.10784091806109 , 1.37243030246666 , -0.465923733593806 , 0.0256582461082812 , -0.837641186712899 , -0.833819438579406 , 0.937550583659667 , -0.555870332349139 , 0.850381090915996 , 0.654879558660952 , -0.505363195897762 , 0.495974008464394 , 0.10285608160475 , -0.940551539199394 , 0.53826206945251 , -0.172704852620062 , -0.0944240725173103, -0.38854790360487 , -0.22386628966998 , -0.0364664413193066, 1.41780928128767 , 0.530436536827833 , 1.76079595281716 , -1.30158617280508 , 0.926542184112073 , 0.271120793727501 , 1.43953146969982 , -0.504102444299075 , 0.096539903235428 , -0.211391681554065 , -0.246412584330053 , -0.676954053853636 , -0.849411907273325 , 1.3427175939691 , -1.87257889053569 , -0.7864258105492 , 0.588488193034045 , 1.52082908467018 , -0.845060739165302 , -0.527082570089605 , 0.389416879508415 , 0.203679659452552 , -0.0270806523930352, 1.50873235225237 , -0.154349201595935 , 1.06571728472395 , -0.586327213368153 , -0.2167285717945 , -0.359600097324229 , 0.317084618149643 , -1.03739629642145 , 1.90252692099711 , 0.703825663973209 , 2.9274175308721 , 1.42253574730098 , 1.519124807596 , 0.153193555881795 , -1.58240903001198 , -1.5022489547097 , 0.761838363816865 , -0.747950716120914 , -1.60188737668622 , -1.36860635312847 , -0.46125564508245 , 1.39580495373002 , 0.00690667626151742, 2.20207168787994 , 1.47371095277533 , 1.69897356980433 , 1.02345745769505 , 1.1305359187876 , 1.0113136362567 , 0.274785745421636 , 1.10938597449951 , 1.72427357098684 , 1.77585992532561 , -1.47759767222871 , 0.194891100714095 , -1.31300984873521 , -1.52249528037907 , 0.310564592998759 , 0.499293764399649 , 1.02627573012801 , 0.891083706731566 , 1.02782011349401 , 0.508569427012466 , 1.46704612915683 , 1.73072388100693 , 0.921639837691682 , 0.623653253471531 , 1.87687519827206 , 0.761450886968119 , 0.514037267243179 , -1.18714247341508 , 0.997358179773095 , 1.39450608445668 , 1.44016459531948 , -0.0934490069484681, 1.03310799026456 | 0.0265897 |
| 73 | 20 | 0.0 | 0.0 | 0.5 | control , control , control , control , control , control , control , control , control , control , control , control , control , control , control , control , control , control , control , control , intervention , intervention , intervention , intervention , intervention , intervention , intervention , intervention , intervention , intervention , intervention , intervention , intervention , intervention , intervention , intervention , intervention , intervention , intervention , intervention , 0.137991930905654 , -0.554973415337071 , 0.413956300458919 , 0.218679333326981 , -0.149025141724431 , 0.54349645613655 , -0.16134890500578 , -0.0346808519897611 , 0.00513923764320396 , 0.356133268929748 , -0.683748829692974 , 0.300370561843131 , -0.0427752265030846 , -0.207544572110254 , -0.345471314521529 , 0.389096034238501 , 0.3953866001387 , 0.236946562504865 , 0.744664784847004 , -1.53363905568587 , 1.13016245462338 , -0.904319338529451 , -0.52440359092151 , 0.283564088421399 , -0.441180492897808 , 0.573691183360992 , -0.00718593914870581, 1.52159062770017 , 0.330638935427486 , -0.180276757714769 , -0.0227587196303744 , -0.49487444347937 , 0.0309193824076734 , -0.558046919281507 , 0.167841798139068 , -0.3594719226231 , -1.60511854639973 , -0.341187002775476 , -0.00436030608957701, 0.84530369052839 | 0.8813329 |
| 73 | 20 | 0.0 | 0.0 | 1.0 | control , control , control , control , control , control , control , control , control , control , control , control , control , control , control , control , control , control , control , control , intervention , intervention , intervention , intervention , intervention , intervention , intervention , intervention , intervention , intervention , intervention , intervention , intervention , intervention , intervention , intervention , intervention , intervention , intervention , intervention , 0.611282228863727 , 0.072992416902898 , -1.7465150177776 , -1.91791402701566 , -1.13278798280083 , -1.52665253656584 , 0.300588311468324 , -0.906310160027768 , -0.336142623196002 , -0.480124438525807 , 0.643431347515117 , -0.0064581358208353 , -0.395042890406906 , -0.594116365970058 , -1.6524624706533 , 0.641618893156902 , 0.976450450608429 , -0.545983100904523 , 0.351641963861632 , 1.50152739753516 , -0.257521885803343 , -0.360773494020959 , -0.890495402645472 , -0.600899519227442 , 0.733664654265466 , 0.147999500277234 , 1.69913371685743 , -0.816849106791949 , 0.903905167695113 , -0.833624374607557 , -0.000130954188914716, -0.934558579036552 , -0.311721469347882 , -0.260132053713202 , -0.927974018623019 , 1.15289586888499 , -0.216013488835165 , 1.098384902351 , 0.277018484476054 , 0.351352780869103 | 0.2805301 |
| 73 | 20 | 0.0 | 0.1 | 0.5 | control , control , control , control , control , control , control , control , control , control , control , control , control , control , control , control , control , control , control , control , intervention , intervention , intervention , intervention , intervention , intervention , intervention , intervention , intervention , intervention , intervention , intervention , intervention , intervention , intervention , intervention , intervention , intervention , intervention , intervention , -0.077114726308386 , 0.266698050613519 , 0.208547488050094 , -0.467121839857398 , -0.185697835974567 , 0.0596737277287195 , 0.111946150942197 , 0.75687330967079 , -0.126893305492934 , -0.1024197929248 , 0.536596617748165 , -0.467910646375822 , 0.257118669575672 , -0.0302997769092156, 0.37915032055761 , -0.315767176039438 , 0.21169910365492 , 0.749665625973984 , -0.674488562086542 , -0.491550358554806 , -0.51172598956913 , -0.0824296975581178, -0.540067622902165 , 0.286393816831489 , 0.541317749605349 , 0.348632562774622 , 0.136795928704358 , 0.140091894548135 , -1.00444126604273 , -0.295356168978901 , 0.0349893490668632 , -0.310798436336039 , -0.925223765060087 , 0.0161202592613495 , -1.23168195735204 , -0.538076501225567 , 0.242667837087049 , -0.971307286178479 , -0.433763905813737 , -0.717829919806454 | 0.0337771 |
| 73 | 20 | 0.0 | 0.1 | 1.0 | control , control , control , control , control , control , control , control , control , control , control , control , control , control , control , control , control , control , control , control , intervention , intervention , intervention , intervention , intervention , intervention , intervention , intervention , intervention , intervention , intervention , intervention , intervention , intervention , intervention , intervention , intervention , intervention , intervention , intervention , 0.457190439379904 , -0.401627286558497 , 0.419710507317605 , -1.56187338502071 , -2.33133744995341 , -0.576609987750545 , 0.427434881757861 , -2.19147016731332 , 1.28314423523594 , -0.633243559339187 , -1.97271163654508 , 0.849667554652474 , 0.393017923336674 , 1.59367572797655 , 0.133495655314876 , 1.01483647558851 , 1.81923854062832 , -0.439644486208087 , -0.55758014537873 , -1.20630529242131 , 0.204644118439423 , 1.15987730090359 , 0.762089683138069 , -0.0483390015032451, 1.40446391676522 , -0.733593708102274 , 0.434972926103648 , -0.800101737702957 , 0.264169194210406 , 2.00590760048419 , -0.905596569307046 , -0.647673866236611 , -0.358610151087494 , 1.54026910399342 , -0.0693003269834557, 1.81203190926739 , -0.490455038632732 , -0.145055357890312 , 0.241149471135887 , -0.115582455610319 | 0.1943519 |
| 73 | 20 | 0.5 | 0.0 | 0.5 | control , control , control , control , control , control , control , control , control , control , control , control , control , control , control , control , control , control , control , control , intervention , intervention , intervention , intervention , intervention , intervention , intervention , intervention , intervention , intervention , intervention , intervention , intervention , intervention , intervention , intervention , intervention , intervention , intervention , intervention , -0.221449528844194 , 0.225329700605145 , -0.311736336071368 , -0.251613038667082 , 0.0613730934131655 , -1.88944794120962 , -1.10096828183405 , 0.388449284401538 , -0.289238210926388 , -0.294983337007606 , 0.641056431151808 , 0.517071794995046 , -0.0754686078985486, -0.19108937322366 , 0.0657695488636667 , 0.502996480773118 , 0.0331083309398114 , -0.454749630257106 , -1.06199499087409 , 0.386674336107581 , 0.766161079784984 , 0.557613240166665 , 0.133905577449775 , 0.780776489643488 , -0.207312094203423 , 0.547967825088425 , -0.0517889109168216, 1.0429051282895 , 0.758046059861296 , 0.723518895307848 , 1.15374502511118 , 0.138562009935647 , 1.09084251730719 , 0.787363301968246 , 0.3302370896187 , 0.455917483247412 , 0.776949314056881 , -0.393814489661759 , 0.214217733977214 , -0.0888358983297844 | 0.0005780 |
| 73 | 20 | 0.5 | 0.0 | 1.0 | control , control , control , control , control , control , control , control , control , control , control , control , control , control , control , control , control , control , control , control , intervention , intervention , intervention , intervention , intervention , intervention , intervention , intervention , intervention , intervention , intervention , intervention , intervention , intervention , intervention , intervention , intervention , intervention , intervention , intervention , 0.914681135507131 , -0.83598551334217 , 0.0884976944150662 , -0.144041844860972 , 1.10624489712062 , 1.50148414928021 , 1.25536637087668 , 0.0991869065709393 , -0.470686141489249 , -1.73652371144564 , -0.530477125495633 , 2.2200577606024 , 0.351160736431143 , 2.00116050325687 , 0.302600230959086 , -1.02774887983808 , -0.984024380006375 , -0.927417397252924 , -0.110348583383639 , 0.120720514246207 , 0.929057022347738 , 1.42948973442578 , 1.18025791702885 , 0.283476624395363 , 1.46471506552567 , 1.5741499570724 , 0.797578173798653 , 1.53977104391722 , 1.6701066864799 , -0.129316002114911 , 1.38259020212833 , 2.62309644184686 , -0.358247691493663 , 0.960963075446721 , 0.136693585861774 , -0.0974882196756147, 1.13464675156493 , -0.0187498589758133, 1.85083472187838 , 1.1797530372966 | 0.0089559 |
| 73 | 20 | 0.5 | 0.1 | 0.5 | control , control , control , control , control , control , control , control , control , control , control , control , control , control , control , control , control , control , control , control , intervention , intervention , intervention , intervention , intervention , intervention , intervention , intervention , intervention , intervention , intervention , intervention , intervention , intervention , intervention , intervention , intervention , intervention , intervention , intervention , 0.488849981567339 , 0.0838696181318217 , -0.176876102401742 , 0.537192790793814 , -0.0499013768936397, 0.454901258905685 , -0.329844613141547 , -0.137879343150352 , 0.448664948800526 , -0.938150668156721 , -0.326815405970938 , 0.122754716571912 , -0.455633229747385 , -0.0722891670555251, 0.348170935810554 , -0.204955619525153 , -0.299841232011694 , -0.25095442659932 , 0.290544363346099 , -0.435631695025341 , 0.175824390585209 , 0.145793983546772 , 0.596240017964333 , -0.100561932747924 , 0.38148035266663 , 0.665971523408757 , -0.147524571531623 , 0.20432900569046 , 1.06642805468483 , -0.558305593520399 , 0.678359463255304 , 0.0689248617599275 , 0.265049352307874 , 0.61621316914068 , 1.0933917578853 , 0.633444448699139 , 0.412513954795619 , 0.238720950056086 , -0.430442506627553 , 0.121843776882007 | 0.0103298 |
| 73 | 20 | 0.5 | 0.1 | 1.0 | control , control , control , control , control , control , control , control , control , control , control , control , control , control , control , control , control , control , control , control , intervention , intervention , intervention , intervention , intervention , intervention , intervention , intervention , intervention , intervention , intervention , intervention , intervention , intervention , intervention , intervention , intervention , intervention , intervention , intervention , 0.257404932053901 , 0.138514586178616 , 0.481929070055609 , 0.474620748990036 , -0.444166884812547, 2.06658495599771 , 2.05289751986751 , 1.21729120206777 , 0.157126297004098 , 1.21748754059586 , 0.532217398210383 , -1.14416404121798 , 0.331003212321427 , 0.362827477011948 , -0.58977121941814 , 0.863464209830821 , 1.2882766020839 , -1.60117242802094 , -0.296846250545227, -1.09286083109467 , 0.631165777610048 , 1.28825862498749 , 0.591760517437367 , 1.1027904366345 , -0.141864512539544, 1.06602208902162 , 1.56833725358908 , 0.143777868551802 , 2.5273336468791 , 0.466577510349106 , 0.982038675093986 , 1.45380023165701 , 0.942449140922691 , 1.4725257750969 , 1.57467487992788 , -0.66152054603813 , 2.13348762679617 , 0.612731540540445 , 0.0221708122213521, -1.08917487015633 | 0.0888353 |
| 73 | 50 | 0.0 | 0.0 | 0.5 | control , control , control , control , control , control , control , control , control , control , control , control , control , control , control , control , control , control , control , control , control , control , control , control , control , control , control , control , control , control , control , control , control , control , control , control , control , control , control , control , control , control , control , control , control , control , control , control , control , control , intervention , intervention , intervention , intervention , intervention , intervention , intervention , intervention , intervention , intervention , intervention , intervention , intervention , intervention , intervention , intervention , intervention , intervention , intervention , intervention , intervention , intervention , intervention , intervention , intervention , intervention , intervention , intervention , intervention , intervention , intervention , intervention , intervention , intervention , intervention , intervention , intervention , intervention , intervention , intervention , intervention , intervention , intervention , intervention , intervention , intervention , intervention , intervention , intervention , intervention , -0.408850026993405 , 0.0385119866962434 , -0.846379974683369 , -0.153205583519021 , 0.405205683241829 , 0.230023130665941 , 0.519786053412223 , 0.267091933031113 , 0.481709996097502 , -0.27700992932543 , 0.393767081794594 , -0.256041256025599 , 0.965394191547783 , 0.832742926624011 , -0.145709633392557 , 0.33643914952602 , -0.113828975611187 , 0.199426174448357 , -0.381627894968933 , -0.302376466613463 , -0.0327935289179568, -0.260428105367239 , -0.23361155723704 , 0.0431627001421512 , -0.582481211385262 , -0.11960659921588 , -0.335716732500571 , -0.0688363114714863, 0.06278310458821 , -1.00732256697197 , 0.609234669252998 , -0.136977104751798 , -0.665308427438329 , -1.11411983684209 , 1.04939097900356 , 0.771786847439225 , -0.225179536815826 , -0.72716267352129 , 0.798439521419128 , 0.330281483355443 , 0.36355393196028 , 1.07030931878737 , 0.464048392264067 , -0.0492170795078285, -0.0585992682736202, 0.0542676473116097 , 0.565025608321863 , -0.011391513131322 , -0.666441316556517 , -0.0310389805091535, 0.200355783425059 , -0.499543571951645 , -0.432808570629249 , 0.619232597362728 , -0.355886292353448 , -0.0843713372942219, -0.802150607638649 , 0.115823688066466 , 0.860702456996739 , -0.240510583228856 , 0.308234412389244 , -0.249786336640408 , -0.145907085792597 , -0.321185050874755 , 0.532718750667385 , -0.0580190970531098, 0.228530652972174 , 0.692657895013305 , -0.437123786936315 , -0.23799580691172 , 1.25993358579759 , 0.391421022314942 , 0.38966023348539 , 0.337597861049775 , 0.23669124931829 , 0.544715942284237 , 0.252245093263569 , 0.0412809455998727 , 0.443966546446389 , -0.252955168326963 , 0.0794286625837379 , 0.640566153153442 , 0.47556727449956 , 0.280547609325668 , -0.0870147621730085, -0.222253042335448 , -0.656142827635057 , -0.859948678095363 , -0.327413432182178 , 0.727647001588265 , 0.881923076595312 , 0.0381111910039466 , -0.33664166528754 , -0.25052856813699 , -0.331423050498726 , -0.0493535889624206, -0.19400475618855 , 0.251040972525814 , 0.311998300967293 , 0.808883139101992 | 0.5585832 |
| 73 | 50 | 0.0 | 0.0 | 1.0 | control , control , control , control , control , control , control , control , control , control , control , control , control , control , control , control , control , control , control , control , control , control , control , control , control , control , control , control , control , control , control , control , control , control , control , control , control , control , control , control , control , control , control , control , control , control , control , control , control , control , intervention , intervention , intervention , intervention , intervention , intervention , intervention , intervention , intervention , intervention , intervention , intervention , intervention , intervention , intervention , intervention , intervention , intervention , intervention , intervention , intervention , intervention , intervention , intervention , intervention , intervention , intervention , intervention , intervention , intervention , intervention , intervention , intervention , intervention , intervention , intervention , intervention , intervention , intervention , intervention , intervention , intervention , intervention , intervention , intervention , intervention , intervention , intervention , intervention , intervention , 0.222007369957083 , -0.923396041289359 , -1.47844864352094 , -0.0534699123835529 , -0.436992223787122 , 1.45896097060737 , -0.945201287912681 , 2.49672789492823 , -1.60686642288453 , -1.03727183742364 , 0.859285619136569 , -0.65343727649724 , -0.566033982502875 , 1.06770519731317 , -0.258317850340388 , 0.638721493247731 , -0.594617955765794 , 1.14836648761803 , 1.22723986097991 , -0.20266945142495 , -0.544229882070578 , 1.79382318589909 , -0.923201463815555 , 0.539272270776901 , 1.52422250107827 , -0.945998461064371 , 0.147828734274992 , -0.658394942539895 , 0.671468763475375 , 0.743548391560462 , -0.0816252692061504 , 0.891444405833687 , 1.03696213913455 , 1.01867044860114 , -1.4162471178592 , 0.304879146131339 , 1.55890855492434 , -0.000968289485639658, 0.011931278755361 , 0.105737160803635 , 0.171630188536362 , 0.348678477549277 , -0.0961702172246442 , 1.58984677093458 , 0.600407068214073 , 0.125700046277891 , 0.797268417415875 , 1.38018974744634 , 1.26873916658212 , 1.26054044608173 , -0.865528272027577 , 1.18984027721376 , -1.25595652510975 , 1.29101604015932 , -0.950775668774156 , -0.660272656097398 , -0.290803079760873 , -0.946748755791743 , 0.125533843577333 , 0.595988112415233 , -0.896644157897181 , -0.037292246605409 , -0.3267942434893 , -0.330376253212797 , -0.760269690400583 , -1.16082983281452 , -0.198231851398365 , 0.306284507602597 , -0.683717419735769 , 1.44842986214908 , 0.863205275376015 , -1.9497317968408 , -0.679475463730948 , 0.715873683005527 , -2.59846533648333 , 0.872544220557694 , 1.72731470866923 , -1.82563937188114 , -0.713424128086416 , -0.405786179275592 , 0.446210641256455 , 0.987407657981412 , -1.35265119464021 , 0.93774054765179 , 1.03518445972749 , -1.55334595996073 , 0.522786658612591 , -0.0976409743765677 , 0.620810820693192 , 0.950961322316801 , -0.166568378860944 , 0.607367210431215 , -0.739417469780665 , 0.961942897269505 , -0.508724004650854 , -0.303322977102585 , -0.59360743611084 , -0.969585207835308 , -0.615166919836778 , -0.00854976586954019 | 0.0246596 |
| 73 | 50 | 0.0 | 0.1 | 0.5 | control , control , control , control , control , control , control , control , control , control , control , control , control , control , control , control , control , control , control , control , control , control , control , control , control , control , control , control , control , control , control , control , control , control , control , control , control , control , control , control , control , control , control , control , control , control , control , control , control , control , intervention , intervention , intervention , intervention , intervention , intervention , intervention , intervention , intervention , intervention , intervention , intervention , intervention , intervention , intervention , intervention , intervention , intervention , intervention , intervention , intervention , intervention , intervention , intervention , intervention , intervention , intervention , intervention , intervention , intervention , intervention , intervention , intervention , intervention , intervention , intervention , intervention , intervention , intervention , intervention , intervention , intervention , intervention , intervention , intervention , intervention , intervention , intervention , intervention , intervention , 0.232184463493218 , 0.40255590969745 , 0.21907338314945 , -0.213459535927391 , 0.206387474918205 , -0.634261904729985 , 0.468868165929713 , -0.229608155562417 , -0.392351784029835 , 0.567364735076714 , 0.698166341194501 , -0.0318019662009426, 0.577232820215429 , -0.315498990881694 , -0.0987338643782428, -0.391978703750396 , -0.270620755375616 , 0.590231715505374 , -0.194412359792868 , -0.010560466980866 , 1.2336212707918 , 0.72319444061844 , -0.562424599067411 , -0.0675251391587074, 0.291167160685301 , 0.267383447576165 , -0.6824299288745 , 0.125810016260067 , -0.337540494911574 , 0.219833784389352 , 0.0522428684492611 , 0.0508464264772751 , -0.486467441244046 , -0.21441608820492 , -0.446762950157332 , -0.870901553864918 , -0.0584298452292604, 0.495784635738712 , 0.799521513550584 , -0.198876109329187 , -0.0241316683830794, -0.19542756386259 , 0.82433980433639 , 0.459136053412656 , -0.0770166387175475, -0.473756721099302 , -0.0688658779148957, -0.141293235239028 , 0.223776574379312 , 0.245328771997988 , -0.585124946857956 , 0.56162475455185 , 0.0432771913396653 , 0.979320408030367 , -0.144652244405322 , -0.633972609113869 , 0.592102293717254 , 0.350472706256668 , 0.189734605477104 , 0.405340822725323 , 0.189327740792483 , 0.225359766783088 , -0.118015397169702 , -0.490312127574475 , -0.473423333266274 , 0.0265115705717827 , 0.758267182400597 , -0.899262802787578 , 0.785613630241223 , 0.0656170602900959 , 0.326304647615353 , -0.485089360371069 , 0.217891252748952 , -0.186871754323579 , -0.379252029225956 , 0.237299507427793 , -0.354625942039069 , 0.722280076921002 , 0.279132236327736 , -0.427067030028409 , 0.294510997319594 , -0.378396502351309 , 0.19212056964268 , 0.0601274727232881 , 0.543007776040372 , 0.0789023553272141 , -0.653859146196451 , 0.127059248875934 , 0.39614538349551 , 0.176137991719907 , 0.00187191838996085, -0.404835899734261 , -0.283009186607298 , 0.0343012345618258 , -0.0532194139206503, 0.526814462028854 , 0.883876393059976 , -0.575152006043803 , 0.207937414110762 , 0.0174364189020124 | 0.8770062 |
| 73 | 50 | 0.0 | 0.1 | 1.0 | control , control , control , control , control , control , control , control , control , control , control , control , control , control , control , control , control , control , control , control , control , control , control , control , control , control , control , control , control , control , control , control , control , control , control , control , control , control , control , control , control , control , control , control , control , control , control , control , control , control , intervention , intervention , intervention , intervention , intervention , intervention , intervention , intervention , intervention , intervention , intervention , intervention , intervention , intervention , intervention , intervention , intervention , intervention , intervention , intervention , intervention , intervention , intervention , intervention , intervention , intervention , intervention , intervention , intervention , intervention , intervention , intervention , intervention , intervention , intervention , intervention , intervention , intervention , intervention , intervention , intervention , intervention , intervention , intervention , intervention , intervention , intervention , intervention , intervention , intervention , -0.0419628073516827, -0.633129410306243 , 0.82134299032771 , 0.576290844172537 , -1.18470276218998 , 1.06620748498194 , 1.00906112591902 , -2.13807315831211 , 0.283893186518788 , 1.67951736078743 , 0.7913485870547 , 0.716950209188001 , 0.392657497641383 , -0.0788532380723281, 1.12054542200979 , 0.186438273774188 , 1.54151323222446 , -0.313495726603687 , -1.97047837572752 , -1.17759427061873 , 0.0236291243791094 , 0.374693243211398 , 0.0885835098214235 , 0.982007335965079 , 0.153820112485219 , 0.888401894939002 , -0.579504210144336 , 0.7078194209566 , 0.351690113924075 , -0.992003527954424 , 2.33059756952328 , -1.06205891037367 , 0.534013760878864 , 1.11874090757927 , 1.30459297124738 , -0.789058362420286 , 0.739541860705584 , -0.436252417514205 , 2.10436865879135 , 0.679260512869373 , 1.34939479806259 , -0.514818712656846 , 0.366970335778711 , -0.661557862068412 , 0.279572618873215 , 0.671228743579492 , -1.35807758069159 , -0.46635216420814 , 0.906266192631737 , 0.373034749998523 , 0.182137807572143 , 0.670525074210325 , -0.182968824114505 , -0.631957869205308 , -0.770274313673781 , 0.327384859633211 , -0.181894099701845 , -0.137003987444389 , 1.87899109942114 , 1.05596862678524 , 0.902862435971045 , -0.437498780551432 , -0.528069118431382 , 1.18350039615617 , -0.91043535882954 , 0.857788533809988 , -1.67359139929377 , 0.371746776006685 , 0.840856141003673 , -0.886671381452195 , 1.25771704685244 , -0.522438578735731 , 0.584300773576283 , 0.059149435475716 , 0.546206676029331 , 1.26813772747209 , -0.508509374578075 , 0.205635879368973 , 0.635699210628813 , 0.10396560885231 , -1.08728452584193 , -0.238189811185961 , -0.57125555393853 , 0.313961619683196 , -0.389130509394631 , 0.496932700813469 , -1.24526814829114 , 0.04467347253193 , 0.80012075991281 , -0.401173358918646 , -0.253601880622101 , 0.506920695593199 , -0.478658896744952 , 0.121739916425143 , -0.523795742021498 , -0.578970266135729 , -0.975275589842815 , 0.00721988258030549, 0.0374068981769154 , 0.77763981855246 | 0.2401133 |
| 73 | 50 | 0.5 | 0.0 | 0.5 | control , control , control , control , control , control , control , control , control , control , control , control , control , control , control , control , control , control , control , control , control , control , control , control , control , control , control , control , control , control , control , control , control , control , control , control , control , control , control , control , control , control , control , control , control , control , control , control , control , control , intervention , intervention , intervention , intervention , intervention , intervention , intervention , intervention , intervention , intervention , intervention , intervention , intervention , intervention , intervention , intervention , intervention , intervention , intervention , intervention , intervention , intervention , intervention , intervention , intervention , intervention , intervention , intervention , intervention , intervention , intervention , intervention , intervention , intervention , intervention , intervention , intervention , intervention , intervention , intervention , intervention , intervention , intervention , intervention , intervention , intervention , intervention , intervention , intervention , intervention , -0.223717288376619 , -0.0364507065997467, -0.540599902645725 , -0.626074881229887 , 0.0287245710785255 , 0.840412025902826 , 0.0566130645310862 , 0.243521229613915 , -0.151231910004479 , 0.305303555091545 , -0.482317857262066 , 0.335797545107436 , -0.637502984767964 , 0.339739220207124 , -0.315885513646818 , -0.188461394969811 , -0.420080875454424 , -0.189898509956522 , -0.585307047459732 , -0.348525645011903 , -0.0577880258664918, -0.326176426237914 , 0.331306279925623 , -0.445234889325457 , 0.315405146442249 , 0.842735595536397 , 0.0542517648529773 , 1.17426791632082 , 0.550270375926916 , -0.0152545628990099, 0.200569436970512 , 0.0203925918615629 , 0.317579686224784 , 0.0956442644074629 , -0.341556924587616 , -0.741914912957147 , 0.490098441405115 , -0.139624723432165 , 0.384354520694553 , -0.703134666172737 , -0.221909214498741 , -0.380268031521892 , 0.0630506183349047 , -1.1015748732396 , -0.113497477246258 , -0.400345652891293 , -0.666396446630959 , -0.0257477653272205, 0.296966763962948 , -0.619379042062995 , 1.48423317755899 , -0.152902511136366 , 0.961789925931689 , 0.334188892171235 , 1.48375488593494 , 0.0537405464405331 , 1.27496715003735 , 0.529230160057335 , 1.0011292364219 , 0.708142767219182 , 0.432944442384233 , 0.852478690768407 , 0.385836627227994 , -0.179858618591521 , 0.419299275881213 , 0.739084204576449 , 1.04420992494968 , 0.748710103596603 , -0.160938851446386 , 0.747555263521012 , 0.954664667859586 , 0.125644256032803 , 0.718437905083915 , 1.01483307081217 , 1.76992654683347 , 0.213263369371653 , 0.426902545747036 , 0.445678059443935 , 1.15740993954665 , 1.80117242758755 , 0.562082779573735 , 0.964645039461536 , 0.548336417094095 , -0.484052743710792 , -0.220216308634174 , 0.479543430897361 , 0.514767171395756 , -0.743447884197107 , 0.858140806042361 , -0.079483808433868 , 0.16992657442569 , -0.311589316848158 , 0.798445148001259 , 0.343786346785822 , 0.497784546894757 , 1.01563341761449 , 0.0363832597871002 , 0.890541796388622 , 0.215544552785451 , 0.775337440174469 | 0.0000000 |
| 73 | 50 | 0.5 | 0.0 | 1.0 | control , control , control , control , control , control , control , control , control , control , control , control , control , control , control , control , control , control , control , control , control , control , control , control , control , control , control , control , control , control , control , control , control , control , control , control , control , control , control , control , control , control , control , control , control , control , control , control , control , control , intervention , intervention , intervention , intervention , intervention , intervention , intervention , intervention , intervention , intervention , intervention , intervention , intervention , intervention , intervention , intervention , intervention , intervention , intervention , intervention , intervention , intervention , intervention , intervention , intervention , intervention , intervention , intervention , intervention , intervention , intervention , intervention , intervention , intervention , intervention , intervention , intervention , intervention , intervention , intervention , intervention , intervention , intervention , intervention , intervention , intervention , intervention , intervention , intervention , intervention , -0.126133505871852 , 2.17655723109007 , 0.159866420399569 , 0.923081658073097 , -0.035068016695506 , -0.113806153470663 , 2.14188715902296 , -1.14008089059779 , 0.800468584502351 , 0.0813150292361891 , 0.551545433934373 , 0.56765746529165 , -1.05995363276794 , -0.873773966387433 , 0.309106453256979 , 0.406418622471191 , 0.417861674665266 , 0.383962413770015 , -1.13642706796241 , -1.2630742043319 , -0.366519796562735 , 1.60455342231116 , -0.606486415309623 , 0.456483571623353 , -1.66240423778958 , -1.37560442507431 , -1.37633227897286 , 1.72902173292089 , -0.297825395658039 , -0.148084075486048 , -0.0151029853599983 , 1.20061819120607 , -1.41345687813242 , -0.622162591411018 , -0.640843910710756 , -0.523524647584018 , 0.554586781696991 , 0.589457989388371 , 0.944883146809414 , 0.176971851258983 , 0.21219361330118 , -2.74188006578424 , -1.0155341411446 , 1.38445813720383 , -0.0299584176482291 , 0.0639549357091349 , 1.81955118755462 , -0.12162363163446 , 0.509939423998548 , -2.19641227513027 , 0.718313294367578 , 1.74726501249958 , 0.934396970287586 , -0.0909980880002081 , 1.08421352945562 , 0.673945724969933 , 1.27158684457823 , 0.47947473683413 , -0.276308058992266 , 0.474677853732334 , 0.33772034532184 , 1.50541327782022 , 0.557416688908539 , 0.696151577224035 , 1.03722881606514 , 0.434699778055226 , 0.675584769542755 , 1.80788489149329 , 1.99166382595493 , 0.180996472415414 , -0.00368382148963742, 0.310708002523666 , 0.0642289555287666 , 0.785714020818884 , 1.62038408782154 , 1.74130262087123 , 1.81690659038963 , 1.69000279850544 , 1.05897985733775 , 0.414621110645836 , -0.239168610674351 , 2.70251763188927 , 1.92058760973603 , 1.6004088815836 , 1.87791123794432 , 0.0388502917111033 , 1.434240229276 , 0.831277409103668 , 0.978510874839261 , 0.439369396730556 , -0.0613118571247209 , 0.98651051359061 , 0.660030902116568 , 0.0739166080264079 , 0.303476581321663 , 1.01398766143805 , 1.0366883658404 , -0.0667619319481524 , -0.113653777137236 , -0.222646036175151 | 0.0000143 |
| 73 | 50 | 0.5 | 0.1 | 0.5 | control , control , control , control , control , control , control , control , control , control , control , control , control , control , control , control , control , control , control , control , control , control , control , control , control , control , control , control , control , control , control , control , control , control , control , control , control , control , control , control , control , control , control , control , control , control , control , control , control , control , intervention , intervention , intervention , intervention , intervention , intervention , intervention , intervention , intervention , intervention , intervention , intervention , intervention , intervention , intervention , intervention , intervention , intervention , intervention , intervention , intervention , intervention , intervention , intervention , intervention , intervention , intervention , intervention , intervention , intervention , intervention , intervention , intervention , intervention , intervention , intervention , intervention , intervention , intervention , intervention , intervention , intervention , intervention , intervention , intervention , intervention , intervention , intervention , intervention , intervention , -0.437209346823184 , 0.538765379438883 , 0.484918495169848 , 0.396631933476764 , -0.953726687704587 , -0.172161090950051 , -0.279819842144343 , -0.7836104694761 , 0.976942630842943 , 1.21268770524777 , -0.410585363467544 , -0.0250137580216215 , 0.148729151327224 , 0.508025341232499 , -0.114938343431647 , 0.0559067613284498 , -0.258635273805193 , -0.225957027257816 , -0.994945231400238 , -0.313907904718498 , 1.51074599254633 , 0.0522690182432903 , 0.0115928606985981 , 0.626798498359842 , -0.556935549606272 , -1.05269399597052 , -0.120723477727731 , -0.53405481944239 , -0.433023690684166 , -0.136078436912222 , 0.00288057495321345 , -0.0421493554752331 , 0.195859032870996 , -0.0701658724651182 , 0.186265688200811 , -0.355932166813581 , 0.60534436465975 , 0.00586397444371207 , -0.123200927955516 , 0.973613405603099 , -0.0911078508428317 , 0.116480658450233 , -0.101157873018481 , -0.342836914806683 , 0.44676158768015 , -0.00043252673928916, 0.176223463990085 , -0.404983747514715 , 0.764653415850971 , 1.00751839425428 , -0.672627408399638 , 0.306980733704306 , 0.978046909509154 , 0.806275811687069 , 0.483088162298368 , 0.598360838518199 , -0.461630933856937 , 0.50784314455954 , 0.824358756102127 , 0.628890763098845 , 0.561810743602569 , 0.603033161893126 , 0.32801394860294 , 0.537612716532393 , 0.990298388983516 , 1.08741908543289 , 1.52245577670055 , 0.0135820291538163 , 0.949279722203166 , -0.120668321466325 , 0.707956766670637 , 0.0332769919002155 , 0.486771719149673 , 0.983546665298696 , 0.272598325645714 , -0.703293280135921 , 0.416014883299158 , 0.33617317166961 , 0.0377632205879891 , 1.25425892392604 , 0.546994993187684 , 0.466413378005617 , 0.397767009348444 , 0.179514160463038 , -0.063566709149883 , 0.602221929083789 , -0.370651687804081 , 0.110634560361411 , 0.444477786997736 , 0.400631087230823 , 1.12105388192156 , 0.637865222941101 , 0.728095421279374 , 0.229847842754509 , 0.152664182463696 , 0.51403610320458 , 0.675466685784797 , 0.515083406733795 , 1.06552932543736 , 0.490825716479194 | 0.0000522 |
| 73 | 50 | 0.5 | 0.1 | 1.0 | control , control , control , control , control , control , control , control , control , control , control , control , control , control , control , control , control , control , control , control , control , control , control , control , control , control , control , control , control , control , control , control , control , control , control , control , control , control , control , control , control , control , control , control , control , control , control , control , control , control , intervention , intervention , intervention , intervention , intervention , intervention , intervention , intervention , intervention , intervention , intervention , intervention , intervention , intervention , intervention , intervention , intervention , intervention , intervention , intervention , intervention , intervention , intervention , intervention , intervention , intervention , intervention , intervention , intervention , intervention , intervention , intervention , intervention , intervention , intervention , intervention , intervention , intervention , intervention , intervention , intervention , intervention , intervention , intervention , intervention , intervention , intervention , intervention , intervention , intervention , 1.11927062588846 , 0.629739727601841 , -0.35041083326719 , -0.108091388670777 , -1.2919926347455 , 1.21142004774704 , 0.236753632175346 , 1.41351172946436 , -3.0790013627944 , -1.45503358462409 , -1.42828579168281 , 0.983011142702338 , 1.23691689880323 , -0.513228318263262 , -1.51438739572822 , 0.72829391073729 , 0.445509849626995 , 0.524595674705852 , 1.12986191250783 , 0.0757162522443105 , -1.04310444114083 , 2.42867957123649 , 1.31012032276125 , -0.261019315072705 , -0.0109647762132471 , -1.53628048446994 , -1.3744102554589 , -1.36254476753786 , 0.251234121595973 , 0.564308151400063 , 1.85007206144114 , 0.695575997830772 , -0.508454022619267 , -0.0117167535930804 , -0.780889457666087 , 2.0710336683029 , -0.240166605263387 , 0.61678904930182 , 0.0217332913098493 , -1.24377290518254 , 0.794791121824015 , 0.55251361507517 , 0.538315557835886 , 1.1594821655951 , 0.517089226821683 , -0.074818023242985 , -0.182867882879077 , 1.2147145895979 , 1.03915928325539 , -0.295645941524288 , -2.5187447928192 , 0.405202378543309 , 0.76648252707787 , -0.0782131730597292 , -0.372610077432974 , 0.544627958938784 , 0.947439294481647 , -1.0172154025236 , -0.50307082625467 , 0.387125812910117 , 1.67767689121538 , 0.406064262226173 , -0.410353195530706 , -1.95241392979567 , -0.0737311233722128 , -0.00911841453696904, -0.756864205375111 , 1.10127690987939 , 0.519888670444772 , -0.439257683445217 , 1.59969435745427 , 0.569611371564415 , 0.191184912305478 , 0.0446811763676938 , 1.31152459419775 , 0.677395542814768 , -1.55216780322423 , 2.23388328499559 , -0.226096459582462 , -0.321203517952101 , -0.78764864813928 , 0.679868754466222 , -0.231981306829289 , 0.133348560602213 , 0.732248515169932 , 0.743608600406996 , 1.00331327324465 , 2.3351187969406 , 0.212968159648045 , -1.10289200567285 , 1.15246449536412 , 1.17463821173604 , 1.01312193309988 , -0.0715604027387357 , -0.922413533156787 , -0.970617697174301 , 0.254461964644857 , 0.740015599776534 , 0.222030918634021 , 1.41326054314077 | 0.6889909 |
| 74 | 20 | 0.0 | 0.0 | 0.5 | control , control , control , control , control , control , control , control , control , control , control , control , control , control , control , control , control , control , control , control , intervention , intervention , intervention , intervention , intervention , intervention , intervention , intervention , intervention , intervention , intervention , intervention , intervention , intervention , intervention , intervention , intervention , intervention , intervention , intervention , 0.127004231031872 , -0.27454008206768 , -0.128653630821916 , -0.621674565325384 , 0.450054385604332 , 1.15953085478083 , -0.169282053709907 , -0.331574587015244 , -0.619445384859403 , -0.0195058789901604, -0.649332626122794 , -0.109555927090135 , -0.4433795524132 , -0.114126722281123 , -0.0414691319443872, -0.288753963343707 , -0.871026939522192 , -0.199602275900615 , -1.07631608525693 , -1.02513301341949 , 0.448796059189717 , 0.651138467890897 , 0.494867904220979 , -0.380050537746359 , 0.206103739161095 , -0.469749767823014 , -0.261716615160516 , -0.0438128627350544, -0.0692882011729639, 0.158619903474347 , -0.0642969819330079, 0.623361289247648 , -0.445372998240621 , -0.284870591381203 , -0.0831326276746074, -0.10852784615213 , -0.352175132276441 , 0.515578796671759 , -0.159351157075592 , 0.0304668979982857 | 0.0498874 |
| 74 | 20 | 0.0 | 0.0 | 1.0 | control , control , control , control , control , control , control , control , control , control , control , control , control , control , control , control , control , control , control , control , intervention , intervention , intervention , intervention , intervention , intervention , intervention , intervention , intervention , intervention , intervention , intervention , intervention , intervention , intervention , intervention , intervention , intervention , intervention , intervention , 0.244236444778805 , 1.39029578288205 , 0.606000765629048 , -2.47375995164045 , 0.333076134390489 , 1.52116859338201 , -0.896226033976904, 0.854563565759937 , -0.890480915101175, 1.10974099425234 , -0.882765629707427, -0.663583480153938, -0.710254142577738, 1.33772220968315 , -0.201790859980473, -0.790887847519757, -1.07237260050698 , 1.03256256856153 , -0.51200605045176 , 2.95375325719648 , 0.680401766617972 , 1.92228396515794 , 1.84462639233531 , -0.498744242013353, 1.03104939094236 , 1.03945271019339 , -2.54527664373308 , -1.36076440757893 , -0.157352500466911, -0.128909984740279, -0.561498701352603, 1.0792191253797 , 0.244679016468716 , 0.341711337603688 , -1.02291693686154 , -1.50156552971627 , -0.110319544296545, -0.169295494176687, 0.520505408203761 , 2.29450018277574 | 0.9338615 |
| 74 | 20 | 0.0 | 0.1 | 0.5 | control , control , control , control , control , control , control , control , control , control , control , control , control , control , control , control , control , control , control , control , intervention , intervention , intervention , intervention , intervention , intervention , intervention , intervention , intervention , intervention , intervention , intervention , intervention , intervention , intervention , intervention , intervention , intervention , intervention , intervention , 0.510885465822495 , -0.0600272608947067, -0.500555150750949 , 0.441457112360051 , -0.167421040491751 , 0.286764845107028 , 0.88373209098132 , -0.059692354056314 , 0.773342277090637 , -0.579974995797911 , 0.224681616808145 , -0.211750184856423 , -0.486027272464501 , -0.715037922969852 , -0.270052180089944 , 0.155856931637326 , -0.425303665922736 , -0.683370867973794 , -0.369708534913759 , 0.238131486403318 , -0.149873756008985 , 0.146487976693287 , -0.837968545599669 , 0.406332663371542 , 0.206903386744086 , 0.28572583115118 , 0.950780896258057 , -0.18358887261774 , 0.447698652095879 , 0.14804685823404 , -0.334821341229136 , 0.839579929363691 , -0.826950527169961 , 0.0513532170496314 , -0.71012053789741 , 1.00199267967217 , 0.0973041447692928 , -0.16529063934541 , -0.354898642118545 , -0.59261427868113 | 0.6593494 |
| 74 | 20 | 0.0 | 0.1 | 1.0 | control , control , control , control , control , control , control , control , control , control , control , control , control , control , control , control , control , control , control , control , intervention , intervention , intervention , intervention , intervention , intervention , intervention , intervention , intervention , intervention , intervention , intervention , intervention , intervention , intervention , intervention , intervention , intervention , intervention , intervention , 0.417297652699618 , 0.0417696824991175 , -1.72070145241068 , -0.346437543207985 , -0.312827532427232 , -0.323127084807069 , 0.359893810001765 , 0.961933402195976 , -0.450797165182759 , 1.47772868705892 , -0.666072997852543 , 1.0524549813618 , 0.0494968416814961 , 0.19969984743613 , 3.09098588212531 , -0.0288849747730321, 0.555104132482182 , 0.766478505571615 , -0.111175621515755 , 1.9979939985441 , -0.0229842527315132, -0.866847958615709 , -0.968025437924012 , -0.474529204058164 , 0.0591235350934241 , -0.361322511593741 , 0.298525660538609 , -0.398629002328277 , 0.658930285893129 , -0.392677992757726 , 0.285186908743694 , -0.377953182899848 , -1.10812559530496 , 0.926315596964368 , -1.49498688223517 , 1.21471546734392 , -0.0193018614036934, 0.728078007276922 , 0.91552566055619 , -0.201324567861025 | 0.1379650 |
| 74 | 20 | 0.5 | 0.0 | 0.5 | control , control , control , control , control , control , control , control , control , control , control , control , control , control , control , control , control , control , control , control , intervention , intervention , intervention , intervention , intervention , intervention , intervention , intervention , intervention , intervention , intervention , intervention , intervention , intervention , intervention , intervention , intervention , intervention , intervention , intervention , 0.582194976814784 , -0.180714020593628 , 1.18235275598538 , 0.309046154466154 , -0.0247882963383301, 0.502454152143482 , 0.103859474489015 , 0.575332797959439 , -0.542987742754873 , -0.382843010831081 , -0.562003380970148 , -0.0479996286799581, 1.04104064017223 , -0.0248054431606504, -0.613183274396545 , 0.46923364498787 , 0.0388756414791152 , -0.258577585747905 , -0.0767150650389115, -0.217719371898967 , 0.160604321392607 , 0.435331728358845 , 0.917534185886349 , 0.226813682868076 , 0.670389819566107 , -0.199031322313093 , 0.0416934263391381 , 0.170125785222877 , 0.518010776802517 , 1.20792022396316 , 0.482191168841567 , 0.560003746341148 , -0.01070668546666 , 1.36338554661894 , 0.638226052835654 , 0.451920147397713 , 0.543972343182278 , 0.436823096519787 , 0.767652959720181 , 0.431755675777307 | 0.0080668 |
| 74 | 20 | 0.5 | 0.0 | 1.0 | control , control , control , control , control , control , control , control , control , control , control , control , control , control , control , control , control , control , control , control , intervention , intervention , intervention , intervention , intervention , intervention , intervention , intervention , intervention , intervention , intervention , intervention , intervention , intervention , intervention , intervention , intervention , intervention , intervention , intervention , -0.646419726861879 , -2.4724805556616 , -1.2149639038401 , 0.0848938530458733 , -0.12687218572018 , -0.643020737790677 , 0.279927173868917 , -0.233448365297409 , -1.18837196958236 , -1.35392762608816 , -0.15536343077897 , -0.228498478947407 , 1.24522965697928 , 0.311614394008182 , 0.882793536009095 , 0.740004043000395 , 0.453152937327414 , -2.29287463503217 , -0.0725502931782165, -0.509627206889426 , 1.74434985226372 , -0.567549354167142 , 0.050425552524938 , -0.965794734296732 , 0.848533780198282 , -0.720624038169422 , 0.482567232106052 , 1.45984210277264 , 0.891209863494663 , 0.694669970645207 , -0.457970112560844 , 0.870490635911462 , -2.28686820627902 , 0.475925285058736 , 0.223091641417462 , 1.03363984437877 , -0.941614559265982 , 0.851461480725599 , 1.58502131424499 , 1.19543438066744 | 0.0384230 |
| 74 | 20 | 0.5 | 0.1 | 0.5 | control , control , control , control , control , control , control , control , control , control , control , control , control , control , control , control , control , control , control , control , intervention , intervention , intervention , intervention , intervention , intervention , intervention , intervention , intervention , intervention , intervention , intervention , intervention , intervention , intervention , intervention , intervention , intervention , intervention , intervention , 0.229970976716313 , -0.117820337044461 , -0.569271837366654 , 0.0388932121247476 , 0.623820212016557 , 0.814149085403998 , 0.254301169264762 , -0.0222308951788063, 0.617247119284345 , 0.54026087677863 , -0.720150122182936 , 0.220685019337176 , 0.117616418795782 , 0.352778575864651 , -0.326589075443401 , -0.922736944357766 , 0.306997264800452 , -0.820659577663106 , 0.215074230800394 , -0.0649681240706059, 0.217114854857618 , 0.838154587099242 , 0.89839284415941 , 0.533143232486948 , 1.4150463559248 , 0.902056599223265 , 0.651689575898095 , 1.22626863777069 , 0.928453676948256 , 0.71517288205246 , 0.907114284904103 , 0.768555571895149 , 0.522301653404251 , 0.695310773812587 , 0.271511626945854 , 0.546671296126427 , -0.0258338245042226, 0.852629587693714 , 0.193309113393923 , 0.774040214631848 | 0.0000222 |
| 74 | 20 | 0.5 | 0.1 | 1.0 | control , control , control , control , control , control , control , control , control , control , control , control , control , control , control , control , control , control , control , control , intervention , intervention , intervention , intervention , intervention , intervention , intervention , intervention , intervention , intervention , intervention , intervention , intervention , intervention , intervention , intervention , intervention , intervention , intervention , intervention , -0.882309834394452 , 1.22036993622775 , 1.5853696007118 , 1.0440321616114 , -0.4561887528236 , -1.05864488138692 , 0.815225215461058 , 1.15121366931899 , 0.124529508309298 , -0.972878808238181 , -0.108320711579301 , -0.510205479515005 , -0.672169147886663 , -0.566215116833416 , 1.90615824509188 , 0.386951788109088 , 0.724714587838678 , 0.138405674031548 , -0.128624370076717 , -0.35659121785847 , -0.0991701485299876, -0.279119743693632 , 0.0274791240213413 , 1.92963645676719 , 1.56478076278309 , 1.64625867047843 , 0.767437880335468 , 2.1117387489386 , 1.01059980821597 , 0.258647207043258 , 1.32353450785009 , 0.485146772829954 , 1.68543208391684 , -0.232588573659222 , -0.676797322815896 , -1.03665955087711 , 1.09117727729306 , 0.866124567768831 , 0.296721524323815 , 1.92197996914352 | 0.0578841 |
| 74 | 50 | 0.0 | 0.0 | 0.5 | control , control , control , control , control , control , control , control , control , control , control , control , control , control , control , control , control , control , control , control , control , control , control , control , control , control , control , control , control , control , control , control , control , control , control , control , control , control , control , control , control , control , control , control , control , control , control , control , control , control , intervention , intervention , intervention , intervention , intervention , intervention , intervention , intervention , intervention , intervention , intervention , intervention , intervention , intervention , intervention , intervention , intervention , intervention , intervention , intervention , intervention , intervention , intervention , intervention , intervention , intervention , intervention , intervention , intervention , intervention , intervention , intervention , intervention , intervention , intervention , intervention , intervention , intervention , intervention , intervention , intervention , intervention , intervention , intervention , intervention , intervention , intervention , intervention , intervention , intervention , -0.176872174689149 , 0.117948143594314 , 0.38340363888269 , 0.17331475023537 , 0.102116901923227 , 0.0587258870438049 , 0.0275952779001282 , -0.24730458536307 , 0.264345054782736 , -0.650611533440385 , -0.355849210054559 , 0.542634174191788 , 0.277859833650669 , 0.127148854854728 , -0.350093063394671 , 0.242241605180015 , 0.133731942401793 , 0.70150531940692 , -0.624505489035493 , -0.396632878940787 , 0.14969318294321 , -0.423124200789407 , -0.089419384611028 , -0.0239943310969274, 0.282740730287078 , -0.249664497891563 , 1.28345009973609 , -0.0453114954581104, -0.427721486949415 , 0.381499858447847 , -0.694818214508519 , 0.756302938282435 , -0.545508983141856 , -0.294047767877015 , -0.70392540720701 , 0.282534252680408 , -0.237899074941122 , 0.282289040527434 , 0.272945938212583 , -0.112722249048869 , -0.186096711928936 , -0.27442439652058 , -0.149186871920839 , -0.144812993041427 , 0.743347575757048 , 0.96617609665327 , 0.079763560017185 , 0.0302148450184462 , 0.267538480055698 , 0.29882704792585 , 0.142196505916763 , 0.0113599104180153 , 0.128086117703728 , -1.50600016111336 , 0.670859561022106 , -0.248345071380836 , -0.778860246418705 , -0.504961452566056 , 0.0652975089836845 , 0.179462727699883 , 0.0751604591452581 , -0.430343158770511 , 0.274358914627443 , 0.333106030542826 , 0.0300609829527496 , -0.266248679920419 , 0.890469591918612 , 0.581271339314102 , 0.661700913179933 , 0.274636796604957 , -0.125822508981696 , -1.07787390941951 , 0.549884194866658 , -0.399459187777217 , -0.275207226530821 , 0.427948276167193 , -0.52999835199057 , 0.867120732952148 , -0.0556283397717009, -0.193746796151974 , -0.038107785997368 , 0.143083083747357 , -0.502012951287238 , 0.121922239871003 , 0.116044330847514 , 1.0497782320976 , -0.559963755701212 , 0.743898277792588 , 0.644352745526686 , -0.0196645008024966, -0.752272995582364 , -0.379746876641165 , 0.887091800527128 , -0.0370311632134326, -0.8651094854146 , -0.189463391881041 , -0.389095199243898 , -0.041799633660939 , -0.419796008561055 , -0.858185339540696 | 0.4900898 |
| 74 | 50 | 0.0 | 0.0 | 1.0 | control , control , control , control , control , control , control , control , control , control , control , control , control , control , control , control , control , control , control , control , control , control , control , control , control , control , control , control , control , control , control , control , control , control , control , control , control , control , control , control , control , control , control , control , control , control , control , control , control , control , intervention , intervention , intervention , intervention , intervention , intervention , intervention , intervention , intervention , intervention , intervention , intervention , intervention , intervention , intervention , intervention , intervention , intervention , intervention , intervention , intervention , intervention , intervention , intervention , intervention , intervention , intervention , intervention , intervention , intervention , intervention , intervention , intervention , intervention , intervention , intervention , intervention , intervention , intervention , intervention , intervention , intervention , intervention , intervention , intervention , intervention , intervention , intervention , intervention , intervention , -0.338882145238995 , -0.299401771864996 , 1.50284439852888 , -0.583651154848183 , 1.21455385125629 , 0.651601836417096 , -0.204657408179931 , 1.11251538451384 , -0.349346635514635 , -0.503364403763417 , 2.17047887564908 , -0.532033831009253 , -0.397584357655037 , -1.69905346674253 , 1.17335422354411 , 0.777149234081836 , -0.400457435571369 , 2.19667662417861 , -0.212782338294588 , 0.166392552676191 , 0.409570833323906 , 0.454575505257161 , 1.15574922106781 , 2.13523992425268 , -0.227139972420297 , 0.125425917441999 , 0.615139489427129 , 1.15450498197089 , -0.0833863379970451 , 0.190685314571949 , -0.0542910800278898 , 0.583649023407133 , 0.321662852075797 , -0.953526837385953 , -0.726338224530813 , 0.907099747152088 , -0.516761414116218 , -2.6239354644979 , 2.2333247554652 , -0.442087285953839 , -0.0604385889183131 , -0.817247227927236 , -1.38913590116274 , 1.3888306740708 , -0.34322070122055 , 1.27442690937106 , -0.225933179967287 , -0.42520006846805 , -0.0948288685681627 , -0.0666281952640939 , 1.64012653663597 , -1.14056435103641 , 0.019953702493173 , 0.288119768208478 , 0.29759137606516 , 0.244321926741879 , -0.300111087721427 , 0.174730487232514 , 0.441074932555367 , 1.08939247027254 , -1.09413304499946 , -0.395537606673485 , 0.0194842468302436 , 0.831587207171849 , 0.460641521262797 , 0.132034795744474 , 0.319660459799484 , -0.681710266199151 , -0.547160197668447 , 1.22840321948047 , -0.973853304923997 , -0.668312436657726 , 2.27918966576644 , 0.0828888458629703 , 0.411382312484049 , -0.306446100643275 , 0.584963081174462 , 1.19029109873292 , -0.370043079709077 , -0.446941684942575 , 0.500261729474026 , 0.733469607000039 , -0.671029437313095 , 1.47516108702847 , 0.0101862310990088 , 2.69826767500799 , 1.30643573687612 , 0.164308185883271 , 0.537097340030056 , 0.713263531964679 , 1.75245786340269 , -0.133981782640323 , -0.341646760757427 , 1.72159315784121 , -0.718438359484039 , -0.00798549365561107, -0.474754623544969 , 0.251715215300574 , -0.46820449690206 , 0.37829282426316 | 0.6008607 |
| 74 | 50 | 0.0 | 0.1 | 0.5 | control , control , control , control , control , control , control , control , control , control , control , control , control , control , control , control , control , control , control , control , control , control , control , control , control , control , control , control , control , control , control , control , control , control , control , control , control , control , control , control , control , control , control , control , control , control , control , control , control , control , intervention , intervention , intervention , intervention , intervention , intervention , intervention , intervention , intervention , intervention , intervention , intervention , intervention , intervention , intervention , intervention , intervention , intervention , intervention , intervention , intervention , intervention , intervention , intervention , intervention , intervention , intervention , intervention , intervention , intervention , intervention , intervention , intervention , intervention , intervention , intervention , intervention , intervention , intervention , intervention , intervention , intervention , intervention , intervention , intervention , intervention , intervention , intervention , intervention , intervention , -0.429999223800401 , 0.211101313518567 , -0.345416428576605 , -0.0923221890816062, -0.600837976947794 , -0.387046405825609 , 0.288773130536688 , 0.0895912934233203 , 0.635095177051255 , 1.10456425741455 , 0.673047436347286 , -0.114573184018297 , -0.48330033148143 , 0.331190082369491 , 0.547606134105251 , 0.821495116779105 , 0.300213551825322 , -0.243544752347931 , -0.200772750779853 , -0.242350235288759 , 0.549756830202921 , 0.253711696611034 , 0.66415532838209 , 0.670386956627979 , 0.164228897205671 , -0.146679805715979 , 0.489426687620011 , 0.195161412025609 , 0.684693099110437 , -0.464580978889519 , -0.301685135508546 , 0.444646783219877 , -0.0890592156287675, -0.640591485682153 , 0.344039509999623 , -0.581747500188115 , 0.714842704889577 , 0.182495274026022 , 0.749766272026397 , 0.0966194993745914 , 0.465058357071854 , 0.815453495437385 , 0.813797874433218 , 0.38904080431769 , 0.336151100038391 , -0.0158171323429129, 0.188314097057526 , 0.0487444462227197 , 0.0318966328113983 , -0.107795848118752 , 0.30094214760256 , -0.6900544986326 , 0.355703639633084 , 0.242543463213538 , 0.802127795226302 , 0.240518028219046 , -0.622685107815501 , -0.310500998779046 , -0.245497380920941 , 0.362338371055953 , 0.65252860434639 , 0.464276680007748 , 0.440113860737795 , 0.693301991844616 , 0.0823902392152352 , -0.0357430287889316, -0.390756519235071 , -0.0643693287360136, -0.391889190138051 , 0.272782401736929 , 0.695537246926788 , -0.134786778460767 , 0.300867214153858 , -0.230139267938459 , 0.01960839484455 , 0.459909617794915 , 0.758462847803962 , 0.0165119513785456 , -0.850318569145733 , -0.434078852748448 , 0.663347270460604 , -0.226435326096335 , -0.0874882828698702, -0.235678784276008 , -1.33347279431429 , 0.574587342223295 , -0.564335193244737 , -0.0084045734097969, 0.060900934380791 , -0.614031245096304 , -0.536631381654261 , -0.0743478615352445, -0.572588229852939 , 0.355547637334904 , 0.327941382861141 , 0.853105946078673 , -1.1655895057543 , 0.171302709113696 , 0.300085798725087 , 0.512746848534424 | 0.1122418 |
| 74 | 50 | 0.0 | 0.1 | 1.0 | control , control , control , control , control , control , control , control , control , control , control , control , control , control , control , control , control , control , control , control , control , control , control , control , control , control , control , control , control , control , control , control , control , control , control , control , control , control , control , control , control , control , control , control , control , control , control , control , control , control , intervention , intervention , intervention , intervention , intervention , intervention , intervention , intervention , intervention , intervention , intervention , intervention , intervention , intervention , intervention , intervention , intervention , intervention , intervention , intervention , intervention , intervention , intervention , intervention , intervention , intervention , intervention , intervention , intervention , intervention , intervention , intervention , intervention , intervention , intervention , intervention , intervention , intervention , intervention , intervention , intervention , intervention , intervention , intervention , intervention , intervention , intervention , intervention , intervention , intervention , -0.074674136850648 , 1.7210503123029 , -0.0114811202688045, -0.834152520210756 , 0.2159528060183 , 0.487478407281133 , -0.690054594998117 , 0.150709891803417 , -0.341385934157266 , 0.689093156765115 , 0.953737662257244 , 0.110414705510754 , 0.367495595794296 , -0.14578164614403 , -1.85663107778534 , -0.999035266253606 , 0.891858894870605 , -0.509572181935825 , 0.214430294942294 , -1.39115639189775 , 1.91879116017452 , 0.63251697296861 , 0.730251790990612 , -0.481110030666003 , -0.740834638181765 , 0.492325845280895 , -0.510882227472917 , 1.06693284769035 , -0.311275931495142 , 0.32775889493978 , -0.313759296323483 , -0.116753641316879 , -0.965775295453457 , -0.871897514184477 , -1.21904071213286 , 0.725663551135167 , -0.442666944792978 , 1.2944631712654 , -0.440169745721129 , 1.36121633127692 , 0.134954091892519 , -0.884897231713081 , -0.424863803025398 , 0.667285383399692 , -0.813182434273753 , -0.718410189401609 , -0.74931701100008 , -0.914516520375257 , -0.620966593796011 , -0.457421342881888 , -0.430764045569278 , 1.32974036784443 , -0.281754380947359 , 0.0622407764373626 , -0.535750916725548 , -0.377716611845317 , 0.663245194152775 , -0.203298306120904 , -0.332038411109013 , -2.37542464331895 , -0.806835061223275 , -0.440769674764188 , 0.42618410218763 , -0.643557488726827 , -0.609148940933612 , -0.880097852575707 , 0.114877048159394 , -0.738105209524645 , -0.406295622644474 , 0.418233115891045 , -1.95385573724075 , 1.7657529060971 , 1.35079925418328 , 0.350324446512753 , -0.0969092971169201, 0.235330975242135 , -1.40179748488289 , 1.19274401705707 , 0.860071643365121 , 1.557524533653 , -1.13332469430185 , -0.110441034918764 , -0.450746872136628 , -1.7348029525727 , 0.309500481228835 , -1.4558243481988 , 0.528624175068755 , -0.066709052225544 , 1.02227058346673 , -2.46104559914903 , -1.43402272079073 , -0.87977206049787 , -1.5602795402046 , 0.965508394334728 , 3.30738295390971 , -0.237391509883187 , 0.603708301432773 , 1.49473438763133 , 0.571940086756418 , -0.392412659381605 | 0.8706107 |
| 74 | 50 | 0.5 | 0.0 | 0.5 | control , control , control , control , control , control , control , control , control , control , control , control , control , control , control , control , control , control , control , control , control , control , control , control , control , control , control , control , control , control , control , control , control , control , control , control , control , control , control , control , control , control , control , control , control , control , control , control , control , control , intervention , intervention , intervention , intervention , intervention , intervention , intervention , intervention , intervention , intervention , intervention , intervention , intervention , intervention , intervention , intervention , intervention , intervention , intervention , intervention , intervention , intervention , intervention , intervention , intervention , intervention , intervention , intervention , intervention , intervention , intervention , intervention , intervention , intervention , intervention , intervention , intervention , intervention , intervention , intervention , intervention , intervention , intervention , intervention , intervention , intervention , intervention , intervention , intervention , intervention , 0.188606184076244 , -0.683496549350302 , -0.576426435185419 , 0.846044918011761 , 0.07227454269896 , -0.461943469932854 , -0.151031443415629 , -0.950777559295217 , -0.39473229185284 , 0.466607771266515 , -0.683289680699376 , -0.00632775814312769, 0.945116686698789 , 0.315690625317348 , -0.526662943510524 , 0.285915710076185 , 0.441020533098529 , -0.624825317909339 , 0.304545092160198 , -0.0115474619909944 , 0.665555815309318 , 0.299363379853566 , 0.242503727246744 , -0.374632573448887 , -0.237590060983264 , -0.495660041729875 , -0.211814558090966 , 0.124162229773674 , 0.673488766183387 , -0.140067885057153 , 0.584766295591191 , 0.623610879733695 , 0.37174110282482 , -0.318620435173167 , 0.40130062183629 , 0.185707967234317 , 0.00975506724487218 , -0.0887805206884527 , 1.46765175896259 , 0.928769971847651 , -0.609379689323251 , 0.412701057044547 , 1.10733121972712 , 0.104431111987049 , 0.0872126892069646 , 0.0235203889946625 , 0.886012299475965 , 0.00297055755822438 , -0.721071429308982 , 0.286896313700304 , 0.085694230921767 , 1.13465804948209 , 1.25907098616318 , 1.07983784411053 , 0.420840866199299 , -0.379030814934688 , 0.778147709312925 , 1.59935948457141 , 0.205412886028486 , 0.196667647863906 , 0.702548585946758 , 0.192022978085392 , 0.871353576204162 , 0.824122971010412 , -0.0816528918193974 , 0.978495342032371 , 0.433895715404667 , 1.50584043427027 , 0.790688859286223 , 0.594327275613191 , 0.275935226298252 , 0.636833768121422 , 0.741326953591994 , 1.60800535286445 , -0.313398364722663 , 0.634597419892099 , 0.505686840152475 , 0.534989495502082 , 0.293525983227279 , 0.96553271602041 , 0.962511358367373 , 0.990929840733803 , 1.23699167414466 , 0.0187678396362811 , 0.532346443692769 , 0.722630178670826 , -0.068977871749659 , 0.669274282345533 , 0.0185048120748381 , -0.225831922930116 , 1.01749956592875 , 0.2109266190594 , 0.444706990430014 , 0.817253341163316 , 0.220400174039838 , 0.761802557410297 , 1.16733505657281 , 0.943773257288428 , 0.274561246039207 , 0.16824164540437 | 0.0000040 |
| 74 | 50 | 0.5 | 0.0 | 1.0 | control , control , control , control , control , control , control , control , control , control , control , control , control , control , control , control , control , control , control , control , control , control , control , control , control , control , control , control , control , control , control , control , control , control , control , control , control , control , control , control , control , control , control , control , control , control , control , control , control , control , intervention , intervention , intervention , intervention , intervention , intervention , intervention , intervention , intervention , intervention , intervention , intervention , intervention , intervention , intervention , intervention , intervention , intervention , intervention , intervention , intervention , intervention , intervention , intervention , intervention , intervention , intervention , intervention , intervention , intervention , intervention , intervention , intervention , intervention , intervention , intervention , intervention , intervention , intervention , intervention , intervention , intervention , intervention , intervention , intervention , intervention , intervention , intervention , intervention , intervention , 1.67198234065173 , -1.03704173224785 , -1.1109070491646 , -0.258326862818965 , -1.27745588903676 , -0.351727637065679 , -2.01666497812471 , 1.14389408860347 , 0.450012980185442 , -0.735787759258922 , 0.324263689572044 , -0.665943102968812 , 1.97793757222663 , 1.35768803918082 , 0.746114249003429 , 0.124767741720094 , -1.17553768768247 , -1.38833747477643 , 0.910635438559728 , -0.705380096233236 , -1.04772250068659 , -2.16797476121159 , -0.210662835618982 , -1.13219910917358 , 0.232263731973332 , 0.932568970452062 , 0.330449831850868 , -0.916688781958707 , 0.407357226358168 , 0.22037439433949 , 0.831990976445123 , -1.00294515211193 , -1.47857000417736 , 0.28748669352344 , -1.06458084972085 , -0.67528310899175 , -0.185451112635282 , 0.640884180907121 , 1.89722755021668 , 0.542239855042567 , 2.04802672355122 , -0.584096014220239 , 0.533486538686922 , 0.851813659796371 , -1.58063997477066 , 1.65575081116226 , 0.550345327326831 , -0.479087288456867 , 3.34831982544267 , -0.469328659563011 , -1.28171408413673 , -0.183843378028737 , 1.49914453614409 , -0.319802321562418 , 0.190713797620153 , 0.866791616696142 , 1.10127101433343 , 1.94311072070927 , -0.186382511138728 , -1.50900098504802 , 0.871338923411276 , 0.187364032257453 , 0.825087029009806 , -0.432808475809594 , 0.842003658894356 , 0.761625165898181 , 0.309328854481879 , 1.48389021678099 , 0.821987521448228 , -0.84922730911596 , 0.0726990439035864 , 1.59017653778134 , 0.203039046750013 , 0.286178565762669 , 0.470465068140126 , 0.245880201207863 , 1.14212440942624 , 1.12803320256329 , -0.155950811982615 , -0.443531090877765 , -1.00865081186037 , -0.461531729751251 , -1.4250146860454 , -0.39418415798004 , -0.0205433463178277, 0.959123801360769 , -0.960494486287321 , 0.0571096630770875 , 4.10042702430204 , 1.46261557702234 , 1.56840374913732 , 1.39334520432886 , 0.263985184908354 , 0.414110165927764 , 1.7283316612688 , -0.268212553778741 , -0.0895715051678718, -0.244322714124917 , 0.0137114450625158 , -1.05402001163362 | 0.1197075 |
| 74 | 50 | 0.5 | 0.1 | 0.5 | control , control , control , control , control , control , control , control , control , control , control , control , control , control , control , control , control , control , control , control , control , control , control , control , control , control , control , control , control , control , control , control , control , control , control , control , control , control , control , control , control , control , control , control , control , control , control , control , control , control , intervention , intervention , intervention , intervention , intervention , intervention , intervention , intervention , intervention , intervention , intervention , intervention , intervention , intervention , intervention , intervention , intervention , intervention , intervention , intervention , intervention , intervention , intervention , intervention , intervention , intervention , intervention , intervention , intervention , intervention , intervention , intervention , intervention , intervention , intervention , intervention , intervention , intervention , intervention , intervention , intervention , intervention , intervention , intervention , intervention , intervention , intervention , intervention , intervention , intervention , 0.7810015847249 , -0.338759925077513 , 0.512812136700194 , -0.272383031051441 , 0.199552994404231 , -0.183248065629876 , -0.936326961854172 , 0.37259454575914 , 0.638085750069242 , -0.42911294118399 , -0.44012916183787 , 0.256293804956775 , -0.408641492649921 , 0.0434972228092781 , -0.611043210950781 , -0.479660236434549 , 0.220057847708682 , 0.389003028744625 , 0.0338960927137626 , 0.293182240153304 , -0.232627151667678 , -0.0842141834966602, -0.662310862500546 , 1.09249036735448 , 0.19068746311646 , -0.754340970897636 , 0.597378959167483 , -0.349984495292511 , -0.101439315975004 , -0.707642153283912 , -0.410944937932398 , -0.305288590653663 , 0.166530348380358 , 0.0704488466803369 , 0.0503286796064305 , 0.622767375744609 , 0.0397892370840627 , -0.299488994552093 , 0.270726463348871 , 0.266619808886181 , -0.0113805401065414, 0.72420534816997 , 0.0320239849498559 , 0.135959675598447 , -0.197864826965556 , -0.973706424952842 , -1.00154416709181 , -0.0774753650097522, -0.132832424110514 , 0.669003180654523 , 1.76480869555471 , -0.515121355161521 , 0.0843746173194272 , -0.513218292070707 , 1.19010561694796 , 0.85962954738868 , 1.45264634853454 , 0.79426284422618 , 1.43402859997959 , 1.16515187601453 , 1.32398346238368 , 0.912807217339615 , 0.0242712383254283 , 0.402307070409769 , 1.26462047813357 , 0.41417163374486 , 0.620799805932696 , 0.220329929857297 , 0.457203219234899 , 1.01479353595902 , 0.373456792221625 , 0.972680100174862 , 0.182460114049318 , 0.445296135000765 , -0.256047777441519 , 0.651682208236289 , 1.42470213160615 , 1.13581356361867 , 0.644881196373136 , -0.246906744449463 , 0.600655473813164 , -0.302500265975451 , 0.819241762574842 , 0.288399228799556 , 0.183223548845518 , 1.36334758381705 , 0.236392069361373 , 0.68111444637446 , 1.4207287877886 , 0.594088561636293 , 0.412762302476897 , 1.06279158835647 , 1.18022710014155 , -0.11593889145838 , 0.257678725645875 , 0.973830764812386 , 0.570638089511233 , 0.0437118529139468 , 0.463647722885423 , 0.0334179301397954 | 0.0000000 |
| 74 | 50 | 0.5 | 0.1 | 1.0 | control , control , control , control , control , control , control , control , control , control , control , control , control , control , control , control , control , control , control , control , control , control , control , control , control , control , control , control , control , control , control , control , control , control , control , control , control , control , control , control , control , control , control , control , control , control , control , control , control , control , intervention , intervention , intervention , intervention , intervention , intervention , intervention , intervention , intervention , intervention , intervention , intervention , intervention , intervention , intervention , intervention , intervention , intervention , intervention , intervention , intervention , intervention , intervention , intervention , intervention , intervention , intervention , intervention , intervention , intervention , intervention , intervention , intervention , intervention , intervention , intervention , intervention , intervention , intervention , intervention , intervention , intervention , intervention , intervention , intervention , intervention , intervention , intervention , intervention , intervention , -0.672957688322199 , 0.748101517373516 , -1.00264141037705 , 0.118190899651065 , 1.7152174028172 , -0.0123801250447473 , -0.671116162414596 , -1.62593367653364 , -0.881259907992182 , -0.216995000588546 , 1.13784388464714 , 0.231058304922998 , 1.59925350162487 , -0.722835041042752 , 0.892073033574087 , -1.98817155023314 , -0.6805427390189 , -0.454692006663107 , -1.9613212337977 , 0.850317505485382 , 0.296945433253315 , 0.214674361467529 , 0.981283931474754 , 1.78272475861822 , -1.59515631701505 , 1.04127444505664 , 1.54833365809729 , 0.723125143176585 , -1.73734348248552 , 0.640217458940276 , -0.503187795599852 , 0.198485709442931 , -1.2089702938199 , -0.574665987326935 , 1.02554533028223 , -0.511218559107789 , 1.04324385460076 , 0.747575872440882 , -0.635067910876289 , 0.190432810301814 , -0.745601888729842 , -2.03442704749611 , 1.22158448616866 , 1.207172588539 , 0.631274246081849 , 0.463393605891367 , 0.497300642968931 , -0.970944061132965 , -1.68896240314733 , -1.96071263429165 , 1.83163924038972 , 0.55358801137364 , 0.493101698857839 , -0.455829953564835 , 1.48375331145619 , 1.45815026076754 , 1.43807595942391 , 0.744121396269117 , 1.3090076579792 , 2.10974662610022 , -0.961724469951084 , 0.980272428618297 , 2.04061326467186 , -1.39521651665161 , -0.00120468193377277, 1.82874174433627 , -0.0188528874971665 , 0.439150603082548 , 0.685144170716583 , 0.970127725561186 , -1.2973039279766 , 2.01582024345307 , 0.966543516432022 , -1.51377489142282 , 1.80835102184905 , 1.2743147642716 , 0.678735313820968 , 1.08154695808714 , 0.321574112679184 , 1.11546608413467 , -1.00281869417193 , -0.171504792332936 , 1.35971149767281 , 0.0473519944571287 , -0.0163860078096941 , 2.3214729695825 , -1.24999304055849 , 0.80534631283644 , -0.533306547358034 , 0.570640523939585 , 2.45933193506122 , 0.691407412253171 , 0.137159196805154 , 0.0184998611523514 , -0.0844661832334407 , 0.919160289317749 , -1.02283773275253 , 2.74091192374109 , 1.79381582946352 , 1.30982030813999 | 0.0011738 |
| 75 | 20 | 0.0 | 0.0 | 0.5 | control , control , control , control , control , control , control , control , control , control , control , control , control , control , control , control , control , control , control , control , intervention , intervention , intervention , intervention , intervention , intervention , intervention , intervention , intervention , intervention , intervention , intervention , intervention , intervention , intervention , intervention , intervention , intervention , intervention , intervention , 0.104106477590266 , -0.482114937985327 , -0.0757618333878097 , -0.813124568412419 , 0.329943484209374 , -0.619397960135924 , -0.478907400381618 , 0.982057506753994 , -0.333339084554092 , -0.937353019118888 , 0.931490811880115 , -0.389778049421001 , 0.655395770915761 , -0.00438336974799573, 0.0379913981290646 , -0.262680854000039 , -0.469274395212953 , 0.1777970349192 , 0.00235711921096875 , -0.071645557860561 , -0.59784669117765 , -0.285344114954967 , -0.152535670068951 , 0.199833282019219 , 0.146973188634589 , -0.036965293826124 , 0.212472165628008 , 0.123376211090333 , 0.167522645934283 , -0.925639497269203 , 0.340568558832826 , 0.742557310513626 , 0.765442919971828 , 0.232428379187471 , 0.392185332769127 , -0.46003396179406 , 0.279508684870872 , -0.732143224793895 , -0.238098999115043 , 0.560490484360624 | 0.4386016 |
| 75 | 20 | 0.0 | 0.0 | 1.0 | control , control , control , control , control , control , control , control , control , control , control , control , control , control , control , control , control , control , control , control , intervention , intervention , intervention , intervention , intervention , intervention , intervention , intervention , intervention , intervention , intervention , intervention , intervention , intervention , intervention , intervention , intervention , intervention , intervention , intervention , -0.216176604074781 , 0.481198761641421 , -1.64848095754436 , -0.337658443876932 , -1.0832543199121 , -0.0285537240596644, 0.451164032045389 , 0.0564498804238639 , 0.529198131517394 , -0.461330719576261 , -0.447339356014902 , -0.991135642167118 , 0.920194916143411 , -0.410677354325845 , 0.428667780970958 , -0.238600155938469 , 0.896981800309795 , -1.43926297771107 , -1.37937402846932 , -1.97558089695716 , 0.427138523411599 , -0.173554361495819 , 1.40094493032344 , 0.16062364892249 , -0.0257028054985507, 1.9028764248586 , -0.638105478870453 , 0.539265048164926 , 1.16663943001219 , 2.17766083425639 , 0.757418606150083 , 1.27822707623765 , 0.862876082750917 , 0.103474221450901 , 0.838799182549526 , 0.477808343166679 , 0.700590616685927 , -0.433826044774567 , -0.105573402199542 , -1.05197490181132 | 0.0023709 |
| 75 | 20 | 0.0 | 0.1 | 0.5 | control , control , control , control , control , control , control , control , control , control , control , control , control , control , control , control , control , control , control , control , intervention , intervention , intervention , intervention , intervention , intervention , intervention , intervention , intervention , intervention , intervention , intervention , intervention , intervention , intervention , intervention , intervention , intervention , intervention , intervention , -0.492850918456096 , 0.483179682094257 , 0.405186591552892 , 0.231348527563014 , 0.888755996469852 , 0.235471396485864 , 0.427754129110622 , 0.262663877656387 , -0.0551906080505413, 0.0133938574232461 , 0.463147145232636 , 0.119541296463962 , -0.741082015013176 , 0.605669125905994 , 0.218348672939998 , 1.09562685825402 , 0.257347253185613 , -0.108970397818633 , 0.473597266877077 , -0.595183748729657 , 1.16080045419412 , 0.348818668868967 , -0.70662206969666 , -0.0157359697288258, -0.888549749839465 , -0.575683654308226 , 0.128579846006516 , -0.322464633808163 , 0.17074283719014 , 1.35178975501202 , 0.600368872959067 , 0.70655107856997 , 0.299958791179689 , -0.444899997086311 , 0.43002491353637 , 0.403221462050009 , -0.906959689145558 , -0.173148409709407 , 0.30098614950564 , -0.373478115580756 | 0.4436344 |
| 75 | 20 | 0.0 | 0.1 | 1.0 | control , control , control , control , control , control , control , control , control , control , control , control , control , control , control , control , control , control , control , control , intervention , intervention , intervention , intervention , intervention , intervention , intervention , intervention , intervention , intervention , intervention , intervention , intervention , intervention , intervention , intervention , intervention , intervention , intervention , intervention , 0.0815748387742072 , -0.366014547827753 , -0.278667942294612 , 1.06085327087747 , -0.289285753048538 , 0.172924741758293 , 0.885818765314231 , 0.916917660734146 , 1.2112936603706 , -0.344866650857979 , -1.92625481386246 , -1.65598802788565 , 1.4509446586274 , -0.345164342900117 , 0.57917336877553 , -0.827347594633553 , 0.770493816813159 , 1.34241843043692 , 1.75587441226866 , -0.447768135613279 , -1.16989612821739 , -0.163443020364491 , -0.120602408081983 , -2.60470545901308 , 0.300575975624626 , 0.502174687857321 , 0.976312366150133 , -1.23801772813286 , -0.470487479894287 , 0.0233041089894493 , 0.0335450316315581 , 1.87924674611602 , 0.416327644400176 , -2.02089555856498 , 0.11748109399885 , -0.0895682335743588, 2.41560519654355 , -0.77936944125692 , 0.014867901133999 , 1.37374280638057 | 0.5386605 |
| 75 | 20 | 0.5 | 0.0 | 0.5 | control , control , control , control , control , control , control , control , control , control , control , control , control , control , control , control , control , control , control , control , intervention , intervention , intervention , intervention , intervention , intervention , intervention , intervention , intervention , intervention , intervention , intervention , intervention , intervention , intervention , intervention , intervention , intervention , intervention , intervention , -0.449855769892181 , -0.0109237441997199 , -0.735471204865314 , -0.460333095604027 , 0.737647423844222 , 0.111462473797353 , -0.434034892799327 , -0.420024446400194 , 0.0625738767356877 , -0.562519660336536 , 0.322785966993321 , 0.351000826371098 , 0.0911019516862302 , -0.145028331965602 , 0.0821949187899192 , -0.240229777889142 , -1.14044067214645 , -1.06849606237814 , -0.294121738999637 , -0.131609574905339 , 0.669213078113005 , 0.301608786872483 , 0.641516207577751 , 0.524993823357849 , 0.664338817303225 , 1.13403385229151 , 0.587725829272925 , 0.567414307943242 , 0.638291692045902 , 0.645977831745257 , 1.3894144283056 , 0.977029545061484 , -0.00164267487294689, -0.233996292120588 , 0.352530299933858 , 0.252981313107417 , 0.965147281603382 , 0.712396273604223 , -0.0566848165504881 , 0.657083323217986 | 0.0000012 |
| 75 | 20 | 0.5 | 0.0 | 1.0 | control , control , control , control , control , control , control , control , control , control , control , control , control , control , control , control , control , control , control , control , intervention , intervention , intervention , intervention , intervention , intervention , intervention , intervention , intervention , intervention , intervention , intervention , intervention , intervention , intervention , intervention , intervention , intervention , intervention , intervention , -0.0500881442907627, -1.21353778700313 , 0.387958343418402 , 0.810396524169868 , 0.162127234428288 , 1.49897496634613 , 0.222471608298415 , 1.13795939788259 , -0.0143338228709942, -0.306075260621699 , -0.0895924371367619, -0.52724683247611 , -0.0611315912721912, -0.766097600763349 , 0.125313329031543 , 0.0169140961361627 , 0.197798807817395 , -0.771014102512116 , -1.56119619981008 , -0.180850277142512 , 1.97868315912992 , -0.821531969051002 , 1.5422683781058 , -1.47640124766685 , 1.56726305966732 , 0.149248540139217 , -0.892730224818641 , 0.676982896450085 , 1.55605159356881 , 1.39331297163238 , -1.34687473860939 , 0.315308195650523 , 1.03658322700858 , 0.521765610890334 , 0.261708575716083 , 0.5440694027059 , 0.662970524232173 , 0.417114808769346 , 0.045073479842527 , -1.92387522663223 | 0.2315200 |
| 75 | 20 | 0.5 | 0.1 | 0.5 | control , control , control , control , control , control , control , control , control , control , control , control , control , control , control , control , control , control , control , control , intervention , intervention , intervention , intervention , intervention , intervention , intervention , intervention , intervention , intervention , intervention , intervention , intervention , intervention , intervention , intervention , intervention , intervention , intervention , intervention , -0.355765624686317 , -0.347900816978746 , 0.190232017969394 , 0.521775585312093 , -0.0933776969194076, 0.232323395320898 , 0.422355918915771 , 0.151780191362679 , -0.277236817066295 , 0.833837789499984 , 0.921866995061039 , -0.0997372058355208, 0.0217882964360198 , 0.245542748160316 , 0.0411052093071286 , 0.100552643706127 , -0.0017400743097143, 0.0167187077757461 , -0.395103415933385 , 0.495931735995042 , -0.313510715014316 , 0.695098785597825 , 0.308694952650863 , 1.14372354851278 , 0.395351285375841 , 1.19618963895571 , 0.854974773133846 , 0.57856176475749 , 0.205340122876287 , 0.492305148690159 , 0.387345848562637 , 0.483354709174325 , 1.49393415739214 , 1.16777394075406 , 0.656384100922673 , 0.794682616730403 , 0.281971511916171 , -0.73334115664216 , 0.194079650109307 , 0.445087685534922 | 0.0069093 |
| 75 | 20 | 0.5 | 0.1 | 1.0 | control , control , control , control , control , control , control , control , control , control , control , control , control , control , control , control , control , control , control , control , intervention , intervention , intervention , intervention , intervention , intervention , intervention , intervention , intervention , intervention , intervention , intervention , intervention , intervention , intervention , intervention , intervention , intervention , intervention , intervention , -1.43536150382257 , 0.977464828090439 , -0.640223051404837, -0.683448756356063, 1.85404538998715 , -1.83726699645316 , -0.364159631348047, 0.585652209829215 , 1.18985106098579 , 0.135245332520307 , -0.629817853259396, 1.79302655130929 , -0.558622914336186, 1.70975324162164 , -0.138301028193009, -0.269310574177681, 0.0794377512786305, -0.474893635655466, 1.03034608058721 , 0.297743110190182 , 0.46609138549953 , 1.09635107881029 , 1.72443232391928 , 1.05891439343156 , -0.326252299238016, -0.922931658391982, 0.254322943393468 , 0.844289797383169 , 0.855242351039848 , -1.07626154145693 , 1.42484154832486 , 0.212599420556999 , -0.070816373472228, 0.2343441465779 , -0.334901753246875, 0.354531329742396 , -0.113493106147727, 1.59890290953048 , -1.81247680551115 , 0.51819014297175 | 0.5900911 |
| 75 | 50 | 0.0 | 0.0 | 0.5 | control , control , control , control , control , control , control , control , control , control , control , control , control , control , control , control , control , control , control , control , control , control , control , control , control , control , control , control , control , control , control , control , control , control , control , control , control , control , control , control , control , control , control , control , control , control , control , control , control , control , intervention , intervention , intervention , intervention , intervention , intervention , intervention , intervention , intervention , intervention , intervention , intervention , intervention , intervention , intervention , intervention , intervention , intervention , intervention , intervention , intervention , intervention , intervention , intervention , intervention , intervention , intervention , intervention , intervention , intervention , intervention , intervention , intervention , intervention , intervention , intervention , intervention , intervention , intervention , intervention , intervention , intervention , intervention , intervention , intervention , intervention , intervention , intervention , intervention , intervention , 0.69738116320165 , 0.79139911460011 , 0.40853864534394 , 0.502461989346794 , 0.609261304347485 , 0.27786771349919 , 0.455232929401403 , -0.110285711090349 , -0.0378841631838092 , 0.00136679285926642 , -0.559341911410395 , -0.318993860571367 , -0.4145649143711 , -1.17032860361854 , 0.31593294594184 , -0.346793636851074 , -0.507183774824614 , -0.52584972466986 , 0.337527302714466 , -0.2793018521258 , -0.466792248318463 , -0.137370955482119 , 0.283640449887383 , -0.0885862710367668 , -0.281180619219522 , -0.802351637617149 , 0.262066244593977 , 0.13180098906197 , 0.215438757626689 , 0.204079915116605 , 0.869495592494681 , -0.154218870273487 , -0.0822532838071688 , -0.345989141212489 , 0.429835584099794 , 0.99443336080833 , 0.264911286467177 , -0.0875637424612159 , 0.234262629897749 , -0.0056688851381711 , -0.534236994923737 , 0.368223512320508 , 0.0574752910225567 , 0.246548575535995 , -0.535588729574791 , 0.570352298746651 , 0.484512550997308 , 0.348322079490876 , -0.315258815857948 , 0.653765926110418 , -0.12983143846558 , 0.289772198182153 , 0.299232865432853 , 0.589767798153471 , -0.291337761551638 , 0.38506269490598 , -0.78051488296198 , 0.377541823951016 , 0.500415820914213 , 0.07256071982476 , -0.92420856344161 , 0.558934010179895 , -0.729986980252875 , -0.584614265036437 , 0.692747410299257 , -0.453546304255264 , 0.0580939608196138 , 0.475760468301232 , -0.0090436022967497 , 0.13620598544037 , -0.737689667192567 , 0.031117208864263 , 0.105786798427553 , 0.581979459678975 , 0.362762653478337 , 0.364407473297952 , 0.477566724314776 , -0.680270304018822 , -0.148784537155107 , -0.180420764836658 , 0.178743785556781 , 0.165637697981974 , 0.192402733520637 , 0.0754549705676457 , -0.293550644827282 , -0.592812497834196 , -0.262134155533937 , -0.0746419334037011 , 0.292103470120732 , 1.42077651575229 , -0.322280589614647 , 0.000749981086456555, 0.672081212608971 , -0.964717483044953 , 0.27028743314258 , 0.109854108769926 , 0.22165399455072 , 0.0356649381749464 , -0.392959995422363 , -1.02377866915645 | 0.6047640 |
| 75 | 50 | 0.0 | 0.0 | 1.0 | control , control , control , control , control , control , control , control , control , control , control , control , control , control , control , control , control , control , control , control , control , control , control , control , control , control , control , control , control , control , control , control , control , control , control , control , control , control , control , control , control , control , control , control , control , control , control , control , control , control , intervention , intervention , intervention , intervention , intervention , intervention , intervention , intervention , intervention , intervention , intervention , intervention , intervention , intervention , intervention , intervention , intervention , intervention , intervention , intervention , intervention , intervention , intervention , intervention , intervention , intervention , intervention , intervention , intervention , intervention , intervention , intervention , intervention , intervention , intervention , intervention , intervention , intervention , intervention , intervention , intervention , intervention , intervention , intervention , intervention , intervention , intervention , intervention , intervention , intervention , -0.868664677804336 , -1.01738657108103 , -0.672102687352614 , -0.136554541287549 , -0.454690905887281 , -0.296958736118828 , -0.502538145217362 , 0.359806501051269 , 0.114111616279516 , 0.465206475646507 , -0.129716310732472 , 1.61674807612737 , 1.0096294608187 , -0.022007306060549 , -0.364416549608982 , 1.66806363814484 , 1.04664878759792 , 0.68973147346395 , 1.23230684137557 , 0.751637255783212 , 1.50521389154162 , -1.51318358641413 , 0.0618313390141055 , -0.611428965446411 , 0.352062013163281 , -0.358300255864722 , -1.58066818953575 , -1.20899045939562 , 0.497769555048033 , -1.58140367869994 , 2.14435822998009 , -1.03520365767517 , -1.62696440498993 , -0.809622809424911 , 1.92066262556858 , -0.00217779131598767, 1.05446222305458 , 0.193956774537007 , -0.189729199316421 , -0.893764946722083 , 2.03949982011846 , 1.1765617468518 , -0.0469359011635783 , -0.917108498477262 , -0.325822464542593 , 0.934371230774008 , 0.744738333481467 , 0.374596623078126 , 0.95989438273686 , -0.37826126945065 , -1.04716776237137 , -0.761641254517699 , 0.0967568627360605 , -1.49408936363787 , 0.957905150395514 , -1.00896967692445 , -0.339235356786635 , 0.461620074929144 , 0.114567142985337 , -0.348420113477024 , -0.810176364702014 , -0.660180568957195 , 0.93937096676781 , 0.573029270253326 , -0.581825276538109 , 1.83306568974666 , 0.986135351294888 , 1.17742377930831 , -1.8170902353862 , 1.07285922601909 , 3.19804765154775 , -1.26266461151477 , -0.656457639021833 , -0.870396524809606 , 0.147248158345239 , 0.376827713123383 , -0.334639598754382 , -0.783669453278582 , 0.0976867728842661 , -1.80483107868116 , 0.0414066930305504 , -0.27924627340602 , -1.41542640251331 , 1.54606531385616 , -2.04746013090921 , -1.23598370358063 , 0.112558883702838 , -2.3089662622446 , 0.207763581291163 , -1.22162399904186 , -0.966657579585905 , 1.18272147604554 , 0.0883872880423278 , 0.262097128991277 , 2.78973083848446 , 1.53105318362558 , -0.153666428813538 , -1.20543203176626 , 0.580520861852337 , 0.34472553711157 | 0.3568863 |
| 75 | 50 | 0.0 | 0.1 | 0.5 | control , control , control , control , control , control , control , control , control , control , control , control , control , control , control , control , control , control , control , control , control , control , control , control , control , control , control , control , control , control , control , control , control , control , control , control , control , control , control , control , control , control , control , control , control , control , control , control , control , control , intervention , intervention , intervention , intervention , intervention , intervention , intervention , intervention , intervention , intervention , intervention , intervention , intervention , intervention , intervention , intervention , intervention , intervention , intervention , intervention , intervention , intervention , intervention , intervention , intervention , intervention , intervention , intervention , intervention , intervention , intervention , intervention , intervention , intervention , intervention , intervention , intervention , intervention , intervention , intervention , intervention , intervention , intervention , intervention , intervention , intervention , intervention , intervention , intervention , intervention , 0.15022416311577 , 0.99563682118007 , 0.0539379481991992 , 0.177978699509471 , 0.583761951001953 , 0.218513579520288 , 0.0823258399842339 , 0.843591691014598 , -0.000392564192686726, -0.139315621503035 , -0.341154886498217 , 0.228367816261591 , -0.258902648166205 , 0.1784322609779 , 1.23590688034484 , -0.244833479285146 , 0.338433759709732 , -0.0292538969695604 , 0.195006647788617 , 0.181661111249804 , 0.455491515808088 , 0.0980395530201754 , -0.240828134340242 , 0.647420461536565 , -0.490258740496728 , 0.529721279323136 , 0.56236342964707 , 0.217559368879155 , 0.81274826743932 , -0.0939439706592556 , 0.394556893011987 , -0.258241063056611 , -0.756065576384501 , -0.0178168935297827 , 0.0770326821601839 , 0.116849193970269 , -0.104695557913704 , 0.786347693024453 , -0.264050319569231 , -0.289397770489613 , 0.249595523536071 , -0.128918711096344 , 0.271652197398137 , 0.838513105319331 , -0.814465041694877 , -0.330119475800976 , 0.0958449372707312 , -0.762661144308588 , 1.01333222992553 , -0.0113106353297939 , -0.45536277460052 , 0.0814341121289139 , -0.861202405090183 , -0.459790105007718 , 0.232010900219473 , 0.367951328770697 , 0.00883466629867011 , -0.347992630868258 , -0.0255882774143464 , 0.178580517342668 , 0.368776242759084 , 0.884347133266621 , 0.490048145263817 , 0.387517510588805 , -0.322139634233916 , -0.477368406027188 , 0.320394540622747 , 0.0979871373887157 , -0.232225845655881 , 0.676813001119484 , 0.68355970609161 , 0.200916141622397 , -0.770390833963469 , -0.0172628150397286 , 0.112256158304081 , -0.344139808782333 , -0.359333203272647 , -0.178721631376748 , 0.122476715820852 , -0.33861074561942 , 0.444401777349398 , -0.764247520185262 , 0.0174877353611454 , 1.08439655300981 , -0.0552591884613226 , 0.186048434664096 , -0.0946184713611423 , -0.424375167038908 , -0.414265736100621 , -0.134690430457866 , -0.695999376497164 , 0.481582236680481 , -0.0548412132957709 , 0.117139255337438 , -0.227087309738514 , -0.116698242635669 , 0.155908591968389 , 0.195457731325045 , -0.0748935372687192 , -0.0552945925233659 | 0.0921029 |
| 75 | 50 | 0.0 | 0.1 | 1.0 | control , control , control , control , control , control , control , control , control , control , control , control , control , control , control , control , control , control , control , control , control , control , control , control , control , control , control , control , control , control , control , control , control , control , control , control , control , control , control , control , control , control , control , control , control , control , control , control , control , control , intervention , intervention , intervention , intervention , intervention , intervention , intervention , intervention , intervention , intervention , intervention , intervention , intervention , intervention , intervention , intervention , intervention , intervention , intervention , intervention , intervention , intervention , intervention , intervention , intervention , intervention , intervention , intervention , intervention , intervention , intervention , intervention , intervention , intervention , intervention , intervention , intervention , intervention , intervention , intervention , intervention , intervention , intervention , intervention , intervention , intervention , intervention , intervention , intervention , intervention , 0.122216793035602 , 0.860010488637431 , -1.46972477332214 , 0.565295188753176 , 0.253441114647191 , -0.533587666682394 , -0.570603801961749 , 1.35990524073394 , 1.96568649574581 , 0.231994368420424 , -1.45754128822527 , 0.499291029727356 , 0.728094911765499 , -1.04977466093352 , -1.05914225199467 , 0.131727028006973 , 0.885570027980899 , 0.777329167987718 , -0.0522994646694722, 0.98995350308155 , 1.34324017216263 , 0.676463592412909 , 0.0280894811953324 , 0.529698335205668 , 0.958405857596902 , -0.0818899338427278, 1.25579513207636 , -0.672067898816385 , -0.0767248490735138, 1.46908381093222 , -0.239077373715993 , 1.80878029073404 , -1.29208763534926 , -0.334506099763194 , -1.69360032282362 , -0.0616225177527416, 2.32127345082647 , 0.191770995061828 , -1.00798427067392 , 0.628374651785959 , 0.117087611516454 , -0.944216713551896 , 0.946084103041298 , 1.25506280035872 , 0.0887013605644508 , 0.251578302918481 , -0.71531814887929 , -0.6181275131788 , 0.915519022953054 , -0.170328690219036 , -0.133133555650193 , -0.89702958140362 , 1.11563595126291 , 1.36217951041521 , -0.171121448623037 , -0.0595932575872882, 0.140879733480592 , -0.273694174374761 , 0.00176346834872472, -0.409097019143172 , -0.641058770755485 , -1.32050999448073 , 2.13385523289761 , 0.949080936522247 , 1.90758518418578 , 2.05383804346053 , 0.128159885543057 , 2.37980106335864 , 0.140626475905859 , -0.865181282734218 , -1.71162275158046 , 1.58862509791881 , -0.495293593158525 , 0.180611865186722 , 3.12773470758357 , 0.709964863102792 , 0.778900465361201 , 0.58170631115705 , 0.0982288213310856 , -0.107701601964696 , -0.472012533939683 , 0.0287179618680269 , 0.367735787440762 , -1.15216179473213 , -1.15702158285445 , 1.43759746822037 , 0.845644101583665 , 1.35304872418495 , -0.13003105206894 , -1.46719430486323 , 1.03044302800282 , 0.608490288284516 , -1.14719604656788 , 0.118901105508421 , 0.970229129839404 , 1.5065748156713 , 0.956435093508001 , -0.449141225284714 , 0.693999912520392 , 1.07416174597152 | 0.4709626 |
| 75 | 50 | 0.5 | 0.0 | 0.5 | control , control , control , control , control , control , control , control , control , control , control , control , control , control , control , control , control , control , control , control , control , control , control , control , control , control , control , control , control , control , control , control , control , control , control , control , control , control , control , control , control , control , control , control , control , control , control , control , control , control , intervention , intervention , intervention , intervention , intervention , intervention , intervention , intervention , intervention , intervention , intervention , intervention , intervention , intervention , intervention , intervention , intervention , intervention , intervention , intervention , intervention , intervention , intervention , intervention , intervention , intervention , intervention , intervention , intervention , intervention , intervention , intervention , intervention , intervention , intervention , intervention , intervention , intervention , intervention , intervention , intervention , intervention , intervention , intervention , intervention , intervention , intervention , intervention , intervention , intervention , -0.486214618027456 , -0.948481554064268 , -0.526256885425841 , -0.901706060648323 , -0.365181316619545 , -0.114956947088182 , -0.827988102947606 , 0.0589132637365021 , -0.50528115089042 , 0.0846646369537007 , 0.138300654597384 , -0.204215685679834 , -0.066358181596925 , 0.76590703996607 , 0.319968484462426 , -0.123989445109931 , 0.826728493683506 , -0.700192477141833 , -1.19760934657266 , 0.494526338837613 , -0.0942444106249533 , 0.59784636717445 , -0.0777527506740829 , -0.0104152950910196 , 0.321738162949754 , -0.0426052927208111 , -0.710509583862558 , 0.0773641599403781 , -1.02820474418112 , 0.83225972772407 , 0.544851061199917 , 0.0145475396230206 , 0.485714442009086 , -0.973682542889403 , 0.31049714639083 , -0.785695710039466 , -0.533145026766701 , 0.351502996194047 , -0.775766594974769 , 0.149424617906646 , -1.01373182546752 , 0.484424489184413 , 0.554763070079663 , -0.390040754307312 , -0.355613818680912 , 0.723361213553397 , 0.228241989502313 , 0.3753462353575 , 0.757804223557332 , -0.310974944416006 , 1.02341214832376 , -0.00199880011229014, 0.960365643444084 , 0.150823632923731 , 0.714679840162936 , 0.591943006212753 , -0.195660777973354 , 0.115051206160104 , 0.849245434968548 , 0.701952117138963 , 0.114151939730731 , 0.767293935378831 , 1.009053033906 , 0.949982466467424 , -0.0554384649044128 , 1.1981966855182 , 0.252711503057382 , 0.0336071754959251 , 0.439692234660095 , 1.00938363522183 , 0.605800144580415 , 1.17584678109312 , -0.1489253633222 , 0.830240615900303 , 0.83368708817387 , 0.337592511273041 , 1.13584414891607 , 0.362805699590453 , 0.358858487693637 , 0.595977366034086 , 0.45815966302107 , 0.371393609892755 , 0.682551247564273 , 0.0975160700412144 , 0.501077434821129 , -0.202488920175618 , 0.668835380497521 , 0.339495086915248 , 0.514646738241444 , 1.41569451445123 , 1.44135916698224 , 1.76600833164987 , 0.340975714384229 , 0.688988190927838 , 0.980268728059324 , 1.54051027948022 , 0.0496213359599051 , 1.20670524875596 , 1.29346259807665 , 0.655471930683913 | 0.0000000 |
| 75 | 50 | 0.5 | 0.0 | 1.0 | control , control , control , control , control , control , control , control , control , control , control , control , control , control , control , control , control , control , control , control , control , control , control , control , control , control , control , control , control , control , control , control , control , control , control , control , control , control , control , control , control , control , control , control , control , control , control , control , control , control , intervention , intervention , intervention , intervention , intervention , intervention , intervention , intervention , intervention , intervention , intervention , intervention , intervention , intervention , intervention , intervention , intervention , intervention , intervention , intervention , intervention , intervention , intervention , intervention , intervention , intervention , intervention , intervention , intervention , intervention , intervention , intervention , intervention , intervention , intervention , intervention , intervention , intervention , intervention , intervention , intervention , intervention , intervention , intervention , intervention , intervention , intervention , intervention , intervention , intervention , -0.558366079194159 , -0.497125090690058 , 1.35768507384918 , 0.085083877398274 , 1.52018629925174 , 0.475010271065613 , 2.5298746937084 , 0.467270206237955 , 0.993312838638502 , 0.588029239715581 , 0.523405392055482 , -0.140959356257676 , 0.396643609819389 , 0.626961884807768 , -1.42220468356587 , -1.08216793295877 , -2.2777927800952 , -0.800595549332066 , 0.223492895000601 , -1.12944779164299 , 0.58170263397659 , 0.591697431349792 , 1.58434856702584 , 0.896008470163784 , 0.203850735497939 , 1.2332911939096 , -0.52855208955861 , 2.31472074248638 , 0.718735918437205 , 0.561736449777484 , -1.34653605215554 , -0.292439422865689 , 1.27969812509668 , -0.753281885952175 , -2.49650729401584 , 0.42609770555067 , -1.54719553835032 , -0.833740372271786 , -0.256681541796719 , 0.68369439353335 , 0.897176914058901 , 0.914170689250488 , -0.349469274190412 , 0.332390176701031 , 1.55456274769714 , 1.38065930475671 , -0.225559532053891 , -0.0637296234438461, 0.258194143914391 , -0.140644580091955 , 2.07286044790829 , 1.49377146243421 , 0.280019062092007 , 1.66685078913096 , 0.933850145513903 , -0.124233605121152 , 2.48367912246167 , -1.55988834849421 , 1.15761882239432 , 0.878562553550734 , -0.273628827109695 , 2.23272177380667 , 2.29434908175568 , 2.53838314911019 , 0.843104091124733 , 1.16779428883432 , 0.0556830220174637 , 0.106598472863836 , -0.298667903878926 , -0.0651997567101855, -0.0314770530447226, 0.170874719341429 , 2.71496496043126 , 0.45072134560996 , 0.561490638115413 , 0.185663077549205 , 0.721351473996345 , 0.309531133151381 , 0.485322063273533 , -0.420058534885572 , 0.0997834729154556 , 0.540527539321125 , 1.54071793661612 , 0.588016838771527 , 0.824316907040617 , -0.904743855569958 , -0.983226204775039 , 0.0881306572402522 , -0.522028045560165 , -0.598186555398321 , 1.28476199766471 , 0.620406447921413 , -0.879906821756234 , -0.328496823904768 , 2.05606782525088 , 0.856331232928425 , -0.562454322013159 , -0.887220395727206 , -2.76781740886627 , 0.50176881973483 | 0.1959346 |
| 75 | 50 | 0.5 | 0.1 | 0.5 | control , control , control , control , control , control , control , control , control , control , control , control , control , control , control , control , control , control , control , control , control , control , control , control , control , control , control , control , control , control , control , control , control , control , control , control , control , control , control , control , control , control , control , control , control , control , control , control , control , control , intervention , intervention , intervention , intervention , intervention , intervention , intervention , intervention , intervention , intervention , intervention , intervention , intervention , intervention , intervention , intervention , intervention , intervention , intervention , intervention , intervention , intervention , intervention , intervention , intervention , intervention , intervention , intervention , intervention , intervention , intervention , intervention , intervention , intervention , intervention , intervention , intervention , intervention , intervention , intervention , intervention , intervention , intervention , intervention , intervention , intervention , intervention , intervention , intervention , intervention , -0.102026392818365 , 0.061583531942627 , 0.0494502609936148 , -0.276226337931184 , -0.737109259504119 , -0.631076605338886 , -0.734479535967311 , -0.165958714705048 , 0.48362988536793 , 0.818537404533369 , 0.201696998900509 , -0.375535424344184 , -0.161856961141306 , 0.29732190810595 , -1.40928614184962 , 0.682363472826429 , -0.524557290677446 , 0.106673351548414 , 0.385993398509262 , 0.344519783404474 , 0.12389740014259 , -0.930612918743554 , 0.448449131603846 , -0.857256039888278 , 0.325542505972587 , 0.254178437423172 , -0.727127578449958 , -0.348044075286641 , 0.411897546527981 , 0.552296214839222 , -0.290579314502281 , 0.0411301806540687 , 0.409752681016638 , 0.912645720598127 , 0.0664430534012622 , -0.027394457753276 , 0.523428363679656 , 0.15492219068692 , -0.422936557754994 , 0.860849599302782 , 0.322466104062149 , 0.578842430955418 , -0.533799005872619 , 0.115208221405558 , 0.949707620159991 , -0.500656439794262 , 0.762725101459172 , 0.138169047989674 , -0.112055828328819 , -0.0122806434593474, -0.310579516521466 , 0.116176160281948 , 1.61207282495342 , 0.485312860940694 , -0.0907462333057841, -0.484512560716014 , -0.0629056784403242, 0.891396816192382 , 0.903915960730858 , 0.373240152685917 , 0.178117543656499 , 0.376043946477693 , 0.142089728202787 , 0.777326433962602 , 0.270830123871348 , 0.596244919772842 , 0.311058011910672 , -0.0814668320094645, -0.524814069535345 , -0.10687012163069 , 0.227067489279483 , 1.07587394726591 , 1.04508481112715 , 1.38442859883403 , 1.52801441685801 , 1.03956893746488 , 0.0157678135349748 , 0.0312674309199561 , -0.0311340899252629, 0.373393995066702 , 1.07020194891182 , 0.39965210006687 , 1.48868750150243 , -0.171665794824524 , 0.11715426191557 , 0.717045956193268 , 0.173965864077813 , 1.06945082362106 , 0.474239792852017 , -0.127301728450535 , 0.340520601241402 , 0.501137974526417 , 0.761314214035184 , 0.521591836273533 , 0.452641767404578 , -0.0219961121276229, 0.511054330020216 , 0.731480679935654 , 0.24392775671071 , 0.502974157972908 | 0.0001736 |
| 75 | 50 | 0.5 | 0.1 | 1.0 | control , control , control , control , control , control , control , control , control , control , control , control , control , control , control , control , control , control , control , control , control , control , control , control , control , control , control , control , control , control , control , control , control , control , control , control , control , control , control , control , control , control , control , control , control , control , control , control , control , control , intervention , intervention , intervention , intervention , intervention , intervention , intervention , intervention , intervention , intervention , intervention , intervention , intervention , intervention , intervention , intervention , intervention , intervention , intervention , intervention , intervention , intervention , intervention , intervention , intervention , intervention , intervention , intervention , intervention , intervention , intervention , intervention , intervention , intervention , intervention , intervention , intervention , intervention , intervention , intervention , intervention , intervention , intervention , intervention , intervention , intervention , intervention , intervention , intervention , intervention , -0.0348105579079043, 1.38761946736555 , -0.958667723196386 , 1.14066630902766 , -0.155721750208499 , -1.4035597072183 , 0.716424872126338 , -1.10825691063836 , 1.01482981110993 , -0.326601368607645 , 0.748556338818325 , 1.13422500581169 , -0.35724195288775 , -0.0417184210468781, -0.340294504275668 , -0.992153473355568 , -0.56915982815147 , -0.715774922287079 , -0.728915684794878 , 1.66187117955131 , -0.341146805521499 , 0.490047539500465 , 0.253183325703894 , 2.65757019846722 , 0.488961659124334 , 0.155952135009517 , -0.968198240255954 , 1.10558302705262 , 0.485907557523527 , -0.708812539490873 , 0.177245609248759 , 0.318325099067859 , -1.12881017168842 , -0.284244453012343 , 2.59162526290679 , -0.214093054781199 , -0.502026453137605 , 1.49860221522818 , -0.26604211259994 , -0.367401756504264 , -0.510677559416972 , 1.79332629452815 , -1.15291060385525 , -1.71375206189782 , 0.462311487208209 , 1.04326027765117 , 0.395891799312712 , -0.232705694408742 , -0.186424180939351 , 0.597193822167851 , 1.00199680147463 , -0.842574868680622 , 1.6952476978048 , 1.35471699283174 , 0.490541990364041 , 0.214959726924881 , 0.295021365897216 , -1.11385494014911 , 0.136356998885444 , 0.0356476413236148 , 0.18029568042873 , 0.265949780355892 , 0.35989778373915 , -0.304882019283765 , 0.719564350063049 , 0.185402522403899 , 0.726029772322643 , 1.37527788869827 , 2.75060312235943 , 1.55445968979965 , 0.285182438243947 , 0.491019728158119 , -0.979893874133598 , 0.398374417867772 , 0.30456120253369 , -0.43915097195516 , 0.839540177104484 , 0.860414018942389 , -1.72024250251809 , -0.328674922333945 , 1.44489360847202 , 0.10516324966459 , 1.44336157081096 , -0.657191553447187 , 1.61313790862362 , 1.44904496398415 , 0.335635583894685 , 0.36404714841004 , -0.0045729001172985, 1.09024067041251 , 0.0237992741528554 , 1.56474571126075 , 0.516164744166573 , 0.950484606306636 , 0.39851309818855 , 0.858708566491103 , 1.07767884603482 , 0.705416551555053 , 0.167260459697493 , 0.151537343546875 | 0.0438346 |
| 76 | 20 | 0.0 | 0.0 | 0.5 | control , control , control , control , control , control , control , control , control , control , control , control , control , control , control , control , control , control , control , control , intervention , intervention , intervention , intervention , intervention , intervention , intervention , intervention , intervention , intervention , intervention , intervention , intervention , intervention , intervention , intervention , intervention , intervention , intervention , intervention , -0.920434795021915 , 0.55153589996727 , 0.619041149435457 , 0.98369448211284 , 0.31205773060111 , -0.00948652934853871, 0.109455171554222 , 0.0330908489247927 , 0.0749083277589992 , 0.00618386558516227 , -0.33706451109309 , -0.542012844837869 , 0.487487827293787 , -0.335819661006583 , 0.357538826772202 , -0.302607310010563 , 0.234984439111428 , -0.0444556077533604 , 0.0949384736411783 , -0.0321377146087522 , 0.757206302890447 , -0.00727884906143063, -0.182483946848758 , 0.580729336547007 , -0.248208663308429 , -0.401039315325132 , 0.908450049906459 , 0.126364858261909 , 0.151156423541899 , 0.234528532710908 , -0.112760178233012 , 0.366604229716207 , 0.749053936245495 , -0.278415966513824 , 0.234381060660544 , 0.188470000460106 , -0.669086395162837 , 0.950958889784165 , 0.20512006117144 , 0.888815268338009 | 0.2837925 |
| 76 | 20 | 0.0 | 0.0 | 1.0 | control , control , control , control , control , control , control , control , control , control , control , control , control , control , control , control , control , control , control , control , intervention , intervention , intervention , intervention , intervention , intervention , intervention , intervention , intervention , intervention , intervention , intervention , intervention , intervention , intervention , intervention , intervention , intervention , intervention , intervention , -0.247648043666915 , 1.12796336778124 , 1.47273994028856 , -0.27485667694553 , 1.98638279069896 , -0.695546901604152 , 1.21492737455296 , -0.399641081067611 , 0.559087979848592 , -1.96750085342628 , 0.0789143615975383 , -1.25950991263418 , 1.54124203304013 , 0.040843221209518 , -0.0702982813845786, 1.82861702418405 , -0.0209213854373854, 0.635136878298969 , 0.189757345046749 , 0.754240273179496 , -0.491159171203344 , -0.0395040350187745, -0.353582207681208 , 0.582591575601079 , -0.575482601901389 , 1.63429350180658 , 1.31393934169466 , -0.664900204433622 , -0.785731085066621 , 1.36733445689695 , -1.36449564103777 , -0.562026766300899 , -0.0714773037173645, 2.25279595812017 , -0.108672825826593 , -2.11804673931311 , 0.828470109722916 , -1.40143976760467 , 0.80352337777349 , -0.653474596262947 | 0.3163414 |
| 76 | 20 | 0.0 | 0.1 | 0.5 | control , control , control , control , control , control , control , control , control , control , control , control , control , control , control , control , control , control , control , control , intervention , intervention , intervention , intervention , intervention , intervention , intervention , intervention , intervention , intervention , intervention , intervention , intervention , intervention , intervention , intervention , intervention , intervention , intervention , intervention , 1.02904621900093 , 0.244474220699642 , 1.22068322635976 , 0.632946181291396 , 0.3233523352357 , 0.644921372509599 , -0.78735513711661 , -0.875143675009678, 0.362690236371043 , 0.175556088632638 , 0.574259450965129 , -0.426639342787823, 0.300854917921398 , 0.469497949462849 , 0.162200970420609 , 0.560285138993706 , 1.50239066497977 , -0.232969472615368, 0.0364314248887332, -0.465844920402149, -0.293907412105648, 0.127052024229956 , -0.602984726506391, 0.389653057120333 , 0.682446354423818 , -0.166424767093772, -0.316168770034267, 0.339174215719625 , 0.0117720006659906, 0.0127141799037316, 0.412119450782547 , 0.048097152509111 , 0.104607174871718 , 0.497497015058379 , -0.941988906066606, -0.350961142348492, -0.310578717836676, 0.422917923610906 , -0.123335193173231, 1.06427646539821 | 0.2076314 |
| 76 | 20 | 0.0 | 0.1 | 1.0 | control , control , control , control , control , control , control , control , control , control , control , control , control , control , control , control , control , control , control , control , intervention , intervention , intervention , intervention , intervention , intervention , intervention , intervention , intervention , intervention , intervention , intervention , intervention , intervention , intervention , intervention , intervention , intervention , intervention , intervention , -1.48324158955652 , 0.621256025865436 , 0.137197366504485 , 0.263726376114384 , -0.607925108016214 , 1.3006002459691 , 1.29735086737892 , -0.00731874346566289, -0.162217666349831 , 0.322774089247033 , 1.9533417868001 , 0.397457187976806 , -0.459947761862501 , -0.700198072019431 , 1.24047134190719 , 0.143988412687685 , -0.72684193730368 , -0.216839675951168 , 0.907619672092361 , -0.990631060563515 , -0.328457957208684 , -1.81072821844791 , -0.461371613355614 , -0.694575239237985 , 1.16993919830006 , -0.331544998177202 , -0.729767872261547 , -1.11382089899808 , 0.365815207592758 , -1.41823820631008 , 1.12904936074059 , 0.254822813350434 , -1.96919289131071 , 0.0434374807174682 , 0.44175865388624 , -1.01428690785237 , -0.0597637044235475 , -0.915588319728382 , 0.298809996309545 , 0.927811712247206 | 0.1032895 |
| 76 | 20 | 0.5 | 0.0 | 0.5 | control , control , control , control , control , control , control , control , control , control , control , control , control , control , control , control , control , control , control , control , intervention , intervention , intervention , intervention , intervention , intervention , intervention , intervention , intervention , intervention , intervention , intervention , intervention , intervention , intervention , intervention , intervention , intervention , intervention , intervention , 0.235961725943304 , 0.0509037998357768 , 0.273822536742771 , 0.149593994842708 , 0.280418525675266 , 0.0218470990492299 , 0.790106478282654 , 0.256623994893585 , -0.0184708041237534, -0.240922080712253 , -0.227679090521204 , -1.2222889664201 , 0.740582148026157 , 0.52890846700852 , -0.249277904516742 , 0.0276234817504476 , 0.99834597384085 , -0.133493844194343 , 0.0172244962759628 , -0.111966536161153 , 1.09780428309769 , 0.979892446692206 , 0.154737359387842 , 0.661478857062078 , 1.03266174680423 , 1.08503417120557 , -0.0197365102523461, 0.486483569018563 , 0.709263125028721 , 0.246858120447864 , 0.0945930957941018 , 0.740302146135597 , 0.51216193693547 , -0.0520651306205228, 0.291083438291913 , 0.758764180964553 , 0.927580241829186 , 0.695678464502766 , 0.459255157741192 , 0.644494376143186 | 0.0011654 |
| 76 | 20 | 0.5 | 0.0 | 1.0 | control , control , control , control , control , control , control , control , control , control , control , control , control , control , control , control , control , control , control , control , intervention , intervention , intervention , intervention , intervention , intervention , intervention , intervention , intervention , intervention , intervention , intervention , intervention , intervention , intervention , intervention , intervention , intervention , intervention , intervention , -0.570417667697541, 0.308621479264939 , 0.0520959392981531, 1.43767177946271 , 1.83070883118786 , -1.21115412899276 , 1.7800284241001 , 0.113880283787718 , 0.370294132513836 , -0.131147346966178, 1.8491083906727 , 3.37530355438611 , 0.415437141525428 , -0.805149714226314, -0.446766478725577, 0.997690484378754 , 0.65460457833511 , 1.150221416875 , -1.09430291512833 , 0.135026893517024 , 0.650711334612056 , 0.35406831852285 , -0.761460740349612, 0.361572414158753 , 1.9534644781639 , 1.22471133490773 , 1.04348094118007 , 1.60763056188082 , 1.40871747499109 , 1.51949293673996 , -1.41032639599185 , 0.86477682802633 , -0.64342808358816 , 1.72765907551127 , -0.472746137025581, 0.506973691227961 , 0.588420798122085 , -0.297084630661206, -0.374667424965139, 0.661345877041066 | 0.9640073 |
| 76 | 20 | 0.5 | 0.1 | 0.5 | control , control , control , control , control , control , control , control , control , control , control , control , control , control , control , control , control , control , control , control , intervention , intervention , intervention , intervention , intervention , intervention , intervention , intervention , intervention , intervention , intervention , intervention , intervention , intervention , intervention , intervention , intervention , intervention , intervention , intervention , -0.207188033088415 , -0.217297326046527 , 0.91174885926416 , -0.171697653307343 , -0.0467032897701043 , -0.00726330508130495, -0.622936986778119 , -0.210435527342952 , 0.808452102108039 , 0.0647658515868065 , -0.0363659759272687 , 0.510446809566759 , -0.795776247617891 , -0.0592032335318056 , -0.497756322117807 , 0.947696605229936 , -0.445151453742365 , 0.433292420550496 , -0.0666678433698025 , 0.624144044472593 , 0.587556382676904 , 0.338886168167097 , -0.125364097573747 , 1.05992214921667 , 0.0266264542356057 , 0.726696074332232 , 0.516553849813513 , 0.070758941337384 , 0.0477777325576135 , 0.366558685788682 , 0.948496054083493 , -0.58526923713074 , 0.652942651295581 , 0.314620139578819 , 1.17281998641631 , 0.132015583774703 , 0.6281295338463 , 0.0666930446225962 , 0.575508887895933 , 0.615408357455535 | 0.0194627 |
| 76 | 20 | 0.5 | 0.1 | 1.0 | control , control , control , control , control , control , control , control , control , control , control , control , control , control , control , control , control , control , control , control , intervention , intervention , intervention , intervention , intervention , intervention , intervention , intervention , intervention , intervention , intervention , intervention , intervention , intervention , intervention , intervention , intervention , intervention , intervention , intervention , 0.720639261429778 , 0.588197324352931 , -0.408840113342356 , 0.0756974663792959 , -0.050626128852507 , -0.209112225994272 , 1.42250650992272 , -0.500280329234388 , 0.367572080060676 , 0.556322428536262 , 0.388695489373868 , 1.4961478904222 , 1.24699478050627 , -0.612704289657629 , 0.63029227962919 , 2.14143898924722 , -0.247625363244921 , -0.181318020957937 , 0.632208917851532 , -0.575953813627935 , -0.0820050855583911, 1.01217895886041 , 0.550092311892187 , 1.31077583009101 , 0.544584415279543 , -0.743923270838222 , 1.41182547112505 , 0.889272778715705 , -0.255288441125987 , -0.228317603029645 , 1.13600493981245 , 1.11627472337155 , -1.75632236877337 , 2.0737378590025 , 0.965564160007604 , -0.289840797339655 , 2.189241135808 , 1.92943148781457 , 0.161163475380499 , 2.49426537664807 | 0.2473504 |
| 76 | 50 | 0.0 | 0.0 | 0.5 | control , control , control , control , control , control , control , control , control , control , control , control , control , control , control , control , control , control , control , control , control , control , control , control , control , control , control , control , control , control , control , control , control , control , control , control , control , control , control , control , control , control , control , control , control , control , control , control , control , control , intervention , intervention , intervention , intervention , intervention , intervention , intervention , intervention , intervention , intervention , intervention , intervention , intervention , intervention , intervention , intervention , intervention , intervention , intervention , intervention , intervention , intervention , intervention , intervention , intervention , intervention , intervention , intervention , intervention , intervention , intervention , intervention , intervention , intervention , intervention , intervention , intervention , intervention , intervention , intervention , intervention , intervention , intervention , intervention , intervention , intervention , intervention , intervention , intervention , intervention , -0.200873185735586 , -0.956481836537342 , -0.315051917227758 , -0.713392900090407 , 0.935659634608997 , -0.0412051999776308, 0.123744747787683 , -0.505066306219621 , 0.0464897118876405 , -0.160022012166805 , 0.0853366302267799 , 0.984242862705466 , 0.12001989846236 , 0.125411491325023 , -0.125427000781143 , 0.578466453220917 , -0.476367433994922 , -0.462762907189133 , -0.569952197965109 , -0.654430815943457 , 0.459252669723411 , 0.235791861607056 , -0.0623558570372472, -0.0677453954622766, 0.317131559148763 , -0.0205286767307096, 0.345129846090535 , 0.359519176583019 , 0.272230960943791 , 0.254227058233577 , 0.0909763227289121 , -0.380560055011965 , 0.80572784369805 , 0.718871408305583 , -0.343092113775345 , -0.973192847682044 , -0.46783858098233 , -0.598975141866087 , 0.0942407340144796 , 0.888422634650451 , 0.0514819730401987 , -0.277844104997938 , -0.079722881297773 , -0.136724099745623 , 0.138009572502879 , -0.141156911686957 , 0.237647930365737 , -0.754753959129305 , -0.93878131365847 , 0.340165633570612 , -0.27125863582623 , -0.876300582519354 , -0.0318331002771154, -0.280867444452496 , 0.282152697106343 , -1.02684066980784 , -0.337456501885118 , -1.41120974143783 , -0.67380601269975 , 0.914527864127611 , 0.251412551246523 , -0.390207476490601 , -0.0513490920789616, -0.0679184999235241, 0.539961343164507 , -0.585787328258542 , -0.0497275833596348, -0.245019194936625 , 0.551690271727695 , 0.230586659755827 , 0.0141310396222537 , -0.239114399881095 , 0.542527661349771 , -0.536130489917489 , -0.151061227210085 , 0.562518769454517 , -0.544660579723863 , 0.886672568703058 , -0.370579585623287 , 0.284453181799324 , -0.0835073312469257, -0.317874459114793 , -1.08632263705741 , 0.407625626135475 , 0.783531478312408 , -0.346853479413797 , 1.34717733074293 , -0.933153937403966 , 0.51237560255641 , 0.779930821696532 , 0.160810499348884 , -0.899033276767273 , -0.338619366843425 , 0.83517994334663 , -0.605065426442545 , -0.60280398136724 , -0.043901923288229 , 0.147317102690699 , -0.303823506122645 , -0.374460920175642 | 0.6810685 |
| 76 | 50 | 0.0 | 0.0 | 1.0 | control , control , control , control , control , control , control , control , control , control , control , control , control , control , control , control , control , control , control , control , control , control , control , control , control , control , control , control , control , control , control , control , control , control , control , control , control , control , control , control , control , control , control , control , control , control , control , control , control , control , intervention , intervention , intervention , intervention , intervention , intervention , intervention , intervention , intervention , intervention , intervention , intervention , intervention , intervention , intervention , intervention , intervention , intervention , intervention , intervention , intervention , intervention , intervention , intervention , intervention , intervention , intervention , intervention , intervention , intervention , intervention , intervention , intervention , intervention , intervention , intervention , intervention , intervention , intervention , intervention , intervention , intervention , intervention , intervention , intervention , intervention , intervention , intervention , intervention , intervention , -0.715246033201367 , -2.07952713414908 , 0.370356047827772 , 0.842816688690544 , -0.376363497413456 , 0.89805136727826 , 0.310940781827717 , 0.931039007201176 , -1.02451453708242 , -1.86011246260519 , 0.183814277605851 , -0.123609514167339 , -0.428860450392543 , 0.941398308788219 , -0.0897400610384074, -0.971718073071012 , 2.47126593005397 , 0.356676643209762 , -0.533855731300373 , 0.646653133394818 , -1.1985646807421 , 0.814785207332187 , 0.225228194090844 , -1.41378928056798 , 1.18227369223388 , -0.291308487950084 , 0.0383647045115752 , 2.81617784285378 , -0.541004461893087 , 0.777076594126841 , -1.06245380786369 , 0.761617432440131 , 0.260661633518571 , 0.554035301137888 , -0.220741413991249 , 1.11073078898754 , 0.110618862181583 , 0.445526472215122 , 0.169935486823065 , 0.477059710176315 , 1.53467738766856 , -0.1340162515542 , -1.29899046035859 , -0.835072789128786 , -0.12684247606058 , 0.0800847586752355 , 0.049081098885633 , 0.19860443950293 , 0.00665379810396705, -1.08721140632891 , -0.646595728921476 , -0.455030222273485 , 1.01328608279615 , 0.788774925817244 , 0.239326245399654 , -0.684946119058702 , -0.858465484362078 , -0.588187176645101 , -1.18380096583112 , 0.399021232616267 , -1.09701274394063 , 1.59603668597749 , -0.66771461457559 , 0.571914384605972 , -0.942864587450146 , -1.07110437164108 , -0.10261198128979 , -0.0283599449944009, 0.582231531443594 , -0.212022716574932 , -0.391736794688553 , 1.41239675536981 , 0.261247661813306 , -0.863484064377334 , -0.647524585209724 , 0.69306581655338 , 0.616855557721405 , 0.440276474174477 , -0.714292781931887 , 0.765127594412607 , 0.853706556957011 , -1.32251285688204 , 1.03350883641304 , 0.793851759094217 , -2.2418444750421 , 0.264047831044158 , 1.13715778322756 , 0.636328141688903 , -0.425197291726961 , 1.16490646706941 , -0.347100229044189 , 0.963377551916102 , 1.73912402472809 , -0.0103835729661 , 1.24953621605555 , -0.73946079379996 , 1.62211280117816 , 0.470226151151066 , -1.53935108644179 , -0.97028305495544 | 0.9498475 |
| 76 | 50 | 0.0 | 0.1 | 0.5 | control , control , control , control , control , control , control , control , control , control , control , control , control , control , control , control , control , control , control , control , control , control , control , control , control , control , control , control , control , control , control , control , control , control , control , control , control , control , control , control , control , control , control , control , control , control , control , control , control , control , intervention , intervention , intervention , intervention , intervention , intervention , intervention , intervention , intervention , intervention , intervention , intervention , intervention , intervention , intervention , intervention , intervention , intervention , intervention , intervention , intervention , intervention , intervention , intervention , intervention , intervention , intervention , intervention , intervention , intervention , intervention , intervention , intervention , intervention , intervention , intervention , intervention , intervention , intervention , intervention , intervention , intervention , intervention , intervention , intervention , intervention , intervention , intervention , intervention , intervention , -0.728926212776656 , -0.0473776349761342 , 0.959348905686262 , 0.650278526130329 , -0.562502782433896 , -0.149892033380372 , 0.396337172678444 , 0.162003626721418 , -0.107961497841923 , 0.474445026304472 , -0.00156834943088471, 0.597229948630634 , 0.312880536636871 , 0.323479587506566 , 0.623377635098974 , 1.15209062793793 , 0.375747989181762 , 0.943755214955162 , -0.0557984186991083 , 0.0396561067423651 , -0.759060853287462 , -0.947171808357132 , 0.135094577426917 , -0.704665870621731 , -0.745974699125396 , -0.330338149982626 , -0.672725012740749 , -0.183149169302655 , 0.280067014510868 , 0.56293243110764 , -0.253070995502216 , 0.910384402621096 , 0.111018875785792 , -0.813955185170114 , 0.273524387764676 , -0.0947451075870517 , 0.30491716233503 , -0.0406179781869892 , 0.362974430337995 , 0.330268759726321 , 0.134787271962973 , -0.556128512520146 , -0.94934414217629 , -0.0841468137342466 , -0.0179875830236283 , 0.779435733390746 , -0.813440023180303 , -0.689015671884899 , 0.434524557232494 , 0.0351197462079167 , -0.362104297558136 , -1.3244983757783 , -0.620644886473534 , -0.17665832661023 , -0.0058961159045917 , 0.0235113241262904 , 0.115110781961509 , 0.73826358129731 , 1.09336935254354 , 0.651690372719674 , 0.391340670791883 , 0.815660133625658 , 0.515551221608406 , -0.243389835510048 , -0.418598926937514 , -0.0237829697714259 , 1.47983815639643 , 0.365496273860565 , -0.781670186679273 , 0.772695224310723 , -0.57774995616588 , -0.393223034581332 , 0.410707270413396 , 0.195925109820129 , 0.614323767658006 , 0.144755311890666 , 0.302501134506059 , 0.509600708002245 , 1.1271377965061 , 0.902183684786027 , -0.614981481014341 , 0.374222908146676 , 0.100637549154881 , 0.336258173427772 , 0.0205321265494431 , 0.618029550510273 , -0.127105276482148 , -0.572544375623758 , -0.15305422844008 , -0.166756711799058 , -0.187856718893736 , -0.631673698063436 , 0.0635663081937027 , 0.206762828095071 , 0.130217979962591 , 0.144406000911207 , -0.0768709118117722 , 0.00767455252837558 , 0.92938643080246 , 0.807288485287181 | 0.2719641 |
| 76 | 50 | 0.0 | 0.1 | 1.0 | control , control , control , control , control , control , control , control , control , control , control , control , control , control , control , control , control , control , control , control , control , control , control , control , control , control , control , control , control , control , control , control , control , control , control , control , control , control , control , control , control , control , control , control , control , control , control , control , control , control , intervention , intervention , intervention , intervention , intervention , intervention , intervention , intervention , intervention , intervention , intervention , intervention , intervention , intervention , intervention , intervention , intervention , intervention , intervention , intervention , intervention , intervention , intervention , intervention , intervention , intervention , intervention , intervention , intervention , intervention , intervention , intervention , intervention , intervention , intervention , intervention , intervention , intervention , intervention , intervention , intervention , intervention , intervention , intervention , intervention , intervention , intervention , intervention , intervention , intervention , -0.89820614580239 , -0.772915774182236 , 1.97033281777001 , -0.64145351508766 , 0.331501706902561 , 1.16555497419302 , -0.507775549264253 , -0.364818339606006 , -0.406043876463694 , 0.52245740737532 , 0.572293004497661 , 0.684275557856664 , -2.75140834510862 , -0.0748397056900731 , -0.794097753422781 , -2.04699102257039 , 0.228761187583774 , 0.984565532271322 , -0.036252748465748 , 0.412008155883481 , 1.51971466743392 , -1.60664664617629 , 0.430756428913444 , 0.512008154208958 , -0.615517639271821 , 0.779353150904817 , -0.096994030086854 , 1.1242766801509 , -0.643545721688792 , 0.435507322223353 , 0.545223258643975 , -0.255013860843754 , -0.141705799568639 , -1.95893189069615 , 1.61169072162025 , -0.68244505632616 , -0.840983381313895 , -0.734132719752591 , 1.90836445700562 , 0.594705705895125 , -0.130296364155718 , 1.56092901013437 , 0.20984272670981 , -0.154771526272791 , 0.473286543512272 , 0.64844640821551 , 0.91018327169278 , 0.688989178518403 , 0.205925590501084 , 0.602177620397396 , 1.82976906349011 , 0.912243587835967 , -0.81984577441089 , -0.88700691778048 , -0.083723897792177 , -0.22792720057826 , 0.34646343925364 , 2.26047412884535 , 0.320981170987518 , 0.161792212427271 , -0.317020260116755 , -0.051049985546984 , -1.57157403815246 , 1.5916363935119 , -0.1952039086903 , -0.757469782027218 , -0.875452755105806 , 2.03164472489724 , 0.144511060982548 , 0.0520486465453179 , -1.00684437900476 , 0.917256732319738 , 1.45389273263648 , -1.44074471681999 , -0.038175428161179 , 1.35505716276872 , 2.21860093930339 , -0.272823624593714 , -0.706732345026046 , 0.477268287253515 , -0.579315322649705 , 0.404865343357298 , -0.475246541919858 , -0.738251398855019 , 1.57036526471689 , 0.785959632818323 , -0.391116474419367 , -0.818491336742917 , 1.71536873507931 , 0.900101344901942 , -0.00279869966164171, 0.952869143604858 , -0.452410691542211 , -0.15207167126274 , 0.0166877551072862 , -0.437814430677358 , 2.2876544097816 , 0.435097929925363 , 0.136699403831116 , -0.734531778100096 | 0.4969984 |
| 76 | 50 | 0.5 | 0.0 | 0.5 | control , control , control , control , control , control , control , control , control , control , control , control , control , control , control , control , control , control , control , control , control , control , control , control , control , control , control , control , control , control , control , control , control , control , control , control , control , control , control , control , control , control , control , control , control , control , control , control , control , control , intervention , intervention , intervention , intervention , intervention , intervention , intervention , intervention , intervention , intervention , intervention , intervention , intervention , intervention , intervention , intervention , intervention , intervention , intervention , intervention , intervention , intervention , intervention , intervention , intervention , intervention , intervention , intervention , intervention , intervention , intervention , intervention , intervention , intervention , intervention , intervention , intervention , intervention , intervention , intervention , intervention , intervention , intervention , intervention , intervention , intervention , intervention , intervention , intervention , intervention , -0.759139936293443 , 0.318686872691389 , 0.210052820028445 , 0.821834993290905 , 0.194234513190132 , 0.537752697104836 , -0.329349658816539 , 0.336257385635277 , -0.889831942462114 , 0.209849913037155 , -0.376490732092795 , 0.635710380902586 , -1.04884575541414 , -0.301511563932181 , -0.19463945315641 , 0.553619245292651 , -0.449166070495767 , -0.54350168298011 , 0.0289008875794172 , 0.372118452203874 , 0.0969480463330111 , -0.421386140460945 , 0.0897589334100523 , -0.0474247532211159, -0.0149313970345206, -0.376894063324563 , 0.536283834427941 , -0.476033657712233 , 0.330916351513008 , -0.346340776477675 , -0.896408792202083 , -0.984781726502342 , -0.648579628798701 , 0.249351284457936 , -0.625476004774116 , 0.0841905484760489 , -0.0389246696779446, 0.259413498966824 , 0.00268557226663527, 0.343901033138976 , -0.802956111757019 , -0.0718457841848646, -0.735653743428903 , -0.160954181406796 , 0.45932394899577 , 0.0401476000772425 , 0.0450811478427082 , -1.11398116381639 , -0.361554471020997 , 0.0164873626673332 , -0.0549743036161938, 0.549221189102334 , 0.28006922139852 , 1.53387288956187 , 0.478936111082008 , 0.853654175951898 , 0.78354727220145 , -0.231473037966491 , 0.109989488565981 , 1.35243335182547 , 0.996280324112119 , -0.335007079023303 , 0.386889175761723 , -0.380796658692355 , 0.606180345773139 , 1.54545650417454 , -0.0841944981709812, 0.409319756406121 , 0.330244077098468 , 0.266069349909741 , 1.73424234192785 , -0.383012628175516 , 0.0877228234545358 , -0.10147331189336 , 0.868444952668227 , 0.39870856756232 , 1.14662251694873 , 1.06353210504878 , 0.598223300492415 , 0.0467258981194759 , 0.961518492920235 , 1.1502525343413 , 0.749602243667425 , 0.221992270353102 , 0.535629829848119 , 0.762282996824544 , 0.157825662372073 , 0.684763013763112 , 0.686855688259182 , -0.452594335739444 , 0.217272435722171 , 0.0889712234656452 , 1.48233253551791 , -0.0834876336315352, -0.426974068804017 , -0.33390237510084 , 0.98821939077155 , 0.0251823617086204 , 0.860175824323716 , -0.146368054987883 | 0.0000003 |
| 76 | 50 | 0.5 | 0.0 | 1.0 | control , control , control , control , control , control , control , control , control , control , control , control , control , control , control , control , control , control , control , control , control , control , control , control , control , control , control , control , control , control , control , control , control , control , control , control , control , control , control , control , control , control , control , control , control , control , control , control , control , control , intervention , intervention , intervention , intervention , intervention , intervention , intervention , intervention , intervention , intervention , intervention , intervention , intervention , intervention , intervention , intervention , intervention , intervention , intervention , intervention , intervention , intervention , intervention , intervention , intervention , intervention , intervention , intervention , intervention , intervention , intervention , intervention , intervention , intervention , intervention , intervention , intervention , intervention , intervention , intervention , intervention , intervention , intervention , intervention , intervention , intervention , intervention , intervention , intervention , intervention , 1.54972394411249 , -0.9919006893031 , -0.450842041266323 , -1.5966906280981 , -1.2968662977996 , -0.0498919094461274, 2.13441453303602 , -1.31843444113762 , 1.02055888105933 , 0.579620368858768 , 0.446422424689656 , -2.38541136156757 , -0.908333338743375 , -0.283535648160426 , 1.08045847865429 , -0.473573014566878 , -1.13043659900573 , -1.73090002780492 , 1.05395575724992 , 0.0264967887048953 , -0.396910416103454 , -0.295126079360498 , 1.02008474542526 , -1.15667801898532 , 0.356542978276613 , -0.488584751689742 , -1.10936030341204 , 0.252899721359371 , 1.20330880794187 , -0.442352268595225 , 1.82093803581576 , -0.528162566035846 , 0.940463322307729 , -1.09238172829164 , -0.625055678765549 , -0.431763869386472 , -0.44762115217571 , -0.314245981520341 , 1.46154461492968 , -0.305213844078081 , 0.0291754460109053 , 0.0723497024403644 , 0.0769544269259767 , 0.619959714931125 , -1.02590157884627 , 0.0179993591554143 , -0.804221873090669 , 1.37599046959724 , -0.0899344547312593, 0.225189555533663 , -1.31955747336445 , 0.773188625427509 , 1.56988229334631 , -2.69352145706973 , 1.05248645907306 , -0.34679281273289 , 1.97424819489924 , -0.545933615289152 , 0.617083487904667 , -0.052665490845674 , 0.968672266431066 , 1.80600226775949 , 1.57477224638373 , 0.374399778661792 , 1.0033215363803 , 1.471821724969 , 0.433368904794073 , 0.848741658516794 , 0.649147321848385 , 0.939584470798944 , -1.25564024693681 , -1.76899388215002 , 0.984156651528541 , 0.24494454674758 , 0.213673542164441 , 1.05039215883091 , 0.131053453187804 , 0.183872946157218 , 1.43942264884181 , 1.16359409419463 , 1.16278933248739 , 0.206772362171356 , 0.972548724986106 , 2.09775733463146 , -0.745388452753377 , 0.720479648715337 , 1.22139925320362 , -0.503464991659546 , -0.910826283358516 , 1.17859183418451 , 0.0749940219000875 , -1.12878481157509 , 0.631342838805261 , 1.84647986804405 , -0.058960223638895 , 0.283779255101143 , 0.18138042349116 , -0.761609662954853 , -0.882628293656089 , 0.0808877389782272 | 0.0189543 |
| 76 | 50 | 0.5 | 0.1 | 0.5 | control , control , control , control , control , control , control , control , control , control , control , control , control , control , control , control , control , control , control , control , control , control , control , control , control , control , control , control , control , control , control , control , control , control , control , control , control , control , control , control , control , control , control , control , control , control , control , control , control , control , intervention , intervention , intervention , intervention , intervention , intervention , intervention , intervention , intervention , intervention , intervention , intervention , intervention , intervention , intervention , intervention , intervention , intervention , intervention , intervention , intervention , intervention , intervention , intervention , intervention , intervention , intervention , intervention , intervention , intervention , intervention , intervention , intervention , intervention , intervention , intervention , intervention , intervention , intervention , intervention , intervention , intervention , intervention , intervention , intervention , intervention , intervention , intervention , intervention , intervention , 0.116404647353032 , 0.588469818977521 , -0.390234525769674 , 0.813859604199818 , 0.188139921793124 , -0.4144990816526 , 0.222800195464483 , 0.34315675241076 , -0.781191593051644 , 0.187136660859249 , 0.823679728752626 , -0.0866271723071627, 0.336292909771832 , 0.781144515427418 , -0.271299552057276 , -0.278200338355264 , 0.00458671766101085, 0.146032390978519 , 0.200401365040209 , -0.296980260771192 , -0.544382723504204 , 0.410221217362799 , 0.322710566341958 , -0.181398132419125 , -0.47543531452373 , 0.0610199403980016 , 0.368881590412105 , -0.0499676856089647, 0.536706525646946 , -0.302688338772886 , -0.757742345935849 , -0.042313210782144 , 0.356067217607647 , 0.12341311814898 , -0.260275434466118 , -0.246786475793011 , 0.769741738548264 , -0.389411275013296 , 0.655304874189223 , 0.117433615724506 , -0.287420983258116 , -0.307745063937415 , 0.597529621904988 , 0.0227508017200772 , -0.440761651178902 , -0.311924277494837 , -0.359765972153396 , 0.348221790054803 , 0.465790709764629 , -0.132796584410672 , 0.817624070888404 , 0.518263733539919 , -0.132233571169433 , 0.11831609939972 , 0.494459163741029 , 1.04221787436813 , 0.0761760453126528 , 0.615903556629122 , -0.0235957199462578, 0.226771268646685 , -1.04502737151076 , 1.40066540571325 , 0.399398082190589 , 0.301158687984144 , 0.821649946752045 , 0.763849913491997 , 0.421576729366803 , 1.42244117521413 , 0.728817225055089 , 0.525994193754073 , -0.533939836615485 , 0.617605353013683 , 0.923755732898448 , 0.651330561721279 , 0.615400920458296 , 0.450324466367593 , 0.701432812544166 , 0.338144151032815 , 0.122459797935426 , 0.16526774554068 , 0.780009044285666 , 1.38443458679465 , 0.728698837983857 , 1.5963713183274 , 0.897875547072813 , 0.239974600689239 , 0.128902908990441 , 0.717699516781172 , 0.747114002232686 , 0.681269555908985 , 0.689754564664963 , -0.13270915590596 , 0.602620445252691 , -0.311563658506762 , 0.713746869600247 , 0.661263067115913 , 0.788577592120082 , 0.659602784644035 , 1.66104470661614 , 0.41090517423424 | 0.0000005 |
| 76 | 50 | 0.5 | 0.1 | 1.0 | control , control , control , control , control , control , control , control , control , control , control , control , control , control , control , control , control , control , control , control , control , control , control , control , control , control , control , control , control , control , control , control , control , control , control , control , control , control , control , control , control , control , control , control , control , control , control , control , control , control , intervention , intervention , intervention , intervention , intervention , intervention , intervention , intervention , intervention , intervention , intervention , intervention , intervention , intervention , intervention , intervention , intervention , intervention , intervention , intervention , intervention , intervention , intervention , intervention , intervention , intervention , intervention , intervention , intervention , intervention , intervention , intervention , intervention , intervention , intervention , intervention , intervention , intervention , intervention , intervention , intervention , intervention , intervention , intervention , intervention , intervention , intervention , intervention , intervention , intervention , 2.39691739585472 , 0.330251760850455 , -0.744553962599801 , 0.0390422267765218 , 1.10167949182815 , -1.04269054303557 , 1.03149979007416 , -2.46637765815507 , 0.227348133693051 , 1.01153182302315 , 0.96751427059285 , 0.698846563032602 , -0.872280476119582 , 0.0621940803946868 , 0.569022644163674 , -0.993391721389407 , 1.83628269020751 , -0.283150025812376 , -0.560851347298552 , 0.298699739112012 , -0.479436177824712 , -0.16924663663209 , 0.336671380682206 , -2.21723098667272 , 1.65176738390573 , 0.840087639273199 , -1.866278225634 , 1.13910098211057 , -0.30025710519179 , 0.204796624783067 , -1.59780726468371 , -0.263229949954691 , 0.587773262824308 , 0.572475627685249 , 0.591596122332959 , -1.00732770570722 , 0.223182549159113 , 0.345236246060214 , -0.395077558776935 , 0.113579028765067 , 0.152480407539164 , 2.10883023133917 , 0.166796337494481 , 1.51073629833292 , 0.176596883409055 , 0.536316962742087 , -0.909716319727206 , -0.721092071365123 , 0.490225794739473 , 1.02624118840755 , -0.757638871298166 , 1.91049570202618 , 0.601175423926898 , -0.614864117701747 , 2.21582195233409 , -0.442207754237986 , -2.1640092657997 , 1.14806611500515 , 0.662744469887076 , 0.289323317149785 , 1.2598697277731 , 0.304650534620871 , 1.11568862627096 , 0.298360230960638 , -0.97370367096605 , 0.231569375712148 , 1.08373111993872 , 2.49467973102273 , -0.0439350123103589, -1.06084603100103 , -1.65247684947452 , -0.598617724101255 , -0.0916572203683486, -0.431963231867691 , 1.20985960833739 , 1.02909869242316 , 1.72314442489766 , 1.43658341043165 , 0.382396196332362 , 0.221330902744183 , 0.77714295457811 , 1.16176775742103 , 1.29066355053239 , -0.853509609132448 , -1.06413322226272 , 0.757470884470028 , 1.40413831522836 , -0.224608723172587 , 0.97772635417994 , 1.76074734199947 , -0.401945887946326 , 1.02279459263674 , -0.347264717788542 , 1.45701056630063 , 1.09393959537713 , 0.215910429818866 , 0.652527993239068 , 0.858682431642385 , 0.731718859125932 , 0.339289468259835 | 0.1188575 |
| 77 | 20 | 0.0 | 0.0 | 0.5 | control , control , control , control , control , control , control , control , control , control , control , control , control , control , control , control , control , control , control , control , intervention , intervention , intervention , intervention , intervention , intervention , intervention , intervention , intervention , intervention , intervention , intervention , intervention , intervention , intervention , intervention , intervention , intervention , intervention , intervention , 0.12281938961748 , 0.290476518467379 , 0.145434307879009 , 0.0628619796840128 , 0.228878372620373 , -0.357032885673872 , -0.0216547231186849, 0.837155930410034 , 0.180450986937869 , 0.273048157848867 , -0.862673747024028 , 0.684935620852026 , 0.213022146655433 , 0.642307538797133 , 0.31175506035014 , 0.168938539329661 , -0.308264413293177 , 0.307688463794184 , -0.383809923610131 , -0.585259887524329 , 0.459801810940451 , -1.02669261824061 , 0.039368020148282 , -0.450114235958118 , 0.803079216181371 , -0.168008241269713 , -1.00716572325213 , -0.865762624958344 , -1.3186414890895 , 0.344894357000597 , -0.298928352716096 , -0.093801827486214 , 0.722912935304366 , -0.218649486757943 , -0.362774716441872 , -0.289846990496773 , -1.10883815858987 , 0.0742942382904099 , 0.481005715451024 , -0.261941392793889 | 0.0586294 |
| 77 | 20 | 0.0 | 0.0 | 1.0 | control , control , control , control , control , control , control , control , control , control , control , control , control , control , control , control , control , control , control , control , intervention , intervention , intervention , intervention , intervention , intervention , intervention , intervention , intervention , intervention , intervention , intervention , intervention , intervention , intervention , intervention , intervention , intervention , intervention , intervention , 0.579419532599627 , -1.08954559764756 , 0.258209038191828 , 0.139075824681586 , -0.19175549958256 , 0.647521474315768 , -1.157628252246 , -1.57055462234661 , 1.31273542259324 , -1.30876433069187 , -0.281928149623604 , -0.317848615652535 , 0.780341757579083 , 1.269540906174 , 1.23813666148636 , -1.66586282407751 , -1.37604988767841 , 0.528200694044715 , -1.06681644252444 , 0.240664880374765 , -0.173410443756248 , 0.490423195564412 , 0.173326377649731 , -1.5567208355947 , 0.00641216638251908, -0.750557327500164 , -1.28201011636539 , 1.39297195296431 , 0.172250360550345 , -0.50072412245194 , -1.43094983930335 , -0.561426577872211 , 0.156865189492278 , 0.453900884020631 , -1.1255339371386 , 0.941391410622249 , 0.562761909567923 , -0.316004194897222 , -0.207821185109801 , 1.18305670119229 | 0.9104673 |
| 77 | 20 | 0.0 | 0.1 | 0.5 | control , control , control , control , control , control , control , control , control , control , control , control , control , control , control , control , control , control , control , control , intervention , intervention , intervention , intervention , intervention , intervention , intervention , intervention , intervention , intervention , intervention , intervention , intervention , intervention , intervention , intervention , intervention , intervention , intervention , intervention , -0.297431166242299 , -0.00781529764923652, -0.235569452575075 , -0.426636885730506 , -0.0100027374988306 , -0.223415391315349 , 0.225982033770125 , 0.123068330428659 , -0.602161469929674 , 0.435965676199222 , -0.0813407445078359 , -0.560524376030525 , -0.35757509358298 , -0.225795978088058 , -0.229196613196877 , -0.0251363314683999 , -0.617577735456042 , 0.817219099681251 , -0.487398775551362 , 1.12788471259459 , 0.395283142975062 , 0.629997975545712 , 0.666004338080609 , 0.364541732769846 , 0.243029493676903 , -0.961476737782686 , 0.183697576964709 , -0.321552627423388 , -0.175483785370234 , 0.226579506854412 , 0.283728894390702 , -0.329815633159648 , -0.182202411249447 , -0.494974970847368 , 0.366494240766838 , 0.48090358383584 , 0.605089372826814 , 0.265831185339967 , -0.120823189304666 , -0.15220836830553 | 0.2016458 |
| 77 | 20 | 0.0 | 0.1 | 1.0 | control , control , control , control , control , control , control , control , control , control , control , control , control , control , control , control , control , control , control , control , intervention , intervention , intervention , intervention , intervention , intervention , intervention , intervention , intervention , intervention , intervention , intervention , intervention , intervention , intervention , intervention , intervention , intervention , intervention , intervention , -0.287311458223335 , -0.598914718881122 , 1.82757287522114 , -1.38302089758915 , 0.835521775174731 , 0.0011196457396878 , -0.761467556447099 , 0.0508580311788124 , 0.914418555687851 , 0.0854321235459708 , 0.876462903685767 , 0.978331549827828 , -0.197230674310216 , 0.098444990102188 , 0.15407903820863 , 1.01881471251946 , -0.209851365665607 , -1.26222835898237 , -0.00766430908813011, 0.655299310213022 , -0.580658103726305 , 1.06038588888271 , -1.21879341438395 , 0.404558434874551 , -0.381971963507226 , -1.02357687254611 , -0.756230513423427 , -0.451843171292304 , -0.353346257600033 , -1.6766643614356 , -1.88417194819623 , -1.27534468705676 , -0.0747580236635504 , -0.0767406784673368 , 1.00581102472818 , -0.767818536168206 , -1.04960543790327 , 0.736880505935983 , 1.75495955312951 , 0.543445484164432 | 0.1253277 |
| 77 | 20 | 0.5 | 0.0 | 0.5 | control , control , control , control , control , control , control , control , control , control , control , control , control , control , control , control , control , control , control , control , intervention , intervention , intervention , intervention , intervention , intervention , intervention , intervention , intervention , intervention , intervention , intervention , intervention , intervention , intervention , intervention , intervention , intervention , intervention , intervention , -0.209475572333283 , 0.594335179952314 , 0.0202513957429747 , 0.321664604737116 , -0.0780333557423168, -0.0471958899778632, 0.176714057079074 , 0.422836657925498 , -0.51522769158022 , 0.124521580669751 , -0.670040843733405 , 0.591498957456177 , 0.199971476250029 , -0.0592539331898282, -0.347614033302111 , -0.0824394872760369, 0.20868645066241 , 0.159647546634735 , 0.405267679112131 , 0.415557841201337 , 1.1746238427544 , 0.289772291396704 , 0.728701655014656 , -0.414804982934508 , 1.73730273496483 , -0.181512487234713 , 0.511909811950203 , 0.613049173617793 , 0.846801796830573 , -0.307037708150097 , -0.49361907215404 , 0.90181828530477 , 0.199839556029264 , -0.0319164432058753, 1.02257742239544 , 0.474377686339283 , 1.38266721880293 , 0.809351324622816 , 0.134044158307734 , 1.34286895157319 | 0.0075514 |
| 77 | 20 | 0.5 | 0.0 | 1.0 | control , control , control , control , control , control , control , control , control , control , control , control , control , control , control , control , control , control , control , control , intervention , intervention , intervention , intervention , intervention , intervention , intervention , intervention , intervention , intervention , intervention , intervention , intervention , intervention , intervention , intervention , intervention , intervention , intervention , intervention , 1.41201846870579 , -0.136040723152116 , -0.294029116711122 , 1.69224369820186 , 0.242173660013083 , -0.643896823277017 , -1.11783432530218 , -0.394113947388625 , 0.354048352165569 , -2.1011091925764 , -0.257903287810952 , -0.317875404675315 , 0.80494967371541 , -0.226714874359507 , 0.0283252113473286 , 0.94911398151181 , 0.461071002316809 , -0.640460872022249 , 2.44089994948855 , 0.118077031206062 , -0.901415884612897 , -0.369809623161 , 0.276051488965399 , 1.89622548703569 , 0.529914761338587 , 1.27733963550928 , 2.04406820906694 , 0.0261959231531774 , 0.524099256172618 , 0.263058923743542 , 1.50010682273787 , 0.0867874586280196 , 2.47164546873443 , -0.99653664165639 , 1.1497883901912 , -0.412066989090995 , -0.307359962632301 , 1.06264184394821 , -0.0118549145433693, -0.016161153984231 | 0.2267425 |
| 77 | 20 | 0.5 | 0.1 | 0.5 | control , control , control , control , control , control , control , control , control , control , control , control , control , control , control , control , control , control , control , control , intervention , intervention , intervention , intervention , intervention , intervention , intervention , intervention , intervention , intervention , intervention , intervention , intervention , intervention , intervention , intervention , intervention , intervention , intervention , intervention , 0.00040262393825663 , 0.497751809527878 , -0.629904427692717 , 0.000635279933768926, 0.823257077188462 , 0.505339874069129 , -0.171315787582877 , 0.715198062654807 , 0.428527090551127 , 0.121224086592355 , -0.185906483672538 , -0.117189828057037 , 1.03264886508665 , 0.509979980601674 , 0.197728572158349 , -0.0326459113993124 , 0.0277181150983834 , 0.578427174591285 , 0.552746222417219 , -0.32542116274537 , -0.539623603462447 , -0.306399600120505 , 0.883095098170067 , 1.36130473382654 , 0.603948421859094 , 0.633983815345791 , 0.849759048653447 , 0.134034530482915 , 0.861165405294977 , -0.521164869117097 , 0.332608434744622 , -0.443839744029791 , 0.713839466570059 , 1.31538410938984 , 0.97497175941041 , 0.50088847081633 , 0.19010515733027 , 1.22583810783969 , 0.855895708651389 , 0.139200315541474 | 0.1194485 |
| 77 | 20 | 0.5 | 0.1 | 1.0 | control , control , control , control , control , control , control , control , control , control , control , control , control , control , control , control , control , control , control , control , intervention , intervention , intervention , intervention , intervention , intervention , intervention , intervention , intervention , intervention , intervention , intervention , intervention , intervention , intervention , intervention , intervention , intervention , intervention , intervention , -0.600325096022098, -1.06119043798898 , 0.414196989644752 , 0.470472513858006 , 0.169145557197165 , 0.201370400888194 , 2.47352716271642 , 0.506838775793117 , -0.454278012720905, -1.1084501305115 , 0.549060978469166 , 0.245721661859827 , 2.15219469675608 , 0.270390622824801 , 0.726263677382061 , -1.18880679318089 , 2.05662210197906 , -0.222508067896314, -0.077656412894663, -0.404918407408557, 0.0334646380019282, 0.890282833865472 , 0.547679578564283 , 0.875780464350608 , 1.5778136338101 , -0.279500651831137, -0.512968320707059, 0.607295684298312 , 1.5383058703929 , 1.73481441628039 , 1.98610792570485 , 0.418676869952673 , 1.53893334335792 , -0.119582875231769, 1.99543407184621 , 0.715460868555426 , 0.35574242888755 , 0.107475012730667 , 1.08062493155464 , 0.166826761723749 | 0.0840134 |
| 77 | 50 | 0.0 | 0.0 | 0.5 | control , control , control , control , control , control , control , control , control , control , control , control , control , control , control , control , control , control , control , control , control , control , control , control , control , control , control , control , control , control , control , control , control , control , control , control , control , control , control , control , control , control , control , control , control , control , control , control , control , control , intervention , intervention , intervention , intervention , intervention , intervention , intervention , intervention , intervention , intervention , intervention , intervention , intervention , intervention , intervention , intervention , intervention , intervention , intervention , intervention , intervention , intervention , intervention , intervention , intervention , intervention , intervention , intervention , intervention , intervention , intervention , intervention , intervention , intervention , intervention , intervention , intervention , intervention , intervention , intervention , intervention , intervention , intervention , intervention , intervention , intervention , intervention , intervention , intervention , intervention , -0.387110393491512 , 0.255432127821828 , -0.211941787966874 , -0.440640796806817 , -0.0108034488325502 , 0.40317162084823 , -0.64460194706299 , -0.528560443245461 , 0.648598515343881 , 0.383911058485075 , 0.409449586448659 , 0.355876052251251 , 0.221094947137816 , 0.231066161059436 , -0.497844948652219 , -0.124813883336103 , 0.502821387827684 , -0.707567109003644 , -0.0360956317984175 , -0.800368960859106 , 0.0805901647178197 , -0.118042130945032 , -0.178521842490744 , 0.291592201030697 , 0.256344300907897 , 0.775599540458396 , -0.233112527323748 , 0.293771115981254 , -0.0822584813890245 , 0.382472418128334 , 0.581335792205968 , 0.478294882702543 , -0.0271465146733372 , 0.274142658542481 , 0.594896427451262 , -0.402381888107871 , -0.550500757191014 , -0.683298289886661 , 0.73220555083106 , -0.214615303828946 , -1.22056387678664 , -0.111047988367743 , -0.0484544227017792 , 0.566205571048475 , 0.558358766018293 , 0.25415456759451 , -0.247557107528002 , -1.18413975502883 , 0.0407114246370622 , 0.494246159748109 , -0.0696652939693195 , 0.278406706209666 , -0.828431821923894 , 0.187198226955122 , 0.956702004059079 , 0.164234541541974 , 0.698226426036762 , -0.372974168162434 , 0.512779628159455 , 0.159683520337045 , -0.958811144481032 , -0.0541231669002012 , -0.378101564472564 , -0.0625393972769673 , 1.0298984689622 , 0.178619841927514 , 0.598052192632536 , 0.0448067304147651 , 1.22619692307127 , 0.512340503749459 , -0.387313601587912 , -0.190190148457864 , -0.473770266472517 , -0.39018229717703 , -0.318034875302711 , -0.782940223768732 , 0.0137537358321733 , 0.0636158199600674 , 0.974977150794385 , 0.481396186881387 , 0.144721931645295 , 0.472490041690265 , 0.305789122030647 , -0.211104820414713 , 0.327105240659577 , -0.272400109454254 , 0.952331058107385 , -0.366669602079724 , -0.371944540647064 , -0.000475417218341403, -0.456058318492114 , -0.16441088458739 , -0.270271807716076 , -0.352021896844367 , 0.343703494294203 , 0.237193104529103 , 0.712091898687705 , -0.480448863706164 , -0.223181614178375 , -0.031811314432685 | 0.5803680 |
| 77 | 50 | 0.0 | 0.0 | 1.0 | control , control , control , control , control , control , control , control , control , control , control , control , control , control , control , control , control , control , control , control , control , control , control , control , control , control , control , control , control , control , control , control , control , control , control , control , control , control , control , control , control , control , control , control , control , control , control , control , control , control , intervention , intervention , intervention , intervention , intervention , intervention , intervention , intervention , intervention , intervention , intervention , intervention , intervention , intervention , intervention , intervention , intervention , intervention , intervention , intervention , intervention , intervention , intervention , intervention , intervention , intervention , intervention , intervention , intervention , intervention , intervention , intervention , intervention , intervention , intervention , intervention , intervention , intervention , intervention , intervention , intervention , intervention , intervention , intervention , intervention , intervention , intervention , intervention , intervention , intervention , -0.0237609047412525, 0.218521652863197 , 0.0557393703757595 , -0.592361994522353 , 0.484878013348308 , -0.265697259224143 , -0.292726183992886 , -0.212094982407118 , -0.776672346161425 , -1.66354732763585 , -1.09575839902352 , 2.22044959638603 , -0.200934969798863 , 0.737959103411325 , 0.947750595534489 , -0.893695766553585 , 1.36363660363812 , -1.76199309150289 , -0.398461614297212 , 0.621419980534495 , -1.2139418461788 , 0.758974122825043 , 0.985683955712101 , 1.43731260631778 , -1.24745388620528 , 0.231571073828619 , 0.252882838287831 , 0.317926312506609 , -2.05880045320185 , 0.722277950705388 , -0.78772592757545 , 0.110226890408439 , 0.54734040441471 , 0.541964848126642 , -1.02785696947309 , 1.03006131119708 , -1.49609659360484 , 0.989136909497722 , -1.46151184995701 , 1.56309166825287 , 0.0319214555229097 , 0.69465780202061 , -1.84020290471982 , 1.17739986392871 , 0.616663326224403 , -0.536051521946699 , -1.38091070304694 , -1.27884159074671 , -0.149421171513359 , -0.587671140080458 , -0.632649133831583 , 0.785512552277262 , 1.62165129544459 , -0.922954153321043 , -0.657573509914773 , 0.471986162023784 , 0.69530874943028 , -0.533788098861613 , -2.05484846717888 , -0.455751935301049 , 1.37869979209742 , -0.253501182223231 , 1.55377289891083 , -0.760092982123626 , 0.223317897727067 , 0.288234760559442 , -0.0406829106008557, -1.92229310542715 , -2.2612703322912 , 0.435044471865378 , 0.677114887004258 , -1.54802129647695 , -0.258668035743062 , 0.911776118461026 , -0.382295702873374 , -1.77745594604093 , -0.622984033395208 , 0.34928223934381 , 0.710181516026638 , 2.14927653952489 , -0.377016247613101 , -0.419111165957434 , -2.00253679559526 , 1.11594734065915 , 1.28284816926839 , -0.565365770328243 , 0.327238801719417 , 0.8380738120824 , -0.449419217265952 , -0.0500375124128955, 0.469184539753643 , 0.52593490507325 , -0.176988370118888 , -0.517719796553578 , -0.224524635569523 , 1.08208647544079 , 1.67500878279041 , 0.0863439172515449 , 0.714643955106752 , -0.495157657532317 | 0.6530656 |
| 77 | 50 | 0.0 | 0.1 | 0.5 | control , control , control , control , control , control , control , control , control , control , control , control , control , control , control , control , control , control , control , control , control , control , control , control , control , control , control , control , control , control , control , control , control , control , control , control , control , control , control , control , control , control , control , control , control , control , control , control , control , control , intervention , intervention , intervention , intervention , intervention , intervention , intervention , intervention , intervention , intervention , intervention , intervention , intervention , intervention , intervention , intervention , intervention , intervention , intervention , intervention , intervention , intervention , intervention , intervention , intervention , intervention , intervention , intervention , intervention , intervention , intervention , intervention , intervention , intervention , intervention , intervention , intervention , intervention , intervention , intervention , intervention , intervention , intervention , intervention , intervention , intervention , intervention , intervention , intervention , intervention , -0.234583010005175 , -1.13200230277124 , -0.122284747533792 , 0.0765577013008399 , -0.289694803510142 , 0.244685091641486 , -0.345681901326335 , 0.765907930728198 , 0.179382463952151 , 0.408652868406301 , 0.0285287104372449 , 0.195143142054506 , 0.57277651463511 , -0.491917286237861 , 0.882151499717247 , 0.450299764433872 , -0.85576082607345 , 0.864128681911507 , 0.399414582754251 , -0.261885756148688 , 0.71275426079679 , 0.211758194440941 , 0.420903750849248 , 0.0317161309649478 , 0.50548639183361 , 0.876280459868977 , -0.0514975240149741 , 0.645015619320565 , -0.182054987552489 , 0.53102404870773 , -0.530126362702299 , -0.558702913473939 , -0.124250978421176 , 0.31941036299114 , -0.202349952675991 , 0.222912020132005 , -0.0571188923076078 , 0.557579207106998 , -0.280911088698714 , -0.114315831021837 , 0.156291065788214 , 0.589535369643939 , -0.705486992804195 , 0.0297803696915443 , -0.304038517098037 , 0.537464600852048 , -0.182613882146315 , 0.58605764207006 , 0.170213796105275 , 0.444448427084037 , 0.336709668635191 , 0.946623644179654 , -0.00799852866115482, -0.0410204588820281 , 0.497788241287031 , 0.602086543026649 , -0.453185184445584 , -0.277123923014963 , -0.281523830157617 , -0.0993758127187089 , -0.0661348950355671 , -0.894006437409677 , -0.38779770326959 , -0.197940699985641 , 0.164552519190476 , 0.0271583798447368 , 0.0761166480865847 , 0.0750968336447791 , 0.227120123968057 , 0.310461249543651 , 0.167260201694094 , 0.330939506319808 , 0.326452808401136 , -0.0053288196933897 , -1.17934522804606 , 0.222799433695671 , -0.79730456054604 , 0.217242682803163 , -0.763982059733747 , 0.324638925328845 , 0.471203995080438 , 0.417274888974405 , -0.096146646572927 , 0.170971543343576 , 0.307961601765814 , -0.558767504641187 , 0.17535319292753 , 0.148224592555004 , -0.612266644325598 , 0.648804334959899 , -0.432024634611418 , 0.567013719241882 , -0.472592151733012 , 0.082392167073955 , -0.232463401746941 , 0.13169950275164 , -0.00956683965082402, 0.204195580018111 , 0.421355727030349 , 0.67478003021088 | 0.3569537 |
| 77 | 50 | 0.0 | 0.1 | 1.0 | control , control , control , control , control , control , control , control , control , control , control , control , control , control , control , control , control , control , control , control , control , control , control , control , control , control , control , control , control , control , control , control , control , control , control , control , control , control , control , control , control , control , control , control , control , control , control , control , control , control , intervention , intervention , intervention , intervention , intervention , intervention , intervention , intervention , intervention , intervention , intervention , intervention , intervention , intervention , intervention , intervention , intervention , intervention , intervention , intervention , intervention , intervention , intervention , intervention , intervention , intervention , intervention , intervention , intervention , intervention , intervention , intervention , intervention , intervention , intervention , intervention , intervention , intervention , intervention , intervention , intervention , intervention , intervention , intervention , intervention , intervention , intervention , intervention , intervention , intervention , 1.34653895619489 , 1.08627532435619 , 0.799630588625532 , -1.00386376097673 , -0.196967899224957 , 0.526120008519953 , 1.42638363672254 , -0.146891723988164 , -0.827427084155564 , -1.94880596164536 , 0.744597502309706 , 0.446609990562463 , 1.02206774554384 , -0.421215365680927 , 0.901170775627039 , -0.245655011537938 , -1.54356781904422 , -1.88723200305165 , 0.188987624983536 , -1.14631097718495 , -2.29622860780361 , -0.86943354294982 , 1.24478259165239 , -0.67770211215998 , -0.80072552201347 , -0.232053792253136 , -1.42938504219255 , -0.567171735256575 , -0.235842703254528 , 0.48888773681435 , 0.213326302545029 , 1.1889853111513 , -2.19507977512003 , -1.13041915233046 , 0.755821824512796 , -0.329785224860478 , -0.834289377395254 , 0.938733484231777 , 0.66188947320037 , -1.42873690631363 , -0.699030027885317 , -2.28380931938586 , 1.10763822275188 , 0.82326421762581 , -0.417886850713496 , 1.1261349587003 , -0.190025281785698 , -0.2601997367196 , -1.6425007017829 , -1.54160240912787 , -1.02564991140232 , -0.183521579930321 , 1.17425021735946 , -0.865088371934832 , -0.609521175844801 , -1.42057383894738 , 0.932399733252624 , 0.971729027850159 , 0.918990982864418 , 0.697692741516324 , -0.714550993237439 , -0.647774399448838 , 1.32675086721147 , -1.5547373350852 , 0.439651631276081 , -0.966976074092293 , -1.89707213844931 , -1.00239574372863 , -0.391427175510419 , -2.01568305165941 , 0.367352930609148 , 1.73453104243942 , -0.271938262867297 , 1.54778405683191 , 0.373360393355381 , 0.0651623450490035 , 0.247699391830846 , -0.0807188165353853, 1.18120270854604 , 0.614093181537124 , 0.116814231055353 , -0.457499705630889 , 1.04541060357085 , -0.252965304663364 , 0.662505500281094 , 0.73724053409378 , 1.2318369506336 , 1.16445145230849 , -0.523790502060153 , -0.143064197037098 , -0.188606171002654 , -0.385817251748266 , -1.02636381027742 , -0.0603492388259368, 0.213243899489995 , 0.0695368551074269 , 0.856302812850581 , -1.60957700101123 , 0.0142981629157832 , 0.726903543473441 | 0.1804081 |
| 77 | 50 | 0.5 | 0.0 | 0.5 | control , control , control , control , control , control , control , control , control , control , control , control , control , control , control , control , control , control , control , control , control , control , control , control , control , control , control , control , control , control , control , control , control , control , control , control , control , control , control , control , control , control , control , control , control , control , control , control , control , control , intervention , intervention , intervention , intervention , intervention , intervention , intervention , intervention , intervention , intervention , intervention , intervention , intervention , intervention , intervention , intervention , intervention , intervention , intervention , intervention , intervention , intervention , intervention , intervention , intervention , intervention , intervention , intervention , intervention , intervention , intervention , intervention , intervention , intervention , intervention , intervention , intervention , intervention , intervention , intervention , intervention , intervention , intervention , intervention , intervention , intervention , intervention , intervention , intervention , intervention , -0.882915789808262 , -0.0798177940749136 , 0.0806077706677288 , -0.283412182966166 , 0.452089417061823 , -0.335591202028294 , -0.216891158319019 , 0.476703112249223 , -0.353668432635301 , -0.36698328695282 , -0.182365445416895 , 0.471304116532538 , -0.239776053204548 , -1.07396769709863 , 0.473140541467418 , -0.259670457741818 , 0.00442403093094578 , 0.628481981440856 , -0.0279238933173155 , 0.411485324424685 , 0.186819874035706 , -0.521467868194975 , 0.278245729923177 , -0.270937926029653 , -0.101945715031041 , 0.379196018263509 , -0.0378562255900733 , -0.137909060360768 , 0.68061660878374 , 0.521028408973196 , -0.385720105084685 , 0.531808246316611 , 0.177125845435002 , -0.245982479240987 , -1.06281668608017 , -0.689983495908971 , -0.0147841779722066 , 0.412119560340185 , -0.19628307331805 , 0.21874461502296 , 1.0074388048752 , -0.322842623159551 , -0.747375268042263 , -0.1640977624206 , -0.661445726946011 , 0.274604181023585 , -0.682599954929753 , 0.463294453591682 , -0.393495086643102 , -0.765052978127161 , 0.84875150146778 , 0.394379188502104 , 1.47023890403271 , 1.20659550893808 , 0.472387096184234 , -0.131097103959866 , 0.879485915439056 , 1.06568158402098 , 0.224708045479073 , -0.233911624386807 , -0.00503635047362794 , 0.936698677186217 , 0.495408492438971 , -0.48403571560907 , 0.0346162970575012 , 1.2875610816149 , 0.677391936235149 , 0.367840263823499 , 1.15045140144053 , 0.437293913833863 , 0.1170729951572 , -0.00269015044761023 , 0.238555811913643 , 1.03834345318377 , 0.881550402640475 , 0.807750962848853 , 0.225558397990602 , -0.000121239064016954, 0.902904568686231 , 0.442836758624514 , 0.0997499578428931 , 1.44725880487017 , -0.316261406734442 , 1.06756485642506 , 0.460942110661978 , 0.383151928175777 , 0.176524319020504 , 0.769293922486207 , -0.158242518385592 , 1.4575947013976 , -0.256709664738038 , -0.282135345317856 , -0.971028526852728 , 0.816707596231918 , 0.0862158772252883 , 0.841212819719477 , 0.181578295487471 , -0.0606127939858588 , 0.210649679001766 , -0.00470811702776075 | 0.0000042 |
| 77 | 50 | 0.5 | 0.0 | 1.0 | control , control , control , control , control , control , control , control , control , control , control , control , control , control , control , control , control , control , control , control , control , control , control , control , control , control , control , control , control , control , control , control , control , control , control , control , control , control , control , control , control , control , control , control , control , control , control , control , control , control , intervention , intervention , intervention , intervention , intervention , intervention , intervention , intervention , intervention , intervention , intervention , intervention , intervention , intervention , intervention , intervention , intervention , intervention , intervention , intervention , intervention , intervention , intervention , intervention , intervention , intervention , intervention , intervention , intervention , intervention , intervention , intervention , intervention , intervention , intervention , intervention , intervention , intervention , intervention , intervention , intervention , intervention , intervention , intervention , intervention , intervention , intervention , intervention , intervention , intervention , 0.612488864336382 , -1.90446805670421 , 1.78727072801795 , -0.865337329184979 , -0.812660841879082 , -0.629896425187774 , 1.30071444208748 , 1.58603856279304 , 0.83229551129124 , -1.0674088579882 , 0.00521138968242821 , 0.739147113316118 , -0.794516167852989 , -0.380001417325702 , -1.26704546734071 , 0.295834040712736 , 1.09894122940789 , -0.87891362192254 , 0.176648050407998 , -1.25078185434077 , 0.00176160078221103 , 0.215445334128301 , -1.06374171939804 , -0.324574356810657 , 0.583713142827011 , 1.68775574638512 , -0.815310063073758 , -0.538158208140825 , -0.0592336331741043 , -0.184516275874998 , 0.46767643606366 , 0.273939645863984 , 1.85963408776759 , -0.459474258544927 , 1.07429615342828 , 1.37169285043209 , -1.4209323372774 , 0.188658657382663 , 0.237858417951759 , 1.76923303731474 , -0.434800396120755 , 0.865523580480117 , 0.426396106987569 , 0.714648945868508 , -0.264766910498817 , -0.636246743236337 , -0.358770196612422 , -0.0174986022351528 , 0.501044380133123 , -1.08626909938637 , 0.369424554617423 , 0.257257281978798 , 0.87871815915108 , 1.54457268953123 , 0.679646611665814 , 0.746364645761941 , 0.554639133893155 , -1.25990854108567 , 0.8202409652766 , -0.493338983518713 , -1.50147223539885 , 1.01278531366803 , 0.665509010587961 , 0.0986258687725354 , -0.356086189027754 , -1.09760410926388 , 0.652623777279939 , 1.50824266209665 , -0.00105451920742827, 1.29496130209484 , 1.88918397232299 , 1.9560575058565 , 1.69744591213017 , -1.00936825157897 , -0.977051108853738 , 0.746889429817108 , -0.0975067402815316 , 1.49424341718939 , 0.148452577683801 , 0.0583010385163077 , -1.8396817273161 , 2.32530569927957 , 0.618083106268969 , -1.75127419756359 , 1.96716735201994 , 1.87865859203559 , 0.082178824124479 , -0.120219330508646 , -0.483359227043782 , 0.807598807035367 , 1.74802560965523 , 1.42815323005997 , 2.83222753253569 , -0.458239087595513 , 0.554187112139839 , 0.188024372263951 , 0.0467189390499859 , 1.94103001745171 , 0.790061671055146 , 0.43223924467223 | 0.0314377 |
| 77 | 50 | 0.5 | 0.1 | 0.5 | control , control , control , control , control , control , control , control , control , control , control , control , control , control , control , control , control , control , control , control , control , control , control , control , control , control , control , control , control , control , control , control , control , control , control , control , control , control , control , control , control , control , control , control , control , control , control , control , control , control , intervention , intervention , intervention , intervention , intervention , intervention , intervention , intervention , intervention , intervention , intervention , intervention , intervention , intervention , intervention , intervention , intervention , intervention , intervention , intervention , intervention , intervention , intervention , intervention , intervention , intervention , intervention , intervention , intervention , intervention , intervention , intervention , intervention , intervention , intervention , intervention , intervention , intervention , intervention , intervention , intervention , intervention , intervention , intervention , intervention , intervention , intervention , intervention , intervention , intervention , 0.00871618567386477 , -0.146273251184224 , 1.09244559780378 , -0.970833820584595 , 0.525019552400843 , 0.101097053407562 , 0.356848330444101 , -0.783459815787974 , -0.21287015157531 , 0.712965621172596 , -0.554647724694505 , 0.173777619340407 , -0.2390599713645 , 0.167340106125385 , 0.191174481881841 , 1.08841324796986 , -0.540297486760339 , -0.595928823664301 , 0.600920326808625 , -0.647916559863792 , 0.324466608301135 , 0.427244368237198 , -0.0268571189421865 , 0.420657647007963 , -0.0608287698211351 , -1.08925098834939 , -0.295594648848018 , 0.337878305311057 , -0.165138820156364 , 0.192537883968879 , 0.155396329899777 , 0.104262180489101 , 0.661879054114126 , 0.47048763789705 , -0.638399487502728 , -0.0597921964371693 , 0.220821424913825 , -0.162737120734165 , -0.421539300847858 , 0.0502006309680829 , 0.426986527361181 , -0.296219814215665 , 0.163251929304442 , -0.0808432964485126 , 0.364533549421957 , 0.404966095399978 , 0.488313426128929 , 0.624877881843354 , 0.534734499585154 , -0.376420861018206 , 1.12438909452561 , 0.79697670875621 , 0.360732272990572 , -0.0779116058288714 , -0.447678219358094 , 0.612339568724623 , -0.011949958924707 , 0.224546655457326 , 0.67354300652968 , 1.05245523173894 , 0.572235042236864 , -0.347638044573253 , -0.134386063547165 , -0.264238872893146 , 0.688158710973432 , 0.912241984357723 , 0.412811076531586 , 0.746986169881111 , 0.564938484996083 , 0.370102464928488 , 1.06646527878088 , 0.764190948071361 , -0.00437877550330967, -0.347427167829675 , 0.597001057107037 , 0.433571734211398 , 1.38002136902878 , 0.127926665264999 , 0.408411414981365 , 0.0729062323469611 , 0.781285461363905 , -0.258631602440659 , 0.875569462852696 , 0.0341159800163962 , -0.211365220036261 , 1.12667471239454 , 0.212328414265524 , 0.773995154750365 , 0.445480326595561 , 1.07397250074689 , 1.39683764854054 , 1.13812129056845 , -0.0713006487842089 , 0.198360717634446 , -0.163647913469743 , 0.25038470779815 , 0.0702546388648816 , 0.170384037378559 , 0.781590575016707 , 0.303724097347704 | 0.0002973 |
| 77 | 50 | 0.5 | 0.1 | 1.0 | control , control , control , control , control , control , control , control , control , control , control , control , control , control , control , control , control , control , control , control , control , control , control , control , control , control , control , control , control , control , control , control , control , control , control , control , control , control , control , control , control , control , control , control , control , control , control , control , control , control , intervention , intervention , intervention , intervention , intervention , intervention , intervention , intervention , intervention , intervention , intervention , intervention , intervention , intervention , intervention , intervention , intervention , intervention , intervention , intervention , intervention , intervention , intervention , intervention , intervention , intervention , intervention , intervention , intervention , intervention , intervention , intervention , intervention , intervention , intervention , intervention , intervention , intervention , intervention , intervention , intervention , intervention , intervention , intervention , intervention , intervention , intervention , intervention , intervention , intervention , 0.279734305058999 , 2.13005522160064 , -0.11480414035635 , 0.905695318759971 , 1.11815148680201 , 0.806776736591304 , 2.00109406057496 , 1.32319620759365 , -0.420742902070301 , 0.330008527058051 , 0.0722442421832994 , 0.443470312264067 , -0.116944666920349 , 0.605338156806384 , -0.788229168265271 , -0.813597856244248 , 0.113687525182802 , -1.28107585788316 , -1.15624655338012 , -0.4274488767334 , 0.259247885065866 , -0.732996550711274 , 1.18683520788426 , 1.52642227676716 , -0.852770930093132 , 0.155020053494415 , -1.31239123439785 , 0.624813105543461 , 1.18943316164124 , -0.820018161146575 , -1.32925468417919 , -0.390121331347824 , 1.09653680826189 , 0.301748574162624 , 0.459285203765838 , -0.68432509388535 , 2.09012528599998 , -0.290624144115488 , 0.453469495187754 , 1.70327675080962 , 0.970316551286371 , 0.437735776343229 , -0.480015292393425 , 0.437347967502779 , 1.27371069009037 , 1.44873463018585 , -1.2838664785767 , 0.551198046405735 , 0.905060236308953 , 0.357209748746498 , 0.0883666252130174 , -0.132420997040802 , -1.27466191688859 , 0.0351514558192076 , 1.38788711817363 , 1.98952882284788 , 0.810685439096475 , 0.746416322976305 , 0.357388145902069 , 0.741308050280486 , 0.244364322387243 , -0.0505133027384419, -0.35222118221737 , 0.167135419362247 , 1.63764987591115 , 1.42294320328435 , -0.425594986434928 , 0.020884054028877 , 0.671284984653817 , 1.905302248135 , -0.447878589039419 , 0.0162078404554395 , -1.44476474346811 , 0.803846406676954 , 0.716254858457932 , -0.211957172580332 , -0.11753353705277 , -2.2829527684878 , 1.49424160065398 , 1.7765790498366 , -0.366779548470364 , 0.511644495510955 , 1.08357653776798 , 0.847538324862035 , -2.24250647907149 , 0.731974914063083 , 0.445859685054468 , 0.780145531789842 , 0.423982457783843 , 0.239185603414982 , 1.38485893422136 , 1.72776199537738 , 0.0828175445070801 , -0.693637926438972 , 0.591877086887542 , -1.54334130936686 , -0.427195075254131 , 1.40153905558226 , 1.18028703436022 , 1.25036338782 | 0.7230105 |
| 78 | 20 | 0.0 | 0.0 | 0.5 | control , control , control , control , control , control , control , control , control , control , control , control , control , control , control , control , control , control , control , control , intervention , intervention , intervention , intervention , intervention , intervention , intervention , intervention , intervention , intervention , intervention , intervention , intervention , intervention , intervention , intervention , intervention , intervention , intervention , intervention , 0.302839580498707 , -0.19614464969303 , 1.04340090322075 , -0.328679669051686 , 1.04126402130347 , 0.120299696224791 , 0.162351825024776 , -0.343467412164127 , 0.694055173215879 , -0.259296284656766 , 1.15236298154664 , -0.141558677725169 , -0.141003035349485 , -0.583219310480924 , -0.0760598478882257 , -0.119799781249823 , -0.280672306362426 , -0.94556713246103 , 0.0648894051468991 , 0.382973691254704 , 0.735540096975622 , -0.000682362972188195, 0.367052204734253 , -0.923478813737319 , 0.292408181437117 , -0.676290990821344 , 1.5072369912856 , -0.10896831377364 , 0.560385540339399 , -0.442168989611498 , 0.0519423110610661 , -0.410107243792585 , -0.111124978105952 , 0.451835947145551 , -0.478701302678156 , 0.290160210489756 , -0.601310106815128 , -0.199403682656288 , 0.596646446540637 , -0.282576092931339 | 0.7967932 |
| 78 | 20 | 0.0 | 0.0 | 1.0 | control , control , control , control , control , control , control , control , control , control , control , control , control , control , control , control , control , control , control , control , intervention , intervention , intervention , intervention , intervention , intervention , intervention , intervention , intervention , intervention , intervention , intervention , intervention , intervention , intervention , intervention , intervention , intervention , intervention , intervention , 1.31711150476181 , 0.673494076175836 , -1.30632278954284 , -1.42027027962773 , 0.0521027008844419 , -0.390548873637496 , -1.19942232675169 , 0.709150060090228 , -0.877129101038883 , 0.106668237654834 , -0.659540350190128 , 0.107370863733079 , 1.8077234203068 , 0.26342954883963 , -1.13787568622978 , 2.04745942537874 , -0.334102214807497 , -0.336190914492201 , -1.27188185782973 , 0.778080845460705 , 0.573528657976275 , 0.374501262484149 , 0.588065707804167 , -1.81256797211717 , -0.982361052304913 , 0.344523544994647 , 0.110307185361466 , 2.08964605838589 , 0.821750274215886 , -0.0657400929160765, 0.462112352406923 , -1.30515162911252 , -0.43347979944414 , 0.0702471201886644 , 0.0940051402151959 , 1.44766543180339 , -0.296123309616968 , -2.80397254821887 , 1.04096547344503 , -1.78487542575622 | 0.9553777 |
| 78 | 20 | 0.0 | 0.1 | 0.5 | control , control , control , control , control , control , control , control , control , control , control , control , control , control , control , control , control , control , control , control , intervention , intervention , intervention , intervention , intervention , intervention , intervention , intervention , intervention , intervention , intervention , intervention , intervention , intervention , intervention , intervention , intervention , intervention , intervention , intervention , -0.793512415501838 , 0.456850112480443 , -0.404494608405039 , 0.302072576793195 , 0.845751297903332 , -0.388358055863646 , -0.333814875940982 , 0.443118105619959 , 0.283058606749355 , 0.162782104798735 , -0.139955264503912 , 0.15403375290911 , -0.360067815963122 , -0.400205308983768 , 0.245151391871344 , 0.463827059986456 , 0.234590256190689 , 0.118526151789531 , -0.678449542314408 , 0.311690957849751 , 0.16402075393443 , 0.222731335534322 , 0.522582544970646 , 0.425742317381529 , -0.0149487302690869, -0.0730500557554789, -0.0515262144835133, -0.661816361438802 , 0.395257028314325 , -0.489961814887534 , 0.137355685079669 , -0.847909277162452 , -0.255747420541423 , -1.3887568867631 , 0.0917379907031491 , 0.772220810410962 , 0.071054475892257 , 0.270386084168835 , -0.494917558364534 , 0.198363884288031 | 0.6144259 |
| 78 | 20 | 0.0 | 0.1 | 1.0 | control , control , control , control , control , control , control , control , control , control , control , control , control , control , control , control , control , control , control , control , intervention , intervention , intervention , intervention , intervention , intervention , intervention , intervention , intervention , intervention , intervention , intervention , intervention , intervention , intervention , intervention , intervention , intervention , intervention , intervention , -0.07332052019441 , -0.019091679363572 , -0.38695922885664 , -0.446976361996179 , 1.36443124350753 , 1.01590194092441 , 0.271073255145355 , -1.52279538877718 , 1.54537790387751 , -0.608307879536784 , -0.888178145818547 , 1.21415793555122 , 0.233152488999226 , -0.211611654442521 , 0.243771274837666 , 0.454576916197381 , 1.86202941861921 , -0.0920033085661237, 0.191511018622674 , 0.192276545442518 , -2.50591828401721 , 1.93808307167374 , 0.606617689386257 , 1.51419631761832 , -0.0595867120412325, -2.44391058051131 , 0.342423652192473 , -0.255601503314621 , 1.67862002815252 , 0.349210664861054 , 0.148048880248911 , 1.28667392760671 , 0.241714724698172 , 0.265294562534866 , -1.03568555531103 , 0.794942463413524 , 0.36889207738531 , 1.16488554909934 , -0.254066154179082 , -0.589611037409552 | 0.9047478 |
| 78 | 20 | 0.5 | 0.0 | 0.5 | control , control , control , control , control , control , control , control , control , control , control , control , control , control , control , control , control , control , control , control , intervention , intervention , intervention , intervention , intervention , intervention , intervention , intervention , intervention , intervention , intervention , intervention , intervention , intervention , intervention , intervention , intervention , intervention , intervention , intervention , 0.64009008596136 , -0.802317328215874 , -0.548195735279335 , 0.0543997652648258 , -0.821250464969174 , 0.739139049032428 , 0.0462219846309064 , -0.194613483753269 , -0.219387160065843 , 0.20455366294523 , -1.10904137274151 , -0.236296239742338 , 0.407716383849908 , -0.390981154730697 , -0.452386092639575 , -0.198136583309178 , 0.282945522008491 , -0.240529338979867 , -0.148028502054957 , 0.0783728588295037 , 1.31011417546025 , 0.611844043615234 , 0.434911428443791 , 0.556473835118928 , 0.699740557624744 , 0.145618044717806 , 0.489901206931073 , 1.65367801082308 , 1.35530838022028 , 0.451288301399831 , -0.0611974350396745, 0.806336791427913 , -0.137830324588389 , 0.0351133018642569 , 0.329136178978377 , 0.977051821312973 , 0.573676820810612 , 0.512499726734643 , 0.64598850555928 , 1.48896152973512 | 0.0000096 |
| 78 | 20 | 0.5 | 0.0 | 1.0 | control , control , control , control , control , control , control , control , control , control , control , control , control , control , control , control , control , control , control , control , intervention , intervention , intervention , intervention , intervention , intervention , intervention , intervention , intervention , intervention , intervention , intervention , intervention , intervention , intervention , intervention , intervention , intervention , intervention , intervention , -1.69347017243923 , 0.0586423489290727 , 0.230648053594114 , -1.48973955622914 , -0.0520878076353357, -0.379003135118627 , 1.30899689166773 , -2.04830952126069 , 0.965681323567964 , -0.907520103213101 , 1.78328921415941 , 0.869122622222524 , 1.02558125028482 , 0.456195587469356 , 0.60044962145584 , -0.10703441931996 , -1.36710142084727 , -0.434284201916426 , -0.628826196126813 , -0.509454651069003 , 1.07980238354926 , 0.958455635493536 , 1.31991386211627 , 1.2765140598343 , 1.03774547929121 , 1.53916941188738 , 0.186740420386275 , 0.87670146882551 , 0.289996467046465 , 0.496517390345353 , -0.304675285670306 , 1.90527145025668 , 1.20846974482428 , 0.360845229329731 , -0.631072524370955 , -0.384522501730034 , -0.354740566775305 , 0.202603566002868 , 0.958840156081775 , 1.42899531772752 | 0.0087764 |
| 78 | 20 | 0.5 | 0.1 | 0.5 | control , control , control , control , control , control , control , control , control , control , control , control , control , control , control , control , control , control , control , control , intervention , intervention , intervention , intervention , intervention , intervention , intervention , intervention , intervention , intervention , intervention , intervention , intervention , intervention , intervention , intervention , intervention , intervention , intervention , intervention , 0.468822704258995 , 0.846171870967733 , -0.128477381476088 , -0.325520954929273 , 0.427649867861105 , 0.466960723461191 , -0.64116640637011 , -0.102273490635717 , -0.422471228435137 , 0.180353030978401 , -0.298116038000695 , 0.364459800931878 , 0.314856125031883 , -0.0455874892993812, -0.336745493052445 , -0.0317750198140123, -0.82306065103976 , 0.0961776371551145 , -0.0761370698786163, 0.094170737352198 , 0.847361361286676 , 0.394746295881839 , 1.42418768878193 , 0.447773815108203 , 0.520475496711755 , -0.113214959401356 , 1.04981010064151 , 0.82657791226376 , 1.35705080030382 , 0.685648219471647 , -0.373051265725551 , 0.195234010715467 , -0.193630018238323 , 0.715131151492647 , -0.106797408785393 , -0.32416882017452 , 0.850979632409652 , 0.230354937433872 , 0.581304773773036 , 0.339565649562027 | 0.0033116 |
| 78 | 20 | 0.5 | 0.1 | 1.0 | control , control , control , control , control , control , control , control , control , control , control , control , control , control , control , control , control , control , control , control , intervention , intervention , intervention , intervention , intervention , intervention , intervention , intervention , intervention , intervention , intervention , intervention , intervention , intervention , intervention , intervention , intervention , intervention , intervention , intervention , -0.927782247817581, 0.321114975418262 , 0.108546880511088 , 0.0863739386960527, -0.501444782371556, 0.610218062653772 , -0.050459946019653, -0.29144561546379 , 0.786041106091865 , 1.51436825409196 , -0.274108455539294, 1.62689637136151 , 0.695800314029769 , 0.660123541539863 , -0.832485557674866, -0.215971479240212, -2.90659136450069 , 1.15114577343784 , 1.16832869654012 , -1.00042527294337 , 1.64891593986725 , 0.189628599257003 , 1.30725962240039 , 0.255815249786583 , -0.1957262977063 , 0.829205150414452 , 0.410417718095453 , 0.718250649478894 , 0.584638614271845 , 1.47143461777795 , 0.369987294154825 , 0.61653051869224 , -0.45589552205518 , 2.1313095636235 , -0.353207925771808, -1.66788444762364 , 2.25061627285083 , 0.468625578742954 , 0.108691517020698 , 1.18951666062116 | 0.1133270 |
| 78 | 50 | 0.0 | 0.0 | 0.5 | control , control , control , control , control , control , control , control , control , control , control , control , control , control , control , control , control , control , control , control , control , control , control , control , control , control , control , control , control , control , control , control , control , control , control , control , control , control , control , control , control , control , control , control , control , control , control , control , control , control , intervention , intervention , intervention , intervention , intervention , intervention , intervention , intervention , intervention , intervention , intervention , intervention , intervention , intervention , intervention , intervention , intervention , intervention , intervention , intervention , intervention , intervention , intervention , intervention , intervention , intervention , intervention , intervention , intervention , intervention , intervention , intervention , intervention , intervention , intervention , intervention , intervention , intervention , intervention , intervention , intervention , intervention , intervention , intervention , intervention , intervention , intervention , intervention , intervention , intervention , 0.263113559130308 , 0.91222739805797 , 1.47974976434293 , 0.489987158563171 , -0.14747064880144 , -0.0999102716428565, -0.503496313877128 , -0.468222849592919 , 0.135929158025916 , -0.282738768874072 , -0.620492142528599 , 0.0210722841407377 , -0.535672222261596 , -0.166873692968158 , 0.570164177437179 , -0.13670001544502 , 0.0495049405853224 , -0.308986455697375 , -1.00368004137145 , -0.929103309279643 , 0.16128088622924 , -0.534372400868479 , -0.221933866306603 , 0.123428198271382 , 0.46415463109046 , -0.127543130072633 , 0.432202157658943 , 0.330242590334063 , 0.762578770863003 , -0.850261921415164 , 0.39675613392756 , 0.887739623025486 , 0.00391825409291589, -0.508379964778903 , 0.380631733665849 , -0.586331059564137 , -0.590600883372748 , 0.235357954733835 , -0.795009024940032 , -0.0126712738944781, -0.826499466132046 , 0.425817181728061 , -0.238182338741352 , 0.340634864563557 , -0.388525354684185 , 0.85277732028412 , -0.483869530614764 , -0.322775233472015 , -0.200898215735889 , -0.0925821035640512, 0.410991583284987 , 0.546207683815558 , 0.61258724559795 , 0.167619522893549 , -1.00403948536097 , 0.640880786028626 , 0.0077962000177393 , -0.0950686195277205, -0.199880078993466 , -0.264002754012837 , 0.149726674529536 , -0.675344509675656 , -0.156480803599063 , -0.0340237995855817, -0.31539795508657 , 0.257331340116851 , 0.22743995719346 , -0.578963242069128 , -0.046058974985379 , -0.298088815290428 , 0.657587806574449 , -0.117975449624987 , 0.546622127918064 , -0.409824305950805 , 0.359687769343755 , -0.272438890559517 , -0.0309771389105489, -0.431896778026294 , -0.0707636333128881, 0.735201702909878 , 0.489645360962367 , 0.427815209992777 , -0.727108101581805 , 0.095974540319433 , 0.430599644443857 , -0.883129049668302 , 0.693984142197445 , 0.471279657273275 , -0.0109026130962999, 0.581779294114159 , -1.09297908356109 , 0.263509109973698 , -0.249258163730275 , -0.592361620901137 , 0.394332377568228 , -0.101278124914601 , 0.151334491872812 , 0.492418311766217 , -1.08558771178764 , 0.15517054688349 | 0.6285836 |
| 78 | 50 | 0.0 | 0.0 | 1.0 | control , control , control , control , control , control , control , control , control , control , control , control , control , control , control , control , control , control , control , control , control , control , control , control , control , control , control , control , control , control , control , control , control , control , control , control , control , control , control , control , control , control , control , control , control , control , control , control , control , control , intervention , intervention , intervention , intervention , intervention , intervention , intervention , intervention , intervention , intervention , intervention , intervention , intervention , intervention , intervention , intervention , intervention , intervention , intervention , intervention , intervention , intervention , intervention , intervention , intervention , intervention , intervention , intervention , intervention , intervention , intervention , intervention , intervention , intervention , intervention , intervention , intervention , intervention , intervention , intervention , intervention , intervention , intervention , intervention , intervention , intervention , intervention , intervention , intervention , intervention , 0.959891215312154 , -2.13433746799977 , 0.816763870031736 , -0.750124107606032 , 0.99013540572623 , -0.54786564863423 , 1.36170159929404 , 2.03969926101611 , -1.4220455551315 , -0.7734393212641 , -1.49722693638445 , -1.83337789227047 , -0.479368214577253 , 2.04354565414395 , 0.519027324215994 , 0.217597926723849 , 0.0750886857867589 , -1.18313480274419 , -2.83395920985134 , 2.34496514808276 , -0.557279712300857 , -0.520949198248285 , 0.673191252919833 , 0.227322651324963 , -0.0801923591513808, -0.677194515341376 , 0.548145968503991 , -0.737217103779713 , 1.45860726321543 , 0.345746128809625 , 1.44121789466439 , 0.577694909373612 , 1.14343026238717 , 0.372545496507072 , -0.895623269414311 , 1.32030276182956 , 0.306334261940827 , -0.0764298603555761, 0.362661283775611 , -0.786570902876356 , 0.501044210575714 , 3.18019518213639 , -1.01208665052697 , 0.521697533209408 , 0.943574154865397 , 0.296896443528266 , 2.52240572360368 , 0.24385065528846 , 2.43107241338428 , 0.0468971656215179 , 0.221468623403086 , -0.670329926801799 , 0.326489925290952 , 0.902064372027597 , 1.07606850909088 , -0.81057275569297 , 0.168238151340634 , 0.648092155516748 , 0.0961905397462346 , 0.0898202857368053 , -0.0347171763668508, -0.629933067260072 , 1.28184263191334 , -0.510448842986207 , -0.811648401275946 , 0.0154457568181604 , 1.07165012951238 , 0.259191074946887 , 0.701794238527745 , -0.325287162669641 , -0.453078892750885 , -2.46226067808291 , 0.00499505885480633, -0.0286890456997961, -0.297629086007061 , 1.42943256159156 , -0.555769884442877 , 1.25404805858318 , 1.42805104945029 , -0.986871123323136 , -0.126604782387351 , 0.542056647126798 , 0.210796926860397 , 0.688756981152726 , 0.482613294832681 , -1.03025193717168 , 1.48694097764595 , 0.463774294356648 , -0.567045744321104 , 0.0863322026561334 , 0.0874494551136384 , 1.26830368824864 , 0.339369003697389 , -2.1644857209717 , 1.07210823338851 , 0.803519956885334 , 0.0991538098568618 , -1.11380128711962 , -2.82010324435522 , -0.140884775004733 | 0.3695513 |
| 78 | 50 | 0.0 | 0.1 | 0.5 | control , control , control , control , control , control , control , control , control , control , control , control , control , control , control , control , control , control , control , control , control , control , control , control , control , control , control , control , control , control , control , control , control , control , control , control , control , control , control , control , control , control , control , control , control , control , control , control , control , control , intervention , intervention , intervention , intervention , intervention , intervention , intervention , intervention , intervention , intervention , intervention , intervention , intervention , intervention , intervention , intervention , intervention , intervention , intervention , intervention , intervention , intervention , intervention , intervention , intervention , intervention , intervention , intervention , intervention , intervention , intervention , intervention , intervention , intervention , intervention , intervention , intervention , intervention , intervention , intervention , intervention , intervention , intervention , intervention , intervention , intervention , intervention , intervention , intervention , intervention , -0.271531718511903 , -0.245431820714547 , 0.230382350707422 , 0.284434554410154 , 0.308698719654509 , 0.616607241224042 , 0.533046109136787 , -0.0452540140664984 , 0.244967718722627 , 1.42525388259912 , -0.113833258714125 , 0.213311904050193 , -0.0526886550439342 , 0.154286151706046 , 1.39148708606535 , -0.0175663967621112 , -0.901346015901738 , 0.157205707524022 , 0.282565284259271 , 0.577120764621901 , 0.290915079829463 , -0.527965592307349 , -0.0989952187855233 , 0.428667894712058 , 0.456289147816044 , 0.118193591373244 , 0.383347099554636 , -0.0709895478163713 , 0.015744035928415 , -0.0789827987088525 , 0.646992825389419 , -0.09015581776896 , 0.400631712718768 , 0.101640582599053 , -0.589548151270506 , 0.273269138720596 , -0.0804203100922185 , -0.741978713455152 , 0.554312100298217 , 0.969994247970967 , 0.209062487740323 , 1.52249085639153 , 0.364481021877696 , -0.396290517968387 , -0.12537343771723 , 1.19971332620707 , 0.998113295005327 , 0.377885117544242 , 0.107699028119482 , -0.758434866716525 , 1.11074992163239 , -0.123567768077028 , -0.00611731799201255, 0.23765580674295 , 0.465307851596061 , -0.78976668048973 , 0.519995011301619 , -0.117057690100428 , 0.111450137935855 , -0.236822581719279 , -0.0071406017738306 , -0.745645060800004 , 0.485328633316893 , -0.224938757109282 , -0.452833648193838 , 0.829614088169391 , -0.855776745207655 , -0.693469611376705 , -0.457983798948087 , 0.122601724588131 , -0.184720200937382 , 0.250271512858294 , 0.662899459776643 , -0.704777365809641 , 0.722142776069504 , 0.717672702266174 , 0.61528551407729 , 0.817592571566758 , 0.025464977860952 , -0.0325478731031332 , -0.0688502047154671 , -0.510166393517849 , 0.458220911016617 , 0.712001189740171 , 0.252248800518741 , -0.0379200070698656 , -0.233545396379409 , -0.178442291685788 , -0.439739153527857 , 0.0329146098287615 , 0.209385720316935 , -0.862429423207173 , 0.745136068031034 , -0.506512695250682 , -0.405827826558166 , -0.497498769338088 , 0.635455033394203 , -1.21472470306115 , 0.181473023838324 , 0.186014302008593 | 0.0605038 |
| 78 | 50 | 0.0 | 0.1 | 1.0 | control , control , control , control , control , control , control , control , control , control , control , control , control , control , control , control , control , control , control , control , control , control , control , control , control , control , control , control , control , control , control , control , control , control , control , control , control , control , control , control , control , control , control , control , control , control , control , control , control , control , intervention , intervention , intervention , intervention , intervention , intervention , intervention , intervention , intervention , intervention , intervention , intervention , intervention , intervention , intervention , intervention , intervention , intervention , intervention , intervention , intervention , intervention , intervention , intervention , intervention , intervention , intervention , intervention , intervention , intervention , intervention , intervention , intervention , intervention , intervention , intervention , intervention , intervention , intervention , intervention , intervention , intervention , intervention , intervention , intervention , intervention , intervention , intervention , intervention , intervention , 0.242008966052894 , -1.33151274723662 , -0.393605579932705 , 0.986683459229093 , 0.637946014977315 , -0.290605496598007 , 2.99653103303474 , 0.4502910226835 , 0.285872091626598 , 0.537611527184604 , -0.835887367304895 , 0.638982136076315 , 0.178049963307364 , 1.53216404060306 , 1.74882339127746 , 1.79834285912029 , 0.445606830682277 , 1.39254633388175 , 0.760786751017169 , -2.97578995040347 , -1.3507024296467 , 0.24533663725008 , -0.293576701755542 , 0.800544323042144 , -0.349059558796378 , -0.163069720082159 , 0.875424630347521 , -0.435111789282456 , -0.345391003582027 , -1.26723449230542 , -0.158582970398345 , 0.250835918086683 , -0.194893424051149 , 0.336223447850669 , 0.561430661967646 , 1.8292858134614 , 0.0105723915948644 , 1.43214116178271 , -1.72941906381194 , 2.57290019602317 , -1.09829674742215 , -0.951566494293552 , 1.32844387075658 , -0.724091554721611 , -0.823018141281959 , -1.0638570723453 , -1.43479527101737 , -0.875040671840163 , 1.49023384651843 , 0.80530630603275 , 1.05710605149527 , -0.249600800223536 , 0.2891936880632 , -0.820104097608239 , -2.15806207374022 , 1.68448725343805 , -0.362408094207239 , -0.33901528574926 , -1.35204046984172 , 1.33683480704019 , 0.0853223755435594 , -0.0934262163019101 , -0.508723435210472 , -0.427091219226025 , 0.781812246082049 , 0.892864530280359 , -0.399051150290773 , 0.326603633795119 , -1.19930092263613 , -0.659840815608399 , -0.663653404303656 , 1.5132146133216 , -1.23261884959955 , 0.227251403283166 , 0.0238812279592008 , -0.04912361503601 , 1.42037555050808 , 0.0369021234553347 , -0.086533674192572 , 0.628050974314401 , 0.15747359076159 , -2.18297470854909 , 0.819298048134605 , 0.0424152722459927 , 1.68818565870437 , -0.7346196072838 , 1.5100094197901 , -0.00574836350352098, -0.198253226544919 , 0.189514828997501 , 0.973067459356399 , 2.10852008589015 , 0.417166037311215 , 0.276981899660661 , -0.061925799565632 , 0.364683116852228 , -0.966065264653456 , -0.0588904109362892 , -0.835289536907433 , -0.627375997565 | 0.6025384 |
| 78 | 50 | 0.5 | 0.0 | 0.5 | control , control , control , control , control , control , control , control , control , control , control , control , control , control , control , control , control , control , control , control , control , control , control , control , control , control , control , control , control , control , control , control , control , control , control , control , control , control , control , control , control , control , control , control , control , control , control , control , control , control , intervention , intervention , intervention , intervention , intervention , intervention , intervention , intervention , intervention , intervention , intervention , intervention , intervention , intervention , intervention , intervention , intervention , intervention , intervention , intervention , intervention , intervention , intervention , intervention , intervention , intervention , intervention , intervention , intervention , intervention , intervention , intervention , intervention , intervention , intervention , intervention , intervention , intervention , intervention , intervention , intervention , intervention , intervention , intervention , intervention , intervention , intervention , intervention , intervention , intervention , -0.996184293109441 , 0.136711881064732 , -1.07533169658879 , 0.816775703566238 , -0.303429010950841 , -0.13059798986882 , -0.110147179429165 , -0.626061791018574 , 0.503707160577796 , 0.095589324229153 , 0.0483157924849584 , 0.34513794586197 , -0.323143154748973 , 0.579330377550067 , 0.00578192810169372 , -0.205294178256379 , 0.194900512902806 , 1.04293232586005 , 0.62353936442752 , 0.420394727506137 , 0.481720762522443 , 0.249183760283018 , 0.268839073095599 , -0.484632405710483 , -0.287576863025172 , -0.444478093467513 , -0.229193045174129 , 0.271168768985143 , 0.601884389449019 , 0.362646591051753 , 0.880106482369385 , 0.19870165718907 , -0.138112928890489 , 1.28611868470297 , 0.262880223767908 , 0.199447059436782 , -0.107630155044406 , -0.472350160812344 , 0.0892735253264189 , -0.358861904803207 , -0.437404843236613 , 0.260399232831105 , -0.786325105014468 , -1.15536397361296 , 0.290776010908523 , 0.0888580200369753 , 0.404849812004891 , -1.14767615949023 , 0.0213462376918764 , 0.0326210082557696 , 1.51830288293791 , 0.174742757417224 , 1.14954135585775 , -0.00758116298877398, -0.0532542878667652 , 0.907983318668006 , 0.0656801196174496 , 0.31599638459939 , 0.615723050696629 , 0.0378237227966904 , 1.00563402110584 , 0.803290424334938 , 0.595351350736916 , 0.762768209698405 , 0.302872924293753 , 0.340738256216137 , -0.392841773145871 , 0.994555811536706 , 0.218851634494915 , 0.289404039247773 , 0.26333778572971 , 0.426243281273968 , 0.21904345242992 , 0.717161406728757 , 0.130061594061878 , 1.35517464313584 , 0.277487752391095 , 0.821199550320319 , 0.2146156512434 , 0.417414872450382 , 0.904531015148526 , 0.0954525209148964 , 0.179677974993175 , 0.00803140448155892 , -0.0566583489432223 , -0.0963259907378873 , -0.941743731064216 , 1.93593808285533 , -0.956458669556532 , 0.394747680500757 , 0.144425482144718 , 0.926666402185133 , 0.690610025149186 , 0.697911313405994 , -0.39565581132325 , 0.463272215340844 , 0.286224220730915 , 0.152691250881139 , 0.294704466427513 , 0.296482605112536 | 0.0009727 |
| 78 | 50 | 0.5 | 0.0 | 1.0 | control , control , control , control , control , control , control , control , control , control , control , control , control , control , control , control , control , control , control , control , control , control , control , control , control , control , control , control , control , control , control , control , control , control , control , control , control , control , control , control , control , control , control , control , control , control , control , control , control , control , intervention , intervention , intervention , intervention , intervention , intervention , intervention , intervention , intervention , intervention , intervention , intervention , intervention , intervention , intervention , intervention , intervention , intervention , intervention , intervention , intervention , intervention , intervention , intervention , intervention , intervention , intervention , intervention , intervention , intervention , intervention , intervention , intervention , intervention , intervention , intervention , intervention , intervention , intervention , intervention , intervention , intervention , intervention , intervention , intervention , intervention , intervention , intervention , intervention , intervention , -1.7617655344196 , 0.600931681136996 , -1.32082428973552 , -0.454215581527949 , -0.106946790346681 , 0.273011793165077 , -0.184758698289502 , 1.49773670371726 , -1.34623469225219 , 2.16091500947529 , 1.03001915893709 , -1.96703217968042 , -0.70740599059355 , -0.637583248477021 , -1.09295839097506 , -0.46779525332487 , 1.0346169010313 , -0.330382060496992 , 0.00566026437480291, -1.02792369523357 , -0.566084487968546 , -1.73825675793384 , -0.818806288923744 , -0.179434080986298 , 0.0897704859933711 , 0.619946482862381 , 0.142196938680405 , 0.556915097880299 , 0.524610364237207 , 0.0575194657173965 , -1.16938266937464 , 0.264339122130488 , 0.00222574722137572, -1.25698545193192 , 0.95025503226153 , -0.914289230804241 , 0.622422859408843 , 2.24229579741542 , 0.0879089624444798 , -0.132572085149941 , -0.828320717313281 , 1.96419030751713 , 1.22074017705602 , 0.38613120525065 , 0.59866904143652 , -0.309725516549545 , 0.159720335470776 , 0.663778593964915 , 0.327096925893279 , -1.41967747558453 , 1.66858907644528 , 0.488153608269868 , 1.17197657503205 , 0.912995241869217 , 0.946501236857134 , 0.965402246436421 , 0.740756041973264 , 0.082532741142411 , 0.0275179809620219 , 0.444010727108168 , 0.538624520748585 , -0.0331952460443958, 2.16023992777627 , -0.067845860266263 , -1.23731404433042 , 1.07873201769543 , 0.0239838174906278 , 1.06573316588316 , 0.649754523411191 , 0.230076938187596 , -1.13782214936559 , 0.347634974642697 , -0.682176785009155 , 1.96979638672017 , 0.752508224681838 , -1.98166181239156 , -0.109581726546723 , -0.837369091330666 , 1.64041281158928 , -0.550424714654515 , 1.45913027608036 , -0.286648658851435 , 1.28029770475277 , 0.160605514612214 , 0.04766108807496 , 1.63925612767423 , -1.06399060801355 , -0.301477761752359 , -0.672798360843582 , 0.979511032961643 , 0.318828197346994 , 0.00596947875778381, 0.692863058896803 , 0.260995485956226 , 0.361206527382097 , 1.83659288756477 , -0.987511666375963 , 0.434449191958045 , 2.80549832287977 , -0.166085110187354 | 0.0220108 |
| 78 | 50 | 0.5 | 0.1 | 0.5 | control , control , control , control , control , control , control , control , control , control , control , control , control , control , control , control , control , control , control , control , control , control , control , control , control , control , control , control , control , control , control , control , control , control , control , control , control , control , control , control , control , control , control , control , control , control , control , control , control , control , intervention , intervention , intervention , intervention , intervention , intervention , intervention , intervention , intervention , intervention , intervention , intervention , intervention , intervention , intervention , intervention , intervention , intervention , intervention , intervention , intervention , intervention , intervention , intervention , intervention , intervention , intervention , intervention , intervention , intervention , intervention , intervention , intervention , intervention , intervention , intervention , intervention , intervention , intervention , intervention , intervention , intervention , intervention , intervention , intervention , intervention , intervention , intervention , intervention , intervention , 0.327853157158578 , -0.456632533353536 , -0.111970783201642 , 0.100202009248363 , 0.593446579996067 , 0.77359763755915 , 0.189947518150291 , -0.321566218306317 , 0.825810523582011 , 0.631898060333226 , 0.0635540141325416 , -0.31148827823351 , 0.0461040110802244 , -0.922621745416408 , -0.0402252856910864, -0.711730044803511 , -0.224039359641182 , -0.305410836998137 , 0.775721154882037 , -0.874709158609339 , 0.194482943228837 , -0.10806595082989 , 1.14633715603368 , 0.0772632438555978 , 0.827985433571587 , 0.0389801942913099 , -0.201840955871942 , 0.661207433253644 , 0.726448759254153 , 0.667476051907709 , 0.140491851076032 , 0.154017395288289 , -0.017897151022886 , 0.997932002111218 , -0.293056601993085 , -0.458570095286193 , 0.199202945137363 , 0.224087054737416 , -1.04160062450725 , 0.522367564511122 , 0.0515912443462452 , 0.0740738743574936 , -0.555549893596546 , 0.652751332077772 , 0.460073879498341 , 0.898019044304703 , 0.583520002743665 , 0.247884855707838 , -0.125605755196852 , -0.272863408066175 , 0.318423158778631 , 0.392764707592746 , 0.217878735502434 , 0.479555003556134 , -0.203988035204799 , 0.746131628734316 , 0.105823196253085 , 0.946257983168292 , 0.542736209451486 , 1.2718652361554 , 0.849315775277166 , 0.790389481363288 , 0.277281998350297 , 1.65382806611377 , 0.409179277164887 , 0.239998664529593 , 0.723455692640865 , 1.59551630105315 , 0.503395144311176 , 0.829123333586696 , -0.184657697358647 , 1.33339234720853 , 0.322798103534652 , 0.34800433724161 , 0.473443080222485 , -0.159977904757804 , 1.25201242309934 , 0.505240894266689 , 0.733844949692473 , 1.69699331593593 , 0.840302581549084 , 0.753050858387599 , 0.225913035959352 , 0.954946573243609 , -0.0724769350549942, 0.450914227817446 , 1.03924323684928 , 1.1612579648475 , 0.0327033129286917 , 1.29419412968252 , 0.446266017088253 , -0.0747514724235145, 1.53685630923214 , -0.272174061390043 , 0.581778131423956 , 0.381066189915971 , 1.27731004765582 , 0.120796724920973 , 1.58996633480332 , -0.113410594707655 | 0.0000102 |
| 78 | 50 | 0.5 | 0.1 | 1.0 | control , control , control , control , control , control , control , control , control , control , control , control , control , control , control , control , control , control , control , control , control , control , control , control , control , control , control , control , control , control , control , control , control , control , control , control , control , control , control , control , control , control , control , control , control , control , control , control , control , control , intervention , intervention , intervention , intervention , intervention , intervention , intervention , intervention , intervention , intervention , intervention , intervention , intervention , intervention , intervention , intervention , intervention , intervention , intervention , intervention , intervention , intervention , intervention , intervention , intervention , intervention , intervention , intervention , intervention , intervention , intervention , intervention , intervention , intervention , intervention , intervention , intervention , intervention , intervention , intervention , intervention , intervention , intervention , intervention , intervention , intervention , intervention , intervention , intervention , intervention , -0.423876456363569 , 0.160256213301033 , 0.321304261228401 , 1.29534724949324 , -0.84142374903058 , 0.935311529749138 , 0.0362459717177816 , 0.884734555089767 , -0.644844529644916 , -0.577441023551105 , -1.34818281220826 , -0.607454890991587 , 0.0928093753763268 , -0.503403560928283 , -0.441329302541241 , 0.0589628076801701 , 1.05163320925873 , 0.546861301310586 , -0.00644436729823461, -0.127499163501492 , -1.25680882737826 , 1.4006291751753 , -0.113041690196658 , 0.671944899476909 , -0.38008900169043 , -0.79564776770026 , -0.766025707774832 , -0.795112989861965 , 1.00059060904617 , -0.869645045915901 , 0.432549115165808 , 0.756864641983677 , 0.168760658250428 , 0.64923483763481 , -0.123797208070608 , -1.22522365586137 , -0.187942175073702 , -1.12891640345752 , -0.172460937032468 , -0.160736974832832 , 0.865027340565672 , -0.0252440151830313 , -0.425913373069636 , -1.33013908441938 , -0.32175275006871 , -1.14955632510325 , 0.367191346151441 , 0.426661667595949 , 2.43477386495891 , -0.37607217007074 , 1.89097655303453 , 0.444626969207149 , 0.906603188047523 , 0.0558414348553439 , 0.136942037580495 , -0.184616899067591 , -0.304294454316015 , -0.051941981802836 , 0.427691190399762 , 0.900532129232729 , 0.995353066201049 , 1.22368207808121 , -1.61403068984858 , 1.03606241990442 , 1.00036190262334 , -1.36002521156292 , -0.32759091044615 , -0.106346719825855 , 0.233380590148064 , 0.98514315198086 , 1.33749498575994 , 1.84363015389206 , 0.462324425581293 , -1.45694393797795 , 0.207767444834309 , -1.0838501347862 , 0.653408617421325 , 0.66672944880449 , 0.602970096872346 , 0.40781914665084 , -1.23045350867349 , 0.214335791536577 , -0.0476354574317328 , -2.03055626574962 , 1.52453746650577 , 0.216507474054972 , 0.641624647526059 , -0.825371011775104 , 1.22409642822343 , 0.437891627995261 , 1.38745552668519 , 1.75773076080057 , -0.447762459042761 , -0.717375642509068 , 0.747719145300743 , 0.323668850989544 , 1.6711785536796 , 0.48671701035277 , 0.27647680086832 , 1.29133298253642 | 0.0276350 |
| 79 | 20 | 0.0 | 0.0 | 0.5 | control , control , control , control , control , control , control , control , control , control , control , control , control , control , control , control , control , control , control , control , intervention , intervention , intervention , intervention , intervention , intervention , intervention , intervention , intervention , intervention , intervention , intervention , intervention , intervention , intervention , intervention , intervention , intervention , intervention , intervention , 0.626300434704741 , 0.515979412872084 , -0.114781647667634 , 0.453281915197149 , -0.322936498636497 , -0.211684054028838 , -0.216591825717092 , 0.239699907953514 , 0.615432257273376 , -0.0631070131293057, 0.155677428321359 , -0.72843993768318 , 0.806600816130277 , -0.429927962426 , -0.237093510217356 , 0.709391554240673 , -0.223378746541085 , -0.263339663825359 , 0.297006116563997 , -0.0404827664686526, 0.878572122841604 , -0.610468548896887 , -0.403906653634723 , -0.676050710176108 , -0.476580371897443 , 0.112901362088886 , -1.09923985656824 , -0.447081807431884 , 0.0783053038742179 , 0.499460167305924 , -0.153747294742771 , 0.213169912141435 , -0.328210970847734 , -0.0469377204343227, -0.114634923197958 , 0.916232076479092 , 1.00160099911193 , -0.290856161390261 , 0.904621781508487 , 1.34305581740421 | 0.9401076 |
| 79 | 20 | 0.0 | 0.0 | 1.0 | control , control , control , control , control , control , control , control , control , control , control , control , control , control , control , control , control , control , control , control , intervention , intervention , intervention , intervention , intervention , intervention , intervention , intervention , intervention , intervention , intervention , intervention , intervention , intervention , intervention , intervention , intervention , intervention , intervention , intervention , 0.197790697777296 , 0.502928038209727 , 0.924445070856675 , -0.275236243844492 , -0.924907054981653 , -0.8330147385098 , -1.11878513798271 , 0.474512713503233 , 0.366373560586927 , 0.030382552819365 , 0.719847335010459 , -0.00633276214808438, -1.69502874170004 , 1.72835692562324 , 1.25774195524753 , -1.06357566543671 , -0.867436245520436 , 0.63210815668394 , -0.472980483509614 , 0.734913561415168 , -0.769550614746331 , 0.429721352348775 , -1.40545541878945 , 0.258181691507708 , -0.260361964225138 , 0.906092054229274 , -1.12197491539198 , 0.807738237811557 , 0.561166362803708 , 1.16718410868206 , -1.05035584432242 , -0.113484054865783 , 0.151547927284441 , -0.700564835117385 , 0.872435839617521 , 0.168312383181192 , 2.34376046630256 , -0.0686859827535289 , -0.74344750211947 , 0.377120979097927 | 0.7950752 |
| 79 | 20 | 0.0 | 0.1 | 0.5 | control , control , control , control , control , control , control , control , control , control , control , control , control , control , control , control , control , control , control , control , intervention , intervention , intervention , intervention , intervention , intervention , intervention , intervention , intervention , intervention , intervention , intervention , intervention , intervention , intervention , intervention , intervention , intervention , intervention , intervention , 0.759531259781594 , 0.0439217245296437 , 0.0373239102673905 , 1.42057887318238 , 0.718596819203375 , 0.250954620667025 , -0.434372015352994 , 0.0736678249764838 , 0.54643461651595 , -0.604255180532661 , 0.447067013547658 , 0.202327497323058 , 0.250272761535657 , 0.219372248250706 , 0.0373963526450605 , 0.860319038390313 , -0.305882199223094 , 0.299660718002985 , 0.567635885862608 , 0.490332032258249 , -0.412070847857696 , 0.29595361940281 , -0.0510124977258597, -0.675273689534203 , 1.13927531169797 , -0.428934415774529 , -0.647507916161595 , -0.4540467332692 , 0.292268811829495 , 0.462450128675132 , -0.331683763476126 , -0.403491972705815 , 0.789662659482214 , 0.113069438222612 , 0.653838869316466 , -0.493952457407265 , -0.0218302363344527, -0.0110099331903469, -0.0626192618666732, 0.883539047323827 | 0.1074820 |
| 79 | 20 | 0.0 | 0.1 | 1.0 | control , control , control , control , control , control , control , control , control , control , control , control , control , control , control , control , control , control , control , control , intervention , intervention , intervention , intervention , intervention , intervention , intervention , intervention , intervention , intervention , intervention , intervention , intervention , intervention , intervention , intervention , intervention , intervention , intervention , intervention , -0.00195374140771179, -1.30498369467596 , -0.0955121002199645 , 1.57215679447214 , -0.793413648372537 , -0.469758090717174 , 0.689672710916688 , -0.0979134130632929 , -0.647134629648389 , -0.829008032834721 , 0.883198289145614 , 0.227151586016402 , 0.325666874842099 , 0.40996250748263 , 1.81735444150251 , -0.180682701159054 , 0.0204005521116335 , 0.023114489796935 , -0.105639522464781 , -0.656802488116657 , -0.717779077505431 , -0.117410997518542 , 0.317479315624211 , -0.58646438338743 , -0.557208479913617 , -1.97799763726817 , -0.157242837093448 , -0.648432328784703 , 0.727766165673449 , 1.03491342513302 , 0.62116316811913 , 2.17661154278245 , 0.0874487898628479 , -0.744543889357228 , 1.19232818417523 , -1.02103702234554 , 1.08471399952181 , -0.28256032302612 , 0.504103891752817 , 0.425428765151775 | 0.9168422 |
| 79 | 20 | 0.5 | 0.0 | 0.5 | control , control , control , control , control , control , control , control , control , control , control , control , control , control , control , control , control , control , control , control , intervention , intervention , intervention , intervention , intervention , intervention , intervention , intervention , intervention , intervention , intervention , intervention , intervention , intervention , intervention , intervention , intervention , intervention , intervention , intervention , 0.523071887345315 , -0.290684856165522 , -0.0080236006042241, 0.344906046608423 , -0.0520019443433596, -0.786946621933797 , 0.106009906745568 , -0.393576721888159 , 0.458089167467515 , 0.276402441649229 , 0.123792639868118 , 0.402614668117945 , 0.202947580206787 , -0.0049787362314256, -0.0174737788020623, -0.0402106485762308, -0.353386069207725 , -0.762709841295328 , -0.0659146000093703, 0.295448819449297 , 0.133775523021237 , -0.448452491692529 , 0.279044637779261 , -0.163104789981676 , 0.730315249814754 , 0.314520007363525 , 1.11331363282289 , 0.259439031063753 , 0.665296604853907 , 0.262661418758897 , 0.853134416140225 , 0.352321428583725 , 0.10996160627642 , 0.0793184332819368 , -0.145528935029952 , 0.329066198076181 , 0.260988938290463 , 1.07600656849435 , 0.439727335976397 , 0.265473152754415 | 0.0076100 |
| 79 | 20 | 0.5 | 0.0 | 1.0 | control , control , control , control , control , control , control , control , control , control , control , control , control , control , control , control , control , control , control , control , intervention , intervention , intervention , intervention , intervention , intervention , intervention , intervention , intervention , intervention , intervention , intervention , intervention , intervention , intervention , intervention , intervention , intervention , intervention , intervention , -0.0859171981568062, 0.311587304323386 , 0.56280956919649 , -1.08311915295955 , 0.710266050186757 , -0.634433588799507 , -1.20655377382825 , -0.294860869033956 , -0.795889058654229 , 0.10729928225089 , -0.583285356900092 , 2.14893175830984 , -0.280108022159184 , 0.71433789612412 , -0.353270141305651 , -0.256117194722175 , 0.289765809892338 , 0.752984667141617 , -0.807682437194397 , -0.6448994267958 , 0.138754801877377 , -1.77491175025664 , -0.97955419794347 , 0.340375663416678 , 2.36055314184333 , -0.692423200877797 , 2.99814872541768 , 0.970198419636669 , 2.61990296156052 , 1.9505004510122 , 2.64312963467392 , 1.65510000668567 , 0.66018826845161 , -2.25691745436382 , 1.94175543289725 , 1.49794463316517 , 0.884978315468132 , 2.34200235373662 , -0.405044049034615 , -0.172421608229269 | 0.0240888 |
| 79 | 20 | 0.5 | 0.1 | 0.5 | control , control , control , control , control , control , control , control , control , control , control , control , control , control , control , control , control , control , control , control , intervention , intervention , intervention , intervention , intervention , intervention , intervention , intervention , intervention , intervention , intervention , intervention , intervention , intervention , intervention , intervention , intervention , intervention , intervention , intervention , 0.700722744230532 , 0.587227007951988 , 0.674151325116354 , -0.180596752444114 , 0.829563989722948 , 0.030695112581382 , -1.14427751530294 , -0.554793169619492 , 1.16373093163004 , 0.192534165393517 , 0.0374843334808693 , -0.237679446205989 , -0.0910206433591736, 0.0906395328750084 , 0.0156245665096963 , 0.0117546558753787 , 0.325182294539076 , 0.254510056071063 , 0.59240147319966 , 0.211711494383319 , 0.871604685544145 , 0.445784344441033 , -0.164403481819753 , 0.397905648586931 , 0.677227593463067 , 0.760195701611501 , 0.739923019059066 , 0.81508763683457 , 0.443161882719628 , 0.297139979874084 , 1.5592357011801 , 0.337306213845593 , 0.608379896593557 , 0.197414594700468 , 0.273671866373504 , 1.6029908288383 , 0.608744201223424 , -0.0547417140426109, 0.761840340331101 , -0.0211937779683405 | 0.0177867 |
| 79 | 20 | 0.5 | 0.1 | 1.0 | control , control , control , control , control , control , control , control , control , control , control , control , control , control , control , control , control , control , control , control , intervention , intervention , intervention , intervention , intervention , intervention , intervention , intervention , intervention , intervention , intervention , intervention , intervention , intervention , intervention , intervention , intervention , intervention , intervention , intervention , -0.207880861732266 , -1.21797957333767 , 1.96450452714578 , -0.125555217421963 , 1.2423083093185 , 0.00736470292298372, 1.30696979045712 , 0.276800510504977 , 1.45455976640365 , -0.782577006205943 , 0.83918870389085 , 0.129124253973784 , 0.746960854441232 , 0.450028437962888 , 2.11534888143888 , 0.286673915443482 , -0.877181680309964 , 0.456260724964829 , 0.186196697774081 , 0.502880356991482 , 0.97490244075875 , 2.13879752073477 , 0.292365905237079 , 1.29709928843951 , 0.205189487898876 , 0.304277170373697 , 0.120884384436191 , 0.716089695639082 , 1.49363719080391 , 0.271925962178801 , -2.25779887445758 , 1.10752570395318 , -1.06574419151673 , -1.86301343200113 , 1.77901170858424 , 0.179202973453086 , 0.930108368917944 , -0.247943696682093 , 0.657964026619897 , -2.23608483479032 | 0.5668164 |
| 79 | 50 | 0.0 | 0.0 | 0.5 | control , control , control , control , control , control , control , control , control , control , control , control , control , control , control , control , control , control , control , control , control , control , control , control , control , control , control , control , control , control , control , control , control , control , control , control , control , control , control , control , control , control , control , control , control , control , control , control , control , control , intervention , intervention , intervention , intervention , intervention , intervention , intervention , intervention , intervention , intervention , intervention , intervention , intervention , intervention , intervention , intervention , intervention , intervention , intervention , intervention , intervention , intervention , intervention , intervention , intervention , intervention , intervention , intervention , intervention , intervention , intervention , intervention , intervention , intervention , intervention , intervention , intervention , intervention , intervention , intervention , intervention , intervention , intervention , intervention , intervention , intervention , intervention , intervention , intervention , intervention , 0.362532206613549 , 0.145393010792829 , 0.219091720171833 , 0.378925023409915 , -0.0912133072895648, -0.49245865489638 , 0.609057238098568 , -0.31125194453408 , 0.540646857479769 , 0.867039008339783 , -1.10501229617015 , -0.0587746792174285, 0.727802589776386 , -0.552509242324985 , -0.11315844462074 , -0.0120025936353666, 0.232588465894694 , -0.0321673817331038, -0.176036001443821 , -0.806503958863244 , 0.896025410980392 , -0.915685647595353 , -0.406882052303657 , -0.756011477394368 , -0.0530086168168509, -0.395561786404568 , -0.727691785505105 , -0.969587718791948 , -0.327874238568922 , -0.293381294012617 , -0.104734539326299 , 0.0933891165678165 , 0.30432537879296 , -0.604325826895905 , 0.0653235452640617 , -0.0948116965836783, -0.0933847739397787, 0.429479485376825 , 0.428677015802118 , -0.606366847065699 , -0.0481804367174083, -0.459352074166327 , -0.431780763850552 , 0.465703266397316 , -0.456557241743262 , -0.412544472196885 , 0.00832660331431017, 0.179670908933794 , 0.320553554803232 , 0.741050050740622 , 0.360259431535297 , -1.19656997892484 , -0.0754137915264902, -0.481779705201687 , 0.314699243538103 , 0.539062956128225 , 0.205588666416395 , -0.0889256987763281, 0.522939645170276 , 0.0995238324577125 , 0.792133928293497 , 0.350516532825299 , 0.0548917278001819 , 0.750153001241388 , -0.189311559994487 , 0.261031752999164 , 0.30507066448692 , -1.13709191552596 , 0.144793050160958 , -0.0434455359449117, -0.173034018272993 , -0.507802806241649 , -0.997888086295875 , 0.227313085624363 , 0.207634829123849 , -0.441942776587184 , 0.270964642124912 , 0.0663747828554952 , 0.507144915592859 , 0.290961367460889 , 0.428924884397875 , 0.194256717334871 , 0.174557745730759 , 0.26143177985049 , 0.0966513376171737 , -0.319297584247391 , 0.755995822774871 , -0.990247885508792 , -0.0830965647621199, 0.309825767951698 , 0.304394521535716 , 0.203404638940606 , -1.03227120852667 , 0.278806915187046 , -0.303752939949194 , 0.519153291589362 , -1.67264082214165 , -0.288833576552388 , 0.702303720753227 , -0.351783383157594 | 0.4397251 |
| 79 | 50 | 0.0 | 0.0 | 1.0 | control , control , control , control , control , control , control , control , control , control , control , control , control , control , control , control , control , control , control , control , control , control , control , control , control , control , control , control , control , control , control , control , control , control , control , control , control , control , control , control , control , control , control , control , control , control , control , control , control , control , intervention , intervention , intervention , intervention , intervention , intervention , intervention , intervention , intervention , intervention , intervention , intervention , intervention , intervention , intervention , intervention , intervention , intervention , intervention , intervention , intervention , intervention , intervention , intervention , intervention , intervention , intervention , intervention , intervention , intervention , intervention , intervention , intervention , intervention , intervention , intervention , intervention , intervention , intervention , intervention , intervention , intervention , intervention , intervention , intervention , intervention , intervention , intervention , intervention , intervention , 1.53292125664806 , -2.27802368316949 , -2.15647385891168 , 0.187678073404153 , -1.09207785485215 , -1.47519789223492 , -0.306901228913654 , 0.0597224369666338 , -0.181748613106305 , 1.57346488982171 , -0.724128544393135 , -0.114036319116073 , -0.363101659352621 , 0.515751400208337 , -2.50681512411042 , -2.24158090186377 , 0.119032496939744 , 1.80686537956577 , 1.12622780080019 , -0.048217465728441 , 0.754067001529873 , -0.816117575289221 , 0.886903831762213 , 1.69937595395372 , 0.12695448518379 , -1.00497524191639 , -0.107265030514752 , 0.264809945193232 , -0.411626359280627 , 1.06171210839262 , -1.74941654760255 , -0.169017079708037 , -0.175071778405324 , 0.0487472030906 , 1.28881796798763 , -1.21522295789092 , 1.54534360330973 , 1.39152238798746 , -0.367262141435899 , 2.12857547214924 , -0.523324386921727 , -0.429036892031157 , 0.59600118604937 , -1.48427446881043 , -0.194786502832772 , 0.340067836557075 , 0.17253686012136 , 1.03706379624922 , -0.0644812001121199, 0.537310264707446 , -0.529079478670149 , 0.588115719470054 , -0.551212262942693 , -0.64404820854089 , -0.135255339848213 , -3.63866863127184 , -0.38747651278314 , -0.663678745340329 , 0.683967065195279 , -0.669252427075663 , 0.174970506575082 , 2.00482524852451 , -0.357312153060599 , -1.22528682214809 , -0.484719907169832 , -0.614067241978244 , -0.834779599517083 , -1.19784593103088 , -0.0985205896863347, 1.66481505766388 , -0.179875001135705 , 0.733719809061915 , 0.828647860212109 , -0.945215990823393 , 0.633624352528976 , 2.38519620730837 , -1.12561006519776 , 0.0221678405756387 , 0.0580248550057566 , 0.440500022588356 , -1.47941159096389 , -1.63175647162685 , 1.01284635609384 , 0.226147714153678 , 0.148311750676622 , 0.723441411770762 , -1.3264007378121 , -1.11596259519923 , -0.566556279571803 , -1.45712606471455 , -1.25748926739819 , 0.601026254688809 , 0.258834860641585 , 0.03875286354987 , 0.147209042460386 , 2.93972715063753 , -2.10049983789347 , 0.12333960811617 , 1.03471675762357 , -1.99776579260571 | 0.4693422 |
| 79 | 50 | 0.0 | 0.1 | 0.5 | control , control , control , control , control , control , control , control , control , control , control , control , control , control , control , control , control , control , control , control , control , control , control , control , control , control , control , control , control , control , control , control , control , control , control , control , control , control , control , control , control , control , control , control , control , control , control , control , control , control , intervention , intervention , intervention , intervention , intervention , intervention , intervention , intervention , intervention , intervention , intervention , intervention , intervention , intervention , intervention , intervention , intervention , intervention , intervention , intervention , intervention , intervention , intervention , intervention , intervention , intervention , intervention , intervention , intervention , intervention , intervention , intervention , intervention , intervention , intervention , intervention , intervention , intervention , intervention , intervention , intervention , intervention , intervention , intervention , intervention , intervention , intervention , intervention , intervention , intervention , -0.32525821250008 , 0.0296287610718655 , 0.972006243961012 , -0.514749279254709 , 0.154465646330258 , 0.648709758022684 , 0.222310462069536 , 0.500008161068921 , -0.297375464689725 , -0.51859512865997 , -0.501629420810002 , -0.276895836382552 , 0.109918135858738 , 0.401003122307594 , 0.0995817430724391 , 0.547452307430324 , 0.628094706724 , 0.266244298299399 , -0.435305367016102 , 0.506001708663456 , 0.0257532371153097 , -0.56532286064963 , 0.289354199360818 , -0.165513313453502 , -0.233356710685923 , 0.795739234575042 , -0.0990936425747832, -0.27781724635445 , 0.204352069565604 , -0.130220773657376 , 0.062456686487672 , -0.225644008388908 , 1.17625203776734 , 1.03285909040888 , 0.84280668639564 , -0.226557985389053 , 1.18528232393403 , 0.160676341512852 , -1.15753284724152 , -0.228827482643349 , 0.404182434911553 , -0.225809635190325 , 0.720708213499832 , 0.1135885260236 , -0.84851482036702 , -0.4613799444143 , 0.657976025402247 , 0.470534067881153 , 0.188013788635138 , 1.06631694674068 , 0.0647683457532836 , -0.19586257435496 , 0.0409727343315195 , -1.1177360259528 , 0.553880140971872 , -0.0966205462504497, -0.706287513785264 , 0.315426556793399 , 0.646105801514951 , 0.067893691541673 , 0.225951361796536 , -0.996326779525087 , -0.0558447401639335, -0.933106649190637 , -0.046015270333656 , 0.433763100857816 , 0.163087343336128 , 0.098329327077343 , 0.187346835140803 , -0.396097468064011 , 0.133219824113625 , -0.416449670014136 , 0.0553080520352949 , 0.323661026862999 , 0.257280674765023 , 0.0778878457025117 , 0.123246073617036 , -0.531422551891686 , 0.68544748674889 , 0.290045890587564 , 0.194331352166863 , 0.110767306070984 , 0.368249666365558 , 0.184245205463752 , -0.103153568685664 , -0.774119646252566 , -0.908078844531286 , 0.642529049611413 , -0.465605630460259 , -0.546356099679372 , 0.894661945046616 , 0.424539858323303 , -0.225638771950226 , -0.369187990816564 , -0.367957062658424 , 0.176312512186744 , 0.602605807048861 , 0.264593231453191 , 0.0926627547911416 , 0.513360683255047 | 0.1799981 |
| 79 | 50 | 0.0 | 0.1 | 1.0 | control , control , control , control , control , control , control , control , control , control , control , control , control , control , control , control , control , control , control , control , control , control , control , control , control , control , control , control , control , control , control , control , control , control , control , control , control , control , control , control , control , control , control , control , control , control , control , control , control , control , intervention , intervention , intervention , intervention , intervention , intervention , intervention , intervention , intervention , intervention , intervention , intervention , intervention , intervention , intervention , intervention , intervention , intervention , intervention , intervention , intervention , intervention , intervention , intervention , intervention , intervention , intervention , intervention , intervention , intervention , intervention , intervention , intervention , intervention , intervention , intervention , intervention , intervention , intervention , intervention , intervention , intervention , intervention , intervention , intervention , intervention , intervention , intervention , intervention , intervention , 1.03536823177438 , 0.24900345568981 , 1.21126004418517 , 1.19155250248417 , 0.514558310869902 , -0.180219292310845 , 2.09523508413318 , 0.536389202659668 , 1.10925094155999 , -0.522367998772868 , 0.528333286314441 , 2.36068428504887 , 0.330116018403506 , 0.536308244033333 , -1.44081621890743 , 1.29080281421305 , 0.00869944056365844, 0.0794164144520054 , 2.09550823022353 , -0.479295386178177 , 0.274020280736998 , -0.486300559553511 , 0.879988158467631 , 0.807706561690049 , 0.52005712774007 , 0.459018052758696 , -0.54175455893747 , 1.2223685018302 , 0.904173744138607 , 0.49386732035995 , 0.538551179139594 , 0.00581571964615202, 0.74472782798301 , 1.96274368143641 , 0.177706388795329 , -0.865325155499108 , -0.602859628537883 , -0.218632707125996 , -1.34581944579409 , -2.57967698844128 , 1.46820137028263 , -0.264781352332583 , 0.0888607692235847 , 0.665892742703339 , -0.187645668762797 , -0.32193973190862 , 0.0846111832977218 , -1.10309769328812 , -0.570090350625495 , -0.630575718661567 , 0.435464971785793 , 0.166219024093581 , -0.841200226793411 , -0.296870217317939 , 0.933329911804443 , -0.553113714458526 , 0.204509572047921 , -0.131287808615519 , 1.0167242389462 , 1.2607824178904 , 0.958950492095212 , -0.17918002387508 , -0.262380985456825 , -1.54310342220117 , 0.396480506617474 , 2.95411481431813 , -0.911161291591997 , -0.881597133485698 , 0.360846006042492 , 1.41887668725923 , -1.40065228819537 , 1.97977271685951 , 0.346350253096953 , -1.02045443433865 , 0.0200416071643483 , -1.40813628850491 , -0.0737310493239028, 1.08662033817644 , 0.899756506866069 , 0.403167367360512 , 0.1252996710691 , -0.145664255811904 , 0.390272925679925 , -0.77040406124802 , -0.621995597917023 , 0.796810814366067 , 0.91401108725859 , 1.65036541524718 , 0.956637375845172 , 0.507126224420954 , 1.11806290604237 , -0.59660758179433 , 0.465161754460887 , -1.7201569934245 , 0.798108162623029 , -0.200285603805845 , -2.83847176482866 , -0.548614558932471 , -1.5600219605084 , 0.476496981461934 | 0.3445668 |
| 79 | 50 | 0.5 | 0.0 | 0.5 | control , control , control , control , control , control , control , control , control , control , control , control , control , control , control , control , control , control , control , control , control , control , control , control , control , control , control , control , control , control , control , control , control , control , control , control , control , control , control , control , control , control , control , control , control , control , control , control , control , control , intervention , intervention , intervention , intervention , intervention , intervention , intervention , intervention , intervention , intervention , intervention , intervention , intervention , intervention , intervention , intervention , intervention , intervention , intervention , intervention , intervention , intervention , intervention , intervention , intervention , intervention , intervention , intervention , intervention , intervention , intervention , intervention , intervention , intervention , intervention , intervention , intervention , intervention , intervention , intervention , intervention , intervention , intervention , intervention , intervention , intervention , intervention , intervention , intervention , intervention , -1.0447367987671 , -0.211818210167908 , 0.65823179233804 , 1.00571034250203 , -0.155673446370523 , -0.274497507105504 , -0.0134742209845477, 0.707415774749402 , 0.193386551529223 , -0.797594355455688 , 1.31763656363239 , -0.0897891512629723, -0.428083894878257 , -0.0949313167331289, -0.451078861192519 , 0.0274397468272864 , -0.0365631257416514, -0.376444020132637 , -0.272523644750863 , 0.643902444187283 , 0.496343621242476 , -0.473157655311429 , 0.118590349070878 , 0.596057312868533 , 1.13110909931534 , -0.465486332545291 , 0.784179979525172 , 0.190785999726953 , -0.200672784573232 , 0.60269450008357 , -0.136176323095531 , -0.561511369333771 , 0.495165434817696 , -0.126020629677782 , -0.171468884524832 , -0.722072896793444 , 0.605508366886736 , 1.13145216520434 , -0.0634468980955548, 0.19305895413011 , 0.379990427134321 , 0.31435568390574 , 0.399292045849565 , 0.561152122798031 , -0.174432748355603 , -0.86739896866648 , -0.253129701245156 , 0.432492956259652 , -0.487773712696709 , 0.161043224284841 , 1.10977591139617 , 0.190070447951065 , 0.356852047156854 , 0.837367101073895 , 0.107464929595926 , 0.297559995475806 , 0.34582680023391 , 1.05232574855701 , 0.996827498625637 , 0.0586445216028499 , 0.626663954416141 , 1.14898824386909 , 0.475642906327678 , 0.00133722056518099, 0.21957494486087 , 0.612679744696388 , -0.34818477635404 , 0.249750543707111 , 0.846288123497034 , 0.482788989310507 , 0.663544881513064 , 0.768276644857037 , 0.920162337353912 , 0.249719536934333 , 0.677044756043168 , -0.311613234239274 , 0.418658645136867 , -0.0491957236336886, 0.120255351292111 , 0.399834992004304 , 1.16694391566385 , -0.49009818692697 , -0.0212207291881059, -0.229363185085569 , -0.643017967516782 , 0.786763954451486 , 1.33549734156982 , 0.649457693091788 , 0.182486609759734 , 0.212290813098421 , 0.309336079889585 , -0.71973752648458 , 0.580872234494501 , 0.176959591097813 , 1.23976938520773 , -0.1148363128221 , 0.148669454713679 , 1.27289137377102 , 0.177893030483556 , 1.02273840740268 | 0.0023989 |
| 79 | 50 | 0.5 | 0.0 | 1.0 | control , control , control , control , control , control , control , control , control , control , control , control , control , control , control , control , control , control , control , control , control , control , control , control , control , control , control , control , control , control , control , control , control , control , control , control , control , control , control , control , control , control , control , control , control , control , control , control , control , control , intervention , intervention , intervention , intervention , intervention , intervention , intervention , intervention , intervention , intervention , intervention , intervention , intervention , intervention , intervention , intervention , intervention , intervention , intervention , intervention , intervention , intervention , intervention , intervention , intervention , intervention , intervention , intervention , intervention , intervention , intervention , intervention , intervention , intervention , intervention , intervention , intervention , intervention , intervention , intervention , intervention , intervention , intervention , intervention , intervention , intervention , intervention , intervention , intervention , intervention , 0.440814216349939 , -0.447537770607659 , 0.325272775440846 , 0.455296664686649 , 1.302409309716 , -0.484699287259534 , 1.26904665234237 , -1.24539130775087 , -0.753187146531739 , -0.343474174373979 , 0.477079390865482 , -1.9646359346086 , 1.37922383844882 , 0.145294842375095 , 0.486523553907103 , 0.0172443041891094 , 1.41724215958756 , 0.975369557946034 , -1.58320952699051 , 1.75296388640217 , 0.746478309883445 , -0.250153804339937 , -0.630096438145945 , -0.739029621197664 , -0.293802913913491 , 0.231905177618555 , 2.01206000449315 , -0.762943191040539 , 0.521936576419573 , 0.780745431822117 , 0.566277694635059 , 1.78555403698765 , -2.24184641308378 , 0.00185764705682297, -0.662354898882437 , 0.185848579386149 , -0.669048350193748 , -2.36161240497107 , -0.527988925432318 , -1.67050066972217 , -0.211189507239093 , 1.72523768247765 , -0.827456980275403 , -0.493068519601019 , 0.0203593999354504 , 2.15213297715592 , 0.255248998765437 , -1.14565318035368 , 0.775595143909783 , -0.94457981822658 , -0.0168696710011039, 0.0563467102638214 , 1.36653456800174 , 0.783995158389322 , 1.12882729503489 , 0.822611388057659 , -0.692290965249447 , 1.98785144632242 , 2.85872120631005 , 0.303928529786731 , 0.440144496639983 , 0.986751381550975 , 0.658090667198171 , -0.749145644809101 , 1.55602956968322 , -0.291835721220433 , -0.101877726768961 , 1.16400960274486 , 0.932506907143306 , 2.03716226405717 , -0.532180763380641 , -0.140252925093941 , -0.204755967575808 , 0.379001907127092 , 1.02053366363295 , 1.39922506969911 , 1.55018042072431 , -0.0677919652781059, 0.111023832829237 , 1.72384277682057 , 1.24129683174524 , -0.278922008112672 , 1.77098790133085 , 1.13185611943665 , 1.85375417399991 , 0.130139291074493 , 1.84658859470579 , 0.67889995629693 , 0.759451744257725 , -0.719102064103694 , -0.221554112745914 , 0.646850472784944 , -1.51744332705437 , 0.254512137630471 , -0.02561311587737 , 0.583269539064874 , -0.508229439248661 , -0.788028753170109 , -0.873495160437607 , 0.516855421471177 | 0.0115916 |
| 79 | 50 | 0.5 | 0.1 | 0.5 | control , control , control , control , control , control , control , control , control , control , control , control , control , control , control , control , control , control , control , control , control , control , control , control , control , control , control , control , control , control , control , control , control , control , control , control , control , control , control , control , control , control , control , control , control , control , control , control , control , control , intervention , intervention , intervention , intervention , intervention , intervention , intervention , intervention , intervention , intervention , intervention , intervention , intervention , intervention , intervention , intervention , intervention , intervention , intervention , intervention , intervention , intervention , intervention , intervention , intervention , intervention , intervention , intervention , intervention , intervention , intervention , intervention , intervention , intervention , intervention , intervention , intervention , intervention , intervention , intervention , intervention , intervention , intervention , intervention , intervention , intervention , intervention , intervention , intervention , intervention , 0.820583286350889 , -0.513874321672169 , 0.688803241433676 , -0.0654779276013922, -0.141349212324943 , 0.381942252820781 , 0.656275112047814 , 0.0275644585988571 , 0.185347304640813 , 0.684427639468407 , -0.212220630894788 , 0.530423664042997 , 0.349300520503455 , 0.283134398255218 , -0.293043137040835 , -0.342385311109688 , -0.448389938100968 , 0.512663476780744 , -0.309363755648431 , -1.15078809772009 , -0.178135595508204 , -0.714227240022224 , 0.708092431188497 , -0.775068724014454 , -0.507145565873091 , -0.0183823967620721, -0.0358923188227367, 0.0406636100294714 , -0.571842170882469 , 0.790977563580916 , -0.181097110045603 , -0.228304177018436 , -1.03993603500564 , 0.284013102956754 , -0.757187601444159 , -0.268506200057264 , -0.22713084501011 , -0.799258314588864 , 0.39664569000854 , 0.45254298978429 , 0.952538008404563 , 0.508342368069365 , -1.04454304502353 , 0.848876378568563 , 0.212778609731418 , -0.14697454509828 , 0.176067748200291 , -0.120685002279791 , 0.231653932188827 , 0.274669358038104 , 0.836953721467519 , 0.259943267329293 , -0.192699394593107 , 1.00853860298703 , 0.769533970504571 , -0.357617642782269 , 0.439418013082497 , -0.064261343023507 , -0.685754501530582 , 0.256914184642163 , 1.37623630510411 , 0.675461414355207 , -0.500592922705559 , 0.428445101093284 , -0.0706786341639627, 0.439342430296341 , 0.629463006974588 , -0.143569030315919 , 0.679113910993033 , 0.0971460616208527 , 0.425456524264753 , 0.426679796707739 , 0.469570413507707 , 0.464105685399331 , 0.257138739049753 , 1.00020823571435 , 0.509180104606759 , 0.16944150177603 , 0.698785698006993 , -0.644320236059934 , -0.490203410715651 , 0.491577070388923 , -0.437267131372731 , 0.707229195840665 , 0.266948617091248 , 0.301855674197464 , -0.172961631356239 , 0.507363563867313 , 1.22635872750794 , 0.641722205940795 , 1.15551098466199 , 0.105474083566501 , -0.1243404016363 , 0.546999549133704 , 1.09446320352876 , -0.68949457151496 , 0.963705470056404 , 0.487646344862383 , 1.07407794936074 , 0.818397666866637 | 0.0008799 |
| 79 | 50 | 0.5 | 0.1 | 1.0 | control , control , control , control , control , control , control , control , control , control , control , control , control , control , control , control , control , control , control , control , control , control , control , control , control , control , control , control , control , control , control , control , control , control , control , control , control , control , control , control , control , control , control , control , control , control , control , control , control , control , intervention , intervention , intervention , intervention , intervention , intervention , intervention , intervention , intervention , intervention , intervention , intervention , intervention , intervention , intervention , intervention , intervention , intervention , intervention , intervention , intervention , intervention , intervention , intervention , intervention , intervention , intervention , intervention , intervention , intervention , intervention , intervention , intervention , intervention , intervention , intervention , intervention , intervention , intervention , intervention , intervention , intervention , intervention , intervention , intervention , intervention , intervention , intervention , intervention , intervention , 0.645594345277409 , -0.81510354541476 , -0.511096295443687 , -0.531626455257899 , -0.0971762588740219, 0.00816218986502959, -0.845112585918154 , -1.08144151875964 , 0.470550897217065 , 0.261019455424594 , -0.601136610912656 , -0.490611642981935 , -2.12277257329675 , -0.815964276212779 , 0.628551506746638 , 0.326494957065925 , 0.381598461554327 , 0.843900426766342 , -0.548156555194255 , 0.900037489284537 , 1.15257629971127 , 0.213350634843205 , -0.906171245316969 , 0.583590219734488 , 1.12080007318183 , -1.47851589372497 , 1.92610712171425 , 2.12533394883406 , -0.263167999560745 , 1.11618751091276 , 1.75652964581425 , -0.125241987485584 , -0.4694520648277 , 0.062745220006453 , 0.286247151955293 , -0.338928873382725 , 3.40643307600766 , -0.254414113874525 , 0.339927907989944 , -0.725693876198461 , 0.678206054356262 , -0.321344949021004 , -0.75376553040035 , 0.425149466214246 , 2.043996776059 , 0.660105242183644 , -0.217376469730807 , 1.34810371811389 , -0.106008966760063 , -2.15671280700568 , 0.282363054558681 , 0.961165931091673 , 1.36992675278996 , 0.919219251334021 , -0.0297240469194128, 0.278990185874465 , 1.23144512571532 , 1.95270928351432 , -0.453285915157011 , 0.870609981432521 , -1.5100998234487 , -0.315486154335935 , 0.410594351762613 , 0.11238890930229 , 0.935739101044975 , 0.347629572212202 , -0.709134063234456 , -0.136582763989694 , 1.12033542687992 , 0.182327635464884 , -0.113572294715438 , 2.56273049076005 , 0.215315001799498 , 0.921534309463086 , 0.903099902929388 , 1.37502979806677 , 0.807299096360651 , 0.256023375745989 , 1.27731069951074 , -0.712973491028235 , -1.25134016871955 , 1.52792094049582 , 0.174875566347254 , 0.82008335962368 , 1.27585109599247 , 0.586098967547355 , 2.03812618331681 , -2.25709346239513 , 0.283938143053895 , -0.363178613923068 , 0.373710573939026 , 0.572464532811815 , 0.471485384588068 , 0.133464561261334 , -1.01975133926098 , 2.45210866358131 , 0.737837338102611 , 0.881936750689981 , 1.60827876017556 , 0.879528237626117 | 0.0748442 |
| 80 | 20 | 0.0 | 0.0 | 0.5 | control , control , control , control , control , control , control , control , control , control , control , control , control , control , control , control , control , control , control , control , intervention , intervention , intervention , intervention , intervention , intervention , intervention , intervention , intervention , intervention , intervention , intervention , intervention , intervention , intervention , intervention , intervention , intervention , intervention , intervention , 0.643743316371005 , 0.920703831929107 , -0.190634669454818 , 0.610967920533793 , 0.187994046008341 , 0.489541250513056 , -0.161012466012138 , 0.293703152177075 , -0.25557713236925 , 1.23073754015605 , 0.284369239593744 , -0.739627172067702 , 0.113230397162621 , -0.264232962920699 , -0.728516922751338 , -0.290171288066804 , 0.0726768871722815 , 0.237391903867349 , 0.795117983176448 , -0.0817256020231387, 0.314522518884388 , -0.0363729089199714, -0.391278749063902 , -0.529416185299538 , -0.286952876695789 , 0.161554104634378 , 0.482921001375691 , 0.75294092912041 , 0.587280251879997 , -0.36168256622187 , -0.226046458094387 , -0.0116015663986573, 0.148214232097703 , 0.067219273666716 , -0.0720757598637455, 0.0423637301747028 , -0.0887793137837577, 0.787534176594984 , 0.139724717237289 , -0.236688431909351 | 0.5054842 |
| 80 | 20 | 0.0 | 0.0 | 1.0 | control , control , control , control , control , control , control , control , control , control , control , control , control , control , control , control , control , control , control , control , intervention , intervention , intervention , intervention , intervention , intervention , intervention , intervention , intervention , intervention , intervention , intervention , intervention , intervention , intervention , intervention , intervention , intervention , intervention , intervention , -1.07016359700016 , 0.176722418053016 , -1.2899890452697 , -0.0824152971772091, -0.660009159155768 , -0.541952968167841 , 0.296857241634589 , -2.38564410808668 , 0.0386448951054353 , 0.695590193283686 , 0.393295805339833 , -0.388667093777369 , 0.776815372603 , -1.06190483072634 , 0.413558076978411 , -1.45347314124392 , 0.268353942055044 , 1.64641481548764 , -1.14177855773827 , 1.17618965234984 , 1.44444021551277 , 1.3070232194028 , -1.43494466711716 , 0.433576511796005 , 0.796324630052201 , 1.21332520105226 , 0.0265122499183018 , -0.727100185716004 , -0.232842823632619 , -1.10242429368735 , 0.385268196179705 , 0.539953781838786 , -0.529568575293313 , -0.12012138909352 , 0.150101240285137 , -0.750809273142133 , 2.354616774373 , 0.575461166676721 , -1.72057587855962 , 0.437615683481804 | 0.2630895 |
| 80 | 20 | 0.0 | 0.1 | 0.5 | control , control , control , control , control , control , control , control , control , control , control , control , control , control , control , control , control , control , control , control , intervention , intervention , intervention , intervention , intervention , intervention , intervention , intervention , intervention , intervention , intervention , intervention , intervention , intervention , intervention , intervention , intervention , intervention , intervention , intervention , -0.0355104099346298, 0.348961860578883 , 0.540274044441487 , -0.171516347223064 , 0.298015219958951 , 0.0266287639308224 , -0.528149575222719 , -0.574069652601698 , 0.179725151155676 , -0.782985420454479 , 0.469847606303848 , -0.791052638491803 , 0.215371619915342 , 0.362205997590366 , 0.508504421515454 , -0.0883885970562914, 1.14147696390949 , -0.705259163818764 , -0.972435213226283 , 0.617560036153657 , -0.437935585534932 , -0.886513258077565 , -0.199709151576984 , -0.482678739862407 , 0.130834760632357 , -0.988356232188085 , 0.295885410823193 , -0.223120473718486 , 0.177387806739251 , 0.63245122111226 , -0.47640934238656 , -0.237935986225451 , -0.324163150117671 , 0.0112565321348737 , -0.956179665450075 , 1.01234238812388 , 0.00244496330728051, -0.816643019802912 , -0.663989848434147 , -0.205282595003393 | 0.1836760 |
| 80 | 20 | 0.0 | 0.1 | 1.0 | control , control , control , control , control , control , control , control , control , control , control , control , control , control , control , control , control , control , control , control , intervention , intervention , intervention , intervention , intervention , intervention , intervention , intervention , intervention , intervention , intervention , intervention , intervention , intervention , intervention , intervention , intervention , intervention , intervention , intervention , 0.133947767299425 , 0.474300079397686 , 0.153714300369172 , 0.213200168841702 , -0.477975919031857, 1.27827553798089 , -0.02292130140563 , 0.62138680526127 , -1.08866736226084 , 0.841602798527895 , -1.52236213187926 , 0.401922300053224 , -0.132412392868833, 0.15377313387347 , 0.559368695460138 , -0.875719947788632, -1.69795025222857 , 0.31353407158941 , -0.100264634287232, -1.38646225828932 , -0.261121331568822, 1.81299141481857 , 0.009877293450476 , 1.27499914337357 , 1.22297654912788 , -0.403200089089695, 1.0563943939459 , 0.171345315833414 , 0.401090807983656 , -1.11517989775937 , 0.641532660681204 , 0.52030237614594 , 0.681310161249381 , -1.21803345069359 , 0.421589532954894 , -0.776976258652266, -0.272465035675778, -0.506818074478236, -0.242332456821361, -1.93114901841374 | 0.5156664 |
| 80 | 20 | 0.5 | 0.0 | 0.5 | control , control , control , control , control , control , control , control , control , control , control , control , control , control , control , control , control , control , control , control , intervention , intervention , intervention , intervention , intervention , intervention , intervention , intervention , intervention , intervention , intervention , intervention , intervention , intervention , intervention , intervention , intervention , intervention , intervention , intervention , -0.346330847348311 , 0.0799959331259317 , 0.21935424472012 , 0.0660150772139458 , -0.901189570799003 , 0.62560914942441 , 0.0161117461243737 , 0.0392901450103405 , 0.593042015075409 , -0.345921372115016 , 0.12989298900766 , -0.0536602632007418 , -0.567909121710876 , 0.638303234615187 , -0.101989450612964 , -0.0614644400046421 , 0.000650242066987748, 0.419527248308384 , 0.181469395397054 , 0.73201325083674 , 0.298639340434988 , 0.453014729811215 , 0.921685265419601 , 0.446295019902163 , 1.19406895928981 , 0.0880927988298343 , 0.135182571307618 , 0.594712522212136 , 1.02446493746905 , -0.344968993662296 , -0.321721511142342 , 0.322248661631619 , 0.214664476863836 , 0.358385900944577 , 1.09878291764491 , -0.609609476083261 , 0.919429829219139 , 0.641341799273661 , 0.324354344153205 , 1.41599202590676 | 0.0138540 |
| 80 | 20 | 0.5 | 0.0 | 1.0 | control , control , control , control , control , control , control , control , control , control , control , control , control , control , control , control , control , control , control , control , intervention , intervention , intervention , intervention , intervention , intervention , intervention , intervention , intervention , intervention , intervention , intervention , intervention , intervention , intervention , intervention , intervention , intervention , intervention , intervention , -0.704901961147077 , -0.0208804797915785, 0.844271189166869 , -0.670183170407744 , -0.172696002344489 , 0.00695525486284751, -0.202805595941383 , -0.428689836105831 , -2.5064688694688 , 0.353818027690997 , 0.443814803944604 , -0.290893109806681 , 2.0133036138617 , 2.18870383131596 , 2.13206763648651 , -1.06932611845114 , 0.104955283290224 , 0.553554897486076 , 1.53707138657295 , -0.250996984109018 , 0.71047207674965 , -0.230667574619203 , 1.83295393894674 , 0.607604259711451 , 0.509533603275668 , 0.735518066138751 , 0.939203201249883 , -0.718589382709544 , 1.05404621096992 , -0.545871902818156 , 0.821544961953161 , -0.265819133892423 , 1.05133026752514 , 1.75129859639286 , -1.00694622998426 , 1.27860503303601 , 2.30294103879085 , -1.50378738018199 , 0.984573914660197 , 0.611662824876558 | 0.3036907 |
| 80 | 20 | 0.5 | 0.1 | 0.5 | control , control , control , control , control , control , control , control , control , control , control , control , control , control , control , control , control , control , control , control , intervention , intervention , intervention , intervention , intervention , intervention , intervention , intervention , intervention , intervention , intervention , intervention , intervention , intervention , intervention , intervention , intervention , intervention , intervention , intervention , 0.922280595971893 , 0.125489737706413 , -0.203446310723375 , 0.673319242512582 , -0.124582240482355 , 1.09384605715876 , -0.582605589395539 , 0.0447601685872714 , 1.20478537799531 , 1.3120270034153 , 0.589957806673422 , 0.90999658695462 , -0.0709424285383021, -0.248870311042537 , 0.0470341945939884 , 0.970884487508852 , -0.37682757185777 , -0.934123682775696 , -0.012314138385603 , 0.500141101208972 , 1.03054751876292 , 0.478352261556546 , 0.56671335828978 , 0.986984560998512 , 1.4514563978642 , 0.200027063088823 , 0.640565438817281 , 0.262784878262712 , 0.294832412652669 , -0.411353746760192 , 0.592843395510312 , -0.37975016111785 , 1.05799141504217 , -0.351531385918981 , 0.933286459934256 , 0.502599007629933 , -0.035866207075936 , 0.123316158030056 , 0.36114063727034 , 0.302176848867841 | 0.4539486 |
| 80 | 20 | 0.5 | 0.1 | 1.0 | control , control , control , control , control , control , control , control , control , control , control , control , control , control , control , control , control , control , control , control , intervention , intervention , intervention , intervention , intervention , intervention , intervention , intervention , intervention , intervention , intervention , intervention , intervention , intervention , intervention , intervention , intervention , intervention , intervention , intervention , 0.401852610858575 , 0.675252178280518 , 0.177714200544793 , -2.35436582590795 , 0.994468186426047 , 0.0483919063981425 , -0.985838645925385 , -1.54264240376123 , 1.02784775150335 , -1.17237841973395 , -0.806686201085255 , -2.08671152937977 , 0.385275812579285 , -1.27119707892862 , 2.65085817216325 , 1.67732057817924 , 0.265936937935591 , 1.27831729703616 , -0.000872220328422102, -0.483947867120137 , 0.94519718679029 , 0.639686286959897 , 0.158187015295442 , 0.81567079180122 , 0.743295668287917 , 0.552788978529881 , -1.49904758500002 , 0.554150374158521 , 0.570375197787982 , -1.45890615813786 , 0.718291461882482 , -0.273669800623477 , -0.32578764078836 , 0.771458669020747 , 1.95258560269254 , 0.729554033812275 , -0.0440293940077322 , 1.13860002396118 , 1.34440930569126 , 1.71050091067685 | 0.1276624 |
| 80 | 50 | 0.0 | 0.0 | 0.5 | control , control , control , control , control , control , control , control , control , control , control , control , control , control , control , control , control , control , control , control , control , control , control , control , control , control , control , control , control , control , control , control , control , control , control , control , control , control , control , control , control , control , control , control , control , control , control , control , control , control , intervention , intervention , intervention , intervention , intervention , intervention , intervention , intervention , intervention , intervention , intervention , intervention , intervention , intervention , intervention , intervention , intervention , intervention , intervention , intervention , intervention , intervention , intervention , intervention , intervention , intervention , intervention , intervention , intervention , intervention , intervention , intervention , intervention , intervention , intervention , intervention , intervention , intervention , intervention , intervention , intervention , intervention , intervention , intervention , intervention , intervention , intervention , intervention , intervention , intervention , -0.164614684491639 , -0.31247223669022 , 0.545476694344115 , -1.26131649124338 , 1.14839789487986 , 0.248573747314315 , 0.320310311991074 , -0.45711724690876 , -0.296177009945075 , 0.418373152900625 , -0.2610240138641 , -0.0160979485655684, 0.996715609786675 , 0.023049726532715 , 0.212408550477987 , 0.114407081727076 , 0.299491690883028 , -0.675722123163613 , 0.412537175592572 , 0.515437109715262 , -0.241470653182766 , -0.22117676786638 , 0.92856818177563 , 0.664125757863459 , 0.230942317670071 , 0.527169050249611 , -0.0465064169417764, -0.687250122130357 , 0.0232356473097338 , -0.807803193748202 , 0.577815348234173 , 1.09717922778053 , -0.509495001951953 , 0.543751174511643 , 0.49942266351905 , -0.0714755307789227, 0.29618750555634 , -0.441272568880447 , -0.52565557873195 , -0.667128305728439 , 0.144781039872595 , 0.593607271753022 , -0.219425847908878 , -0.0626060334006775, -0.381467047652619 , 0.161340197084416 , 0.624243579284096 , -0.126634890023038 , -0.0626711150217146, -0.0741874375087444, -0.86476000555853 , 0.831072204288037 , 0.658996506713085 , 0.471981581372547 , 0.090680808878116 , 0.136011744000895 , 0.117576165590647 , -0.28098363706084 , -0.427098896379933 , 0.144564501294578 , -1.07730697723751 , -0.193759239233451 , -0.996544035736098 , -0.635744868373298 , 0.501926089797103 , -0.0256156841305541, 0.654601221917185 , 0.0309807232759363 , -1.06750557047113 , -0.14741910309743 , 0.336532881430429 , 0.447479727214172 , 0.27283764845928 , -0.461890401299744 , 0.660507501244672 , 0.370359602761143 , -0.109078131380772 , -0.907448299860749 , -0.12420335449175 , 0.105546316018778 , -0.278397499158811 , -0.537102793313151 , 0.495094564099787 , 0.09815031051052 , -0.744538720301715 , 0.0707750647701523 , 0.0729564959478589 , 0.725438048338018 , 0.0568755733811301 , -0.318061118845371 , -0.242673833682899 , -0.0223437877252061, 0.131358291157015 , 0.260239462646449 , -0.367771762428798 , 0.0880514169616539 , -0.524353218883807 , -0.131741806826425 , -0.431469341962532 , -0.313145448711419 | 0.1650994 |
| 80 | 50 | 0.0 | 0.0 | 1.0 | control , control , control , control , control , control , control , control , control , control , control , control , control , control , control , control , control , control , control , control , control , control , control , control , control , control , control , control , control , control , control , control , control , control , control , control , control , control , control , control , control , control , control , control , control , control , control , control , control , control , intervention , intervention , intervention , intervention , intervention , intervention , intervention , intervention , intervention , intervention , intervention , intervention , intervention , intervention , intervention , intervention , intervention , intervention , intervention , intervention , intervention , intervention , intervention , intervention , intervention , intervention , intervention , intervention , intervention , intervention , intervention , intervention , intervention , intervention , intervention , intervention , intervention , intervention , intervention , intervention , intervention , intervention , intervention , intervention , intervention , intervention , intervention , intervention , intervention , intervention , -0.237535920178829 , 0.539574380258556 , 0.318373539421369 , 1.2061870743552 , 0.597569556736866 , 0.476944845426707 , 0.410054537976579 , 1.06104002230461 , 1.54430650079223 , 0.541161527603887 , 1.35243682650842 , -0.907993787312052 , 0.606310741164397 , -0.435731757791424 , -1.06402569295358 , -0.282133722614967 , -0.213278740532442 , -0.523789411930115 , 0.749171616438673 , 0.524607167638169 , 0.143175373268123 , 1.27060189984967 , -0.574552893039346 , -1.01957230354105 , 0.715208226366747 , -0.460897196259665 , 1.48032566950372 , -0.474219790833526 , -0.288656169169877 , 0.704552466135371 , -2.88582146391415 , -0.671808768636592 , 0.206327918463235 , 0.564742879467802 , 0.754747398288731 , -0.450516185500775 , 0.035645346323377 , 0.827983803421028 , -0.65553239032543 , -0.123979428556162 , -1.23627970210529 , -0.94768156716093 , 0.829626095041339 , -1.21556374506485 , 0.956898779349775 , 0.118853739542624 , 0.673775579627644 , -0.331364493007448 , -1.28553304641076 , -0.932779826846953 , 0.390224781864227 , -0.818977500262326 , -0.240821326804939 , 2.22717755722359 , 0.635755939201407 , -1.5449429394857 , 0.608454859299904 , -0.250220666292249 , -0.135979511207531 , 0.84575975363436 , 0.884016263316045 , 0.173385002453968 , 0.23473740855541 , -0.887165613127685 , -1.1106816876328 , -0.753415136515375 , -1.60699505253267 , -0.779134499477123 , -1.46989854511692 , -1.17452311408441 , 0.491603400630457 , -0.755971725857548 , -0.0604811634369718, 0.144288615934052 , 1.68434455151628 , 0.609117074379074 , 1.15740910494946 , 0.321887357036665 , 0.839678397528205 , -1.53127153525881 , -0.90006666680801 , 0.0851225415933051 , -1.61550556724648 , 1.22080131518328 , -1.07211698898883 , 0.592887297740388 , -1.622521328251 , -1.56862610270526 , -0.771892615240901 , -0.0222940070665651, 1.23883183344028 , -0.360099350436315 , -0.233653292963518 , -1.0981484165897 , -2.52930856848266 , -0.765164362522893 , 0.761444012856701 , -0.161295362552128 , 0.273559216263657 , -0.431085454809366 | 0.1769440 |
| 80 | 50 | 0.0 | 0.1 | 0.5 | control , control , control , control , control , control , control , control , control , control , control , control , control , control , control , control , control , control , control , control , control , control , control , control , control , control , control , control , control , control , control , control , control , control , control , control , control , control , control , control , control , control , control , control , control , control , control , control , control , control , intervention , intervention , intervention , intervention , intervention , intervention , intervention , intervention , intervention , intervention , intervention , intervention , intervention , intervention , intervention , intervention , intervention , intervention , intervention , intervention , intervention , intervention , intervention , intervention , intervention , intervention , intervention , intervention , intervention , intervention , intervention , intervention , intervention , intervention , intervention , intervention , intervention , intervention , intervention , intervention , intervention , intervention , intervention , intervention , intervention , intervention , intervention , intervention , intervention , intervention , 1.144766506049 , -0.0620560341208785 , 0.33592735378647 , 0.303024636791901 , -0.205584959949555 , 0.573387205515857 , 0.52222455256006 , 0.0142937106689737 , -0.451246021129302 , -0.683872062264753 , -0.879348131778644 , -0.586258881344289 , -0.109499496694569 , 0.662965295557285 , -0.0985950011722648 , -0.195279507735426 , -0.161725789329175 , -0.439827486527483 , 0.423427234358451 , -0.404559958760047 , 1.2207763714046 , 0.272688912311109 , 0.0102973089967195 , -0.571384061069251 , -0.54702939962324 , 0.426113925089072 , 0.25165156851078 , -0.327421470318396 , 0.376399777075643 , 0.595341235114134 , 0.0880982012371323 , 0.926415292336934 , 0.373857791651663 , -0.0145377947729796 , -0.0847161032758958 , 0.0731843586742571 , 0.254225541851532 , 0.542957996145926 , -1.02960737601707 , 0.550818954357558 , 0.642412951101818 , -0.0639934428844485 , 0.405841927528367 , -0.00849430632322284, 0.69954332818814 , 0.915926731029955 , -0.433875216147662 , -1.11107386382644 , 0.0664638379693331 , -0.379671958878587 , 0.0836272963875441 , -0.46898266413431 , -0.317078264689423 , -0.60541102842658 , 0.0156320308453314 , 0.776705781159954 , 0.0484844461653856 , 0.194166247000428 , -0.603608099444293 , 0.503918793007421 , 0.123129854375532 , -0.760411737747939 , -0.650598511322713 , -0.145498548016109 , 0.0960793402231613 , 0.269294881193837 , -0.125526798192586 , -0.542679131804531 , -0.132058364529684 , 0.0873241887757319 , 0.86898092181181 , 0.465137475862496 , 0.222591917529131 , 0.411441270330087 , 0.427718622254765 , -0.121677315007511 , 0.813433532690156 , -0.28210323738322 , -0.358474718538263 , -0.0835072292002816 , -0.166552824046534 , 0.160610361026457 , 0.325708294278202 , -0.0450845857488488 , -0.0409767404646465 , -0.107496628559995 , -0.187763677885659 , -0.378304428186835 , -0.232136591544112 , 0.334271719629259 , 0.22413246212564 , -0.158578059492039 , 0.489358009283408 , -0.271739199009379 , -0.0941667388253271 , 0.306214761965595 , -0.0262038713324829 , -0.604552058696205 , 0.0389918020081546 , -0.0279546366521104 | 0.3811822 |
| 80 | 50 | 0.0 | 0.1 | 1.0 | control , control , control , control , control , control , control , control , control , control , control , control , control , control , control , control , control , control , control , control , control , control , control , control , control , control , control , control , control , control , control , control , control , control , control , control , control , control , control , control , control , control , control , control , control , control , control , control , control , control , intervention , intervention , intervention , intervention , intervention , intervention , intervention , intervention , intervention , intervention , intervention , intervention , intervention , intervention , intervention , intervention , intervention , intervention , intervention , intervention , intervention , intervention , intervention , intervention , intervention , intervention , intervention , intervention , intervention , intervention , intervention , intervention , intervention , intervention , intervention , intervention , intervention , intervention , intervention , intervention , intervention , intervention , intervention , intervention , intervention , intervention , intervention , intervention , intervention , intervention , 0.59859413612116 , -0.406595884919299 , 1.57716092037113 , -1.3409069968306 , 1.22149362059263 , -1.56645748654854 , 0.677392635574935 , -1.59992996105453 , 1.03673985209822 , -1.23264519745133 , -0.208736879229359 , 1.04255194404304 , 0.314920348220774 , 0.610347108575987 , 1.24254146141625 , -0.00243538706023007, 2.71413515610062 , 0.140459738706123 , 1.09478707290819 , -1.21914528688071 , 0.94775044517441 , -1.25935411904346 , -0.086764085181048 , 1.28147392818591 , -0.836787330949496 , 0.470456158969326 , -0.880359340120708 , -1.96412160626055 , -1.83805993483647 , -0.351428071842097 , 0.0835077588194221 , -0.258676553999538 , 0.405446930409171 , 0.0397800142356103 , 0.106158583785272 , 0.385397606128338 , -1.00769532404573 , -0.027001756067697 , -0.281310106419222 , 0.836621924125631 , 1.06299750156943 , -0.98979461947872 , -1.35028816429401 , -0.0150271289052562 , -0.0519607038934694 , 0.280138511439644 , 0.378696562390148 , 1.6933881993425 , 0.0901238190774055 , 2.09922569848049 , -0.828397505010711 , 3.04484796356707 , 0.811070845451381 , 2.40532977438976 , 1.51568173899648 , -1.6109422888449 , 0.490152636809704 , -0.409892658751564 , 1.15429278234001 , -1.74540781613398 , 1.04750986717708 , -0.133357766637403 , -1.16749047160563 , -1.92341573515843 , -0.405428031199419 , -0.407326834365321 , 0.865417808940587 , 0.650912178925496 , 0.44284901896053 , 1.99761368065185 , -0.14134893652535 , -0.735276040744123 , 1.02276333828331 , 2.01609353264532 , 0.7826050506386 , -0.633631776515998 , 0.53125964612919 , 0.77680500887566 , -1.85013941892305 , -2.76482987859887 , -0.318040613258233 , 0.578451034756324 , 0.639082456839729 , -0.172338607065302 , 0.419260940333604 , -0.0992385730046923 , 0.681016087846487 , 0.213508518771758 , 1.64382785713058 , 0.198801815278633 , 0.447506772611857 , 1.17975971128545 , 1.08922964200769 , -0.508289270124875 , 0.834991481434072 , 0.0523761414440326 , 0.588115781630139 , 1.75872427230858 , -0.630864100148736 , 0.653169744600151 | 0.3482237 |
| 80 | 50 | 0.5 | 0.0 | 0.5 | control , control , control , control , control , control , control , control , control , control , control , control , control , control , control , control , control , control , control , control , control , control , control , control , control , control , control , control , control , control , control , control , control , control , control , control , control , control , control , control , control , control , control , control , control , control , control , control , control , control , intervention , intervention , intervention , intervention , intervention , intervention , intervention , intervention , intervention , intervention , intervention , intervention , intervention , intervention , intervention , intervention , intervention , intervention , intervention , intervention , intervention , intervention , intervention , intervention , intervention , intervention , intervention , intervention , intervention , intervention , intervention , intervention , intervention , intervention , intervention , intervention , intervention , intervention , intervention , intervention , intervention , intervention , intervention , intervention , intervention , intervention , intervention , intervention , intervention , intervention , 0.361295314520476 , -0.106417709561455 , 0.163312333256414 , 0.763096141587908 , -0.680440730055735 , -0.207430387057036 , -0.725325415927293 , 0.812125502275725 , 0.333527861664648 , -0.214782820073506 , 0.118308131633454 , -0.715996971144137 , 0.170340336094535 , -0.831014801114782 , 0.710248269957641 , -0.420901025142828 , -0.0937468914134073, -0.449407272556565 , -0.108749623577878 , 0.0247654389094404 , 1.41101680289125 , 0.784701838156858 , -0.117512381377006 , -0.141673011710855 , -0.776504631518565 , -0.0153758867492836, 0.470008377110902 , -0.169525952354056 , -0.0304130703627739, -0.92999194820879 , -0.995277965567962 , -0.922009850679928 , -0.273459517405969 , -1.5861196889464 , -0.146388048962638 , -0.406429990968544 , 0.28460622617214 , -0.185694767019773 , -0.299655263403032 , 0.338973120874997 , 0.213050977152164 , -0.543676160171872 , -0.0350260909841988, 0.295750947587442 , 0.551330672172684 , 0.422910937762263 , -0.222905492782413 , 0.186683818727521 , -0.130240159903022 , 0.0360432167874159 , 0.0706635834188505 , 0.985118604618425 , 0.989139585919684 , 0.37216360565034 , 0.685092893093443 , 0.728074479136889 , 0.22885857776583 , 1.14746870047097 , 0.0748466305263059 , 0.158414763506761 , 0.400243391333157 , 0.595134263604193 , 0.430577378993195 , 1.07035951031101 , 0.732959780303235 , 0.239636406703351 , -0.521702466322767 , 0.310186485594519 , 0.220063487031604 , 0.0954890116140162 , 1.00465145759797 , 1.36443387786594 , 0.515465046859187 , 0.00471679617977006, 0.798857895924553 , 0.989385561576386 , -0.247702377063839 , 0.718110261661445 , 0.641664300039627 , 0.623301620946178 , 1.12274394294309 , 0.943281669913732 , 1.00676532609928 , 0.366727172668627 , 1.07424326505057 , 0.483860272489655 , 0.51474996560015 , 0.0619433345843538 , 0.903626433108391 , 0.99175700068489 , 0.701048105353489 , 1.02037049039853 , 0.493352412436852 , 0.95747346434077 , -0.354325328554743 , 0.159751618339719 , 0.368232633972893 , 0.540223455418179 , 0.74133099435959 , 1.20114778459794 | 0.0000000 |
| 80 | 50 | 0.5 | 0.0 | 1.0 | control , control , control , control , control , control , control , control , control , control , control , control , control , control , control , control , control , control , control , control , control , control , control , control , control , control , control , control , control , control , control , control , control , control , control , control , control , control , control , control , control , control , control , control , control , control , control , control , control , control , intervention , intervention , intervention , intervention , intervention , intervention , intervention , intervention , intervention , intervention , intervention , intervention , intervention , intervention , intervention , intervention , intervention , intervention , intervention , intervention , intervention , intervention , intervention , intervention , intervention , intervention , intervention , intervention , intervention , intervention , intervention , intervention , intervention , intervention , intervention , intervention , intervention , intervention , intervention , intervention , intervention , intervention , intervention , intervention , intervention , intervention , intervention , intervention , intervention , intervention , -0.456862595836192 , 1.58596298011204 , 1.21829415878376 , 0.710825677277248 , -0.240916028813771 , 0.296602140695822 , -0.444256147575322 , -0.345799694134485 , -0.0275383072199943, -0.180692355246247 , -1.40743689304408 , 0.966817283621714 , 0.727576498893752 , 0.859969285867894 , 1.71261090476972 , 0.183622881957617 , -1.21255796121382 , 0.341989851128789 , -0.402154840606921 , 1.19915383523461 , -1.02443997489236 , 0.104884839984236 , -0.763102697720528 , -0.475342691425493 , -0.64405379834794 , -0.239229345641321 , -1.73820270318711 , 0.635896521257195 , -0.615957815029208 , -1.09203816662098 , -1.67727767306345 , 0.373033497000815 , -1.30044265461442 , 1.76390305210568 , -0.758646912284552 , 0.243194977763415 , -0.368747855239824 , -0.232089693669119 , -1.37290907813918 , -1.27495046626953 , -0.985464173957291 , -2.1691778799366 , -0.016362673797695 , 0.353551936658924 , 2.31636787023853 , -0.645204168643018 , 1.10875259296875 , -0.0489895362074613, 0.323415859814395 , 0.0269164057930197 , -0.699758541797556 , 0.581748410607188 , 0.647348704611849 , 1.64520849683463 , -0.116850731768328 , 0.251411558450908 , 0.373097113951106 , -1.26593753157592 , -1.05932820720096 , 1.0443037276119 , -0.243985718047137 , 1.31020703606211 , 0.0640732653997912 , 0.672659672578106 , 1.91613301085245 , 0.373656656725401 , 0.427888423985757 , -1.23894231201512 , 1.59876498919928 , 2.69481419946663 , 1.49025033744265 , -0.245538119506825 , 1.02515133975461 , 1.1344264844923 , 1.3740033584426 , 1.21087947564346 , -0.882272613338987 , 0.738116391043355 , -0.926313626470419 , 0.0435173574544272 , 0.0648730867942244 , 1.52622456974749 , 3.28402888442815 , -0.98968748397756 , 1.78901882614269 , -0.203403835908325 , 1.08457415941147 , 1.15651266402384 , 0.888573432188343 , 0.604292150024327 , 1.20546270001556 , -1.64481859573155 , 2.21772047882812 , 1.89224758648846 , 0.0770765747519641 , -0.080826608482386 , 0.277978387909491 , 0.366599130023302 , 0.804232997545882 , -1.90572193940863 | 0.0033658 |
| 80 | 50 | 0.5 | 0.1 | 0.5 | control , control , control , control , control , control , control , control , control , control , control , control , control , control , control , control , control , control , control , control , control , control , control , control , control , control , control , control , control , control , control , control , control , control , control , control , control , control , control , control , control , control , control , control , control , control , control , control , control , control , intervention , intervention , intervention , intervention , intervention , intervention , intervention , intervention , intervention , intervention , intervention , intervention , intervention , intervention , intervention , intervention , intervention , intervention , intervention , intervention , intervention , intervention , intervention , intervention , intervention , intervention , intervention , intervention , intervention , intervention , intervention , intervention , intervention , intervention , intervention , intervention , intervention , intervention , intervention , intervention , intervention , intervention , intervention , intervention , intervention , intervention , intervention , intervention , intervention , intervention , 0.898430047224569 , 0.617593138678259 , -0.131471455124224 , 0.382234311697495 , -0.301696865216581 , 1.20791121960702 , -0.602798281087841 , 0.911739688695795 , -0.518203795102039 , -0.0742304608193976, 0.0972829626761115 , 0.65079206195557 , -0.131335326598003 , -0.246828968670397 , 0.504135711568953 , 0.311404139288817 , 1.13090780460307 , 0.833840444116497 , 0.41351734960376 , -0.313958941066702 , 1.09502365183958 , -0.297308956813563 , -0.573277603573528 , 0.285161098635272 , -0.196560269024031 , 0.075147297160511 , -0.268643696939407 , 0.248297490181635 , 0.536829962338525 , -0.24570536462204 , -1.40754309658373 , 0.263721228317924 , 0.441714651122699 , -0.357659261451292 , -0.393692007889195 , 0.38191509335242 , 0.312703997507839 , -0.0546873425129743, -0.219233658593861 , -0.360765853045731 , 0.326591423186407 , 0.0913539243037747 , 0.284290955194137 , 0.215462827750622 , 0.201983660737813 , -0.607818940228595 , 0.372083861457117 , 0.0238911741778362 , 1.21042577011589 , -0.180183015650754 , 0.838545523212943 , -0.217518225767891 , 0.319894925135615 , 1.57735210814446 , 0.457321969064503 , 1.11757884711139 , 0.947052103070598 , 0.859789553008646 , 0.946860436540368 , -0.595703054414874 , -0.31689258820207 , 0.568251121705239 , -0.0726727040205215, 0.813481882508041 , 0.989061898401896 , 0.281080148361636 , 0.7505078450714 , 0.819071528319567 , 1.57440215198638 , -0.0577754648880081, 1.18196723252077 , 0.578683446431711 , 1.03333990421039 , 0.636267202998649 , 0.444520788096862 , -0.302760812207186 , 0.170095596742516 , 0.421715169516192 , -0.195269719891989 , 1.08283138805745 , 0.601337920256185 , 0.538156323122789 , -1.14873339963474 , 0.63727870267758 , 1.6906717462791 , 1.19797841396351 , 0.87747034504169 , 0.625609959173296 , 0.611823537793668 , 0.303443871503112 , -0.304972916151554 , 0.184367230585712 , 0.14211546419501 , 0.305892797870742 , 0.785230926099862 , -0.127280532414592 , 0.561322384393758 , 0.61683881917498 , 0.891380646875586 , 0.0879481156852395 | 0.0009165 |
| 80 | 50 | 0.5 | 0.1 | 1.0 | control , control , control , control , control , control , control , control , control , control , control , control , control , control , control , control , control , control , control , control , control , control , control , control , control , control , control , control , control , control , control , control , control , control , control , control , control , control , control , control , control , control , control , control , control , control , control , control , control , control , intervention , intervention , intervention , intervention , intervention , intervention , intervention , intervention , intervention , intervention , intervention , intervention , intervention , intervention , intervention , intervention , intervention , intervention , intervention , intervention , intervention , intervention , intervention , intervention , intervention , intervention , intervention , intervention , intervention , intervention , intervention , intervention , intervention , intervention , intervention , intervention , intervention , intervention , intervention , intervention , intervention , intervention , intervention , intervention , intervention , intervention , intervention , intervention , intervention , intervention , 1.20343637106885 , -0.489967588926363 , -0.0260240686534059, -0.54095674605561 , 0.391415832759767 , -1.16631923666263 , 0.0611583568336695 , 1.11042527285776 , 0.147774261797911 , 0.421454542723072 , -0.44967337915874 , 0.245099906884783 , 0.216444406596021 , 1.00917750716269 , 2.40490271041463 , -0.783811750618104 , 0.141841413982244 , -1.70004598855349 , 0.093509967363258 , -1.56756550068429 , 1.27175821682188 , -0.23870283169595 , 0.517450723815857 , 1.54561650892692 , -0.984541947719752 , 0.348080034189663 , -1.41277471381933 , 0.125366410688541 , 0.00949221618535008, 2.37949698457339 , -1.66265081359502 , 0.705825268804504 , 0.210710688660432 , -0.0949496190434078, -0.483380661128693 , 1.46405842224924 , 1.46332909195642 , 0.846526462895765 , -1.86247681666254 , -0.434938835739329 , -0.657237755967341 , -2.20984354301815 , 0.507605714227962 , -0.416684829945789 , -2.56122140773274 , 0.415078216470619 , 1.68155661966537 , 0.667453787319029 , 0.28721244963786 , 0.716744565190788 , 0.303273303762782 , 0.559563218315704 , 0.342151750869862 , 1.25437476205122 , 0.443646063607922 , -1.25916214498536 , -1.49660593307931 , 1.28114163989093 , -0.596262486361617 , 0.250969471336455 , 1.72002227168806 , -0.134894666271243 , -0.146321610241859 , 1.34330810367798 , -0.44326098893166 , -0.178581551438648 , -1.15538554881587 , 0.26282798959186 , 0.070887874356666 , -0.395684371871925 , -0.137138579186539 , 0.930078533675219 , 0.0343940008313855 , 1.49679899929062 , 0.741213407263212 , -0.365046739704536 , 2.82841313506816 , 1.85389400552939 , 1.87095598461681 , 1.45180216437162 , -0.0683230755258594, -1.00795467572413 , 2.90217898249293 , 1.09824578630921 , -0.298558052671138 , 2.06438689012116 , 1.91346334364606 , 0.918409374353761 , -1.30636164737363 , 1.68808623176799 , 0.630678261197032 , -0.149911129082073 , 1.48218951431972 , 1.53607501282197 , 0.998678039728176 , -0.379951144444906 , 0.158136006213608 , 0.192558839703996 , -1.0498224977336 , 1.57983979938465 | 0.0388392 |
| 81 | 20 | 0.0 | 0.0 | 0.5 | control , control , control , control , control , control , control , control , control , control , control , control , control , control , control , control , control , control , control , control , intervention , intervention , intervention , intervention , intervention , intervention , intervention , intervention , intervention , intervention , intervention , intervention , intervention , intervention , intervention , intervention , intervention , intervention , intervention , intervention , 0.452298366230578 , -0.0259793276437445, -0.773748559244508 , 0.391460501554708 , -0.975101577143373 , -0.159507355374325 , -0.482142666312419 , 0.0708700920116194 , 0.416532225404369 , -0.242265444892558 , -0.982837145888417 , -0.37277164611962 , 0.0729519479673964 , 0.58935569453711 , 0.086097251355308 , -1.19756946889119 , -0.627438872155689 , -0.356672317040569 , 0.281822240497623 , 0.141288598100704 , 0.00372601409025079, -0.41596270129918 , 0.830493244012795 , 0.163274290694493 , -0.284749517692277 , -0.577033396930189 , -0.896754863513775 , 0.370619968545513 , 0.514641651231862 , 0.0731086017784079 , -0.280257490490685 , 0.242783025066737 , -0.299507195621712 , -0.696080636862646 , -0.835808560087087 , 0.929768239751259 , -1.13715167220683 , -0.112949672526429 , 0.00447641206216979, 0.251315453002986 | 0.6555990 |
| 81 | 20 | 0.0 | 0.0 | 1.0 | control , control , control , control , control , control , control , control , control , control , control , control , control , control , control , control , control , control , control , control , intervention , intervention , intervention , intervention , intervention , intervention , intervention , intervention , intervention , intervention , intervention , intervention , intervention , intervention , intervention , intervention , intervention , intervention , intervention , intervention , -1.32226061502598 , -1.08367151028293 , 0.597710715791413 , 1.4486126887875 , 0.0160482727862833 , -1.12480737143834 , -0.769786583367819 , -0.983175488236048 , -0.657719006747449 , -0.787395616580905 , -0.836947800664623 , 1.43970072968485 , -0.577106627127848 , 1.60623874043937 , 0.0861903278100379 , 0.156690894587415 , 0.879842157387985 , 0.247288065530463 , -0.0629086059266483, -1.08727530402282 , -0.0201168582631308, -0.61616083456629 , -0.515224754572644 , -3.47721895723174 , 0.915406007503755 , -1.40666905198806 , -0.591746108705683 , 0.796833878654777 , 0.0195079033954654 , 0.342774480130416 , -0.704114378448344 , -1.09970529986471 , -2.58279127328301 , 0.545727478186233 , 1.31415442899832 , -0.0721489618676753, 0.0755078917873072 , 2.1826201182321 , -0.35774307672791 , 1.46505359603647 | 0.8941861 |
| 81 | 20 | 0.0 | 0.1 | 0.5 | control , control , control , control , control , control , control , control , control , control , control , control , control , control , control , control , control , control , control , control , intervention , intervention , intervention , intervention , intervention , intervention , intervention , intervention , intervention , intervention , intervention , intervention , intervention , intervention , intervention , intervention , intervention , intervention , intervention , intervention , 0.386099665994044 , 0.632016919073165 , 0.116584599620103 , -0.0706770098231751 , 0.25972381775094 , 0.301067087862246 , 0.524200392331275 , 1.02159630290865 , 0.613032257606081 , 0.226861452517538 , 0.212078772961396 , -0.196121336925185 , -0.59374313247323 , 0.327243197095601 , 0.00647508771254394 , -0.00345830599457542, -1.12182759940554 , -0.446835201800043 , 0.811145522744493 , 0.65398096799625 , 0.764311123914407 , 0.933753551115019 , 1.09685174891649 , -0.69172399565811 , 0.562059818821375 , 0.082771387460925 , 0.863008171589451 , -0.590445979660386 , -0.853315422136139 , -0.92308191504916 , -0.791655232302737 , -0.0934877199372317 , 0.316625285100516 , -0.276695597263423 , 0.47550613469689 , 0.116097610110695 , 0.0513338284566487 , -0.228896504963712 , -0.794780233959093 , 0.30951643606516 | 0.3707268 |
| 81 | 20 | 0.0 | 0.1 | 1.0 | control , control , control , control , control , control , control , control , control , control , control , control , control , control , control , control , control , control , control , control , intervention , intervention , intervention , intervention , intervention , intervention , intervention , intervention , intervention , intervention , intervention , intervention , intervention , intervention , intervention , intervention , intervention , intervention , intervention , intervention , -0.158525852803267 , 1.09892088209862 , -2.65610339631583 , 0.0314888756388622 , 1.03766108443195 , 0.483117548646511 , 0.0528021157206702 , 1.14103235823465 , 1.0383047405242 , 1.00715614902474 , -0.412887041912452 , 0.916557084733848 , -0.530906831155056 , -1.07493571420051 , -0.406093424425163 , 0.561079857273849 , -0.129383906255362 , 0.780696339699814 , 0.149309777067009 , -0.435988007553751 , 0.248021536697279 , -1.13415578785551 , -0.199094028579571 , -0.33596328233284 , 0.573970384638282 , -1.01834595544298 , -0.115530602431498 , -1.45425213395362 , -0.127300127072401 , 0.729843563537432 , 1.25874713231537 , -0.452123884978363 , -0.270786972403694 , 0.778180494298633 , -2.09802085333662 , 0.291565689253605 , -1.38546190557295 , -0.0748980067975624, -0.0814225231836184, 0.484096963105148 | 0.2298027 |
| 81 | 20 | 0.5 | 0.0 | 0.5 | control , control , control , control , control , control , control , control , control , control , control , control , control , control , control , control , control , control , control , control , intervention , intervention , intervention , intervention , intervention , intervention , intervention , intervention , intervention , intervention , intervention , intervention , intervention , intervention , intervention , intervention , intervention , intervention , intervention , intervention , -0.207378813997111 , -0.784118914355792 , 0.0681861386858377 , 0.437645639932028 , -0.148369269710949 , -0.106434256699799 , 0.062755263606421 , 1.12050242136966 , 0.736202335483438 , -0.765978423801199 , 0.957216404390578 , -0.0481479620811832, -0.465033626992543 , -0.413317517331934 , 0.956417980966309 , -0.0281783522660577, -0.0262491897774353, -0.568897706517554 , -0.0341551760997841, -0.563951463306122 , 0.539001862124467 , 0.316695288825768 , 0.50416449076769 , 0.273384343853454 , 0.490290584437924 , 0.248857785048247 , 1.10940389573938 , 0.273542011317038 , 0.527642019449644 , 0.98850964667435 , 1.22922343415712 , 0.934739299181384 , 0.566626482885334 , -0.133614932773112 , 1.47120020260179 , 0.76441934316437 , 1.51054620758296 , 1.08464279645662 , 0.361468237861017 , 1.2650186594962 | 0.0001036 |
| 81 | 20 | 0.5 | 0.0 | 1.0 | control , control , control , control , control , control , control , control , control , control , control , control , control , control , control , control , control , control , control , control , intervention , intervention , intervention , intervention , intervention , intervention , intervention , intervention , intervention , intervention , intervention , intervention , intervention , intervention , intervention , intervention , intervention , intervention , intervention , intervention , 0.471686240213475 , 0.735226556222178 , 1.03475645778176 , -0.123984313555307 , -0.45048637196983 , -0.230680350847347 , 1.15829299043858 , -0.66963171046341 , -1.10410600942867 , -1.49574775623764 , 0.46170199705545 , -0.105345132002885 , 0.532292716341214 , -0.302019122658443 , -1.01313970338599 , -0.0930673833877144, -0.262648409051352 , -0.0983939815735562, 0.651444878810601 , 0.985371577734539 , 1.2965757652173 , -0.314474962958209 , 1.59285814163382 , 0.605606346033477 , -0.498083689108015 , 0.826489187363609 , -0.754078461298213 , -1.29663110041343 , 1.76840463799975 , 0.901538086161016 , 0.445379874341892 , -0.262545574548046 , -0.109736171790099 , 1.21565258722469 , 0.313436253407083 , 0.0167925704792152 , 1.92414585547705 , -0.75437651783773 , -0.440622931405186 , -0.846132547430078 | 0.3107915 |
| 81 | 20 | 0.5 | 0.1 | 0.5 | control , control , control , control , control , control , control , control , control , control , control , control , control , control , control , control , control , control , control , control , intervention , intervention , intervention , intervention , intervention , intervention , intervention , intervention , intervention , intervention , intervention , intervention , intervention , intervention , intervention , intervention , intervention , intervention , intervention , intervention , -1.20251016998552 , -0.190658401408911 , 0.169249422155808 , 0.583804881479121 , 1.71459772855067 , 0.137692605008942 , -0.085117471604242 , -0.477644037143006 , -0.260435325366919 , 0.885366284087555 , -0.472269718984644 , -0.129629019951352 , -0.220750431942644 , 0.316259682355791 , 0.412228596094782 , 0.643197709708357 , 1.0067709033521 , -0.842513087990708 , 0.0609718163965336 , -0.17005862950839 , 0.855786883018668 , 0.895478847745373 , -0.126411326694048 , 0.788543554550586 , -0.450052174661036 , 0.442714117563174 , 0.120383918887757 , 0.613547122100442 , 0.731185405508656 , 0.129405192546565 , 1.07886232740711 , 0.376969898878008 , -0.456981206429758 , -0.0554146939109145, 1.02707628959582 , -0.474452637581993 , 0.62815704966966 , 0.808146834768414 , 0.794420465288444 , -0.0178355742664212 | 0.1297520 |
| 81 | 20 | 0.5 | 0.1 | 1.0 | control , control , control , control , control , control , control , control , control , control , control , control , control , control , control , control , control , control , control , control , intervention , intervention , intervention , intervention , intervention , intervention , intervention , intervention , intervention , intervention , intervention , intervention , intervention , intervention , intervention , intervention , intervention , intervention , intervention , intervention , 0.613544097474127 , 0.546277674409436 , 0.92675322442457 , 0.0441107154573468 , -0.0953689419925044, -0.240083001753351 , 0.767116832940814 , 0.295601466212615 , -0.184391341718191 , 0.120920911373833 , -0.910617038819905 , -0.0603568644608544, 0.971774035568418 , -0.289375945638334 , 0.782929186394901 , -0.138771137990541 , -1.23745131179633 , 0.0930350915927662 , -0.590944763806134 , -1.9308847438669 , 1.74077940604454 , 1.61553890029729 , 0.239636259561113 , -1.7757809362423 , 0.836185433231902 , 2.02892433720506 , -1.27304042165839 , 0.777505279421806 , 0.0235979187171744 , -1.4579954893881 , 0.642352170180791 , 1.34643065675497 , 0.599765302282157 , -0.0916975539547126, 0.130614757747648 , 1.99310100673866 , -0.0120798883344222, 0.778241445767329 , 0.658555455850232 , 2.16924731403776 | 0.0651724 |
| 81 | 50 | 0.0 | 0.0 | 0.5 | control , control , control , control , control , control , control , control , control , control , control , control , control , control , control , control , control , control , control , control , control , control , control , control , control , control , control , control , control , control , control , control , control , control , control , control , control , control , control , control , control , control , control , control , control , control , control , control , control , control , intervention , intervention , intervention , intervention , intervention , intervention , intervention , intervention , intervention , intervention , intervention , intervention , intervention , intervention , intervention , intervention , intervention , intervention , intervention , intervention , intervention , intervention , intervention , intervention , intervention , intervention , intervention , intervention , intervention , intervention , intervention , intervention , intervention , intervention , intervention , intervention , intervention , intervention , intervention , intervention , intervention , intervention , intervention , intervention , intervention , intervention , intervention , intervention , intervention , intervention , -0.664663938327189 , 0.454663980546857 , 0.180353799561914 , 0.457241845335672 , 0.745503082921261 , -0.610342290734644 , -0.264858152166186 , -0.474950627466925 , 0.949209707526966 , -0.333764114958124 , 0.675672243740077 , -0.0743895903706759 , 0.0944622811181793 , -0.118337794666583 , 0.410483577095514 , -0.932818885795135 , -0.405912805392413 , 0.145010586046829 , -0.633313812257636 , -0.349962437309776 , 0.111020254748184 , 0.592583439752803 , 0.98673524238987 , -0.513580041056824 , -0.411845803939524 , 0.0552818225113923 , -0.141639428473929 , -0.717327160062403 , 0.55050659530871 , 0.316207792909866 , 0.349146489482531 , -1.01099002167012 , -0.19740621511277 , -0.0602531242041344 , -0.100405844808593 , 0.290361488118571 , 0.494275245612297 , 0.0564597035613264 , 0.564524255018686 , 0.0524191854540257 , -0.543300564928413 , -0.614322239590262 , -0.147702045658494 , -0.153974984594092 , 0.000304460012566248, 0.551409062515414 , 0.29731436776138 , 0.814016013782196 , -0.0914443323985122 , 0.492683820008489 , -0.494584790762738 , 0.185222464908339 , 0.272144544409921 , -0.596625000572098 , 0.636618945772527 , -0.646480010156675 , -0.0518609493373206 , 0.80460387900312 , 0.114209922171714 , -0.201192888640368 , 0.0379056919570471 , -1.0479202638487 , 0.315633162632048 , 0.611084007268338 , -0.187591221293304 , -0.115928691666141 , -0.16335287938385 , 0.136220358183059 , 0.146083044440049 , 0.671680646265704 , -0.292495028008876 , 0.355488272499213 , -0.0521076386727804 , 0.343142246021606 , 0.448304893750795 , 0.18769871971431 , 0.165370742708272 , -0.0768062725218869 , -0.157947605464135 , 0.147712631392515 , -0.154107943747185 , 0.902180151247134 , 0.64240273482207 , 0.207357297369996 , -1.06292678979656 , -0.635257760029987 , -0.537667057404242 , -0.9710439717332 , 0.508734620541179 , 0.177090359529956 , 0.127952263866063 , -0.298681660078883 , -0.470447319456484 , -0.252456930672451 , -0.667552806864955 , 0.0163789814766813 , -0.141239113964989 , -0.439529616224861 , -0.154956480274275 , -0.563770913485053 | 0.4812473 |
| 81 | 50 | 0.0 | 0.0 | 1.0 | control , control , control , control , control , control , control , control , control , control , control , control , control , control , control , control , control , control , control , control , control , control , control , control , control , control , control , control , control , control , control , control , control , control , control , control , control , control , control , control , control , control , control , control , control , control , control , control , control , control , intervention , intervention , intervention , intervention , intervention , intervention , intervention , intervention , intervention , intervention , intervention , intervention , intervention , intervention , intervention , intervention , intervention , intervention , intervention , intervention , intervention , intervention , intervention , intervention , intervention , intervention , intervention , intervention , intervention , intervention , intervention , intervention , intervention , intervention , intervention , intervention , intervention , intervention , intervention , intervention , intervention , intervention , intervention , intervention , intervention , intervention , intervention , intervention , intervention , intervention , 0.778080851376239 , -0.0480919801001298, -0.733483402238221 , -0.291736275449365 , 1.7765505770064 , 0.305176274650153 , 0.29217799328719 , 0.375493857576165 , -1.96839945873815 , -0.782789443013878 , -0.483140643675286 , -1.34661272392689 , -1.08925721553964 , -0.921517276848551 , -1.10758544327475 , -0.16037696774261 , 0.0147298658503112 , 0.647646112004259 , 0.773006293452892 , 0.158504410939753 , -1.08570791816989 , 0.363560622231069 , 1.86125955580983 , 1.2414537596722 , 0.312175794494334 , -0.111000960796702 , -0.646701258630852 , 1.09766490917636 , -0.513250700963514 , 1.60484532234249 , 0.43463237179356 , -0.0802947765187374, -0.614412830408572 , -0.719827721766114 , 0.797803878492354 , -0.134747178767043 , 0.55422165651077 , -0.0866153921327649, -0.440947468262084 , -0.624652726850488 , 0.306203104945728 , -0.471148283947344 , -0.838306962799448 , -0.663983784574405 , 1.20122484381147 , 0.783975248205182 , 0.632197309165325 , 0.28485297872028 , -0.586153004964827 , -2.66337230065274 , 0.336013473274426 , 1.10658111126105 , 1.49672285139494 , 1.82741088824672 , 1.35944544379253 , 1.47718361709364 , -0.491770277162623 , -0.738211146685743 , -0.29011247365907 , 0.741332130660426 , -0.311591265818073 , -0.728449491518452 , 0.182097332156123 , -2.42554918578649 , 1.60433562698347 , 0.156743521123727 , 0.292897712757359 , -0.465915420383744 , 0.187556803452664 , 0.287267136686815 , -0.655566455600376 , 0.167823994171924 , -1.04904459032384 , 0.268395616964154 , 1.51162820624558 , 1.26204829686008 , -1.10398837993329 , -1.02733287684569 , 0.736746210869162 , -0.967721926008204 , -0.833982453780258 , -0.217807296900738 , -0.16481680981354 , 1.50446965497585 , 0.0265583249631197 , -0.503015772020796 , -0.185508730532032 , -0.840891883972182 , -1.02917853905779 , -0.760638596754166 , -0.332372005193997 , 0.520547247578307 , -1.15952646801296 , -0.997261564395944 , 0.497764152423605 , 1.43417091444603 , -0.581416679810628 , 0.484121758758681 , 2.09336901597515 , -0.461970639789217 | 0.5362542 |
| 81 | 50 | 0.0 | 0.1 | 0.5 | control , control , control , control , control , control , control , control , control , control , control , control , control , control , control , control , control , control , control , control , control , control , control , control , control , control , control , control , control , control , control , control , control , control , control , control , control , control , control , control , control , control , control , control , control , control , control , control , control , control , intervention , intervention , intervention , intervention , intervention , intervention , intervention , intervention , intervention , intervention , intervention , intervention , intervention , intervention , intervention , intervention , intervention , intervention , intervention , intervention , intervention , intervention , intervention , intervention , intervention , intervention , intervention , intervention , intervention , intervention , intervention , intervention , intervention , intervention , intervention , intervention , intervention , intervention , intervention , intervention , intervention , intervention , intervention , intervention , intervention , intervention , intervention , intervention , intervention , intervention , 0.229652780539017 , -0.0470452238772106, 0.456840090107624 , -0.47883904045843 , 0.127313971051407 , 0.381259014693321 , 0.869695729367249 , -0.110117324903427 , -0.610630384274195 , 0.144568069240379 , 0.233502031966261 , 0.0898316387438154 , 0.618451078356719 , 0.796204714764378 , 0.966757580175541 , 0.621899363555948 , 0.570603072835463 , 0.383616530852092 , -0.0763752290659558, -0.339371078540332 , -0.428825663190882 , 0.346425048360886 , 0.127878432882757 , 0.211923982923972 , 0.417824369072653 , 0.459873742179616 , 0.315608824459228 , -0.655812496158653 , 0.25792052550294 , 0.864733394211776 , -0.219866628607854 , -0.122165994201046 , 0.133440094675511 , -0.399274103232644 , -0.101493142239252 , 0.103099484557476 , 0.716825161366426 , -0.757751657478346 , 0.0187463350431503 , 0.15847846356708 , -0.444492394174319 , -0.0610799307009001, 0.294318545371294 , -0.481530565048161 , 0.401689243532845 , 0.0537087469405237 , -1.025214972339 , 0.875095026658946 , 0.0559077806718012 , -0.297142529658762 , -0.0179280419741677, 0.385658420175462 , 0.00312396128024263, 0.249942875170804 , -0.196637458280395 , 0.369360397659478 , -0.238507903229376 , -0.125125772670463 , -0.819252228513452 , -0.16837954094993 , -0.163531079317109 , -0.624405921030028 , 0.579318957263187 , -0.0113644573391062, 0.404479908707332 , -0.657549828675361 , 1.04461429290213 , -0.425408822724164 , 0.023554792508045 , -0.151451002673283 , -0.461702006991087 , 0.293618418819642 , -0.235875584935054 , -0.165911307112703 , -0.220970263084969 , -0.226089702314132 , -0.935804576622617 , -0.163734717071076 , -0.54043184932738 , -0.367430491768619 , 0.165142070051488 , -0.171489631909434 , -0.06057190085159 , -0.283848848186871 , 1.06019441177948 , -0.19760243079321 , -0.0789525594117287, -0.223135642097134 , -0.28312492924283 , -0.277451898538849 , 0.0926799517855506 , -0.36810087609267 , 0.667794086962647 , 0.00200408682163015, 0.0432746816119291 , 0.712278763125168 , 0.0174153215032464 , -0.392102599554103 , 1.41979158612568 , -0.167171626356055 | 0.1035053 |
| 81 | 50 | 0.0 | 0.1 | 1.0 | control , control , control , control , control , control , control , control , control , control , control , control , control , control , control , control , control , control , control , control , control , control , control , control , control , control , control , control , control , control , control , control , control , control , control , control , control , control , control , control , control , control , control , control , control , control , control , control , control , control , intervention , intervention , intervention , intervention , intervention , intervention , intervention , intervention , intervention , intervention , intervention , intervention , intervention , intervention , intervention , intervention , intervention , intervention , intervention , intervention , intervention , intervention , intervention , intervention , intervention , intervention , intervention , intervention , intervention , intervention , intervention , intervention , intervention , intervention , intervention , intervention , intervention , intervention , intervention , intervention , intervention , intervention , intervention , intervention , intervention , intervention , intervention , intervention , intervention , intervention , -0.285212291547358 , 0.593114477679696 , 0.850047155244844 , -0.0602330200013456, 1.0360267434167 , 0.243337370472198 , 0.234504244454513 , -0.28254898898662 , 0.184399227536135 , 0.591456473189272 , -1.2139877380077 , -1.5238884139029 , -0.562030958738979 , -1.11325501803618 , -0.392829218016591 , 1.27722322210834 , -0.920803363353399 , 0.828405797293266 , 0.500029365552596 , -1.30601944307382 , -0.760218432055864 , -1.22133635900191 , 0.472696373091327 , -0.507914962385088 , -0.952472378137271 , -0.364859952155083 , 0.109153179137918 , 1.13725913757546 , -0.237074442537123 , 1.33490341862188 , -0.665732423397393 , -0.98692437482042 , 1.19683324693644 , 0.0637891592529217 , 0.93727961184104 , 0.578824461788958 , -0.937964314753685 , -1.04294810360853 , -0.798013548958217 , -1.02929527995341 , 0.868971870449158 , 1.12362316418743 , -0.284775765750806 , 1.64635213228039 , 1.29514948825187 , 0.160515884866558 , -1.62464381272108 , -0.0652521882027563, 0.287329062000736 , 0.0897371960813943 , -0.249986947625874 , -0.469020483510108 , -0.822375267058384 , 0.648897593098192 , 0.634452646150336 , 0.349612459720909 , -0.306698314049732 , -0.455936653238719 , 0.686018959921302 , -0.89543139568454 , -0.0804188580103162, -0.820352194397279 , 0.00198492630329233, -0.734496950077982 , 0.111162662212917 , -0.726387172671779 , -0.569956108652227 , 0.64270732448862 , 0.254097620155471 , 0.602803747776036 , 1.1203501680638 , 1.51586138067701 , 1.11105834946808 , -1.26215407988201 , -0.467244947986135 , -0.809706337054407 , 0.294929612801956 , -2.03723858898524 , -1.03458333710816 , -0.108140422440144 , 0.200210953721954 , -0.552405670379489 , 0.589038549083246 , 2.22109650585076 , -0.161770224376546 , 0.560759550158054 , 0.605599047913756 , -0.693879477145229 , 1.08234776641611 , -0.629296019069394 , -1.6965801033137 , 0.472905703928873 , -0.852668176194912 , 0.315946696126195 , -0.375320871056226 , 1.58008047693694 , 1.08896355752975 , -0.867505802298158 , -0.0683518499662088, -1.46248902579164 | 0.9073889 |
| 81 | 50 | 0.5 | 0.0 | 0.5 | control , control , control , control , control , control , control , control , control , control , control , control , control , control , control , control , control , control , control , control , control , control , control , control , control , control , control , control , control , control , control , control , control , control , control , control , control , control , control , control , control , control , control , control , control , control , control , control , control , control , intervention , intervention , intervention , intervention , intervention , intervention , intervention , intervention , intervention , intervention , intervention , intervention , intervention , intervention , intervention , intervention , intervention , intervention , intervention , intervention , intervention , intervention , intervention , intervention , intervention , intervention , intervention , intervention , intervention , intervention , intervention , intervention , intervention , intervention , intervention , intervention , intervention , intervention , intervention , intervention , intervention , intervention , intervention , intervention , intervention , intervention , intervention , intervention , intervention , intervention , 0.871541303821601 , 0.271095053546624 , -0.879379155913003 , -0.247660802022607 , 0.109430205690484 , -0.416835712092728 , -0.133365422023121 , 0.953930559513206 , -0.192955111918354 , -0.0770612076966063, 1.07845587062348 , 0.257501377980659 , -0.463390909852965 , -0.216147207536029 , 0.570567693301081 , 0.252775827921116 , -0.451991220161201 , -0.398333125372524 , 0.125761582764382 , 0.256068333772205 , 0.728270243474893 , -0.0675743267898907, -0.515677718919497 , 0.512439611476807 , -0.509038921814976 , 0.767873229192035 , -0.212866026584433 , 0.51801149919983 , 0.762081371799387 , -0.995171486896382 , 0.76635119835716 , -0.0232525580789341, 0.0811594944771931 , -0.0179022760985965, 0.19474651092467 , 0.0632244512672118 , 0.00321520918290201, 0.112951805209899 , -0.215568664706727 , -0.574950304137146 , 0.331263094064939 , -0.0600776699736288, 0.072621097837845 , 0.0594387062226152 , -0.0141186191020311, -0.449823511207772 , 0.212631469741988 , -0.112942957825004 , 1.0054160706908 , 0.101681450983108 , 1.1873987937139 , 0.66128165583902 , 1.1054464057657 , 0.310838315747763 , 0.430602603870715 , 0.337572787953058 , -0.323982572735049 , -0.0028822575542552, 0.429888362389378 , 0.560270864442444 , 1.14171275856804 , -0.037925386580095 , 0.540022953335184 , 0.7902613246868 , 0.39487776735609 , -0.462789115192771 , 0.811666657088921 , 0.246524754716315 , 0.862347944428784 , 0.269696563109145 , 0.755169095841021 , 0.372525817611622 , 1.33646034178512 , 0.342608395110522 , -0.05049538980779 , 0.878085880043576 , 1.31322626559827 , 0.822934258058287 , 0.6118909893106 , 1.05458910780741 , 0.360346186926761 , 1.27007817920671 , 0.608036656344403 , 1.12503661098347 , 0.713409605893281 , 0.321613687411521 , 0.470999542524219 , 0.457991976261293 , 0.959576321591391 , 1.35490537688757 , 0.259441506356523 , 1.18482769767605 , 0.541569834518737 , 0.580688251674416 , 1.23240226595229 , 0.0691987209466198 , 0.653421782449867 , 0.255514004170132 , -0.354697135171806 , 0.625008584380969 | 0.0000003 |
| 81 | 50 | 0.5 | 0.0 | 1.0 | control , control , control , control , control , control , control , control , control , control , control , control , control , control , control , control , control , control , control , control , control , control , control , control , control , control , control , control , control , control , control , control , control , control , control , control , control , control , control , control , control , control , control , control , control , control , control , control , control , control , intervention , intervention , intervention , intervention , intervention , intervention , intervention , intervention , intervention , intervention , intervention , intervention , intervention , intervention , intervention , intervention , intervention , intervention , intervention , intervention , intervention , intervention , intervention , intervention , intervention , intervention , intervention , intervention , intervention , intervention , intervention , intervention , intervention , intervention , intervention , intervention , intervention , intervention , intervention , intervention , intervention , intervention , intervention , intervention , intervention , intervention , intervention , intervention , intervention , intervention , 0.136571335725844 , -0.893988456343093 , -0.0795180153368896, 0.16485430321867 , 0.35360683876138 , -0.82815238892773 , 2.24230699812661 , 1.03449541969432 , 0.159935854952457 , -1.0391299795584 , 0.587115205137933 , -0.861328711758807 , -0.617637963837541 , 0.262514904831959 , 0.350860520497886 , 1.48570816500484 , 1.00575167735377 , 0.534041133400563 , -1.2776363422146 , -0.335103839866563 , 1.03155706290237 , -1.04972512452631 , -0.117918446951418 , 0.357746347194542 , 0.118171294261746 , 1.90112566321551 , 1.31257728228342 , -1.26342591270059 , 0.815293020267052 , 0.362544958691244 , -0.418070082179549 , 0.557108713695217 , -0.182843436288761 , 0.265176395675758 , 0.673541385730484 , -2.11753830555402 , -1.34814113801797 , 1.07644252609976 , 0.45439633080196 , -1.91524506379134 , 1.37005945039237 , -0.297987602332004 , 0.512412126542422 , 0.791915887398816 , -1.5760288011275 , -0.731275010681473 , 0.746232254868139 , 0.453784669620198 , 0.237514047433304 , 0.896144627097136 , 0.486095504982215 , -2.43921297421648 , 1.60275829777527 , 2.86174144987992 , 0.344775517578988 , -0.227810900106354 , 0.423880112981456 , 0.674763527559129 , 2.75708145752497 , -0.283116204546969 , 1.30849730802675 , -0.0455961357537308, -0.456757177308564 , 1.62857175023243 , 0.104104953392896 , -0.882118415589389 , 0.957184213358745 , 0.942123143143058 , 1.37819981670744 , 0.151150554103421 , 1.19625995550228 , -0.129191092245113 , 0.0467544909132385 , 1.09716513230518 , -0.796501731842828 , -0.738859690802101 , -0.0560174134203844, 0.986558879235985 , -0.155758921227943 , 1.08237916820953 , 0.231366764168288 , -0.171749100586626 , 0.0804955580077684 , 0.337056364985591 , 0.189091559659165 , -0.0409940755823257, 1.26719786864047 , 1.29885353080482 , 0.773057554170375 , -0.665447316226355 , 0.120080705443972 , 0.736732704099826 , 0.423983764451402 , 0.692550215977074 , 0.565052105080344 , -0.283458899683383 , -0.0790596882900834, 1.14767774144862 , -0.647839580276667 , 0.552480670009998 | 0.1107027 |
| 81 | 50 | 0.5 | 0.1 | 0.5 | control , control , control , control , control , control , control , control , control , control , control , control , control , control , control , control , control , control , control , control , control , control , control , control , control , control , control , control , control , control , control , control , control , control , control , control , control , control , control , control , control , control , control , control , control , control , control , control , control , control , intervention , intervention , intervention , intervention , intervention , intervention , intervention , intervention , intervention , intervention , intervention , intervention , intervention , intervention , intervention , intervention , intervention , intervention , intervention , intervention , intervention , intervention , intervention , intervention , intervention , intervention , intervention , intervention , intervention , intervention , intervention , intervention , intervention , intervention , intervention , intervention , intervention , intervention , intervention , intervention , intervention , intervention , intervention , intervention , intervention , intervention , intervention , intervention , intervention , intervention , -0.170925144744355 , -0.0527991183087388 , 0.867700193865328 , 0.777636454215559 , 0.42895688291994 , -0.0754036184247498 , 0.263692481257855 , 0.440173484604921 , -0.904194375955945 , 0.124518722982301 , 0.0272274246382091 , 0.127499529927315 , 0.562378558630964 , -0.0996294189996658 , -1.47646649723734 , -0.832999016100586 , -0.22604469518407 , 0.474362170163032 , 0.168055478779955 , -0.00310310428453539, -0.257522072009722 , 0.0908890846325902 , -0.503320446291052 , 0.533823347750095 , 0.150537030100042 , -0.0927887839027449 , 0.144572456510962 , -0.360316729299826 , -1.53852914478578 , -0.446404279771729 , -1.12781945414553 , 0.312788951496909 , 0.140868782713083 , -0.177668634490369 , 0.219798440008205 , 0.0683625936624628 , 0.225273809792961 , 0.742991263553518 , -0.0460877302157509 , 0.63475081734936 , -0.663301100003235 , 0.253119041621289 , 0.401430634896546 , -0.182683047062705 , -0.146705546289447 , 0.473490053493776 , 0.207500685462801 , 0.348642817622183 , -0.739322619061306 , 0.662973250554888 , 0.31960198179858 , 0.606791810806057 , 0.139484831621911 , -0.256436567048528 , -0.0646016679184017 , 0.402837921083078 , 0.368184392906649 , 0.34554420703771 , 0.61685079370598 , 0.790225923094144 , 0.380194019009564 , 0.176550786531919 , 0.557090760570868 , 1.03702330024881 , 0.240097670274356 , 0.113537302995274 , 1.34532132810131 , -0.164029730296028 , 0.544530723784803 , 0.835543773201933 , -0.358212300911047 , 0.772145506660785 , 0.71993652156248 , -0.0664690706454417 , 1.30767740629964 , 0.758754462411819 , 0.730587495067564 , -0.0238259466111785 , -0.609403335795932 , 0.548312087568299 , 0.430817705822177 , 0.0965538566219967 , 0.355974940026971 , 0.423480981792715 , 1.08231976526974 , 0.943467639803901 , -0.775348266174039 , -0.35318371006872 , 0.733395897931716 , 1.06752349461806 , 0.647693832023732 , 0.11378339330291 , 0.595123184399481 , 0.063197962118969 , 0.65266890814106 , 0.222173783182392 , 0.739847457629139 , 1.38233009728181 , 1.11677338285997 , 1.14163111360458 | 0.0000219 |
| 81 | 50 | 0.5 | 0.1 | 1.0 | control , control , control , control , control , control , control , control , control , control , control , control , control , control , control , control , control , control , control , control , control , control , control , control , control , control , control , control , control , control , control , control , control , control , control , control , control , control , control , control , control , control , control , control , control , control , control , control , control , control , intervention , intervention , intervention , intervention , intervention , intervention , intervention , intervention , intervention , intervention , intervention , intervention , intervention , intervention , intervention , intervention , intervention , intervention , intervention , intervention , intervention , intervention , intervention , intervention , intervention , intervention , intervention , intervention , intervention , intervention , intervention , intervention , intervention , intervention , intervention , intervention , intervention , intervention , intervention , intervention , intervention , intervention , intervention , intervention , intervention , intervention , intervention , intervention , intervention , intervention , -0.33700199403941 , 0.694347554944687 , -1.67710255616889 , -0.828213300984358 , 0.642231890911889 , -0.914260937563428 , -0.872205604934226 , 1.12884808061386 , 0.160800449548588 , 0.770625988467701 , -0.302747846357814 , 0.188516721356004 , 1.03284454532538 , 0.240991871857498 , 0.225045386194912 , -0.792310740857 , 0.531974314790826 , 0.476607495702237 , -1.57537701166579 , 0.180968630789267 , 2.0246048056069 , 0.814222499666838 , -0.536941169765475 , 0.650977950826408 , -0.939594073663991 , 0.56943268013313 , -1.99535275619584 , -0.430854280009473 , -0.160109130215812 , -0.320551540501064 , 0.852989764841667 , -0.186760950016895 , 0.100775407577937 , 1.65672799329119 , 1.00820493222644 , -0.339015000120828 , 0.517612322680601 , 0.664663843956787 , 1.64479936044944 , 1.75553236863293 , 1.83964440662203 , -0.095784613502501 , 1.65271260059634 , -0.513629371087196 , 0.509126003887402 , 0.556752084261311 , -0.141719168191245 , 0.960390576112786 , 1.50103165674041 , 2.52168695270804 , 0.0414670697151682 , -0.816631544901775 , 4.11673571797289 , -1.05244316570397 , 3.07155604697493 , 0.303000451309599 , 2.23533588013523 , 0.242963420143913 , -0.0933681688576782, -0.712816194849215 , -0.887608493402309 , -0.0670963799263998, -0.871604742825822 , -0.0789377736684873, -0.374190914402227 , 2.50711548807914 , -1.27281217774208 , -0.746476698284199 , -0.280825926640094 , 2.24954616820005 , 1.92878885301088 , -0.273907948233215 , 1.5875151487149 , 0.954076875507506 , 2.1269169579063 , -0.732945723722961 , 0.832063424716022 , 0.950720600898659 , 2.97757981892955 , 0.258726619703691 , 1.65783629689444 , 1.61073153720193 , 1.94048413557347 , -0.604226066056632 , 1.08689440084978 , 0.574404454284582 , 0.493218637448341 , 0.99042766832669 , 2.20572338297572 , -0.141936220649766 , 2.24675191714494 , 0.743207382084259 , 3.06660421168705 , -1.74508979011787 , 0.442193580446585 , -0.168242865771932 , 0.380121340799928 , -0.442342149474561 , 2.46082218683435 , -0.342602504198872 | 0.1028793 |
| 82 | 20 | 0.0 | 0.0 | 0.5 | control , control , control , control , control , control , control , control , control , control , control , control , control , control , control , control , control , control , control , control , intervention , intervention , intervention , intervention , intervention , intervention , intervention , intervention , intervention , intervention , intervention , intervention , intervention , intervention , intervention , intervention , intervention , intervention , intervention , intervention , -0.147762450477763 , 0.00236771696262829, -0.156343657013005 , -0.454015240877652 , 0.276097363338849 , -0.297162938650465 , 0.646245816814101 , 0.119591071891558 , -0.195120174051111 , 1.35516214713859 , -0.78847483165517 , -0.128758038757304 , 0.123099297262012 , 0.270315569858594 , 0.193256034650461 , 0.0473171489813687 , 0.0879622984702226 , -0.362212281213377 , 0.112462938312926 , -0.438779141683177 , 0.605704051468153 , -0.15099417706356 , -0.0738147747956849, 0.10456144395386 , -0.835919390419556 , -0.596098600515035 , 0.13197257173696 , -0.267289842812441 , -0.250975668358893 , 0.434771793714537 , -0.126275115908121 , 0.158301668126956 , -0.522989275689886 , -0.391110683546233 , -0.331866060461423 , -0.994929091701708 , 0.894728485712908 , -0.0300173988927717, 1.45070407798849 , -0.378597922571847 | 0.6635091 |
| 82 | 20 | 0.0 | 0.0 | 1.0 | control , control , control , control , control , control , control , control , control , control , control , control , control , control , control , control , control , control , control , control , intervention , intervention , intervention , intervention , intervention , intervention , intervention , intervention , intervention , intervention , intervention , intervention , intervention , intervention , intervention , intervention , intervention , intervention , intervention , intervention , -1.06206472341713 , 0.332432264803994 , 0.0750365068954905 , -0.7057965000278 , 0.36365478939015 , -0.27759927724187 , -0.559377706996432 , -0.944763095064162 , 0.499830436046919 , -1.52830166501483 , -1.16197653118483 , 1.27227087517355 , -0.882098136105452 , 1.51337058191333 , 0.622809965285076 , -0.935726707607307 , -0.000806606322881478, 0.439355980041975 , 1.15430554565066 , 1.85550288797949 , 0.794063617487481 , 0.0562612510110043 , -1.13638053919192 , 1.04394713704405 , 0.201939529479221 , 0.988104884011935 , -0.989210575132641 , -2.31442663157859 , 0.6741103505231 , -0.905217904841775 , 0.136340359312136 , 0.675433707915572 , -2.04472614213347 , 1.20623523314599 , -1.76326797535841 , -1.20086275972349 , 0.447092695917201 , 0.478432582187805 , 0.854780355010175 , -0.685077958020885 | 0.5933380 |
| 82 | 20 | 0.0 | 0.1 | 0.5 | control , control , control , control , control , control , control , control , control , control , control , control , control , control , control , control , control , control , control , control , intervention , intervention , intervention , intervention , intervention , intervention , intervention , intervention , intervention , intervention , intervention , intervention , intervention , intervention , intervention , intervention , intervention , intervention , intervention , intervention , -0.468238965303834 , 1.25770360435516 , 0.479890684765026 , -0.0770150822875794, -0.208871066257257 , 0.210750262240924 , 0.392625489535396 , -0.0795945500421626, -0.427772484940812 , 0.484247007193377 , -1.11656332634555 , 1.12960415466956 , -0.718943700862442 , -0.245249747611557 , 0.56973823781328 , 0.143334243963057 , -0.603533520209804 , 0.0782489622511451 , 0.3802015971351 , 0.0262223934014741 , -0.34743427407488 , 0.704107431596946 , -0.227029263302514 , 0.584452849964935 , -0.616048595335104 , 0.638565047776542 , 0.0935665787347057 , -0.524013945015893 , 0.17266887088946 , -0.776106418278679 , -0.170311823415568 , 0.0317824909353776 , 0.0687088406496272 , -0.173683393799837 , -0.122762411522849 , 0.0353008195452973 , 0.208045369556516 , -0.729469619045807 , -1.35122204134505 , 0.0291130942963406 | 0.2966692 |
| 82 | 20 | 0.0 | 0.1 | 1.0 | control , control , control , control , control , control , control , control , control , control , control , control , control , control , control , control , control , control , control , control , intervention , intervention , intervention , intervention , intervention , intervention , intervention , intervention , intervention , intervention , intervention , intervention , intervention , intervention , intervention , intervention , intervention , intervention , intervention , intervention , 3.1688658746174 , 0.557557265524295 , -0.670714663530076 , 0.336948901758938 , 1.48997285101588 , -0.7076994399924 , 1.07829266664909 , -1.18492710566762 , 0.760965946929893 , -0.278259876143011 , -0.506423608422763 , -0.187484892401579 , 0.541042726316995 , -1.0078081983787 , 1.55275820755146 , -0.458833383754525 , -0.209892207524578 , -0.431383499947563 , 1.61839721239468 , -0.503893568348635 , 0.512611854648306 , 1.20619273732325 , -0.846520382892192 , -1.34371979723949 , 0.564635486153524 , 1.37726544009785 , -0.668920497997132 , -0.0136726579588349, -0.456489838843574 , -0.522010535720238 , 0.843705137765485 , -0.692637812838786 , 0.116591217202025 , -0.0693193435661821, -0.661215058715727 , 0.0251704252834537 , -0.723739165622714 , 0.973423380625335 , 0.143562075042278 , 0.949256914709088 | 0.4847306 |
| 82 | 20 | 0.5 | 0.0 | 0.5 | control , control , control , control , control , control , control , control , control , control , control , control , control , control , control , control , control , control , control , control , intervention , intervention , intervention , intervention , intervention , intervention , intervention , intervention , intervention , intervention , intervention , intervention , intervention , intervention , intervention , intervention , intervention , intervention , intervention , intervention , 0.0506519063330458 , 0.243256582319547 , -0.349935299889518 , -0.0668610875493462, 0.704055128749296 , -0.786521689232917 , 0.479454252189413 , -0.216071189145001 , -0.246384961408001 , -0.698068836976308 , -0.244827911935111 , -0.233563748165709 , 0.499617400334145 , -0.0834111734395004, 0.0546221172821709 , -0.199575933590921 , 0.642359392641703 , 0.192281058481974 , -0.941715867758062 , 0.578640714083612 , -0.313797681033839 , 0.379162554350802 , 0.379550242760552 , 0.449616435904678 , -0.430257708781035 , 0.345891195336994 , 0.642209804038909 , 0.21316637941202 , 0.633638664984671 , 1.13537346712695 , 0.276947265948554 , -0.24387653256134 , 0.0667081644460366 , 0.486729689154266 , 0.456841640158679 , 0.236000274976923 , 0.158456880713706 , 1.049215623677 , 1.02808908127324 , 0.820369843987988 | 0.0054865 |
| 82 | 20 | 0.5 | 0.0 | 1.0 | control , control , control , control , control , control , control , control , control , control , control , control , control , control , control , control , control , control , control , control , intervention , intervention , intervention , intervention , intervention , intervention , intervention , intervention , intervention , intervention , intervention , intervention , intervention , intervention , intervention , intervention , intervention , intervention , intervention , intervention , -2.34796552471054 , -1.31567203528367 , 0.293501061360614 , -0.593192091607844 , -0.912825892113205 , 0.763318765068751 , 1.24932787449949 , 1.6753864747397 , -1.33101881709394 , -0.647264627498587 , -0.338301920010258 , -0.767932706306206 , -0.531547856429947 , 0.500847881813973 , 1.07201621500802 , -0.223550231035486 , -0.974471433652691 , 0.582853706825734 , 0.166917658333762 , -0.800229588064283 , -0.085126870353153 , -0.888955153364133 , -0.269824021312868 , -0.595807094625569 , 0.230217632999082 , -0.035061253222362 , 1.14389482116119 , 0.468070191801071 , 1.83466725361597 , -0.0678818016919536, 2.49703023111878 , 0.853681870898221 , -1.04396187499282 , 0.492984663309831 , 0.00748372062451941, 0.207066055813064 , -0.469871646399197 , 1.67507385885124 , 0.531196097220896 , 0.00678422196410949 | 0.0776389 |
| 82 | 20 | 0.5 | 0.1 | 0.5 | control , control , control , control , control , control , control , control , control , control , control , control , control , control , control , control , control , control , control , control , intervention , intervention , intervention , intervention , intervention , intervention , intervention , intervention , intervention , intervention , intervention , intervention , intervention , intervention , intervention , intervention , intervention , intervention , intervention , intervention , 0.252909523802974 , 0.102008819704519 , 0.617279330720483 , -0.578058228046435 , -0.203083291347034 , -0.340996747121784 , 0.378929736531339 , -0.160420153997108 , 0.502047010834327 , 0.802419118065861 , 0.323940478801507 , 0.625187818364596 , 0.356279871923776 , 0.128265175426935 , -0.296169455574748 , -0.508250576724138 , -0.122516944136382 , -0.317623796801605 , -0.11331970228639 , -0.516131513990117 , -0.310656047938696 , 0.379125698935726 , -0.179436747274383 , 0.877032001580867 , 0.982952468816756 , 0.267902249311521 , 0.591082486628166 , 0.383331454075698 , 0.852950456271708 , -0.1058997601916 , 1.42997265146746 , 0.922190555274093 , -0.196681507240893 , -0.0358077148583648, -0.1888862831199 , 0.484517633258395 , 0.929770593294849 , 0.848170797846708 , 0.239109574322735 , -0.170004224841264 | 0.0221377 |
| 82 | 20 | 0.5 | 0.1 | 1.0 | control , control , control , control , control , control , control , control , control , control , control , control , control , control , control , control , control , control , control , control , intervention , intervention , intervention , intervention , intervention , intervention , intervention , intervention , intervention , intervention , intervention , intervention , intervention , intervention , intervention , intervention , intervention , intervention , intervention , intervention , -0.993078051698197 , -0.222005775336639 , 0.51688522242024 , 0.244918078740962 , -0.278297472530105 , 0.797448863361505 , -0.938540695909311 , 1.18042637695912 , -0.407549448578311 , -0.0678296280350131, 0.406328386864555 , 0.792583149240042 , 0.313880245117567 , -0.29853059665031 , 1.09743805608275 , -0.547173389359863 , 0.128501357634233 , -1.38361672887075 , 1.70055865798842 , 1.53322411470366 , 1.1374128225449 , 2.49325456909703 , 2.5358249075953 , -1.49414736812352 , 1.00696796135161 , 0.28491618591078 , 1.70476333024451 , -0.212052154330841 , -0.377512530856138 , -0.68992528032135 , 0.209396831815204 , -0.0572089327760265, 0.355576566629069 , -0.576310204593345 , 0.30807555149325 , 2.73293284918319 , -0.801820394795838 , 1.93895227121118 , -0.153364397023829 , -0.312597105127475 | 0.3372398 |
| 82 | 50 | 0.0 | 0.0 | 0.5 | control , control , control , control , control , control , control , control , control , control , control , control , control , control , control , control , control , control , control , control , control , control , control , control , control , control , control , control , control , control , control , control , control , control , control , control , control , control , control , control , control , control , control , control , control , control , control , control , control , control , intervention , intervention , intervention , intervention , intervention , intervention , intervention , intervention , intervention , intervention , intervention , intervention , intervention , intervention , intervention , intervention , intervention , intervention , intervention , intervention , intervention , intervention , intervention , intervention , intervention , intervention , intervention , intervention , intervention , intervention , intervention , intervention , intervention , intervention , intervention , intervention , intervention , intervention , intervention , intervention , intervention , intervention , intervention , intervention , intervention , intervention , intervention , intervention , intervention , intervention , -0.238196634881916 , -0.264706543129893 , 0.706530350344118 , -0.503222609180363 , 0.767399012456324 , -0.307588057012702 , 0.335017948460343 , -0.293402832249518 , 1.10167099959921 , -0.155067974106395 , -0.0348103625308261 , 0.854797957141095 , 0.143256897334199 , -0.278732683083587 , -0.118266761662628 , -0.0504983297450013 , -0.00757405649937705, 0.178468242100699 , 0.087395796697477 , -0.18673957827426 , 0.688445326207993 , -0.919020819585807 , -0.51683268274822 , -0.508107021429067 , 0.22396207420343 , -0.695829366542798 , 0.862259380040944 , 0.397876486550195 , 0.436359246014819 , -0.0880379926989793 , -0.095968144283894 , 0.0838077356121061 , 0.961228780807099 , 0.144371022377952 , 0.263667002893506 , 0.546296145296097 , 0.130707187664866 , -0.476222324611284 , 0.779248454075131 , 0.505844925501447 , -0.451053147537539 , 0.468909342960476 , 0.0205220354838805 , 0.319613318057369 , 0.141239731835542 , 0.602806745867554 , 0.10134167087461 , 0.383483778330446 , 0.344502159083445 , 0.381430207824772 , 0.380712058968217 , 0.0317148174702428 , -0.161437198220264 , 0.0520220783627087 , -0.38688801306106 , -0.0891635865968527 , 0.434263679078689 , -1.02920268238073 , -0.516961481935186 , 0.175577940724308 , -0.323788581110041 , 0.816427652348153 , -0.599839767898518 , 0.626180950157606 , 0.302123540570234 , 0.179999407029018 , 0.806010904343648 , -0.162028513907182 , -0.136946859381658 , 0.374881415432585 , 0.746391133324124 , 0.413068404127702 , -0.0796154381500979 , -0.706963627784762 , -0.0775154047536737 , 0.574277308090101 , -0.00758194329682389, 0.311143519786114 , 0.574417708553676 , -0.822259003515152 , -0.429028062321181 , 0.10397462311609 , -0.798775720269122 , -0.628088817450438 , 0.303457250991364 , 0.203044182373621 , -0.342807868060622 , -1.15734497220706 , 0.0832649221402359 , -0.107300720610347 , -0.455028217187697 , -0.976993363741881 , -0.280462324131395 , -0.123053917181853 , -0.184247827127261 , 0.125697260714681 , -1.12997762917588 , -0.838398711466015 , -0.207780127214086 , 0.467133992226246 | 0.0207147 |
| 82 | 50 | 0.0 | 0.0 | 1.0 | control , control , control , control , control , control , control , control , control , control , control , control , control , control , control , control , control , control , control , control , control , control , control , control , control , control , control , control , control , control , control , control , control , control , control , control , control , control , control , control , control , control , control , control , control , control , control , control , control , control , intervention , intervention , intervention , intervention , intervention , intervention , intervention , intervention , intervention , intervention , intervention , intervention , intervention , intervention , intervention , intervention , intervention , intervention , intervention , intervention , intervention , intervention , intervention , intervention , intervention , intervention , intervention , intervention , intervention , intervention , intervention , intervention , intervention , intervention , intervention , intervention , intervention , intervention , intervention , intervention , intervention , intervention , intervention , intervention , intervention , intervention , intervention , intervention , intervention , intervention , -0.74132208202535 , 0.169962155214175 , 0.248287476942665 , -1.44579057316986 , -0.0543634168639345, -0.766926861977752 , 1.01843473281786 , 0.0742637493240902 , -0.034399140367387 , -0.916677821117425 , -0.281378044567239 , -0.955724909563074 , -1.00035037773756 , 2.06386314548155 , -1.04134233038516 , 0.665536591074586 , 1.06886515731857 , 0.359424881088395 , 0.655392796386726 , 0.35447743480484 , 0.329868758516722 , -0.884239294116852 , 0.808983058308506 , 1.20337821840261 , -0.737208144492905 , 0.122911364030691 , 0.290680866743311 , 0.788766313141824 , 1.80227973153502 , 1.77443211181315 , 0.84090752832776 , -0.200903323381754 , 0.748036584693885 , 0.28525976306518 , -0.409144708669133 , -0.431239040769238 , -1.5217450787775 , 0.372898381275465 , -1.65514309372781 , -1.47529228725364 , -0.488760780596965 , 1.09716046344177 , 1.56835417706078 , 0.395491827210551 , 0.804296074258849 , 0.721016043189716 , -0.231535371466936 , -2.22104692749989 , -0.453909289651928 , -0.911453931009472 , 1.6308368166142 , 0.344780107465885 , -0.640223175587088 , 1.02337054677758 , 0.715759980826136 , 0.478101577456072 , 0.822292775887673 , -1.02629488500165 , -0.209694917516435 , 1.10943776275136 , -0.0401301961491821, 1.18770014639645 , -0.533483435955815 , -0.0717819550237076, -0.623077155897001 , 0.0768303742433384 , -0.205724368185898 , -0.022665730339246 , -0.328936332101475 , 0.255490733999538 , 0.407249368654089 , 0.123274895111335 , -1.1792963328729 , -0.209688044311658 , -0.106335950363324 , -0.601520759321236 , 0.284919955676247 , -2.26098225473076 , 0.45493804267827 , -0.261359651074032 , 0.905467755748809 , -0.656922952421597 , -0.308051897409093 , 0.456037174469424 , -0.307703692780169 , 0.0483552583012508 , 1.35281231441826 , -1.7756688413458 , -0.570067220123988 , 0.623089748537116 , 0.324009986868729 , -0.0666468343456573, 1.70594479590011 , 0.705563185355963 , -1.52565701518919 , 0.228196709298269 , 0.560158283654799 , -0.165887374633399 , 1.35222177172075 , -1.07629752978775 | 0.9445953 |
| 82 | 50 | 0.0 | 0.1 | 0.5 | control , control , control , control , control , control , control , control , control , control , control , control , control , control , control , control , control , control , control , control , control , control , control , control , control , control , control , control , control , control , control , control , control , control , control , control , control , control , control , control , control , control , control , control , control , control , control , control , control , control , intervention , intervention , intervention , intervention , intervention , intervention , intervention , intervention , intervention , intervention , intervention , intervention , intervention , intervention , intervention , intervention , intervention , intervention , intervention , intervention , intervention , intervention , intervention , intervention , intervention , intervention , intervention , intervention , intervention , intervention , intervention , intervention , intervention , intervention , intervention , intervention , intervention , intervention , intervention , intervention , intervention , intervention , intervention , intervention , intervention , intervention , intervention , intervention , intervention , intervention , 0.110351892524883 , 0.00509536596429425 , 0.18379472424724 , -0.0387183131004009 , 0.476389632804646 , -0.268326225767744 , 0.705600829571531 , 0.65689639016134 , -0.306113206106851 , 0.141646091968063 , 0.133782654396781 , 0.51516269585778 , 0.201560954832239 , -0.988214189568293 , 0.472232852133299 , -0.00695302967298576, 0.29399208971381 , -0.130703444890353 , 0.109325684561025 , 0.75956209342065 , 0.964624769285124 , 0.671687753309567 , -0.334498642967785 , 0.392586857797844 , 0.588707033726846 , -0.480978323657499 , 0.311215574770972 , 0.0255869249200972 , -0.166480513443322 , -0.23308603528848 , -0.472579485728556 , -0.152576457569094 , 0.935989403228346 , -0.479813077325422 , 0.368167059597653 , -0.414159723383386 , -0.464417720623341 , -0.141964430747114 , 0.0103445710426136 , -0.597671438211959 , 0.939141449503769 , 0.61888540873181 , -0.339039671572457 , 0.449317893177317 , 0.0997878138513376 , 0.253633901116024 , -0.731008197900223 , -0.0894167573194663 , 0.450850714556876 , -0.097173883831856 , 0.822646661979947 , -0.0180336520016612 , 0.286152615322251 , 0.455907907487682 , -0.198495607404613 , -0.318629662591413 , 0.245219172929503 , 0.617618590893648 , 1.02861259836345 , -0.366320721305178 , -0.256041098029931 , -0.953135324326124 , -0.18824219237005 , 0.276284170905896 , -0.38235075070866 , -0.779948086794545 , 0.246602994319961 , 0.239080371346756 , -0.216672196239174 , 0.287338688319818 , -0.373721071977073 , 0.169647356054742 , 0.628325763605237 , -0.420893008423019 , -0.437542808014611 , -0.311468386250002 , -0.237897083789857 , -0.155440559047953 , -0.752011989624984 , -0.0361250756961367 , -0.201116380159384 , 0.0132760841009923 , -0.570398423497891 , -0.259418067400116 , -0.425246761636825 , 1.31747961614724 , -0.456045841939744 , -0.180823783363634 , -0.498947800063946 , -0.616076779963453 , -0.87850356164684 , 0.667354730817253 , -0.744097038772863 , -0.230259056481403 , 0.24227742241347 , -0.509680289360775 , 0.691257024383076 , -0.266247110776166 , 0.555798577365163 , -0.478325968166731 | 0.0701275 |
| 82 | 50 | 0.0 | 0.1 | 1.0 | control , control , control , control , control , control , control , control , control , control , control , control , control , control , control , control , control , control , control , control , control , control , control , control , control , control , control , control , control , control , control , control , control , control , control , control , control , control , control , control , control , control , control , control , control , control , control , control , control , control , intervention , intervention , intervention , intervention , intervention , intervention , intervention , intervention , intervention , intervention , intervention , intervention , intervention , intervention , intervention , intervention , intervention , intervention , intervention , intervention , intervention , intervention , intervention , intervention , intervention , intervention , intervention , intervention , intervention , intervention , intervention , intervention , intervention , intervention , intervention , intervention , intervention , intervention , intervention , intervention , intervention , intervention , intervention , intervention , intervention , intervention , intervention , intervention , intervention , intervention , 1.0833162997367 , -0.820443933720285 , 0.0443738568581842 , 0.873089742440506 , 0.892015482058226 , 1.02478299156405 , 0.413076348627447 , -0.631963756349976 , 0.599561270645471 , -2.01074301580081 , -0.191923725767522 , -1.78716712951707 , -0.15400681546586 , 0.71073292043119 , 1.23179539031648 , -1.16761508991561 , 1.15663925934295 , 0.949634573657605 , 0.619215923844544 , -0.143481306651755 , -0.740723133186763 , 1.21476937907434 , -0.779032782624894 , 0.351457266073481 , -0.691762707888774 , 0.594845174044761 , 0.669553831869338 , -0.0628593829398629 , -0.260278391296906 , 0.00847436991485728 , -0.0781420679604338 , 1.28453613584271 , -0.836129850715101 , 0.443598780140084 , -0.309551338975303 , 0.326956056122653 , 0.866062536195527 , 1.10595936068726 , -1.99913569910906 , -1.40698301150444 , -0.602596696829696 , 0.0921412806303916 , 2.8349472322553 , 0.519528513999047 , -1.74834370226732 , 0.664259865761132 , 0.430369314106207 , 0.682788914598344 , -1.52433324456717 , 1.30609847704751 , -0.651559220447955 , -1.46905847082981 , 0.815347932313406 , 0.152709536942085 , 2.36947609976735 , -0.166254957841164 , 0.334005825241635 , -0.0546802825136393 , -0.13055236932836 , 0.00168298024857111 , 0.923263556948189 , -0.525209089604252 , -0.487833289514531 , 0.370675050382606 , -0.623306049504686 , 8.70464917620873e-05, -1.48643593026548 , 1.23857964225886 , -1.35853987007768 , 1.21316916494059 , -0.956182048961504 , 0.419772731769113 , 1.12190195522826 , 0.817774185298385 , 0.162086468371372 , -0.232767255747209 , -0.268800531079613 , 0.801961669511901 , 1.35666373656445 , -1.32292049706921 , 0.570319644420871 , 0.241927204084077 , -0.244318358476803 , -1.22775861026206 , -0.785482207238927 , -0.824978503307384 , -0.947931540911175 , 0.923428727920924 , -0.127018819928074 , 0.135165077775195 , 1.27420009190611 , 1.02326224620321 , 0.700238204844144 , 1.05643585987488 , 0.292374920054593 , -0.168228941337644 , -2.34757951859128 , 0.72168622929298 , 2.7279243872037 , -0.557938246137901 | 0.9803804 |
| 82 | 50 | 0.5 | 0.0 | 0.5 | control , control , control , control , control , control , control , control , control , control , control , control , control , control , control , control , control , control , control , control , control , control , control , control , control , control , control , control , control , control , control , control , control , control , control , control , control , control , control , control , control , control , control , control , control , control , control , control , control , control , intervention , intervention , intervention , intervention , intervention , intervention , intervention , intervention , intervention , intervention , intervention , intervention , intervention , intervention , intervention , intervention , intervention , intervention , intervention , intervention , intervention , intervention , intervention , intervention , intervention , intervention , intervention , intervention , intervention , intervention , intervention , intervention , intervention , intervention , intervention , intervention , intervention , intervention , intervention , intervention , intervention , intervention , intervention , intervention , intervention , intervention , intervention , intervention , intervention , intervention , -0.291876166231161 , -0.21259562624969 , -0.0211077484947481 , 0.165504089938851 , -0.0242657683396789 , 0.931023692657208 , 0.397900595412332 , -0.163861904572545 , 0.0601812512574483 , -0.341897379393027 , -0.584983370909599 , -0.199362014039973 , -1.19267122257024 , -0.748894017428873 , -0.155886494495958 , 0.0267180926651915 , -0.512860559948167 , 0.450537177014402 , -0.296591877104343 , 0.148261398888078 , -0.0777744231757265 , 0.934768916973024 , -0.135322678467515 , 0.323444276005524 , 0.628849039454976 , -0.0956336516092488 , 0.393533754926775 , 0.296823254598511 , -0.302296972668698 , 0.496109494278858 , -1.19737080623329 , -0.383498065204257 , 0.143427688033205 , 0.125668196007403 , 0.39703132087415 , -0.103163470699024 , -0.261705557666988 , -0.726258833276124 , 0.115491778227177 , 0.407392720219532 , 0.255661388711287 , -0.852841238894125 , -0.184071690999548 , -0.00827063959366757, -1.00590830002678 , -0.411306622769572 , 0.599146838279753 , 0.54038107839245 , 0.143694264950014 , -0.281031469130541 , 1.02341952541969 , 0.288122501344094 , 0.561471022186071 , 0.570131353620571 , 0.96904016796245 , -0.349470140959876 , 0.390269833276066 , 1.10132188868924 , 0.504669939204465 , 1.1197252852398 , 1.05679724099256 , 0.638724693010054 , 0.520818318842795 , 0.543397552689859 , -0.012940229867296 , -0.0430743149567244 , 0.526463757740548 , 1.87962045139587 , 0.96009023222839 , 0.538049329973138 , 1.20761075533602 , -0.016910093838743 , 1.20076056861467 , 0.726517863593101 , 1.24575013526845 , 0.275195767758229 , 0.613327186524153 , 0.32732669075688 , 0.135763925655066 , 1.05891185358449 , 0.284826128788496 , 0.0893640079021775 , 0.12799968561843 , 0.0734529479291779 , 0.842498344555322 , 0.381889598137174 , 0.637168178870703 , -0.464902205871909 , 0.101960854801686 , 0.974455010250407 , -0.0489133286673049 , 0.125215380027239 , 0.109888697815318 , -0.73006135877458 , 0.832866448792021 , 1.24734011122539 , -0.101144301541878 , 0.986805518415046 , 0.0454584609441979 , -0.481893159567623 | 0.0000005 |
| 82 | 50 | 0.5 | 0.0 | 1.0 | control , control , control , control , control , control , control , control , control , control , control , control , control , control , control , control , control , control , control , control , control , control , control , control , control , control , control , control , control , control , control , control , control , control , control , control , control , control , control , control , control , control , control , control , control , control , control , control , control , control , intervention , intervention , intervention , intervention , intervention , intervention , intervention , intervention , intervention , intervention , intervention , intervention , intervention , intervention , intervention , intervention , intervention , intervention , intervention , intervention , intervention , intervention , intervention , intervention , intervention , intervention , intervention , intervention , intervention , intervention , intervention , intervention , intervention , intervention , intervention , intervention , intervention , intervention , intervention , intervention , intervention , intervention , intervention , intervention , intervention , intervention , intervention , intervention , intervention , intervention , 1.64485845631778 , 0.449633638663929 , -1.17861586863471 , 1.11047293951258 , 1.3378727171415 , -0.116544558136251 , -0.975470183131026 , 0.061418719116835 , -0.720746701081392 , 0.444154452845482 , 1.10348438655682 , 2.28904171884278 , -1.00170325163276 , 0.635307898071097 , -0.383506465619633 , 1.38118231973567 , -0.442165336422879 , -1.36593770121856 , -0.422762732241301 , -1.95227844856301 , -0.179907115286058 , -0.161553348277836 , -0.655303502773357 , 0.241044563478903 , -0.415277437524866 , -0.429960905502423 , -0.302377959244781 , -0.515814042324327 , -0.257176692359506 , 1.13860859772482 , 0.398662837601134 , 0.712603217731993 , -0.0148390518958131 , 1.03292340099359 , 0.00740204897236001 , -0.541188656199832 , 0.286175000739105 , 0.120611868049638 , 0.186274176335933 , -1.61619884944702 , 1.25588676409736 , -1.65040604677514 , -1.56361873625345 , -1.25869501097589 , -1.33211404790579 , 0.9463351407026 , -0.711028888260293 , 0.156856519691081 , -1.77231346696797 , -0.570199147600422 , -0.00110846144252508, 1.11597131152426 , 0.934573483618876 , 0.0991878787242613 , 0.469111421034289 , 0.820944756020373 , 1.24897442287335 , -0.680410189361696 , 1.37051235666956 , -0.392885996479295 , -0.0277608114059853 , 1.31201786338077 , 1.62287710596489 , 1.21320306714859 , -0.120815205342378 , 0.252443786867595 , 1.28165537241577 , 1.90626647349634 , 2.95324513618969 , 0.0265363910467586 , 0.694104280286413 , 1.05157499280519 , -0.319199323169766 , -1.0657378903038 , 1.28619387797293 , 1.95030828883971 , -1.03281644268022 , 0.891806858686419 , -1.10098332732833 , 1.21317297484116 , 2.17942752374129 , 2.37642865968157 , 0.0126324490162746 , 0.602499208625102 , 2.14108435601834 , 1.76803022913989 , -0.86826156160225 , 0.335761898944757 , -1.09707362134021 , 0.308785453235065 , 0.21851655732793 , -0.963069035518006 , -0.905930738694142 , 0.386141603996359 , 0.846255169342604 , 1.03975869936097 , 1.17840272276122 , 0.103117407665479 , 0.0493634069860664 , 1.48075364602779 | 0.0004946 |
| 82 | 50 | 0.5 | 0.1 | 0.5 | control , control , control , control , control , control , control , control , control , control , control , control , control , control , control , control , control , control , control , control , control , control , control , control , control , control , control , control , control , control , control , control , control , control , control , control , control , control , control , control , control , control , control , control , control , control , control , control , control , control , intervention , intervention , intervention , intervention , intervention , intervention , intervention , intervention , intervention , intervention , intervention , intervention , intervention , intervention , intervention , intervention , intervention , intervention , intervention , intervention , intervention , intervention , intervention , intervention , intervention , intervention , intervention , intervention , intervention , intervention , intervention , intervention , intervention , intervention , intervention , intervention , intervention , intervention , intervention , intervention , intervention , intervention , intervention , intervention , intervention , intervention , intervention , intervention , intervention , intervention , -0.43743273028978 , 0.636345173499523 , 0.438673705300792 , -0.0196342695139989, 0.0277893942086383 , 0.409492884284022 , -0.310609255501761 , -0.189955515709744 , 0.837268268783355 , -0.23043294580676 , -0.0479480189328923, 0.363995525621493 , -0.266405398661185 , 0.559663741459031 , -0.147016118486734 , 0.680913003303381 , 0.435579458630569 , 0.299971546509231 , 0.228634624913294 , -0.0194440531716686, 0.100775989057267 , 0.484297891952922 , 0.124038026017948 , 0.421007771591856 , 0.345804967227584 , -0.203102506745823 , -0.0942127670003765, -0.304619397454509 , 0.181047421637127 , -0.163864837662237 , 0.330290629568265 , -0.444046868106498 , -0.477978197446306 , -0.0200696293002432, -0.643102511404736 , -0.314530432142771 , -0.590642888240452 , -0.453431579843935 , 0.403786996501312 , -0.383966506042671 , -0.205225906637682 , 0.0908193479995497 , -0.732153993719193 , 0.832156293003409 , 0.364992661468622 , -0.318737566671779 , -0.443509236495733 , 0.357555419784639 , 0.727248602897042 , 0.559626770713151 , 0.354343448921823 , 0.480356762555953 , 0.599128243428648 , 0.583186242632347 , 0.473003306303438 , 0.713050301989589 , 0.753518859703506 , 0.464517380140605 , 0.395703588142334 , 0.784244047805885 , 0.147776683617824 , 0.412068148669002 , 0.655864990089329 , 0.200286546968673 , 0.458710138714116 , 0.671037526691326 , 0.208955946471107 , 0.139247519384628 , 1.21535866689813 , 0.763519089246661 , 0.231890316406633 , 0.079820441246815 , 0.634691632548334 , 0.387687585660299 , 0.625145407850359 , 0.0340236323015959 , 0.567474235893084 , 1.37766781756999 , 0.10295702976186 , 1.33955135203465 , 0.638293262073342 , 1.394868259483 , 0.545753675450112 , 0.933769874811506 , 0.279147512562301 , 0.573754107001523 , 0.889028539480082 , 0.80315139272216 , 0.967201973758772 , 1.00920204206981 , -0.28412655565925 , 0.109053534527711 , 0.866595467470243 , 1.18196972649292 , 1.01057803672854 , 1.25647850350031 , 0.221049796277837 , 1.16898965154165 , 0.977376608584742 , -0.246967843773024 | 0.0000000 |
| 82 | 50 | 0.5 | 0.1 | 1.0 | control , control , control , control , control , control , control , control , control , control , control , control , control , control , control , control , control , control , control , control , control , control , control , control , control , control , control , control , control , control , control , control , control , control , control , control , control , control , control , control , control , control , control , control , control , control , control , control , control , control , intervention , intervention , intervention , intervention , intervention , intervention , intervention , intervention , intervention , intervention , intervention , intervention , intervention , intervention , intervention , intervention , intervention , intervention , intervention , intervention , intervention , intervention , intervention , intervention , intervention , intervention , intervention , intervention , intervention , intervention , intervention , intervention , intervention , intervention , intervention , intervention , intervention , intervention , intervention , intervention , intervention , intervention , intervention , intervention , intervention , intervention , intervention , intervention , intervention , intervention , -1.37424468513215 , 0.847045765015333 , -0.514572531013798 , -0.167108904471235 , 1.63710365624712 , -1.3645479117329 , 0.526485131265041 , -1.17852468346861 , 0.462654798485194 , 0.199745924934474 , 0.639527306837567 , 2.41943034210404 , 1.68314200190118 , 0.639150208725406 , 1.88297562131136 , 0.452423600046577 , -0.923131596354055 , 0.438955429783335 , -0.392418412291835 , 1.49177516543135 , -1.22943991375863 , -0.254594257797124 , 0.318663998707019 , -0.93986225420511 , 1.70922268146811 , -0.230982672122271 , -1.03687021959541 , -1.89541236430135 , 1.44365448152298 , 0.394903744644699 , 1.7069329572174 , 1.72261752693764 , 1.59085859383893 , -0.0523103932098516 , 1.70436511300046 , -0.00256828806835867, -0.441106190235836 , 1.04075769860868 , 1.98859522144875 , 2.87604009807021 , -0.144750715936525 , -0.0827673291114185 , -0.895172690162369 , 0.267120510960991 , -1.35347471414857 , 1.18450888827648 , -0.917025093846478 , 0.934152710802011 , 1.88824093262761 , -0.0502908167862907 , 0.418984999693339 , 0.446426207585989 , 1.59603857024503 , -0.799916730466028 , 2.64616714970502 , 1.55510758661995 , 0.318192467244127 , 0.21012315567003 , -0.847757609680194 , 1.56204782370815 , 1.94134609219187 , 1.63118844618673 , -1.27103002887326 , 0.23544385675512 , 0.486889113121886 , 1.4537578618974 , -0.332989476854892 , 1.80288065011985 , -0.72627407885474 , 0.0207487977363268 , 1.9672850709927 , 2.35118963316095 , -1.82810650972486 , 1.68329967368879 , 0.917471170482658 , 1.73955816621069 , 0.257512206997884 , -0.046943133677027 , 0.170404070802859 , -0.891934806542064 , 0.321184967997029 , 0.61325471231269 , 0.0506749319737758 , 1.11927463613461 , 0.655050225391546 , 0.417915650771007 , -1.1263562767896 , 0.646638583437097 , 2.30838288940399 , 1.81521497641965 , 1.20286803112109 , -0.0598643326790179 , 0.949775492295817 , 0.211119777912453 , 0.279820710628216 , 0.00703968663020665 , 0.75286095052936 , 1.22165685286256 , -0.799293424413117 , 1.92802157031448 | 0.2578300 |
| 83 | 20 | 0.0 | 0.0 | 0.5 | control , control , control , control , control , control , control , control , control , control , control , control , control , control , control , control , control , control , control , control , intervention , intervention , intervention , intervention , intervention , intervention , intervention , intervention , intervention , intervention , intervention , intervention , intervention , intervention , intervention , intervention , intervention , intervention , intervention , intervention , 0.468565851765009 , 0.759421758333483 , -0.193671053783044 , 0.386823849893048 , 0.260562828239729 , 0.178369980393745 , -0.05074167830308 , 0.520321171400158 , 0.167228168059231 , 0.412093690956008 , -0.545232551912238 , -0.434938759063178 , -0.671107413821258 , 0.213884584280618 , 0.203681225387614 , 0.565162689481448 , 0.722225138049668 , -0.0895024311357615, -1.06123596618285 , 0.0555283300008179 , 0.56016722415067 , -0.60581920585091 , 0.444349490147706 , -1.33893895103559 , 0.454846257877269 , -0.32301408822096 , 0.20580894002332 , -0.499249136897274 , 0.072654415080108 , -0.259690166446839 , 0.00979737498773908, -0.326849883016034 , 0.81152062924623 , -0.411648450183855 , -0.0216038691725761, -0.904549478264548 , 0.179405815150562 , 0.606934667840321 , -0.585595721898835 , 0.256791459164604 | 0.2853825 |
| 83 | 20 | 0.0 | 0.0 | 1.0 | control , control , control , control , control , control , control , control , control , control , control , control , control , control , control , control , control , control , control , control , intervention , intervention , intervention , intervention , intervention , intervention , intervention , intervention , intervention , intervention , intervention , intervention , intervention , intervention , intervention , intervention , intervention , intervention , intervention , intervention , 0.741175720306 , 0.135376412436233 , 0.0700834150513811 , -0.979842969129095 , -0.0951783966980438, -0.79843823380362 , -0.677699477793526 , 0.172451988034843 , -0.92480879328483 , 1.5523469470901 , 1.36018177635718 , -0.699426323176213 , -1.07695164617288 , 1.60310309377392 , 0.347340011224809 , 1.45400387487115 , -1.33281602065013 , 0.140637083370598 , -1.96316335382546 , 0.8733617587907 , -0.578705345299642 , -0.171454456665982 , -0.462976534664299 , 0.470001013627711 , -0.63809137917941 , 0.205029869106146 , -0.316186368238182 , 0.905575307133776 , 0.941670572790943 , -0.487443011898807 , -1.23419065565439 , 0.502369753017874 , -0.662694418461477 , -0.565170248642446 , -0.264440780601092 , 0.669069837108334 , 0.66933851278726 , -1.28678387568639 , 0.0297071880552502 , 1.29077288742369 | 0.8769575 |
| 83 | 20 | 0.0 | 0.1 | 0.5 | control , control , control , control , control , control , control , control , control , control , control , control , control , control , control , control , control , control , control , control , intervention , intervention , intervention , intervention , intervention , intervention , intervention , intervention , intervention , intervention , intervention , intervention , intervention , intervention , intervention , intervention , intervention , intervention , intervention , intervention , -0.0524423106612609, 0.237126066509905 , 0.374156386044144 , 0.940619907710815 , -0.267694197103102 , 0.0795843505941762 , -0.0513250377638272, -0.586740895508449 , 0.545211074748139 , 0.475075327861396 , -0.484487113896773 , -0.370123748623744 , 0.280419976607516 , -0.0240896453126416, 0.501699258015449 , -0.530498005746919 , 1.12343641768868 , 0.392982915182801 , 0.576745240329947 , 0.0316532378786113 , 0.521094244427076 , 0.813204481384174 , 0.272293593529312 , -0.423844902924415 , -0.597975886562302 , -0.673983335177387 , 0.300665062323333 , -0.865370053728584 , 0.918057923229581 , -0.419064150261665 , 0.0243123030861355 , -0.148783978018708 , -0.892611927386936 , -0.475391911956137 , 0.5261877269085 , -0.313407276371055 , -0.356321831100977 , 0.001645016026313 , 0.3390396219633 , 0.174527324515948 | 0.1707546 |
| 83 | 20 | 0.0 | 0.1 | 1.0 | control , control , control , control , control , control , control , control , control , control , control , control , control , control , control , control , control , control , control , control , intervention , intervention , intervention , intervention , intervention , intervention , intervention , intervention , intervention , intervention , intervention , intervention , intervention , intervention , intervention , intervention , intervention , intervention , intervention , intervention , 0.0719371932477029 , -0.320916425304286 , 0.599775839772241 , 1.08793198797567 , 1.14386619884914 , 1.53204196203536 , -0.151796650770122 , -1.38947740420413 , -0.0825950765581429, 0.0637114996625928 , 0.386620614706238 , 0.853628217862279 , -0.642683267628841 , -0.955749718759254 , -1.18460872963446 , 0.55970136406687 , -0.299962878148688 , -0.231565928305841 , -0.582971692557894 , 0.374259761499794 , 0.354144072179731 , 0.280980502080135 , -0.985614750866076 , 0.155649025973486 , 0.00604216998511093, 1.32945846269799 , -0.263829534528502 , -1.57498340476584 , 0.0988148410295078 , -2.08504046263979 , 0.235118001980598 , 0.617767634070588 , -0.431272684709417 , 0.431238587528585 , 0.209013214705457 , -1.25589515077627 , -1.91767566789761 , 0.840396001669293 , -0.895509555527802 , 0.122263208148487 | 0.3136765 |
| 83 | 20 | 0.5 | 0.0 | 0.5 | control , control , control , control , control , control , control , control , control , control , control , control , control , control , control , control , control , control , control , control , intervention , intervention , intervention , intervention , intervention , intervention , intervention , intervention , intervention , intervention , intervention , intervention , intervention , intervention , intervention , intervention , intervention , intervention , intervention , intervention , -0.536268328452467, -0.227502295069921, 0.254094186789131 , -0.283704139522168, -0.490405637262597, -0.649879044810101, -0.14254410248288 , 1.30886523804842 , -0.317793562601868, -0.133477094168882, -0.338923765971413, -0.486813200880711, -0.3434221903652 , 0.337738373907197 , 0.264354708213966 , 0.426175302960599 , 0.543231295381534 , 0.347309125583256 , 0.487449929457206 , -0.247387907807219, 0.29361846031382 , 0.121468645536314 , 0.629650102910541 , 1.98862122757143 , 0.640013479428469 , 0.521469853415783 , -0.242803973082639, 1.32184017199237 , -0.309495387584816, 0.424246145865395 , 0.593401657557627 , 0.670063032117613 , 0.551397389127682 , 1.06064526332755 , -0.41921279448813 , 1.05783459487138 , 0.281965905584183 , 0.368108565491302 , 0.312952331665417 , -0.383582392718818 | 0.0075550 |
| 83 | 20 | 0.5 | 0.0 | 1.0 | control , control , control , control , control , control , control , control , control , control , control , control , control , control , control , control , control , control , control , control , intervention , intervention , intervention , intervention , intervention , intervention , intervention , intervention , intervention , intervention , intervention , intervention , intervention , intervention , intervention , intervention , intervention , intervention , intervention , intervention , -1.01409956505178 , -0.0576622509523761, 0.278052613104675 , -0.364203677491767 , -0.0957294296339132, -0.0559492320522617, 2.32045632711059 , 0.995250210309581 , 0.881525560285476 , -1.39704227881797 , -0.534476073257464 , 1.7981093950901 , 0.0453659996815643 , 0.758859745208507 , -0.793106357426484 , -0.575549531229868 , -1.03186270386841 , 0.177538102743256 , 1.16309872627956 , 0.209376139955115 , -0.55522936261033 , -0.0290464253902645, 0.282414014183768 , 1.04277859864113 , 1.21236815144088 , 0.666533895272756 , 0.639380478601169 , 1.63124867913523 , 1.31324954147843 , 0.754875333471815 , -0.44512895425139 , 1.34749341735791 , 0.0535496322303439 , 2.12384447599166 , 0.114455087192144 , -1.65253156721501 , 0.823241250940938 , 0.173894602353352 , 1.49103100296047 , 1.63322631196363 | 0.1017570 |
| 83 | 20 | 0.5 | 0.1 | 0.5 | control , control , control , control , control , control , control , control , control , control , control , control , control , control , control , control , control , control , control , control , intervention , intervention , intervention , intervention , intervention , intervention , intervention , intervention , intervention , intervention , intervention , intervention , intervention , intervention , intervention , intervention , intervention , intervention , intervention , intervention , -0.136357429581867 , 0.0597385828911492 , 0.26941047771713 , 0.909000911309833 , 0.327520081569745 , 0.631124870122353 , 0.652506681164371 , 1.15671157266325 , 0.818632915516021 , -0.730496029201286 , -0.00185413352595559, 0.549083176803059 , 0.346367528975588 , -0.425189867749418 , -0.203697387974147 , 1.37987275501751 , 1.18151651382112 , -0.259140909143848 , -0.615085862953147 , 0.0273644239375063 , 0.530741888555572 , 1.33874816785396 , 1.20598667949585 , 0.446168825086358 , 0.492915411937978 , 0.622385679793296 , 0.740015716780784 , 0.723798539744341 , 0.224605657577614 , 0.417284235889182 , 1.10424748917864 , 0.855287071849355 , 0.61946968740847 , 1.87227417223427 , -0.200138059555574 , 0.443060991202893 , -0.261175952866859 , 1.15899766455922 , 1.52931594393149 , 0.299003111432805 | 0.0294914 |
| 83 | 20 | 0.5 | 0.1 | 1.0 | control , control , control , control , control , control , control , control , control , control , control , control , control , control , control , control , control , control , control , control , intervention , intervention , intervention , intervention , intervention , intervention , intervention , intervention , intervention , intervention , intervention , intervention , intervention , intervention , intervention , intervention , intervention , intervention , intervention , intervention , 0.769083163116735 , 0.175150603352417 , -0.717079232710597 , 2.02369754030452 , 1.56234980590118 , 0.969555299465548 , -0.283359207567075 , 0.40682915858267 , 0.197142874275083 , -1.22457972653417 , -1.18108085141544 , -0.303757291900856 , 2.05831931460609 , -0.480492912328023 , 0.916839040690405 , 0.822659613103497 , -0.487724381334695 , 1.45321431576185 , 0.417876711569916 , 0.283166563936651 , 0.129279595220251 , 1.16837773290495 , -0.336345590073384 , 1.5345509451623 , 1.09528797177084 , 1.74469947349657 , -0.209847409579312 , -0.0675072868421159, 0.49873485875231 , 0.745263258033643 , 1.28598488437493 , 0.302346866203673 , 0.640895705217387 , -0.595540983608331 , 2.00661740628663 , 0.255459931463056 , -0.0512417617147615, -0.771284883460483 , 0.693435085609285 , -1.00484463571032 | 0.7704263 |
| 83 | 50 | 0.0 | 0.0 | 0.5 | control , control , control , control , control , control , control , control , control , control , control , control , control , control , control , control , control , control , control , control , control , control , control , control , control , control , control , control , control , control , control , control , control , control , control , control , control , control , control , control , control , control , control , control , control , control , control , control , control , control , intervention , intervention , intervention , intervention , intervention , intervention , intervention , intervention , intervention , intervention , intervention , intervention , intervention , intervention , intervention , intervention , intervention , intervention , intervention , intervention , intervention , intervention , intervention , intervention , intervention , intervention , intervention , intervention , intervention , intervention , intervention , intervention , intervention , intervention , intervention , intervention , intervention , intervention , intervention , intervention , intervention , intervention , intervention , intervention , intervention , intervention , intervention , intervention , intervention , intervention , -0.293776802796303 , 0.0229019137309959 , -0.179282541578687 , -0.741499271996699 , 0.284392408203907 , -0.454799515805368 , -0.224645195215225 , 0.684677284849884 , -0.0118065931232477 , -0.0569157836888056 , 0.798830153762462 , -0.0924505697156145 , -0.349887130088011 , -0.129363699458755 , -0.0293309204191754 , -0.0708141997396832 , 0.00432346663293 , -0.562868449682988 , 0.866181219355103 , 0.163008470496766 , 0.215798181711651 , -0.280028190811084 , 0.162538286848673 , -0.520161261778303 , -0.0402724188111237 , -0.297204198315358 , 0.390061044835107 , 0.234953609928489 , -0.156842301380067 , 0.13097193879773 , -0.347476547072585 , -1.01610104778168 , -0.411359937006154 , -0.357944590355337 , 0.32671640934764 , 0.296346272313901 , 0.0947003220623455 , -0.382385223392711 , -0.39809661801112 , -0.238095905772605 , -1.01155414350824 , -0.164004259571656 , -0.0339424729302432 , 0.252542184550533 , -0.110622081483194 , -0.332836291868758 , 0.068978342242585 , -0.314405911112221 , 0.246692294547508 , -0.371316571735372 , 0.129251626713151 , -0.285803443962135 , -0.062277522899654 , -0.926719552834279 , 0.869672502457397 , -0.453513470898219 , -0.791563753507884 , 0.294092744594815 , 0.000228097558262216, 0.171217310856682 , 0.308514086702138 , -0.288503508914127 , -1.60962125137075 , 0.764173711967798 , -0.0981495252494525 , 0.107851138807994 , -0.193255601224898 , -0.0636836018717319 , 0.33397538292906 , -0.596308779612948 , -0.738011562169323 , -0.638641811022881 , -0.973292331327211 , -0.228406090815129 , 0.237132239353696 , 0.60627412711855 , 0.526498529700269 , 0.655299768319981 , 0.845558308692337 , 0.337258145177173 , 0.355507862658559 , -0.0177337379333111 , 0.173813167930498 , 0.345139986371012 , 0.552427375695179 , -0.148930918659954 , -0.083648501253395 , 0.355739094612558 , -0.086700534839392 , 0.394670075789862 , 0.373012427986212 , 0.108072641156025 , -0.34873695214304 , -0.0226844734155216 , 0.474745517203339 , -0.587249395794632 , 0.100626136670314 , 1.13167309884616 , -0.450328227339326 , -0.798650853220948 | 0.3089857 |
| 83 | 50 | 0.0 | 0.0 | 1.0 | control , control , control , control , control , control , control , control , control , control , control , control , control , control , control , control , control , control , control , control , control , control , control , control , control , control , control , control , control , control , control , control , control , control , control , control , control , control , control , control , control , control , control , control , control , control , control , control , control , control , intervention , intervention , intervention , intervention , intervention , intervention , intervention , intervention , intervention , intervention , intervention , intervention , intervention , intervention , intervention , intervention , intervention , intervention , intervention , intervention , intervention , intervention , intervention , intervention , intervention , intervention , intervention , intervention , intervention , intervention , intervention , intervention , intervention , intervention , intervention , intervention , intervention , intervention , intervention , intervention , intervention , intervention , intervention , intervention , intervention , intervention , intervention , intervention , intervention , intervention , -0.651503995155313 , 1.40405187335051 , -0.179074399119317 , -0.282463601371649 , -0.827284969913063 , -0.738261228605493 , 1.39690620331117 , -0.412418479254568 , 0.476683159944551 , -1.37826144457537 , -1.83049583171859 , -0.539074568671301 , 0.743246123999137 , -0.106092857629241 , 0.127178880839575 , -1.78978275672397 , -0.837402681176496 , 1.17641977864965 , 2.14760966155932 , 1.48864864630912 , -0.0597069244812103, 1.58157354448771 , 0.364149220945955 , 1.71821540461108 , 2.02907818109483 , 0.886618465468225 , 0.249404168277817 , 1.37892320680208 , -1.4737160831163 , -0.627203893230735 , 0.0832618659028644 , 0.580303264346334 , 2.03194385625195 , 0.154901497400815 , -0.323662496422924 , 0.493219882234075 , 2.06179303802033 , -0.132247671983693 , -0.0734433654654174, 0.193160586606635 , -1.69589278157282 , -1.72060175765015 , 0.719109094473583 , 0.245013544965818 , -0.900489015715354 , -0.633821212828215 , -0.869400474602944 , 0.223668568711672 , 0.57739175158099 , -0.0792890000211823, 1.09644717169119 , -0.0139431582363176, -0.494465757658685 , 1.16964404081631 , -0.908448566890532 , -0.593146675686337 , -1.34581071769778 , 0.219421812621548 , 0.0656496783307779 , -0.0867363173438876, -0.702594143052918 , 2.0913472258729 , -1.07044483822409 , -1.33623542409085 , -2.17980166846743 , -0.301712959952726 , -0.0451721385372605, 0.180373692829192 , -1.66370203042256 , 0.312576829810116 , -0.698882249974199 , 0.767319870363369 , -0.0737853999071692, 0.690513862070815 , 2.84174491898441 , -1.91120867502523 , -0.701376630944646 , -0.541833489940969 , -0.131726810514303 , 1.9730414452428 , -0.760907077502965 , -0.548898444473189 , 1.94733987693151 , 0.37158249705505 , -1.34690128895136 , 0.484384151394733 , -0.355746569804681 , 1.21848035600106 , -0.68281358875698 , 0.41082015044806 , -0.628432927073305 , 1.53874273849053 , 0.344167157924355 , 0.538989588282268 , 1.04378083295988 , -1.17807997567731 , 0.363040942234682 , 0.173827311985214 , -0.262335170959374 , 0.42039135125334 | 0.5321668 |
| 83 | 50 | 0.0 | 0.1 | 0.5 | control , control , control , control , control , control , control , control , control , control , control , control , control , control , control , control , control , control , control , control , control , control , control , control , control , control , control , control , control , control , control , control , control , control , control , control , control , control , control , control , control , control , control , control , control , control , control , control , control , control , intervention , intervention , intervention , intervention , intervention , intervention , intervention , intervention , intervention , intervention , intervention , intervention , intervention , intervention , intervention , intervention , intervention , intervention , intervention , intervention , intervention , intervention , intervention , intervention , intervention , intervention , intervention , intervention , intervention , intervention , intervention , intervention , intervention , intervention , intervention , intervention , intervention , intervention , intervention , intervention , intervention , intervention , intervention , intervention , intervention , intervention , intervention , intervention , intervention , intervention , 0.114036067465519 , -0.540411041145056 , 0.47090490164811 , 0.130712024677309 , -0.726473648825305 , -0.191823418804066 , 0.496229008417674 , 0.681940233311467 , 0.165078582282119 , -0.181820940121461 , 1.3077514335374 , 1.0883245817942 , -0.0651118636659891, -0.0673553914826483, 0.565941090391967 , 0.642578185575879 , 0.395769094397523 , 0.297057037183971 , -0.52800300883645 , -0.373938609308377 , 0.258412816665116 , 0.206075587264237 , 0.798096708070024 , 0.421299752998573 , 0.376020826908126 , -0.657006012907962 , 0.910349801941333 , 0.129088345276867 , 0.390053462415759 , 0.256038045521588 , -0.141570311837049 , 0.193114072412847 , -0.431996613675199 , -0.0868218484036639, 0.770755568076734 , -0.587869535469591 , -0.586629216390199 , -0.128209876889865 , 0.0521397327979424 , 0.599348936662581 , 1.38160571117115 , 0.178555826513305 , -0.92948020270975 , -0.56085781983907 , -0.571866081681871 , -0.23983016025638 , 0.120006402681681 , 0.335830619543518 , -0.194166216096838 , 0.431075133570194 , -0.656128507187378 , -0.761471006008287 , -0.26376057679176 , -0.32094993218364 , -0.242269384343824 , -0.761940468312088 , -0.447425052231176 , 0.901682947461294 , 0.403059606816752 , 0.242153180482033 , 0.304542809063557 , -0.498584456507559 , -0.207166805265375 , -1.0257389213631 , 0.654080671987128 , -0.531984019893739 , 0.969002058204758 , -0.105300202459934 , 0.310775716917563 , 0.631902858910094 , -0.315965284524367 , 0.859163614090041 , -0.312525915197018 , -0.399700678627108 , -0.353272602904087 , 0.546089875823606 , -0.972786762980239 , -0.339478307391747 , -0.40646585493908 , 0.53892830551401 , -0.232917318653902 , 0.0544825767460739 , 0.369086117067525 , -0.028413372461733 , -0.0665091754275545, -0.247395780879925 , 0.355060462994708 , 0.243443567335121 , -0.649147096604647 , -0.364177042181596 , 0.155242132916532 , 0.376647916606011 , -0.809457796570754 , -0.0105240521056548, 0.73045056315356 , 0.1562338646005 , -0.245586848523656 , -0.266410877847183 , -0.0997029455116362, 0.215400745289064 | 0.0728750 |
| 83 | 50 | 0.0 | 0.1 | 1.0 | control , control , control , control , control , control , control , control , control , control , control , control , control , control , control , control , control , control , control , control , control , control , control , control , control , control , control , control , control , control , control , control , control , control , control , control , control , control , control , control , control , control , control , control , control , control , control , control , control , control , intervention , intervention , intervention , intervention , intervention , intervention , intervention , intervention , intervention , intervention , intervention , intervention , intervention , intervention , intervention , intervention , intervention , intervention , intervention , intervention , intervention , intervention , intervention , intervention , intervention , intervention , intervention , intervention , intervention , intervention , intervention , intervention , intervention , intervention , intervention , intervention , intervention , intervention , intervention , intervention , intervention , intervention , intervention , intervention , intervention , intervention , intervention , intervention , intervention , intervention , -0.738319221070611 , -0.877412437547821 , 1.01798736539403 , 0.126310370027616 , -0.50395628438781 , -0.870292393614755 , 0.662364594667649 , 0.00807149800935097, -0.25235486598343 , 2.28608287518151 , -0.244752083995259 , 0.741871892917063 , 1.00437111031221 , -0.253445241827533 , 0.598518920102684 , 2.05457679244762 , 0.686909941462477 , 1.14973113102646 , 0.51233923908363 , -0.946385342314606 , 0.97844344142336 , -0.57272513917592 , 0.484097814402681 , -0.51237274018973 , 0.00588986749733436, -1.13319716625998 , 0.312172902089885 , 0.236930690078041 , 1.54487386714186 , 0.442413225531638 , -0.507018048523967 , -1.38185068308449 , 1.41179731865572 , -0.992089514398745 , 0.287682524124365 , 1.07887035039108 , 1.56677058402036 , 1.39201368884772 , -2.82972302545309 , 2.04147303710597 , 0.480720215158427 , -1.32717434292144 , 1.31989699145103 , 2.16219667982789 , -0.767899096205494 , -1.72804020425679 , -0.570761933243076 , -0.791081844731388 , 0.212641557385625 , 1.26390324441594 , -0.802504101113642 , -0.61901087234506 , -1.47748534605653 , -0.0144117606263389, -0.494439726998965 , -0.318709782186611 , 0.371556801016528 , 0.28922928208013 , 0.0558740245276481 , 1.36557916453748 , -0.869717682184165 , 0.348213794885579 , 0.960870108797278 , 1.4828540295261 , 0.827253036795929 , -0.0327333221683973, -1.60279580251636 , 1.1362418398475 , 0.727139901757896 , 0.892924664958614 , 0.696025850039676 , -0.898721712336441 , -3.0983918379867 , -0.0899248568834178, 1.07844842148273 , -0.760896012555116 , 0.347261983457148 , 0.189433502056878 , 0.173116804952068 , 0.866217709950699 , 0.857841771568375 , 0.288420005900365 , 0.614677378192152 , 0.278429665574145 , -1.1595053170337 , 1.83883513164858 , 0.400697102502829 , 0.183310184592504 , 0.590920462334236 , 0.0145434697691345 , -0.0684171791702648, 0.308711150317625 , 0.667725647387949 , 0.748579192854619 , 0.4884298122217 , -0.87748884103019 , -1.75096544294268 , 0.469909486199207 , 0.819869608926383 , 1.14122030855322 | 0.7181971 |
| 83 | 50 | 0.5 | 0.0 | 0.5 | control , control , control , control , control , control , control , control , control , control , control , control , control , control , control , control , control , control , control , control , control , control , control , control , control , control , control , control , control , control , control , control , control , control , control , control , control , control , control , control , control , control , control , control , control , control , control , control , control , control , intervention , intervention , intervention , intervention , intervention , intervention , intervention , intervention , intervention , intervention , intervention , intervention , intervention , intervention , intervention , intervention , intervention , intervention , intervention , intervention , intervention , intervention , intervention , intervention , intervention , intervention , intervention , intervention , intervention , intervention , intervention , intervention , intervention , intervention , intervention , intervention , intervention , intervention , intervention , intervention , intervention , intervention , intervention , intervention , intervention , intervention , intervention , intervention , intervention , intervention , 0.41542489082209 , -0.130161077938252 , 0.0738372033756539 , -0.156681388971865 , 0.867989405282628 , -0.769888618857701 , -0.570065286220005 , 0.134051340371558 , -0.487629168057122 , 0.756924375736383 , 0.265699333580148 , 0.0602806014823699 , -0.0122200842062036 , -0.504508093017225 , -0.422166040648701 , 0.529897483641256 , -0.18797543798711 , -0.0421393599960706 , 0.123556713162344 , 1.04040856789888 , -0.834780763187021 , 0.757694564795128 , 0.115474376955458 , 0.402598310560439 , -0.187335541685796 , -0.272899725887794 , -0.546368405724592 , -0.587084638373812 , 0.238788937584244 , -1.03655231789786 , 0.305350555376502 , 0.341762682613019 , 0.452853795609823 , 0.650428531060306 , 0.656040125354523 , 0.0438143121984831 , -0.535881688220954 , -0.941243052042136 , 0.398565554145112 , -0.0292866598573428 , 0.452223591818056 , -0.240373760061868 , 0.246334573058057 , -0.0244611141286743 , -0.697630085661776 , -0.553190196895216 , -0.0966248175626079 , 0.238034771257599 , 0.489746462632835 , -1.12498766469933 , 1.06703072504844 , 0.600712802489047 , 0.388715979283501 , 0.104452323903946 , -0.157841859302961 , -0.0519762854851368 , 1.2708557205507 , 0.996306789608653 , 0.619669904735128 , 0.684172317300039 , -0.6236209166221 , -0.103153536179651 , 0.256149195011602 , 0.267271337181446 , -0.00171165961719566, 0.833915579116141 , 0.960572162534856 , 0.0594510171956527 , 0.16442241383273 , 0.6587706227349 , 0.0988249919620436 , 0.388766371400684 , 0.179121049698652 , 0.961344410893037 , 0.607697157678571 , 1.46716420175865 , 0.513567335549496 , 0.241343699806585 , -0.669697801985531 , -0.432772737413701 , 0.947390199042219 , 0.511801972989548 , 1.10787196871441 , 0.528350497382758 , 0.274349156438206 , 0.58385117987048 , 0.207299016446245 , -0.0657259203075776 , 0.849608968580508 , 0.373111151998504 , 0.497609314052328 , 0.803436947841626 , -0.687398636667928 , 0.987571341514019 , 1.20807132374557 , 0.0432078579630794 , 0.601493859796028 , 0.465622921126314 , 1.24737060975074 , 0.31689304685819 | 0.0000189 |
| 83 | 50 | 0.5 | 0.0 | 1.0 | control , control , control , control , control , control , control , control , control , control , control , control , control , control , control , control , control , control , control , control , control , control , control , control , control , control , control , control , control , control , control , control , control , control , control , control , control , control , control , control , control , control , control , control , control , control , control , control , control , control , intervention , intervention , intervention , intervention , intervention , intervention , intervention , intervention , intervention , intervention , intervention , intervention , intervention , intervention , intervention , intervention , intervention , intervention , intervention , intervention , intervention , intervention , intervention , intervention , intervention , intervention , intervention , intervention , intervention , intervention , intervention , intervention , intervention , intervention , intervention , intervention , intervention , intervention , intervention , intervention , intervention , intervention , intervention , intervention , intervention , intervention , intervention , intervention , intervention , intervention , -0.178239879126857 , 0.831358251509068 , 1.40769432591016 , -0.812954340745054 , -0.539524443432872 , 0.750321615652327 , -0.49405168959949 , 0.558210943418082 , 0.916248204214398 , -1.62985835768799 , -0.0916376735902533, 1.08064662040565 , -1.01959941829122 , -1.91632301109917 , 0.0510512695090341 , -1.11767083827965 , 0.885280621377967 , -0.200230358012681 , 0.654689960041047 , 1.44298581629201 , -0.902017933983767 , 0.370553057135962 , 0.544317143113237 , 1.92620092296906 , -0.147856028089449 , 0.189941196541404 , 0.515549812661544 , -1.10981408526339 , -0.128904037012872 , 1.17613957875389 , 2.85812096483433 , -0.888922686851856 , -0.688594100423863 , 0.774413746609717 , -1.00126180752916 , 0.456934820252421 , 1.5462379198495 , 0.494382430308472 , 0.39178384242213 , -0.304948198440387 , 0.377032155231238 , -0.369874062552885 , -1.03066863717793 , 1.13157896808994 , 0.245751609318504 , 0.0489000780214836 , 0.00357738208710883, 0.0830115183383024 , -0.265648019996071 , -0.425697494930092 , 1.04425322926648 , 0.359982681740715 , 2.16835118446662 , -0.921971203177244 , 0.326095506085398 , 0.559724499374207 , 1.74223598248461 , 0.489348368330724 , 1.28733419587724 , 1.5509073146602 , 1.0995394769415 , -0.268327563041287 , -0.197237977456141 , 0.53260512848248 , -0.0752407152732919, -0.423571404736287 , 0.492032334601049 , 0.639804889280578 , 2.14204617236496 , -0.138209920377913 , 1.54768746230904 , 0.062780377855242 , 1.57432299855342 , 0.325391558827893 , 0.199686259709781 , 0.873286578551584 , 0.528533444294915 , 0.214911324941166 , -0.0710561263222065, -0.211125906062119 , 0.613476294202367 , 1.47975386585344 , -0.338434282374214 , 0.67129509282757 , -1.15940475766334 , 1.76572359451713 , 2.02349762237918 , 1.27028129368283 , 2.11363755536234 , 0.467717115640874 , 0.214882025883095 , 1.26434850562792 , 0.33950759580827 , 1.54931931765919 , -1.21080186473135 , 0.679899067381827 , 0.444730023504157 , 1.32783867500878 , 1.4887875024304 , 1.62090492302165 | 0.0025919 |
| 83 | 50 | 0.5 | 0.1 | 0.5 | control , control , control , control , control , control , control , control , control , control , control , control , control , control , control , control , control , control , control , control , control , control , control , control , control , control , control , control , control , control , control , control , control , control , control , control , control , control , control , control , control , control , control , control , control , control , control , control , control , control , intervention , intervention , intervention , intervention , intervention , intervention , intervention , intervention , intervention , intervention , intervention , intervention , intervention , intervention , intervention , intervention , intervention , intervention , intervention , intervention , intervention , intervention , intervention , intervention , intervention , intervention , intervention , intervention , intervention , intervention , intervention , intervention , intervention , intervention , intervention , intervention , intervention , intervention , intervention , intervention , intervention , intervention , intervention , intervention , intervention , intervention , intervention , intervention , intervention , intervention , -0.58731988271441 , -0.514408983975256 , -0.383780927496034 , -0.201680261449148 , 0.426980148580636 , 0.0919210841417476 , 0.352497459543275 , 0.268271550269745 , -0.416282010184361 , -0.27679719062088 , 0.497151646366145 , 0.572895928922245 , 0.169985756965296 , -0.386796052713092 , -1.3672974736245 , -0.42829231805243 , -0.353708875926932 , -0.408769754644683 , 0.711452273825933 , 0.320496065980026 , 0.354451852828972 , 0.642737749958612 , 0.81550434607418 , 0.66415531058089 , 0.963585901130594 , -0.0830030868094113, -0.478420105125669 , 0.659633777247947 , -0.374633442501857 , -0.537429041078876 , 0.345741984040303 , -0.0745619639265799, -0.433437537423737 , 0.85987623528672 , 0.762852876913475 , -0.304765961500349 , 0.203504741508593 , -0.769796717541979 , -0.176896785295677 , 0.256940670932682 , 0.901092878084333 , -0.80376535058561 , -0.115429862993171 , 0.635992312577239 , -0.834504684318823 , 0.0065480086222801 , 0.0367359254847693 , 0.208104647020153 , -0.0727724242119602, -0.862857588511826 , 0.561952878442936 , 0.215758964138817 , 0.981896071549759 , 0.324074175389946 , 0.680530286080685 , 0.135688156714005 , 0.876637495633561 , 0.339639004815598 , -0.666081795927498 , 0.107049810253225 , 0.30315125399287 , 0.93953457993604 , 1.01791139134594 , 0.50421898165889 , 0.616950109465322 , 0.558859958867024 , -1.31063771415461 , 1.10697308191431 , 0.353349233224501 , -0.154630235956509 , 0.688482384046724 , 0.799665672660326 , 0.95704428002969 , 0.0277495713080074 , -0.0888013486964463, 0.478943078264838 , 0.127229577281924 , 0.206182106315709 , -0.211125209062047 , 0.994934558290024 , 0.129976152744215 , 0.35228102585049 , 1.0970539039706 , -0.809320198689932 , 0.22594586378395 , 0.656003653653591 , -0.311651349683958 , 0.331291912475818 , 0.720750223918254 , 0.662269733524378 , 1.05814736206916 , 0.0899532577704569 , 1.2801082643963 , 0.773146641617539 , 0.189293786282816 , 0.149316070118539 , 0.947867013138645 , -0.347144782324976 , 0.979022485289504 , 0.382199455596099 | 0.0004574 |
| 83 | 50 | 0.5 | 0.1 | 1.0 | control , control , control , control , control , control , control , control , control , control , control , control , control , control , control , control , control , control , control , control , control , control , control , control , control , control , control , control , control , control , control , control , control , control , control , control , control , control , control , control , control , control , control , control , control , control , control , control , control , control , intervention , intervention , intervention , intervention , intervention , intervention , intervention , intervention , intervention , intervention , intervention , intervention , intervention , intervention , intervention , intervention , intervention , intervention , intervention , intervention , intervention , intervention , intervention , intervention , intervention , intervention , intervention , intervention , intervention , intervention , intervention , intervention , intervention , intervention , intervention , intervention , intervention , intervention , intervention , intervention , intervention , intervention , intervention , intervention , intervention , intervention , intervention , intervention , intervention , intervention , -0.676130288660621 , -0.116472742154971 , 0.559377221321371 , 0.619879492587646 , -0.878734151959309 , -0.135055034439862 , 0.120482788255422 , 0.0814307103705262 , -0.0266738042906119 , -0.00621790773886631, -0.97514421125485 , 0.0724017587550779 , 1.72442338028231 , -0.954716685799131 , -0.565111358584307 , -1.44799376771102 , 0.304603310730234 , 0.7622744344916 , 1.20942710411235 , -0.657975383792555 , 1.22452098615265 , 1.88505381493508 , -1.171235491913 , -0.196109195503377 , 0.0734159744546809 , 0.354126558240335 , 1.81392597272335 , 0.839622317611904 , 0.146931184674939 , 0.448278020604943 , -0.260286940589507 , -0.547379828916866 , 0.729944228915109 , 0.389414044342414 , -0.849616465434819 , 1.64512965059813 , 1.00653242198253 , -0.711522681788293 , -1.09845789239585 , 1.64164310215226 , -0.5647019212716 , 0.500151099255482 , -0.446891457623594 , -2.30576213214327 , 1.30931475730434 , -0.108741965727579 , -0.966332426905862 , -0.349375716861008 , -0.0354891138457219 , -0.918629655776463 , 2.09116927310349 , -0.740343362142927 , 0.151269769914379 , 0.518887018018307 , -0.224508226324865 , 0.864481599627965 , 0.955200347493567 , 1.00417323932443 , -0.887242448194743 , 0.889962680433683 , 1.42409141141759 , 0.135452921611502 , -0.542278435467191 , 1.02513980369862 , 1.33192224432082 , -0.174457851986752 , 0.396752825025785 , 0.593774968068178 , 1.24877464003082 , 1.15603150986662 , -0.353588143846252 , 2.22207767733627 , 0.690897764726231 , 0.492912523780319 , 1.12508017952466 , 0.00670294605653549 , 0.880929655526648 , -0.722578559661047 , 0.191311032922763 , 3.29567315362632 , 0.559522191162224 , -0.462235481553861 , -1.21891560129061 , 1.56572894974659 , 0.635771898461457 , 1.23994288906283 , 0.446761519801634 , -0.885935167500781 , 0.0343026042856292 , 0.075751710172398 , 0.167587753232465 , 0.117577910187695 , -0.116060742341418 , 1.30086731165139 , 1.40376934338077 , -0.452462722512945 , -0.10833735955041 , 0.90427244170163 , 1.39599376105312 , 1.674392990439 | 0.0076298 |
| 84 | 20 | 0.0 | 0.0 | 0.5 | control , control , control , control , control , control , control , control , control , control , control , control , control , control , control , control , control , control , control , control , intervention , intervention , intervention , intervention , intervention , intervention , intervention , intervention , intervention , intervention , intervention , intervention , intervention , intervention , intervention , intervention , intervention , intervention , intervention , intervention , -0.0676679784267277, -0.350080494014917 , -0.112841317954117 , 0.688318936263324 , -0.189948981665961 , -0.62667440267127 , 0.20559535965332 , -1.0455624931314 , 0.322467858555346 , 0.309896711817674 , 0.277075277302427 , -0.632434544746613 , -0.126439972476585 , -0.72640545259269 , -0.273540408339899 , -0.221694802608625 , -0.255220605052981 , 0.580307301931444 , 0.347740426778785 , -0.446683704014282 , 0.310726508186334 , 0.0134761075213398 , 0.0323106015551714 , 0.125989010872132 , -0.206665813649382 , -0.46612018647959 , 0.103964856738899 , -0.576630202525436 , 0.0657107541766744 , -0.0077018713263987, -0.0709167431632761, -0.0637558886285501, 0.180290864618186 , -0.126000787011816 , 0.419513937422546 , -0.941299012972095 , 0.45294100533922 , 0.14820500965596 , 0.20760451748542 , -0.0115796412254573 | 0.4490680 |
| 84 | 20 | 0.0 | 0.0 | 1.0 | control , control , control , control , control , control , control , control , control , control , control , control , control , control , control , control , control , control , control , control , intervention , intervention , intervention , intervention , intervention , intervention , intervention , intervention , intervention , intervention , intervention , intervention , intervention , intervention , intervention , intervention , intervention , intervention , intervention , intervention , 1.362814757297 , 0.959281861758079 , 0.342256439161703 , 0.315718796253341 , 1.13980301079206 , -0.95803937030624 , 1.55291741597286 , 1.80440795640296 , 0.291172063144514 , -1.99907340316797 , 0.654016376365099 , 0.630333325246878 , -1.25939024197921 , -0.517908075169006, 0.0310937879175619, -1.6325420683005 , -0.649123225674936, -1.52045612996873 , 0.490939252830482 , 0.456221936803613 , 1.05478136413142 , -0.532931803095682, 0.223608092662424 , 0.138528091368829 , 3.21436074260186 , 0.340686564013306 , -1.30310715487021 , -1.58521951863567 , -2.5141471184808 , 1.52402443223277 , -0.283523226641572, -0.89635962755205 , 0.897152397506854 , 0.0104828102543027, -0.313410210156476, 0.367814567797931 , 0.47171420724713 , 0.124642435284597 , 0.592394843514982 , -1.06010767432606 | 0.8905065 |
| 84 | 20 | 0.0 | 0.1 | 0.5 | control , control , control , control , control , control , control , control , control , control , control , control , control , control , control , control , control , control , control , control , intervention , intervention , intervention , intervention , intervention , intervention , intervention , intervention , intervention , intervention , intervention , intervention , intervention , intervention , intervention , intervention , intervention , intervention , intervention , intervention , -0.126291832904372 , 0.363793220067921 , 0.531485855376795 , -0.542348921489891 , 0.336559380223348 , 0.106324662717132 , 1.06055527535701 , 0.327047097981351 , 0.012245570394649 , 0.0367524987200779 , 0.0430094504657514 , 0.294334177742692 , 0.105402807625611 , -0.450395319264051 , 0.715294382813812 , 0.666273752057143 , 0.341527639682288 , 0.654196000733876 , -0.814770235447144 , -0.76673287376153 , 0.55955644991471 , 0.6756342235085 , 0.354525801798778 , 0.37029243885012 , -0.737730052397445 , -0.603212218206748 , -0.500815654701503 , 0.309933813746563 , -0.145196431639618 , 1.27903005542247 , -0.607917291692205 , 0.0606136436499427 , -0.330707026432166 , 0.109649573758594 , -0.0410969519823705 , 0.599288892317997 , -0.53821358628021 , -0.0434625558209634 , -0.413264908375899 , -0.00137010905654186 | 0.4381888 |
| 84 | 20 | 0.0 | 0.1 | 1.0 | control , control , control , control , control , control , control , control , control , control , control , control , control , control , control , control , control , control , control , control , intervention , intervention , intervention , intervention , intervention , intervention , intervention , intervention , intervention , intervention , intervention , intervention , intervention , intervention , intervention , intervention , intervention , intervention , intervention , intervention , 1.58704706286622 , -0.432948081323836, -2.52454227481872 , -0.894525792326185, 1.56160182034061 , -0.78359481607985 , 0.880331239829923 , 0.177818336406006 , 0.34401090164137 , 0.231624327319533 , -0.598586567160621, 0.991134667660346 , 0.367905355962864 , -0.445875695388884, -1.98738928790212 , -1.05207223013583 , 1.44977326386081 , -0.124299612975565, -0.740597956978492, 1.43385236744822 , 1.26937541459529 , -0.189012126078097, -1.62580968386404 , -1.32570117705956 , -1.56540969422431 , -1.01785873361509 , 0.489946804112618 , -0.183263901967816, -0.538671683223483, 0.577833662993578 , -0.266541873294039, 0.819676545847969 , 0.256786828457678 , 1.41337524105081 , -0.549195571150006, -0.383131767575482, 0.575150969769482 , -0.949140475378278, 0.985277292640471 , 1.47855072989743 | 0.9802491 |
| 84 | 20 | 0.5 | 0.0 | 0.5 | control , control , control , control , control , control , control , control , control , control , control , control , control , control , control , control , control , control , control , control , intervention , intervention , intervention , intervention , intervention , intervention , intervention , intervention , intervention , intervention , intervention , intervention , intervention , intervention , intervention , intervention , intervention , intervention , intervention , intervention , -0.304570346879721 , -0.135614692479874 , 0.730835883156068 , 0.586276716717556 , 0.0381351464815317 , -0.405513414706317 , 0.36414678217563 , -0.490692994479903 , -0.0831230788642254, 0.927208835850311 , -0.65975142967312 , -0.182286337520122 , 0.552289038267761 , -0.63849803436817 , -0.0763620616876406, -0.0670235351152073, 0.567745669282815 , -0.74869113456448 , 0.26930084919272 , 0.702752675452741 , 0.406808628096138 , 0.803639524955716 , 0.338144379242167 , -0.186036074708619 , 0.461636088872198 , -0.806044811642783 , 0.535071889162014 , 0.503973621742254 , 0.827506770016172 , 0.90735510385237 , 1.38771411305064 , 1.28134342790178 , -0.191956744542121 , 0.510997596092406 , 0.105958953215308 , 0.21173503659832 , 1.55959342409678 , 0.165531736366769 , 0.342230178312643 , 0.48969397676539 | 0.0143472 |
| 84 | 20 | 0.5 | 0.0 | 1.0 | control , control , control , control , control , control , control , control , control , control , control , control , control , control , control , control , control , control , control , control , intervention , intervention , intervention , intervention , intervention , intervention , intervention , intervention , intervention , intervention , intervention , intervention , intervention , intervention , intervention , intervention , intervention , intervention , intervention , intervention , 0.711734493256384 , 0.625329471597696 , -0.700018805824236 , 0.1257619633592 , 1.07002062608878 , 0.404540536089178 , -0.269479134642295 , -1.1808512710512 , -0.25656933335697 , 0.627771523676299 , 0.107515999291422 , 0.13506389881315 , -0.429516163452511 , 0.333834262341002 , -0.151284294853053 , -1.01124546507569 , 0.592184880641691 , -1.35352377501072 , -0.61641569633345 , -0.16422267478804 , 1.37839665982636 , 0.789031382537503 , -0.83302160292032 , 1.70637704329647 , 1.25153923650871 , 0.683343360164729 , -0.672983573704779 , -0.548947411567498 , 0.519221367739915 , -0.206246024066918 , -0.212717132586008 , -1.44846559712986 , 2.32976475161398 , 0.0381939640597098 , 0.62333532695251 , 1.3716738742731 , 0.34500506774538 , -0.0752251137963311, 0.907414049642921 , 2.36491191608218 | 0.0399844 |
| 84 | 20 | 0.5 | 0.1 | 0.5 | control , control , control , control , control , control , control , control , control , control , control , control , control , control , control , control , control , control , control , control , intervention , intervention , intervention , intervention , intervention , intervention , intervention , intervention , intervention , intervention , intervention , intervention , intervention , intervention , intervention , intervention , intervention , intervention , intervention , intervention , -0.0783948823242709 , 0.180216280933743 , 0.235819911241677 , -0.294300199577426 , 0.812687151058001 , 0.305913513555152 , 0.368126169761204 , -0.200421046757775 , 0.121730381563417 , -0.427451296332237 , -0.123691891230148 , -0.736166906500914 , -0.0254054801581929 , 0.0324799540976372 , -0.0775991531389518 , -0.414766844936728 , -0.0419101455745322 , 0.454572273245106 , 0.223452354588867 , 0.536539691071574 , 0.980553626898391 , 1.04973683477911 , -0.0982321866064035 , 0.849741524460288 , 0.834048666868233 , 0.803640483038075 , 0.509203638345098 , 0.496034465237147 , 1.28261772302277 , 0.205324195328694 , 0.000563220980834611, 0.0804922723407093 , 0.504179667880576 , 0.0458070267965727 , 0.391175368335162 , 1.2007759090418 , 0.466254523914892 , 0.817236827881623 , 0.52552945118857 , -0.228182678928059 | 0.0004300 |
| 84 | 20 | 0.5 | 0.1 | 1.0 | control , control , control , control , control , control , control , control , control , control , control , control , control , control , control , control , control , control , control , control , intervention , intervention , intervention , intervention , intervention , intervention , intervention , intervention , intervention , intervention , intervention , intervention , intervention , intervention , intervention , intervention , intervention , intervention , intervention , intervention , -0.38257838983894 , 1.56515011640155 , -0.732150434274393 , 0.0694503437167198 , 0.209960167758757 , -0.0439945832409369, -0.0654690834374349, -0.176200759782547 , 1.96909913720974 , -0.718173429238155 , -0.041538024874969 , -1.30002502434235 , 0.382683611993088 , 0.248549380875177 , -0.84223407459352 , 1.53794576516151 , -0.832651865862374 , -0.412811575687193 , 0.0190654852232223 , 1.98791848190825 , 0.968313392667828 , -1.00172506637328 , 1.09099420748514 , 0.629539725205653 , -0.0353761829320663, 1.57514603171812 , -0.261978282165235 , -0.871079270139176 , 0.421330563646315 , -0.321886283049805 , 0.770270168679052 , 0.449560557899981 , 0.692984544738505 , 1.70105770907055 , -1.52818282368167 , 0.458556696273497 , -1.23283006033575 , -0.126139640128018 , -0.651445669432866 , 0.489417980383416 | 0.8955401 |
| 84 | 50 | 0.0 | 0.0 | 0.5 | control , control , control , control , control , control , control , control , control , control , control , control , control , control , control , control , control , control , control , control , control , control , control , control , control , control , control , control , control , control , control , control , control , control , control , control , control , control , control , control , control , control , control , control , control , control , control , control , control , control , intervention , intervention , intervention , intervention , intervention , intervention , intervention , intervention , intervention , intervention , intervention , intervention , intervention , intervention , intervention , intervention , intervention , intervention , intervention , intervention , intervention , intervention , intervention , intervention , intervention , intervention , intervention , intervention , intervention , intervention , intervention , intervention , intervention , intervention , intervention , intervention , intervention , intervention , intervention , intervention , intervention , intervention , intervention , intervention , intervention , intervention , intervention , intervention , intervention , intervention , -0.943250590171241 , -0.0461074263358262 , 0.746231530841297 , 1.13543962389351 , 0.0967988355541105 , 0.0120725120151008 , -0.352205945322457 , 0.345312247050874 , 0.211408709467811 , -0.268171245294914 , 0.461598538638033 , -0.362293937189288 , -0.520706309941654 , -0.736392083161604 , 0.771660217251471 , -0.189622567681095 , -0.168162081397734 , 0.379619678598132 , 0.524878608143073 , -0.0103372627448264 , 0.75145080252066 , 0.0136218878454823 , -0.00563248923362734, 0.835318580611282 , 0.324500860598063 , 0.0576687195869728 , -0.927146134000408 , -0.183210582637572 , 0.460058539656061 , -0.576880198513921 , -0.658912360225573 , -0.220029143381599 , -0.398800602443058 , -0.0779376570268811 , 0.162718353134619 , -0.0765988549152199 , 0.0140332909863228 , 0.780153974225537 , -0.119979007590791 , 0.464880660233992 , -0.110609012947811 , 0.340478773002346 , 0.276664266101788 , 0.63575190994095 , 0.574339090707102 , -0.0213904795894038 , 0.404415591756826 , -0.752237509571343 , 0.620096367188681 , -0.406705791026475 , 0.0705677748334023 , 0.064895434352741 , -0.779439987787012 , -0.230510850392086 , -0.535338550446184 , -0.255783638496031 , -0.908342939996903 , 0.0130838801421333 , 0.401546893025988 , -0.0821672751952638 , -0.633176954464107 , -0.0333558758613403 , 0.0541246909047781 , -0.797859755893234 , -0.0378157732852163 , -0.498401362108693 , 0.472050260691339 , 0.366317747826874 , 0.127091189628378 , 1.15058133939493 , -0.402933437519641 , 0.461749891097383 , -0.896319677160657 , -0.971288483308792 , 0.121371813159406 , 0.227199768563227 , 0.158548840283803 , -0.471193429382413 , 0.804449274294684 , -0.387197107445592 , 0.0893386774509718 , 0.101664287279781 , -0.300481121416734 , -0.525385371499044 , -0.241687041295454 , 0.209653851172267 , 0.866465299571732 , 0.50780740425396 , -0.324080844790727 , 0.646255672975556 , -0.588571012561365 , -0.275558084745904 , 0.306665684890282 , -0.572869326092338 , 0.538527925792233 , 0.0457579680515491 , 0.313450093226827 , 0.287442733057354 , -0.107476172275407 , 0.0523231931241335 | 0.2465154 |
| 84 | 50 | 0.0 | 0.0 | 1.0 | control , control , control , control , control , control , control , control , control , control , control , control , control , control , control , control , control , control , control , control , control , control , control , control , control , control , control , control , control , control , control , control , control , control , control , control , control , control , control , control , control , control , control , control , control , control , control , control , control , control , intervention , intervention , intervention , intervention , intervention , intervention , intervention , intervention , intervention , intervention , intervention , intervention , intervention , intervention , intervention , intervention , intervention , intervention , intervention , intervention , intervention , intervention , intervention , intervention , intervention , intervention , intervention , intervention , intervention , intervention , intervention , intervention , intervention , intervention , intervention , intervention , intervention , intervention , intervention , intervention , intervention , intervention , intervention , intervention , intervention , intervention , intervention , intervention , intervention , intervention , -2.15743406858902 , 0.483372030946018 , -1.74091734046104 , 0.884163198365724 , -1.09750306711558 , 1.15981054654616 , -0.150026712958831 , -0.129734190013109 , -1.30361202339989 , -0.578758577034426 , 0.391780369786247 , 1.09757731083567 , 0.762940218837697 , -0.261997485094017 , 1.98271896105745 , 0.237519421757506 , 1.30737402700672 , -0.901942754921243 , -1.8688137187896 , 0.566453956902907 , -0.384276543364133 , 0.305652273505969 , 0.869851074643428 , 0.930752005578939 , 0.553696619818006 , 1.22318488860979 , -0.303695788027546 , -1.71308259552617 , -0.911432494742852 , 0.334894811960798 , 0.0399395678597777 , -0.0531296017409553 , -1.10447364802309 , 0.853851328759991 , -0.871931608961097 , 0.232503010075989 , 0.278167979806045 , 1.22570820263331 , 0.201444673894986 , -1.94510619099098 , 0.358277941060712 , 0.77479360906621 , -0.00209624684550728, 0.590617054550553 , -0.615505364961694 , -0.00404462375545245, -0.367726665788351 , -1.57517215234899 , 0.0238468211610077 , 0.30777519780061 , 1.38901875368084 , -1.07623992074449 , -2.71521142246712 , 0.998086366951533 , -1.00202120150224 , -0.611050466688327 , 1.49475360310176 , 0.568559509983314 , 0.571866251031138 , 0.865166312947095 , 0.541969793533228 , 1.58459342460089 , 0.183587687550283 , 1.34740215783087 , -0.693640489304652 , 0.756757621185104 , -0.0313755785327968 , -0.826788844607983 , 0.618094355155927 , 1.20055576567888 , 1.3448978734508 , 0.0451978566635848 , 0.295598416471848 , -0.358629601334954 , 0.0304185374920446 , -1.49235866321275 , 1.09290599895686 , 2.10981395942504 , -0.711469818772691 , 0.990645963336718 , -0.21051642216105 , 0.703096532662785 , 0.349573554120515 , 1.39284455023812 , -0.612762058016597 , 0.576494210684315 , 0.0373718927700193 , 1.26398385513545 , 0.664930872428513 , 0.259304659498562 , -0.89778270405682 , -1.19052388534095 , -0.960712156311566 , -0.437588412826389 , -0.206745954235918 , 1.35096430582972 , 0.561796499792223 , 3.14636167993407 , -0.0997074394728123 , 0.0600926037250798 | 0.1064817 |
| 84 | 50 | 0.0 | 0.1 | 0.5 | control , control , control , control , control , control , control , control , control , control , control , control , control , control , control , control , control , control , control , control , control , control , control , control , control , control , control , control , control , control , control , control , control , control , control , control , control , control , control , control , control , control , control , control , control , control , control , control , control , control , intervention , intervention , intervention , intervention , intervention , intervention , intervention , intervention , intervention , intervention , intervention , intervention , intervention , intervention , intervention , intervention , intervention , intervention , intervention , intervention , intervention , intervention , intervention , intervention , intervention , intervention , intervention , intervention , intervention , intervention , intervention , intervention , intervention , intervention , intervention , intervention , intervention , intervention , intervention , intervention , intervention , intervention , intervention , intervention , intervention , intervention , intervention , intervention , intervention , intervention , 1.07480312435608 , 0.259666347324739 , -0.763513287757731 , -0.0426121605806314, 0.749852687244842 , -0.399190793780805 , 0.532915325125562 , -0.457519406490651 , -0.898956810309724 , -0.463734696113267 , 0.136445126558704 , -0.0128254047208993, 0.642060288250939 , 0.474832538360669 , -0.539804241928434 , 0.441145500103455 , 0.346363941292226 , -0.460326999128249 , -0.107714009501414 , 0.61251031635045 , -0.501458055219951 , 0.15151670241093 , 0.984422798003237 , 0.0166141112082108 , 0.11663932289365 , -1.0166834157481 , 0.551331198074305 , 0.263282022096841 , 0.884968755347841 , 0.467357877805978 , 0.447247675100762 , 0.499605294264345 , -0.190134045479475 , 0.0493483187013046 , 0.209332569514959 , -0.562953817605053 , 0.381141067387584 , -0.560215566319593 , 0.115197522118956 , 0.281962534702294 , 1.13955562108891 , -0.622497564017343 , 0.412934412109527 , -0.169459600168794 , 0.0399087485969882 , -0.435738371618615 , 0.261037435457057 , -0.13963565649054 , -0.315459555022595 , 0.0110811390485688 , -0.340960828811364 , -0.157930367871628 , 0.405777042893217 , -0.738438118507207 , -0.68631949515515 , 0.0157781293021041 , 0.773088550185666 , 0.00681592536291857, 0.407128262606282 , 0.557012581706322 , -0.438192093695979 , 0.563431572568167 , 0.486838878503513 , -0.294733350639424 , 0.708728454113066 , 0.194694235666828 , 0.417857887364258 , -0.64074653480446 , -0.586166472518652 , 0.748406803426903 , 0.798294765505262 , -0.110885102748543 , 0.375409122884128 , 0.414015843024238 , 0.589672601503258 , 0.0615515729649845 , -0.322745438043252 , -0.0364515936818457, 0.368250171918537 , 1.04238625679905 , -0.314932333733319 , -0.255988517682606 , -0.359677480642794 , 0.192752233912476 , 0.0792347504899898 , -0.0655580425846488, 0.58542697823011 , -1.09066999427056 , 0.231816045781959 , -0.121066617549827 , -0.413922408453983 , 0.440881826350354 , 0.738433698247121 , -0.487959372356693 , -0.0734056717478888, 0.585770239398495 , -0.0564658169317479, -0.608861374855937 , 0.718859428852967 , -0.0950818583840696 | 0.9499793 |
| 84 | 50 | 0.0 | 0.1 | 1.0 | control , control , control , control , control , control , control , control , control , control , control , control , control , control , control , control , control , control , control , control , control , control , control , control , control , control , control , control , control , control , control , control , control , control , control , control , control , control , control , control , control , control , control , control , control , control , control , control , control , control , intervention , intervention , intervention , intervention , intervention , intervention , intervention , intervention , intervention , intervention , intervention , intervention , intervention , intervention , intervention , intervention , intervention , intervention , intervention , intervention , intervention , intervention , intervention , intervention , intervention , intervention , intervention , intervention , intervention , intervention , intervention , intervention , intervention , intervention , intervention , intervention , intervention , intervention , intervention , intervention , intervention , intervention , intervention , intervention , intervention , intervention , intervention , intervention , intervention , intervention , 1.08532532783741 , -0.688278377775154 , -0.382350706056121 , -2.48585354618122 , 0.358223073961463 , 1.20306264269922 , -1.81866661876334 , 0.296245332051893 , 0.0809105398338119 , 2.81428386003223 , -0.747498956876198 , 0.406538569782977 , 1.49867068379636 , 1.51068447487276 , -1.38074183258332 , -0.594189187815388 , -0.924314738191249 , 0.820374967791534 , -1.16774280740185 , -0.135621016535712 , 1.0204243199142 , -0.0189848159772008, 2.80728728170914 , -1.09388276829539 , 0.747866667360075 , 0.134467234385121 , 0.612312587313923 , 0.843330687072477 , 0.377085470596737 , 0.291074563187324 , 0.978266721940386 , 1.02965290064408 , 0.168762862156138 , 0.17113885175419 , -0.0632632588857435, -0.633438009450908 , -0.908520152372028 , 1.2820976069312 , 1.81162264469506 , -0.708614573121125 , 0.45128217399439 , -0.110880001304859 , -0.332375368208314 , -0.0990137431925433, -0.0600482625801682, -0.50573209075012 , 1.06474430618317 , 0.343358576358606 , 0.53323521230458 , 0.0835215758025369 , 0.418013135588907 , -1.480402114306 , 1.53487064208077 , -1.24161170555649 , 1.43825779055438 , 1.06433337347956 , -0.714928808585279 , 1.11870716323443 , 1.2043731238473 , -0.57294748665502 , 0.925590771694401 , 1.48532414079244 , 0.842725333097992 , 0.520515580243479 , -1.02157897159213 , 0.595909436772698 , -0.886296525002153 , -0.868832491072327 , 0.175677372696414 , 0.345640781762342 , -0.488703172372298 , 0.197547375704627 , 0.883895767996072 , -0.669154882068691 , -0.782176897706813 , 0.597644518125623 , -1.05495010733463 , 0.429866566054874 , -1.78185915139202 , 0.680874564249845 , 1.84256132601517 , -0.0595274759381157, 0.370200548584259 , -0.504539575299471 , -0.922916539044403 , -1.44908945050439 , 0.390545831527441 , -0.094831172022683 , 0.237937228608845 , -1.00764350614182 , -0.513597547443739 , 0.487570774943399 , -0.627818014930471 , 0.229026309032173 , -0.31154513804242 , -0.0938505804412408, -0.0334633235480588, 0.753492677131076 , 0.547311772572774 , 0.019617571785175 | 0.4158924 |
| 84 | 50 | 0.5 | 0.0 | 0.5 | control , control , control , control , control , control , control , control , control , control , control , control , control , control , control , control , control , control , control , control , control , control , control , control , control , control , control , control , control , control , control , control , control , control , control , control , control , control , control , control , control , control , control , control , control , control , control , control , control , control , intervention , intervention , intervention , intervention , intervention , intervention , intervention , intervention , intervention , intervention , intervention , intervention , intervention , intervention , intervention , intervention , intervention , intervention , intervention , intervention , intervention , intervention , intervention , intervention , intervention , intervention , intervention , intervention , intervention , intervention , intervention , intervention , intervention , intervention , intervention , intervention , intervention , intervention , intervention , intervention , intervention , intervention , intervention , intervention , intervention , intervention , intervention , intervention , intervention , intervention , -0.825138208346426 , 0.123309688569176 , -0.359544190243346 , 0.051450130306418 , 0.0992471133248409 , -0.962517746504516 , -0.427091286919045 , 0.189577997718188 , -0.686108705788259 , 0.0623601580561039 , 0.192703571341673 , -0.149565655803351 , -0.748658173145715 , 0.244801654432009 , -0.209884494673391 , 0.315991259697981 , 0.886871539052716 , 0.720137139390489 , 0.212430676438068 , -0.286404280028124 , -0.398162385127447 , -0.35378906965252 , -0.803046116908943 , 0.0148661410439877 , 0.655867356127485 , -0.395257335550495 , -0.466417224904573 , -0.191556604649027 , -0.00499340001278034, -0.093941319360964 , 0.233246308578081 , -0.507259374638293 , 0.635647036391168 , -0.050076971906713 , 0.723495969982843 , 0.249206285513436 , -0.524878156559324 , -0.326014918244389 , 0.509347480162101 , 0.3973112992007 , 0.188738464454864 , -0.293592767991796 , 0.221400925641057 , -0.693937568770918 , -0.337394706758948 , 0.477337770983282 , -0.219426058943366 , -1.14547998818989 , -0.0160649527403415 , -1.0269717311822 , -0.74606653559374 , -0.693549893470396 , 0.584616113331232 , 0.909410185903871 , 0.135808417545118 , 0.543157386342278 , 0.59023841229847 , 1.15302156408821 , 0.958690768066977 , 1.00621149685648 , 0.0559518859449763 , 1.2552573335145 , 1.41737242489639 , 0.00606386748680965 , 0.335021411151068 , -0.0492800998865931 , 0.913209881552141 , 0.712026654053727 , 0.394134594036172 , 0.569194549686611 , 0.785323838071239 , 0.789741257489683 , 0.473992145386026 , 0.485412497839976 , 0.992678227050082 , 0.326651329711879 , 0.777837263619659 , 1.25265679704517 , -0.224429901626015 , 0.568501709331091 , 0.800330805953884 , 0.803331440508446 , 0.65322426892529 , 0.917352431901476 , 0.471892038642074 , 0.588646345615547 , 0.405901398337805 , 0.554918572214388 , 0.239373756033232 , 0.201626897044091 , 0.668769234011218 , 0.15147426767838 , 0.563622436562828 , -0.187561018199372 , 1.40147027076507 , 0.515575162200477 , 0.0473522409858932 , 0.389392477786862 , 0.141179217712501 , 0.544795658749716 | 0.0000000 |
| 84 | 50 | 0.5 | 0.0 | 1.0 | control , control , control , control , control , control , control , control , control , control , control , control , control , control , control , control , control , control , control , control , control , control , control , control , control , control , control , control , control , control , control , control , control , control , control , control , control , control , control , control , control , control , control , control , control , control , control , control , control , control , intervention , intervention , intervention , intervention , intervention , intervention , intervention , intervention , intervention , intervention , intervention , intervention , intervention , intervention , intervention , intervention , intervention , intervention , intervention , intervention , intervention , intervention , intervention , intervention , intervention , intervention , intervention , intervention , intervention , intervention , intervention , intervention , intervention , intervention , intervention , intervention , intervention , intervention , intervention , intervention , intervention , intervention , intervention , intervention , intervention , intervention , intervention , intervention , intervention , intervention , -0.0637529169530251, -0.523103241665398 , 2.02379088205404 , -0.209880315293004 , 0.0962378413816344 , 1.67450301606104 , -0.284281356130273 , 0.267069124716417 , -0.264773968159593 , 0.709046779801341 , -1.1039471256359 , 0.92838344270861 , 0.23545617621145 , 2.36376434008753 , -0.443763403475166 , 0.527840111446427 , -1.47453183772779 , 0.896706399908019 , -0.593258407208612 , 0.436002208497817 , 0.650168533788476 , -1.41050426632534 , -1.75041851545544 , 0.446618384395017 , 1.46154541908025 , -0.424897627893974 , 1.52328197218526 , 0.757771568043293 , -0.247856373547373 , -0.940992533181417 , -0.443551442868505 , -2.61610704969899 , -0.490857196037873 , 1.90219084308042 , -0.36558299049086 , -0.62741917017416 , 0.426345656507516 , 0.0443802815266544 , -0.18613989576159 , 0.391822716716343 , 1.32966496783465 , 0.927095668644663 , 1.32850018535083 , -0.576767947117874 , 0.118409843718293 , 0.828193762673651 , -1.02361764765603 , -0.740232892194048 , -1.10055157012262 , -1.08801230807256 , -0.236648213904748 , 0.506134110883362 , 1.40837937873952 , 1.65946574300529 , -0.105502732779102 , 0.449866814804624 , 0.829824813521799 , 0.163872460723122 , 0.294027048754256 , 0.419943180926404 , -0.118093476182833 , 0.341886608257151 , 0.336615713593921 , 0.766225097721645 , 0.685023938610986 , 0.601792056386381 , 0.819696687022877 , 0.289589311424504 , -0.528548739588897 , 0.654540022269162 , -1.17235570284759 , 0.531430214077447 , 1.72949135988352 , -0.0145916409559091, 0.96431801499373 , -0.591687572241476 , 0.669276069240289 , 0.493098536558662 , 0.171341061706368 , -0.604862450082754 , 2.21594542754032 , -0.708065625728714 , 0.468796813233998 , 2.12227768828687 , 0.230151490395175 , 0.602325833934632 , 0.916591718035917 , 0.167493569505336 , -0.199858810145532 , 0.226737031425435 , -1.46147343562374 , 0.81496156094751 , 3.2796984248626 , 1.82805138514411 , 0.231469315975992 , -1.51577356485122 , -0.162543049089555 , 1.48559548517094 , 1.6783503548587 , 1.0751400879247 | 0.0308833 |
| 84 | 50 | 0.5 | 0.1 | 0.5 | control , control , control , control , control , control , control , control , control , control , control , control , control , control , control , control , control , control , control , control , control , control , control , control , control , control , control , control , control , control , control , control , control , control , control , control , control , control , control , control , control , control , control , control , control , control , control , control , control , control , intervention , intervention , intervention , intervention , intervention , intervention , intervention , intervention , intervention , intervention , intervention , intervention , intervention , intervention , intervention , intervention , intervention , intervention , intervention , intervention , intervention , intervention , intervention , intervention , intervention , intervention , intervention , intervention , intervention , intervention , intervention , intervention , intervention , intervention , intervention , intervention , intervention , intervention , intervention , intervention , intervention , intervention , intervention , intervention , intervention , intervention , intervention , intervention , intervention , intervention , 0.653140785458357 , 0.211286893638024 , -0.423911441558801 , 0.427332238576451 , -0.00249349636748221, 0.308667041092696 , 0.0705470095709204 , 0.0807630590416998 , 0.467583363792824 , -0.130548080212159 , -0.729354791169106 , -0.255592443567858 , -0.280292659058784 , 0.188832961923973 , 0.698482569377558 , 0.128954643559391 , -0.264183161052427 , -1.14890358712116 , -0.620232981872138 , -0.358936483065734 , -0.168186804407434 , -0.0694246682892642 , 0.00237313872725842 , 0.0997551434817406 , -0.0268355761723055 , -0.401393797775629 , -0.346165900939691 , 1.09962504329939 , 0.471487649929397 , 0.238753366138257 , -0.0686500111319198 , -0.0459147803653561 , 0.0533159946684018 , -0.83749803803312 , -0.302245540607457 , 0.417873271023963 , -0.259166531876179 , 0.53915889080066 , 0.806890573971564 , -0.444293863371726 , -0.0550727544078022 , 0.106604624112802 , -0.427367759891488 , 0.807824237775824 , -0.236932808500547 , 0.529406954482859 , 0.173432057157202 , 0.588526831105136 , -0.250698599560912 , 0.894577180939405 , 0.096723680614819 , 0.54497908766595 , 0.872303892233491 , 0.46335211362468 , -0.276470718852374 , 0.947833090974207 , 0.940427679813198 , 1.76586390635887 , 1.03197781011103 , 0.397511209321557 , 0.499473523404105 , -0.17905629927619 , 0.748464183723436 , 0.662597819224871 , 0.229263284177053 , 1.20001575422523 , 0.40100990507895 , -0.121799143951916 , 1.27632687223288 , 1.36886135228556 , 0.370732837869542 , 0.167095733017899 , 0.92851698540876 , -0.725177213981586 , 0.472283498400562 , 0.170430746039086 , 0.0747952017349182 , 0.73890614959594 , 1.23961248659731 , -0.280415640075196 , 1.13326657487095 , -0.462685533786395 , 0.611977987961303 , 0.0572686666532591 , 0.51112009575662 , 0.2662283896454 , -0.565595488813534 , 0.503206412659532 , 1.05487216450237 , 0.417890067060095 , -0.0734732341640913 , 0.389784730296841 , 0.93307635162521 , 0.733551425321931 , -0.472957740276436 , 0.591610380943302 , 1.58308409451917 , 0.664646402248122 , 0.166195919569637 , 0.294967298475904 | 0.0000317 |
| 84 | 50 | 0.5 | 0.1 | 1.0 | control , control , control , control , control , control , control , control , control , control , control , control , control , control , control , control , control , control , control , control , control , control , control , control , control , control , control , control , control , control , control , control , control , control , control , control , control , control , control , control , control , control , control , control , control , control , control , control , control , control , intervention , intervention , intervention , intervention , intervention , intervention , intervention , intervention , intervention , intervention , intervention , intervention , intervention , intervention , intervention , intervention , intervention , intervention , intervention , intervention , intervention , intervention , intervention , intervention , intervention , intervention , intervention , intervention , intervention , intervention , intervention , intervention , intervention , intervention , intervention , intervention , intervention , intervention , intervention , intervention , intervention , intervention , intervention , intervention , intervention , intervention , intervention , intervention , intervention , intervention , -0.44487703687088 , 2.45410090580523 , -1.87856668117296 , 0.310682833908853 , -0.827810181634573 , -0.177834358625356 , -0.259646446530524 , 0.200303452402955 , 0.765320387089601 , 0.590901067787873 , 0.0840974305021639 , -0.808234515169836 , 0.801889064514363 , -0.150145578382314 , -0.736639462873372 , -0.875454126721307 , -0.350305822108034 , -0.282016345839981 , -1.20919899200393 , 0.487152683907491 , 0.307808821667736 , -0.92411942467009 , -1.62523103026156 , 0.773552780572463 , 1.84760407534351 , 0.940948755341534 , -0.266041145900605 , 0.262029547078303 , -0.478353339236571 , 0.654347208747001 , 1.44886858351924 , 1.39288481470722 , 1.02200396153649 , -0.402915535152794 , -0.0611901535701314, -0.131162489143949 , -0.529664097168325 , 1.95543603737392 , -0.195315431176699 , -0.260482584692713 , 0.573097727846133 , 1.35793355092083 , -1.34972575574949 , -0.175479475536418 , -0.621936046992905 , -0.936255315264427 , -0.457262446771955 , 1.60972061638031 , -1.19137325386797 , -0.962955882119512 , -0.39248593268962 , 0.853429431824918 , 1.29320106226206 , 1.35360664318756 , 0.475201768552202 , 0.278518090376473 , 0.711974623660016 , 1.1523087952767 , 0.388418504074023 , -1.11321988728259 , -1.50334598161378 , 0.503792770873261 , 1.1008041875084 , 0.665323729213473 , 0.486137449084449 , 1.3841144918473 , 3.89539512099712 , 1.64791517446195 , 1.46898547497692 , -0.219792006144404 , -0.128422235318715 , 1.27490108701321 , 0.748158441897663 , 0.35869696900527 , 0.492446330935191 , 0.393283714948917 , -1.55849015741145 , 0.672570451873873 , -0.389139489096053 , 0.181597646634266 , -0.916251966781381 , 0.816015497217991 , -0.225873637247352 , 1.41180984068054 , -2.36594158229195 , 0.946036720693041 , 1.35444748133436 , 0.632963876428076 , 2.1855258822013 , -0.709314106076441 , 0.840266921970135 , 0.271644152295007 , 2.11510833605329 , 0.0632321402185016 , 0.233592592609076 , 0.837639601273368 , 3.5374462383721 , -0.199342397802108 , 2.76679224340972 , 0.855966615842378 | 0.0063529 |
| 85 | 20 | 0.0 | 0.0 | 0.5 | control , control , control , control , control , control , control , control , control , control , control , control , control , control , control , control , control , control , control , control , intervention , intervention , intervention , intervention , intervention , intervention , intervention , intervention , intervention , intervention , intervention , intervention , intervention , intervention , intervention , intervention , intervention , intervention , intervention , intervention , 0.218377150027872 , -0.0538438219528683, -0.550135624722104 , -0.204259613745597 , -0.52074225964222 , 0.51416103249438 , -0.431744944885697 , 0.446141713880293 , 0.329579230661863 , -0.77329561925138 , -1.04768510096458 , 0.415662030461248 , -1.27582992864812 , -0.344131530707631 , 0.35016366349214 , 0.283530983828689 , 0.172306910164281 , -0.247500513309806 , 0.416049809499257 , 0.646775825574442 , 0.292216917658831 , 0.11591364775182 , 0.384837060951951 , 0.555190973935547 , 0.978927102327138 , -0.211152115957053 , -0.0725484463123763, -0.248907199440734 , -0.544319222051853 , -0.528327824610662 , -0.14896490932164 , -0.377055625631088 , 0.199175946925477 , -0.576873533040458 , 0.417006060655427 , -0.136543941408908 , -0.10124138936727 , -0.725726672859466 , -0.308656008194219 , -0.149206101861659 | 0.8813559 |
| 85 | 20 | 0.0 | 0.0 | 1.0 | control , control , control , control , control , control , control , control , control , control , control , control , control , control , control , control , control , control , control , control , intervention , intervention , intervention , intervention , intervention , intervention , intervention , intervention , intervention , intervention , intervention , intervention , intervention , intervention , intervention , intervention , intervention , intervention , intervention , intervention , -1.71026713845004 , -0.403404129577255 , -0.459809187287605 , 0.966364129774183 , -0.567098744818067 , -1.20830420182131 , -0.581539760738451 , -0.714149441764802 , -1.48207732649081 , 1.12973214065545 , -0.156415425815026 , -0.0591354706233632, -1.20729793985044 , -0.500954044311958 , 1.56934223477351 , 0.483844883635215 , -1.34523341728792 , -1.15055268600968 , -0.61438444811395 , 0.248049792094671 , 0.870357812895568 , -1.20289685512599 , -0.624288467893726 , -0.192101397175701 , 0.465877656440289 , -1.20913793796077 , 0.0279181993790417 , 0.962678052166283 , 0.35636642122396 , 1.10130162126753 , -0.738129782878618 , -0.776524994195888 , 0.552529685300709 , -0.447109186266834 , 0.992601697871917 , 0.85424260503714 , 0.39436277616802 , -0.432300165534984 , 0.399272410660032 , 0.0483097984238724 | 0.0859231 |
| 85 | 20 | 0.0 | 0.1 | 0.5 | control , control , control , control , control , control , control , control , control , control , control , control , control , control , control , control , control , control , control , control , intervention , intervention , intervention , intervention , intervention , intervention , intervention , intervention , intervention , intervention , intervention , intervention , intervention , intervention , intervention , intervention , intervention , intervention , intervention , intervention , -0.0574461448045442, -0.274199509213845 , -0.519683871515954 , -0.288090783674581 , 0.405209949910133 , 0.470271406342842 , 0.623173073339573 , -1.06695418694349 , 0.257270248653854 , 0.129190737268437 , 0.781191306061941 , 0.960956254469198 , 0.057648082274658 , -0.49882741522549 , -0.180841267370016 , -0.239389873111591 , 0.273912064107358 , -0.507106390854749 , 0.747463293948168 , -0.0824345427999233, -0.46904287727621 , -0.698558742097672 , 0.0310688186150037 , -0.586751581048435 , -0.297092634067291 , -0.531264585414404 , -0.157746301481649 , 0.117220369472858 , -0.436460706139473 , 0.230687789576935 , 0.16810873868329 , -0.177959502389852 , -0.726422491417743 , 0.769509542942298 , -0.794370443002452 , 0.104362128616904 , 0.367895641188651 , -0.228656949012303 , -0.720335520634445 , -0.546307351688986 | 0.0722835 |
| 85 | 20 | 0.0 | 0.1 | 1.0 | control , control , control , control , control , control , control , control , control , control , control , control , control , control , control , control , control , control , control , control , intervention , intervention , intervention , intervention , intervention , intervention , intervention , intervention , intervention , intervention , intervention , intervention , intervention , intervention , intervention , intervention , intervention , intervention , intervention , intervention , 0.968229165794052 , 0.604222106063166 , -0.436456897853143 , -0.37182642900352 , -0.6051398638588 , 1.02792627604928 , -1.13572190706361 , -1.02389951852739 , 0.473742684626489 , 0.364815823947616 , -0.386291086676703 , -0.850618537253095 , -0.143296882412762 , -0.0889874706752447, -1.00614322703087 , -0.487289975086303 , 1.66254576151211 , 1.03258350079028 , 1.89989706497994 , -0.8207963839457 , -0.660913735226857 , 0.443545384345998 , 0.712438542312201 , 1.11232322141492 , -0.313429202045922 , 1.13854490989963 , -1.07996293197918 , 0.36291467882883 , -0.805966659037975 , 0.400752454545494 , 0.179563812377583 , -0.522941535262885 , -1.2770246184144 , -0.0623790790662329, -0.232019885825759 , -0.040441469120064 , -0.147604815122484 , -0.461335897161532 , -0.628304563151463 , -2.12569572031582 | 0.3953053 |
| 85 | 20 | 0.5 | 0.0 | 0.5 | control , control , control , control , control , control , control , control , control , control , control , control , control , control , control , control , control , control , control , control , intervention , intervention , intervention , intervention , intervention , intervention , intervention , intervention , intervention , intervention , intervention , intervention , intervention , intervention , intervention , intervention , intervention , intervention , intervention , intervention , -0.641229242352585 , 0.318568768983044 , -0.37404058298179 , -0.321903829512466 , -0.917868299403614 , -0.466970747159681 , -0.194239134035229 , -0.53061072145731 , 0.517583333106436 , 0.262896389532922 , -0.1153788117545 , 0.666792742574013 , -0.14675305726041 , -0.391179095390189 , -0.933239199509489 , -0.231232760777538 , 0.178564375618326 , 0.194111911977465 , -1.09841472879963 , -0.0716384759034694, 0.907883985229977 , 1.02945592170436 , -0.0275411701598871, 1.54890658075264 , 0.919396540218857 , 0.601229488162525 , 0.200510663119354 , 0.911334826375006 , 0.305736009716249 , 0.880800795888874 , 0.364089522177334 , 0.84069298026229 , 1.00120119948212 , 1.296106109568 , 1.14208751755454 , 1.00659157540803 , 0.0577199563498632 , 1.00490968746699 , 0.171720351717856 , 0.968383127924677 | 0.0000001 |
| 85 | 20 | 0.5 | 0.0 | 1.0 | control , control , control , control , control , control , control , control , control , control , control , control , control , control , control , control , control , control , control , control , intervention , intervention , intervention , intervention , intervention , intervention , intervention , intervention , intervention , intervention , intervention , intervention , intervention , intervention , intervention , intervention , intervention , intervention , intervention , intervention , -0.900068141319613 , -1.0221118592508 , 0.0895998539829603 , 2.06791499682062 , -0.785405459669966 , 0.619092256393566 , -0.153203946384797 , -1.17391573716553 , -0.431266050786821 , -1.21051482631461 , 0.59702657519892 , -2.01957799210902 , 2.0571258886383 , -0.532545546784465 , -0.949583818890244 , 0.756622253689516 , -0.00418115605926583, -0.287515696210137 , -1.64706022817848 , -0.616040496646913 , 0.683812188695683 , 2.143631136046 , 1.89811445715199 , -0.335028533638311 , -0.277824991374674 , -0.362024824315198 , -0.421680447912928 , 0.440949313441559 , -0.62836454053223 , -0.0510532886197018 , -0.992654100370586 , -1.35966069731473 , -0.668131833349241 , 0.0798032531010483 , -0.494468716585273 , 0.208864961021729 , 3.03024915938395 , -0.771310670885708 , -0.272089782241544 , -1.89004038864835 | 0.4480049 |
| 85 | 20 | 0.5 | 0.1 | 0.5 | control , control , control , control , control , control , control , control , control , control , control , control , control , control , control , control , control , control , control , control , intervention , intervention , intervention , intervention , intervention , intervention , intervention , intervention , intervention , intervention , intervention , intervention , intervention , intervention , intervention , intervention , intervention , intervention , intervention , intervention , -0.0763086634917338, 0.0319054992526389 , 0.326661429923533 , 0.119493629978292 , 0.140319008076669 , -0.330846968594191 , 0.625377900078703 , 0.148064547610976 , -0.0907718318529583, -0.238240951892339 , 0.541743079250394 , 0.508546680779069 , 0.34353521663942 , 0.0282103525035489 , 0.0894395112418465 , 0.0913236593073413 , 0.559557017796653 , -0.496968637683556 , -0.83172049868081 , -0.0104277640334004, 0.014681154215317 , 0.154354214700828 , 0.363645936283379 , 0.794035234588544 , 1.00121833066658 , 0.794636770741746 , 0.813338419293912 , 0.667078354892165 , 0.0737750618784715 , 1.1437860846009 , 0.893036383116175 , -0.130146943660457 , 1.37415829783697 , -0.156582499705735 , 1.25707336701343 , 0.65483909544366 , 0.239836672493744 , 1.18584226846901 , 0.709709053610215 , -0.195647706239266 | 0.0007732 |
| 85 | 20 | 0.5 | 0.1 | 1.0 | control , control , control , control , control , control , control , control , control , control , control , control , control , control , control , control , control , control , control , control , intervention , intervention , intervention , intervention , intervention , intervention , intervention , intervention , intervention , intervention , intervention , intervention , intervention , intervention , intervention , intervention , intervention , intervention , intervention , intervention , -0.756014138770782 , -1.67775228776929 , 0.797085439221433 , 0.511266848015957 , 0.263313555488531 , -0.890730263266881 , 0.705983212695025 , 0.179568315672625 , 0.0548346909199778 , -0.339677455453228 , -1.22051003729065 , 0.0455735725014616 , -1.53253090292987 , -0.0519191895232933, 0.0635118836127472 , 0.226886063644115 , -2.17317939682704 , -0.482174178676172 , -0.422960447676901 , 1.04043504019802 , 0.73374421958615 , 0.109260721995365 , 0.140600324571688 , -0.611929868122923 , -0.243029753099879 , 1.4446214216811 , 1.77067574072348 , 0.581937380198691 , 1.45240481764826 , 1.04476858431828 , 1.14583048732549 , -0.744892235558127 , -0.0650586440864601, -0.189905200927611 , -1.02657333159526 , -1.10266068233338 , 0.0262588487431956 , 0.00349284566503516, 0.490307657809639 , 1.9803520100432 | 0.0308927 |
| 85 | 50 | 0.0 | 0.0 | 0.5 | control , control , control , control , control , control , control , control , control , control , control , control , control , control , control , control , control , control , control , control , control , control , control , control , control , control , control , control , control , control , control , control , control , control , control , control , control , control , control , control , control , control , control , control , control , control , control , control , control , control , intervention , intervention , intervention , intervention , intervention , intervention , intervention , intervention , intervention , intervention , intervention , intervention , intervention , intervention , intervention , intervention , intervention , intervention , intervention , intervention , intervention , intervention , intervention , intervention , intervention , intervention , intervention , intervention , intervention , intervention , intervention , intervention , intervention , intervention , intervention , intervention , intervention , intervention , intervention , intervention , intervention , intervention , intervention , intervention , intervention , intervention , intervention , intervention , intervention , intervention , 0.770488740048898 , -0.252225100081397 , 0.0183570041269203 , 0.249417360971927 , 0.0782089377474158 , -0.948163878608535 , 0.0336862192270343 , 0.300261088526428 , 0.248920270990717 , 0.62428559637017 , -0.187218819325753 , -0.148790993211571 , -0.0907693193905086 , -1.20247502502892 , 0.522851338901795 , -0.17728463329816 , 0.596432171502837 , -0.874135122264202 , 0.816500936228076 , -1.20190667083803 , 0.232574477876591 , -0.158557878941372 , 0.234814779172162 , 0.935684344706493 , -0.554340467036168 , -0.0630345525882472 , -0.143379226541059 , -0.173680545895482 , -0.758576931412588 , -0.0503757098690075 , 0.0848714540611237 , 0.131186133582019 , 1.05529262499584 , -0.136751646555423 , 0.864155302149761 , -0.223637610799504 , 0.546625852792828 , 0.135116309029807 , -0.637318189732575 , 0.157014824448521 , 0.00947648667202061 , 0.35239294570726 , -0.264319946398892 , 0.652701485989381 , -0.138281242348144 , -0.564896740676374 , 0.962645826432626 , 0.508249007605928 , -0.474809324249193 , -0.388229671994611 , 0.11644530180536 , -0.123040898908508 , 0.286386099467523 , -0.440727584968591 , -0.866810035024667 , -0.162206201984879 , 0.203532346300802 , 0.0564359297992852 , -0.715507714459031 , 0.441470226673502 , -0.485880002687347 , -0.0427282547418178 , 0.5355989311646 , -0.0750932674970878 , -0.434712736062108 , 0.21300784459157 , -0.00937208181233702, -0.877253561205729 , 0.109660263750203 , 0.163969343260683 , 0.205288426865593 , -0.2887976848496 , 0.0375054137263534 , 0.516787056467512 , 0.565867293070549 , 0.0332123596575768 , -0.40097337420315 , 1.00524909568021 , -0.00272716232009047, 0.549127619377197 , -0.44008783490157 , 0.0746588378460247 , 0.400116747386222 , 0.375332880646664 , -0.298723847889395 , -0.625616380453031 , 0.938545447508732 , 0.183420825835032 , -0.442077595016537 , 0.0125599117269117 , 0.243984066939066 , -0.709464254269934 , -0.0989111227014035 , 0.0525173900367578 , -0.604260034491338 , -0.29439762613305 , 0.690315875182065 , 0.270413093655132 , -0.912508672170967 , -0.260634129187457 | 0.5985248 |
| 85 | 50 | 0.0 | 0.0 | 1.0 | control , control , control , control , control , control , control , control , control , control , control , control , control , control , control , control , control , control , control , control , control , control , control , control , control , control , control , control , control , control , control , control , control , control , control , control , control , control , control , control , control , control , control , control , control , control , control , control , control , control , intervention , intervention , intervention , intervention , intervention , intervention , intervention , intervention , intervention , intervention , intervention , intervention , intervention , intervention , intervention , intervention , intervention , intervention , intervention , intervention , intervention , intervention , intervention , intervention , intervention , intervention , intervention , intervention , intervention , intervention , intervention , intervention , intervention , intervention , intervention , intervention , intervention , intervention , intervention , intervention , intervention , intervention , intervention , intervention , intervention , intervention , intervention , intervention , intervention , intervention , -0.698619322363768 , -0.326373912128696 , 0.540165644629791 , 1.00861253575116 , 0.0708166796912378 , -0.504007728354799 , -1.25163840022801 , -0.0475671460562741, 0.577407235180413 , 0.603561961486106 , -0.526888619776887 , 1.04788086146319 , -1.08516179728229 , -2.21781394533432 , -0.0221067818286965, 0.45871802775536 , -0.191466846397402 , -1.19758633762644 , -0.842553186220075 , 1.03045756249751 , -0.0236481844840929, -1.21759557524403 , 0.958877754690062 , -0.38903422300703 , 0.0603777034977778 , 1.14822744892174 , 0.635828320550415 , 0.399071924569908 , 0.053596974444348 , 0.809812752124316 , 0.611463175147635 , 1.45091715151953 , -0.937643874175711 , 0.0324872702175339 , 0.021875076736815 , 1.78987693940968 , -0.702936787498198 , 0.657600529606593 , -2.06207615816171 , -1.49669503800555 , -0.754941089126426 , 0.59841787426535 , 1.29386370709054 , -0.835030588259019 , 1.30751110710912 , 1.32989155884285 , -1.61680624299826 , 0.795837393912686 , 1.08358980704935 , 0.886121742779487 , 0.466136207991523 , 1.27739767305934 , -2.53117195655622 , 1.24286357624696 , 0.278197542670725 , -1.5144679604131 , 0.222010785805898 , -0.36688600817376 , 0.955681123424929 , 1.3231806383021 , -0.361408483116016 , 0.348520384106132 , -1.05219564042305 , -1.65971784079339 , 0.643042358118372 , 0.85431318743684 , -1.0634245338629 , 0.56499834646798 , 0.0318797466266504 , -0.649814343391136 , -1.06763712300782 , 1.65105795994146 , -1.85300845594708 , 0.0962445024965224 , -0.295214022850697 , -0.333216012707815 , -0.298775591970674 , -2.55194751494983 , -0.685383396782832 , 1.0136665090015 , 1.33388768376893 , 0.13651679459827 , 0.486079461497811 , 2.03284035847215 , -0.52654900970368 , -0.824733026213612 , -1.84121362986992 , -1.77585345893799 , -0.413445997833762 , 0.32762792668395 , -0.483029899394025 , -0.528518332163195 , 0.476662084632206 , 1.35303464124482 , 0.891729722804812 , -0.39278664170257 , 0.26657252198359 , 2.48306100281577 , -0.45968765088798 , 0.157458839490184 | 0.6394612 |
| 85 | 50 | 0.0 | 0.1 | 0.5 | control , control , control , control , control , control , control , control , control , control , control , control , control , control , control , control , control , control , control , control , control , control , control , control , control , control , control , control , control , control , control , control , control , control , control , control , control , control , control , control , control , control , control , control , control , control , control , control , control , control , intervention , intervention , intervention , intervention , intervention , intervention , intervention , intervention , intervention , intervention , intervention , intervention , intervention , intervention , intervention , intervention , intervention , intervention , intervention , intervention , intervention , intervention , intervention , intervention , intervention , intervention , intervention , intervention , intervention , intervention , intervention , intervention , intervention , intervention , intervention , intervention , intervention , intervention , intervention , intervention , intervention , intervention , intervention , intervention , intervention , intervention , intervention , intervention , intervention , intervention , 0.492412516106999 , 0.172593920388873 , 1.0580832800933 , -0.288383133396937 , -0.736591888226317 , 0.262246908783089 , -0.38867213244701 , 1.25155946813621 , 0.29911167270516 , 0.274224915296608 , 0.724864370961117 , 0.399495751113072 , 0.312413892192167 , -0.698248939145574 , -0.293445954534731 , 0.284423109325234 , -0.832517072010139 , 0.733995564289845 , -0.0330353116452039 , 0.535046400023434 , 0.200195615116337 , 0.386598903679565 , -0.233529428065331 , 0.039131873830837 , 0.102585851095232 , -0.220774785635471 , 0.872087774311785 , -0.790427233882332 , 0.0937901797961634 , -0.0575129321164975 , -0.394147138816257 , 0.0348203224795508 , 0.514599269221974 , 0.646679043706121 , -0.288485287697832 , 0.168956565008808 , 0.084681871739353 , -0.309887170278542 , 0.496912929639703 , 0.934773912708286 , -0.221015112712003 , 0.144472213306211 , 0.234643166320739 , 0.883209700375432 , -1.1397461455133 , 0.135088598412298 , -0.00794572008498481, -0.191151251620216 , -0.569634452474834 , 0.235346179842974 , -0.249295145260303 , 0.715826700293915 , 0.0383978676620358 , 0.177706583125996 , -0.606652313341053 , -0.268977549302263 , -0.683506937679546 , 0.063336714919052 , -0.93582411620417 , -0.0695400196522359 , -0.92984465190225 , -0.604178484143182 , -1.01574822341598 , 0.535890266666786 , -0.323692124951874 , -0.133026695972173 , -0.137134868328407 , -0.892538161685017 , 0.804797530652394 , -0.492393298368342 , -1.11863934671914 , -1.42247618083774 , -0.556525165614979 , 0.0401979063272586 , 0.0383172439386573 , 0.237254541207214 , 1.03672155310836 , -0.430886754461849 , -0.0477084066749223 , 0.774913321774203 , -0.54618669187454 , 0.044950857844493 , 0.0751135512386205 , -0.455573572898239 , -0.815203469077202 , 0.326180559157405 , -0.235808541687641 , 0.746338626407097 , -0.476825623100527 , 0.196466125691457 , 0.189790298947397 , -0.388734124408725 , 0.150113389843178 , -0.0385778707893206 , -0.470904507044334 , -0.87879984396158 , -0.166467941957321 , -0.11637252535205 , -0.697029425592088 , -0.0479105240716107 | 0.0042507 |
| 85 | 50 | 0.0 | 0.1 | 1.0 | control , control , control , control , control , control , control , control , control , control , control , control , control , control , control , control , control , control , control , control , control , control , control , control , control , control , control , control , control , control , control , control , control , control , control , control , control , control , control , control , control , control , control , control , control , control , control , control , control , control , intervention , intervention , intervention , intervention , intervention , intervention , intervention , intervention , intervention , intervention , intervention , intervention , intervention , intervention , intervention , intervention , intervention , intervention , intervention , intervention , intervention , intervention , intervention , intervention , intervention , intervention , intervention , intervention , intervention , intervention , intervention , intervention , intervention , intervention , intervention , intervention , intervention , intervention , intervention , intervention , intervention , intervention , intervention , intervention , intervention , intervention , intervention , intervention , intervention , intervention , -0.41551061686201 , -1.62903102018495 , 0.620317295338035 , -0.59671228850265 , 1.3211028184694 , -0.788410662130917 , 0.469054475296452 , 0.0182791836246278 , 1.70608827632613 , -0.645648498387325 , 0.725726538542044 , -0.586497353805388 , 1.70106236336892 , 0.134152911876552 , 0.1152544663431 , 0.526463803996242 , 0.338173650578821 , 0.309113265190523 , -0.559036571073595 , -1.10751279897802 , 0.950832407604952 , 0.21216480857801 , 0.0731056784354956 , 0.985738731157198 , 1.0884566570893 , 0.633907451294947 , -0.815091835447239 , 0.24731838882081 , -1.5802227436642 , -0.122577224467529 , -0.779121515817095 , -0.309683994530106 , 0.416352095415099 , -1.05721082832461 , -1.23529860967916 , 0.436749486062869 , -0.841785544041779 , 0.406576520367127 , 0.354818799468063 , -0.218364140076333 , -0.281673535841672 , 0.70387925904302 , 0.078732225530479 , -0.571264722811335 , 1.78299410290117 , -0.211818988807543 , -0.185103723524286 , -0.0238229586989446, 0.793617059034005 , 0.359891463186226 , 1.43831124041386 , -0.191364494153745 , 0.457886797059319 , -0.469680653561857 , -0.362793662852161 , 0.42233686529742 , 0.085462455304573 , 0.402928686818753 , 1.60460491718136 , 0.196148138909055 , -1.11331500490945 , 0.701779722790071 , 0.0477101884475984 , 0.824788014282045 , -1.80452712582879 , -1.01942123533346 , -0.297736267007798 , 1.42353581528675 , 1.58191160965067 , -0.0496886154982471, 0.167740112219363 , -2.2216162075952 , 2.14604455226228 , -0.26724127626399 , 0.914500534974073 , -0.186973723536894 , 1.14634930361122 , 0.239067286898603 , -0.506250499022673 , -0.630235577283178 , 0.937001478154344 , -0.322980560717552 , 1.16030418283318 , 0.321796147189484 , 0.594393882543217 , -0.802128467475189 , 0.279458857355154 , 0.657090836295434 , -0.712493532916379 , 1.47436037159782 , 1.12245637236084 , -1.30045479559503 , 0.099092433586068 , -0.657953792245917 , -0.79888873448256 , -1.05861011930186 , 0.688591761486361 , 2.63252848932833 , 0.114731080508612 , 1.29042272132677 | 0.4108692 |
| 85 | 50 | 0.5 | 0.0 | 0.5 | control , control , control , control , control , control , control , control , control , control , control , control , control , control , control , control , control , control , control , control , control , control , control , control , control , control , control , control , control , control , control , control , control , control , control , control , control , control , control , control , control , control , control , control , control , control , control , control , control , control , intervention , intervention , intervention , intervention , intervention , intervention , intervention , intervention , intervention , intervention , intervention , intervention , intervention , intervention , intervention , intervention , intervention , intervention , intervention , intervention , intervention , intervention , intervention , intervention , intervention , intervention , intervention , intervention , intervention , intervention , intervention , intervention , intervention , intervention , intervention , intervention , intervention , intervention , intervention , intervention , intervention , intervention , intervention , intervention , intervention , intervention , intervention , intervention , intervention , intervention , 0.37523005143578 , 0.182640606113731 , -0.870454465776153 , -0.351156556027661 , 0.473318557274047 , -0.65616472487928 , 0.490305121992511 , -0.0163436486681147, -0.0489824846089612, 0.273236678749847 , -0.0974016077563519, -0.489638201873681 , -0.750439323183517 , 0.221611607291871 , -0.361785237712749 , 0.0757411369944434 , -0.922805860050377 , 0.210356509931179 , -0.540084702772554 , 0.248917253090064 , -0.758521534932142 , 0.378202250453838 , 0.172521071313137 , 0.077554294345789 , -0.524756149639325 , 0.500422605415606 , -0.625648547572706 , -0.0148410434703589, 0.201164379309084 , -0.786995019655179 , 0.248581903247538 , -0.0997768133390499, -0.323063734923324 , 0.621406867703653 , 0.310694954640215 , -0.304874215884952 , -0.252621069134886 , 0.0594292955392944 , 0.6194182787601 , -0.746453150133901 , -0.517510077563761 , 0.227696745433919 , 0.77729342874975 , 0.181148144209334 , -1.04923643182162 , 0.118020722725351 , 0.0740272753584618 , -0.254238682806777 , -0.513660012977703 , -0.100697756762402 , 0.82939102304603 , 0.124139163436782 , 0.430117450255726 , 0.0949089678749532 , 1.08867784230823 , 0.156459394372418 , -0.648850713184316 , 0.443438253844013 , 0.521039428123526 , 0.370214337157522 , -0.27701289266667 , 0.306185406941112 , 0.322723546490993 , 0.82484149127581 , 0.955218375128161 , 0.811364644252098 , 0.149757379215399 , -0.190445719618612 , 0.436522130970506 , 1.29382014759203 , 0.728538177490261 , 1.23073260054725 , 0.314744535278533 , 1.50299213603834 , 0.887406747304365 , 1.09139103984837 , -0.133652222809313 , 0.0654945959574749 , 1.07439797292117 , 0.574637516069991 , 0.189088120067507 , 0.491711217227473 , 0.550459303167793 , 0.261541867419572 , 0.774873346894442 , 1.13249266454479 , 0.582025296624559 , 0.138920426211443 , -0.713950921937365 , 0.684785644267838 , 1.65975772563461 , 0.77661482113753 , -0.111143362714322 , 0.421081114981408 , -0.126724918840332 , 0.612241724832724 , 1.01245593779525 , 2.14504651627818 , 0.0200727346167748 , 0.740292311402078 | 0.0000000 |
| 85 | 50 | 0.5 | 0.0 | 1.0 | control , control , control , control , control , control , control , control , control , control , control , control , control , control , control , control , control , control , control , control , control , control , control , control , control , control , control , control , control , control , control , control , control , control , control , control , control , control , control , control , control , control , control , control , control , control , control , control , control , control , intervention , intervention , intervention , intervention , intervention , intervention , intervention , intervention , intervention , intervention , intervention , intervention , intervention , intervention , intervention , intervention , intervention , intervention , intervention , intervention , intervention , intervention , intervention , intervention , intervention , intervention , intervention , intervention , intervention , intervention , intervention , intervention , intervention , intervention , intervention , intervention , intervention , intervention , intervention , intervention , intervention , intervention , intervention , intervention , intervention , intervention , intervention , intervention , intervention , intervention , 0.284002062334693 , 1.60087834079195 , -0.178419382597466 , -0.500667442851546 , -1.36628598954119 , 0.296610258406594 , -0.374817280961375 , -1.68945804415819 , -0.73313607215897 , -0.0211893060733128 , -1.17491990701119 , -0.170731731069411 , 0.42097237980578 , 1.05882886075591 , -1.36099273303551 , -2.74007182664764 , -0.944543551844489 , 0.614077010425727 , -0.425634102129787 , 0.860420937212684 , -0.369795486277909 , 1.18044161197766 , 0.311801304291813 , -0.17511524872916 , -0.494216977362398 , -0.00309491201624613, -0.15886761088614 , 0.987679040253633 , 0.136499054623419 , 0.903709071582528 , -0.109447637020002 , 0.420352743744092 , -0.498226328904237 , 0.162209310869515 , -0.244308550524202 , 0.223419686949193 , -0.558082373826319 , 1.04369278875657 , -0.23378265780597 , -0.0486369041657304 , -0.758224201107154 , 0.684921358615667 , 0.904740200220855 , 1.18280122409178 , -2.18973669075207 , 2.00748824477582 , -2.09197028093238 , 0.0196286550284863 , 0.337052119042831 , 2.6277849912695 , 0.347639113827426 , -0.843754729202108 , 1.34093487058591 , 0.289887546580732 , 0.617685647176773 , 0.0943790619879048 , 0.158198568297038 , -1.89999155716567 , -1.26134938946905 , -1.6440598291074 , -0.105975730521776 , -0.468659210180025 , 0.566887675147206 , 0.238619288725877 , -0.406673086985633 , -0.159658938503684 , 1.36288331388445 , 1.46443627879442 , -0.941991669415402 , 0.99562228681233 , 0.479642647733571 , 0.69299828430048 , 0.559562026580197 , -0.193651298763049 , 0.319797018984648 , 0.307119914080522 , 0.39493188155851 , 0.401080488780791 , -0.240628594813702 , 0.766481854718421 , 1.0749623777959 , 1.0527703019887 , 1.83876871693567 , -0.591415891111514 , 0.919316429852514 , 0.470882850192028 , 0.287039041520116 , -0.44261598413373 , 0.542003401272699 , 0.750641872206282 , 1.51985421879253 , 0.970930380109628 , 2.6744662308541 , -0.0040672307472609 , -0.750034699325366 , 0.583667692020869 , 0.532067549160971 , 1.28004844371248 , 1.41447778759186 , 0.541022639781785 | 0.0463723 |
| 85 | 50 | 0.5 | 0.1 | 0.5 | control , control , control , control , control , control , control , control , control , control , control , control , control , control , control , control , control , control , control , control , control , control , control , control , control , control , control , control , control , control , control , control , control , control , control , control , control , control , control , control , control , control , control , control , control , control , control , control , control , control , intervention , intervention , intervention , intervention , intervention , intervention , intervention , intervention , intervention , intervention , intervention , intervention , intervention , intervention , intervention , intervention , intervention , intervention , intervention , intervention , intervention , intervention , intervention , intervention , intervention , intervention , intervention , intervention , intervention , intervention , intervention , intervention , intervention , intervention , intervention , intervention , intervention , intervention , intervention , intervention , intervention , intervention , intervention , intervention , intervention , intervention , intervention , intervention , intervention , intervention , -0.349192127909706 , 0.0988137984126548 , 0.507686619616667 , -0.274857764889438 , -0.0288731732826774 , 0.88532936910177 , -0.824325285963708 , 0.177927964148717 , 0.146993559938039 , 0.170250268550161 , -0.396282672686524 , -0.289117491498758 , 0.286780826085671 , 0.432505528920237 , 0.825224947119279 , 0.370952477052779 , -0.0394685394381283 , 0.0496480062621671 , -0.552775583891604 , 0.350665044197584 , -0.182151554356524 , -0.7282610630813 , 0.193139710907743 , -0.131625427858611 , -0.624920521969578 , -0.158515911877745 , -0.408477809934336 , -0.492589243547503 , 0.198285582365911 , 0.883365540070042 , -0.362142120155718 , -0.0771230294322421 , 1.1174355628373 , -0.398253322718421 , -0.105710265210985 , -0.368558612771134 , 0.548232154235283 , 0.344054102517364 , 0.394808967318361 , -0.00795799180336333, -0.974151221602229 , 1.09947997250205 , 0.195773930089913 , 0.493342625345165 , -0.172752287870552 , 0.551300233584087 , 0.0553036873144056 , 0.405862983204552 , 1.1397538320515 , -0.149824152401539 , 0.954174997760509 , 0.885692890778247 , 1.2785843747886 , 0.0892536406201673 , 0.339914540091959 , 0.0823999816426584 , 0.800399018069504 , 0.403452950685635 , 1.02688836586489 , 0.554039353690153 , 1.00705019762244 , -0.305430235844787 , 0.416774803483567 , 0.376315173529052 , 0.206262206371441 , -0.682832409642435 , 0.626066201991343 , 0.184090446288844 , -0.300070158052417 , 0.791200200480829 , 1.06498969817553 , 1.04195401223386 , 0.477354354159565 , 0.274198825107295 , 0.889210949715564 , 1.05887315025698 , 0.329321710261625 , 0.975614818494248 , -0.0347433268743073 , 0.14971849226915 , 0.475129714667357 , 0.560110184250833 , -0.127033236800524 , -0.340320165090284 , 0.4462914810515 , 0.576594682315002 , 0.208926338350508 , 0.855216721688854 , 0.194632734541123 , 0.563723600673593 , -0.260942939474826 , 1.27619225868233 , 0.160723794534421 , 0.744458657456782 , 0.442420858146816 , 0.375666659922293 , 0.86992811978275 , 0.315894640678657 , 0.146064397934422 , -0.208253057585655 | 0.0002143 |
| 85 | 50 | 0.5 | 0.1 | 1.0 | control , control , control , control , control , control , control , control , control , control , control , control , control , control , control , control , control , control , control , control , control , control , control , control , control , control , control , control , control , control , control , control , control , control , control , control , control , control , control , control , control , control , control , control , control , control , control , control , control , control , intervention , intervention , intervention , intervention , intervention , intervention , intervention , intervention , intervention , intervention , intervention , intervention , intervention , intervention , intervention , intervention , intervention , intervention , intervention , intervention , intervention , intervention , intervention , intervention , intervention , intervention , intervention , intervention , intervention , intervention , intervention , intervention , intervention , intervention , intervention , intervention , intervention , intervention , intervention , intervention , intervention , intervention , intervention , intervention , intervention , intervention , intervention , intervention , intervention , intervention , -1.68074612100289 , 0.33079819373857 , 0.456374901583581 , 0.104638510739873 , 0.754604013508088 , 0.488830332691573 , 0.415440602379911 , 1.20489609919385 , 0.980600381498599 , -1.0450106197535 , 1.00003697115328 , 0.276216682921807 , 0.0295943474214641 , 0.118106693050385 , -0.141300184726799 , -2.05254266579639 , -0.536435504305638 , 1.31091814906666 , 2.56891846094466 , -0.692083683249139 , 0.537022080453806 , 1.47263838734939 , 0.388417589474191 , 0.284793064590927 , -0.822972330849893 , -1.07463251182819 , -0.0742473919123056, 1.09408373418555 , -0.295467153352651 , 1.22368441602258 , 1.43159370878466 , -0.863025390551186 , 0.686493153940057 , -0.404076844746635 , 0.0415504036792529 , 1.48916686923646 , -0.559125343075148 , 0.128960945862877 , 0.940600344257529 , -0.359387641978375 , 0.290800112593201 , 0.996581751952726 , 0.0607573698234253 , -0.561972681045266 , -0.70135826878562 , -0.68295444010411 , -1.68514150862548 , 0.501431423809037 , -0.557204678589865 , 0.346472009981332 , -0.119171419218609 , 1.17017345842036 , 1.79707297547051 , 1.71353867431202 , 2.31850256776335 , 0.972097114370273 , -0.311389015467402 , -0.657373468405454 , -1.4087843604686 , -0.424451971072757 , 0.671467385648157 , -0.628228024583003 , 0.995804264028705 , 2.19063295146181 , 1.77047816509379 , -0.369771404979068 , 1.57673341137983 , 0.740816636360675 , 3.30907563898506 , -0.26936106876664 , -0.14061311172417 , -0.278910534658463 , 0.437885517715492 , 0.315468932488668 , 1.05004961124124 , 1.32812859088787 , 0.626266304475873 , -0.0343951293810557, 0.121067153724331 , -0.177503912655792 , 1.61491896955966 , 0.8575333975667 , -0.53929909817616 , 1.56455940632392 , -0.379306162783482 , 1.3248460783726 , 0.963315217882209 , -0.682413768393781 , 1.20131299044264 , 0.478693770949749 , 0.0527258078495739 , 0.225847858014345 , -0.554364776551774 , 0.63957552486138 , 0.166351931445199 , -0.0688965906580933, -0.226097003931501 , 0.800060334365835 , 0.469760301529895 , -0.323182486116541 | 0.0472107 |
| 86 | 20 | 0.0 | 0.0 | 0.5 | control , control , control , control , control , control , control , control , control , control , control , control , control , control , control , control , control , control , control , control , intervention , intervention , intervention , intervention , intervention , intervention , intervention , intervention , intervention , intervention , intervention , intervention , intervention , intervention , intervention , intervention , intervention , intervention , intervention , intervention , 0.320176136282551 , 0.10136793812312 , 0.270696341883883 , -0.328875019059219 , 0.124589696198792 , -0.385506817241711 , 0.112978900021039 , -0.376149367046759 , 0.241560654946317 , 0.108462255196019 , -0.813886669966396 , 0.124129317785824 , 0.328810539901909 , 0.0577673997232392 , -0.545775927477847 , -0.36131447800047 , -0.0311650761165618, 0.49823087019488 , -0.400050922065451 , -1.10784670165508 , 0.395886219333827 , -0.92052836970005 , 0.731719928405678 , 0.727320319763633 , -0.85804972022509 , 0.431606068835299 , 0.403136398108224 , -0.138618369312993 , -0.581741286853157 , -0.19797382036767 , 0.0637165702513264 , -0.975606524551076 , 0.0557664726673079 , 0.659772516696425 , 0.377998537011965 , 0.440044429797707 , 0.27704508205135 , 0.871381594417079 , -0.409835094904203 , -0.263411174062181 | 0.3282669 |
| 86 | 20 | 0.0 | 0.0 | 1.0 | control , control , control , control , control , control , control , control , control , control , control , control , control , control , control , control , control , control , control , control , intervention , intervention , intervention , intervention , intervention , intervention , intervention , intervention , intervention , intervention , intervention , intervention , intervention , intervention , intervention , intervention , intervention , intervention , intervention , intervention , 0.128047789954988 , 0.289784939184689 , 0.177413374040557 , 0.651359492297814 , 1.68841928472298 , 0.322302471384071 , 0.407649894468563 , 0.158494050892714 , -0.0503251662869707, 0.104698443384852 , -1.15647038346667 , 0.0516819411850849 , 0.940857555379206 , 0.64373700211521 , 1.36418515648771 , 0.957439884250032 , 0.421827720046822 , 0.569952617504137 , -0.769871634656644 , -2.09446092874513 , -1.57861840185506 , 0.0469666764218629 , 0.102653316264319 , -1.27613683755901 , 1.80419344821424 , -0.359602044281022 , 0.317852944781086 , -0.239614878221808 , -0.174471273449241 , -1.34981004179542 , -0.410362608480493 , 0.103511151485129 , 0.892777952663124 , -1.19189710996229 , 1.42390934274235 , -0.859761127481686 , -0.164842198649351 , -0.526143495955582 , 2.50007858241285 , -0.774363766077864 | 0.2905670 |
| 86 | 20 | 0.0 | 0.1 | 0.5 | control , control , control , control , control , control , control , control , control , control , control , control , control , control , control , control , control , control , control , control , intervention , intervention , intervention , intervention , intervention , intervention , intervention , intervention , intervention , intervention , intervention , intervention , intervention , intervention , intervention , intervention , intervention , intervention , intervention , intervention , -0.136768046241564 , -0.386396659721197 , 0.0482940215799538 , 0.19754964989694 , -0.157370241406602 , -0.297533350437262 , -0.254986813486374 , -0.147023429555738 , -0.0599278820625314, 0.175835995823467 , 0.376380687423269 , -0.284522417493573 , 0.25435201413196 , -0.0755461762011096, 0.0522548900941056 , -0.549579809525087 , -0.196292481476518 , 0.788579599671619 , 0.451833353296893 , 0.150680771727704 , 0.134703777819784 , 0.2006624992962 , -0.11649026520025 , 0.482317600120328 , 0.514088930240423 , -0.181727399904456 , 0.144447738400368 , -0.25130336244858 , 0.75427775732716 , 0.76779507734715 , -0.342716235842916 , -0.357147857733722 , -0.471365116186958 , -0.848710974835304 , -0.26655862460726 , 1.09449335258415 , 0.527110570039486 , 0.710862059717712 , -0.0833705793124506, -0.27279944603616 | 0.4206099 |
| 86 | 20 | 0.0 | 0.1 | 1.0 | control , control , control , control , control , control , control , control , control , control , control , control , control , control , control , control , control , control , control , control , intervention , intervention , intervention , intervention , intervention , intervention , intervention , intervention , intervention , intervention , intervention , intervention , intervention , intervention , intervention , intervention , intervention , intervention , intervention , intervention , 0.263359073703909 , -0.655440037521138 , -1.65667227863155 , 0.0213717685845237 , 1.43506417164246 , -1.6849541477989 , 0.890367481361552 , -0.195544804915434 , -3.81035071144793 , 0.0943993652392648 , -1.39419118532806 , -0.758730140924094 , -0.675481274291825 , -0.693668362690463 , 1.55451235962178 , -2.26814855646219 , 0.527375429931279 , 0.607272170106524 , 0.863116631418037 , 0.987888463710954 , -0.475597442340932 , 0.236908212023098 , 0.753491850734444 , -1.858936071783 , 0.715938558893122 , -0.453147832649971 , -1.4217083733085 , -0.306306510221488 , -1.86730607037227 , 0.425863190806445 , -0.0444193088478937, 0.0431043934637627 , -0.751104303663736 , -1.49927636208305 , -0.203724997979822 , 0.962174515456656 , -1.16278345714218 , -0.88110293988996 , 1.78994664497439 , 0.196125721430645 | 0.9209200 |
| 86 | 20 | 0.5 | 0.0 | 0.5 | control , control , control , control , control , control , control , control , control , control , control , control , control , control , control , control , control , control , control , control , intervention , intervention , intervention , intervention , intervention , intervention , intervention , intervention , intervention , intervention , intervention , intervention , intervention , intervention , intervention , intervention , intervention , intervention , intervention , intervention , -1.2880645951788 , -0.395764338534546, 0.808106125408175 , 0.666316469619072 , -1.12176957492907 , 0.581847098563533 , -0.93690270639388 , -0.379256174439462, 0.189881333019202 , -0.459993667818189, -0.460125733465414, -0.290757429711208, 0.0783852959881366, 0.3622831739085 , -0.108345083501782, 0.581017682767583 , -0.589364965045295, -0.877579241632802, 0.506797448304737 , -0.477193395311587, -0.157941879684344, 0.682023688189663 , 0.313292294504371 , 0.617314587216423 , -0.265339609027815, 1.92253637627271 , 0.626673170132431 , 0.792275811961323 , 0.501217271354206 , 0.65438477480668 , 0.254899069583396 , 0.640838024475436 , -0.622212222438129, 0.252147027232302 , 0.368993382262209 , 0.62505415879311 , 0.868859208048757 , 0.686889672935121 , 0.45880450066934 , 1.35776409586041 | 0.0004757 |
| 86 | 20 | 0.5 | 0.0 | 1.0 | control , control , control , control , control , control , control , control , control , control , control , control , control , control , control , control , control , control , control , control , intervention , intervention , intervention , intervention , intervention , intervention , intervention , intervention , intervention , intervention , intervention , intervention , intervention , intervention , intervention , intervention , intervention , intervention , intervention , intervention , 1.0163330066783 , 0.758258295429844 , 0.962362950346829 , -0.835083286683764 , 0.0292752692934023 , -0.748052465507252 , -1.60147616613194 , -0.0858883050456749, 1.02515202093979 , 0.0932898501503844 , -0.858342893479958 , 1.47011682472668 , -0.425195985661407 , -0.0413136628873612, -0.732553672851713 , -0.699741888302822 , -0.21750924384559 , 2.37960497041698 , -1.43677888307625 , 0.764482020074168 , 2.82406894127747 , 1.67663406868996 , 0.554089553968614 , 1.14750738572384 , 0.338285183970491 , 0.907861087834371 , 1.83277230778948 , 1.43729467262541 , 1.70577473889133 , 1.19301105172252 , 0.643128405416306 , 1.36444011374215 , -0.154135071390671 , -1.22554739779512 , 1.95580319130061 , 0.704796904441753 , 0.964809005794708 , 1.01130333108319 , 0.0498017963831555 , -1.15683606322208 | 0.0113518 |
| 86 | 20 | 0.5 | 0.1 | 0.5 | control , control , control , control , control , control , control , control , control , control , control , control , control , control , control , control , control , control , control , control , intervention , intervention , intervention , intervention , intervention , intervention , intervention , intervention , intervention , intervention , intervention , intervention , intervention , intervention , intervention , intervention , intervention , intervention , intervention , intervention , -0.337738799542748 , 0.749419189685285 , -0.675226552537369 , 0.492448220940358 , -0.176641281479825 , 0.117317299626802 , 0.457073211130909 , -0.117646220045429 , 0.240207264098568 , 0.40280263059697 , 0.952654586645213 , -0.0169264250454791, 0.562085045082095 , -0.804036167036043 , 0.434429704475967 , -0.757076397221412 , -0.493338746683921 , -0.0715038053856441, -0.115732888757195 , 0.285333605981948 , 0.146224845590585 , 0.646482169663446 , 0.336209633656433 , 0.186324778874285 , 0.0356913195714388 , 1.08564224985948 , -0.210718967881288 , -0.22779909284338 , 0.497042622297237 , -0.150739541228639 , 0.451270330241681 , 1.08664272308234 , 0.372585280240608 , -0.307514163918297 , 0.239470183166227 , 0.527401129968849 , 1.13545495314277 , 0.0515543774876977 , 0.15583533696936 , 0.341126584407316 | 0.0816082 |
| 86 | 20 | 0.5 | 0.1 | 1.0 | control , control , control , control , control , control , control , control , control , control , control , control , control , control , control , control , control , control , control , control , intervention , intervention , intervention , intervention , intervention , intervention , intervention , intervention , intervention , intervention , intervention , intervention , intervention , intervention , intervention , intervention , intervention , intervention , intervention , intervention , 0.607551579781721 , -0.0791345643655786, 1.12574685190149 , -0.165671778376678 , -1.42322413045049 , 0.665224904134607 , 1.22269623870732 , -0.570220019194495 , 1.09941478009926 , 0.424852512360395 , 1.29511028385687 , -0.870003876856181 , 0.932007370010228 , 0.912837773333122 , 0.962877886626035 , -1.56864163198948 , -1.55494780680921 , 0.966094085053965 , -1.12846473566444 , -0.737327941988736 , 0.104646102880232 , 0.502753385926805 , 1.76996187197159 , 0.00792286857148705, -0.717917569833637 , 1.12165995013022 , -0.286532513266994 , -0.401373997515702 , 1.69312118097377 , -0.378342652756119 , 0.42781441444586 , 1.84880080553776 , 0.268667923630645 , 0.672728547917752 , 1.95543019668022 , -0.461959306962398 , 0.0268725341416179 , 0.632741938650064 , -0.763743976955063 , -1.97807179395853 | 0.5458561 |
| 86 | 50 | 0.0 | 0.0 | 0.5 | control , control , control , control , control , control , control , control , control , control , control , control , control , control , control , control , control , control , control , control , control , control , control , control , control , control , control , control , control , control , control , control , control , control , control , control , control , control , control , control , control , control , control , control , control , control , control , control , control , control , intervention , intervention , intervention , intervention , intervention , intervention , intervention , intervention , intervention , intervention , intervention , intervention , intervention , intervention , intervention , intervention , intervention , intervention , intervention , intervention , intervention , intervention , intervention , intervention , intervention , intervention , intervention , intervention , intervention , intervention , intervention , intervention , intervention , intervention , intervention , intervention , intervention , intervention , intervention , intervention , intervention , intervention , intervention , intervention , intervention , intervention , intervention , intervention , intervention , intervention , 0.563965364195876 , -0.255380608285909 , -0.274887878437258 , 0.304306076822777 , -0.236061879890452 , 0.56421035466293 , -0.359118712135895 , -0.0425717985662758 , -0.720060360567181 , -0.00296791431612365, -0.495257217313734 , -0.46367209162561 , -0.255671126353859 , 0.251626864260327 , 0.219805696699229 , -0.0761319721137696 , 0.061764722170381 , 0.109942024692636 , 0.990208336715226 , -0.0148173088525911 , 0.237597600828984 , 0.473165573535352 , -0.220430299962929 , 0.646883201144762 , 0.696745282014192 , 0.437438476633326 , 0.936895635425935 , 0.224041006274774 , 0.37248873990093 , -0.271359234060076 , 0.32002559851638 , -0.428158510254646 , -0.329738277695077 , 0.242732004751326 , 0.168029193038421 , -0.450371630424656 , -0.590795941247056 , 0.223927271470037 , 0.660808150943399 , 0.39393086310451 , -0.686966237264425 , 0.628051365320419 , -0.260948532633669 , 0.0707214754429853 , -0.114506808707694 , 0.221460565952637 , 0.759241928884021 , -0.168765365232145 , -1.01953920732591 , 0.275983998443627 , 0.25924167642742 , -0.192652741933027 , 0.088304776945142 , -0.199206824827577 , -0.485870841462295 , -0.505875429784519 , 0.0695630290427345 , -0.536323267567462 , -0.431524092383563 , -0.264566039759262 , 0.785870079195161 , 0.593352522664046 , 0.490608518998071 , -0.116949473167976 , 0.198143873118512 , 0.189735921035152 , -0.0946723344575757 , -0.663983175784489 , 0.394138413971138 , 0.29084534940527 , -0.0544255573982815 , -0.307787967212941 , 0.16861479425951 , 0.279943320373956 , -0.455854208773842 , 0.0808399431925684 , -1.08956929861239 , -0.00436014185203944, -0.391902780769019 , -0.755787117132384 , 0.0297404068285761 , 0.375227584780083 , -0.528472195984292 , 1.06436900577637 , -0.0735336954600247 , -0.0902041326111322 , 0.404061445652752 , 0.339486970059427 , -0.575677489937205 , -0.585592334301602 , 0.115651620608194 , 0.319370268809698 , 0.167556851945387 , -0.792013542968905 , -0.245598625414535 , 0.241349357687022 , 0.763723707888275 , 0.710292099995492 , -0.467200820391459 , 0.562292027849611 | 0.3554104 |
| 86 | 50 | 0.0 | 0.0 | 1.0 | control , control , control , control , control , control , control , control , control , control , control , control , control , control , control , control , control , control , control , control , control , control , control , control , control , control , control , control , control , control , control , control , control , control , control , control , control , control , control , control , control , control , control , control , control , control , control , control , control , control , intervention , intervention , intervention , intervention , intervention , intervention , intervention , intervention , intervention , intervention , intervention , intervention , intervention , intervention , intervention , intervention , intervention , intervention , intervention , intervention , intervention , intervention , intervention , intervention , intervention , intervention , intervention , intervention , intervention , intervention , intervention , intervention , intervention , intervention , intervention , intervention , intervention , intervention , intervention , intervention , intervention , intervention , intervention , intervention , intervention , intervention , intervention , intervention , intervention , intervention , 0.943111848896128 , -1.11669229120819 , -0.678955287865707 , -0.459203612320318 , -1.113338750323 , -0.492238664077477 , 0.466237822705691 , 0.93964187867206 , 1.9256526224369 , -0.295083327550914 , -0.816313288125421 , -1.10019146840479 , -0.751726879495614 , -0.265516946847719 , -0.854258797835906 , -0.82486355585687 , 0.182638619975459 , 0.295842243644653 , -0.484625673835605 , 0.59019388970256 , 0.937610437755086 , -0.0369768298547219 , -2.33884545575561 , -0.824481158957451 , 0.732328603477145 , -0.528344112181078 , -1.47348221230458 , 0.151309165761858 , 0.288449696698746 , -1.28325031303189 , -0.938245473108407 , -1.22368054113306 , -1.0595246634917 , -0.84569493790777 , -0.0417226545610901 , -1.67145377307282 , 0.464909932780519 , -1.01561340610868 , -0.53484072448634 , 0.215906673528133 , -0.968956128810219 , 1.1826663952866 , -0.418775230372712 , 0.545151904390964 , 0.481063468511354 , -0.382566691754132 , -0.148085071117027 , 0.326827313113927 , -0.492192406019567 , -1.93304977513676 , -0.377452988530764 , 0.96188891743423 , -1.34410003621979 , -1.67293147386197 , -0.106448743071796 , -0.968846390217323 , 0.186414213557063 , -0.637226601447169 , -0.803439660290239 , 0.322018693561365 , -0.929856838183964 , 0.734033158630234 , 0.0173680778394672 , 0.19435946577564 , 0.378450689697044 , -2.00710463673719 , 0.0863416338569125 , -1.80635001394403 , -0.543748172617025 , 1.62600718870692 , 0.748602335285168 , 0.519844600532186 , 1.29522688896588 , 0.272704219136664 , 0.416136448408159 , 0.857966315724921 , -0.0214098627400361 , 1.46532789895387 , 0.948653328509426 , 0.650966375971226 , 0.0941283064867487 , 0.589780931564124 , -1.67826163425396 , -0.760948238762604 , 0.575125954422277 , -0.512028205624697 , 0.00836324250460428 , -0.269596194696837 , -0.786503886567802 , -2.00445739302118 , 0.708740662842198 , -1.53677225778377 , -1.13543662298228 , -0.692855218275615 , 0.271980385978934 , -0.655865296228831 , -0.00391598134122539, -0.11339441712754 , -0.648516927476781 , -0.792463898893906 | 0.3744937 |
| 86 | 50 | 0.0 | 0.1 | 0.5 | control , control , control , control , control , control , control , control , control , control , control , control , control , control , control , control , control , control , control , control , control , control , control , control , control , control , control , control , control , control , control , control , control , control , control , control , control , control , control , control , control , control , control , control , control , control , control , control , control , control , intervention , intervention , intervention , intervention , intervention , intervention , intervention , intervention , intervention , intervention , intervention , intervention , intervention , intervention , intervention , intervention , intervention , intervention , intervention , intervention , intervention , intervention , intervention , intervention , intervention , intervention , intervention , intervention , intervention , intervention , intervention , intervention , intervention , intervention , intervention , intervention , intervention , intervention , intervention , intervention , intervention , intervention , intervention , intervention , intervention , intervention , intervention , intervention , intervention , intervention , 0.0368698717356077 , -0.455448970097848 , -0.0668896075693068, -0.324856535086704 , 0.38429999466112 , 0.160354906148583 , 0.617915928700806 , -0.257535726394645 , -0.035197064153247 , -0.671322958491255 , -0.731034446339116 , 0.38533759779138 , 0.216092837817957 , 0.159106863404431 , 0.0633746666596082 , 0.825777127683834 , 0.509560466876567 , -0.107624623377111 , 0.736047192000063 , -0.10558721903814 , -0.267819871539633 , -0.149156409598882 , 0.534312486309733 , 1.22800584998922 , -0.166927112027014 , -0.517018801119182 , 1.04234044959408 , 0.0258647744645031 , 0.088435298001548 , -0.396401640923086 , -0.115311479298913 , 0.098772771840727 , 0.0745998091297983 , -0.116646138510835 , 0.459138157276799 , -0.487996464251324 , -0.385511996284508 , -0.534773013596107 , -0.447439734050558 , 0.604210920510777 , 0.939138428524028 , 0.742126097180904 , -0.625750904986266 , -0.104899295544162 , 0.64624252793991 , 0.243895165480603 , 0.0703977536432058 , 0.707364206551487 , 0.137504806409139 , 0.431796045613695 , -0.113156463922157 , 0.285393160787032 , 0.448110075070382 , 0.0283648155366889 , 0.109851391578074 , -0.159982972622458 , -0.0190020424465315, 0.555421305697754 , -0.480771128866228 , 0.433241594303891 , -0.155832634075789 , -0.07870117763057 , 0.115451482308978 , -0.111609926963612 , 0.403817857136636 , -0.342722881478801 , -0.302287659911885 , -0.347655322050733 , 0.0519197360536802 , 0.279201892283441 , 0.192236387874892 , 0.340147660092833 , -0.295763038687238 , -0.107827699903187 , -0.71042648622894 , 0.874238309833802 , -0.0891670931147795, -0.273615511903958 , 0.001867153919094 , 1.03871088152362 , 0.148966564733004 , 0.76180351210205 , -1.72603589238475 , 0.544616585835756 , -0.0714865952025492, -0.655842095355956 , -0.0696771322608852, -0.554885096076005 , -0.424728631140883 , -0.415000023719943 , 0.478628325762965 , -0.195016424268241 , -0.0789584305618034, 0.0547144192004725 , -0.921327881975526 , -0.980338399030252 , -0.585226762165893 , -0.0422648723769568, -0.531826985441978 , 0.760111761079566 | 0.1045815 |
| 86 | 50 | 0.0 | 0.1 | 1.0 | control , control , control , control , control , control , control , control , control , control , control , control , control , control , control , control , control , control , control , control , control , control , control , control , control , control , control , control , control , control , control , control , control , control , control , control , control , control , control , control , control , control , control , control , control , control , control , control , control , control , intervention , intervention , intervention , intervention , intervention , intervention , intervention , intervention , intervention , intervention , intervention , intervention , intervention , intervention , intervention , intervention , intervention , intervention , intervention , intervention , intervention , intervention , intervention , intervention , intervention , intervention , intervention , intervention , intervention , intervention , intervention , intervention , intervention , intervention , intervention , intervention , intervention , intervention , intervention , intervention , intervention , intervention , intervention , intervention , intervention , intervention , intervention , intervention , intervention , intervention , -1.40822096355383 , -1.68973189076272 , 0.390394261086773 , -1.74672805340255 , -0.0324339321527578, -0.2645946752496 , -0.941837489867152 , 0.673191657265698 , 0.621662586120577 , -1.51305859543215 , -1.04890392545325 , -0.360360665799272 , -0.744475009884234 , -0.415390473148143 , 0.927654265275085 , -1.90965338269696 , -1.03252809079276 , 0.326631125666393 , 0.371035547181617 , 1.14644642782497 , 0.190556155464045 , -0.864411813266115 , 0.388640555137371 , 0.518838399564627 , 0.0922727482521155 , -0.23688769993735 , -0.894968776577761 , 1.25300262632693 , 1.80304075107412 , 1.2839551685424 , 2.16279278544688 , -0.254681548847996 , -1.23334575603253 , 0.776580254483334 , -1.23134766617966 , 1.8338361667538 , -0.47706791291552 , -0.494488255334567 , -0.583471070539919 , 1.11323380121689 , -0.20808917697461 , 0.215904425866249 , -0.382734197778158 , 1.93220161662911 , -0.188133703842099 , 0.250596606925018 , -0.836633708568826 , -0.712455885692632 , -1.29271610997835 , -0.049733117241081 , 1.28764243720291 , -1.41425856839454 , 0.385064150627678 , 0.579779059044325 , -0.873232967810835 , 1.0977956690051 , 1.38807840146535 , -0.300392983634667 , 1.70568471833675 , 0.0984524952863071 , -1.4047330037823 , -1.42839143792418 , 0.645197857595988 , 0.474367948257749 , -0.655963368614751 , -0.968788071151326 , 0.477311923668358 , 1.57066258548103 , -0.593420810167708 , -0.156270929103591 , 0.520306919844791 , -1.32572504004261 , 0.593052866517547 , -0.408404503115253 , -1.73983849490371 , 0.122314794625326 , -0.599695875957901 , 0.311272190964033 , -1.48325799634215 , -2.23793873739394 , -0.0422376557226135, -0.321056425990965 , -1.67946375179506 , -0.412268041972488 , -1.30167849205253 , 0.368298036468823 , 0.68184464510452 , 1.65698103543545 , -1.41046606729438 , -0.92689250761009 , -0.763026095113814 , -0.966104952330771 , 0.0326260102062143 , 0.692250972569682 , 1.34480407705589 , -2.35083176885507 , 0.469563226545604 , 0.527242038613833 , -0.951167401674511 , -2.14951178325246 | 0.5009432 |
| 86 | 50 | 0.5 | 0.0 | 0.5 | control , control , control , control , control , control , control , control , control , control , control , control , control , control , control , control , control , control , control , control , control , control , control , control , control , control , control , control , control , control , control , control , control , control , control , control , control , control , control , control , control , control , control , control , control , control , control , control , control , control , intervention , intervention , intervention , intervention , intervention , intervention , intervention , intervention , intervention , intervention , intervention , intervention , intervention , intervention , intervention , intervention , intervention , intervention , intervention , intervention , intervention , intervention , intervention , intervention , intervention , intervention , intervention , intervention , intervention , intervention , intervention , intervention , intervention , intervention , intervention , intervention , intervention , intervention , intervention , intervention , intervention , intervention , intervention , intervention , intervention , intervention , intervention , intervention , intervention , intervention , 0.284683710554677 , -0.67251465977202 , -0.225651265311932 , 0.447296538998194 , 0.319262493022824 , 0.397152501052012 , 0.715429586791028 , 0.215059576011827 , -1.07204057384998 , 0.226581996462512 , 0.733211245058263 , 0.397414510237543 , -0.0419864616478564, -0.13944308499948 , 0.475270233288217 , 0.169094752972618 , 0.337420310048477 , -0.241436133796779 , 1.03636959956732 , -0.594800876330808 , 0.0649719081129865 , -0.277981035582847 , 0.365494727144953 , 0.108106920037856 , -0.0705190508021933, 0.87571802389971 , -0.691306737918518 , 0.545770206830003 , -0.0722690927162274, 0.0847072983969493 , 0.377752779079771 , -0.548930472661997 , -0.661436277890746 , 0.624299265825686 , 0.111616851190628 , -0.819674075416099 , -0.84255366687261 , 0.627559200147621 , -0.38777677471054 , 0.032175298879842 , -0.181475754085933 , 0.391052269642695 , 0.419408052771177 , 0.51115605493666 , -0.690279328234909 , -0.142338633539277 , -0.0270956047356496, 0.394263418628364 , 0.375104257653013 , 0.166694988902235 , 0.325712746313097 , 1.04816214145644 , 0.21756768225017 , 0.98532601379344 , 0.142184786757254 , 0.195117151375894 , -0.232797815847351 , 0.719146640821703 , 0.43697509574814 , 0.564175111761103 , 0.593594281774703 , 0.20072978115841 , -0.17743445605186 , 0.564553952152632 , -0.0171147967316226, 0.714767367076789 , 0.105041355776019 , 0.706882786069385 , 0.456298284676966 , 0.0797720798950288 , 0.898290468673538 , -0.114401333818802 , -0.293463819087672 , 0.361751534165326 , 0.0544863537973094 , 0.452318219840552 , 0.821268823238777 , -0.0105084257174242, 0.106495952214549 , 0.449442766064714 , 0.566279235226822 , -0.323661152131512 , 0.54369631655453 , 0.812810266311754 , 1.30414131586092 , 0.552155798930349 , 0.592523997512886 , 0.112548993750374 , 0.438449431643736 , 0.478016130305738 , 0.604421176012938 , 1.28179530825053 , -0.152218866334101 , -0.50824931271519 , 0.932639110642614 , 0.962336400634629 , 0.911869244253264 , 0.560495367652487 , 0.501563604959574 , 0.10533615937161 | 0.0002617 |
| 86 | 50 | 0.5 | 0.0 | 1.0 | control , control , control , control , control , control , control , control , control , control , control , control , control , control , control , control , control , control , control , control , control , control , control , control , control , control , control , control , control , control , control , control , control , control , control , control , control , control , control , control , control , control , control , control , control , control , control , control , control , control , intervention , intervention , intervention , intervention , intervention , intervention , intervention , intervention , intervention , intervention , intervention , intervention , intervention , intervention , intervention , intervention , intervention , intervention , intervention , intervention , intervention , intervention , intervention , intervention , intervention , intervention , intervention , intervention , intervention , intervention , intervention , intervention , intervention , intervention , intervention , intervention , intervention , intervention , intervention , intervention , intervention , intervention , intervention , intervention , intervention , intervention , intervention , intervention , intervention , intervention , 0.287427080705119 , -0.530532045627658 , 0.152314746652596 , 0.568844710272204 , -0.260075481524835 , -0.786242836512911 , 0.881385719403553 , -0.224722894370702 , 0.553469080126089 , -0.660982195049242 , -1.51027833844908 , -1.01444633139701 , -1.07988971544545 , -1.91115870241951 , -0.62564460717657 , 0.390747840437071 , 0.363501905416668 , -0.910428313429741 , 0.376249194019569 , 1.26989892138158 , -0.928208314263576 , 1.6440131907042 , -0.134476094409276 , 0.981509917417481 , -1.52036158343199 , -0.231450658909815 , -1.51721829782822 , -0.186379140411849 , -0.750640887217256 , -1.96271111507391 , -0.617207960500636 , -0.735433305701362 , 0.452893666535365 , -1.33046385903134 , 0.587060854920145 , 1.23445074004093 , 0.392664789416396 , 0.439511718810649 , 0.853821528023014 , -0.189885709609102 , -1.01661181025694 , 0.56749115273221 , 1.16404783036664 , -0.654345008372726 , -2.24491558604946 , -0.34901815595547 , -1.45743957575208 , 0.144722974513133 , -0.970958782623994 , -0.343382300164629 , 1.019308064355 , 0.338786999569631 , 0.121892102417668 , -1.32566607386672 , 0.282073130877269 , 0.90317718356751 , 1.22609202801896 , 0.103454672344123 , 0.672909706239644 , 2.08610014573478 , 0.342219065953658 , 1.74590514750141 , -0.385506553301329 , 0.929852540792722 , 1.59856573080332 , -1.19521171471591 , 0.834708220730794 , 0.968436980470749 , 0.419157138471025 , 2.5518035545965 , -2.14355609861495 , -0.871755549653559 , -0.635909065587482 , 1.77824614546981 , 0.608943355985869 , 1.48997450482944 , -0.114098661056797 , -0.844408928255802 , -0.0496005249956364, 2.69384368044764 , -1.29168329771469 , 2.0711239340833 , 0.385938004666359 , 1.3124152641659 , 1.16092982943888 , 0.0031068674144944 , 1.46042074866591 , -0.623214100740859 , 1.01162129609189 , 1.6337259031408 , 0.359151097419207 , 1.08607119061188 , 0.0426336563622369 , -0.0313275245260216, 1.62666192464259 , -0.3387443323817 , -0.638727401890057 , 0.684121920499622 , 0.481307724304837 , 0.342706732543304 | 0.0001322 |
| 86 | 50 | 0.5 | 0.1 | 0.5 | control , control , control , control , control , control , control , control , control , control , control , control , control , control , control , control , control , control , control , control , control , control , control , control , control , control , control , control , control , control , control , control , control , control , control , control , control , control , control , control , control , control , control , control , control , control , control , control , control , control , intervention , intervention , intervention , intervention , intervention , intervention , intervention , intervention , intervention , intervention , intervention , intervention , intervention , intervention , intervention , intervention , intervention , intervention , intervention , intervention , intervention , intervention , intervention , intervention , intervention , intervention , intervention , intervention , intervention , intervention , intervention , intervention , intervention , intervention , intervention , intervention , intervention , intervention , intervention , intervention , intervention , intervention , intervention , intervention , intervention , intervention , intervention , intervention , intervention , intervention , 0.525603071978832 , -0.0426637991283271 , 0.301185684203692 , -1.00429697296406 , 0.179174514787054 , -1.31479341476083 , -0.332297025385231 , -0.970104092764623 , 0.228045916740925 , -0.666741583278094 , 0.228216840749066 , -0.465176422328196 , -0.954446078089417 , 0.461040265585104 , -0.197876114546263 , 0.906355626138073 , -0.45586380431392 , 0.997030309015329 , 0.344196648500029 , 0.284579131624191 , 0.116147200463067 , 0.0835197758323585 , -0.561202758771218 , 0.394813632821878 , 0.586497056251357 , -0.31090492933243 , 0.35965754953872 , 0.455517917184352 , -0.304294085341671 , 0.206520784728552 , 0.524344738891844 , -0.47399703053124 , 0.102999043203097 , -0.123544856110352 , 0.382202079521645 , 0.577917651051358 , 0.758837958376206 , -0.0527806114986761 , -0.270427853729482 , 0.162357196202541 , -0.402389931637673 , 0.810096774872421 , 0.34552587968686 , 0.703350218775083 , -0.443757805672182 , -0.79271722926545 , 0.0738240385699063 , 0.235714057942055 , 0.632278560309403 , 0.761153403622794 , 0.224080868344359 , 0.00891700885750446 , 0.00163924210741778 , 0.820380198710986 , -0.279289170954494 , 0.923077012733529 , -0.00312329597260941, -0.270763347333095 , 0.152344274569641 , 0.844195643856555 , 0.347745494612107 , 0.0830255510303758 , -0.49309610219203 , -0.0692954160365394 , 0.564127211602479 , 0.276410244952874 , 0.312909479805754 , 0.207204031349477 , 1.06417593585662 , -0.490020871470272 , 0.483138646321297 , 0.514752505662501 , 0.1336974388881 , -0.72187548698694 , 0.751850049707523 , 0.0446328717609138 , 0.0754903055032015 , 0.146653530477101 , 0.0549178915400954 , 1.2471374524072 , 0.219413493122054 , 0.302452533381841 , 0.979298897584639 , -0.226381781103453 , 0.273815866541898 , 0.854346683506681 , 1.27409668856403 , 0.52684271203114 , 0.408827684095863 , 0.834643464262861 , -0.0982246289101681 , 0.293145711929807 , 0.0403555884657377 , 0.0036363127399533 , 0.335203879875863 , 0.903913936570846 , 0.412144627299488 , 0.901375511523238 , 0.699611569477474 , -0.315338852972165 | 0.0116044 |
| 86 | 50 | 0.5 | 0.1 | 1.0 | control , control , control , control , control , control , control , control , control , control , control , control , control , control , control , control , control , control , control , control , control , control , control , control , control , control , control , control , control , control , control , control , control , control , control , control , control , control , control , control , control , control , control , control , control , control , control , control , control , control , intervention , intervention , intervention , intervention , intervention , intervention , intervention , intervention , intervention , intervention , intervention , intervention , intervention , intervention , intervention , intervention , intervention , intervention , intervention , intervention , intervention , intervention , intervention , intervention , intervention , intervention , intervention , intervention , intervention , intervention , intervention , intervention , intervention , intervention , intervention , intervention , intervention , intervention , intervention , intervention , intervention , intervention , intervention , intervention , intervention , intervention , intervention , intervention , intervention , intervention , -0.685783259426454 , 0.195872121766736 , -0.798884694280061 , -1.40167364212071 , 1.05832861268345 , 0.419997226972321 , -0.0460356092995527 , 1.26370655974587 , 0.35651286583852 , -1.14985063787988 , -1.24166678787641 , -0.242634442571882 , -0.95814092385873 , 0.0484107403122934 , 0.806921963769083 , -0.408303711202976 , 0.367787775608166 , -0.0481644749928217 , -0.523708891769084 , -0.169169389826463 , 0.0313747406398588 , -0.614763465345913 , 0.230746099661241 , 2.66188981018369 , 0.364049791761515 , 0.821831913663271 , -0.00284018799016746, 0.692442542037081 , -1.53082507217929 , 1.79535739555247 , 1.0308922306095 , 0.309640746096377 , 0.343679356277776 , -1.51854716975185 , 1.78942341497593 , 1.02517182867048 , 0.0320437085409686 , 1.17345527626459 , -0.641060842284129 , 0.930565233592209 , 1.25107713940637 , 0.0715235101286624 , -0.635259079464987 , -0.10956689252569 , -0.684573715266023 , -1.36490656767215 , -1.42105554479524 , -0.782634248774803 , 1.17259367751853 , -1.46701040875208 , 0.652869220285062 , 1.03725903546408 , -0.381445237659372 , -0.785590054895835 , 0.187105277802591 , 0.82600550847021 , -1.31140715228126 , 1.3849626860049 , 1.9056867685262 , -1.04418682663393 , -0.220509563069354 , -1.44615931922305 , 0.945338995493309 , -1.17738311609023 , -0.995773594419376 , 0.247620378374609 , 0.270817431243282 , -0.227734247393449 , 1.45173561800434 , 0.823131329129864 , 2.10468891306281 , -0.937511403117383 , -0.237749702993881 , -0.462857831718018 , 0.687451285185959 , 2.10309356455392 , 0.70514492755573 , -0.48012185369646 , 0.486920105514671 , 0.209487275736874 , 2.9316484246891 , 0.611131831159317 , 0.334561902972033 , 0.497321330116037 , 0.172649486297468 , -0.593633262285962 , -0.974341430846087 , -0.512615602583028 , -0.0364126740159478 , -0.358825867498571 , -0.293993846155318 , -0.474324084113047 , -0.749491175915414 , 2.21393788126713 , 1.25545189227713 , 0.0301529558348521 , -0.297776514569747 , 1.64854041229031 , -0.263734640377607 , 1.27850481659553 | 0.2750777 |
| 87 | 20 | 0.0 | 0.0 | 0.5 | control , control , control , control , control , control , control , control , control , control , control , control , control , control , control , control , control , control , control , control , intervention , intervention , intervention , intervention , intervention , intervention , intervention , intervention , intervention , intervention , intervention , intervention , intervention , intervention , intervention , intervention , intervention , intervention , intervention , intervention , 0.193079225614838 , 0.304089348309755 , -0.246860257154407 , -0.510985433747618 , -0.151040149106435 , 0.318858237396625 , -0.90579615108616 , 0.956939900248059 , 0.0579984498738721 , -1.14669333664112 , 0.601385707723164 , 0.391499672711131 , -0.29780911050068 , -0.851861384558174 , -0.272238855140294 , -0.474325712008351 , -0.0503647408574416 , -0.0544647731088906 , -0.0937693339285699 , -0.451861824166898 , 0.427472625238434 , 0.456490871294719 , -0.327549321145719 , -0.00581142779945762, -0.267472433463033 , 0.218328359952356 , -0.160327313325394 , 0.402660344337437 , 0.980126725039664 , -0.770112795660089 , -0.231743900537993 , -0.268143755809071 , 0.614287527931571 , 0.070628435549728 , -0.334213750717889 , -0.243560629167142 , -0.0452938332809173 , 0.680922101220442 , -0.171612230535372 , -0.0511385875906689 | 0.2317034 |
| 87 | 20 | 0.0 | 0.0 | 1.0 | control , control , control , control , control , control , control , control , control , control , control , control , control , control , control , control , control , control , control , control , intervention , intervention , intervention , intervention , intervention , intervention , intervention , intervention , intervention , intervention , intervention , intervention , intervention , intervention , intervention , intervention , intervention , intervention , intervention , intervention , 0.404410190698948 , -1.8823537397814 , -1.03964794157074 , -0.216415472703831, 1.39378135776955 , -1.84407850714876 , 1.08822561211402 , 0.139649330783041 , 1.13222821123813 , 0.0956444271189516, 0.764911836862155 , 0.31293397438589 , -0.351898744418742, -0.975220265263357, 0.316069634447287 , 0.285166154306325 , -0.353482090709902, 0.100734361984946 , 1.04967084627131 , 0.37354462322791 , -0.304709089244359, -2.08423406957954 , -0.390317170571622, -0.101183122082958, 0.0997572561290305, -2.3497304776722 , 0.195226792834436 , 2.41272843011145 , -1.03382983646849 , 0.208389732071786 , -0.849402366085981, 0.992116836363552 , -0.404105258280266, 1.44478721651769 , -0.974557989892544, -0.164285724045689, -0.358809861599231, 1.43132924164795 , 0.383822194944162 , -0.255029453745357 | 0.6585620 |
| 87 | 20 | 0.0 | 0.1 | 0.5 | control , control , control , control , control , control , control , control , control , control , control , control , control , control , control , control , control , control , control , control , intervention , intervention , intervention , intervention , intervention , intervention , intervention , intervention , intervention , intervention , intervention , intervention , intervention , intervention , intervention , intervention , intervention , intervention , intervention , intervention , 0.341312125082381 , 0.0128197035306681 , -0.103071141998814 , -0.954672497682015 , -0.064103174798818 , 0.740907809896573 , 1.09041182717184 , 0.760756602900238 , -0.259792834639578 , 0.159494824729859 , 0.916752994454737 , -0.517722581000861 , 0.681048699230798 , -0.29979599172452 , 0.271499926051667 , -0.225692303245756 , 0.746652472369731 , -0.501619953723076 , -0.638926358208069 , 0.285267709516361 , -0.334304255493875 , 0.260274098536791 , 0.0747178565978567 , 0.051245109172006 , 0.64931629359147 , -1.44967137168115 , 0.56201042316117 , 0.378737010427445 , 0.294005113151471 , -0.224216777396242 , -0.349708106803606 , -0.149612553533192 , -0.154941538840558 , 0.110388271771639 , -0.0621355749049022, 0.352472576693444 , 0.564471562661027 , -1.04392904240858 , -0.4056748245742 , -0.786236520116832 | 0.2535932 |
| 87 | 20 | 0.0 | 0.1 | 1.0 | control , control , control , control , control , control , control , control , control , control , control , control , control , control , control , control , control , control , control , control , intervention , intervention , intervention , intervention , intervention , intervention , intervention , intervention , intervention , intervention , intervention , intervention , intervention , intervention , intervention , intervention , intervention , intervention , intervention , intervention , 0.665747491698616 , -1.31455490533252 , -3.00707619842532 , -0.113285205242682, 0.70781590332978 , -1.56116728202152 , -0.601941640888013, 1.02585872023161 , 0.220584730588958 , 0.739754987864952 , 0.241265594733097 , -0.345844786673794, -1.56341410113912 , -1.48209807420593 , 0.305595532905882 , 0.0384843493626614, 1.42127378067556 , 2.22737796920525 , -0.296645342519479, 2.0199497225618 , 0.0529316192696476, -0.936902065020554, -0.469366989369737, 0.238806313400795 , -0.582345947173487, -0.556119912084023, -0.843667795034582, -1.04968637483537 , -0.68616191747817 , 1.4487285000713 , 1.19518781454541 , -1.45841881053618 , -0.487953350585359, -0.52355790936429 , -1.07203075019425 , -0.687806575223109, 1.12518394314463 , 1.03718259075388 , -0.452482087889182, 0.0559627587552816 | 0.5688634 |
| 87 | 20 | 0.5 | 0.0 | 0.5 | control , control , control , control , control , control , control , control , control , control , control , control , control , control , control , control , control , control , control , control , intervention , intervention , intervention , intervention , intervention , intervention , intervention , intervention , intervention , intervention , intervention , intervention , intervention , intervention , intervention , intervention , intervention , intervention , intervention , intervention , 0.651293180665433 , -0.131810376274439 , -0.182367597531763 , -0.234339421290149 , -0.0640610927293439, -0.499016920584374 , -0.471599994090962 , 1.21118681111318 , -0.803002133309189 , 0.204944446272816 , -0.0823887649374493, -0.240658807334277 , 0.202045373099759 , -0.1631366173532 , 0.173714069931464 , -0.330662227994236 , -0.0638879734226371, 0.141734318862341 , -0.151870155261588 , 0.227386238977939 , 0.434557027284301 , 0.344878897858413 , 0.09734478604417 , 0.952117661288098 , 0.0207646217102653 , 0.471060239803756 , 1.27391903309377 , 0.838887121964384 , 1.30984308835188 , -0.227605588840852 , 0.217785981975543 , 1.69197090558541 , 0.0038552484540002 , 0.860992861586777 , 1.13279791032205 , 0.3307358633058 , 0.399975200543872 , 1.10051785286468 , 0.0254277848921201 , 1.20331234231558 | 0.0001446 |
| 87 | 20 | 0.5 | 0.0 | 1.0 | control , control , control , control , control , control , control , control , control , control , control , control , control , control , control , control , control , control , control , control , intervention , intervention , intervention , intervention , intervention , intervention , intervention , intervention , intervention , intervention , intervention , intervention , intervention , intervention , intervention , intervention , intervention , intervention , intervention , intervention , 0.310733805177808 , -1.7857319963353 , -1.96037082722498 , 0.0068940783167668 , 0.248040718563658 , 0.793186501732411 , 0.788466711587778 , 1.70814014589197 , -0.644220482194531 , -1.22944078243179 , -1.4739914567788 , -0.0219578953977014, -0.369307805217137 , -0.508782582773164 , 0.790791445646999 , -2.09131847570526 , -1.28310540536001 , 1.27523213565033 , 0.874256636469151 , 0.274402842670265 , 0.992884442998659 , 0.560907061629998 , 0.451201114322765 , -0.327824632167912 , -0.0445280821511652, 0.0549403852936334 , 1.01920887578774 , 2.19292272464893 , 0.786435603623704 , 0.502914555435167 , -0.857780640571709 , -0.627138897334177 , 0.162381478343721 , 0.275692087904362 , 0.741006432921675 , 1.0572255671839 , 0.0814336782556683 , 0.635926338277324 , 1.09863527656404 , -0.300217611359434 | 0.0379172 |
| 87 | 20 | 0.5 | 0.1 | 0.5 | control , control , control , control , control , control , control , control , control , control , control , control , control , control , control , control , control , control , control , control , intervention , intervention , intervention , intervention , intervention , intervention , intervention , intervention , intervention , intervention , intervention , intervention , intervention , intervention , intervention , intervention , intervention , intervention , intervention , intervention , -0.639857019871454 , 0.664188016386312 , 0.169039815830536 , 0.113346159958126 , 0.39961947532919 , 0.206707232338307 , -0.00624095205856876, 0.203997828092184 , 0.456526873007701 , 0.782111042848695 , 0.329993989798519 , -0.153262790200909 , 0.630822397934777 , 0.132287024859137 , -0.0626045395879732 , 0.172263124475028 , 0.190532505583232 , -0.400025193185686 , -0.192287539851701 , 0.428879604035381 , 0.913481522534546 , 0.322441841375513 , 0.961512739341325 , -0.130124582963893 , 0.364001702054013 , 0.28770918050414 , 0.189656750455652 , 0.659379889970722 , 0.77007391132354 , 1.29860424942432 , 0.43332154822643 , 0.42056915640123 , 0.591424945763084 , 1.10007198053558 , 0.688585530689305 , 0.288759645950142 , -0.0579440817821505 , 1.27460278879574 , 0.37278222036183 , 0.806663521786679 | 0.0016038 |
| 87 | 20 | 0.5 | 0.1 | 1.0 | control , control , control , control , control , control , control , control , control , control , control , control , control , control , control , control , control , control , control , control , intervention , intervention , intervention , intervention , intervention , intervention , intervention , intervention , intervention , intervention , intervention , intervention , intervention , intervention , intervention , intervention , intervention , intervention , intervention , intervention , 0.728857293060227 , 1.02277912585697 , 1.01888487784744 , 1.75055257930856 , -0.978016236010926 , 0.241567855087408 , -0.269788198012177 , 1.77134118594839 , -0.405389516009607 , 0.870302299671803 , 1.60433589448037 , 0.243653059942353 , 0.128005182465548 , 0.718649633028386 , 0.372132981916997 , 0.187988830557063 , -1.6474904932794 , -1.88982028175295 , -0.586470627382749 , -0.0042195911493558, -1.82353480842086 , -1.03167660478112 , -1.54964721679376 , 1.08938512220149 , -0.327585254551589 , 1.79565735669548 , 0.515284581748379 , 0.779274011008158 , -0.0343981840745712, 0.668626587938008 , 2.85232889013033 , -0.680971262254168 , -0.131195966181801 , 0.142610994788545 , 1.40738903468518 , -0.107382236816238 , 0.563068072472138 , 1.80461192629373 , 1.08923282265888 , -0.188322258366419 | 0.7787044 |
| 87 | 50 | 0.0 | 0.0 | 0.5 | control , control , control , control , control , control , control , control , control , control , control , control , control , control , control , control , control , control , control , control , control , control , control , control , control , control , control , control , control , control , control , control , control , control , control , control , control , control , control , control , control , control , control , control , control , control , control , control , control , control , intervention , intervention , intervention , intervention , intervention , intervention , intervention , intervention , intervention , intervention , intervention , intervention , intervention , intervention , intervention , intervention , intervention , intervention , intervention , intervention , intervention , intervention , intervention , intervention , intervention , intervention , intervention , intervention , intervention , intervention , intervention , intervention , intervention , intervention , intervention , intervention , intervention , intervention , intervention , intervention , intervention , intervention , intervention , intervention , intervention , intervention , intervention , intervention , intervention , intervention , -0.493098991132209 , -0.213936334199746 , 0.263769649782317 , 0.560799336367402 , 0.121360863120539 , 0.115203600162714 , -0.984281330613248 , -0.309025582700556 , 0.128644920244711 , -0.124082861533466 , -0.378871702396763 , 0.339221889680006 , 0.41650790749862 , 0.232715424665871 , -0.222665587805677 , 0.100550315902746 , -0.633517450046541 , -0.728816250259612 , 0.735816528562356 , 0.736190824173653 , -0.458725694083213 , -0.335658508619909 , -0.428357950979208 , 0.550975749621878 , 0.148399485208255 , 0.181736947655209 , -1.26877003887477 , -0.0316470780718328, 0.432546370169807 , 0.312504689529028 , -0.0555645538574206, 0.278680626917592 , 0.266441603602591 , -0.0670009199710665, 0.531838832470648 , -0.478212439710798 , -0.403485452933141 , -0.102579720026629 , -0.475991206054436 , -0.240435107314119 , -0.0131074482801455, -0.791623363754122 , -0.416156110283067 , 0.213670283388527 , -0.429618931169706 , 0.148860339087598 , 0.803390110242311 , -0.0215114463966678, -0.0726927909870473, -0.303138668298865 , -1.70301625746975 , -0.496160217755763 , 0.270110742966872 , -0.142127955722574 , 0.245093294014823 , -0.0318332010071791, -0.124335340678247 , 0.563516705694832 , -0.187654673287864 , 0.504862790331441 , 0.488910284203268 , 0.877628573396646 , 0.111109798973286 , -0.607640320104751 , 0.794310362987944 , -0.0184815516750995, 0.250013696995977 , -0.705625758588153 , -0.67221222418646 , -0.136781274520187 , 0.5701833881294 , 0.1886349880761 , -1.0611357736125 , 0.649239162789828 , -0.0842211850879569, -0.861263729581398 , 0.480751910256193 , 0.147594827949186 , 0.31194168694471 , 0.719407446735655 , -0.674259721261516 , 0.0966935290184822 , -0.618027617141265 , 0.768344983948019 , -0.322817071691618 , -0.0500338128894232, 0.477795253599881 , 0.278442375407186 , 1.19897626069033 , 0.411312340639617 , -1.31280025626909 , -0.23079195078137 , 0.077895570547765 , -0.907941409006842 , -0.294870892261849 , -0.257796524982253 , 0.384202319557845 , 0.118887101043596 , 0.480600782480556 , 0.797303085863904 | 0.4963004 |
| 87 | 50 | 0.0 | 0.0 | 1.0 | control , control , control , control , control , control , control , control , control , control , control , control , control , control , control , control , control , control , control , control , control , control , control , control , control , control , control , control , control , control , control , control , control , control , control , control , control , control , control , control , control , control , control , control , control , control , control , control , control , control , intervention , intervention , intervention , intervention , intervention , intervention , intervention , intervention , intervention , intervention , intervention , intervention , intervention , intervention , intervention , intervention , intervention , intervention , intervention , intervention , intervention , intervention , intervention , intervention , intervention , intervention , intervention , intervention , intervention , intervention , intervention , intervention , intervention , intervention , intervention , intervention , intervention , intervention , intervention , intervention , intervention , intervention , intervention , intervention , intervention , intervention , intervention , intervention , intervention , intervention , 0.528146168445395 , 0.86265514629075 , -0.985476104870916 , 1.02583719034637 , -0.11154169883658 , -1.29939925371854 , -0.920663877120849 , -0.16388371979731 , 0.131969094787011 , -0.22936519938838 , -0.604055302834754 , -0.313177805350164 , 1.41536485589984 , -0.0753877177850044, 0.601179119028031 , 0.757876264289278 , 1.78329152393656 , -0.42001720124919 , 1.24320955056209 , -2.18119018210653 , 0.669908987118232 , 2.03699905197536 , -1.93212406598879 , -0.52871183047127 , 0.193667494250009 , 0.171450286297019 , 0.0111822735005851 , 0.226864337714646 , -0.801050839794183 , -0.0503581174482828, 1.22143192569231 , -1.31342993836098 , 1.39009847882912 , 0.126969479867119 , -1.06512948462597 , -1.91288708965395 , -1.23111031669409 , -1.06351615019451 , -1.11841944550095 , 0.505717887864027 , -0.232722582248673 , 1.98412701416837 , 0.0970593009803788 , 0.909573838498288 , 0.717426106287719 , -0.0817634579141073, -1.23024743002689 , -1.04112603738421 , -0.233440303756458 , -0.516939141885565 , -0.355726909209545 , -0.0666929220162991, 0.147931329606923 , -1.0768522402264 , 2.86813736374957 , -0.533937887845167 , -0.779177373984812 , 0.203470302867832 , 1.62212879335698 , -1.29148841096337 , 0.656411026442605 , -0.440066328793453 , -0.590273041985415 , -0.0729466910253829, -0.874766891707379 , 1.3683400053167 , 1.91830440367753 , 0.148524385202535 , 0.6540280270578 , -0.19242665104557 , -2.07964654898901 , 2.51539329473219 , 0.98052271835851 , -0.282380976411614 , 2.05877788364438 , 1.06387563069854 , 0.87232387751 , 1.05863148064536 , -0.585544451641293 , -0.521036667126724 , -1.13687154071128 , -0.427843399531758 , 2.16435040988514 , 0.0153285754686186 , 1.24786740986076 , 2.2352512666053 , -0.0388835327384684, 0.255535269725801 , -0.0675309954304614, 0.83796859968585 , 0.00452235564587296, -0.0384381389423153, -0.65276059866469 , -1.83006636394663 , 0.186047282508761 , 0.501748386994323 , -0.0337352950678277, -2.13452458450562 , 1.58995201400294 , -1.27407483928537 | 0.2422502 |
| 87 | 50 | 0.0 | 0.1 | 0.5 | control , control , control , control , control , control , control , control , control , control , control , control , control , control , control , control , control , control , control , control , control , control , control , control , control , control , control , control , control , control , control , control , control , control , control , control , control , control , control , control , control , control , control , control , control , control , control , control , control , control , intervention , intervention , intervention , intervention , intervention , intervention , intervention , intervention , intervention , intervention , intervention , intervention , intervention , intervention , intervention , intervention , intervention , intervention , intervention , intervention , intervention , intervention , intervention , intervention , intervention , intervention , intervention , intervention , intervention , intervention , intervention , intervention , intervention , intervention , intervention , intervention , intervention , intervention , intervention , intervention , intervention , intervention , intervention , intervention , intervention , intervention , intervention , intervention , intervention , intervention , -0.394293754775897 , -0.695374952550418 , 0.409205557316477 , -0.0438865525103349 , 0.0606005343806085 , -0.81189626031694 , -0.193803013719023 , 0.619819943433532 , 0.254035673219149 , -0.545612268482169 , 0.77525386781008 , 0.185282362676599 , -0.378445311839961 , -0.270366882809954 , 0.00796473081015428 , 0.837836978772261 , -0.365347917305526 , 0.732256774035774 , -0.121255935088545 , -0.0283687856383802 , 0.312798611582156 , 0.316919182694969 , 0.0912544254203899 , -1.28924081448092 , -1.30889391180182 , -0.435243236729792 , 0.320445870013092 , 0.0101006129643195 , -0.20363756010243 , 0.0703204879103058 , -0.680402813118531 , 1.31087055987789 , 0.151242737130394 , 0.740897867524385 , -0.6671905092564 , 0.395348848066527 , 0.158707253455879 , 0.785908536520417 , 1.03011180177475 , 0.387492174171454 , -0.284448425049399 , -0.45269666043754 , -0.340457341692351 , 0.497835713724318 , 1.1841262553266 , -0.315246429964038 , -0.547014317379085 , -0.208951569285757 , -0.00566907950575764, 0.562968138330367 , -0.300472522431691 , 0.335533216356901 , -0.354130965377668 , 0.0802026673667371 , -0.386561801281912 , 0.497653273474036 , 0.71400792907351 , 0.246370950102317 , 0.695597024833456 , -0.400988566687825 , -0.26933908148784 , -0.450439378606602 , 0.0190059429068006 , -0.382656631678534 , 0.17033920268479 , 0.386011887542819 , -0.293431694694122 , 0.171136423278454 , 0.411456508213309 , -0.429852512085064 , 0.270094869305102 , -0.479040808337566 , 1.25076582622067 , 0.117673826656592 , 0.724091466158326 , -0.606147161990637 , 0.970195745357794 , -0.347877633194261 , -0.832307646109586 , -0.527187062632691 , -0.254861228872335 , -0.268811423369656 , -0.030861573504118 , -0.408994780263493 , 0.127709401226392 , -0.585275873593132 , -0.173665372171484 , 0.176508094479088 , -0.0917827567843724 , -0.0969451722964248 , 0.172799679419303 , -0.449344467446996 , -0.144740683221412 , 0.589411185825432 , -1.07598423035893 , 0.506775125633604 , -0.292802896450219 , 1.08758761747434 , -0.0848898648135359 , 0.608892752051096 | 0.8087203 |
| 87 | 50 | 0.0 | 0.1 | 1.0 | control , control , control , control , control , control , control , control , control , control , control , control , control , control , control , control , control , control , control , control , control , control , control , control , control , control , control , control , control , control , control , control , control , control , control , control , control , control , control , control , control , control , control , control , control , control , control , control , control , control , intervention , intervention , intervention , intervention , intervention , intervention , intervention , intervention , intervention , intervention , intervention , intervention , intervention , intervention , intervention , intervention , intervention , intervention , intervention , intervention , intervention , intervention , intervention , intervention , intervention , intervention , intervention , intervention , intervention , intervention , intervention , intervention , intervention , intervention , intervention , intervention , intervention , intervention , intervention , intervention , intervention , intervention , intervention , intervention , intervention , intervention , intervention , intervention , intervention , intervention , -0.537542119456795 , 1.0436053319459 , 1.28794850366826 , -0.375951985251634 , 0.274620990942886 , 0.0324964984837524 , 0.57761013428132 , -1.41424297256178 , 0.352619983680128 , 0.559717182899387 , -1.69779091011817 , -0.296777680551235 , -0.527564199547235 , 0.149086083307849 , 0.51732919519701 , 1.60000695121245 , -0.467288257396701 , 1.47582103177718 , -0.682852600019182 , -1.7730500473218 , -1.26166496189594 , 0.615538150544565 , 0.149931871957208 , -0.145493345419558 , -0.271564517236464 , 1.10812467809437 , -0.323483076798654 , -2.23491877407331 , 1.71962843032021 , 2.57534477252965 , 0.095911431338404 , 0.121872337138348 , 0.40223480157562 , -1.30728923194626 , 0.735914690260705 , 3.23990552300303 , 1.16544368816299 , 0.533459427321582 , -0.481583543482651 , -0.256724901883515 , -1.11995173531338 , 0.331672085263261 , -0.0247385417610498 , -0.347261943272338 , -1.04420160107806 , -0.635404037165547 , -0.388119825913439 , 0.392745044169187 , -0.592874933984355 , -0.0227202608213123 , 0.316320068936574 , -0.575021048005124 , -0.137332192176441 , -0.505486096442412 , -1.02301519780296 , -0.511104064235503 , 0.416175928540468 , -0.826136381029813 , 0.0726269690851572 , -0.505826239007894 , -0.58117668207814 , -1.32176551261324 , -1.2685973883277 , 1.29216771968002 , 0.267007109289272 , 0.276806366252216 , 0.320759320032022 , 0.148427672714191 , 0.301666292614883 , -0.703849894347749 , 0.266860777186367 , 1.37202029887748 , -0.602014722556094 , -0.212066692291167 , -0.000986843666237207, 1.15820752750198 , 0.620295526708053 , 1.36520796272531 , -0.949783941796703 , -1.85483667888945 , -0.0398979506146678 , -1.42504387413438 , -0.595380061753785 , 1.52422717470381 , -2.08658309579546 , -0.149104871649632 , 1.5200601438264 , 0.0131886835462119 , 2.00319179441365 , -1.60389529012929 , -0.628582772281714 , 1.54215905898606 , 0.734422790636662 , 1.24497889235518 , 0.873973885179676 , -0.562662123596603 , -0.108416699765528 , 1.07546170283723 , 0.101320324052809 , -0.193223091803758 | 0.7684157 |
| 87 | 50 | 0.5 | 0.0 | 0.5 | control , control , control , control , control , control , control , control , control , control , control , control , control , control , control , control , control , control , control , control , control , control , control , control , control , control , control , control , control , control , control , control , control , control , control , control , control , control , control , control , control , control , control , control , control , control , control , control , control , control , intervention , intervention , intervention , intervention , intervention , intervention , intervention , intervention , intervention , intervention , intervention , intervention , intervention , intervention , intervention , intervention , intervention , intervention , intervention , intervention , intervention , intervention , intervention , intervention , intervention , intervention , intervention , intervention , intervention , intervention , intervention , intervention , intervention , intervention , intervention , intervention , intervention , intervention , intervention , intervention , intervention , intervention , intervention , intervention , intervention , intervention , intervention , intervention , intervention , intervention , 0.1546485438224 , -0.0363078513084224, 0.230744512420303 , -0.0992659067996559, -0.226454246869228 , 0.071953009829656 , 0.293841338107659 , 0.251535335793057 , 0.0127629087547914 , 0.30988482241187 , 0.309468235881117 , 0.38364196783635 , 0.204446213474297 , 0.46111851022481 , 0.314022482863801 , -0.590400870300552 , -1.04288313308527 , 0.518972155582454 , 0.410536523899101 , 0.00391316353113738, -0.755222493185914 , -0.526011018651264 , 0.357608228441554 , -0.310580615101004 , 1.17886346368392 , -0.17955901712597 , -0.406047013699218 , 0.359625443257881 , 0.528105191644248 , -0.251152254436953 , 0.214339762944505 , 0.524090982442506 , -0.257284546668578 , -0.301652043807108 , -0.431182372312756 , -0.198575060733592 , 0.0781467649427369 , 0.00200899224260119, -0.138170405099219 , 0.4700979112598 , 0.589074264744027 , -0.322831572781807 , -0.532450733373218 , -0.326791687649273 , 0.414572480782725 , -0.0174741268195799, -0.331334486390489 , -0.9185169677393 , -0.178954478645765 , 0.357355649471323 , 0.295088471643757 , 0.042318260994217 , 0.964806651225868 , 1.39445353442138 , 0.252763871342843 , 0.719223256558179 , 0.388727629083996 , 0.486249282513075 , 0.409425494475586 , 1.31916902257289 , 0.744720932564257 , 0.598213817104123 , 0.578564793432143 , -0.232071649425547 , 0.75665645004212 , 0.476858380559163 , 0.241618771065461 , 0.632131470844252 , -0.529156702549767 , 0.866046639524154 , 0.877334550012494 , 0.879716645911496 , -0.383472773229381 , 0.545757683705315 , 0.835145394080914 , 1.06133103598223 , 0.161156674002663 , 0.259012503332847 , 0.109534211198071 , 0.487500142529168 , 0.612378897315929 , -0.0881034447041239, 0.305467819356035 , 0.912493844047439 , 0.700790047730075 , 0.401096663329045 , 0.909508283023517 , 0.443668119783805 , 0.974730940891044 , 0.139484377459758 , -0.624428157733397 , 1.21095887507405 , 0.628037005105284 , 0.772989018076826 , 0.39413859705292 , 0.341814996033863 , 0.976728141692841 , 0.378378463399892 , 0.673487011236618 , 0.446896289880299 | 0.0000001 |
| 87 | 50 | 0.5 | 0.0 | 1.0 | control , control , control , control , control , control , control , control , control , control , control , control , control , control , control , control , control , control , control , control , control , control , control , control , control , control , control , control , control , control , control , control , control , control , control , control , control , control , control , control , control , control , control , control , control , control , control , control , control , control , intervention , intervention , intervention , intervention , intervention , intervention , intervention , intervention , intervention , intervention , intervention , intervention , intervention , intervention , intervention , intervention , intervention , intervention , intervention , intervention , intervention , intervention , intervention , intervention , intervention , intervention , intervention , intervention , intervention , intervention , intervention , intervention , intervention , intervention , intervention , intervention , intervention , intervention , intervention , intervention , intervention , intervention , intervention , intervention , intervention , intervention , intervention , intervention , intervention , intervention , 1.49482637608756 , 2.18315719946048 , 0.588160839625289 , -0.200345576817681 , 0.607492050808378 , -0.805704628822142 , 1.24479926780875 , -0.407510014608463 , 0.716353129621827 , 0.724739544578985 , 1.53213226415874 , 1.54128745127324 , 0.482931780355304 , 0.295441108980667 , -1.82517333945552 , 0.832147851453292 , -1.40333535550684 , 0.422441215314275 , -1.47947506645743 , 1.40612644591422 , 0.631940234470059 , -0.561026044138291 , 0.579936619579917 , -1.68624834972529 , 2.43857231348617 , -1.56250311312335 , 0.714434356700237 , -0.504326271119315 , 0.316030597010544 , 0.0454726813835191 , -2.81570124084961 , -0.892147214047498 , 0.918759225195795 , 1.64233497593597 , 1.38018220039813 , -0.459280193601473 , 1.47000477225784 , 0.398530495133263 , 0.401031791965728 , -0.893306996556938 , -1.87454283422135 , 0.463779877478255 , -2.26490892664844 , -0.924006150084602 , -1.89947629029269 , 2.30978395765895 , -0.412952621338555 , -0.0848350634338881, 0.376272139769614 , -0.064223589040021 , 1.12593702687939 , 0.19496293543623 , 0.632824903394527 , 1.34330214934879 , 1.42481256187648 , 0.736504749410389 , 1.6231655070955 , -0.724708081401608 , 1.04168486662816 , -1.92346804378269 , 0.338203040991007 , 0.468845158086453 , 0.661608384907966 , 1.0358336257184 , -0.413859889526489 , -0.208803557830638 , 1.13457286034687 , 1.36749881005295 , 0.230579185690184 , -1.8871792501432 , 0.70702250090789 , 0.517554262768312 , 0.814228987921127 , 0.208042632184794 , 0.94924406708882 , 0.446270962391696 , 0.529698375195469 , 0.547114960629986 , -0.689283206151508 , -0.307182113035511 , -0.410786849924794 , -0.104714785871748 , -0.761255685311678 , 0.53579257687138 , 1.10439796848279 , -0.686848150574792 , 0.172725066768855 , -0.2171788637374 , 1.46377186871227 , -0.243572119330317 , 0.924915002011267 , 2.4785656494579 , 0.537467939967475 , 1.26207578094515 , 1.6993895088143 , -0.436193864833339 , 1.39876715756677 , 1.3446744417202 , -0.867876588541698 , 1.82561114050249 | 0.1059062 |
| 87 | 50 | 0.5 | 0.1 | 0.5 | control , control , control , control , control , control , control , control , control , control , control , control , control , control , control , control , control , control , control , control , control , control , control , control , control , control , control , control , control , control , control , control , control , control , control , control , control , control , control , control , control , control , control , control , control , control , control , control , control , control , intervention , intervention , intervention , intervention , intervention , intervention , intervention , intervention , intervention , intervention , intervention , intervention , intervention , intervention , intervention , intervention , intervention , intervention , intervention , intervention , intervention , intervention , intervention , intervention , intervention , intervention , intervention , intervention , intervention , intervention , intervention , intervention , intervention , intervention , intervention , intervention , intervention , intervention , intervention , intervention , intervention , intervention , intervention , intervention , intervention , intervention , intervention , intervention , intervention , intervention , -0.380972068081747 , -0.380385096159839 , -0.435777814703348 , -1.2178311005942 , 0.716383860765628 , -0.377097738273102 , -0.700578871484169 , 0.0101465128350259 , -0.525620040020053 , -0.0810848457342918, 0.157076108149116 , -1.21865757970428 , -0.119333613050855 , 0.125939348354925 , -0.594777850647231 , -0.0560461999494882, 0.074310867878815 , 0.563070823555676 , -0.155675838064562 , -0.283368097057444 , 0.308152035502026 , 0.0558736799586213 , -0.135402919207022 , 0.131318266315006 , -0.749842420304215 , -0.737223357493956 , -0.650043028622117 , 0.135646949798319 , 1.09786815395216 , 0.861468211769137 , -0.170957719748031 , -0.0958476998631856, 0.315774933090887 , -0.349548029500638 , -0.120237229549956 , 0.37274557693146 , 0.303213574336811 , -0.48676144333734 , 0.734123170039678 , -0.0456988199916106, 0.170557512199919 , -0.537799830707831 , -0.268812392501185 , 0.074191600175601 , 0.37735755844263 , 0.752972831721018 , 0.682762254659324 , 0.492234769514265 , 1.16892668985548 , -0.0431356195769889, 0.0734016273942155 , -0.100302629148963 , 0.520789066301802 , 1.04408799321148 , 0.0554878382251592 , 0.893115375349756 , 0.209930848391126 , 0.199868614066074 , 0.363852611157147 , -0.13825733891319 , 0.638410863934683 , 0.341603088039926 , 0.784549890731796 , 1.03114904534163 , 0.0985336924627757 , -0.0442649279410795, 0.778303025223746 , 0.188679819921992 , 0.589189202958978 , 0.62459928538772 , 0.877086400244397 , 0.478983095595652 , 1.43170512805508 , -0.051306669338014 , 0.312292709612668 , 0.566417694209607 , 0.679591155280583 , 0.467811985370566 , 0.210444885925285 , 0.632189449019124 , 0.611450246168552 , 0.845318744093896 , 0.764363097891995 , -0.238362883339342 , 0.757560517570135 , 1.01836052274213 , 0.458510004310956 , 0.554062859585528 , 0.310943197301419 , 0.598915602175896 , 0.420324078893313 , -0.994064467696385 , 1.01945072953286 , 0.615086038060809 , 0.219698842248235 , 0.663574217899615 , 0.746563295667455 , 0.241651812276695 , 0.778744590720654 , 0.615408658549262 | 0.0000008 |
| 87 | 50 | 0.5 | 0.1 | 1.0 | control , control , control , control , control , control , control , control , control , control , control , control , control , control , control , control , control , control , control , control , control , control , control , control , control , control , control , control , control , control , control , control , control , control , control , control , control , control , control , control , control , control , control , control , control , control , control , control , control , control , intervention , intervention , intervention , intervention , intervention , intervention , intervention , intervention , intervention , intervention , intervention , intervention , intervention , intervention , intervention , intervention , intervention , intervention , intervention , intervention , intervention , intervention , intervention , intervention , intervention , intervention , intervention , intervention , intervention , intervention , intervention , intervention , intervention , intervention , intervention , intervention , intervention , intervention , intervention , intervention , intervention , intervention , intervention , intervention , intervention , intervention , intervention , intervention , intervention , intervention , -0.0542269244075455, 0.666566818722972 , -1.75670646567504 , -1.54294956060065 , 0.771780087476573 , 0.895921267678639 , -0.183368039341627 , 0.207630461244491 , -0.561993457068809 , -0.269327778153618 , 0.800109044207926 , -0.848542696765062 , -1.62043274616416 , -0.84583918260909 , 0.295008285954184 , -0.328930073444109 , 1.67303824095065 , 0.687709105413541 , -0.435635722440777 , -1.48955317641378 , 0.211876484387554 , 1.64829403901708 , 1.42836888287456 , -1.30289383516158 , -0.563684074648651 , 0.399173442408205 , -1.52538190886923 , -0.815980554541012 , 0.713011475077267 , -0.200077575024578 , 0.148296497212062 , -0.334494750427046 , 0.0739823944536364 , 0.188731795263692 , -0.0340131587872354, 0.507013478529411 , 1.8589608645617 , 1.28764623932511 , -1.47864879805624 , 0.136268144583632 , -1.66870045240797 , -0.597351798555893 , -0.932631253829745 , 0.89874388300743 , -0.200243028545113 , 0.141654598147468 , 0.591509076710134 , 1.62081181461377 , -0.476927510699576 , 0.606873726947151 , 1.62921883988238 , 0.429026406430146 , 0.364042124338691 , 0.0809970583301137 , 0.101140854264046 , -0.0556722070819814, 1.94334307736545 , -0.322827281999057 , -1.10042647439325 , 0.510055798493494 , -0.613331415541537 , -0.130277552522333 , 0.659851475781635 , 1.32130542483953 , 1.48328131381507 , 1.20601250278064 , 0.40594478638213 , 0.864485541727683 , -0.107535777113195 , 0.780020749818196 , -0.54096556746282 , 0.93398494304419 , -1.00930792766953 , 0.784123320605255 , 0.527216426922391 , -0.34708415890584 , 0.828635604177395 , 1.24212959281847 , 0.55463188687323 , 2.07130509097323 , -0.666284202258147 , 1.45058756860584 , 0.677512278764659 , 1.71967676538097 , 1.75731649600007 , -1.11864200424276 , 1.04490418107036 , 0.0916080994033194 , 0.289464912976423 , -0.105925236559691 , 0.121789688429752 , 1.24424256018818 , 0.672062055978163 , 0.642140913355059 , 1.17611817990998 , 0.502282523179079 , 0.938955726185404 , 0.126453584270845 , -0.0538285689011923, 0.393883494323111 | 0.0026063 |
| 88 | 20 | 0.0 | 0.0 | 0.5 | control , control , control , control , control , control , control , control , control , control , control , control , control , control , control , control , control , control , control , control , intervention , intervention , intervention , intervention , intervention , intervention , intervention , intervention , intervention , intervention , intervention , intervention , intervention , intervention , intervention , intervention , intervention , intervention , intervention , intervention , -0.176668103609364 , 0.00590672951018275 , -0.073755258288818 , -0.818576726951122 , -0.62833396208653 , 0.15697547955039 , -0.818292173120917 , -0.195402827654011 , 0.110755328376251 , -0.281149383487224 , 0.643306627764286 , -0.632405469784004 , -0.54396073929053 , 0.970207037425507 , 0.153591981825788 , 0.149171452667842 , 0.862885224889707 , -1.06356326868343 , -0.0601667481322154 , 0.00859272484351199 , 0.221558255450915 , 0.011012222890527 , 0.130404247123469 , -0.350955505882859 , -0.276295268532169 , -0.273684717715409 , 0.774598992454635 , 0.0441144604595017 , -0.00316632491955559, 0.652861134252828 , 0.935870588135224 , -0.091977943652421 , 1.11342956985004 , -0.21003689312115 , 0.805969531145716 , 0.666826722070015 , 0.145204389794625 , 0.851315651371111 , 0.404813193448111 , -0.611213737828806 | 0.0360774 |
| 88 | 20 | 0.0 | 0.0 | 1.0 | control , control , control , control , control , control , control , control , control , control , control , control , control , control , control , control , control , control , control , control , intervention , intervention , intervention , intervention , intervention , intervention , intervention , intervention , intervention , intervention , intervention , intervention , intervention , intervention , intervention , intervention , intervention , intervention , intervention , intervention , 1.47744679526004 , 0.611373849810708 , -0.814018972270991 , 1.96906059459662 , -1.25897873186861 , 0.190783972235688 , -0.216041155242864 , -1.96932591801627 , -0.446173219983838 , 0.152961294660558 , 0.362308969893943 , -0.00222899837081976, -0.443557510792344 , -1.59906577988766 , 0.295747468430761 , 0.242962306216055 , -0.521424699470845 , 1.62521058027884 , 0.641731145761345 , -0.407444596448634 , -0.523643979001675 , 1.17397966271417 , 0.958403765048695 , 0.116306844392644 , 0.748870350339839 , -0.820619895217557 , 0.117301229924001 , -0.341403349699566 , -0.166987484206214 , 1.11741484203479 , 0.0494483029587322 , -2.13191492205093 , -1.85271462452771 , 0.302596506762625 , -0.00358584222252489, -1.18855556869647 , 1.37480667191371 , -0.652981968745755 , -0.722656915758184 , 1.57716263457753 | 0.9066500 |
| 88 | 20 | 0.0 | 0.1 | 0.5 | control , control , control , control , control , control , control , control , control , control , control , control , control , control , control , control , control , control , control , control , intervention , intervention , intervention , intervention , intervention , intervention , intervention , intervention , intervention , intervention , intervention , intervention , intervention , intervention , intervention , intervention , intervention , intervention , intervention , intervention , -0.000830447256535999, -0.20229498657556 , 0.577014243709398 , 0.370301214105564 , 0.260549416744902 , -0.505081608573513 , -0.370389203163969 , -0.738946164895145 , -0.0367820611732213 , 0.686033929118387 , 0.184198500196802 , 0.499569816523659 , 0.72580093317106 , 0.534103666906028 , 0.270711533497823 , 0.682486687254863 , -0.18026173416065 , -0.189805227125586 , 0.709869133653204 , 0.976172144792094 , -0.0501631569188546 , 0.279893705458021 , -0.519259866597375 , -0.11970687308266 , -0.333516650736448 , 0.586043744694788 , -0.40351049548357 , 0.674301542135986 , -0.524564498480907 , 0.0211663931038542 , 0.172680829228433 , 0.352882040378275 , 0.17981269683559 , -0.321510680114035 , 0.394862383359705 , 1.03627340856743 , -0.40718651617687 , -0.647327878416032 , -0.00611342448044448 , -0.433578443221769 | 0.1508049 |
| 88 | 20 | 0.0 | 0.1 | 1.0 | control , control , control , control , control , control , control , control , control , control , control , control , control , control , control , control , control , control , control , control , intervention , intervention , intervention , intervention , intervention , intervention , intervention , intervention , intervention , intervention , intervention , intervention , intervention , intervention , intervention , intervention , intervention , intervention , intervention , intervention , -1.77182081142238 , -0.147657865583482 , -0.09762824275963 , 0.459016937697459 , -0.0653684944555887, 0.00118348681446954, 2.35812893538335 , 0.124857074444889 , -0.38189718582201 , -0.368778334230823 , -0.260768801235223 , 0.617605086488287 , 2.38613711292278 , 1.04783766580807 , 0.208900523436983 , -1.3980446075569 , -1.07729996299263 , 0.495964121652225 , 2.67217920997944 , -1.16349826956314 , -0.685927269198975 , -1.28082790420621 , 0.101653668605081 , -1.96526061780021 , 0.194389807204774 , -1.79447471947262 , -1.10009337015131 , 0.276427453182421 , -1.16462658949872 , -0.804353788123896 , -1.1882468391842 , -0.649086863670085 , -0.201583824381881 , -0.8033299567125 , 0.292167588820954 , 1.60790752355156 , 0.952784957255056 , -0.0288480975344648, 0.489440292023844 , 0.508776428906378 | 0.1190199 |
| 88 | 20 | 0.5 | 0.0 | 0.5 | control , control , control , control , control , control , control , control , control , control , control , control , control , control , control , control , control , control , control , control , intervention , intervention , intervention , intervention , intervention , intervention , intervention , intervention , intervention , intervention , intervention , intervention , intervention , intervention , intervention , intervention , intervention , intervention , intervention , intervention , 0.497274424732818 , -0.21451390495598 , 0.532227709077435 , -0.712860948269008, -0.201501301479462, -1.09352114401047 , -0.070743600455311, -0.161060026304819, -1.43630128627395 , -0.205044272045759, -0.655467455133531, 0.53252171875379 , 0.340126051765465 , -0.406851913602711, -0.365767518538005, 0.144137013480215 , 0.0624527540284609, -0.595681458742898, -0.426935174064022, 0.28209710166526 , 1.06839198098729 , -0.271553503463851, 0.509162067966178 , 0.480328046627732 , 0.578576932355407 , 0.358375183781307 , 0.247599150566256 , 0.10641922001001 , 1.63829133396909 , 0.042777561364184 , 0.069224577125458 , 0.558524653094363 , 0.919831618992328 , 0.769080900237193 , 0.941856957797244 , 0.375551195870715 , 0.683030603962167 , 0.419007925432543 , 0.328603773671902 , -0.447333463628018 | 0.0001334 |
| 88 | 20 | 0.5 | 0.0 | 1.0 | control , control , control , control , control , control , control , control , control , control , control , control , control , control , control , control , control , control , control , control , intervention , intervention , intervention , intervention , intervention , intervention , intervention , intervention , intervention , intervention , intervention , intervention , intervention , intervention , intervention , intervention , intervention , intervention , intervention , intervention , -0.324017390517267 , 0.0545316231041999 , -0.889100240384923 , -1.75798618890781 , -1.29985407076029 , -1.08275332070737 , -0.714424207829074 , -0.450598941056205 , 0.467686333527194 , -1.4356634734485 , -0.409867345461708 , 0.165732192219816 , -1.35754332105471 , 1.37185798419282 , -0.756497620100497 , -3.15808065911024 , 1.36857676345796 , -1.32175989758837 , 0.279939919768243 , 0.740864871769809 , -0.451566046846447 , 0.102862921355346 , 0.362865171781672 , 1.06446934538214 , -0.397235951560016 , -0.895569766482431 , -0.223813499905674 , -0.132385199826302 , 2.59994133362045 , 2.93222395614681 , 0.17586832256178 , -0.0435918405521465, -0.198030025774137 , 0.120034394322739 , 0.875130465952283 , 0.46071529971078 , -1.07125148217192 , 0.986022922319184 , 0.200957673832285 , 0.966468010968622 | 0.0105800 |
| 88 | 20 | 0.5 | 0.1 | 0.5 | control , control , control , control , control , control , control , control , control , control , control , control , control , control , control , control , control , control , control , control , intervention , intervention , intervention , intervention , intervention , intervention , intervention , intervention , intervention , intervention , intervention , intervention , intervention , intervention , intervention , intervention , intervention , intervention , intervention , intervention , 0.293109926792361 , 0.221951029490396 , 0.817447718623455 , 0.180230146572472 , -0.118085472846925 , 0.0303921831083577 , 0.254765728360854 , -0.0950184319488608 , -0.29749235085958 , -0.572836497134565 , -0.0372292491806553 , -0.0530956357654933 , 0.511909211137716 , 0.610919664207827 , -0.00484726139825095, -0.378340810246037 , -0.530326450712822 , -0.133825042304188 , -0.106233032034825 , 0.690428355532404 , 0.544137510099999 , 1.03147023271651 , 0.630055111470373 , 0.452720953391814 , 0.223162148998322 , 1.31837478306533 , 0.483881776517561 , 0.391664098004064 , 0.353510243750993 , 1.00723345290359 , 0.207727178293733 , 0.956929653712949 , 0.560915565586281 , -0.0140584741433389 , -1.08499711506116 , 0.450406269160845 , 0.601881135657917 , 0.732327760159211 , 0.204234679673013 , 0.709966350649391 | 0.0043888 |
| 88 | 20 | 0.5 | 0.1 | 1.0 | control , control , control , control , control , control , control , control , control , control , control , control , control , control , control , control , control , control , control , control , intervention , intervention , intervention , intervention , intervention , intervention , intervention , intervention , intervention , intervention , intervention , intervention , intervention , intervention , intervention , intervention , intervention , intervention , intervention , intervention , 1.39062457826472 , 0.0690076504182348 , -1.59039958830362 , -0.143898983502276 , -0.0238468347647365, -0.78412104914118 , 0.240945585674963 , -0.737542750191828 , 1.2511210591385 , -0.448022786900538 , 0.415477831718014 , 0.599924780184024 , -0.931507083228701 , 0.027200349539153 , 1.19764242167497 , -2.09858383455188 , -0.48475578505223 , -0.584804302913799 , -1.0662273376134 , -0.022163208195189 , 0.893279903629818 , 0.231423281083662 , 0.0415945830081442 , 3.14931256901952 , 0.676413950333636 , 0.998374953478524 , -0.577129384080765 , -1.20181964047597 , 1.47036796852912 , 1.02584277967431 , 0.485504857091337 , 0.697809603739595 , -0.467433050259372 , -0.327291134948547 , 1.41394440477206 , 0.134066823023846 , 1.0716962773269 , 1.23147835428456 , 0.580104606605232 , 0.375186810806611 | 0.0105734 |
| 88 | 50 | 0.0 | 0.0 | 0.5 | control , control , control , control , control , control , control , control , control , control , control , control , control , control , control , control , control , control , control , control , control , control , control , control , control , control , control , control , control , control , control , control , control , control , control , control , control , control , control , control , control , control , control , control , control , control , control , control , control , control , intervention , intervention , intervention , intervention , intervention , intervention , intervention , intervention , intervention , intervention , intervention , intervention , intervention , intervention , intervention , intervention , intervention , intervention , intervention , intervention , intervention , intervention , intervention , intervention , intervention , intervention , intervention , intervention , intervention , intervention , intervention , intervention , intervention , intervention , intervention , intervention , intervention , intervention , intervention , intervention , intervention , intervention , intervention , intervention , intervention , intervention , intervention , intervention , intervention , intervention , -0.579212630830832 , -0.476738759901767 , -0.18197877486949 , 0.0170721097041058 , -0.591384439197701 , 0.239584688190824 , -0.521755422782697 , 0.12582854097974 , -1.32904652039661 , 0.472317196860232 , 0.210990849739376 , 0.386146428008233 , 0.00822234739347056 , -0.487230673875958 , -0.132309480502174 , -0.316917343080385 , 0.28873867669749 , -1.00908831397822 , 0.917855243498611 , 0.552556175615091 , -0.165376887769189 , -0.608880156382639 , -0.312528153369932 , 0.389446168808301 , -0.0328362129475714 , 1.02100526876482 , 0.406524578173618 , -1.2455631425214 , 0.634312651706718 , -0.0245063608736536 , -0.637803503001313 , 0.739746029299076 , 0.435365463293153 , 0.694839539132486 , 0.272047569754786 , -0.386529291411752 , -0.628312504969614 , -0.133961382668059 , 0.20392773862239 , -0.291679921146681 , -0.745813271212751 , -0.2185047384555 , -0.434901603490785 , 0.156655353175282 , -0.27843179512331 , -0.154596484356288 , 0.77757337110455 , 1.06344036490402 , -0.0906748931996175 , -0.079476286696141 , 0.231775322007998 , -0.333367051970072 , -9.86494263395765e-06, -0.32412470668018 , -0.103636319151551 , 0.617329025073573 , 0.530676588444162 , 0.231519708476518 , 0.370156941474863 , -0.910021532053542 , 0.602797053173014 , -0.238558276886662 , 0.444231558721212 , 0.215836944067229 , 0.13041376206946 , 0.266711323837243 , 0.0749689897738142 , -0.358746292533389 , -0.500061865989888 , 0.311159545296006 , -0.480071776863716 , 0.500531977047889 , 0.039745348522184 , 0.15101128301043 , 0.356340130948355 , -0.0605332786368765 , -0.195546561039956 , 0.0330856526167963 , 0.302495541991481 , 0.422419544728769 , -0.546828088218546 , 0.482351787878322 , 0.075317743659669 , 0.0632294705630229 , 0.0365915853843464 , -0.0984894072501878 , 0.323003953410783 , 0.700177122740717 , 0.266832527123166 , -0.135294368047586 , -0.341725914216783 , 0.107440684934094 , 1.01166623860167 , 0.182162145019477 , 0.621975272961675 , 0.210446763801668 , -0.198144066142059 , -0.39595839061499 , 0.339643179852168 , 0.606629719728272 | 0.1055852 |
| 88 | 50 | 0.0 | 0.0 | 1.0 | control , control , control , control , control , control , control , control , control , control , control , control , control , control , control , control , control , control , control , control , control , control , control , control , control , control , control , control , control , control , control , control , control , control , control , control , control , control , control , control , control , control , control , control , control , control , control , control , control , control , intervention , intervention , intervention , intervention , intervention , intervention , intervention , intervention , intervention , intervention , intervention , intervention , intervention , intervention , intervention , intervention , intervention , intervention , intervention , intervention , intervention , intervention , intervention , intervention , intervention , intervention , intervention , intervention , intervention , intervention , intervention , intervention , intervention , intervention , intervention , intervention , intervention , intervention , intervention , intervention , intervention , intervention , intervention , intervention , intervention , intervention , intervention , intervention , intervention , intervention , 0.451357118595216 , 0.509157717993402 , -0.529360819288116 , -0.139726334753042 , 1.03427015612067 , 0.387746073138917 , 1.87693858463914 , -0.0802503859335881 , -1.19184208994665 , 0.63145220705401 , 0.211655939862073 , 0.205518465034752 , -0.115641463673685 , -1.54070046016906 , 2.31861526046597 , -0.84577644115588 , 2.32568577808957 , -0.154581400970097 , 0.886564453626681 , -1.42398576253611 , -0.600905977388151 , 0.350684282892797 , -0.51102647273915 , 0.429439824358644 , -0.442233960199657 , 1.0299502805645 , -0.541097823846134 , -0.306713976577755 , -1.32358978845627 , 0.595882557337458 , -0.774340131906532 , 0.663057714843334 , -0.10277936125902 , -0.933194110920313 , -0.629409583150764 , -0.230226044827517 , -0.34131845099025 , -1.47173368641888 , -0.0243957627691173 , 0.279027497378218 , 0.238094099395648 , -0.13885857565023 , 0.206622087656188 , 0.504213369787982 , 1.21857457022574 , -0.0945055109765184 , 0.618692202502289 , -0.870050547389521 , 2.54098454285088 , -0.166102386232921 , -0.697505889097346 , 1.17749223986647 , -2.49055265156285 , 0.684930628471971 , -1.47419949795927 , 1.72251568112598 , 1.13431559291181 , 0.260888658516648 , 0.288120602997122 , -0.00343347478059579, 0.465035351094325 , -1.06706581910537 , 0.725206088793391 , 0.379225162065521 , 0.0229205412898028 , -2.14272400848898 , 2.5207138992518 , -0.771649225577684 , -3.53046069800774 , -1.81679675733094 , 0.385726750989471 , -1.15628192076162 , 2.59788998007825 , 0.609279130099107 , -0.291208333854772 , 0.156666570514119 , -0.0816023492025035 , -0.591675324307561 , 1.04116200535511 , -0.21895078189017 , 1.33718630300755 , 0.569953253961378 , 3.59552909601527 , -0.577720470119947 , -0.0157911000852653 , 0.601505243194265 , -0.762819795655113 , -0.171651924181363 , -0.330664856969595 , 0.452555303824362 , 0.73201907957914 , -0.579950202604583 , 0.211596834239488 , 1.57371970370524 , -0.564391248666577 , 2.23481987211102 , 1.18235393025784 , 0.0792955956107186 , -1.32166510588007 , -1.11690216706717 | 0.9316815 |
| 88 | 50 | 0.0 | 0.1 | 0.5 | control , control , control , control , control , control , control , control , control , control , control , control , control , control , control , control , control , control , control , control , control , control , control , control , control , control , control , control , control , control , control , control , control , control , control , control , control , control , control , control , control , control , control , control , control , control , control , control , control , control , intervention , intervention , intervention , intervention , intervention , intervention , intervention , intervention , intervention , intervention , intervention , intervention , intervention , intervention , intervention , intervention , intervention , intervention , intervention , intervention , intervention , intervention , intervention , intervention , intervention , intervention , intervention , intervention , intervention , intervention , intervention , intervention , intervention , intervention , intervention , intervention , intervention , intervention , intervention , intervention , intervention , intervention , intervention , intervention , intervention , intervention , intervention , intervention , intervention , intervention , 0.225972753203508 , 0.46890156369659 , -0.0245349435421011 , 0.0354784120656803 , -0.866787328984497 , -0.0996429448656665 , 1.04480771146018 , 1.09117222517878 , 0.270971722895278 , -0.275713014294284 , 0.369025336190263 , -0.403185226135838 , 0.859917102256386 , 0.619061318814006 , 0.315390621271157 , 0.320199944337703 , -0.479949875082769 , 0.181642120232238 , 0.307396584915918 , 0.183879886509225 , 0.405500664410244 , 0.225125944887498 , -0.543811206202214 , -0.0955788385564048 , 0.432145281942438 , 0.140913419037172 , 0.10265097990882 , -0.385408262841342 , -0.46990088175686 , 0.776011578826069 , 0.281548774573038 , -0.0439706435665948 , 0.25939272927247 , -0.167268215898919 , 0.319236631598215 , 0.786429481320778 , -0.281542773584988 , -0.646531594287622 , 0.164370236731604 , 0.221845227765281 , 0.630374711943314 , -0.30241467262839 , -0.114024312656133 , 0.579730142337592 , 0.368378269258665 , 0.872565919393289 , -0.0051878500351334 , 0.23885434199909 , 0.734990722734129 , 0.816866433251661 , -0.257181011609629 , 0.181864460921201 , -0.00957410504399223, 0.0333498078638927 , -0.427772923942098 , 0.220294955762858 , -0.213755217609067 , 0.250779269822342 , -0.244565536697582 , 0.627775305106496 , 0.567802648052033 , -0.429407894753184 , 0.253767230417661 , -0.256595978559705 , -0.726426294043493 , 0.305106454670966 , 0.518122710789758 , 0.116270965141672 , 0.201905518292036 , -0.498323493058138 , 0.49464490073821 , -0.19240490144882 , -0.573916463023102 , -0.278014499417774 , -0.701186287921034 , 0.581313850254535 , 0.143716911454403 , 0.444011989903478 , -0.217313536462502 , -0.395942843791855 , 0.577632058168217 , 0.0954789556010757 , -0.138681012681367 , -0.0800458926323318 , 0.243115087220548 , -0.128252129289171 , -0.38518903437291 , -0.0767233918410839 , 0.971004550093619 , -0.786184537302159 , -0.261663825342859 , -0.491915344752926 , -0.389526889797014 , -0.931426122794552 , 0.425964385270149 , 0.521161168635245 , 0.0510737387707256 , -0.00720098239132924, -0.0540116914428373 , -0.0359368850788734 | 0.0144193 |
| 88 | 50 | 0.0 | 0.1 | 1.0 | control , control , control , control , control , control , control , control , control , control , control , control , control , control , control , control , control , control , control , control , control , control , control , control , control , control , control , control , control , control , control , control , control , control , control , control , control , control , control , control , control , control , control , control , control , control , control , control , control , control , intervention , intervention , intervention , intervention , intervention , intervention , intervention , intervention , intervention , intervention , intervention , intervention , intervention , intervention , intervention , intervention , intervention , intervention , intervention , intervention , intervention , intervention , intervention , intervention , intervention , intervention , intervention , intervention , intervention , intervention , intervention , intervention , intervention , intervention , intervention , intervention , intervention , intervention , intervention , intervention , intervention , intervention , intervention , intervention , intervention , intervention , intervention , intervention , intervention , intervention , 1.20951566799488 , 0.0392293992580358 , -0.708551779637686 , -0.670656095864192 , 0.364374216641672 , 0.45859984686422 , 1.04983126502364 , 1.66470399010849 , -0.363417466428908 , 0.963403749825567 , 0.73121539446057 , -1.58488023549478 , 1.71280058820156 , -1.31726834048319 , -0.00779084591737386, -1.02081085229005 , 0.688769410707336 , 0.33732617467649 , 0.0118611147360002 , 0.0562771292262277 , 0.536395948331711 , -1.77978642213065 , 0.386469667099501 , 0.757151099018167 , -0.597029064860554 , 0.363516056262163 , 0.731701175687589 , -1.26259571045652 , -0.419320169440174 , 0.388433430984851 , 0.223825863850875 , 0.0232634360784014 , 0.668730802846596 , 0.619646243013919 , -0.0889427080687878 , 0.0572772999453028 , 0.614015898078471 , 0.65104587826447 , 0.986268793955409 , 0.544120192290639 , -0.544950025253724 , -0.604885185822795 , 1.0211865460294 , 0.754575389120309 , 0.380266466210761 , 0.111730388662505 , -0.565308376732572 , -0.140820909341206 , -1.73485629065288 , 1.41162957646835 , -0.510761596033079 , 0.791166400583937 , -0.416486263188973 , -0.577510858005646 , 0.661103553747803 , -0.31057909545892 , -0.177708830740258 , 0.510385854806737 , -0.581984960427795 , -0.81250445631951 , -0.0690003744120865 , 0.648099052661648 , -0.383826600876818 , -0.987351494888956 , 0.0810651471496695 , 0.592726508728581 , 1.14570573246002 , -0.731329971343146 , 0.13094210347331 , -2.25581029221317 , 1.43301699219407 , 0.590081920608737 , -0.798178951457624 , -0.795535250708658 , -0.191284137327809 , -2.21917344181675 , 0.518532873566425 , -1.39391428632567 , 1.46814801142504 , 0.440093001156329 , -1.53191543401541 , 1.30168304638933 , 0.73638810356988 , -1.02333862769631 , -0.567738485964695 , 0.147735113891147 , 0.364345708090345 , 0.466860305741999 , 0.623333270759192 , 2.08726384738357 , -1.08267556862509 , -1.11732812900966 , 0.197719421107871 , -1.03097473263756 , 0.288694458178955 , 0.686234986118664 , -0.423255895966964 , -0.795845876742715 , -1.00349208498982 , -1.03481428344412 | 0.1151629 |
| 88 | 50 | 0.5 | 0.0 | 0.5 | control , control , control , control , control , control , control , control , control , control , control , control , control , control , control , control , control , control , control , control , control , control , control , control , control , control , control , control , control , control , control , control , control , control , control , control , control , control , control , control , control , control , control , control , control , control , control , control , control , control , intervention , intervention , intervention , intervention , intervention , intervention , intervention , intervention , intervention , intervention , intervention , intervention , intervention , intervention , intervention , intervention , intervention , intervention , intervention , intervention , intervention , intervention , intervention , intervention , intervention , intervention , intervention , intervention , intervention , intervention , intervention , intervention , intervention , intervention , intervention , intervention , intervention , intervention , intervention , intervention , intervention , intervention , intervention , intervention , intervention , intervention , intervention , intervention , intervention , intervention , 0.169915404405976 , -0.737055552538176 , 0.582472098280008 , 0.686664916581387 , 0.0424913034196544 , 0.209557904643821 , -0.656042057528505 , -0.0706691676860268, -0.240827619165777 , -0.0552261917616175, -0.204522675451435 , 0.221787530898584 , -0.752153621769913 , -0.622983994809622 , -0.117119609716363 , 0.579578221911595 , -1.394124044584 , 0.0971742629153056 , -0.328939654941193 , -0.360155309849949 , -0.639904306354889 , 0.671866832775529 , -0.654118114409559 , -0.376160559719194 , 0.394090646918807 , -0.0619570283069574, 1.18014730597303 , -0.0959335662371158, -0.28974332562992 , -0.067893200635881 , 0.889392452678778 , 0.396527680834823 , -0.482905118703502 , 0.760758603554727 , 0.321913853744813 , -0.294713202395968 , 0.220662404247526 , 0.202441098195266 , -0.59858605875547 , 0.389201283549107 , 0.627674310522924 , 0.414096723258641 , -0.0203558553770629, 0.551116851021225 , -0.175339953606399 , 0.418768032815291 , -0.587279692750235 , -0.14052916376347 , -0.23758311473417 , -0.595720555181052 , 0.532265177857313 , 0.35072549299349 , 1.11341586641204 , 0.235911007041357 , 1.36799369130638 , -0.783229588758215 , 0.319923214908238 , 1.56880070979221 , 0.58374974089533 , 0.92213353031747 , 0.0243226125793651 , 0.769005275287114 , 0.550251325397632 , -0.388524979743606 , 0.983765813107753 , 0.349867273323296 , 1.50322094024718 , 0.935470332369791 , 0.164489689934121 , -0.11945111727949 , 0.928697944549262 , 0.220494238000644 , 0.780657451269361 , 0.351987014376572 , -0.02159328229549 , 1.30593935170514 , 0.711334208959376 , 1.19627564211185 , 0.0886985418793916 , 0.444713342859001 , 0.962023950668697 , 0.996192551773332 , 0.495941519952946 , 0.165898526311734 , 0.541560408029952 , 1.50214727517199 , 0.171426722721091 , 1.06437732607969 , -0.139389442480047 , 0.763180956290556 , 0.398825497846367 , 0.931675696177351 , 0.581147232402854 , 0.956255047859134 , 0.345940422813894 , -0.453396517280975 , 0.720136628219662 , -0.248344060091274 , 0.0840260510440369 , 0.486026009355775 | 0.0000005 |
| 88 | 50 | 0.5 | 0.0 | 1.0 | control , control , control , control , control , control , control , control , control , control , control , control , control , control , control , control , control , control , control , control , control , control , control , control , control , control , control , control , control , control , control , control , control , control , control , control , control , control , control , control , control , control , control , control , control , control , control , control , control , control , intervention , intervention , intervention , intervention , intervention , intervention , intervention , intervention , intervention , intervention , intervention , intervention , intervention , intervention , intervention , intervention , intervention , intervention , intervention , intervention , intervention , intervention , intervention , intervention , intervention , intervention , intervention , intervention , intervention , intervention , intervention , intervention , intervention , intervention , intervention , intervention , intervention , intervention , intervention , intervention , intervention , intervention , intervention , intervention , intervention , intervention , intervention , intervention , intervention , intervention , -0.674986309936056 , 0.875351607897983 , 0.320017718307076 , -0.559357925822517 , 0.252175576924875 , 1.0972838249948 , 0.241456291233501 , -0.105086628904506 , 1.15950083560121 , -1.33274700491168 , 0.199991545629283 , 2.57490176467293 , -0.402377395713521 , 0.359088770316765 , 0.565385736516436 , -0.476207150558721 , -0.195742850271484 , -0.32385345737618 , -0.912386516511917 , 3.11803709670487 , -1.47454056244791 , -1.77647984343024 , -0.138290882292509 , 1.59433072002687 , -0.143803403750854 , 0.956449296059573 , 0.1418984750385 , -0.0699972966273625 , -0.629794942288432 , -0.00408065403223385, 0.767620669985834 , 1.52794601240914 , -0.823120434335376 , 1.0285194181206 , -1.20410516285963 , -0.197973737930986 , -1.29811552387211 , 1.23336681206247 , 0.0482568518848041 , -0.335105439610442 , -0.853902004361953 , -1.1615441907566 , -0.861171611216188 , 0.246296404559749 , -0.280828450364999 , -1.17159329318323 , -1.52318336694877 , -0.155545522158168 , 2.46228257449452 , 0.628870343315947 , 0.242800072744244 , -0.277490187433885 , -0.980028050515017 , -1.14578555447388 , 0.866125064941328 , 0.094660148526327 , 0.797271448074497 , 2.71061509727595 , 0.713752746611363 , -0.359108918978374 , 0.497130839734986 , 1.91625213517168 , -0.375524462742976 , 0.731133039972719 , -0.35789623040858 , 0.329774606978027 , -0.472770277125632 , -0.354488072573701 , 0.867290327080151 , 0.933389706846385 , -0.189811093685687 , -0.947561586858654 , 0.578392699514812 , 0.553414067301147 , 0.131548222616771 , 0.0879410024132329 , -0.536637888786437 , 1.63730000049443 , 0.477292431171473 , 1.01021367308004 , -0.166753995069547 , 1.62008412489348 , 1.06697921556116 , -0.0784681738817654 , 0.450501808321373 , -0.326403901798309 , 0.810942502673227 , 1.09093511319624 , 1.19140586449771 , 1.54245676986338 , 0.640738212490849 , 1.28575647840553 , 1.45360743320457 , -0.231905430946996 , 2.04070504417335 , -0.620479099141552 , -0.44337659769823 , 0.456764886679739 , 0.628583148873048 , 0.98532265483053 | 0.0375935 |
| 88 | 50 | 0.5 | 0.1 | 0.5 | control , control , control , control , control , control , control , control , control , control , control , control , control , control , control , control , control , control , control , control , control , control , control , control , control , control , control , control , control , control , control , control , control , control , control , control , control , control , control , control , control , control , control , control , control , control , control , control , control , control , intervention , intervention , intervention , intervention , intervention , intervention , intervention , intervention , intervention , intervention , intervention , intervention , intervention , intervention , intervention , intervention , intervention , intervention , intervention , intervention , intervention , intervention , intervention , intervention , intervention , intervention , intervention , intervention , intervention , intervention , intervention , intervention , intervention , intervention , intervention , intervention , intervention , intervention , intervention , intervention , intervention , intervention , intervention , intervention , intervention , intervention , intervention , intervention , intervention , intervention , -0.446046379790113 , 0.498885264223013 , -0.668465068816826 , -0.55302712958391 , 0.00401456330455101, 0.0333300598909894 , -0.319326309938403 , 0.00590959639262793, 0.479147341641735 , -0.24152719233897 , -0.487733146653757 , -0.714968451711828 , 0.344072982612376 , -0.443597753729236 , 0.439947027944993 , -0.43518383788389 , 0.243147415605392 , -0.207141202166709 , -0.567125792666254 , 0.846761353267127 , 0.22520225446699 , -0.0170230637795899, 0.119872953094014 , -0.388301247759593 , 0.0677458652772621 , -0.420622515857007 , -0.320576439797001 , 0.437471360597344 , 1.2316414621658 , 1.55304069388677 , 1.22076708692053 , 0.38515139358875 , 0.0313148763217019 , 0.961982467843216 , -0.067657882880517 , 0.923527389889289 , -0.552044066620268 , -0.20824054162174 , -0.34583595249586 , -0.0774807516562648, -0.34641333665582 , -0.868501374269092 , 0.454004290017591 , -0.0899357959528696, 0.157707045265298 , -0.306894622957622 , -0.335062426641277 , 0.617988399480235 , 0.551653010271293 , 0.208373578340596 , 0.277518554737011 , 0.109563013220373 , 0.494655111279573 , 1.3779339059621 , 0.756375508115907 , 0.541701647523116 , 0.923245649108179 , 0.624093358024371 , 0.736230261432595 , 0.475760136224027 , -0.152583234187535 , 0.0418473069579994 , -0.429836844736275 , 0.997666579914968 , -0.142479548735044 , 0.429259478047758 , 0.917347962129591 , 0.632103433705963 , 0.985975906620616 , 0.0114236310132402 , 0.334048232241695 , 0.566860758482336 , 0.054599442785576 , 1.46908863631362 , 0.968941790126406 , 0.602601389269349 , 0.589125275101276 , 0.875125554419553 , 1.08855015764604 , 1.61063263677733 , 0.526172472233449 , 0.313997553050048 , 0.319457704442792 , 1.25972668707632 , 0.982416743025777 , 0.367777289967207 , 0.424348569006892 , 0.2654349435636 , 0.374287658309052 , 0.239551987406809 , 0.133405520632542 , 1.33663590443368 , 0.25082767380905 , 0.373388312066395 , 0.79709722795734 , 0.457234433379359 , 1.00422981578656 , 0.189139257935383 , 0.982985696222758 , 0.378826103178957 | 0.0000009 |
| 88 | 50 | 0.5 | 0.1 | 1.0 | control , control , control , control , control , control , control , control , control , control , control , control , control , control , control , control , control , control , control , control , control , control , control , control , control , control , control , control , control , control , control , control , control , control , control , control , control , control , control , control , control , control , control , control , control , control , control , control , control , control , intervention , intervention , intervention , intervention , intervention , intervention , intervention , intervention , intervention , intervention , intervention , intervention , intervention , intervention , intervention , intervention , intervention , intervention , intervention , intervention , intervention , intervention , intervention , intervention , intervention , intervention , intervention , intervention , intervention , intervention , intervention , intervention , intervention , intervention , intervention , intervention , intervention , intervention , intervention , intervention , intervention , intervention , intervention , intervention , intervention , intervention , intervention , intervention , intervention , intervention , 1.23402141732318 , 1.65101755202298 , 1.77318357629277 , 0.428280836835 , 1.01445817463357 , -0.190479176312557 , 1.71865322842977 , 1.66373312865568 , -0.231358545582983 , -0.288240051600466 , 0.0561684507229303 , -1.90928286420139 , -0.686823377990642 , 1.05406724682179 , 1.18596231651454 , -0.68168362593193 , -1.20975744105002 , 0.490140344861817 , 0.579269116528123 , 0.969083971660742 , 0.882903008361165 , -2.25379693407421 , 1.0004779437139 , 0.805780440092409 , -0.17965925362501 , 0.0606733022983816 , 0.656546205592715 , 0.181823736112566 , 2.28634573766967 , 0.314357057938681 , -1.16366078143859 , -0.078716418237617 , -1.28343081407057 , -2.43511233214225 , -0.0235124715723262, -1.95874265573471 , -0.119212301103229 , 1.37205227372608 , 1.40523662139058 , 1.45899809308608 , 2.12518145682656 , 0.0569928446625433 , -0.728392488186546 , 0.27588808973195 , 0.644663291474917 , 0.151096892927693 , -0.775453713977953 , 0.301683562639007 , -0.619697592458389 , -1.8512470309647 , -0.673406546568488 , 1.19869079438834 , -0.0601829813169741, 0.644035260961178 , -2.0270692754244 , -0.470363591784329 , 1.41243977150907 , -1.09967401733829 , 0.880082806225882 , 0.683466478152071 , 0.934434761420789 , 0.170580195085039 , 2.87927471691267 , 0.651989901097322 , 0.436640519167076 , -1.04237377395495 , -0.82010300778166 , 0.288954727879118 , 0.538226906113195 , 1.35743791118619 , 0.155261304669699 , 2.50289219132443 , -0.640076067673708 , 1.18276114314131 , 1.63184022725409 , 0.184388532025877 , -0.523403542219201 , 2.31304007672391 , 0.73427375581177 , 1.11829132931934 , 2.58496347072127 , 1.17591290054254 , 0.660058637764492 , 1.95101748259796 , -0.25373582036936 , 0.121433049404081 , 2.2804116672414 , 0.00822484704256399, 1.22196660139289 , -0.833460076271134 , -1.14033702347154 , 0.807720836585746 , 1.94049591390902 , 0.466128902620956 , 0.631966619537704 , 0.355963788328043 , 1.15858393977075 , 1.70686318630028 , 1.34367977962362 , 0.227458993000711 | 0.0526563 |
| 89 | 20 | 0.0 | 0.0 | 0.5 | control , control , control , control , control , control , control , control , control , control , control , control , control , control , control , control , control , control , control , control , intervention , intervention , intervention , intervention , intervention , intervention , intervention , intervention , intervention , intervention , intervention , intervention , intervention , intervention , intervention , intervention , intervention , intervention , intervention , intervention , 0.702575630089924 , 0.103852998811177 , -0.794380918574108 , -0.434689192983403 , -0.131092099586821 , -0.00879694976472832, 0.100617115233169 , 0.74990603151528 , -0.268466856258098 , 0.0641705286283932 , 0.417849190849484 , 0.513214514673892 , -0.0914779363375499 , 0.130907673544392 , 0.894729458662569 , 0.553606741970848 , -0.140254550811181 , 0.93814958899153 , 0.209249541657888 , -0.501048737365333 , -0.261022288746159 , 0.313271333723179 , -0.0166194794060871 , 0.0494690197008958 , 0.337141763348316 , -0.0965851188220981 , 0.281647567615728 , -0.175030786307924 , 0.453959931703234 , 0.295276515081612 , -0.679551027797541 , 0.076131291872446 , 0.800227126948657 , 0.035512114748848 , -0.451046194834138 , -0.586119926446544 , 0.0366144749972392 , 0.527164373554463 , 0.274221378493768 , 0.190108440042028 | 0.5566061 |
| 89 | 20 | 0.0 | 0.0 | 1.0 | control , control , control , control , control , control , control , control , control , control , control , control , control , control , control , control , control , control , control , control , intervention , intervention , intervention , intervention , intervention , intervention , intervention , intervention , intervention , intervention , intervention , intervention , intervention , intervention , intervention , intervention , intervention , intervention , intervention , intervention , -0.260328025792123, -0.881541267527839, 0.612465367615143 , 1.81491968383712 , -1.13472312059466 , -2.12609814885089 , 1.41131807812976 , -0.153038667968433, -0.792816696448023, -0.785882991671 , 0.119259664581425 , 1.80370844844822 , -1.32640358351006 , -0.433912497459967, 1.46030680793618 , -0.200336636485612, -1.40830840938817 , 0.996290032848302 , -0.556405551141749, 1.05412831710076 , -1.63395484243167 , -0.289395853094488, -0.941986986963523, -0.706151881664073, -0.304670230138523, 1.4475720904587 , 0.0990425948970285, 0.0336839974337984, -0.397853905520938, 1.09208589065027 , -0.250921633996602, -1.46620874415805 , 1.91821300227741 , 0.0617023361049314, 0.9346823103108 , -0.803111813952236, -0.860876193553451, -1.09405076646835 , 0.301027699614753 , 0.100691487667454 | 0.7685422 |
| 89 | 20 | 0.0 | 0.1 | 0.5 | control , control , control , control , control , control , control , control , control , control , control , control , control , control , control , control , control , control , control , control , intervention , intervention , intervention , intervention , intervention , intervention , intervention , intervention , intervention , intervention , intervention , intervention , intervention , intervention , intervention , intervention , intervention , intervention , intervention , intervention , 0.0642058978643795 , -0.118434125552796 , -0.586031709472872 , -0.187903512411615 , -0.342730876365566 , -0.541998696064422 , -0.0401464908463231, -1.04308836238844 , 1.17442272486384 , -0.0719712364626365, 0.86127702604984 , 0.0207850529678878 , -0.684359512723859 , -0.114494284150162 , -0.411431701934955 , -0.587354659379833 , 0.208998885785194 , 0.433321575904868 , 0.695401108508442 , 0.54318994991549 , 0.151874910120178 , 0.100614231775303 , 0.544278000433092 , -0.302535412148777 , 0.478684628915451 , 0.54369165070681 , -1.43129060840634 , -0.235437639045088 , -0.404252488523843 , 0.289152708881839 , 0.576940368908189 , -0.0896007012123045, 0.224340242655584 , -0.121873818447049 , -0.642730700241389 , 0.180986297823339 , 0.394681510125511 , 0.343742714627632 , 0.0555757351744832 , 0.0977494036184854 | 0.6567194 |
| 89 | 20 | 0.0 | 0.1 | 1.0 | control , control , control , control , control , control , control , control , control , control , control , control , control , control , control , control , control , control , control , control , intervention , intervention , intervention , intervention , intervention , intervention , intervention , intervention , intervention , intervention , intervention , intervention , intervention , intervention , intervention , intervention , intervention , intervention , intervention , intervention , 1.11045136990417 , -0.308234211382646 , -1.42367645295262 , 2.58517053663916 , 1.20539743628827 , 1.77322776195336 , 0.180390463955086 , 1.76570574526267 , 0.565541013087618 , -0.0666080579635175, 0.423614343249124 , 0.5028331407747 , -1.03665283267571 , 1.7986257533191 , 0.836416394567193 , -0.182704196281653 , 0.539030816027394 , 0.12596709653911 , -0.189989466470025 , 1.22655255257787 , 0.764270347472298 , 0.305026066135956 , 0.921037582499104 , 0.777211626429234 , -1.6701609121705 , -0.369946654860665 , -0.229084590049477 , 0.802303271461694 , -1.5300978629974 , 0.0399161238514047 , -0.4139605843037 , 1.45153225533014 , 1.02846670825178 , 1.15136541433984 , 0.442462838294716 , -0.532907018617167 , 1.24065609931504 , 0.812980550030268 , -1.63630817123144 , -0.852742343668678 | 0.1630151 |
| 89 | 20 | 0.5 | 0.0 | 0.5 | control , control , control , control , control , control , control , control , control , control , control , control , control , control , control , control , control , control , control , control , intervention , intervention , intervention , intervention , intervention , intervention , intervention , intervention , intervention , intervention , intervention , intervention , intervention , intervention , intervention , intervention , intervention , intervention , intervention , intervention , 1.01163353844378 , -0.13609770948811 , 0.0491945391212198 , -0.546504356732039 , -0.19812759791468 , -0.00842344559361978, 0.307121813314574 , -0.502766572081249 , 0.290680256625573 , 0.435379293866849 , 0.063080512906574 , -1.06532601172347 , -0.111736288899179 , 0.416689485438291 , 0.4684128146244 , 0.235601570934951 , -0.39044497622251 , 0.0295261785098183 , -0.623135308069142 , 0.0697814108371156 , 0.332733459692024 , 0.738937121244618 , 0.56533252373019 , 0.67448902190361 , -0.285596984953127 , 1.22352926508504 , 0.0872179841096349 , 0.383389739703656 , 0.824590035053654 , -0.23188937697783 , 0.832817586540667 , 0.565197738918777 , 1.31915787121861 , 0.625608736196245 , -0.138636938585512 , 0.629350109159539 , -0.198500573004542 , 0.052299208011382 , 0.591298834648973 , 0.200033278346931 | 0.0039686 |
| 89 | 20 | 0.5 | 0.0 | 1.0 | control , control , control , control , control , control , control , control , control , control , control , control , control , control , control , control , control , control , control , control , intervention , intervention , intervention , intervention , intervention , intervention , intervention , intervention , intervention , intervention , intervention , intervention , intervention , intervention , intervention , intervention , intervention , intervention , intervention , intervention , -1.16814480944188 , 0.187399425095107 , 0.02432397307895 , 0.419346586646933 , 1.09987926126599 , 1.51218168308916 , 0.0255012922217283 , 0.376764209262811 , 1.29192387608712 , -0.489807593217469 , 0.308836362382671 , 1.60934973240547 , 1.97246344722023 , -0.631200237802132 , -0.101790157677125 , -0.334418254041685 , 0.13200919274063 , 1.28908091240891 , -0.398886914560251 , 0.00894198128116511, 2.11211498077107 , 0.730886735348712 , 1.15886399923905 , 0.98113402544538 , 0.466792883287987 , 0.551087279973272 , 1.00628496900295 , 0.974227001801376 , 1.10558016703753 , -1.55238019383367 , 0.103986830479238 , 0.696072406635054 , 0.704256174133525 , 0.0486456142968069 , -0.638064310852556 , 0.885145934773683 , 0.89052540950427 , 1.13818500464132 , 1.14135925648214 , 0.543931061840183 | 0.2493747 |
| 89 | 20 | 0.5 | 0.1 | 0.5 | control , control , control , control , control , control , control , control , control , control , control , control , control , control , control , control , control , control , control , control , intervention , intervention , intervention , intervention , intervention , intervention , intervention , intervention , intervention , intervention , intervention , intervention , intervention , intervention , intervention , intervention , intervention , intervention , intervention , intervention , 0.555310433258697 , 0.532308115554762 , -0.867721782595415 , -0.37599703232719 , -0.0721610198084707 , -0.28395086612212 , -0.320682104346471 , -0.0616990328321397 , -0.202497212854107 , 0.217939306434344 , -0.00781989367761247, -0.151502338546313 , 0.790945748715695 , 0.385646085746264 , -0.281189172603171 , -0.152568014411415 , 0.229437795559182 , 0.196428318983351 , -0.385016855422263 , -0.43190644200556 , 1.52065836373041 , 0.366504970376752 , 0.0985030361863037 , 0.148414483583021 , 0.405915867007994 , 0.0771324595965656 , 0.599456815894181 , 0.177006378809672 , 0.0498657401754921 , 0.0916685555310991 , 0.627805848591397 , 0.0266703663995028 , 1.07537213854031 , 0.829607301662145 , 0.0181556571284366 , 0.048335455533745 , 1.97247448492639 , 0.598654458127692 , 0.522824342329771 , 0.142936946575058 | 0.0017184 |
| 89 | 20 | 0.5 | 0.1 | 1.0 | control , control , control , control , control , control , control , control , control , control , control , control , control , control , control , control , control , control , control , control , intervention , intervention , intervention , intervention , intervention , intervention , intervention , intervention , intervention , intervention , intervention , intervention , intervention , intervention , intervention , intervention , intervention , intervention , intervention , intervention , 0.491515690882557 , -1.50936835143466 , -1.70308924612469 , 0.8689015644127 , 0.789388844980991 , 0.397883858856169 , 1.76080792246121 , 0.30214552747764 , 0.560820519417857 , 0.460868200191752 , 0.751054796476123 , -0.0765512183950413, 1.10668478513222 , -3.12344597913765 , 1.06934927909784 , 0.222236921659128 , 0.10202600673314 , 0.572359316400828 , 0.172939541187364 , -0.649889104860566 , -0.111678837118244 , 1.53815575768627 , 0.29452886739499 , 1.1159708332449 , 0.422200981449041 , 1.10959781073944 , 0.936108642668832 , 1.45064463734388 , 0.780319548424823 , 0.639493087978778 , 0.725739468254419 , 0.0949205155190338 , -1.21031187367234 , 0.0687694705386043 , 0.841305171193923 , 1.53589677641183 , 0.498799272826531 , -1.09369656736973 , 0.777859483730785 , -1.34659473085099 | 0.3093490 |
| 89 | 50 | 0.0 | 0.0 | 0.5 | control , control , control , control , control , control , control , control , control , control , control , control , control , control , control , control , control , control , control , control , control , control , control , control , control , control , control , control , control , control , control , control , control , control , control , control , control , control , control , control , control , control , control , control , control , control , control , control , control , control , intervention , intervention , intervention , intervention , intervention , intervention , intervention , intervention , intervention , intervention , intervention , intervention , intervention , intervention , intervention , intervention , intervention , intervention , intervention , intervention , intervention , intervention , intervention , intervention , intervention , intervention , intervention , intervention , intervention , intervention , intervention , intervention , intervention , intervention , intervention , intervention , intervention , intervention , intervention , intervention , intervention , intervention , intervention , intervention , intervention , intervention , intervention , intervention , intervention , intervention , 0.195543856801477 , 0.782275319812624 , 0.209931155899945 , 0.134796059477407 , -0.0930325959890016 , 0.594935895798232 , 0.300265109458618 , -0.247602191269783 , -1.16721389431497 , 0.449895432398195 , 0.946377369754309 , 0.080414662648264 , -0.0244640311930229 , 0.569889885984641 , 0.259561471471651 , 0.825418600857363 , 0.395815049083516 , -1.19836330107109 , -0.362019096949052 , -0.0640915508744736 , 0.666808647963642 , 0.353123563666059 , -0.380544325788974 , 0.103100877175612 , 0.136652925724535 , 0.442205386195945 , 0.227048519103666 , 0.0177871418602699 , 0.241588274291025 , 0.318641186852873 , 0.391605269627333 , -0.399878540293333 , -0.305981684325961 , -0.497020307832565 , -0.0624608229624789 , 0.0229402203671335 , 0.0893518781012208 , 0.0764637876108591 , -1.00657492488134 , -0.0896212224580993 , -0.233430970508586 , 0.150257765441317 , -0.253510963292937 , 0.41099444797255 , 0.191471943337294 , 0.185807935718341 , 0.690688210839314 , 0.585984961541061 , 0.267223893613437 , -0.135561404521432 , 0.115719445343163 , 0.171811204768513 , 0.727292772918601 , 0.0204700284795648 , 0.186759210767854 , -0.72064733650086 , -0.241121916461323 , -0.262432950407034 , -0.409138987610382 , -0.607255389799088 , 0.441130678203825 , -0.546584842315693 , -0.497257030904069 , 0.156903507853071 , 0.250441981747563 , -0.438894885169697 , 0.851255233367194 , -0.68334576156022 , 0.572063945943312 , -0.559930581664629 , -0.428043461552534 , -0.850295644894993 , 0.0427414551091152 , 0.44753789723897 , -0.0340671826696765 , -0.562228456592219 , -0.19731974052214 , 0.937822959319993 , 0.140807007090197 , 0.655407393512463 , 0.45021605180224 , -0.71371901001084 , -1.40527239484728 , -0.00506150786555985, -0.494265580428273 , -0.714251552732274 , 0.372230452323994 , -0.164816033799051 , 0.317497010231704 , -0.337882351016966 , -0.618550698509125 , 0.204378792845239 , -0.0263812028020461 , -0.105938159916893 , 0.318372027116693 , -0.359020770648933 , -0.0886329868793641 , -0.565550552703136 , -0.0514912803083137 , -0.139123129089616 | 0.0325203 |
| 89 | 50 | 0.0 | 0.0 | 1.0 | control , control , control , control , control , control , control , control , control , control , control , control , control , control , control , control , control , control , control , control , control , control , control , control , control , control , control , control , control , control , control , control , control , control , control , control , control , control , control , control , control , control , control , control , control , control , control , control , control , control , intervention , intervention , intervention , intervention , intervention , intervention , intervention , intervention , intervention , intervention , intervention , intervention , intervention , intervention , intervention , intervention , intervention , intervention , intervention , intervention , intervention , intervention , intervention , intervention , intervention , intervention , intervention , intervention , intervention , intervention , intervention , intervention , intervention , intervention , intervention , intervention , intervention , intervention , intervention , intervention , intervention , intervention , intervention , intervention , intervention , intervention , intervention , intervention , intervention , intervention , -0.71216811746773 , -0.524431843704325 , 1.25501341296857 , 2.00871029729319 , -0.253710864326659 , -0.7364122992021 , -1.10298957015566 , -0.964163319085403 , 0.28794586184524 , -0.650957556532032 , 0.776588856666825 , -1.82125836896796 , 0.585846601771307 , 1.0632542140051 , -0.0707659464726109, -0.0348686881950822, 0.31845475205667 , -0.35831801697242 , 0.104188740912917 , -0.602516075027445 , -0.014642860586081 , -2.12149086775483 , 0.888852407033647 , 1.35922444072188 , -0.278904217659771 , 0.477171286352851 , -0.120592441585542 , 0.206477956194463 , 0.110119968010671 , -0.396738033378737 , 0.780557087820269 , 0.502336101962609 , -1.06172936366406 , -1.27869585385832 , 1.98726800269721 , 0.966535776172073 , -0.421317585740735 , -0.986390116627035 , 1.1667310102994 , -0.733979297967048 , -0.31072849979702 , -0.384470984951903 , 0.982179665877386 , 1.38003132293942 , -0.517681512475657 , -1.14158255373615 , -1.16633219273834 , 0.761244259074642 , 0.116495487564278 , -1.57032326267958 , -0.15532610007095 , 1.408924992052 , -0.746347927655323 , -0.99305324694485 , 1.03458852532397 , 0.364990834619832 , 0.281106268950619 , 1.88294459377761 , 0.998033908935715 , -0.594865245948722 , 0.309646502663814 , -1.82653356940669 , -0.715526932417435 , -0.946537815820612 , -0.20864271685359 , -1.30434888597497 , -1.02181720343742 , 1.63325575774159 , -1.18402155757551 , -1.87542816531657 , -0.371938771341339 , -1.30627408634909 , 1.7772677289934 , 1.55852306195199 , 2.70497145158562 , -0.0780750233253088, 1.23220780000176 , -0.0652042383911052, 0.290977329284107 , 0.37071784971386 , -0.106757188578555 , -0.413755315706156 , 1.94208194362804 , 0.509977982182182 , 0.31584396308132 , -0.570691646947884 , 1.0824874441363 , 0.280471590939333 , 0.252235162407194 , -0.532559708939259 , 0.994507451134709 , -1.61633567805672 , -0.228698593005558 , 0.545075062144424 , 1.66989231809429 , -2.05184632879801 , -0.0775194222502996, 0.766347779717085 , -1.11217453821304 , -0.15735907065595 | 0.5488902 |
| 89 | 50 | 0.0 | 0.1 | 0.5 | control , control , control , control , control , control , control , control , control , control , control , control , control , control , control , control , control , control , control , control , control , control , control , control , control , control , control , control , control , control , control , control , control , control , control , control , control , control , control , control , control , control , control , control , control , control , control , control , control , control , intervention , intervention , intervention , intervention , intervention , intervention , intervention , intervention , intervention , intervention , intervention , intervention , intervention , intervention , intervention , intervention , intervention , intervention , intervention , intervention , intervention , intervention , intervention , intervention , intervention , intervention , intervention , intervention , intervention , intervention , intervention , intervention , intervention , intervention , intervention , intervention , intervention , intervention , intervention , intervention , intervention , intervention , intervention , intervention , intervention , intervention , intervention , intervention , intervention , intervention , -0.090171961705882 , 0.48316227493498 , -0.124121332219047 , 0.38362890645965 , -0.217408781091232 , 0.842147052763205 , 0.178689997471328 , -0.371398540501241 , 0.0899007291562615 , 0.0156046676109551 , 0.916925887948262 , 0.192142056929791 , 0.462324479479416 , 0.701026713158135 , -0.472621940776654 , -0.276063058467663 , 0.532381657132302 , 0.0855594482663308 , 0.197461384481728 , 0.5758969479319 , -0.476320556786801 , -0.248216558034238 , 0.380260377754666 , 0.272862498137005 , -0.664738109330991 , -0.130008991679068 , 0.543099885685886 , 0.533640553249998 , -0.642506069729252 , 0.670361494130826 , -0.634686283036718 , 0.165861260099477 , 0.523957360351254 , -0.144360880353149 , 0.169106834679574 , 0.765986229778137 , -0.00844257762784902, -0.506435659401175 , 0.117095114651987 , 0.120232000232963 , 0.215905451612067 , 0.156334028602052 , 0.462571165418499 , 0.388944641692241 , 0.316404534052626 , -0.0768749543591615 , 0.893077096456486 , 0.219046975330263 , -0.618774558919702 , 0.695160338320689 , 0.204785348557476 , 0.0622755620403989 , -0.115798804997009 , 0.769610217990591 , -0.371093356613258 , 0.096877217689151 , 0.931226862726716 , -1.35373180187665 , 0.0970740176698016 , 0.36615489117847 , -0.0118700043706411 , -0.0391924228085994 , -0.188036909984922 , -0.09394328446101 , -0.27914337067137 , 0.100394403205336 , 0.564700445139542 , 0.0477033267380589 , -1.08910708174722 , -0.62187280394584 , -1.02418572867981 , -0.40968937900707 , 0.628910590397732 , 0.493282927807133 , 0.479795397233034 , 0.280244441133097 , -0.0130682279636994 , -0.108636809240185 , 0.659199264403941 , 0.389973525083915 , -0.429351739007956 , 0.0579972920993326 , 0.977926773828915 , 0.413453497156432 , -0.26668169415957 , 0.729322634821676 , -0.0833350355567139 , 0.125245987663138 , -0.272087427008677 , -0.370108605621024 , 0.575864524646326 , -0.957271429935664 , 0.537488562271737 , 0.454740997920627 , -0.0776461983383665 , -0.193939128891269 , 0.188459169038794 , -0.749532612937065 , -0.176239183945265 , 0.236441046454118 | 0.1810927 |
| 89 | 50 | 0.0 | 0.1 | 1.0 | control , control , control , control , control , control , control , control , control , control , control , control , control , control , control , control , control , control , control , control , control , control , control , control , control , control , control , control , control , control , control , control , control , control , control , control , control , control , control , control , control , control , control , control , control , control , control , control , control , control , intervention , intervention , intervention , intervention , intervention , intervention , intervention , intervention , intervention , intervention , intervention , intervention , intervention , intervention , intervention , intervention , intervention , intervention , intervention , intervention , intervention , intervention , intervention , intervention , intervention , intervention , intervention , intervention , intervention , intervention , intervention , intervention , intervention , intervention , intervention , intervention , intervention , intervention , intervention , intervention , intervention , intervention , intervention , intervention , intervention , intervention , intervention , intervention , intervention , intervention , 0.714350273064544 , 0.148562997112903 , -0.333494534357496 , -0.227044720980872 , 1.2725262265502 , 0.761108527987877 , -1.13267669632337 , -0.0952393295094203, -1.60552138856737 , 0.266217880375197 , 1.02012398871039 , -0.590465746314115 , -0.482227645494633 , -1.02595878329969 , 2.43661222782955 , -2.26268818320431 , 1.39699002635211 , 0.206105564033718 , -0.0789486201461732, 0.600787382291416 , 0.192680705766568 , -0.534798164378166 , -1.36965717973926 , -0.215634514290802 , -1.1041325793248 , -1.37474225366457 , -0.329108184652221 , 0.10084759755198 , -0.948483156266854 , 0.316731327025234 , -0.0753654426569495, -1.30843247764161 , 1.74553593597868 , 1.03846789322167 , 0.387954793480952 , 1.17058003101923 , 0.177262102583941 , 2.61912141900509 , -0.801434686838102 , 1.37628365329085 , 1.43309101539775 , 0.635033906707086 , 0.690827850535269 , 0.579739369277013 , 1.59780708982752 , 0.197165674059073 , -1.94957288828798 , 1.54137745921873 , -0.488096671196743 , -0.496517041325519 , -0.842936015475058 , 0.731851161791826 , 0.593741151024726 , -0.781497638877768 , -0.603623604076767 , -1.47586223651649 , 1.27711300272035 , -0.394793107971464 , 0.843924047357239 , 1.2513923427949 , -0.453120987550114 , 0.802898124760211 , 3.24617360513516 , 1.54587964455251 , -0.409022357057497 , -0.95913776027837 , -0.388131137770879 , 1.40280934030059 , 0.622577746771823 , -1.28746187889661 , -0.1781077527873 , -0.0708585433184248, -0.471298967833027 , -1.77013072874888 , -0.320627009501266 , 1.8032214646798 , -0.452153418784968 , 1.38972806238255 , 0.926530176395491 , 0.407143345212354 , -0.197560759320163 , -0.424681361930827 , 0.0834153466195512 , 0.908411458887173 , -0.0407605334971731, -0.0931061951000945, 0.501872329960513 , 1.31347100721705 , -0.623862039053297 , 0.179224033920171 , -0.129458187507133 , -0.502146436845696 , 0.292695663428193 , -0.375248803150832 , 0.811735070094067 , 1.36768623776699 , -3.56158411750492 , -0.56837449414734 , -0.0459446534633876, 1.59515003085197 | 0.9502477 |
| 89 | 50 | 0.5 | 0.0 | 0.5 | control , control , control , control , control , control , control , control , control , control , control , control , control , control , control , control , control , control , control , control , control , control , control , control , control , control , control , control , control , control , control , control , control , control , control , control , control , control , control , control , control , control , control , control , control , control , control , control , control , control , intervention , intervention , intervention , intervention , intervention , intervention , intervention , intervention , intervention , intervention , intervention , intervention , intervention , intervention , intervention , intervention , intervention , intervention , intervention , intervention , intervention , intervention , intervention , intervention , intervention , intervention , intervention , intervention , intervention , intervention , intervention , intervention , intervention , intervention , intervention , intervention , intervention , intervention , intervention , intervention , intervention , intervention , intervention , intervention , intervention , intervention , intervention , intervention , intervention , intervention , 0.110988261547583 , 0.114257836197377 , 1.22301902841174 , 0.396900090132987 , 0.204280859195989 , -0.132619217088627 , -0.232480143387353 , -0.163137998424141 , -0.807498484985028 , -0.202282958350068 , 0.63281195929774 , 0.299074844230879 , -0.289346795956969 , 0.304784668079427 , 0.0679616068373547 , 0.969304171006788 , -1.24635383454663 , -0.230598604787133 , 0.522964695810804 , 0.266080215443894 , -0.418517281038601 , 0.655961252913576 , 1.02034796799599 , 0.593359353112969 , -0.33951376966981 , 0.0582123085907848 , -0.458820252668518 , 0.132318891135165 , -0.457718553012122 , -0.151652344428065 , 1.08322315706446 , 0.0770236676195596 , 0.0565282827934913 , -0.746176729501998 , -0.771276972880416 , -0.356238071778992 , 0.839734788568449 , 0.467189571656347 , 0.603870732073386 , -0.327653044126268 , 0.398203156989004 , -1.0997978648255 , -0.543784335319683 , -0.215569624233812 , -0.250312713513876 , -0.150883448072565 , 1.2131193711236 , -0.263694315585666 , 0.849375397170667 , -0.257433448693261 , -0.0547837234297589 , 1.11136034793933 , 0.768699903763412 , 0.900967324902894 , 0.484901160918762 , 1.24862685058724 , 0.638289001204441 , 0.437871970618414 , 1.47727089962205 , 0.23911312997469 , 1.05408785333922 , 0.203961505099932 , -0.889332493373552 , 1.02041927204383 , 0.960739534805822 , -0.154125368661363 , -0.572930749572319 , 0.578048770238576 , 0.486183811611866 , 0.676495994418714 , 0.167020906777011 , 1.83390480828765 , 0.42128615917544 , 0.862848958456627 , 0.25270459312487 , -0.0967623983050744 , 0.0561788644184876 , -0.042746302929432 , 0.0575654755461123 , 0.248425895161399 , 0.780297547339762 , 0.311991715275823 , 1.35415137733316 , -1.06190038699924 , 0.493658167847617 , 0.40956110736172 , 0.419484361112402 , 0.162574916034042 , 1.19676472611004 , -0.00853998594605321, -0.0634046002893056 , 0.577788651611185 , 1.57802049440722 , -0.755779980102613 , 0.815801559611072 , -0.0261005866829294 , 1.08477806084617 , 1.13231737602819 , 0.570999804555963 , 1.26389560428823 | 0.0005320 |
| 89 | 50 | 0.5 | 0.0 | 1.0 | control , control , control , control , control , control , control , control , control , control , control , control , control , control , control , control , control , control , control , control , control , control , control , control , control , control , control , control , control , control , control , control , control , control , control , control , control , control , control , control , control , control , control , control , control , control , control , control , control , control , intervention , intervention , intervention , intervention , intervention , intervention , intervention , intervention , intervention , intervention , intervention , intervention , intervention , intervention , intervention , intervention , intervention , intervention , intervention , intervention , intervention , intervention , intervention , intervention , intervention , intervention , intervention , intervention , intervention , intervention , intervention , intervention , intervention , intervention , intervention , intervention , intervention , intervention , intervention , intervention , intervention , intervention , intervention , intervention , intervention , intervention , intervention , intervention , intervention , intervention , -1.80281688794173 , 0.591030866685386 , -1.59692267562145 , 0.41008241577074 , -0.249386815431779 , -1.0228544331513 , -1.69351944324668 , 0.35219987640481 , -0.322464225936423 , 0.64619725928098 , -1.0667221265042 , -2.08149464331246 , 0.231076436243357 , -0.155425177757904 , -0.862061198683109 , 0.484065202891829 , 0.131948112810933 , -1.36558038018449 , 0.255023037727989 , 0.102659048046281 , 0.331327822600063 , 2.0371672924354 , -0.666291346315793 , -0.451693815184542 , -0.0213158802633875, -1.36717385307821 , 0.665244145595613 , 0.329498049772425 , -0.116815192318694 , -1.78072055330901 , 0.24954488445356 , -1.70990332266356 , -0.0800664307203029, 0.874291818483427 , -0.468548395787524 , 1.63677671796373 , 0.305279418788216 , -0.314690021234137 , -2.08977265994478 , 0.456794633980959 , 0.0354116862207461 , -0.889294312564124 , -1.09628860866946 , 0.214192807438659 , -2.24437154132493 , 0.75401557867926 , 1.10580638514687 , -0.144405174617726 , -1.81571914368489 , -0.530509566962105 , 1.6947090118609 , 0.581382005179603 , 0.580107299106089 , 0.983162696691289 , 0.599531892143166 , 0.700441995353125 , 1.12889130884732 , -1.01800641844438 , 1.37845702832955 , 1.3140721498226 , 1.25317445000547 , 0.725088623851266 , 0.851655313404405 , 1.3153945763482 , 0.507259762362117 , -0.685333326863161 , -0.967347916241184 , -1.54309837739374 , 2.76969300336604 , 0.953521199384866 , 2.63176643765841 , 0.415238988923581 , -1.37492406108569 , 0.293655014783915 , 2.09197053563021 , 1.26668383075906 , -1.10973282768989 , -0.525851210806629 , -0.0411432550232104, 0.0388173267314034 , -0.283546005078404 , -0.940827493667183 , 2.5651063182104 , 1.34909940455279 , -0.184468500886864 , 1.67540856515367 , 3.68776289901348 , -0.990792421401411 , 1.61088530091257 , -0.0865816233205792, -0.985083064286731 , -0.480061487974747 , -0.0910919245414271, 0.981960137572251 , 0.437032196776441 , 1.23573051590692 , 0.512851512730065 , -0.44087169669266 , 0.397709743564467 , 1.52894213322301 | 0.0000889 |
| 89 | 50 | 0.5 | 0.1 | 0.5 | control , control , control , control , control , control , control , control , control , control , control , control , control , control , control , control , control , control , control , control , control , control , control , control , control , control , control , control , control , control , control , control , control , control , control , control , control , control , control , control , control , control , control , control , control , control , control , control , control , control , intervention , intervention , intervention , intervention , intervention , intervention , intervention , intervention , intervention , intervention , intervention , intervention , intervention , intervention , intervention , intervention , intervention , intervention , intervention , intervention , intervention , intervention , intervention , intervention , intervention , intervention , intervention , intervention , intervention , intervention , intervention , intervention , intervention , intervention , intervention , intervention , intervention , intervention , intervention , intervention , intervention , intervention , intervention , intervention , intervention , intervention , intervention , intervention , intervention , intervention , 0.717308754551611 , -0.629624549627278 , 0.203725132432114 , -0.652086644091944 , -0.348998723827541 , -0.989973579830764 , -0.204378579815085 , 0.0140388597095847 , 0.228233311267042 , -0.199751302486474 , 0.214155825081755 , -0.175386191264543 , -0.155521227349221 , -0.440864796410306 , 0.820783132558983 , 0.713466376588206 , -0.250883384469748 , -0.250010097759665 , -0.715391670337021 , 0.133574413837054 , -0.108058031912019 , -0.17140439349841 , 0.127999728943966 , 0.332782159619666 , 0.574623337645248 , 1.09742989584879 , -0.385828601664302 , 1.15237347702315 , 0.401406694261434 , -0.805924694070238 , -0.549874586139042 , 0.109379620584441 , 0.643368811998129 , -0.191212051321543 , 0.558875114435767 , -0.965620296724998 , -0.256067572299966 , 0.343868894832737 , -1.30513174889729 , 0.307310997929095 , 0.390130184271861 , -1.16378199720253 , -0.874786550226103 , 0.0699420707969968 , -0.6901339852698 , -0.218123275817988 , 0.371016974496121 , -0.037975921743369 , -0.609034459698896 , -0.412374622651382 , 0.849757970675413 , 0.985160009092252 , 0.585170772834543 , 1.27489036643737 , 1.03491811968525 , 0.844569618851714 , 0.418795800672121 , 0.0958033035462089 , 0.642271803517226 , 1.06867560150928 , 0.901791289236125 , 0.949180636710234 , 0.658273649377296 , 0.599638590361492 , 1.2202065368317 , 0.974676226020123 , 0.820870119070714 , -0.0808686024358728, 0.934410566389186 , 0.0280356807375454 , 0.693650979375341 , -0.170785250906854 , 2.07739639816333 , 0.322610320663112 , 1.31017094837278 , 0.434209925691588 , -0.163624563343911 , 0.0293476506939133 , 1.29183429168309 , 0.794774740437466 , 0.757348271798988 , 0.295723063912721 , 0.511596019231678 , 0.563309377618016 , 0.93721011669272 , 0.10619240948687 , 0.751832230172821 , 1.65012088147348 , 0.22270256369117 , 0.919368359755459 , 1.19834184389671 , 0.530577125408816 , 0.687493251282649 , 0.165836039276496 , -0.518549465154923 , 0.203148529981795 , 0.485557639484775 , 0.270722895455236 , 0.0622101048552292 , 0.59985909530077 | 0.0000000 |
| 89 | 50 | 0.5 | 0.1 | 1.0 | control , control , control , control , control , control , control , control , control , control , control , control , control , control , control , control , control , control , control , control , control , control , control , control , control , control , control , control , control , control , control , control , control , control , control , control , control , control , control , control , control , control , control , control , control , control , control , control , control , control , intervention , intervention , intervention , intervention , intervention , intervention , intervention , intervention , intervention , intervention , intervention , intervention , intervention , intervention , intervention , intervention , intervention , intervention , intervention , intervention , intervention , intervention , intervention , intervention , intervention , intervention , intervention , intervention , intervention , intervention , intervention , intervention , intervention , intervention , intervention , intervention , intervention , intervention , intervention , intervention , intervention , intervention , intervention , intervention , intervention , intervention , intervention , intervention , intervention , intervention , 0.76796808220557 , 0.397957044709289 , 0.218395167242281 , -1.68677638884729 , 1.86773592291634 , 0.789962880522082 , -0.0351206947725146, -1.57404912369476 , 1.6249073933048 , -1.39858110223726 , -0.0697017297960069, 1.97102154044792 , -0.159804356748575 , 0.0822749422132466 , -0.342855963510484 , -1.53221315217569 , 0.7723939805958 , -0.625463411726266 , -0.698173036650898 , 2.30654020195153 , 1.19313278436307 , -0.9295186327134 , -1.17335044471529 , 0.291761601880898 , 0.83301501813612 , -0.808480431246101 , 1.12956370353837 , -0.775964670514584 , 0.135552947928566 , 0.0258561769621843 , -1.72602552750951 , 0.697502702279086 , -0.889395450961161 , 0.179138972192288 , 0.420904692730256 , 0.393732558000437 , 0.770297116798049 , -0.393453138779079 , 0.65317865799905 , 2.47164129878382 , 0.0278481688556948 , -0.125830811360963 , 1.25524753288379 , -1.35475745432038 , 0.504543822606166 , 0.770439052091128 , 1.32701092464062 , -0.233138856334432 , 0.253397561344283 , 0.315458705119493 , -1.0840376618178 , 0.629708873775995 , 1.52949471739734 , 1.52392494923598 , 0.423407594407695 , -0.838699021735498 , -0.710352841642523 , 1.07766333828924 , 1.56297188996689 , -1.43102232171349 , 1.66704430506155 , 0.118616866848485 , 1.42827454319649 , 2.39213576434994 , 0.378887259162859 , 0.0803445131004414 , 0.879304700662761 , 1.38249146031361 , -0.693743690442802 , 1.55447098261983 , -2.17398328226662 , 0.0279167423544628 , 0.222827042991834 , -2.22194036710698 , -0.162928222305662 , 0.570173977342077 , -1.66367513825024 , 1.68757498468621 , 1.40589485847793 , 1.31222296447561 , 1.6272780714614 , 0.238604136273816 , 1.77440579579001 , 0.236357657561532 , 0.565342349407904 , 1.80712635787926 , -0.562202171341853 , 0.792513023013387 , 0.981790618204965 , 1.96596143088508 , -1.2285889285794 , 0.979648151025601 , 0.832004514012178 , 0.522978268286348 , 1.64211532342948 , 0.784748578998323 , -0.739023308369933 , -0.441436988812332 , 0.402347552416091 , -0.171668270938691 | 0.1670533 |
| 90 | 20 | 0.0 | 0.0 | 0.5 | control , control , control , control , control , control , control , control , control , control , control , control , control , control , control , control , control , control , control , control , intervention , intervention , intervention , intervention , intervention , intervention , intervention , intervention , intervention , intervention , intervention , intervention , intervention , intervention , intervention , intervention , intervention , intervention , intervention , intervention , 0.124571313628019 , -0.455464358674601 , -1.03192758438756 , -0.386718982577972 , 0.205603723811663 , 0.28576253170194 , 0.293223321138466 , -0.774152251348986 , -0.875433614133654 , 0.0256678200576265 , 0.304588228174474 , 0.320523935829765 , 0.941923803855422 , 0.0784731553651145 , 0.299588922311539 , -0.631613670515306 , -0.0729666584690458, -0.064369404227891 , -0.0251851749145513, 0.826798709567233 , 0.406099424565295 , 0.811188156063077 , -0.417984594562139 , 0.00740323538594711, -0.604587839549278 , 0.426133564446466 , -0.533958277966679 , 1.21326703284909 , -0.334629095917209 , -0.13740025616192 , -0.0490164442289563, 0.276156579481901 , 0.896001750003238 , 0.170458461492757 , -0.140298898359825 , 0.302858749461974 , 1.38567588174865 , 0.392155126833983 , 0.834460885640382 , -0.349802721736368 | 0.1472032 |
| 90 | 20 | 0.0 | 0.0 | 1.0 | control , control , control , control , control , control , control , control , control , control , control , control , control , control , control , control , control , control , control , control , intervention , intervention , intervention , intervention , intervention , intervention , intervention , intervention , intervention , intervention , intervention , intervention , intervention , intervention , intervention , intervention , intervention , intervention , intervention , intervention , 0.534425314450485 , -0.150662805815701 , -0.638486685417223 , 1.07989408690068 , 1.48876396560977 , -0.978092625175912 , -1.58999353596054 , -0.916386423180626 , -1.38207039025931 , -2.56540458257044 , -0.451162692060491 , -0.518527428725801 , -1.02594839217687 , -0.240007592670311 , -1.40354200229741 , -2.22395146821626 , -0.896619913387914 , 0.564618310741766 , -1.06759711973587 , 0.0739808508004282 , -0.999665689266248 , -0.214537724847826 , -0.822708857518431 , 1.60742741817918 , 0.700109864113452 , 0.083237688539444 , 0.33158237202893 , -0.272634975509472 , 0.929602388216195 , 1.12062291454008 , 0.588713738963076 , 0.257028767435258 , 0.607192630692616 , -1.03912517653461 , 0.873732827513116 , 0.075120912145887 , -0.0865816827492575, 0.29436466165353 , 0.0615509174771989 , -0.500059182242392 | 0.0070012 |
| 90 | 20 | 0.0 | 0.1 | 0.5 | control , control , control , control , control , control , control , control , control , control , control , control , control , control , control , control , control , control , control , control , intervention , intervention , intervention , intervention , intervention , intervention , intervention , intervention , intervention , intervention , intervention , intervention , intervention , intervention , intervention , intervention , intervention , intervention , intervention , intervention , 0.202060246480328 , 0.329606259700615 , 0.582267628731913 , 0.199769982979002 , 0.0875580832719724 , 0.148611155129492 , -0.0304227335333241, 0.0909318099737292 , -0.0959241874881578, 0.736071693104991 , 1.0569425883142 , -1.33255271442813 , -0.126608567150303 , -0.339320442213279 , 0.49977709062083 , -1.13340891340999 , 0.799145723332137 , 0.0224510613834718 , -0.153128604713835 , 0.390192080807968 , -0.73661597140407 , -0.0595337737956898, 0.146040864143208 , -1.02926841900296 , -1.06842173700171 , -0.606903103375031 , -0.62952063629215 , -0.178459277478509 , 0.277307358114022 , 0.432347808026646 , 0.223391333574694 , 0.00920556700756327, -0.491595320628794 , 0.773610912979716 , -0.965646785490008 , 0.0757911128055266 , -0.288268783144792 , -0.54465248457378 , -0.552257616457502 , -0.569771064224556 | 0.0311787 |
| 90 | 20 | 0.0 | 0.1 | 1.0 | control , control , control , control , control , control , control , control , control , control , control , control , control , control , control , control , control , control , control , control , intervention , intervention , intervention , intervention , intervention , intervention , intervention , intervention , intervention , intervention , intervention , intervention , intervention , intervention , intervention , intervention , intervention , intervention , intervention , intervention , -1.27217709712799 , -1.7281716345187 , -1.08708388062087 , 0.149243530892126 , -0.463403704564117 , -0.95513810616612 , -0.820837484324543 , -0.924374127950751 , -0.42157798440407 , -1.07976757298225 , 0.194802725049424 , -1.40544738950441 , 0.921070376340736 , 0.539908949016316 , -1.22034364888833 , 0.740707180959983 , -1.67729410578851 , -1.0400126342259 , -0.69328509949172 , -1.09349200061733 , 0.86684101615086 , 0.861443939172584 , -0.262088360233219 , -0.648484124890596 , -1.50073414485514 , 2.89375633844473 , -0.276879635355939 , 2.13461464339767 , 0.585358273271104 , 1.06806326071285 , 3.34228389861339 , -0.0146382729462387, -0.302433940298149 , 0.414870404601427 , 0.492124005727602 , 0.825508902123092 , -1.84061291283063 , 0.730541712222545 , -0.934349274459729 , -0.981721078572505 | 0.0047948 |
| 90 | 20 | 0.5 | 0.0 | 0.5 | control , control , control , control , control , control , control , control , control , control , control , control , control , control , control , control , control , control , control , control , intervention , intervention , intervention , intervention , intervention , intervention , intervention , intervention , intervention , intervention , intervention , intervention , intervention , intervention , intervention , intervention , intervention , intervention , intervention , intervention , -0.544370522779414 , 0.130519607765826 , -0.377951797681923 , 0.814736780609319 , -0.066513795148667 , 0.49511067479841 , -0.154232733775642 , -0.135644441016011 , -0.484719725777287 , 0.325628508369284 , 0.65597351880045 , 0.69894583350729 , 0.0829349142222531 , 0.437911003951195 , -0.104277087384118 , 0.123748193821305 , 0.159163543629999 , 0.693471943553983 , -0.398869876962778 , 0.163396885122479 , 0.305360866524067 , 0.101630071191625 , 0.434692803704744 , 0.752816876534038 , 1.13158489983236 , -0.170465162094949 , 0.705725819630192 , 1.22830081619996 , 0.580933850705873 , 0.373274675755745 , 0.726305213265154 , 0.766689441305425 , -0.0771385102195737, 0.71885607486676 , 0.11222062910849 , 1.19816470249981 , 0.707949167226782 , 0.394122550660898 , 0.82377199697332 , 1.10477610069972 | 0.0008918 |
| 90 | 20 | 0.5 | 0.0 | 1.0 | control , control , control , control , control , control , control , control , control , control , control , control , control , control , control , control , control , control , control , control , intervention , intervention , intervention , intervention , intervention , intervention , intervention , intervention , intervention , intervention , intervention , intervention , intervention , intervention , intervention , intervention , intervention , intervention , intervention , intervention , 0.280963576182481 , -1.28020629952314 , -0.853192351170209, 1.82809009581001 , -2.5075153111164 , -1.22987904596141 , 0.958064003211918 , -2.68660800827258 , -0.812803105968002, -1.50556234804174 , -0.571592668893521, -1.13559357455631 , -0.469367408492355, 0.0537036819419852, 0.816466215534039 , -0.467510458803281, 1.60729301105898 , -0.677601851926914, 0.256925546571919 , -0.739432833094272, 1.40298080373494 , 0.230612613743856 , 0.147003191369745 , 1.1728258950739 , 2.48355525141849 , 0.279232282410468 , 0.494297377473995 , -0.432060021452954, 2.13896720365693 , 1.47104117325603 , 0.489656928940504 , -0.601189443382286, 2.19579980292365 , 0.10264882062736 , 0.613718763983477 , 3.29543466676817 , 1.17275008399364 , 0.546933186639938 , 0.249972686362808 , -0.113872375144646 | 0.0005700 |
| 90 | 20 | 0.5 | 0.1 | 0.5 | control , control , control , control , control , control , control , control , control , control , control , control , control , control , control , control , control , control , control , control , intervention , intervention , intervention , intervention , intervention , intervention , intervention , intervention , intervention , intervention , intervention , intervention , intervention , intervention , intervention , intervention , intervention , intervention , intervention , intervention , -0.521887805450096 , 0.0942308934639469 , 0.104413358920726 , 0.199638673520499 , -0.514712705451044 , 0.852291329583096 , 0.677310756908067 , -0.0907974684856882, 0.0941483778462976 , 0.315539506060402 , 0.312160445771362 , -0.68404278121015 , -0.317775077782353 , 0.355852729927579 , -0.680653748815486 , 0.248819473738964 , -0.448215391010212 , 0.787770547768661 , 0.10916321220576 , 0.070250643418012 , 0.265522201580102 , 0.978215049274361 , 0.824649244307044 , 0.880698307249706 , 1.20038528603028 , 1.17534651529069 , 0.591845343167533 , 0.323375405258691 , -0.0794285450734246, 0.603110595498068 , 0.469454936570838 , 0.642369762615952 , 0.542224260283211 , 0.592653393063401 , 0.537504726803496 , 0.464183705953855 , -0.636880605558293 , 1.13401400237035 , 0.360312128478975 , 0.509965703922168 | 0.0006800 |
| 90 | 20 | 0.5 | 0.1 | 1.0 | control , control , control , control , control , control , control , control , control , control , control , control , control , control , control , control , control , control , control , control , intervention , intervention , intervention , intervention , intervention , intervention , intervention , intervention , intervention , intervention , intervention , intervention , intervention , intervention , intervention , intervention , intervention , intervention , intervention , intervention , -0.114804633939345 , -0.181820172375528 , 0.90561691014376 , -0.312478861628114 , 1.3285937014314 , -0.120385596292857 , 1.2752260501897 , -0.910154021816566 , 1.49312476535174 , 1.24614412994521 , -0.785174560410967 , -0.24748735466892 , -0.334743047154792 , 0.790675322680773 , 0.439313259788124 , -0.458055734089792 , -0.698173331904985 , 1.14315218371458 , 0.816948604197214 , 0.595848873985869 , 0.156368297269922 , 0.317974141047074 , 0.00143390854506831, 0.611867504923893 , -0.821263685589181 , -0.428843697733257 , 2.88932148562235 , 1.01991840991743 , 0.391320950022852 , -0.158382182451876 , -1.06740693203084 , 1.13244971152013 , 1.837560883615 , 0.253841792387735 , -0.38075253974989 , 1.57856416942167 , 0.802252276596567 , 0.682173142044722 , -0.440437484147713 , -0.355004046374374 | 0.7016970 |
| 90 | 50 | 0.0 | 0.0 | 0.5 | control , control , control , control , control , control , control , control , control , control , control , control , control , control , control , control , control , control , control , control , control , control , control , control , control , control , control , control , control , control , control , control , control , control , control , control , control , control , control , control , control , control , control , control , control , control , control , control , control , control , intervention , intervention , intervention , intervention , intervention , intervention , intervention , intervention , intervention , intervention , intervention , intervention , intervention , intervention , intervention , intervention , intervention , intervention , intervention , intervention , intervention , intervention , intervention , intervention , intervention , intervention , intervention , intervention , intervention , intervention , intervention , intervention , intervention , intervention , intervention , intervention , intervention , intervention , intervention , intervention , intervention , intervention , intervention , intervention , intervention , intervention , intervention , intervention , intervention , intervention , 0.34371399408016 , -0.107403036580771 , -0.0363963529013111, -0.29783038444935 , 0.0505997346716425 , -0.508267258625378 , 0.267093446270366 , -0.39435524428357 , 0.0295432122295011 , -0.0564237323629436, -0.109055507190326 , -0.94446899552907 , 0.358670291220205 , 0.18945797525451 , -0.506234683200362 , -0.062114702300167 , 0.424265896172299 , 0.345945051228161 , 0.135790864492341 , 0.062866464011065 , -0.0557241803179489, 0.641691881777132 , -0.105271249925653 , -1.41519279259939 , 0.349752562783814 , -0.526933515096298 , 0.170177994384647 , 0.029986283818572 , -0.545814130086068 , 0.469530503482977 , -0.0201373616965583, -0.224175424136597 , -0.794359880487103 , -0.570410368351775 , -0.139659579474112 , -0.612965983051443 , 0.703186027110651 , 0.343224423150424 , 0.5718086835415 , 0.348268030888584 , -0.0912437341709423, 0.324230829218253 , 0.456223041941732 , 0.164164115799821 , -0.135141586766054 , -0.146371286533274 , 0.0622149371924874 , -0.343761302724865 , -0.756928384974207 , 0.0325539217197931 , 0.139667064062498 , 0.589082731935387 , -1.03831500017002 , 0.118155207867032 , -0.199527553658365 , -0.0664685435143052, -0.196971452224759 , 0.428631757120478 , 0.651383971259043 , -0.146856110485333 , -0.535812316881594 , 0.173037696352622 , -0.658621255552662 , 0.272202497663697 , 0.80040248970388 , -0.57327846283489 , 0.562746527358559 , 0.620881784141231 , 0.150712164867264 , 1.12764290494665 , -0.448173043904175 , -0.42908285457878 , -0.205348508915327 , -0.433616705838876 , 0.0702661969958898 , -0.392466210297269 , 0.242486526907045 , -0.137931659526142 , -0.934352913882787 , -0.600488341416142 , 0.403437448669352 , -0.364181384360835 , -1.03261035671489 , 0.0134183454286292 , -0.323940155670714 , 0.321629448937062 , 0.23126778968869 , 0.446866581674057 , -0.0969467604477545, -0.606462127201732 , -1.05245647376186 , -0.197018888310541 , 0.287692951734285 , -0.0631604423478972, -1.07630634962469 , 0.792985457500243 , -0.94261358859868 , -0.0449410892984001, 0.303570657710077 , 0.0528406197514319 | 0.7790635 |
| 90 | 50 | 0.0 | 0.0 | 1.0 | control , control , control , control , control , control , control , control , control , control , control , control , control , control , control , control , control , control , control , control , control , control , control , control , control , control , control , control , control , control , control , control , control , control , control , control , control , control , control , control , control , control , control , control , control , control , control , control , control , control , intervention , intervention , intervention , intervention , intervention , intervention , intervention , intervention , intervention , intervention , intervention , intervention , intervention , intervention , intervention , intervention , intervention , intervention , intervention , intervention , intervention , intervention , intervention , intervention , intervention , intervention , intervention , intervention , intervention , intervention , intervention , intervention , intervention , intervention , intervention , intervention , intervention , intervention , intervention , intervention , intervention , intervention , intervention , intervention , intervention , intervention , intervention , intervention , intervention , intervention , -2.10918218791168 , -1.53164734098269 , 0.492706667864385 , -1.34032040558248 , -0.541769366205174 , 0.375450070343165 , -0.368449993178085 , 1.82641057489143 , 0.191656083907381 , 2.29947297938807 , 0.352640031413274 , -1.81625428018307 , 1.79838755631297 , -0.156219587382581 , 0.1337750572623 , -0.14351792540721 , -0.23565457853002 , -1.769672398889 , 0.967400982564382 , -1.16882281625039 , 1.11013341332154 , 0.343534497705377 , -0.394559388600558 , 0.146131567363381 , 0.652619594718382 , 0.6889506179317 , 1.90872430118004 , -0.425346903414233 , -0.325206214020098 , -0.987998630169854 , 0.934958480802801 , 0.605966820320075 , -1.38964363944119 , 0.224265078493026 , -0.772227037412865 , 1.03863306725242 , -0.480727329446813 , 0.292983862608461 , -0.600674301312701 , 1.50942956930636 , -0.511996238576754 , -0.0100032083576775, 0.644272220311627 , 1.83250759995758 , 0.594423463042074 , -0.116901971575886 , -0.269411024225597 , 0.247177740077716 , 1.47642299792273 , 0.80689327473268 , 0.287249631056439 , -0.497770804140603 , 0.428894795728349 , -1.19082208563022 , -0.245407133140372 , 0.443924302951909 , 0.117054005482923 , -0.0639661234071033, -0.0394450671609422, -0.283196973787578 , 0.089320336091072 , 0.57295046272629 , -0.420582104536007 , -1.95956217244863 , 0.363172579498084 , -1.46417840700936 , 0.786832841660107 , 0.0521961536440194 , -0.972765831757389 , 1.23573479350425 , 0.185607098573368 , 0.159859709813106 , -1.47490692031366 , 0.622342866527693 , -0.383329321187976 , 0.0841848803189232 , 0.978588786877586 , -2.7359413426539 , -0.813355855909189 , 0.744052374355308 , 0.297822289800001 , 0.728785592773314 , 1.56905588505543 , 0.332968614894727 , 1.06823742531823 , -0.35072694660898 , 1.10833133720795 , 0.0901436821174727 , 0.922472476992707 , 0.504058319691674 , -0.371613327301479 , -1.64580874465479 , -1.48185177309166 , -2.08497052893778 , -0.0242695223358983, -1.88343985192151 , 1.25894463173029 , 2.23305894724793 , -0.355094680224338 , -2.08033707771696 | 0.2694949 |
| 90 | 50 | 0.0 | 0.1 | 0.5 | control , control , control , control , control , control , control , control , control , control , control , control , control , control , control , control , control , control , control , control , control , control , control , control , control , control , control , control , control , control , control , control , control , control , control , control , control , control , control , control , control , control , control , control , control , control , control , control , control , control , intervention , intervention , intervention , intervention , intervention , intervention , intervention , intervention , intervention , intervention , intervention , intervention , intervention , intervention , intervention , intervention , intervention , intervention , intervention , intervention , intervention , intervention , intervention , intervention , intervention , intervention , intervention , intervention , intervention , intervention , intervention , intervention , intervention , intervention , intervention , intervention , intervention , intervention , intervention , intervention , intervention , intervention , intervention , intervention , intervention , intervention , intervention , intervention , intervention , intervention , -0.109617092793567 , 0.0574690963412604 , 0.176737670921025 , 1.11042159282482 , -0.227233414989435 , 0.561209020705394 , -0.347640945461774 , -0.0320612927962113, 0.0236523847949874 , 1.45967361291883 , -0.0812488355825284, 0.67003716826306 , 0.13276740858643 , 0.802898976339643 , 0.770039468548012 , 0.309120815839411 , -0.623747962607458 , 0.691097006973328 , 1.13272508116074 , 0.528696423594389 , 0.766153116443017 , -0.41824905352968 , -0.0430915891550542, -0.0617564178575202, 0.0641075381052174 , -0.159547438320849 , -0.120625821325404 , 0.279575636189048 , 0.0908823864405866 , -0.451912396900695 , 0.4025590383664 , -0.272965646578112 , 0.411541995281252 , -0.355478854280436 , 0.403132952525988 , 0.302469756073235 , -0.19061969388034 , 0.455987811986178 , 0.724686308578471 , -0.124587211015971 , 0.161867232917395 , 0.405563499974054 , 0.709095149004413 , -0.513736524886936 , 0.16775548430038 , 0.836215014457486 , -0.400649976887533 , 0.0483296683218266 , -0.077120411099077 , 0.299828002995074 , 0.306731477604845 , 0.788506123168617 , 0.688487631699168 , 0.583470775055266 , -1.04375095154272 , 0.265281669336483 , -0.162260764158038 , 0.268871435874966 , -0.300755934828464 , -0.115469268172617 , -0.234938905672088 , 0.146640700367651 , 0.107970808613159 , -0.480135468694553 , -0.739138168441432 , -0.73042304533199 , -0.382339433480856 , 0.0263047860864032 , 0.0277505492424791 , 0.235851817733616 , -0.573253960675382 , 0.680313334397457 , 0.109927851718716 , 1.38067992995926 , 0.655369215190528 , 0.788609341979116 , -0.402972239450905 , -0.0713190739054895, -0.885225986442867 , -0.12706616460033 , -0.0726404052215139, -0.344011587115053 , 0.241731141036341 , 0.622731776523131 , 0.11976350255064 , 0.798459481634067 , -0.20654748246419 , 0.311028728963766 , 0.466464934869745 , -0.393674743650495 , 0.793730457802955 , -0.068099500525275 , 0.400412111044253 , 0.300742640391996 , 0.575587598064165 , 0.314117211098433 , -0.524195061975855 , 0.752684593530348 , 0.515143642780694 , 0.174075922305323 | 0.3328429 |
| 90 | 50 | 0.0 | 0.1 | 1.0 | control , control , control , control , control , control , control , control , control , control , control , control , control , control , control , control , control , control , control , control , control , control , control , control , control , control , control , control , control , control , control , control , control , control , control , control , control , control , control , control , control , control , control , control , control , control , control , control , control , control , intervention , intervention , intervention , intervention , intervention , intervention , intervention , intervention , intervention , intervention , intervention , intervention , intervention , intervention , intervention , intervention , intervention , intervention , intervention , intervention , intervention , intervention , intervention , intervention , intervention , intervention , intervention , intervention , intervention , intervention , intervention , intervention , intervention , intervention , intervention , intervention , intervention , intervention , intervention , intervention , intervention , intervention , intervention , intervention , intervention , intervention , intervention , intervention , intervention , intervention , -0.070602965505551 , 0.699440156108276 , 1.40033988812455 , -0.575833105171182 , 0.387898161855319 , -0.164923260752004 , -0.72318033539206 , 1.25298119634708 , -0.124134368302761 , 0.709634232089935 , -1.45413918220327 , 2.39560458429679 , 0.851622208764126 , 0.338788039334589 , 0.14434251473831 , 0.481033782885315 , 1.38784713017309 , 0.766849699410795 , 0.641290973268146 , 0.187415296997739 , 1.67362852855796 , 1.80621743886328 , -0.497822994119582 , 0.0241157273837856 , 2.12299874233616 , 0.531356646223874 , -2.32415562704353 , -0.392852902959973 , -0.189321577386037 , 0.336084240089472 , 0.679037954517766 , 0.478092586509827 , 1.28995622630937 , 1.11639796772561 , 0.931759762422643 , 0.433076451860735 , -1.14961904121339 , 0.252849328233497 , -1.73391252986151 , -0.736567987774537 , -0.518756157822078 , 0.98822466893237 , -0.126768633934472 , -1.02369750349746 , 0.690904603735378 , 2.03307008344226 , -0.531291542604593 , 0.927313690438522 , -0.71077576501462 , 0.907914587443918 , -0.679960286747111 , -0.765598669415077 , 0.165229032349541 , 0.858612069326879 , -0.00447439578252684, -0.103045000431175 , 0.0514188340405129 , 0.281519150980773 , -1.76746142402125 , -0.160074944711662 , 0.434207281403029 , 0.248784811339699 , 0.282271539732727 , 1.46555943575319 , -0.221852207618344 , 0.621752654350794 , -1.62730670139254 , -0.781448820581721 , -1.40351417526134 , -1.20252881383431 , 0.217372256424055 , -0.420530791212471 , 1.28876602934471 , 0.721856464878771 , 0.828689126158725 , -0.670036211198673 , -0.917461672168918 , -0.47583322660937 , 0.249986338451106 , 1.81515757441027 , -0.848698932346988 , 0.330779550391257 , 0.00594216422023222 , -0.428143470487079 , -0.01712727999369 , 2.38730735468403 , -0.473876907569816 , -0.227082209704007 , -0.882176641174404 , -0.699091851813849 , 0.271550720944446 , 2.03225878072539 , -0.845303262915952 , 1.49767665825858 , -0.241215695967994 , -1.34142070187701 , 0.470099156675754 , -0.769406551393502 , 0.398932750084856 , 0.164072062998904 | 0.0829775 |
| 90 | 50 | 0.5 | 0.0 | 0.5 | control , control , control , control , control , control , control , control , control , control , control , control , control , control , control , control , control , control , control , control , control , control , control , control , control , control , control , control , control , control , control , control , control , control , control , control , control , control , control , control , control , control , control , control , control , control , control , control , control , control , intervention , intervention , intervention , intervention , intervention , intervention , intervention , intervention , intervention , intervention , intervention , intervention , intervention , intervention , intervention , intervention , intervention , intervention , intervention , intervention , intervention , intervention , intervention , intervention , intervention , intervention , intervention , intervention , intervention , intervention , intervention , intervention , intervention , intervention , intervention , intervention , intervention , intervention , intervention , intervention , intervention , intervention , intervention , intervention , intervention , intervention , intervention , intervention , intervention , intervention , 0.47748976571611 , 0.600521950549318 , 0.347212582956835 , -0.0911097218970503 , -0.155595387137179 , 0.224831231134408 , 0.00455534817191384 , -0.249384632902383 , 0.242389092751314 , -0.81771449570934 , -0.0312626281729511 , 0.0816890135057706 , -0.180629976085704 , -0.313818940338503 , -0.576880922427604 , 0.66817810640857 , 0.503749640149667 , -0.994063323925017 , -0.793585743718142 , 0.316365903320665 , -0.0643046912027938 , -0.056869850946679 , -0.157651002924506 , 0.927453741650596 , 0.670230114691926 , -0.174448498896808 , 0.0957208610837672 , -0.294559622990952 , 0.0784093340918787 , 0.105305568863816 , -0.0107192561464838 , 1.60303380612851 , -0.416864217834663 , 0.0229379033314676 , 0.610908385989233 , 0.252388349047707 , -0.179651050969989 , -0.446129922408435 , -0.0256700256722654 , 0.420470985080589 , -0.408022364916665 , -0.222409489357009 , 0.133974357426255 , -0.0931000963737845 , -0.358540371141683 , 0.497289641349809 , 0.2260359840382 , 0.0530598482181901 , 0.820260572879604 , 0.668194378687679 , -0.468150927275542 , 0.049045545751317 , 0.230587904641948 , -0.703799596499716 , 0.6340428993468 , 0.658487182208951 , 0.369986204437169 , 0.698299453840822 , 0.344807379351919 , 0.0108603821351164 , 0.125147876093929 , 1.43632133883409 , 1.30367602108843 , 1.37284430021211 , 0.57040579054432 , 0.70134063546243 , 0.262696933144432 , 0.666756925724068 , 0.768393049836854 , 0.61230670528651 , 0.827356020059778 , 0.951978810320923 , 0.903579182076124 , 0.67695652332811 , -0.254506171824798 , 0.216851303070514 , 0.823320706770448 , -0.271775267455715 , 1.05968939048181 , -0.0314145940976068 , 1.00229312379766 , 0.551951440899723 , 0.455945563834115 , 1.10537139062959 , 0.8019742992635 , -0.107768382000731 , 0.887151807051892 , 0.557626156941484 , -0.00853596189346284, 0.0512887548292968 , 0.188587057494475 , 0.462814607791079 , 1.03113130022781 , 0.195105372649724 , 0.902340223537001 , 0.313829304516758 , 0.467830813785367 , 1.25252267997403 , -0.0438498061976432 , 0.642032462483048 | 0.0000162 |
| 90 | 50 | 0.5 | 0.0 | 1.0 | control , control , control , control , control , control , control , control , control , control , control , control , control , control , control , control , control , control , control , control , control , control , control , control , control , control , control , control , control , control , control , control , control , control , control , control , control , control , control , control , control , control , control , control , control , control , control , control , control , control , intervention , intervention , intervention , intervention , intervention , intervention , intervention , intervention , intervention , intervention , intervention , intervention , intervention , intervention , intervention , intervention , intervention , intervention , intervention , intervention , intervention , intervention , intervention , intervention , intervention , intervention , intervention , intervention , intervention , intervention , intervention , intervention , intervention , intervention , intervention , intervention , intervention , intervention , intervention , intervention , intervention , intervention , intervention , intervention , intervention , intervention , intervention , intervention , intervention , intervention , 0.9729640604518 , -1.07578856699267 , -0.329511937147504 , -1.2195075133023 , -1.25004730378665 , 0.612740266381859 , 1.71394909671954 , 0.539870279222196 , -2.78050117553103 , -0.541776974400984 , -0.933430218056857 , 0.290916897055916 , 1.26808797512334 , -0.0668838484017921, -1.04683769694568 , -0.360005104280479 , 0.431200908784094 , 2.06686795750051 , 1.25218655817884 , 0.575538698663119 , -0.313020030418697 , 1.14075722514062 , -2.00471964313929 , 1.35129981911042 , 0.542906536469184 , 0.435340037181338 , 0.440987192946371 , -0.958969655831423 , -0.592480442749584 , 1.04642663455638 , 0.507395803793898 , 1.8230305546418 , 0.594972279524171 , -0.0461795940685663, -0.544441626199074 , 0.863294685568548 , -0.633480496165786 , 1.04204664670922 , -0.445476052465068 , -0.381714668248134 , -0.155336029267423 , 2.15866165448912 , 0.694087977120574 , -1.10818910516294 , 0.82456869393393 , -0.0030683395415798, 0.564425383761862 , -0.378018228122646 , -1.14219193812386 , -0.771193896395846 , 0.593177116213581 , 1.15046048501773 , 1.19394287958662 , 1.51604567376377 , 1.26620749202885 , 1.6170136738417 , 0.42777314175802 , 0.511665871339397 , 1.17570988790473 , -0.578277890233881 , -0.0337237953623355, 0.725034860741883 , 1.66200144729702 , 1.57492353672545 , 2.58566554396514 , 0.774919050781807 , 0.589698636403981 , 0.672686393243414 , -0.366634669606949 , 0.825068683060923 , 0.0378786301850824 , 1.8634649685246 , 0.879138271636655 , 1.17522703219668 , 0.175300129383414 , -1.29091405001734 , 0.64215398346963 , -0.836387692425603 , -1.30308611874859 , 0.680904620664855 , 0.662820601139567 , 1.00270524541997 , 1.45774301580317 , 0.41455577599662 , -0.536205749326675 , 1.8209768098272 , 0.770033397657527 , 0.87966956167008 , 0.0846987994235639 , 0.981990468273251 , 1.67623786695662 , 0.398422748469095 , 1.58635375814839 , 0.480078027516745 , 1.91223964470526 , 0.438340274833157 , 1.94041199418459 , 1.07187739115726 , 1.00606165296645 , 1.33523213700442 | 0.0003687 |
| 90 | 50 | 0.5 | 0.1 | 0.5 | control , control , control , control , control , control , control , control , control , control , control , control , control , control , control , control , control , control , control , control , control , control , control , control , control , control , control , control , control , control , control , control , control , control , control , control , control , control , control , control , control , control , control , control , control , control , control , control , control , control , intervention , intervention , intervention , intervention , intervention , intervention , intervention , intervention , intervention , intervention , intervention , intervention , intervention , intervention , intervention , intervention , intervention , intervention , intervention , intervention , intervention , intervention , intervention , intervention , intervention , intervention , intervention , intervention , intervention , intervention , intervention , intervention , intervention , intervention , intervention , intervention , intervention , intervention , intervention , intervention , intervention , intervention , intervention , intervention , intervention , intervention , intervention , intervention , intervention , intervention , -1.33924926152733 , 0.426451892753114 , 0.491291376066601 , -0.143388348638542 , -0.831349257390608 , 1.00479004802774 , -0.479424011334524 , -0.489503402165021 , 0.272015059256199 , 0.682405037731844 , -0.110438350700378 , 0.0716804031416367 , 0.138036787241743 , -0.156099554047924 , -0.332644311462982 , -0.0197589709961587 , 0.248209237619538 , 0.683725468169053 , 0.140958079496826 , 0.163002528558938 , -0.43531308676226 , 0.769167475952458 , 0.644408708075684 , 0.330343917732793 , -0.621790277826645 , -1.4704087299757 , 0.335913105575826 , -0.296994713596501 , 0.11295748349538 , -0.231031633196275 , 0.380133406379013 , 0.207071191439573 , -1.18691250307086 , -0.670192067980536 , 0.0693818230570774 , -0.104044910588981 , 0.6085978836457 , 0.305334122537998 , 0.221703543512457 , -0.0598959800041892 , 0.858131840267998 , 0.186340366934714 , -0.103283098785642 , 0.162561197828392 , -0.540957420662146 , -0.062595057022538 , 0.0293492079924636 , 0.365641162031226 , -0.276713458956227 , 6.75186891428842e-05, 1.18051754995315 , 0.770909161317521 , 0.625518986930959 , 1.04230382566794 , 0.426319450699025 , -0.484618453711217 , 0.673068810535203 , 0.352269086504375 , 0.472329679809192 , -0.176150006537954 , 0.640577579149182 , 0.232154667152605 , 0.338854456148851 , 0.44091510486514 , 0.422242197621442 , 0.689034730851428 , 1.28611491873412 , 0.604647565176161 , 0.26217718896635 , 1.55352618821262 , 0.197731166553315 , 0.931505236729119 , -0.511582742172935 , 1.43075693240385 , 0.823031821329799 , 0.85425959745297 , -0.0283729333862713 , 0.219494630447161 , 0.442934197575183 , 0.126765250452889 , 0.954613846130204 , 1.0676832605591 , 1.45470522943732 , 0.318530006659408 , 0.389283152126575 , 0.398201149210143 , -0.490399142044338 , 1.35670511093256 , -0.168772739919991 , 0.26196633453509 , 0.757401329735817 , 0.743493943118433 , -0.0354137473794082 , -0.0869001904551104 , 0.0874868044344253 , 0.0254797873838533 , 0.250036245228212 , 0.965367345628135 , 0.485331493238178 , 0.745935467477466 | 0.0000035 |
| 90 | 50 | 0.5 | 0.1 | 1.0 | control , control , control , control , control , control , control , control , control , control , control , control , control , control , control , control , control , control , control , control , control , control , control , control , control , control , control , control , control , control , control , control , control , control , control , control , control , control , control , control , control , control , control , control , control , control , control , control , control , control , intervention , intervention , intervention , intervention , intervention , intervention , intervention , intervention , intervention , intervention , intervention , intervention , intervention , intervention , intervention , intervention , intervention , intervention , intervention , intervention , intervention , intervention , intervention , intervention , intervention , intervention , intervention , intervention , intervention , intervention , intervention , intervention , intervention , intervention , intervention , intervention , intervention , intervention , intervention , intervention , intervention , intervention , intervention , intervention , intervention , intervention , intervention , intervention , intervention , intervention , -0.674230240568712 , 0.575845719973181 , -0.721327324836085 , 0.185557463530313 , 1.46138735006548 , 0.887670814816709 , 1.05370868715564 , -1.17059357151487 , 0.340333883092471 , -0.254855555959606 , 1.76456578681663 , 0.645094768131901 , -1.10945444721776 , 1.3524814354652 , 1.47238262727195 , 0.439453687366962 , 0.125810153135364 , -0.475179318512989 , 1.62902975054583 , 1.6321559522434 , -1.24015897427228 , -0.678394108953379 , 0.923291919732367 , -0.511813085675954 , -0.0384120019087369, -0.391092660986353 , -1.74813507310414 , -0.812892518005341 , 0.350793693871574 , 0.826153680254084 , 1.56001549445151 , -1.71561131494549 , 0.608893703030951 , 0.41636096463683 , 0.776000379900418 , 1.08474162764757 , -0.824400582252298 , -1.46087913610797 , -0.228008801534311 , -0.515906033527939 , -0.0830014428404511, -0.704202780317589 , 0.781721529928565 , -0.65054618111402 , -1.25286755907246 , -0.205244189397877 , -1.11385711588987 , -0.712111032215333 , -0.43370135481147 , -0.0462020388495346, -0.358864413322506 , -0.827431696824463 , -1.41639639021686 , 0.0429725306057143 , 0.333042151205234 , -0.233835855085804 , 0.797959092506386 , -0.337856042851577 , 1.84345198126847 , 1.53208512715518 , 2.94248488056924 , -0.761184942462161 , 2.83775020719744 , 0.298743022267209 , -1.50241753899138 , 0.854023694454851 , 2.23858387013532 , 0.459365114540492 , 0.0392415192452917 , 0.114808152465839 , -0.567940161683052 , 0.636624817848394 , 2.56391183035634 , 0.953524794168363 , 1.38568044082129 , -0.104101519749653 , 1.69913670897898 , 1.00133083615603 , -0.248613073351742 , 0.986155171861752 , -0.173682332621371 , 1.32497729581689 , 0.183540057069366 , 1.73500835220353 , -2.04971660547995 , 0.123341088078793 , -0.867542524548282 , -0.932701711565195 , -0.91773484658672 , 0.380456502141217 , 2.67675206452386 , 1.92725041525652 , 1.12790982989299 , 1.87071502198308 , 1.9947690771312 , 1.50831371862779 , 0.734747016066961 , 0.703478073633625 , 0.738475342561883 , 1.27404250715134 | 0.0073470 |
| 91 | 20 | 0.0 | 0.0 | 0.5 | control , control , control , control , control , control , control , control , control , control , control , control , control , control , control , control , control , control , control , control , intervention , intervention , intervention , intervention , intervention , intervention , intervention , intervention , intervention , intervention , intervention , intervention , intervention , intervention , intervention , intervention , intervention , intervention , intervention , intervention , -0.0209938401415284 , 0.352131369184573 , 0.647390570674416 , 0.30171259978722 , 0.0914284034081822 , 0.298258332123852 , -0.842779459436233 , -0.548325497065043 , 0.113123387099623 , 0.579687252262434 , -0.313441446934536 , 0.066173030815073 , 0.213769179448699 , -0.611203579243003 , 0.16565192280825 , -0.255011103107094 , -0.542115836917755 , -0.176339714957871 , 0.109252859624232 , 0.129726365001918 , 0.51251149782286 , -0.30673141829116 , -0.50895082617451 , -0.00623998549849063, -0.0129557828593913 , -0.702140345950009 , -0.644582993330369 , -0.184303484245149 , -0.236652926137301 , 0.396091670449365 , -0.275036447513609 , -0.0979650647610486 , 0.270527490953515 , -0.588053739274614 , -0.282060276459759 , -0.842689576679077 , -0.343053769365473 , -0.314069282929863 , -0.0915837992384329 , 0.706684221868335 | 0.2035499 |
| 91 | 20 | 0.0 | 0.0 | 1.0 | control , control , control , control , control , control , control , control , control , control , control , control , control , control , control , control , control , control , control , control , intervention , intervention , intervention , intervention , intervention , intervention , intervention , intervention , intervention , intervention , intervention , intervention , intervention , intervention , intervention , intervention , intervention , intervention , intervention , intervention , -0.430193519756777 , -0.240165162316168 , -0.0820210273373775, -1.84155643428026 , -1.43198306999347 , 0.814055927809608 , 1.13749166990146 , 0.278097054513308 , -1.95135670110236 , -1.28549136423788 , 0.43680817180217 , 1.77887407257502 , -1.45781810543255 , -0.61008224885517 , -0.733925838945451 , 0.187967578917908 , 0.517421728389056 , -0.30704033933056 , -1.38488676775323 , -2.02304675751957 , 0.218276829492108 , 1.05607506299212 , 0.676945839286311 , 1.58469195643731 , -0.463875786811315 , -1.54085075975251 , 0.751823667505515 , -1.9019830933132 , 1.97390908945814 , 0.891177824864012 , -1.10915146098674 , 0.0940403662454747 , 0.268807185229893 , 0.255875648143071 , -1.47431112058057 , -0.303069880390613 , -0.659575260781659 , 0.802301078876145 , 0.503163720953511 , -0.44752349408476 | 0.1530244 |
| 91 | 20 | 0.0 | 0.1 | 0.5 | control , control , control , control , control , control , control , control , control , control , control , control , control , control , control , control , control , control , control , control , intervention , intervention , intervention , intervention , intervention , intervention , intervention , intervention , intervention , intervention , intervention , intervention , intervention , intervention , intervention , intervention , intervention , intervention , intervention , intervention , -1.00260014457784 , -0.175300474096812 , 0.0194980352969115 , 1.11605362378074 , -0.394196243702317 , -0.0379296067881129, 0.369662852372805 , 0.288162499765038 , -0.22218059198162 , -0.709909037065903 , 0.208264823227035 , 0.18822493870547 , 0.749357157974678 , 0.201030791544876 , 0.573610289918779 , 0.417604858386861 , -0.386406593093545 , -0.0513302639731886, 0.518820405935836 , 0.102228112069747 , -0.338986406192637 , -1.26416476719146 , 0.108857102825839 , 0.122224341223135 , 0.0377788854496777 , 0.586007102386804 , -0.753322164067183 , 0.152115992279361 , -0.67296123668514 , -0.815441248352518 , 0.41048438094334 , 0.360249876632294 , -0.193783109186423 , -0.749569234522349 , -0.099002953050637 , 0.909691493331011 , 0.228720497516534 , -0.544169150928507 , -0.471049477248648 , 0.161881152686865 | 0.1727195 |
| 91 | 20 | 0.0 | 0.1 | 1.0 | control , control , control , control , control , control , control , control , control , control , control , control , control , control , control , control , control , control , control , control , intervention , intervention , intervention , intervention , intervention , intervention , intervention , intervention , intervention , intervention , intervention , intervention , intervention , intervention , intervention , intervention , intervention , intervention , intervention , intervention , 1.59123109475645 , -1.67986116270238 , 1.54600935369202 , 0.328223653383097 , 0.621418234092704 , 0.21738578106912 , 1.61615108902152 , 1.28905658560008 , 2.23172476612511 , 2.28581950129473 , -0.432965137815653, 0.115296657238985 , 0.596771001605416 , -1.32598156354815 , 0.773134694684058 , 1.81128171510473 , 0.0485933055082513, 0.65882691444461 , -1.28971766683111 , -0.658044581134233, 0.115203997034789 , -0.853455483414497, -2.13640197743637 , 1.34831448787553 , 1.33116504675236 , -0.424646618726293, 0.276728264784181 , -0.103927525658758, 0.597626650402193 , -0.20098096564429 , -0.460580959612051, -0.538782889511077, 1.44624208724329 , -0.318725523418244, -0.969776950244085, 0.56444511909939 , -0.352955735189155, -1.37716448236157 , 1.88319795085292 , 0.544407571952516 | 0.1577600 |
| 91 | 20 | 0.5 | 0.0 | 0.5 | control , control , control , control , control , control , control , control , control , control , control , control , control , control , control , control , control , control , control , control , intervention , intervention , intervention , intervention , intervention , intervention , intervention , intervention , intervention , intervention , intervention , intervention , intervention , intervention , intervention , intervention , intervention , intervention , intervention , intervention , 0.571695172046579 , -0.682111251013783, 0.0952280885779668, -0.172390310038903, 0.174155503404405 , 0.0860573460303261, -0.459472569288376, -0.227776525824989, -0.423177365119826, 0.329912915913401 , -0.294598803154155, -0.696214761075703, 0.288323911340176 , 0.614997496791213 , 0.0232907264980602, 0.250621121500333 , -0.802419296720733, 0.0320603647282983, -0.556580088333681, 0.658657241696324 , 0.604822546712673 , -1.01281328450533 , 1.15659385050753 , 2.05768454801011 , 1.61318075436403 , 0.479646397213132 , 0.449105605365732 , 0.974610860881273 , 0.15233936758313 , 0.130801709325033 , 0.685219416757128 , 1.48409113380021 , 0.408642255119675 , 0.859784519529313 , 0.102947725270215 , 0.90534536905893 , 0.839013064005681 , 0.596910544239791 , 0.705841499372619 , 0.482605219026668 | 0.0001369 |
| 91 | 20 | 0.5 | 0.0 | 1.0 | control , control , control , control , control , control , control , control , control , control , control , control , control , control , control , control , control , control , control , control , intervention , intervention , intervention , intervention , intervention , intervention , intervention , intervention , intervention , intervention , intervention , intervention , intervention , intervention , intervention , intervention , intervention , intervention , intervention , intervention , 0.0279820856296124 , 0.217882946900557 , 0.93398532968752 , 1.25220412983778 , -0.431799029317899 , -0.874448551210361 , 0.483635682388684 , 0.176508229010514 , -0.483933137134508 , -0.850507118639103 , -0.339818938659406 , -1.47067513076451 , -1.12856757980568 , -0.270066331173166 , -0.529865361494822 , -1.17887354960649 , 0.708872243483464 , -1.50396657625909 , -1.9596395043124 , 0.218509992800936 , 0.381432725123706 , 1.35030774769609 , 1.33684746222232 , 1.0349433079311 , -1.1094641596915 , -0.388654781726758 , 0.908872928333734 , 0.883677207752887 , -1.0084542587226 , 0.192426119299888 , 0.59913772128499 , -0.743830828976812 , 0.00958481181620263, -0.204252893440562 , 0.907314072033605 , 0.534800036474249 , 0.424389940411175 , -0.151077972849796 , 0.306002258474268 , -0.0200091568085859 | 0.0196572 |
| 91 | 20 | 0.5 | 0.1 | 0.5 | control , control , control , control , control , control , control , control , control , control , control , control , control , control , control , control , control , control , control , control , intervention , intervention , intervention , intervention , intervention , intervention , intervention , intervention , intervention , intervention , intervention , intervention , intervention , intervention , intervention , intervention , intervention , intervention , intervention , intervention , -0.280187992155149 , 0.170798590319613 , -0.0145829078720882 , -0.476560805473278 , 0.762085833029577 , 0.392576179490805 , -0.427205539276646 , 0.114088917953727 , 0.569375765358054 , -0.719691443839637 , -0.316746879848954 , 0.498679678042414 , 0.196881072218712 , 0.403283026875962 , -0.012910704259149 , 0.435222102648967 , 0.800836192168771 , 0.290830462969313 , 0.0632836504779178 , 0.232209749876057 , 0.300774323422776 , 0.392475382292745 , 0.361596347584883 , -0.126986718433108 , -0.127787052953192 , 1.48516564979474 , 0.959863016932643 , 0.415374503743216 , -0.00518715275992709, 0.314268247415914 , 0.724655790624646 , 0.898092762522133 , 0.245134605794544 , 1.05864654659812 , -0.373528508239926 , 0.148725245447806 , 1.09816023425858 , 0.454860153678854 , 0.717885834059232 , 0.107596948525589 | 0.0302002 |
| 91 | 20 | 0.5 | 0.1 | 1.0 | control , control , control , control , control , control , control , control , control , control , control , control , control , control , control , control , control , control , control , control , intervention , intervention , intervention , intervention , intervention , intervention , intervention , intervention , intervention , intervention , intervention , intervention , intervention , intervention , intervention , intervention , intervention , intervention , intervention , intervention , -0.375786474651328 , -0.150889008993728 , 0.769473034993624 , -0.442423443654382 , 0.544353795879134 , -0.425680215568644 , 0.58520831639728 , 0.0380070020346912 , 1.03774425436368 , -0.468923360712018 , 2.17888163003111 , 1.545233693277 , 1.35566895864818 , -1.01501814664388 , 0.647155827440054 , 0.50555208464754 , 0.00556189142422832, -0.241733293443812 , 0.052173448601969 , 0.288486508329198 , 1.32328179506485 , 0.472274845324713 , 0.662252864943123 , -1.29468859071328 , 0.398887626208055 , -1.51607652110221 , 1.59128979586032 , 0.469961502950688 , 0.285209269931613 , 0.611691963320736 , 1.98640385128641 , -0.423499802542068 , 0.345104373702073 , -0.0519957269556093, 2.15398074671275 , 0.625459986062745 , 1.98430355672278 , -0.185126321572101 , 0.143379050137792 , 1.76382956239412 | 0.3990725 |
| 91 | 50 | 0.0 | 0.0 | 0.5 | control , control , control , control , control , control , control , control , control , control , control , control , control , control , control , control , control , control , control , control , control , control , control , control , control , control , control , control , control , control , control , control , control , control , control , control , control , control , control , control , control , control , control , control , control , control , control , control , control , control , intervention , intervention , intervention , intervention , intervention , intervention , intervention , intervention , intervention , intervention , intervention , intervention , intervention , intervention , intervention , intervention , intervention , intervention , intervention , intervention , intervention , intervention , intervention , intervention , intervention , intervention , intervention , intervention , intervention , intervention , intervention , intervention , intervention , intervention , intervention , intervention , intervention , intervention , intervention , intervention , intervention , intervention , intervention , intervention , intervention , intervention , intervention , intervention , intervention , intervention , 0.335491990784189 , -0.372438635934236 , 0.0997617657688647 , -0.0875611485274588 , -0.0890455740371147 , 0.671500623219556 , -0.322168424433559 , 0.439574732408533 , 0.0427571129874843 , -0.12450748899225 , -0.341805463897109 , -0.86309009564664 , 0.133126766932629 , -0.281357190430934 , -0.0370140726476768 , 0.00857314459803913 , -0.457409271319836 , 0.195990337438638 , 0.233390714272798 , 0.725419312411015 , 0.344943151394436 , -0.380823724856157 , -0.0324015713492766 , -0.164564341202955 , 0.352912266700917 , 0.67095398659711 , 1.06869922467074 , 0.608297796249008 , 0.144065089940353 , -1.01577399750457 , -0.194619678923789 , -0.482525586236037 , -0.360766054848968 , -0.183378405410231 , 0.170510061914952 , -0.689209709334201 , 0.211522083360521 , 0.0804286981804215 , 0.0981126849906096 , 0.21250985780966 , 0.0901756568907237 , 0.137037750403039 , -0.0743439042476247 , -0.532870290401134 , -0.312925746235873 , 0.478127264075846 , -0.0937032774142133 , -0.433554188828153 , -0.160021663606934 , 0.17008089892792 , -0.220666066987971 , 0.502998222813487 , -0.107043086078626 , -0.298303758343399 , 0.624084263077772 , 0.0906052992530102 , 0.219736446349814 , -1.15212205842378 , -0.092785309695874 , -0.670203631723076 , -0.0765409457134267 , -0.350057812433125 , -0.00434812561273824, 0.153527931785384 , 0.671522599319847 , -0.169652528507455 , -0.46155218601685 , -0.288994562779309 , 1.02763754226506 , -0.589563864642706 , 0.0963074240386358 , 0.367266899066004 , 0.00764400504271402 , 0.165266138323528 , 0.236358622551602 , 0.362272987209614 , -0.264311431273592 , 0.327295437391224 , 0.367042700727318 , -0.343751160665926 , -0.146853528028443 , -0.419382439436206 , -0.0691493652097576 , -0.47304297660496 , -0.225583291110069 , 0.517203135717086 , -0.467886125292025 , 0.0738793901348351 , 0.346625330700779 , -0.14832059300098 , -0.296019380256267 , -0.377532706241192 , -0.645741178487632 , 0.631486699808374 , -0.012064712738518 , -0.351291767658791 , 0.0998427583057462 , -0.542766684195367 , -0.367527882532677 , -0.366205644690326 | 0.5062532 |
| 91 | 50 | 0.0 | 0.0 | 1.0 | control , control , control , control , control , control , control , control , control , control , control , control , control , control , control , control , control , control , control , control , control , control , control , control , control , control , control , control , control , control , control , control , control , control , control , control , control , control , control , control , control , control , control , control , control , control , control , control , control , control , intervention , intervention , intervention , intervention , intervention , intervention , intervention , intervention , intervention , intervention , intervention , intervention , intervention , intervention , intervention , intervention , intervention , intervention , intervention , intervention , intervention , intervention , intervention , intervention , intervention , intervention , intervention , intervention , intervention , intervention , intervention , intervention , intervention , intervention , intervention , intervention , intervention , intervention , intervention , intervention , intervention , intervention , intervention , intervention , intervention , intervention , intervention , intervention , intervention , intervention , 0.308095083350515 , 0.0636656546503779 , 0.901331843276407 , -0.559551562489871 , -1.17915520573669 , 0.65055216804701 , 0.590292051760937 , -0.137850048664665 , -0.813182328565211 , 0.578061628293509 , -0.271271016709805 , 0.968561343066687 , -0.608448483919133 , -0.0826864058504156 , 0.161914754133617 , 0.88055982583713 , 2.08768651503063 , 1.01845223818057 , 0.182149151356927 , 2.16422241832169 , -0.417748679257955 , 1.07940003568782 , 0.0957736582354569 , -1.65142524503189 , -0.744533703211091 , 0.524243600723863 , 0.807164507927972 , -1.17527980433298 , -1.0370727467816 , 0.114314168688415 , 0.795184003959077 , 1.05028421722062 , -0.69119293567465 , 0.991484546056618 , 1.27815235324507 , -1.57024277049388 , 1.33708976970578 , -0.832676674821231 , -1.18520034356266 , 0.254771181651143 , 0.940404462975265 , 0.612308828428533 , 0.770523329118017 , 0.988077205899427 , -0.508582164502846 , -0.434402877670264 , 0.3229638197627 , 1.63822325013107 , 0.0226914877294309 , -0.523849826731801 , 1.33617856578189 , 1.21977546701971 , 0.886880570065341 , 0.612458675141213 , 0.720881911014551 , 0.625025593802342 , -0.633422295197993 , -0.0411173531066123 , 1.02618853650812 , 1.6279563947893 , -0.636785770740911 , -3.22957701828908 , 0.169559418018409 , 0.947843504130333 , 1.91931917820886 , -0.302070186679566 , -0.0709011418082387 , 0.849700042188169 , -0.30335228250498 , 0.196272319200307 , -0.240748037966535 , -0.419668276707139 , 1.07529394546486 , -0.566873601571095 , -0.957986735429594 , 0.743322042363208 , 0.666729770343093 , -0.183941774518415 , -0.0736221693289344 , -0.0768444773410297 , -1.65688947709731 , -0.0900509731359267 , -1.12106520626466 , 0.511965697176429 , 0.593228931312564 , 1.03012586063654 , -0.636727654413073 , 0.51188131155038 , -0.00802545930701646, 1.1235240119406 , -0.109209971069656 , 1.15960186220476 , 0.703954889742934 , 0.565261212815529 , -0.886599363041975 , -0.829051833610526 , -0.0561235909148628 , -0.0405461767657863 , -0.0793034771669056 , 1.55372525097094 | 0.9453806 |
| 91 | 50 | 0.0 | 0.1 | 0.5 | control , control , control , control , control , control , control , control , control , control , control , control , control , control , control , control , control , control , control , control , control , control , control , control , control , control , control , control , control , control , control , control , control , control , control , control , control , control , control , control , control , control , control , control , control , control , control , control , control , control , intervention , intervention , intervention , intervention , intervention , intervention , intervention , intervention , intervention , intervention , intervention , intervention , intervention , intervention , intervention , intervention , intervention , intervention , intervention , intervention , intervention , intervention , intervention , intervention , intervention , intervention , intervention , intervention , intervention , intervention , intervention , intervention , intervention , intervention , intervention , intervention , intervention , intervention , intervention , intervention , intervention , intervention , intervention , intervention , intervention , intervention , intervention , intervention , intervention , intervention , 0.449092466003386 , -0.168416265210752 , 0.485939323057303 , 0.651613549015372 , -0.194599254910065 , -0.165132272200489 , 0.245729130343572 , -0.362690953955705 , 0.567280684368207 , -0.090544646063518 , 0.13655172583557 , 0.578963056339274 , -0.431310167215409 , -0.321785508916761 , 1.13556639112998 , -0.745759120705473 , -0.424506414951169 , 0.794925527280059 , 0.125845431950967 , -0.458242331925428 , 0.156164284665793 , 0.16119839256235 , 0.548286996945965 , -0.0589984316167191, 0.417957004066981 , -0.0309674466129427, -0.152446274859179 , 0.0671099959977322 , 0.986599954865504 , 0.131550902648355 , 0.236373612151469 , 0.991909860021036 , 0.650150213057444 , 0.507346879575622 , 0.238207650583399 , 0.485723198812116 , 0.451647472260257 , 0.872660602616574 , -0.304341487342737 , -0.0531740907923597, -0.344414013614088 , 0.590387529327046 , -0.07307236608139 , 0.610133303284842 , -0.0661858575677834, -0.234720105206033 , 0.209583265045849 , 0.0706661718957188 , -0.0536592070962612, -0.402923991258396 , 0.125738293999162 , -0.268415619931892 , -0.110621801693199 , 0.322922280210184 , 0.126299671622959 , -0.619739017253897 , -0.0489679855472983, -0.297145448126068 , -0.829822720246029 , 0.402389711828092 , -0.0540680571514849, -0.108381059909076 , 0.450197899475126 , 0.31177899012382 , 0.387170815063683 , -0.550380741595325 , 0.342738176014893 , 0.480921834883 , 0.371336479506882 , 0.20951790405775 , 0.0219292638508368 , 0.280412606803979 , 0.813808532875615 , -0.10265450497379 , 0.474679900678571 , -0.0732367549017222, 0.0811724430740797 , 0.733191499679682 , 0.646288329428164 , -0.0783876847140339, -0.330883337286669 , 0.125346431119939 , 0.112727530022445 , -0.217786382526842 , -0.866026995599051 , 0.267021575058572 , -0.744156152840851 , 0.644783239888695 , -0.0885228921688152, 0.00448607673927996, 0.194670307788179 , -0.18120067698549 , 1.03441966726471 , 0.515252333083016 , -0.328271933458142 , 1.24005810644771 , 0.431605745727054 , -1.01355303179793 , -0.230408735505734 , 0.196114062922705 | 0.3548687 |
| 91 | 50 | 0.0 | 0.1 | 1.0 | control , control , control , control , control , control , control , control , control , control , control , control , control , control , control , control , control , control , control , control , control , control , control , control , control , control , control , control , control , control , control , control , control , control , control , control , control , control , control , control , control , control , control , control , control , control , control , control , control , control , intervention , intervention , intervention , intervention , intervention , intervention , intervention , intervention , intervention , intervention , intervention , intervention , intervention , intervention , intervention , intervention , intervention , intervention , intervention , intervention , intervention , intervention , intervention , intervention , intervention , intervention , intervention , intervention , intervention , intervention , intervention , intervention , intervention , intervention , intervention , intervention , intervention , intervention , intervention , intervention , intervention , intervention , intervention , intervention , intervention , intervention , intervention , intervention , intervention , intervention , -0.290797399090966 , -0.0219962108428202, -0.115956216744447 , 1.94944579289941 , 0.394981355026138 , 0.1233050259438 , 0.534840293525749 , 0.420453981994936 , 1.09145916977768 , 1.477784697362 , 1.11729508370935 , 0.8144473613735 , -0.46176123154537 , 0.897560887132105 , 0.271999902837305 , -0.986690262754525 , 0.0497396717577272 , -0.976032612848265 , 0.0881062475111886 , -0.350060185347765 , -1.03589181782786 , -0.251954289109416 , 0.181909080669904 , 1.76358061567037 , -1.39875974564131 , 0.706535155246254 , -0.652535226454601 , -0.832648680420132 , 0.47186931339716 , 0.997309353480884 , -1.78958731142373 , 0.542942158374529 , -1.39560261869602 , 0.466946316766042 , -0.12590008058975 , -1.76514559724529 , -0.911023448029813 , -0.256247326361651 , 0.39932412682773 , 0.322407226737382 , 0.564550125434396 , 0.690645293878928 , 0.128350585646024 , 0.60065490702549 , 0.51137633373186 , 0.428502538963233 , 0.11593991060997 , -1.19071230306493 , 0.479814540993277 , 2.01507474851008 , -0.651717350809232 , 0.051996029139573 , 1.38152307339262 , -0.830424651262016 , -0.596710664836694 , -0.3700507929387 , -0.327292572434105 , 0.112636820656892 , 0.3638473398063 , -1.9932544107509 , 0.313100723692849 , -1.01277982758355 , -0.258784844211969 , 0.210703449987086 , -0.497908365840353 , -0.886345685256509 , -0.913908463114837 , -0.104597964215518 , 0.150624742457044 , 0.840693508358112 , -0.196055333674365 , 0.883978351133425 , -0.313785501133197 , -0.4750694090311 , -0.906213832027032 , 1.43486753961547 , -1.92856097438764 , 1.0975786543441 , -1.62737569216837 , -0.73282355949031 , 0.852833570567485 , 0.394907501468398 , 0.940187836353527 , -2.40936774811248 , -0.385007581916657 , -0.382237613567308 , 0.0136989109994433 , -1.07004514593425 , -0.848170353119135 , -0.254716827457698 , -0.905729493703617 , 0.306458331017293 , -0.562984944303761 , -0.949819259872424 , 0.877023021482457 , -0.182215636239337 , 0.162668732718286 , 0.739569557020833 , -1.69330501775679 , -0.411976713523973 | 0.0292710 |
| 91 | 50 | 0.5 | 0.0 | 0.5 | control , control , control , control , control , control , control , control , control , control , control , control , control , control , control , control , control , control , control , control , control , control , control , control , control , control , control , control , control , control , control , control , control , control , control , control , control , control , control , control , control , control , control , control , control , control , control , control , control , control , intervention , intervention , intervention , intervention , intervention , intervention , intervention , intervention , intervention , intervention , intervention , intervention , intervention , intervention , intervention , intervention , intervention , intervention , intervention , intervention , intervention , intervention , intervention , intervention , intervention , intervention , intervention , intervention , intervention , intervention , intervention , intervention , intervention , intervention , intervention , intervention , intervention , intervention , intervention , intervention , intervention , intervention , intervention , intervention , intervention , intervention , intervention , intervention , intervention , intervention , -0.198475875769666 , 0.445080979399981 , 0.621482550134787 , 0.486619770069072 , -0.320473204435802 , -0.211477821187402 , 0.25177424032249 , 0.415702210584665 , 0.136736485797902 , -0.213359716053495 , 0.438366026428771 , 0.014774251317795 , 0.141220706427095 , -0.515710540195653 , -0.529035815675983 , -0.378342439675186 , -0.0693145716855505, 0.0673625113684222 , 0.364089569582549 , -0.459504304992185 , 0.534691401585286 , -0.425957604359799 , -0.34520939276635 , -0.221011638875435 , -0.0779429056806616, 0.741166607681566 , 0.0781677274292829 , -0.461943879377384 , 0.66172108211894 , 0.651161730087623 , -0.277127485329569 , -0.270019564469569 , 0.454689339724093 , 0.70155176946572 , 0.572809310557753 , -0.148329943989719 , 0.142787186744689 , -0.12668960871973 , 0.083080749192008 , -0.250861724438701 , 0.00423776949347102, 0.452253977602026 , -0.615674252789638 , -0.512844551729138 , -0.240022666945637 , -0.0276430382000398, 0.560642174122992 , -0.230872414681738 , 0.309851682821535 , -0.996728987573188 , -0.0544871958519523, 0.0578996459133261 , 1.61073804581621 , 0.465945244667519 , -0.383720470086276 , -0.48362335657528 , 0.476916368382525 , 0.343549808346174 , -0.402633106183306 , 0.237140081695617 , 0.680766823367699 , -0.13174611284608 , -0.472440473874037 , 1.3638786503607 , 0.0578421213181539 , 0.401636539538833 , 1.00737081657524 , 0.443260030997472 , 0.620365066144076 , 0.531224851694454 , 0.40976243307895 , -0.339040437743655 , 0.9647315590386 , -0.514354119606032 , 0.725365170513381 , 0.301459794260748 , 0.917837345235374 , 0.595781996158451 , 0.62631349054901 , 0.53307528449214 , 0.869371418038434 , -0.349191298982554 , 1.01622452061884 , 0.673792184984824 , 0.423136496034597 , 0.295665966386576 , -0.313627074574 , -0.255148673243687 , 1.13949741534512 , 1.16829274939109 , 0.036539144186386 , 0.734461648697946 , 0.63233409727798 , 1.07072017439131 , 0.517222367013985 , 0.135363831965033 , -0.415779345008505 , 0.84113468684593 , 2.02715868561534 , 0.257576651580521 | 0.0001454 |
| 91 | 50 | 0.5 | 0.0 | 1.0 | control , control , control , control , control , control , control , control , control , control , control , control , control , control , control , control , control , control , control , control , control , control , control , control , control , control , control , control , control , control , control , control , control , control , control , control , control , control , control , control , control , control , control , control , control , control , control , control , control , control , intervention , intervention , intervention , intervention , intervention , intervention , intervention , intervention , intervention , intervention , intervention , intervention , intervention , intervention , intervention , intervention , intervention , intervention , intervention , intervention , intervention , intervention , intervention , intervention , intervention , intervention , intervention , intervention , intervention , intervention , intervention , intervention , intervention , intervention , intervention , intervention , intervention , intervention , intervention , intervention , intervention , intervention , intervention , intervention , intervention , intervention , intervention , intervention , intervention , intervention , 0.227816911504761 , 0.707957670206387 , 0.629849810748746 , -2.0425053589598 , -0.758063315851094 , -0.142434646623481 , -0.729215815923737 , -2.16162809317955 , 1.73664483772725 , -1.06995040491483 , 0.428475262959013 , -1.78875386795166 , 0.053580956286916 , 0.274230844618159 , 0.54073220109009 , -1.09936961214094 , 0.0633312352816498 , 1.58521372500035 , -0.37835795215747 , -0.809848230063997 , 1.11230702519314 , -0.530168735427647 , -2.09348400240178 , 0.0607006561054815 , 1.27733965729129 , -0.111230326652478 , 1.33306522569269 , -0.128849784342286 , 2.07307699645251 , -0.0947313106172296 , -0.340139463234741 , -0.922602332322273 , -0.0488749048496311 , 0.396550945690749 , 0.43787596848106 , -0.786851240662987 , -0.61035500254247 , 0.511858263083643 , 0.751605115203088 , 0.15731357964653 , 1.31953098325681 , -0.424312947566287 , 0.855639474199117 , -0.932909264681943 , -1.07819688389889 , -0.521120200930699 , -0.165092945631454 , -1.37008691920945 , -0.239172075239044 , -0.785253485266869 , 1.14221726326217 , 0.00811982565746189 , -1.98741227129775 , -0.988614164392363 , -0.308310734560392 , 0.546279028889661 , 0.0254698283923605 , -0.0670145223992387 , 1.70952230497948 , 0.197166603318446 , 0.614505895231166 , -0.312247616982318 , 0.609423182183853 , 0.505220961094619 , 1.30504858749808 , 1.39403193055346 , 2.12092785538934 , 2.39229913155272 , -0.45030616348311 , 2.10615097023356 , 1.95546298812984 , -0.503395076052097 , 2.06153220609604 , 1.50502302085566 , -0.484625738205702 , -0.662727889188219 , 0.229513052111214 , -0.183202768642478 , -0.0728242088804079 , 1.36592972072975 , -1.16368237503465 , 1.71694509287475 , 0.674846988856168 , 0.0365874662059313 , 0.332928073483511 , -0.435437362568091 , 0.779663407032728 , -1.29728991087183 , 1.1628196597799 , 1.36130635086678 , 0.886627058227578 , 1.2035355424794 , 0.840823578706773 , -0.000341771654633227, 0.249206629747472 , -0.248416233475514 , 1.85520040522216 , 0.866485638104991 , -0.555404698643689 , 1.33663873173937 | 0.0023460 |
| 91 | 50 | 0.5 | 0.1 | 0.5 | control , control , control , control , control , control , control , control , control , control , control , control , control , control , control , control , control , control , control , control , control , control , control , control , control , control , control , control , control , control , control , control , control , control , control , control , control , control , control , control , control , control , control , control , control , control , control , control , control , control , intervention , intervention , intervention , intervention , intervention , intervention , intervention , intervention , intervention , intervention , intervention , intervention , intervention , intervention , intervention , intervention , intervention , intervention , intervention , intervention , intervention , intervention , intervention , intervention , intervention , intervention , intervention , intervention , intervention , intervention , intervention , intervention , intervention , intervention , intervention , intervention , intervention , intervention , intervention , intervention , intervention , intervention , intervention , intervention , intervention , intervention , intervention , intervention , intervention , intervention , 0.976882326626955 , 0.25185650188258 , -0.686516400652966 , 0.779942345130793 , 0.459893770333036 , 0.292443581760896 , -0.186836445160852 , 0.69692089967449 , -0.187500287462675 , 0.450308892772307 , -0.0603896370653302, 0.297922034918744 , 0.571272443186611 , -0.026907383653137 , 0.169679403032651 , 0.637510507664286 , 0.203721089191197 , -0.127310345123433 , 0.0901308019666044 , 0.37116756480028 , 0.290881714064085 , 0.3322902066184 , 0.186673961977521 , 0.530411172281235 , 0.367823364024871 , -0.611667951822065 , 0.211133396750246 , 0.0102621269075275 , -0.348259517046503 , 0.433510878764248 , 0.288549662165106 , 0.206778261818993 , -0.553977152023834 , 0.586080326798322 , 0.430748328008943 , -0.565797816211841 , -0.244925345999395 , 0.175315668982091 , 0.0535731560555218 , 0.281264397266324 , 0.524585795951531 , -0.106235193170474 , -0.469244440082704 , 0.271168169143595 , -0.28712118954154 , 0.377967036836195 , -0.251450343183282 , 0.341178471163263 , 0.484302559162238 , -0.470642967204521 , 1.38342709837471 , 0.00268590708202099, 0.904424183925724 , 0.502818618304388 , 0.370053539989756 , 0.452134529980903 , 0.346456954253433 , -0.103907524099465 , 0.470831532262488 , 0.432429533777253 , 0.933316022329342 , -0.064718585948686 , 0.559606759961897 , 1.00824320557677 , 1.10378409824785 , 0.205852767447865 , 0.841770190473726 , 0.877426364916427 , 1.29071847331475 , 0.740118946971079 , 1.00375925730568 , -0.74595556465553 , 0.640223657262827 , 0.51108818354027 , 0.954317170101336 , -0.628628461132031 , 0.514890279193253 , -0.186211201253647 , 0.0802027802798531 , 0.574050168527533 , 0.778032573771292 , 0.448024856568422 , 0.652892802856946 , 0.131924382374484 , -0.0740725413541856, 0.437278969478907 , 0.539258589190794 , 0.341913329545853 , 0.689033789355007 , 0.0609072399022924 , 0.940971074419641 , -0.294947595194416 , 0.177001347900021 , 0.823815417424951 , -0.236430822782005 , 0.736076326624449 , 0.148732142529952 , -0.213923800681417 , 0.0349040949727148 , 0.752660633404663 | 0.0012061 |
| 91 | 50 | 0.5 | 0.1 | 1.0 | control , control , control , control , control , control , control , control , control , control , control , control , control , control , control , control , control , control , control , control , control , control , control , control , control , control , control , control , control , control , control , control , control , control , control , control , control , control , control , control , control , control , control , control , control , control , control , control , control , control , intervention , intervention , intervention , intervention , intervention , intervention , intervention , intervention , intervention , intervention , intervention , intervention , intervention , intervention , intervention , intervention , intervention , intervention , intervention , intervention , intervention , intervention , intervention , intervention , intervention , intervention , intervention , intervention , intervention , intervention , intervention , intervention , intervention , intervention , intervention , intervention , intervention , intervention , intervention , intervention , intervention , intervention , intervention , intervention , intervention , intervention , intervention , intervention , intervention , intervention , 1.24314312314467 , -1.05215140408628 , -0.405230205559419 , 1.93982863113515 , 0.559834869371922 , 1.12188602155966 , -0.70400253904769 , -0.865578768908567 , 2.24122611837039 , 0.121942311540553 , -1.23184589088675 , -0.0464562823905523 , 1.41765828322415 , 0.302901199043661 , 0.737301486344004 , -0.783334990078081 , 1.81300000366614 , 1.03379273709683 , 1.90057981555274 , 0.0814836582229508 , -2.23433116158277 , 1.87083616065838 , 0.950739695166693 , 0.235797294182918 , 1.40403989441994 , 0.379883976604925 , -0.821337379716439 , -0.678685900964684 , 0.226036946713993 , 2.603844095103 , 0.380709552748374 , -0.489019683311527 , 1.75470514670784 , -0.0624573756972308 , 0.770659902753378 , 0.874334641219274 , -1.21775939492465 , 0.290941768903414 , 2.39043368850205 , 1.2825764030339 , 0.441305542595285 , -0.0519745843954946 , 1.4425859152442 , 1.46331595965266 , 0.584486939158575 , -0.651567102269881 , -0.418580987574602 , -1.73399757636996 , -1.02812714405553 , 0.497259779542335 , -0.0794538113701381 , 2.1247706436277 , 0.418327127453956 , 0.407480177722882 , -0.488336092359281 , 0.841337040581962 , 0.289174683646714 , 2.49412365319716 , 0.342989486143115 , -0.494797401642202 , 1.32661690139668 , -1.79427511181859 , -0.931681340713432 , 0.933087965823547 , 0.249285051403105 , -0.0727900214096767 , 0.414496535038158 , 2.02501444043704 , -1.25867860986322 , 1.03233587222943 , -0.194741477059867 , -0.102813805988467 , 0.281376102491552 , 1.17880250403186 , 3.35805497225453 , 0.54063492029948 , 1.21721542796689 , -0.846772796614165 , 0.501867516209321 , -0.394977351966023 , 0.611044205297612 , -0.0589636572486236 , -0.387347117531086 , 1.13469597564235 , 0.180098141050998 , -0.000197487233778659, 0.15754652355833 , 0.408551812951456 , 0.290244785877357 , 1.7381197718486 , 2.67853849647444 , -0.583997411778535 , 0.666801506460966 , 1.12523458703351 , 0.654045820517371 , 0.154533264638586 , 0.685981492988853 , -0.42573669422685 , 1.10877719883089 , 1.20442813734978 | 0.6531900 |
| 92 | 20 | 0.0 | 0.0 | 0.5 | control , control , control , control , control , control , control , control , control , control , control , control , control , control , control , control , control , control , control , control , intervention , intervention , intervention , intervention , intervention , intervention , intervention , intervention , intervention , intervention , intervention , intervention , intervention , intervention , intervention , intervention , intervention , intervention , intervention , intervention , 0.232047836852063 , -0.595747861039857 , -0.0101507504795134, 1.18034912916814 , -0.419510551831617 , -0.0969439376537523, -1.04562381168056 , 0.0753850008237725 , 0.0636467185406396 , -0.756392161665248 , -0.684256376849402 , -0.607274718093078 , 0.55538752907428 , 0.991212523022498 , 0.720485335224565 , -0.108319690671116 , -0.329209049410163 , 0.9607896716845 , 0.726950939089397 , 0.12688443940184 , 0.286379678790413 , 0.75172004988217 , 0.00874647465130772, 0.550990206692398 , -0.301295278033619 , 0.410063018745236 , -0.616675519939797 , -0.0927676832313297, 0.648614022590467 , 0.269484491594692 , -1.1531034705432 , -0.0422556224963392, 0.100279512479622 , 0.404105375068335 , -0.580768117459862 , -0.206608928519231 , -0.0850955508233268, -0.582781380426953 , -0.330346379583929 , 0.45561678635871 | 0.7663000 |
| 92 | 20 | 0.0 | 0.0 | 1.0 | control , control , control , control , control , control , control , control , control , control , control , control , control , control , control , control , control , control , control , control , intervention , intervention , intervention , intervention , intervention , intervention , intervention , intervention , intervention , intervention , intervention , intervention , intervention , intervention , intervention , intervention , intervention , intervention , intervention , intervention , -0.566512172667965 , -1.941086222866 , -1.17578285338452 , 0.0941175292822792 , 1.40260905375037 , -1.59680712739365 , 0.730136195337383 , 0.776119503686448 , 0.522179122990942 , 0.580828832103686 , 0.588633732739226 , -1.18948753289539 , 2.48042022410173 , -0.712498351842996 , -0.0853983744808426, -0.100049788000459 , 1.12261199876197 , -0.179442326210827 , -1.01538437294507 , -1.12981007622113 , -1.04530086545797 , 0.975217759753414 , -0.113357776979042 , -1.88343406531222 , -0.365953627111966 , 0.978392313322011 , -0.533083764573823 , 0.360321078890511 , 1.22560884792298 , 1.98394212506095 , 0.109474712934017 , 2.08310272621231 , 1.60241361936081 , 1.16955417725779 , -0.256416243942184 , -0.179185460238213 , 1.37206118991843 , 0.549925810336551 , -1.20235941627241 , -1.41403208944036 | 0.3478263 |
| 92 | 20 | 0.0 | 0.1 | 0.5 | control , control , control , control , control , control , control , control , control , control , control , control , control , control , control , control , control , control , control , control , intervention , intervention , intervention , intervention , intervention , intervention , intervention , intervention , intervention , intervention , intervention , intervention , intervention , intervention , intervention , intervention , intervention , intervention , intervention , intervention , -0.990491518344642 , -0.440791428548766 , 0.611619596450886 , 0.37120361244674 , -0.948606124552395 , 0.0582849677333266 , 0.442915181558785 , 0.322980585169124 , 0.252666601325756 , -0.154062861662125 , 0.625201155718888 , 0.715377975473751 , 1.09761972900337 , -0.676867529120393 , -0.765297504776817 , 0.462847306948887 , -0.416809285405334 , -1.23566531493722 , -0.231366154483199 , -0.646775580249044 , 0.435874727494843 , -0.17558136688915 , -0.00752345085829571, 0.239300123305673 , -0.00246660906314395, -0.139550404597261 , -0.598814481548032 , 0.294861847359162 , 1.03247880333503 , 0.518146004714514 , 0.120565639700068 , 0.42799897669673 , 0.736773400159005 , 1.0062175771139 , -0.117793898493935 , 0.0253093423243361 , -0.119928331883947 , 0.274287181098595 , -0.226826307352568 , -0.170780262010069 | 0.1558702 |
| 92 | 20 | 0.0 | 0.1 | 1.0 | control , control , control , control , control , control , control , control , control , control , control , control , control , control , control , control , control , control , control , control , intervention , intervention , intervention , intervention , intervention , intervention , intervention , intervention , intervention , intervention , intervention , intervention , intervention , intervention , intervention , intervention , intervention , intervention , intervention , intervention , 0.351256055899054 , -0.05895289931672 , -0.64966547558352 , -0.371787481850196 , -1.169909398808 , -2.53659017894396 , 1.29017332306915 , -0.293225747006288 , -0.491343529321521 , -1.10198619304917 , -0.843211444110425 , 0.424232029830795 , 1.08319663449437 , -0.416177491953687 , 1.41497280723605 , -0.525709495697589 , 0.124478847535919 , -1.7056414196642 , -0.934343121774062 , -0.388377413752407 , -0.0877137629033813, -0.220140963934862 , -1.38770391123601 , 1.12492123518044 , 0.0151289979920967 , -0.846250803174268 , 0.333501079896885 , -0.851294230674644 , -0.131181399662477 , 0.333604204156637 , -0.139048295029583 , 0.110697211966477 , -1.48779297306565 , -0.130630246879549 , -0.350197084297548 , -0.2965921922894 , -0.61399087669568 , -0.352723925944202 , -1.4975737802633 , -0.0417719260334431 | 0.9572110 |
| 92 | 20 | 0.5 | 0.0 | 0.5 | control , control , control , control , control , control , control , control , control , control , control , control , control , control , control , control , control , control , control , control , intervention , intervention , intervention , intervention , intervention , intervention , intervention , intervention , intervention , intervention , intervention , intervention , intervention , intervention , intervention , intervention , intervention , intervention , intervention , intervention , -0.00556210348600446, -0.922390998371446 , -0.160574815942131 , -0.0662019399067235 , 0.436634562857369 , -0.600761074851583 , -0.427546026926937 , 0.355195724683917 , -0.285681642565745 , -0.439290455169875 , 0.115259987415745 , 0.930553729904201 , -0.188842419834918 , 0.324222042224866 , 0.317744192263017 , 0.630639461106948 , 0.172695670485418 , -0.456922125130622 , -0.385313772742347 , -0.380309534842451 , 0.708015002429722 , 0.983023371656085 , 1.09772896620256 , -0.199436318632906 , 0.426225994269811 , -0.136127299935256 , -0.294375697455715 , 1.40611972735622 , 0.0769072211785635 , 0.411402070474681 , 1.26805259045983 , 0.467266886619077 , 0.75059703995466 , -0.239257564191071 , 0.385574189644258 , 0.185324930924821 , 0.527800953844902 , 0.95696088922728 , 0.944606214109215 , 0.334768885336822 | 0.0008579 |
| 92 | 20 | 0.5 | 0.0 | 1.0 | control , control , control , control , control , control , control , control , control , control , control , control , control , control , control , control , control , control , control , control , intervention , intervention , intervention , intervention , intervention , intervention , intervention , intervention , intervention , intervention , intervention , intervention , intervention , intervention , intervention , intervention , intervention , intervention , intervention , intervention , 1.64010446710264 , -2.34631443792115 , -0.313678035343311 , -0.70781591313278 , -0.709979666344205 , -1.05004662650459 , 0.824508554433168 , -0.463792872748038 , -0.873486651556775 , 0.0446042533645596 , -0.797048315335078 , -2.1286146855926 , -0.509073356487244 , -1.0161522664398 , 0.310458507093783 , 0.314738184280351 , 0.0154285349620401 , 1.34070861732085 , -0.869470321447859 , -2.13100378778774 , -0.320532241377029 , -0.232001891886454 , 0.458633671190233 , -1.01008746420242 , 1.42313078714691 , 0.245202073451354 , 1.40177568724937 , 1.78766429145359 , -1.29078149694387 , 0.50858269307797 , -0.232288672663279 , 1.79864867133916 , 0.758116309238137 , 2.59109808542013 , -0.635998325301543 , -1.15274321179111 , -0.824731321667833 , -0.630140761468722 , -0.0821045272894397, -0.0231499810738249 | 0.0478118 |
| 92 | 20 | 0.5 | 0.1 | 0.5 | control , control , control , control , control , control , control , control , control , control , control , control , control , control , control , control , control , control , control , control , intervention , intervention , intervention , intervention , intervention , intervention , intervention , intervention , intervention , intervention , intervention , intervention , intervention , intervention , intervention , intervention , intervention , intervention , intervention , intervention , 0.0836001980795605 , 0.108215531974291 , 0.419471160083578 , 0.118284352853065 , -0.00999708730808242, 0.541243493307032 , 0.49189584980454 , 0.595936433419324 , 0.441263503766869 , -0.319241026646467 , 0.342283262414296 , -0.343852951101503 , -0.138972142267564 , 0.585311881441083 , -0.414384982356982 , -0.742692489003234 , 0.828690132223127 , 1.65566406623165 , 0.195162088246822 , -0.955027209882912 , 0.75667259473566 , 0.189595070837274 , 0.137778827038322 , 0.598815844461079 , 0.562556438855726 , 1.08250925442887 , 0.264488166022659 , 0.435239439274037 , 0.701662289179316 , 0.0173733127361491 , 0.238122240379439 , 0.685355784187343 , 0.977656800732933 , 0.749475554087215 , 0.78525074170019 , 0.205292337515068 , 0.0261428619436724 , 0.120726642423881 , 0.487529452957631 , 0.482990740745903 | 0.0497140 |
| 92 | 20 | 0.5 | 0.1 | 1.0 | control , control , control , control , control , control , control , control , control , control , control , control , control , control , control , control , control , control , control , control , intervention , intervention , intervention , intervention , intervention , intervention , intervention , intervention , intervention , intervention , intervention , intervention , intervention , intervention , intervention , intervention , intervention , intervention , intervention , intervention , 0.351336229108829 , -0.259351358951285 , -1.86699948867225 , -1.73030907827878 , 0.789782435681664 , -0.111007513470536 , 0.821890368648831 , -0.763696398727622 , 1.22161292638691 , -0.501013326882455 , 0.423640341739576 , -0.389377288877187 , 0.705337500957374 , 0.723025662356762 , 0.0070331351068115 , -1.69307863164474 , 1.56500678531666 , -0.358539690185644 , 0.850611801058734 , 0.84775340767351 , 1.04633394165416 , 0.268046041282345 , 0.408043182290977 , -0.8152442953028 , 0.574244925830838 , 0.696130047526435 , 1.44247517504472 , 1.70235914836815 , 1.47836873943232 , -0.44059282872244 , 0.770915504277787 , -0.810099361270608 , -0.228436748210716 , 0.442791607373472 , -0.0285758633353034, 2.68675259432999 , 0.081240812105305 , 0.179032746138255 , -0.465559349876797 , 0.474033866215592 | 0.1448624 |
| 92 | 50 | 0.0 | 0.0 | 0.5 | control , control , control , control , control , control , control , control , control , control , control , control , control , control , control , control , control , control , control , control , control , control , control , control , control , control , control , control , control , control , control , control , control , control , control , control , control , control , control , control , control , control , control , control , control , control , control , control , control , control , intervention , intervention , intervention , intervention , intervention , intervention , intervention , intervention , intervention , intervention , intervention , intervention , intervention , intervention , intervention , intervention , intervention , intervention , intervention , intervention , intervention , intervention , intervention , intervention , intervention , intervention , intervention , intervention , intervention , intervention , intervention , intervention , intervention , intervention , intervention , intervention , intervention , intervention , intervention , intervention , intervention , intervention , intervention , intervention , intervention , intervention , intervention , intervention , intervention , intervention , 0.267374055768738 , -0.508345189252642 , -0.274351697706325 , -0.0872885760680315, -0.30887826384005 , 0.00795715176975445, 0.164930252881585 , -0.189353304754037 , -0.20918899020518 , 0.341014054428586 , 0.575249239228693 , 0.142757737638493 , 0.546214168507025 , -0.339508491018973 , -0.513453498020754 , -0.481101157979162 , 0.0801034693147029 , -1.03535948549634 , 0.721122059592928 , 0.450626206904647 , -0.239667869603121 , -0.216007923263096 , 0.938476032349191 , 0.950089064904342 , -0.0589844878545627, -0.68511843274353 , -0.704467391689242 , 1.34743978993373 , 0.299067453220086 , -0.89079132787314 , 0.134443776093583 , -0.421030762706661 , -0.273281716013819 , 0.402930576031982 , 0.675499974784857 , -0.177016322387212 , 0.395787876241319 , 0.153620739133166 , -0.122594199107339 , 1.02225782676228 , -0.154076987990242 , -1.28064804854237 , -0.405538218286817 , 0.875827803687176 , -0.258565850636454 , -0.281073760002359 , -0.279335439384599 , 0.191206153458064 , 0.296585200827391 , 1.12560308941363 , -0.265124165495784 , -0.0885343166115917, 0.236657542582087 , 0.332645943055858 , 0.347358666338693 , -0.553050103953297 , 0.548043627210269 , -0.477419056438726 , -0.305926089182466 , 0.846244340797805 , -0.125073124032952 , -0.310841311047747 , 1.45696601439821 , -0.0470159710126176, -0.0304068167547906, 0.646653130563746 , 1.27358774850367 , -0.643544830334254 , 0.443583272878359 , 0.019851483150848 , -0.463703682011791 , 0.197386662729612 , 0.186024203694727 , -0.271108139012038 , -0.237706373276382 , 0.720645775696889 , 0.0984857937690997 , -0.960165374979602 , 0.079757321791546 , 0.30896117086552 , 0.197508876919712 , 1.091565580009 , -0.167401402872614 , -0.604596787907647 , 0.569023991283966 , -0.292849005286606 , -0.154137106100562 , -0.315858721897168 , 0.101915684881743 , -0.147220880738319 , -0.374058935416208 , -0.132213095392852 , -1.31744219175155 , -0.0889329720925743, -0.767703624490628 , 0.351468716441997 , -0.147576957763227 , -0.631613718773407 , 0.476792863032755 , 0.0281838746383959 | 0.8465557 |
| 92 | 50 | 0.0 | 0.0 | 1.0 | control , control , control , control , control , control , control , control , control , control , control , control , control , control , control , control , control , control , control , control , control , control , control , control , control , control , control , control , control , control , control , control , control , control , control , control , control , control , control , control , control , control , control , control , control , control , control , control , control , control , intervention , intervention , intervention , intervention , intervention , intervention , intervention , intervention , intervention , intervention , intervention , intervention , intervention , intervention , intervention , intervention , intervention , intervention , intervention , intervention , intervention , intervention , intervention , intervention , intervention , intervention , intervention , intervention , intervention , intervention , intervention , intervention , intervention , intervention , intervention , intervention , intervention , intervention , intervention , intervention , intervention , intervention , intervention , intervention , intervention , intervention , intervention , intervention , intervention , intervention , -2.61226846630531 , 0.279521240646507 , -0.610395416446241, 1.87121542989256 , 2.06655577109727 , -1.29335172571982 , -0.499623715210058, -1.47401475728739 , -0.43631156230801 , 0.720851480345495 , -0.551540948394599, -1.30601753814912 , -0.509189881027111, -1.15543401222448 , 0.312791389045277 , -0.546997068613264, 1.53120181712258 , -2.5517615295852 , 0.691745453139001 , -0.532834539662212, -0.196547091648497, 1.34879503155312 , 0.696967484686766 , -1.65684112756704 , -0.785347992143123, 0.0329946602393534, 1.83294540845527 , -1.58369677898349 , 0.164407135867695 , -1.30911693367813 , -0.481165974135051, 0.960452246529076 , 1.84003487255775 , -0.800485050713039, -0.796189484307368, -0.456538009527411, 1.58062263307853 , 0.137084587482006 , 0.239601797832074 , 1.46644710138728 , 0.664969221337079 , -0.535934226542178, 0.666880394524752 , 1.32426886617468 , 0.31141174774527 , -1.09230623161006 , 0.0776651729136256, -0.181246249818649, -0.199172938754691, -0.079675169957762, -0.889346469523429, 0.58452978180418 , -0.996506427661776, 0.761798688499521 , 0.195340310662485 , 0.26737469775606 , -0.793933874380419, 1.42167793879263 , 0.20199235197766 , 0.581767876707334 , -0.104962260945073, 0.275132378519059 , 0.638956763836184 , 0.683891180419696 , -0.7062750415269 , 1.64529143392975 , -2.05547771739958 , 0.403048343122917 , 0.812175357157334 , 1.90231719007392 , -1.00058897127475 , 1.38342457757202 , 1.86175688496075 , 0.728653679876786 , 0.272007908234035 , 1.01719445206038 , 0.434602581065182 , 1.17294111436271 , 0.407401224357691 , 0.840385835154371 , -0.947178726889644, -0.944640822016754, 0.761425182091914 , -0.517358332048332, 0.991462746778918 , -0.968940128475118, 0.508813336611372 , -0.964675716085863, -1.70611562206492 , 1.2308690029273 , 2.53100821586325 , -0.542184386191196, -0.746739565190516, 0.417831284025267 , 0.525029184506833 , 0.321738954181519 , 1.01342706847477 , 0.981322488726659 , 1.54852752465289 , -1.84712527770542 | 0.1161793 |
| 92 | 50 | 0.0 | 0.1 | 0.5 | control , control , control , control , control , control , control , control , control , control , control , control , control , control , control , control , control , control , control , control , control , control , control , control , control , control , control , control , control , control , control , control , control , control , control , control , control , control , control , control , control , control , control , control , control , control , control , control , control , control , intervention , intervention , intervention , intervention , intervention , intervention , intervention , intervention , intervention , intervention , intervention , intervention , intervention , intervention , intervention , intervention , intervention , intervention , intervention , intervention , intervention , intervention , intervention , intervention , intervention , intervention , intervention , intervention , intervention , intervention , intervention , intervention , intervention , intervention , intervention , intervention , intervention , intervention , intervention , intervention , intervention , intervention , intervention , intervention , intervention , intervention , intervention , intervention , intervention , intervention , 0.278393114696979 , 0.927010682490606 , -0.147009006651159 , -0.0210284256833833 , 0.81327423284971 , -0.324772392222685 , -0.486643901089396 , -0.0287704770592079 , 0.154130406313049 , 0.571765422745327 , 0.329563667500745 , 0.754827496007654 , 1.2227096469986 , -0.254967077359505 , -1.16402314818068 , -0.31021765514301 , -0.00854618291515447, 0.458896394261426 , 0.038413106139372 , 0.0519444297582627 , 0.114637125633855 , 0.409888982807123 , -0.239172341427608 , -0.00513834859984089, -0.0533972569376858 , -1.21068652266162 , 1.02914560223525 , -0.269540359453999 , -0.627839007854132 , -0.362462355678906 , -0.347242727657395 , 0.855648767497655 , 0.150277536477284 , 0.460572697854232 , -0.34323230439486 , 0.885458474367691 , -0.353679077950532 , 0.945253073743839 , 0.547009040669058 , 0.157625040868062 , -0.560706045037067 , -0.0579491811301951 , -0.37265874334341 , 0.255019871147604 , -0.153906806759571 , 1.46839708635048 , 0.0450302179538003 , 0.330524854056683 , 0.209900589402395 , -0.0726327654988259 , -0.130111483246787 , 0.361810947733172 , 0.00497135985896451 , 0.0523242360263762 , -0.45701535402186 , -0.176245005290559 , -0.241263274390267 , -0.435320635661098 , -0.316070713301594 , 0.519765315409627 , 1.18185152021763 , -0.162607275354817 , 0.363772676435749 , 0.0590764007615893 , 0.799647464799924 , 0.328088920680612 , 0.716772265188282 , -0.592731632232725 , -0.750508813546983 , 0.630733644544932 , -0.03854565601828 , 0.418304405514665 , -0.0377679691854506 , 0.365721146559711 , 0.170644737103353 , 0.055392238930927 , 0.0713251496045669 , 0.289948167025739 , -0.348841947932061 , 0.624704658678973 , -0.029067050902844 , 0.701540598693754 , -0.479832989714226 , -0.303000278380644 , -0.922185607569473 , 0.909177591716791 , -0.592814275729444 , -0.352510438378601 , 0.31237111484495 , -0.220614427247198 , 0.514352239859937 , -0.285956334773295 , 0.121312140928987 , 0.510552279240063 , 0.325329873904778 , -0.589882691583446 , 0.671500155804865 , -0.95386367451444 , 0.727058708116074 , 0.856683699564131 | 0.7867877 |
| 92 | 50 | 0.0 | 0.1 | 1.0 | control , control , control , control , control , control , control , control , control , control , control , control , control , control , control , control , control , control , control , control , control , control , control , control , control , control , control , control , control , control , control , control , control , control , control , control , control , control , control , control , control , control , control , control , control , control , control , control , control , control , intervention , intervention , intervention , intervention , intervention , intervention , intervention , intervention , intervention , intervention , intervention , intervention , intervention , intervention , intervention , intervention , intervention , intervention , intervention , intervention , intervention , intervention , intervention , intervention , intervention , intervention , intervention , intervention , intervention , intervention , intervention , intervention , intervention , intervention , intervention , intervention , intervention , intervention , intervention , intervention , intervention , intervention , intervention , intervention , intervention , intervention , intervention , intervention , intervention , intervention , 0.181205849158909 , 0.288764387870163 , -0.0924544545287736, 2.08546083704609 , 0.0680511539806828 , 1.01290743146857 , -0.719748063122954 , 0.527165984777765 , 2.36401301751643 , 1.05558395490739 , 3.47036106209382 , -0.815196129811278 , -0.860905062749666 , 0.53292139010317 , 2.4909864998805 , -0.531840257497381 , 0.918213293582274 , -1.02176431652686 , 0.600546656132827 , -0.496686037303506 , 2.61040820006996 , -0.708503635569938 , -0.638984386170619 , 0.377037394839853 , 1.32016859546215 , -0.236660676353654 , -0.890668834458944 , 1.00799794484982 , 0.0430183655473301 , 2.19622601423531 , 0.143326456023686 , 0.749353868223434 , -0.126745978589863 , 1.91424624800086 , 0.640699703114133 , -1.75385543381915 , -0.29525917406177 , 1.50236563496859 , -0.48075890859078 , 0.963419161523106 , 0.493435549052115 , 2.6303825520536 , 0.27568825311724 , -1.07373009099857 , 0.215318495433314 , 0.535560947127078 , 0.549460848183309 , -0.1286003694385 , -1.01789410303414 , 2.13548453927963 , -0.216028177246663 , -0.330841313247689 , -0.917254693445334 , 0.396233633455289 , 1.52139639763799 , 1.65643862836657 , -0.808048133038874 , -1.1200427744873 , 1.55244584944437 , -0.826104071996719 , 1.3296670983384 , 0.653644991569744 , -0.414061805790126 , 0.241282157074946 , -0.702635325174729 , -0.481101754604345 , 0.705449664047273 , -0.255856542580168 , 0.0782574322502718 , 0.0594728426852137 , 0.168695559455847 , -0.542410224303376 , 0.999563780763008 , 0.11031021265873 , 0.0437416109845371 , -1.50581950227551 , 1.0657588136878 , 1.59128859922828 , -1.63505424859156 , -1.44631865093578 , -1.06504033627175 , 0.341500178095277 , 0.154589275302124 , -0.0459126228962191, -0.830307931555867 , -0.952247041174848 , -0.783460356315074 , -0.580052212887964 , 1.64126773777552 , -0.03963318154507 , -1.29153300803806 , -0.830088841200795 , -0.0232472797996914, 0.129399337416864 , 0.175757698020242 , 0.492940748143501 , 0.114128067136073 , -0.362794921806582 , -0.18325752122495 , -1.1602035771491 | 0.0074032 |
| 92 | 50 | 0.5 | 0.0 | 0.5 | control , control , control , control , control , control , control , control , control , control , control , control , control , control , control , control , control , control , control , control , control , control , control , control , control , control , control , control , control , control , control , control , control , control , control , control , control , control , control , control , control , control , control , control , control , control , control , control , control , control , intervention , intervention , intervention , intervention , intervention , intervention , intervention , intervention , intervention , intervention , intervention , intervention , intervention , intervention , intervention , intervention , intervention , intervention , intervention , intervention , intervention , intervention , intervention , intervention , intervention , intervention , intervention , intervention , intervention , intervention , intervention , intervention , intervention , intervention , intervention , intervention , intervention , intervention , intervention , intervention , intervention , intervention , intervention , intervention , intervention , intervention , intervention , intervention , intervention , intervention , -0.352650216511567 , -0.238603532718271 , -0.777906313398727 , 0.205827361897041 , -0.51403699116429 , -0.128142032486657 , -0.455384480221537 , 0.228220159506076 , 0.14063602282246 , -0.0139836209853957 , 0.248143017443838 , -0.401247351659282 , -0.964233436893673 , 1.1938567260747 , 0.740129327779598 , 0.0674583854826081 , -0.149257307663827 , 0.102448662694733 , 1.24122941226823 , -0.470991023629448 , -0.34700796412869 , -0.478426733789277 , 0.00454733030568154 , -0.299466405020079 , -0.465033003435758 , -0.360729338882514 , -0.372322444770309 , -0.79635732684273 , -0.0641159918199038 , -0.108849156776951 , -0.758896217206001 , -0.495307831105638 , 0.193369659327526 , -0.46907733310423 , -0.794234217711162 , -0.429563127232239 , 0.161501903129748 , 0.181684886233167 , 0.227179048885465 , 0.0587198559624377 , -0.256648137171547 , 0.0112692552176214 , 0.579753742358329 , -0.74138173499489 , -0.00810355564448582, -0.289789406515682 , -0.751613649803378 , -0.699584748906786 , 0.492514097389832 , 0.79073479712503 , 0.665886471271465 , 1.09295711352961 , 0.444832428920128 , 0.0131246702483353 , 0.873750205671376 , 0.738401667368958 , 0.966644506545201 , 0.494488162894792 , 0.324261492166559 , 0.306857443292011 , -0.636146953608972 , -0.719297041129976 , -0.226832526377359 , 0.0504989429911888 , 0.30114089590337 , 0.453217212251567 , 0.180858607974064 , -0.374151742337749 , 0.953047070451199 , 0.938206667138614 , 0.491051088580374 , 0.805178656316486 , 0.665762941868813 , 1.45671022701755 , 0.631905998650801 , 0.957385328844037 , 1.08361913124869 , 0.983488075117206 , -0.508293248596365 , 0.146535515179676 , 0.688666549269984 , -0.329038982590365 , 0.480675567498849 , 0.377627239640809 , 0.558847398684035 , 1.04179170664283 , 0.248839051694052 , 0.625479521836774 , 0.178313500761541 , 0.112659700417621 , 0.494959340579964 , 0.620182892111703 , 0.911460898393901 , 1.38847336852024 , 0.169059335405479 , 0.863271502843398 , -0.503411901012431 , 1.77479748469397 , 0.711466784414619 , 0.279416311079904 | 0.0000000 |
| 92 | 50 | 0.5 | 0.0 | 1.0 | control , control , control , control , control , control , control , control , control , control , control , control , control , control , control , control , control , control , control , control , control , control , control , control , control , control , control , control , control , control , control , control , control , control , control , control , control , control , control , control , control , control , control , control , control , control , control , control , control , control , intervention , intervention , intervention , intervention , intervention , intervention , intervention , intervention , intervention , intervention , intervention , intervention , intervention , intervention , intervention , intervention , intervention , intervention , intervention , intervention , intervention , intervention , intervention , intervention , intervention , intervention , intervention , intervention , intervention , intervention , intervention , intervention , intervention , intervention , intervention , intervention , intervention , intervention , intervention , intervention , intervention , intervention , intervention , intervention , intervention , intervention , intervention , intervention , intervention , intervention , -0.779335321292254 , 0.446619585483701 , 0.155402730895833 , 0.0748679675187053 , -1.37225618417093 , 0.408768384624128 , 0.105546924760786 , -0.248891246134322 , 0.969928219165583 , 1.30032400400834 , -0.344230883611696 , -0.757992618905216 , 2.48380298313527 , 1.32589222187255 , 0.495677399031804 , -1.33105385495592 , -0.447714750842906 , 0.536092931955146 , -1.63276672569972 , 0.00592507645143018, -1.27824712357979 , -1.58856492086303 , 2.36751423542803 , 1.15761855712601 , -0.0356331650426869, 0.791836670789785 , -0.272596109338331 , 1.0377033806182 , -0.206972560468498 , -0.243377037051425 , -1.33056953796479 , 0.903916853850882 , 1.66660839293697 , 2.91648908218871 , 1.32732617986507 , 0.783893679790793 , 0.939156484402899 , -1.23633900676823 , -2.2142694964235 , 0.55926336052428 , 0.908856057000774 , -0.687535174380851 , -1.14265517189964 , -0.791749058269418 , -0.30436194422198 , -0.434023436358674 , -1.16360336973488 , -1.30533360895131 , 1.57784563294026 , 1.40698178929341 , 0.145690734348901 , -0.523634702720797 , 1.50839172457067 , -1.0242383834958 , 2.0049607184777 , -1.04947321435371 , 0.258627618472765 , 0.946968673468029 , 2.25739222265489 , -1.02070069449846 , -0.126908840202756 , 1.31775992052824 , 0.0611273688546649 , 0.0698338642244779 , 0.352010347051967 , 0.0741355681672123 , 2.09234851869034 , -0.125968632601365 , -0.986845959578231 , 1.21640276124215 , 0.545794959613959 , 0.341415791388979 , 0.528152008884018 , 0.0508175505085085 , 3.05312829377084 , 0.436319515137361 , 0.966418143962239 , 1.39065666834523 , 1.16192094891308 , -0.528568889453052 , 0.706882690241741 , 0.0762855336563238 , 1.01328524560181 , 0.0127299789946607 , -0.559972166143137 , -0.769854017212653 , 0.887157659541031 , 3.19286506428623 , 1.29628088042987 , 1.16636014500724 , 1.35981530910731 , 0.0717069942614463 , 0.441260935908378 , -0.207179636305372 , 2.25682588481056 , 0.907235650637508 , 0.352647154999711 , -1.37807684387481 , 0.0603026179905925 , 0.779661155074977 | 0.0527168 |
| 92 | 50 | 0.5 | 0.1 | 0.5 | control , control , control , control , control , control , control , control , control , control , control , control , control , control , control , control , control , control , control , control , control , control , control , control , control , control , control , control , control , control , control , control , control , control , control , control , control , control , control , control , control , control , control , control , control , control , control , control , control , control , intervention , intervention , intervention , intervention , intervention , intervention , intervention , intervention , intervention , intervention , intervention , intervention , intervention , intervention , intervention , intervention , intervention , intervention , intervention , intervention , intervention , intervention , intervention , intervention , intervention , intervention , intervention , intervention , intervention , intervention , intervention , intervention , intervention , intervention , intervention , intervention , intervention , intervention , intervention , intervention , intervention , intervention , intervention , intervention , intervention , intervention , intervention , intervention , intervention , intervention , 0.284275752045912 , 0.483873543907511 , 0.21813643045349 , -0.137769312106492 , 0.578428764196966 , 0.729867096008494 , 0.29117483287538 , 0.308704637957298 , 0.817612277013324 , -0.185591297457695 , 0.202049206311874 , 0.286923157967817 , -0.00481640538105343, 0.256256699232272 , -0.310904817212988 , 0.0680271949592098 , 0.28845632532421 , 0.597497514274106 , 0.779128004058896 , 1.07427537716719 , 0.295696399298201 , -0.363328436087657 , -0.0911603548337363 , -1.30013445357002 , 0.370107136250146 , -0.150309164648052 , -0.299981009202961 , -0.326136310193163 , -0.208583636123631 , 0.666076711824632 , 0.489953761873563 , 0.207512988373777 , -0.718269686980203 , 0.288653504566186 , 0.529319871997703 , -0.221181962035188 , -0.152217364881776 , -0.0364224147270522 , 0.985833851940762 , -0.0879644542118076 , 0.372606605268034 , 0.229454221898227 , -0.806370156842624 , 0.434994588353542 , 0.365430617750503 , 0.275990774411074 , -0.619849340898761 , 0.824186835212504 , 0.28152041242483 , 0.0807561365256682 , 1.09912236409968 , 0.233500330102889 , 0.785281735375447 , 1.09942364168963 , -0.175580634203865 , -0.0458783126484076 , 0.88754506392038 , 1.38343612756751 , 1.13956393941413 , 0.463696999431214 , 0.575909232651193 , 1.10836587730624 , 0.702186882120193 , 0.0870285880318665 , 0.367159522958783 , 0.528706133381488 , -0.0957360669943315 , 0.854175690388174 , 0.415065731660035 , -0.0324319139498501 , 0.561387601260673 , 0.128431647801536 , 0.380862806744945 , -0.963634824762437 , 0.421387044582184 , 0.903159329514356 , 0.624969970075794 , 0.627889262164713 , 0.0619383576946962 , 0.740725541008046 , 0.337450314931775 , 0.57787493378454 , 0.882593521661209 , 0.643635071380823 , -0.175235881812652 , -0.368181326095235 , 1.13525780403502 , -0.217052178474369 , 1.21130816334101 , -0.372676680840134 , 0.00340202144276863 , 0.432840259375358 , 0.4414308877476 , 0.0693880284030485 , 0.488360325808575 , 1.10708641078697 , 0.900214604269495 , 0.302870723434232 , 0.457968262493862 , 0.212604543977857 | 0.0022658 |
| 92 | 50 | 0.5 | 0.1 | 1.0 | control , control , control , control , control , control , control , control , control , control , control , control , control , control , control , control , control , control , control , control , control , control , control , control , control , control , control , control , control , control , control , control , control , control , control , control , control , control , control , control , control , control , control , control , control , control , control , control , control , control , intervention , intervention , intervention , intervention , intervention , intervention , intervention , intervention , intervention , intervention , intervention , intervention , intervention , intervention , intervention , intervention , intervention , intervention , intervention , intervention , intervention , intervention , intervention , intervention , intervention , intervention , intervention , intervention , intervention , intervention , intervention , intervention , intervention , intervention , intervention , intervention , intervention , intervention , intervention , intervention , intervention , intervention , intervention , intervention , intervention , intervention , intervention , intervention , intervention , intervention , -0.397634200323908 , 1.99177014476414 , -0.864119946537565 , -0.0192331698137252 , -0.873566776271461 , -1.07328035661394 , 0.484816421479997 , 1.576764472159 , -0.057253033311831 , -0.383134646180849 , 2.48939527709775 , -1.78039320008014 , -0.53543811225483 , -0.0148983636982296 , 1.70067469037573 , 1.54728835234813 , -0.827793173786506 , -1.68619493366818 , -1.2103797982795 , -0.464275172520237 , -0.261326580464101 , 0.567671460159204 , -0.584389377433947 , 0.97105896297555 , 0.802695875912707 , -0.829948343820849 , -0.361004875087648 , -0.342706073187661 , 0.10611016500927 , -1.56113309972353 , 2.12319881426404 , 0.106317205267219 , 0.351012396387376 , 0.39854410674509 , -0.043058621631249 , 0.728028423848004 , -0.90924366823934 , -2.12776555125681 , 1.36423277823475 , 0.110528781680794 , -0.0399696545245006 , 0.178270037510358 , -0.736495964001035 , 0.770279662239194 , 0.449037680789257 , 0.958126337266486 , 0.231649074109301 , -0.0203398190057534 , 0.57458541878437 , 0.336652884293738 , 1.52166714428461 , -0.513386395382864 , -0.559057864305914 , 1.34539351442614 , 1.81389909568077 , 0.640783580869926 , -0.0603031381754979 , 1.77001401823734 , 1.25751813638606 , 1.03607225682904 , -0.463249637201853 , 0.956333425646743 , 1.58681926252412 , 0.13906880000221 , -1.04719015501669 , -0.655042918236705 , 1.06418773244998 , 0.577092041073003 , -0.102827397050485 , -0.0591122311041529 , -0.271719503455735 , 0.616704040651529 , 0.116840971083698 , 0.252945970871474 , 1.76777318963343 , -0.288946528900846 , 1.33327319566052 , -0.442470133925493 , 1.75131836463044 , 0.542597220776935 , -0.00293711533991681, -1.27254026511257 , -0.275482896327099 , 1.5591792345852 , 1.75859547377103 , -0.07943411404988 , 0.877476839383643 , 2.89792503510773 , 0.53290362056684 , -0.711805764710348 , -0.401023124687185 , 1.46753810657525 , 0.184966116369196 , 2.44640910438721 , 0.394026568731514 , -0.342691431002783 , 1.58488651145536 , 1.95556240343153 , 0.0550891791224703 , -0.81265182113602 | 0.0161242 |
| 93 | 20 | 0.0 | 0.0 | 0.5 | control , control , control , control , control , control , control , control , control , control , control , control , control , control , control , control , control , control , control , control , intervention , intervention , intervention , intervention , intervention , intervention , intervention , intervention , intervention , intervention , intervention , intervention , intervention , intervention , intervention , intervention , intervention , intervention , intervention , intervention , 1.04175494874059 , -0.259040711136811 , 0.192260798284232 , -0.189636476639816 , -0.469028065067867 , 0.15534872598133 , -1.27899613973198 , 0.484868346681648 , -0.0685714898571217, -0.643551309366398 , -0.360491431930513 , 0.236742757495067 , -0.831410910592121 , -0.745028683056071 , -0.325657030137949 , 0.152975002414978 , 0.669500531540941 , -0.706082223504625 , 0.693261997354173 , -0.699283946497056 , 0.294515984566659 , -0.123794681992915 , 0.0185990726333249 , 0.82045779797249 , -0.124814508957841 , 0.854116879759697 , -0.548767141386343 , 0.578190868053669 , -0.182790343949152 , -0.197192932487142 , 0.204179772964908 , 0.092480044242811 , 0.06351600747207 , 0.0661600001437257 , 0.672273238733384 , 0.593812933475993 , 0.112730961496896 , -0.139063064251417 , -0.106034110021934 , -0.464680382373044 | 0.0995976 |
| 93 | 20 | 0.0 | 0.0 | 1.0 | control , control , control , control , control , control , control , control , control , control , control , control , control , control , control , control , control , control , control , control , intervention , intervention , intervention , intervention , intervention , intervention , intervention , intervention , intervention , intervention , intervention , intervention , intervention , intervention , intervention , intervention , intervention , intervention , intervention , intervention , -1.53055890593493 , 1.11400455691496 , 2.30584486723418 , -0.260355510930877 , -0.133352105869882 , -1.36239466760774 , -1.44467769409435 , -1.43048263640656 , -0.614046930784893 , -0.0918614367100018, 0.402543278894061 , 0.645694966494293 , -0.535130722729754 , -0.216438407694952 , -0.667614130002688 , 2.10283792588954 , -0.746553680645562 , 0.305670189005269 , -1.08921545558637 , 1.4658595778854 , -2.28656518233716 , 0.882020850692963 , -0.297947521645171 , -0.480294949961985 , -0.322628740928903 , -1.19732233523527 , 0.377717697008289 , 1.24120798926364 , -0.208887547514528 , -0.14534260031585 , -0.149547746772329 , -0.494334787717092 , -1.28892601993669 , 0.14698296926107 , -0.170095727994579 , 0.0591558790184271 , 1.5887776344514 , -2.16177703110324 , 2.00686716719057 , -0.096324464128174 | 0.8640436 |
| 93 | 20 | 0.0 | 0.1 | 0.5 | control , control , control , control , control , control , control , control , control , control , control , control , control , control , control , control , control , control , control , control , intervention , intervention , intervention , intervention , intervention , intervention , intervention , intervention , intervention , intervention , intervention , intervention , intervention , intervention , intervention , intervention , intervention , intervention , intervention , intervention , 0.0143504646692549 , 0.302482691610928 , -0.243367133465844 , 0.392628593446343 , 0.285242375442742 , 0.752222431269125 , 0.313608956189147 , 0.0782223069721319 , 0.421064329612716 , 0.660565200746041 , -0.438973405556096 , -0.0215347507846054 , 0.518618187015606 , -0.47008805577631 , -0.868667303718424 , -0.302573114429969 , -0.0402181536167285 , 0.347243701414784 , 0.192278535126472 , -0.193736074933784 , 0.360686530800845 , -0.0536339491706547 , -0.0278754372054118 , 0.223873512650343 , -0.156849104918239 , 0.0664376726218377 , 0.0788784929805081 , -0.0974447717373384 , 0.271580441292468 , -0.77582661916278 , 0.000536148651193312, -0.388147310928463 , -0.418206774978193 , 1.47909129686754 , -0.157910960225107 , 0.81171561629026 , -0.192836708782186 , 0.848937757429236 , -0.314789805830711 , 0.289119208534548 | 0.9599086 |
| 93 | 20 | 0.0 | 0.1 | 1.0 | control , control , control , control , control , control , control , control , control , control , control , control , control , control , control , control , control , control , control , control , intervention , intervention , intervention , intervention , intervention , intervention , intervention , intervention , intervention , intervention , intervention , intervention , intervention , intervention , intervention , intervention , intervention , intervention , intervention , intervention , 1.65097527998079 , 0.140312318727861 , -1.2649744462263 , -0.61174526498664 , 0.1145720985285 , 0.338963536079101 , 0.290950794832785 , -0.479534268630691, 0.876914991005859 , -0.390172559198793, 2.25091367451895 , 0.39011510030138 , 0.94291656653201 , 0.26851987580575 , -0.681854284923675, -0.319611400594541, -0.782584254457555, -1.95478130123086 , 0.198699743371339 , -1.99579770073111 , 0.0228656319476969, 0.774839091595989 , -0.823103100702396, 0.467228658533941 , -0.413075465535493, -0.327338472377807, 0.172103059920249 , 0.821689476068984 , -1.61611980812503 , 1.23121863984839 , 0.349453545796376 , -0.507999040008893, 0.740379210888997 , -0.3683173310684 , 1.3678400500153 , -1.24359364239397 , 0.387746974085356 , -1.45352661017259 , -0.381506042610137, -1.21189691816154 | 0.8725867 |
| 93 | 20 | 0.5 | 0.0 | 0.5 | control , control , control , control , control , control , control , control , control , control , control , control , control , control , control , control , control , control , control , control , intervention , intervention , intervention , intervention , intervention , intervention , intervention , intervention , intervention , intervention , intervention , intervention , intervention , intervention , intervention , intervention , intervention , intervention , intervention , intervention , 0.200765597336059 , 0.205369311123033 , -0.166245683032267 , 0.360775563438339 , -0.122761015621362 , 0.191052804793188 , 0.57290630500954 , 0.362518623207891 , 0.0979390609468446 , 0.533896586725538 , -0.443922251383179 , -0.999274127315062 , -0.442753883001209 , -0.510896715034952 , 0.631901836394032 , 0.16770292510666 , -0.0130565513026281, -0.325423447775462 , 0.374818694402626 , 0.352915215085024 , 0.781460581942058 , 0.208430492603391 , 0.598434137353661 , 0.475841680689842 , -0.522784723718627 , 1.22882789042622 , 1.3984459111997 , 0.451219659329265 , 0.802967964874462 , 0.194077350942503 , 0.0892961577020589 , 0.187167267763695 , -0.439974499019851 , 0.093307214963093 , 0.919736120056884 , 0.76570060554438 , -0.264964694433264 , 1.38435027162506 , 0.567667905322146 , 0.348205960630764 | 0.0114088 |
| 93 | 20 | 0.5 | 0.0 | 1.0 | control , control , control , control , control , control , control , control , control , control , control , control , control , control , control , control , control , control , control , control , intervention , intervention , intervention , intervention , intervention , intervention , intervention , intervention , intervention , intervention , intervention , intervention , intervention , intervention , intervention , intervention , intervention , intervention , intervention , intervention , 2.05366535118205 , 0.389321426706338 , -0.762237815473748, 0.0485353322878259, 0.291667296391153 , 0.525577166607089 , -0.382671695194679, -0.592871876572167, -0.211192447391217, -1.70475610209813 , -0.360628599352662, -0.71061458436833 , 0.0269928953274486, 0.410932848172797 , 0.0580843741170763, 0.428478339250912 , 0.468845256229096 , -0.31955319872652 , -0.151040701517343, -1.13194604888094 , 0.946610749967858 , -0.195129728232648, 0.291997297880633 , 1.0619592423786 , 2.52217609432838 , 2.49213923270789 , -0.872706574314901, -0.101451232104426, -0.209967883913433, 1.21990465294734 , 0.0201683273245703, -0.837883818000194, -1.36972432089971 , 0.599983779291688 , -0.572734660273421, 1.90634760608582 , -1.37986480325923 , 2.18323694403821 , -0.835474516852124, 1.40642708607109 | 0.1404739 |
| 93 | 20 | 0.5 | 0.1 | 0.5 | control , control , control , control , control , control , control , control , control , control , control , control , control , control , control , control , control , control , control , control , intervention , intervention , intervention , intervention , intervention , intervention , intervention , intervention , intervention , intervention , intervention , intervention , intervention , intervention , intervention , intervention , intervention , intervention , intervention , intervention , 0.437575409604491 , 0.190815960234514 , -0.486317450930545 , 1.04852975199436 , 0.168493586285896 , -0.624315506477815 , -0.28238944980891 , -0.489346177825806 , 0.53719903929236 , 0.95587998699439 , -0.211109901637122 , 0.12673984538672 , -0.068206067632249 , 0.571998334956344 , 1.32756025395296 , 0.668647002081664 , -0.149788355199491 , 0.174221780560394 , 0.17247169661824 , -0.0141172019108949 , -0.721211929608682 , 0.740948884958824 , 0.151646780018752 , 0.0625905420490621 , -0.20456088091094 , -0.00112437137501964, 1.2163400917556 , 0.823464069895043 , 0.756823679031025 , -0.577389923937539 , 0.535257542028132 , 0.394352519426917 , 0.00916389398537315 , -0.299723792740098 , 1.09910872017788 , 1.00613826806974 , -0.539198327330405 , 0.894368896233221 , 1.12418155898826 , 0.401443406144269 | 0.4415625 |
| 93 | 20 | 0.5 | 0.1 | 1.0 | control , control , control , control , control , control , control , control , control , control , control , control , control , control , control , control , control , control , control , control , intervention , intervention , intervention , intervention , intervention , intervention , intervention , intervention , intervention , intervention , intervention , intervention , intervention , intervention , intervention , intervention , intervention , intervention , intervention , intervention , -1.00005550198752 , 1.18141404816377 , -1.85216023297744 , -0.785623321481111 , -0.279104503736365 , -0.279472414813787 , -0.17556916584773 , 1.38000120634883 , 0.0207071132905309 , -0.777688975820827 , -0.300162506527489 , -0.286852000326286 , -0.632932836427382 , -0.562295813242481 , -0.545824613901535 , 0.893472136413135 , 1.30001211313343 , -1.07751066503682 , 0.773892261711111 , -0.584013517169787 , -0.244010605725719 , 0.183940145368026 , 0.640382950101949 , 0.296810149906815 , 1.17917736965927 , -0.549177231260177 , -0.126323740511239 , 0.584181113614997 , 1.3752174905296 , 0.85838737502496 , -0.375017643194839 , 2.65960430913401 , -0.393766140468664 , 1.0939041166564 , 0.991382495388504 , -0.0142504229796219, 0.672740054813954 , 2.28402785487472 , 1.46457737736063 , 0.717459411431351 | 0.0038417 |
| 93 | 50 | 0.0 | 0.0 | 0.5 | control , control , control , control , control , control , control , control , control , control , control , control , control , control , control , control , control , control , control , control , control , control , control , control , control , control , control , control , control , control , control , control , control , control , control , control , control , control , control , control , control , control , control , control , control , control , control , control , control , control , intervention , intervention , intervention , intervention , intervention , intervention , intervention , intervention , intervention , intervention , intervention , intervention , intervention , intervention , intervention , intervention , intervention , intervention , intervention , intervention , intervention , intervention , intervention , intervention , intervention , intervention , intervention , intervention , intervention , intervention , intervention , intervention , intervention , intervention , intervention , intervention , intervention , intervention , intervention , intervention , intervention , intervention , intervention , intervention , intervention , intervention , intervention , intervention , intervention , intervention , 1.04283064561669 , -0.510014231607921 , 0.916376498183285 , -0.00633006852690985, -0.494464314803667 , 0.49969624685359 , 1.32584428577369 , 0.51587347404277 , 0.549459218444628 , 0.00113858207356688 , 0.503959503423073 , 0.260033229561109 , 0.264687092482784 , 0.00190073665967228 , 0.719735137356881 , -0.320237419310163 , -0.201258689642035 , -0.326493621780501 , 0.683810842950437 , 0.0516573155942736 , 0.648769916602161 , -0.232500789445423 , 1.0371563096032 , -0.568773306454445 , 0.425402683175225 , -0.233273812613022 , -0.228722870559189 , -0.428585539430683 , -0.386246942200778 , -0.610446813194425 , 0.215994611360869 , -0.306789523135055 , 0.60237633809445 , -0.406551406620446 , -0.313289637637704 , -0.256249601727149 , -0.480652398299636 , 0.331461493939903 , 0.0838738413945004 , -0.849835617548451 , -0.399743263290519 , -0.0554373787978423 , 0.512873455132912 , -0.146565604054224 , -0.0986204042605629 , -0.978247202043788 , 0.167111192814512 , -0.610005610810125 , -0.561874888380854 , 0.254918336463976 , 0.665078417739946 , 0.244121438863444 , 0.937868572906138 , -0.263809432915813 , 0.143955976876996 , 0.132840429604986 , 0.312338189632009 , 0.478372902039064 , 0.395711629307843 , -0.0784412415625776 , 0.162276057936984 , 0.563852128547172 , -0.0693288396481052 , -0.106261960817847 , 0.258854078824713 , 0.912050141679051 , 0.500419879399223 , 0.85209575144602 , -0.293431918698837 , 0.247188696154806 , -0.147651751119 , 0.153987273174164 , -0.247125287073413 , 0.347970994848618 , -0.336857785476874 , -0.0519243209812515 , -0.444534116539803 , 0.0589448792078635 , -0.534216026309742 , 0.18290977635796 , -1.30758321521117 , 0.44357227244298 , -0.256889727035724 , 0.143871943596941 , 0.370872765452951 , 0.0313190535056886 , -0.796878878601199 , 0.192548287432584 , 0.498144063086111 , 0.104303126002864 , 0.474931289026037 , 0.160508079858671 , 0.346956225851453 , -1.00360716608513 , 0.103174059410155 , -0.0386872966102036 , -0.0648571109297181 , 0.343225964322745 , -0.060144175211907 , -0.0234535300105171 | 0.5320834 |
| 93 | 50 | 0.0 | 0.0 | 1.0 | control , control , control , control , control , control , control , control , control , control , control , control , control , control , control , control , control , control , control , control , control , control , control , control , control , control , control , control , control , control , control , control , control , control , control , control , control , control , control , control , control , control , control , control , control , control , control , control , control , control , intervention , intervention , intervention , intervention , intervention , intervention , intervention , intervention , intervention , intervention , intervention , intervention , intervention , intervention , intervention , intervention , intervention , intervention , intervention , intervention , intervention , intervention , intervention , intervention , intervention , intervention , intervention , intervention , intervention , intervention , intervention , intervention , intervention , intervention , intervention , intervention , intervention , intervention , intervention , intervention , intervention , intervention , intervention , intervention , intervention , intervention , intervention , intervention , intervention , intervention , -0.0766683903992957, -1.02328074334052 , 0.540270050122455 , -0.042793981489455 , 0.358876727084375 , 0.420099985085646 , 0.351929998524415 , 0.0387680660226596 , 0.682183374069696 , 0.385033202616033 , 0.856227261214561 , 1.18546915077933 , 0.459746745673526 , 0.696750389720975 , -0.615460279508665 , 0.373210677444157 , -0.442731151512064 , -0.376671085591597 , -0.733533977038032 , 0.727630939982912 , -1.37233064283495 , -0.713340094095173 , 1.71137603590212 , -1.18718145229121 , -0.77902193264145 , 0.591689096109562 , -0.827371057472546 , 0.15308166912929 , 0.072537540834124 , -1.47250305549557 , 0.456320321315294 , 0.0604804995750085 , 0.924044428775765 , 1.4602071731451 , -0.50227380386043 , -0.0846664544466174, 1.26899649009875 , -0.0260877748241403, 0.822942670952581 , -1.28299622016157 , 1.39611279184999 , -1.19601181895413 , -1.54730319906885 , 0.655424428149791 , -0.865460900131657 , -0.382653615688646 , -0.584282482586871 , 1.40895671186872 , -1.76416268883439 , -0.668148902228459 , -0.391585536021241 , -0.390130881845394 , -0.226495732443944 , 0.176105852510632 , -0.43622974723838 , 0.399279930993042 , -1.16975091881994 , -0.625103349355003 , 1.69769009000353 , 1.11382573692271 , -1.74654427968477 , 0.710168813638435 , 0.931566737422777 , 0.665608398470931 , 2.37755269397991 , 0.0429220299927464 , -0.0431338768969729, 1.0337537923959 , -1.72749392930611 , 1.82570662969406 , 0.363983653978728 , -0.30055763950752 , 1.36627532067715 , 0.341371925825795 , 0.158053117179361 , -1.68621062380568 , -1.27537324012486 , -1.07683530125356 , -0.960848073080989 , -0.367970228687763 , 0.366469067891156 , -0.0237065813560116, 0.301511856902093 , 0.736546600035406 , 2.23621434431682 , 1.08349310209236 , -0.523645063341011 , -0.230616209416494 , -0.688758787432933 , -1.07799432252717 , -0.659912298213807 , -0.580691431686959 , -0.627897263141173 , 1.4806085221566 , 1.0723795895057 , 0.812192546632801 , 0.29576595586121 , -2.77158998292273 , -0.52293245209948 , 1.19478361433845 | 0.7488256 |
| 93 | 50 | 0.0 | 0.1 | 0.5 | control , control , control , control , control , control , control , control , control , control , control , control , control , control , control , control , control , control , control , control , control , control , control , control , control , control , control , control , control , control , control , control , control , control , control , control , control , control , control , control , control , control , control , control , control , control , control , control , control , control , intervention , intervention , intervention , intervention , intervention , intervention , intervention , intervention , intervention , intervention , intervention , intervention , intervention , intervention , intervention , intervention , intervention , intervention , intervention , intervention , intervention , intervention , intervention , intervention , intervention , intervention , intervention , intervention , intervention , intervention , intervention , intervention , intervention , intervention , intervention , intervention , intervention , intervention , intervention , intervention , intervention , intervention , intervention , intervention , intervention , intervention , intervention , intervention , intervention , intervention , -0.00789856024652612, 0.0221983770621008 , -0.418730559177351 , 0.547287038533272 , 0.438644672502899 , -0.40533533362916 , 0.576759875976221 , -0.300901117367967 , 0.401654125110664 , -0.802797432402819 , 0.336489127750417 , 0.144266134006217 , 0.418191777070573 , 0.429245224627622 , -0.726543541130989 , 1.45690035075741 , 0.881308641174227 , 0.168125885291497 , 0.0302876505985586 , -0.493594994189107 , 0.396387591077621 , 0.0231555256490367 , 0.492880076685726 , 0.201740391851941 , 0.448197689514074 , 0.525908238072004 , 0.488891949067304 , -0.111921471751426 , 0.0298284269571581 , 0.0915584119850143 , 0.0357800458204873 , 0.384221411643865 , -0.0883488029680577 , 0.613461446447578 , -0.136537280794997 , 0.536862494777117 , -0.250894966927857 , -0.016762370346493 , -0.206775105335457 , -0.0428260696953787 , -0.0388264269751405 , 0.286617000613553 , -0.338938803959332 , 0.0626320119746384 , -0.0355327817464922 , 0.292076182669849 , -0.111589886131003 , -0.114134567852987 , -0.199604890184735 , -0.683062390539614 , 0.358161426916279 , 0.633064403687584 , 0.393864040963347 , 0.445079141301368 , 0.50343191077938 , 0.104222774634699 , -0.524902078556088 , -0.184004592139241 , -0.421827048272285 , -0.13686823813194 , -0.808705109853649 , -0.69792486077292 , 0.634727199437208 , 0.0444486572175441 , -0.596007480841535 , -0.0753274119589399 , -0.461996615499924 , -0.487291582280655 , -0.0280422382553043 , -0.324662008079092 , -0.569603014981195 , -1.53329492411747 , 1.18099003628591 , -0.0755936204163593 , -0.15771396537649 , 0.173651408428866 , 0.201192055209303 , 0.628477557940809 , -0.627547215733251 , -0.412642969182682 , 0.142390944076558 , 0.607306811475933 , -0.665913562473954 , -0.379965524820105 , -0.240781751118508 , 0.0271592317312562 , 0.257150914847062 , 0.925420002094444 , -0.0352274834859003 , -0.129626307823031 , -0.32914997000665 , -0.17459627192098 , -0.0581156724202052 , -0.326692194666943 , 0.195065237326151 , 0.464306697463019 , -0.52611093351921 , 0.500687311825262 , -0.56388479167689 , 0.665445625691478 | 0.1038699 |
| 93 | 50 | 0.0 | 0.1 | 1.0 | control , control , control , control , control , control , control , control , control , control , control , control , control , control , control , control , control , control , control , control , control , control , control , control , control , control , control , control , control , control , control , control , control , control , control , control , control , control , control , control , control , control , control , control , control , control , control , control , control , control , intervention , intervention , intervention , intervention , intervention , intervention , intervention , intervention , intervention , intervention , intervention , intervention , intervention , intervention , intervention , intervention , intervention , intervention , intervention , intervention , intervention , intervention , intervention , intervention , intervention , intervention , intervention , intervention , intervention , intervention , intervention , intervention , intervention , intervention , intervention , intervention , intervention , intervention , intervention , intervention , intervention , intervention , intervention , intervention , intervention , intervention , intervention , intervention , intervention , intervention , -0.515304115770597 , 0.867612523944408 , 0.0420048612246022 , 1.54292915643808 , 1.89004774812597 , 1.0017355787604 , 1.60624146767658 , 0.274220805472175 , -1.17299782743291 , -0.0652999023463178 , 0.858986412631823 , -1.89575847964094 , 0.239440454884805 , -0.62867698332848 , 1.43628177242256 , 2.03582763166409 , 1.95871373958304 , -0.725861361591523 , -1.21940564639737 , 0.692075742810201 , 0.661498174566707 , -1.12631946258184 , -0.147268956224963 , -0.225766774875671 , 1.38759178011129 , -1.26355830004045 , -1.2108185737127 , -1.05782309050167 , 0.597282522789317 , 0.404278847522543 , 0.0361187638047278 , -0.348983076680165 , 1.28562015680977 , 0.649065688249377 , -0.664395329150142 , -0.0653924808635144 , -1.74755121031196 , -0.903714490049336 , -0.988154816749087 , 1.4691327428785 , 1.59730820166317 , 2.26697752880612 , -0.635978713934247 , -0.335847474607918 , 0.713448275425715 , 1.09822281385725 , -0.562060454806384 , 0.437706046606584 , -0.0354847825547727 , -0.62883464401495 , -1.58874255445163 , 0.318239762703191 , 0.717408964763796 , 0.0724515613390788 , 0.430727743699107 , -0.775075760860413 , 0.441632945987658 , -0.301180586098847 , -0.220547116171448 , 0.773100971283912 , -0.381836830955733 , -0.461020229659758 , 0.94952116974675 , 2.1541860686981 , -0.569162048691294 , 1.35221592530911 , -1.82647644340564 , 1.10732717926893 , -0.341781063732186 , 0.467127382788384 , -0.471253801988437 , -1.1549248491315 , -1.23673053585416 , -0.560328391503807 , 0.064467043904183 , -0.82016501294413 , -0.083147616923618 , 0.585775738254177 , -0.418786272888695 , -0.00927788078694143, 0.554982618280462 , -0.218418430124945 , 1.27837384889782 , 0.463217494862781 , -1.9687673440781 , -0.298552455705584 , -0.420415599564353 , -0.728615005324551 , 0.580067580868798 , 0.293213191485795 , -1.51438904435568 , -0.73642778165712 , -0.335954359762256 , 0.303565889065646 , 0.130497338941412 , 0.118354754626808 , 0.24527196517284 , 0.659266714293791 , 1.55803890014158 , -1.32607976141343 | 0.2221098 |
| 93 | 50 | 0.5 | 0.0 | 0.5 | control , control , control , control , control , control , control , control , control , control , control , control , control , control , control , control , control , control , control , control , control , control , control , control , control , control , control , control , control , control , control , control , control , control , control , control , control , control , control , control , control , control , control , control , control , control , control , control , control , control , intervention , intervention , intervention , intervention , intervention , intervention , intervention , intervention , intervention , intervention , intervention , intervention , intervention , intervention , intervention , intervention , intervention , intervention , intervention , intervention , intervention , intervention , intervention , intervention , intervention , intervention , intervention , intervention , intervention , intervention , intervention , intervention , intervention , intervention , intervention , intervention , intervention , intervention , intervention , intervention , intervention , intervention , intervention , intervention , intervention , intervention , intervention , intervention , intervention , intervention , 0.411542746327389 , 0.265255103673217 , -0.884979523401373 , 0.40585673988325 , 0.476165145861228 , 0.178680460555541 , 0.0501820721476462 , -0.0950615740178892 , -0.576395866321747 , 0.851709390342842 , 0.896695399476738 , -0.164782303528046 , -0.0117772743491947 , -0.58537113942062 , 0.0226915209441397 , 0.202533151544386 , 0.10816040156575 , -0.0788240723173717 , 0.0643018420335804 , 0.121964908827925 , -0.385669287670185 , 0.129165559086725 , -0.0178734959269085 , -1.04179618386958 , -0.696424997216587 , 0.205114077647705 , 0.695857365447189 , 0.11287866861902 , -0.603838440227074 , -0.030953741545376 , 0.192539582063187 , 0.348772155608393 , 0.387870095686604 , 0.282407180651291 , 0.414790085166607 , -0.893740933079856 , 0.597501767961982 , 0.285838268079034 , -0.544346719569353 , -0.73579861771542 , -0.134172123892401 , -1.00153772390463 , 0.242362747987014 , -0.00753685058396308, -0.409826055182903 , -1.00290941683045 , -0.051617133104138 , 0.541297784032941 , -0.066299924163985 , 0.345892335634199 , 0.840373609465786 , 0.0527820509162008 , -0.0769003588633689 , 0.397085380019556 , 0.56097306942518 , 0.0785074291975738 , 0.303732011297314 , 0.545533816499989 , -0.181720145095667 , 0.864996103505096 , 0.979979358821058 , 0.77450429439874 , 0.752773664922005 , 0.513517143393001 , -0.0081246276492497 , 0.877757792433613 , 0.738972406346148 , 0.0448019242716881 , -0.410117561666998 , 0.335981126903025 , -0.155201272030266 , 1.08776450535653 , -0.296978745267434 , 0.839454476233361 , -0.212105767538953 , -0.0251495423050038 , 0.0945704694596986 , 0.555554589516169 , 1.18865927339007 , 0.186870604323224 , 0.849435735003524 , 0.127138336427691 , -0.143589393804496 , 0.67322103082505 , 0.54224154421363 , 0.548796898354746 , -0.221431424827889 , 1.69985592116174 , 0.227326708616767 , 0.164548893682281 , 0.532355490306502 , 0.794098252652599 , 0.461763220304096 , 0.490077663767711 , 0.610109680306272 , 0.415395543965998 , 0.488205870817732 , 0.258938637810433 , 1.26545202846406 , 0.0111083040685281 | 0.0000075 |
| 93 | 50 | 0.5 | 0.0 | 1.0 | control , control , control , control , control , control , control , control , control , control , control , control , control , control , control , control , control , control , control , control , control , control , control , control , control , control , control , control , control , control , control , control , control , control , control , control , control , control , control , control , control , control , control , control , control , control , control , control , control , control , intervention , intervention , intervention , intervention , intervention , intervention , intervention , intervention , intervention , intervention , intervention , intervention , intervention , intervention , intervention , intervention , intervention , intervention , intervention , intervention , intervention , intervention , intervention , intervention , intervention , intervention , intervention , intervention , intervention , intervention , intervention , intervention , intervention , intervention , intervention , intervention , intervention , intervention , intervention , intervention , intervention , intervention , intervention , intervention , intervention , intervention , intervention , intervention , intervention , intervention , 0.263244729178046 , -3.50209506757986 , 0.689488500766969 , -0.682685317258458 , 1.45628063870897 , 1.14073355573689 , -1.05541941665093 , -0.00666710421479527, 0.644241079562725 , -0.495851378498656 , -1.18131201295511 , 0.324957062095356 , -1.19442841759068 , 0.00387600196138475 , 0.319742386806417 , 0.0787859305026495 , -0.428550289067834 , -0.0698102031063116 , 0.251960905645278 , 0.796593894954945 , 1.19128183622933 , -0.257122047911775 , -0.724505539720348 , 0.10653348437106 , -0.49454740082412 , 0.992631858172068 , 0.672294941624673 , -1.28806825251343 , 0.149407996057158 , 0.135724454549357 , 0.0960976243403966 , -1.58500700517248 , -0.464309338111638 , -1.19231180106408 , 1.67542163947959 , 0.699457071161548 , 1.32660747085367 , 0.626813553103873 , -0.588353210183411 , 2.38919677773976 , -1.2099759134629 , -0.665918926277486 , 0.392250675713793 , -0.144855103489542 , 0.813619501618551 , 1.846943322486 , 1.4629144761977 , 0.523171374611102 , 1.82021674750287 , 0.113257771292111 , -1.35397626228616 , 0.157800749521482 , 0.404478385676297 , -0.16851024786955 , 0.886655611062707 , 0.880334941414759 , -0.390871542847197 , -1.6938636168023 , 1.19650298621865 , 0.182638609096414 , 0.657377599306977 , -0.629717348922509 , 0.42036695820452 , 1.08706157239296 , 1.40037568304498 , 0.534922961896153 , 1.10562780049058 , 2.47246755168515 , 0.350344433087395 , 1.18054654631345 , 1.29090047531685 , -1.01677100996722 , 1.13311037105228 , -0.825480509208221 , 1.86836163398626 , 0.245536556398971 , 0.553380652327391 , -0.481497947452104 , 0.782720171981946 , 0.798621320118243 , -0.525418436875731 , 1.06933857335235 , 0.333212966199443 , 1.6198080408659 , 0.800794042813692 , -1.94637819058756 , -0.357855380332483 , -0.637211846026979 , -0.174134896753928 , 0.644182212012903 , 1.49847480156732 , 0.13864607499405 , -0.289265537880758 , -0.656510110261324 , -0.889651286949299 , 1.44316016437657 , -0.249931127900821 , -1.88314028938525 , 0.847090553678623 , 1.59021496338465 | 0.3506638 |
| 93 | 50 | 0.5 | 0.1 | 0.5 | control , control , control , control , control , control , control , control , control , control , control , control , control , control , control , control , control , control , control , control , control , control , control , control , control , control , control , control , control , control , control , control , control , control , control , control , control , control , control , control , control , control , control , control , control , control , control , control , control , control , intervention , intervention , intervention , intervention , intervention , intervention , intervention , intervention , intervention , intervention , intervention , intervention , intervention , intervention , intervention , intervention , intervention , intervention , intervention , intervention , intervention , intervention , intervention , intervention , intervention , intervention , intervention , intervention , intervention , intervention , intervention , intervention , intervention , intervention , intervention , intervention , intervention , intervention , intervention , intervention , intervention , intervention , intervention , intervention , intervention , intervention , intervention , intervention , intervention , intervention , 0.255773161918201 , -0.20024873625842 , 0.0792472677258353 , 0.565489803563306 , 0.747227450618035 , 0.0879328527728163 , 0.0123912215675637 , 0.191995725680807 , -0.0989464299743702 , -0.072425593996581 , -0.559359118256011 , 0.623429193342998 , 1.24949232508703 , 0.33783888171733 , 0.367695869970882 , -0.126818354455662 , 0.62742045591325 , 0.552598658612415 , 1.44701349390632 , -0.144063411662861 , 0.437041978845699 , 0.377315437514209 , -0.607320923628466 , -0.293165130712314 , -0.0280202471717482 , 0.682676641058153 , -0.0918549165146042 , -0.344078748472927 , -0.219057532667173 , -0.385796224676614 , 0.949975236470894 , 0.295065586259657 , 0.408698898085854 , -0.00877314849611913, 0.126816719614723 , -0.695323173522018 , 0.677984785709016 , 0.174994783432822 , 0.229034125718894 , 0.274925480804527 , 0.0852204638704925 , -0.13414957667816 , 1.20520558134733 , 0.0989482935275896 , -1.51911761553999 , 0.944792405776736 , -0.0025263272868315 , -0.0962722389802148 , -0.00489614444045045, -0.696308839320515 , 0.334463152404393 , 0.787670393520807 , -0.0521293583111659 , 0.0763600322201015 , 0.767833627994575 , 1.68052500314508 , 0.802354694951305 , 0.946685004213618 , 0.597636636289061 , 1.42244606550762 , -0.377111812263156 , -0.542573708637252 , 0.716267627050828 , 0.707157755577342 , -0.0972475299218611 , 0.873311851304028 , 0.0387401216567145 , 0.557149127653843 , 0.513581333487596 , 0.309921331113603 , 0.690150385709931 , 0.357119228502477 , 0.406898914027189 , 0.728361028378039 , 0.40386457359048 , 0.596710620992849 , 0.727669506342069 , 0.804692807438822 , 0.0256359117068367 , 0.977810101087694 , 0.103237706066991 , -0.32698949999047 , 0.536962326160434 , 0.267383046268625 , -0.0478101093447874 , 0.25856294619839 , 0.402751825648194 , 1.14347030900532 , 1.04653813260075 , 1.03863992567693 , -0.0283069859849973 , 1.00073388433086 , 1.21911809972011 , -0.0622676748655202 , 0.152855714871444 , -0.290879281815722 , -0.236584554552264 , 0.116493961149558 , 0.710474277947049 , 0.498993608001428 | 0.0032758 |
| 93 | 50 | 0.5 | 0.1 | 1.0 | control , control , control , control , control , control , control , control , control , control , control , control , control , control , control , control , control , control , control , control , control , control , control , control , control , control , control , control , control , control , control , control , control , control , control , control , control , control , control , control , control , control , control , control , control , control , control , control , control , control , intervention , intervention , intervention , intervention , intervention , intervention , intervention , intervention , intervention , intervention , intervention , intervention , intervention , intervention , intervention , intervention , intervention , intervention , intervention , intervention , intervention , intervention , intervention , intervention , intervention , intervention , intervention , intervention , intervention , intervention , intervention , intervention , intervention , intervention , intervention , intervention , intervention , intervention , intervention , intervention , intervention , intervention , intervention , intervention , intervention , intervention , intervention , intervention , intervention , intervention , 2.17400768449345 , 1.16021125463625 , 1.00001522456133 , -1.83517504090695 , 0.0778579888321593 , -0.205426695846634 , -1.25733752848083 , -1.03702447040571 , 0.129734020412884 , 0.205034381772895 , 2.77202311017649 , 0.0252418222801524 , -1.52907819047444 , 1.11027532885495 , 0.172313763080025 , -0.0065554474765437 , -0.326214133041478 , 0.412543049200801 , 0.649119248347278 , 2.32288338396328 , 1.20752820175194 , -1.08148977671025 , 0.384918821572163 , 0.798950499183485 , 0.165196613927917 , 0.54461558249797 , -1.87628673323282 , 1.73566610634851 , -0.60164843119306 , 0.987823216044757 , 1.11570498692319 , 1.84271629846591 , -0.407855201364225 , -0.335572922319124 , -0.956104584647576 , -0.543656945530822 , 0.351942703968136 , -0.448589674510821 , 1.38434688209523 , -3.49086322738798 , -0.285632090438925 , -0.862693130209242 , -2.34780698288747 , 0.349518245644677 , -0.0555535866016546 , 1.04239431583271 , 0.681188435313224 , 0.334043396338619 , 0.867649940503912 , -0.0458330157913031 , 0.528303896686754 , -0.148584573094754 , 1.42270837116879 , 1.30015678770851 , 0.471977036749726 , 0.641193481323457 , 0.0732614236198778 , 1.30224804577206 , -0.12760588855383 , 0.0859728128525061 , 2.07729437934169 , 0.170368489833125 , 1.26504522526873 , 0.407484890869345 , 2.35456706940422 , 0.262317472926434 , 0.630359594481853 , -0.000705027132501312, -0.756314832021854 , -0.0828090537725663 , 1.98927361980165 , 1.20951818069451 , 0.0669779476646635 , -0.457675645686053 , 0.0289774095603032 , 0.426231567621396 , -0.473738544945964 , 2.45546734529689 , 2.29637691108669 , 2.12384275545754 , -1.64697583838094 , 1.27566060092118 , 0.854145649383788 , 0.444696438146391 , 0.0694716131317524 , 0.0129232693980151 , -0.75496873946215 , 2.09512640802857 , 0.888743000164202 , 1.52725540231596 , 3.86672128563947 , -0.662701333466933 , 0.0539990231160861 , 0.204555734447528 , 0.809371980460647 , 1.07180300929006 , -0.496802903441356 , 0.318974245563707 , -0.881448998792803 , 0.227646734569076 | 0.0331659 |
| 94 | 20 | 0.0 | 0.0 | 0.5 | control , control , control , control , control , control , control , control , control , control , control , control , control , control , control , control , control , control , control , control , intervention , intervention , intervention , intervention , intervention , intervention , intervention , intervention , intervention , intervention , intervention , intervention , intervention , intervention , intervention , intervention , intervention , intervention , intervention , intervention , 0.061008235260743 , -0.404167103507586 , 0.434345654132398 , -0.168616722182143 , -0.163439825810649 , -0.141344131722114 , -0.485821758470375 , -0.931523637948722 , -0.0956432670933614, 0.227309421518177 , -0.469381321411713 , 0.352936169746381 , 0.32630207153949 , 0.0593825936063804 , 0.239830891564005 , 1.02926063531311 , 0.522620975582156 , 0.388899387300448 , -0.52733829776609 , -0.392251561068233 , -1.1054051287874 , 0.114119825332938 , 0.226646396330008 , 0.475708359908286 , 0.242285390095324 , -0.0918283767341601, 0.227800334853526 , -0.218722755251467 , 0.412748662526142 , -0.232194636134934 , 0.512832423403782 , 0.132385725211108 , 0.547826032024809 , 0.510461786962974 , -0.508592151129906 , 0.289085676309557 , -0.10261983016624 , 0.175231015582569 , -0.193759896479153 , -0.429577768475955 | 0.6884067 |
| 94 | 20 | 0.0 | 0.0 | 1.0 | control , control , control , control , control , control , control , control , control , control , control , control , control , control , control , control , control , control , control , control , intervention , intervention , intervention , intervention , intervention , intervention , intervention , intervention , intervention , intervention , intervention , intervention , intervention , intervention , intervention , intervention , intervention , intervention , intervention , intervention , -2.37626140544191 , 0.510945711027623 , 0.180299363994246 , -0.995759344269792, 1.01770627673751 , 1.41397707205082 , 0.82703708114368 , -0.646928434987186, 1.23503595074405 , -1.62334381876194 , 0.127309554128553 , 1.9633911141939 , -2.22440161675262 , 1.14523551474156 , 1.76347364639493 , 0.398251321324327 , -0.277862921422201, 0.536044441858682 , -1.52726131111964 , -1.02003308641059 , -1.18381793312156 , -1.60510473057622 , 0.431289160716542 , 0.39918004540696 , 0.994789592674159 , -0.712771744516198, 0.161862976336614 , -0.330951666340147, -1.72277364076503 , -2.5953451287318 , 0.780530943965655 , 0.294914778846943 , 1.94579877102871 , -0.85282920534313 , -1.87546548573312 , 0.901953262093936 , 0.606277363932976 , 0.53855546077772 , 1.41752825152688 , 1.23290232287284 | 0.8436227 |
| 94 | 20 | 0.0 | 0.1 | 0.5 | control , control , control , control , control , control , control , control , control , control , control , control , control , control , control , control , control , control , control , control , intervention , intervention , intervention , intervention , intervention , intervention , intervention , intervention , intervention , intervention , intervention , intervention , intervention , intervention , intervention , intervention , intervention , intervention , intervention , intervention , 0.224164145403209 , 0.0467322882065523 , -0.994871444691049 , 0.0918456532736123 , 0.42317376533812 , 0.553726862840723 , 0.398222221992066 , 0.129188127778453 , -0.0868999156266181 , 0.274659714531749 , 0.795018700228859 , 0.323277066046464 , 0.358635622726507 , 0.143748180320167 , -0.908141031042722 , -0.800439345018631 , -0.000214875564924499, 0.182172875870456 , -1.4283649328589 , 0.937506558870936 , 0.177415719348511 , 0.992401047025898 , -0.726364642415077 , 0.476482910748748 , 0.554487610738697 , 0.532159798413944 , -0.394833785626205 , 0.488653351285672 , -0.0614268663300971 , -0.998834552921627 , -0.322360490814417 , 0.0666403882435155 , 0.013913725294124 , 0.568528501169488 , 1.14092624908131 , 0.750914583454637 , 0.10486395616974 , -0.188810061096421 , -0.0859800798919262 , 0.415751687309667 | 0.4426815 |
| 94 | 20 | 0.0 | 0.1 | 1.0 | control , control , control , control , control , control , control , control , control , control , control , control , control , control , control , control , control , control , control , control , intervention , intervention , intervention , intervention , intervention , intervention , intervention , intervention , intervention , intervention , intervention , intervention , intervention , intervention , intervention , intervention , intervention , intervention , intervention , intervention , -0.417244948961517 , 2.05938900598853 , -0.809206384400799 , 2.47133798386266 , -0.866151761541765 , -0.108667663147733 , -0.459120830211098 , 0.61560053313801 , 1.61889232255408 , -0.713739166767435 , 0.904816652656585 , 0.837903832547902 , 0.985564310059344 , 0.146103053340793 , -0.348258513911682 , -0.938240069160412 , -0.00840012271609736, -0.723305067342812 , -1.45247484621651 , -1.33137195025042 , 0.000188209571669317, 2.48409269558485 , -0.673156956576574 , -1.0435927725146 , 0.702276916373987 , -0.0863480825745296 , -0.00457857539978643, 0.399514204183453 , 0.266874543727054 , 2.13712988731885 , -0.228089535400799 , 0.544340760828813 , -2.2194513870113 , 0.098509248735126 , -0.271917430899122 , 0.337163331575768 , 0.844911990657753 , -1.64085878920906 , 0.0614035281126856 , 0.919361095602718 | 0.8678100 |
| 94 | 20 | 0.5 | 0.0 | 0.5 | control , control , control , control , control , control , control , control , control , control , control , control , control , control , control , control , control , control , control , control , intervention , intervention , intervention , intervention , intervention , intervention , intervention , intervention , intervention , intervention , intervention , intervention , intervention , intervention , intervention , intervention , intervention , intervention , intervention , intervention , -1.13698128881343 , -0.337095629969132 , 0.817661160613748 , -0.424044799781936 , -0.25483056379185 , 0.514461881729934 , 0.0306217658026942 , 0.467529588193518 , 0.526594086412735 , -0.129585983854832 , -0.696516369289734 , 0.486751956278369 , -0.197393568707018 , 0.935079418690904 , 0.244214848119911 , -0.904791415669834 , 0.194114124831201 , -0.271613969832102 , 0.212752631177427 , -0.26433366091763 , 0.367695938651714 , -0.100914249980198 , -0.972922000132175 , 0.637659127178275 , 0.70785032934409 , -0.0570828205718484, -0.0327718791763874, 0.292052263962051 , 1.02354385491285 , -0.281426049627079 , 0.51807317585621 , 0.826039991465837 , 1.2399164208986 , 0.297543939989506 , -0.278852584976732 , 0.222947756095648 , 0.825000351353014 , 0.494674338976885 , 0.818793915403268 , 0.990206584577373 | 0.0323710 |
| 94 | 20 | 0.5 | 0.0 | 1.0 | control , control , control , control , control , control , control , control , control , control , control , control , control , control , control , control , control , control , control , control , intervention , intervention , intervention , intervention , intervention , intervention , intervention , intervention , intervention , intervention , intervention , intervention , intervention , intervention , intervention , intervention , intervention , intervention , intervention , intervention , 0.438068846726069 , 0.365143488333446 , 0.990873788479739 , -0.409763696675665, -1.51711926957297 , -0.710366555909401, 0.0329428647173182, 2.1005377077121 , 1.86864790969879 , 0.631639639941671 , -1.79734652273048 , -0.686887044665807, -0.193568202891639, 0.879216894582355 , 0.508344051281883 , 0.492836223389517 , 0.624983226363293 , 0.0424982157694735, -1.03894673698151 , -0.308066304493505, 0.233701124309826 , 0.35871022251244 , 0.979225969351929 , 1.07491124737559 , 1.51664893183354 , 0.787817391237976 , 0.455536000678336 , 0.560802406489906 , 1.64055382371099 , 0.152304081516207 , 0.997938817119443 , 1.48840962064343 , 0.775781679620233 , 2.45952666214658 , 0.123240126878418 , 0.740206273557304 , 0.442448499700673 , 1.65413986125898 , -0.701245449873973, -0.542694806695242 | 0.0273621 |
| 94 | 20 | 0.5 | 0.1 | 0.5 | control , control , control , control , control , control , control , control , control , control , control , control , control , control , control , control , control , control , control , control , intervention , intervention , intervention , intervention , intervention , intervention , intervention , intervention , intervention , intervention , intervention , intervention , intervention , intervention , intervention , intervention , intervention , intervention , intervention , intervention , 1.14789925138973 , 1.29124128710106 , 0.595991206026315 , 0.526805230464098 , 0.51081561457827 , 0.288883312773631 , 0.0944399054900895 , 0.0203180837170137 , 0.044229019854278 , -0.384472498327213 , 0.658471131369634 , 0.259201506595599 , 0.21588089890282 , -0.0129260501311204, -0.53984043077933 , 0.833681896338899 , -0.489801637818714 , 0.935707302967611 , 0.549232483549183 , 0.437402555888394 , 0.417438807991204 , 0.828372613888737 , 0.574204620110865 , 0.610504354266176 , 0.51382833778666 , 0.216693437402829 , 1.15824757645766 , 0.303845008342856 , 0.397332384898262 , 0.796013038099677 , 0.235530432210473 , -0.252321474666897 , 1.35174109949718 , 1.45617623757404 , 0.453249064910672 , -0.388538720542133 , 0.852814773467052 , -0.399037988824599 , 0.927226959561709 , 0.999901013058825 | 0.2169966 |
| 94 | 20 | 0.5 | 0.1 | 1.0 | control , control , control , control , control , control , control , control , control , control , control , control , control , control , control , control , control , control , control , control , intervention , intervention , intervention , intervention , intervention , intervention , intervention , intervention , intervention , intervention , intervention , intervention , intervention , intervention , intervention , intervention , intervention , intervention , intervention , intervention , -1.41027011353714 , 1.04736156122997 , -0.521922983461993 , 0.603614197748369 , -0.113736802870076 , -0.397084904122426 , 0.736226744810161 , 1.26320064608179 , -1.24571786074813 , -3.317378807521 , -0.208203847836539 , -0.917337151122992 , -0.705562347364053 , -0.836514608382737 , -0.0473136603236902, 2.15329926743304 , -0.946272042459315 , -0.65285969905614 , -0.210218127210561 , 0.0899637275336864 , 0.844725733092476 , 1.42156363486904 , 2.19817105138937 , 0.968984304967183 , -0.704563968955644 , 1.32145332679798 , -0.421793966118959 , -0.201403656391502 , 0.769708539244357 , -0.418986437963772 , 2.18502166133423 , 1.07242780607301 , 0.491114673909558 , -0.624126471245203 , -0.062481707543527 , -0.0260416473094464, 1.32331181849501 , -0.540728520788711 , 1.42670432497984 , -0.187604055511344 | 0.0173371 |
| 94 | 50 | 0.0 | 0.0 | 0.5 | control , control , control , control , control , control , control , control , control , control , control , control , control , control , control , control , control , control , control , control , control , control , control , control , control , control , control , control , control , control , control , control , control , control , control , control , control , control , control , control , control , control , control , control , control , control , control , control , control , control , intervention , intervention , intervention , intervention , intervention , intervention , intervention , intervention , intervention , intervention , intervention , intervention , intervention , intervention , intervention , intervention , intervention , intervention , intervention , intervention , intervention , intervention , intervention , intervention , intervention , intervention , intervention , intervention , intervention , intervention , intervention , intervention , intervention , intervention , intervention , intervention , intervention , intervention , intervention , intervention , intervention , intervention , intervention , intervention , intervention , intervention , intervention , intervention , intervention , intervention , 0.0156899825059474 , -0.0401446895590683 , -0.139187979009303 , -1.12844345948342 , -0.458005126786816 , 0.0143802267937311 , -0.101207634734189 , 0.0484182435387006 , 0.721768226463697 , -0.190570588547877 , -0.420836779138659 , -0.0709827468632234 , 0.679846375594148 , 0.948171287725464 , 0.481152533464707 , 0.515501187635487 , -0.566144565434402 , 0.662674612148046 , -0.310486247623642 , 0.220526721657213 , -0.534963224066399 , 0.339615376357771 , -0.0105221474348266 , 0.522890330082502 , 0.717566774015638 , -0.722229321672315 , -0.256225279134473 , 1.08285159486088 , -0.00250333523632098, -0.158149907118579 , -0.290054271045424 , -0.413192299646261 , 0.483171721645324 , -0.290678190615949 , -0.523172628289042 , -0.332729223159065 , 1.49735369486904 , -0.253049652782356 , 0.565590728614959 , 0.184049328296563 , -0.308234847016203 , 0.328893718686489 , 0.520706723228511 , 0.145363037106097 , -0.0396072602741116 , 0.828618603967524 , 0.25578862459704 , -0.747385897789946 , -0.168875403021294 , 0.63542255362914 , -0.454892265200926 , 0.0831721766970351 , 0.269408144427993 , -0.315405219135819 , -0.436384534488459 , -0.519019099043304 , -0.568857819907301 , 0.736048659324634 , 0.134853251146021 , 0.777013812228611 , 0.568654340651602 , 0.192893970779735 , 0.23168231152042 , 0.0187723181660308 , 0.568030446945042 , -0.194882773645337 , 0.0612489173424629 , -0.130226770349855 , 0.195337477977893 , -0.167754783801651 , -0.428085623508225 , -0.283653678558781 , -0.123820084127079 , -0.0785084134913248 , 0.371730186853134 , -0.00769685841136776, -0.793953896147821 , -0.402266664121332 , -0.57232898772477 , -0.135443481769588 , 0.275531042714344 , 0.56884592766316 , 0.374996217161943 , -0.597896218256744 , 0.896277731812151 , 0.512893850443023 , -0.246877987317434 , 0.405409334879751 , -0.292895913473665 , -0.378827156892972 , 0.278296249006868 , 0.0157309889972175 , 0.0639927398745976 , -0.0243104015033548 , 0.626294365281097 , -0.701118921267221 , 0.182109331589732 , 0.472979052994504 , 0.194182570506734 , 1.1282519227219 | 0.7443769 |
| 94 | 50 | 0.0 | 0.0 | 1.0 | control , control , control , control , control , control , control , control , control , control , control , control , control , control , control , control , control , control , control , control , control , control , control , control , control , control , control , control , control , control , control , control , control , control , control , control , control , control , control , control , control , control , control , control , control , control , control , control , control , control , intervention , intervention , intervention , intervention , intervention , intervention , intervention , intervention , intervention , intervention , intervention , intervention , intervention , intervention , intervention , intervention , intervention , intervention , intervention , intervention , intervention , intervention , intervention , intervention , intervention , intervention , intervention , intervention , intervention , intervention , intervention , intervention , intervention , intervention , intervention , intervention , intervention , intervention , intervention , intervention , intervention , intervention , intervention , intervention , intervention , intervention , intervention , intervention , intervention , intervention , -1.26595633801916 , -1.5855105116237 , 0.761494458378773 , -0.183705894994165 , -0.987480739416176 , 0.467137030478821 , 0.937356935291416 , 1.70510594828667 , 0.48900069432981 , -0.89087728343404 , -0.124893840731277 , -0.203719547852991 , -0.453039697758996 , -1.45263658311745 , 0.780168624537912 , -0.116744703639784 , -0.00472657188109285, 0.122678992830488 , 0.129661333754955 , 0.566432117992665 , -1.25675207884202 , -1.41239969851299 , -1.34259890692681 , 0.354928689460217 , 0.285069896087625 , 1.12816955864485 , -0.286989088948021 , 1.13772331295036 , 1.08339182890856 , -0.843219456357718 , 0.823660902697552 , 0.056255005049801 , 0.716496365205352 , 0.151203825004339 , -1.70789621401784 , -0.374250814169878 , 0.0823365200971467 , -0.306036651985084 , -0.0739966171584648 , -0.432717540988008 , -2.29458370363345 , 2.88895893392976 , 1.02596350438767 , 1.84552014720079 , 0.8306190641277 , 2.10448440663979 , 1.26155071909799 , 1.75930478677293 , -0.854642323980742 , -0.523038862843683 , -0.595193215540309 , -0.949858358576556 , -0.549658012969234 , 0.935515971407154 , -0.101407354418123 , -0.353319984588182 , -0.317702883728128 , 2.06364213349296 , 0.468606843684468 , 0.347732444927821 , -0.185307068235289 , -0.756151128439997 , -1.05553343706099 , 1.07650198412327 , -0.0808609810857842 , -1.32198805467497 , 1.13421516996821 , -0.0262539527048708 , 0.527723276334537 , 0.312761533474122 , -1.13982976892626 , 1.07858866532492 , -0.176071139130043 , 0.151265836901662 , -0.775765969915187 , -0.253104565197914 , 0.230285916401098 , 0.844226121867313 , 0.147590050308426 , -1.34505524709571 , -0.404073617909372 , 1.21527861946979 , -0.808862485752744 , -0.874784035457311 , 0.963161381520316 , 1.91166522578871 , 0.150475466668572 , 0.169583565918477 , 0.0421305237692287 , 0.139763182807187 , -0.105268685938112 , -1.32258508427231 , 0.953027590156744 , 0.774160911826541 , 1.15080897897857 , 0.0974862335099031 , -1.51417903237343 , -1.77269265582375 , -0.290376353515777 , -0.750065342271071 | 0.5806853 |
| 94 | 50 | 0.0 | 0.1 | 0.5 | control , control , control , control , control , control , control , control , control , control , control , control , control , control , control , control , control , control , control , control , control , control , control , control , control , control , control , control , control , control , control , control , control , control , control , control , control , control , control , control , control , control , control , control , control , control , control , control , control , control , intervention , intervention , intervention , intervention , intervention , intervention , intervention , intervention , intervention , intervention , intervention , intervention , intervention , intervention , intervention , intervention , intervention , intervention , intervention , intervention , intervention , intervention , intervention , intervention , intervention , intervention , intervention , intervention , intervention , intervention , intervention , intervention , intervention , intervention , intervention , intervention , intervention , intervention , intervention , intervention , intervention , intervention , intervention , intervention , intervention , intervention , intervention , intervention , intervention , intervention , 0.569737654692765 , -0.0352455796016477 , 0.635670040567282 , 0.0117815780484312 , 0.190827725941887 , 0.323485489978986 , 1.08745603185883 , 0.48910355499321 , -0.0677494435222745 , -0.00134724371496515, 0.243444926975478 , -0.507799743190775 , -0.218253433770966 , 0.296691844394098 , -0.0564246550385754 , 1.07923499909722 , -0.257794670018264 , -0.363572889772824 , 0.194563082841568 , -0.845465712561609 , -0.082729849295696 , 0.49514992083934 , -0.208332178456011 , 0.144066315926884 , 0.179992058817089 , -0.234804224645513 , 1.35589561498829 , 1.09918897787099 , -0.492941698900407 , 0.466410534317168 , -0.158292388668022 , 0.440710181857804 , 0.149370175202421 , 0.155683559018259 , 0.21719739406683 , 0.0283309282875152 , -0.517694257579085 , 0.00691502950237952 , 0.62475159242587 , -0.114214037764444 , 1.39049071558547 , -0.243992283996349 , -0.229192597194246 , -0.680424159070799 , -0.497025680613404 , 0.946525478616129 , -1.0430165295508 , 0.191427784765222 , 0.931796810992225 , 1.08643889833991 , -0.283504464048811 , -0.38368739231606 , -0.36204455959528 , 0.526545690431476 , 0.685975146158689 , 0.411493280094737 , 0.181068818882243 , 0.349460491144334 , -0.849319165873354 , -0.543090633913584 , -0.109251557268989 , -0.178833763205263 , 0.323091651329156 , 0.257627517716949 , -0.811045966535714 , -1.20402099620917 , 0.528234227156128 , 0.237739648888212 , 0.209522859357085 , 0.467369210016013 , 0.339422308062532 , 0.121608216289542 , 0.0180549502880481 , -0.522905156978587 , 0.545151534962308 , 0.442138142152012 , 0.789486085679064 , -0.052029049522699 , 0.50271535007208 , -0.705469286013138 , -0.303280007789039 , 0.452735803982684 , 0.0248262698094562 , -0.325747874345555 , 0.0271350538803199 , 0.541472833763962 , -0.352778158016011 , -0.382105836608569 , 0.277023713459429 , 0.837013223269517 , -0.546005297453068 , -0.27370321384537 , 0.225335669297998 , -0.561534084361266 , -0.683254272927846 , 0.401567698144392 , -0.538022205343394 , -0.485138372949933 , 0.0711915626233829 , 0.192195054594794 | 0.1000195 |
| 94 | 50 | 0.0 | 0.1 | 1.0 | control , control , control , control , control , control , control , control , control , control , control , control , control , control , control , control , control , control , control , control , control , control , control , control , control , control , control , control , control , control , control , control , control , control , control , control , control , control , control , control , control , control , control , control , control , control , control , control , control , control , intervention , intervention , intervention , intervention , intervention , intervention , intervention , intervention , intervention , intervention , intervention , intervention , intervention , intervention , intervention , intervention , intervention , intervention , intervention , intervention , intervention , intervention , intervention , intervention , intervention , intervention , intervention , intervention , intervention , intervention , intervention , intervention , intervention , intervention , intervention , intervention , intervention , intervention , intervention , intervention , intervention , intervention , intervention , intervention , intervention , intervention , intervention , intervention , intervention , intervention , 0.171903138545445 , -0.0695087734895693 , -0.00414452048651937, 0.359227505300186 , 0.0101842413788007 , 0.642119822266838 , -1.57702266068005 , 0.401931039240151 , -1.3521036284037 , 0.636416759943905 , 0.548233286007479 , -0.590797574239663 , -0.353867288461808 , -0.395920045506591 , 0.606824626511174 , -1.40420950878313 , -0.468820727827319 , -1.27306328702255 , -1.14606717027232 , 1.86148767239821 , -1.08093162622417 , 1.80886141923257 , 0.588103375366871 , 0.294829073974354 , 0.780350974860243 , -0.0519664796662992 , 1.32911324514828 , 0.223488544458878 , -0.551632818959833 , -2.00352806558337 , 1.03200198616567 , 0.188503642095937 , 0.378181114095152 , 0.233494499328636 , 1.17127579369119 , -1.1543968407138 , 0.938872413803282 , 1.07160748089358 , 0.76994948332065 , 0.125457074685041 , 1.40473217224101 , 1.41881328227385 , -1.31070113114772 , 0.34225206189892 , 0.657031816101231 , 0.332196696691768 , 0.269351353531158 , -0.158093028084106 , 1.21317249464155 , -1.68406610398109 , 1.36586302398244 , 0.839503974221783 , -0.266896834069162 , -0.119480355143275 , 0.993572557965751 , 1.51448827626151 , -1.41855152149297 , 0.494610535514002 , 0.982239686879804 , 0.453936066909457 , 1.68678809636604 , -0.132544855965626 , 1.23831912059973 , 0.818729806710394 , 0.400672673343996 , 1.76157271665908 , 1.34602469915202 , -1.71292462189059 , 1.21806939422669 , -1.12162714441249 , 0.0348004161328681 , -0.853227085668179 , -1.15049563088823 , 1.98056664287241 , -0.168088581359666 , 0.530117679804883 , -0.117302858600787 , -1.09300831018444 , 0.394035821453351 , 0.0268247531764558 , 0.258883812209252 , 0.525963318262798 , 1.53576484140276 , -0.369150559521343 , 0.685611299375855 , -0.293029189571698 , 0.332248838677475 , 1.57532717451017 , -1.8713004795403 , -1.14432577669656 , -1.3095088271657 , 1.18475099175949 , 1.03018965492202 , -2.29193349049727 , 0.237307435707714 , 0.0432663831005294 , -0.304764493157306 , 1.77407597123436 , 0.766288907503392 , -0.988988861770096 | 0.5441568 |
| 94 | 50 | 0.5 | 0.0 | 0.5 | control , control , control , control , control , control , control , control , control , control , control , control , control , control , control , control , control , control , control , control , control , control , control , control , control , control , control , control , control , control , control , control , control , control , control , control , control , control , control , control , control , control , control , control , control , control , control , control , control , control , intervention , intervention , intervention , intervention , intervention , intervention , intervention , intervention , intervention , intervention , intervention , intervention , intervention , intervention , intervention , intervention , intervention , intervention , intervention , intervention , intervention , intervention , intervention , intervention , intervention , intervention , intervention , intervention , intervention , intervention , intervention , intervention , intervention , intervention , intervention , intervention , intervention , intervention , intervention , intervention , intervention , intervention , intervention , intervention , intervention , intervention , intervention , intervention , intervention , intervention , 0.761519071633711 , 0.991420508455646 , 0.423293343165256 , -0.169033629603487 , 1.013793318454 , 0.14981569492466 , -0.243102858919617 , 0.199611223926843 , -0.849332534580345 , -0.0643062868246124, -0.898135437670139 , 0.0521626351232897 , 0.391208648307803 , 0.347884946714952 , -1.15165359700606 , -0.195851793425179 , 0.121590155649126 , -0.130181642325119 , -0.793639125945784 , -0.375953000781574 , -0.316308382921409 , 0.274484787566328 , -0.319696459089202 , 0.165141705412754 , 0.432596108462016 , 0.462719639348929 , 0.164731862923761 , 0.852441986675297 , 0.623431317725349 , 0.18569196775519 , 0.517392409121612 , -0.553154542444655 , 0.51000157207297 , 0.741789527457075 , 0.736774277044024 , 0.741639397071872 , 0.0705545867488996 , 0.215866256555597 , 0.0663348881178172 , -0.132149116473801 , 0.140349496264481 , 0.319155091920242 , -0.271252335069461 , -0.689357273041361 , 0.413122474748871 , -0.357185347497971 , 0.927667987999682 , 0.537510004457248 , -0.203531572224858 , 0.294746678423434 , 0.348227797190105 , -0.381873267734663 , 0.495282172631125 , -0.477057669145956 , 0.454113962157859 , 0.86437316748636 , 0.806009554282017 , 0.0887542416857184 , 0.100870294031862 , 0.589325787353692 , 1.40939392860974 , 1.09526408047251 , 0.176585935074968 , 0.66707121399715 , 0.52034842703846 , 1.11596538041963 , 0.29277487753222 , -0.684339631006432 , 0.823813588216808 , 0.347556105893573 , -0.156021785464494 , 1.56066068798107 , 0.45450105026486 , 0.69893130662869 , 0.556617105594566 , 1.0515340552314 , 0.409376273384985 , 0.934259490310841 , -0.440024026470481 , 0.938937920920355 , -0.0622951984485538, 0.735068037914747 , 0.683509207710444 , -0.138107496908454 , 1.16114883531186 , 0.752101945895776 , 0.249735426608666 , 0.13094034892037 , -0.0367371853438395, 1.16135909767586 , 0.426500865817575 , 0.452091612563924 , -0.171810852342164 , 1.23165990274748 , 0.483855358075293 , -0.242630989635439 , 0.51953188769844 , 0.29892581742327 , 1.50531955660291 , -0.188344482714002 | 0.0011899 |
| 94 | 50 | 0.5 | 0.0 | 1.0 | control , control , control , control , control , control , control , control , control , control , control , control , control , control , control , control , control , control , control , control , control , control , control , control , control , control , control , control , control , control , control , control , control , control , control , control , control , control , control , control , control , control , control , control , control , control , control , control , control , control , intervention , intervention , intervention , intervention , intervention , intervention , intervention , intervention , intervention , intervention , intervention , intervention , intervention , intervention , intervention , intervention , intervention , intervention , intervention , intervention , intervention , intervention , intervention , intervention , intervention , intervention , intervention , intervention , intervention , intervention , intervention , intervention , intervention , intervention , intervention , intervention , intervention , intervention , intervention , intervention , intervention , intervention , intervention , intervention , intervention , intervention , intervention , intervention , intervention , intervention , 1.19986857222892 , -0.362500288630881 , -2.30598744916018 , -2.18743182429607 , -0.287056760126923 , 0.0339493630784738 , -0.26060030145212 , -1.81929532223255 , -0.585542578537407 , 1.78837469080241 , -0.374166514468679 , 0.578836289169333 , -1.54700193009997 , -0.887764267859764 , 0.66307260123027 , 0.0577102941773198 , -0.00113078081035717, -1.00356936011334 , 0.291706399116196 , -1.18231588595985 , 1.03106104789179 , 0.210176672151608 , 0.434838592690982 , 0.823400552862886 , -0.515069368900667 , -0.590791464508503 , -0.237740501339379 , -0.374433463035262 , 0.480750787607183 , -0.0631706407275307 , 0.174183490056656 , 2.5304933794722 , -0.569270426544865 , 1.31497891843231 , 1.52492359743876 , 0.104794406358646 , 2.88704606512964 , 1.21677277492297 , 0.397939077901111 , 1.121818213243 , -0.884365489367071 , 1.59336168347721 , 0.0915345749566564 , -0.0115461729481303 , -1.12817478748243 , -1.20461536885906 , -1.28341586554337 , 0.261486215437876 , -1.13469375413752 , -0.334855405509063 , 0.690383805403872 , -1.780925686761 , 1.65633715322536 , -0.145927694358752 , 0.951509734174965 , 1.39763689588457 , -1.28941111937915 , 1.24574527856232 , 0.444700855176989 , 0.110284734600756 , 0.0933494121736387 , 1.21014447479742 , 0.0306392390225627 , 1.42207780762713 , 1.09335601341303 , -1.09220613794495 , 1.62542914817233 , 0.832975040113461 , 0.868834540308014 , 0.891450183222731 , 0.902832097159872 , 0.125098671008357 , 0.194209749591291 , 2.50979707349249 , 0.335010536245065 , 2.32836391428989 , -1.57989490328342 , 1.35918055723137 , -0.190992385404388 , 0.637414891681267 , 0.459617178847393 , -0.882028469181597 , -0.103749048729238 , 1.27282462993965 , 0.226427001731327 , 0.063089957052568 , 0.886213321466033 , 0.42322294892486 , 1.07776060648373 , 0.412541373531247 , -1.46710819604801 , 0.770276535396539 , 1.19253932162973 , 0.16707913858941 , 0.94691247308159 , 0.271818260041776 , 2.11284638246256 , 0.578325761737303 , 0.0703867969861192 , 0.0413468567656864 | 0.0135310 |
| 94 | 50 | 0.5 | 0.1 | 0.5 | control , control , control , control , control , control , control , control , control , control , control , control , control , control , control , control , control , control , control , control , control , control , control , control , control , control , control , control , control , control , control , control , control , control , control , control , control , control , control , control , control , control , control , control , control , control , control , control , control , control , intervention , intervention , intervention , intervention , intervention , intervention , intervention , intervention , intervention , intervention , intervention , intervention , intervention , intervention , intervention , intervention , intervention , intervention , intervention , intervention , intervention , intervention , intervention , intervention , intervention , intervention , intervention , intervention , intervention , intervention , intervention , intervention , intervention , intervention , intervention , intervention , intervention , intervention , intervention , intervention , intervention , intervention , intervention , intervention , intervention , intervention , intervention , intervention , intervention , intervention , -0.0788516778727084, -0.0290953606698222, 0.323597595636405 , -1.04436464645133 , -0.0390970947972348, -0.145198658189384 , -0.371550860403028 , 0.347706325314203 , 0.430723457252548 , 0.0724731459606408 , 0.271197515752234 , 0.75498530082843 , 0.850622942815131 , 0.00880968234599873, 0.452646950049084 , -0.736554314308226 , 0.083274750731189 , -0.0375503851919938, -0.352826133166386 , 1.50481206739483 , -0.0232465612453187, -0.758245380411847 , 0.261687321572621 , 0.173223151030855 , 1.06583471646902 , 0.225236845772573 , 0.169594631189019 , 0.211129361779884 , 0.217291181792867 , 0.921637239785733 , 0.105560325387534 , -0.709942111336241 , 0.15224461879827 , -0.443110164926111 , -0.598233335944174 , -0.498192566273697 , 0.605076609879643 , 0.733359265722489 , -0.918228757752012 , 1.01442453423514 , 0.679135301370569 , 0.837617982117678 , 0.412337528133805 , 0.548722680838103 , 0.157670493836337 , -0.11150038218654 , -0.0495904230955526, -0.224011008080899 , 0.477221329055688 , -0.157040524010548 , 0.697492685610668 , 0.19186296944541 , 0.675673380850664 , 0.167683990505461 , 0.527178066856378 , -0.0255647994645802, 0.300416864465592 , 0.363069397086346 , 0.239466457818795 , 0.794075005996082 , 0.703656783688551 , -0.235773299447381 , -0.224550217065188 , 0.694778722518146 , 0.749942251832848 , 0.220715239968542 , 1.26163078425937 , -0.117655047509421 , 0.364382950069006 , -0.504028759302254 , 0.390027089231661 , 1.48734606472157 , 0.447912162345257 , 0.286300090270107 , 0.58391129813294 , 0.0529816691969573 , 0.0220579988683192 , 0.842229234827998 , 0.665697529839421 , 1.34323830861049 , 0.365856153022129 , 0.686844230564371 , 0.344008131516316 , 0.284242028504595 , 0.017510823055535 , -0.07390270341469 , -0.393542948320247 , 0.583827681769236 , 1.91059236486602 , -0.540683299210396 , 0.266455603470909 , 0.784256279283901 , -0.538161914183678 , 0.0284511788656454 , 0.994283463951729 , 0.75231506371443 , 1.13383771777253 , 0.178429897713772 , 1.04948866387786 , 0.24484167959195 | 0.0080993 |
| 94 | 50 | 0.5 | 0.1 | 1.0 | control , control , control , control , control , control , control , control , control , control , control , control , control , control , control , control , control , control , control , control , control , control , control , control , control , control , control , control , control , control , control , control , control , control , control , control , control , control , control , control , control , control , control , control , control , control , control , control , control , control , intervention , intervention , intervention , intervention , intervention , intervention , intervention , intervention , intervention , intervention , intervention , intervention , intervention , intervention , intervention , intervention , intervention , intervention , intervention , intervention , intervention , intervention , intervention , intervention , intervention , intervention , intervention , intervention , intervention , intervention , intervention , intervention , intervention , intervention , intervention , intervention , intervention , intervention , intervention , intervention , intervention , intervention , intervention , intervention , intervention , intervention , intervention , intervention , intervention , intervention , 0.213528552739682 , -0.704371217709925 , -0.341189919394048 , 0.703064078895455 , -0.817231102822484 , 0.605109493927111 , 0.945722182277934 , -0.107894121515404 , 2.25926587563128 , -0.0813845201063791 , 1.28785039330293 , 0.0902773144229338 , 0.099312316602515 , -1.33903990822584 , -1.00012217949041 , 0.651588085050233 , -1.02530237108198 , -1.51401332820566 , 1.65760637493354 , -1.71975651554349 , 0.15244062824163 , 0.379365016850065 , 0.672561388628764 , -0.883352044872264 , 0.716248764139751 , 1.16363501122906 , -1.20415614010005 , 0.633035974908923 , 0.634912963848173 , 0.504222707203719 , -0.257214623974421 , -0.0547267565911339 , 1.64301419904941 , 1.37817797525277 , 1.27586390678335 , -0.649530009247927 , 0.137620994178871 , 0.580544297841657 , 0.848851480910639 , -0.724036356345962 , 1.28513701497032 , -1.18775591991004 , -1.21089896416258 , -2.78897229439149 , -0.238955606249927 , -0.00266102692696922, 0.109662217249512 , -0.0583598856264263 , 0.10427666396428 , 0.19920802157516 , -0.146972217898291 , 0.928266057747792 , -0.629006052399159 , 1.02773257336718 , 0.0993628836640693 , 2.06118517700942 , -0.636295126377491 , 0.56117268743354 , 1.28858804560916 , 0.499691885231154 , 0.603697515100645 , 1.79144777275593 , -1.40722240801573 , 0.406732204394962 , 1.00303039146908 , -0.780781791246965 , -0.0147868225551632 , -2.06607303885257 , 0.624286980830775 , 1.74499664070258 , -0.219076237852397 , 0.653806252787288 , 1.15269928152116 , 0.157071546723393 , 0.453051063395229 , 0.184939992232732 , 0.323311707317154 , 0.41182015985405 , -0.859833615943846 , -0.441620316277249 , 1.53848414322972 , 0.625778764709931 , 0.436002850845982 , -1.00601537856936 , 1.03317606026412 , 0.462181596805078 , 3.33455047538156 , -0.166699852463381 , 0.391563392472478 , 0.170640630286852 , 2.07172530552543 , 1.02729274637042 , 0.859806310178993 , 0.74961451938503 , 0.17821834433409 , 0.219884926502857 , -0.590900351888678 , 2.0931318190425 , 0.605985179142287 , 1.82414661372092 | 0.0310426 |
| 95 | 20 | 0.0 | 0.0 | 0.5 | control , control , control , control , control , control , control , control , control , control , control , control , control , control , control , control , control , control , control , control , intervention , intervention , intervention , intervention , intervention , intervention , intervention , intervention , intervention , intervention , intervention , intervention , intervention , intervention , intervention , intervention , intervention , intervention , intervention , intervention , -0.223926631437732 , 0.327277342363032 , -0.0719375598882909, -0.196019910443339 , 0.821325975817465 , 1.36472284616101 , -0.508485385160653 , 0.465745125351062 , 0.188015569656403 , -0.696593222862663 , -0.680147363843686 , 0.381073289190532 , -0.720670731122597 , 0.189508770282014 , -0.742308528863784 , -0.0624956028381551, 0.0378662785119529 , 0.230167788174094 , 0.97833879899321 , 0.126451469176163 , -0.693709564823021 , 0.282671165368979 , -0.509763570791497 , 0.671470250922331 , 0.0912015133613373 , -0.424509589130243 , 0.568973633881882 , -0.37603380694733 , 0.307144455208412 , -0.765446467562975 , 0.178720267865933 , -0.666678376456662 , 0.126838304057814 , -0.129789119619252 , -0.358117871242619 , 0.058576700042838 , -0.248680667266566 , -0.5196888058935 , 0.114527436220593 , -0.0908881082601918 | 0.2686831 |
| 95 | 20 | 0.0 | 0.0 | 1.0 | control , control , control , control , control , control , control , control , control , control , control , control , control , control , control , control , control , control , control , control , intervention , intervention , intervention , intervention , intervention , intervention , intervention , intervention , intervention , intervention , intervention , intervention , intervention , intervention , intervention , intervention , intervention , intervention , intervention , intervention , -0.894035114490914 , -0.186902905237424 , 0.814605716337502 , -1.50162676082909 , -0.911863381776482 , -1.12591570347102 , -0.222178526465227 , -1.85417380135588 , 1.7496472918875 , -0.508834608818699 , 0.723716652510307 , -0.572965201947723 , 1.5467422258125 , 0.00208411347973322, -1.46528413154265 , 0.234465527238055 , 0.660293192672107 , -1.7233258642411 , 0.154212107983601 , -0.775963488346763 , 1.50043886225194 , 1.18049936997776 , -0.468518146584742 , -0.491908654600148 , -0.161519669947516 , 0.602572535721247 , 0.656403732916263 , -1.57691035770322 , 0.854841554462266 , 0.121560671402301 , 1.85527438965432 , 0.492209869902505 , -1.21150884013113 , -0.48442067278926 , -1.34528815309759 , -1.49843867308899 , -1.1261174747104 , -0.828056352107952 , -3.45882354683134 , 0.622089437721105 | 0.8825636 |
| 95 | 20 | 0.0 | 0.1 | 0.5 | control , control , control , control , control , control , control , control , control , control , control , control , control , control , control , control , control , control , control , control , intervention , intervention , intervention , intervention , intervention , intervention , intervention , intervention , intervention , intervention , intervention , intervention , intervention , intervention , intervention , intervention , intervention , intervention , intervention , intervention , 0.218073053150192 , -0.354577327417855 , 0.750345943777157 , 0.111112951241401 , 0.500665505244081 , -0.277978757700897 , -0.262575230077057 , 0.497188257356491 , 0.126095572294748 , 1.03077646456815 , 0.811097959187133 , 0.368545763788048 , 0.648130619576079 , 0.842321692352225 , -0.545349958273051 , 0.381789913678925 , -0.815725943036914 , 0.604441174211784 , 0.17290849440796 , -0.100899546079233 , -0.63493389563187 , -0.348943721756021 , -0.594437334178995 , -0.321284082383811 , -0.0817809339202859, -0.83973750376967 , -0.505781032985133 , 0.870288784330577 , 0.306220372185792 , -0.717709441050902 , -0.865604196495197 , -0.615951667039227 , -0.284927179607752 , 0.65451318550573 , 0.143199153553111 , -1.0196176910396 , -0.453419401144228 , 0.75932508225612 , 0.0303241679927479 , -0.122733739898955 | 0.0078357 |
| 95 | 20 | 0.0 | 0.1 | 1.0 | control , control , control , control , control , control , control , control , control , control , control , control , control , control , control , control , control , control , control , control , intervention , intervention , intervention , intervention , intervention , intervention , intervention , intervention , intervention , intervention , intervention , intervention , intervention , intervention , intervention , intervention , intervention , intervention , intervention , intervention , -1.20592974282407 , -0.604622051134024, 1.34562022263875 , -0.621843985087522, -0.64561674462176 , 0.0768805215812854, -0.273897650696122, 1.32950523753453 , -0.568829127298319, 0.82535689865093 , -0.657777242085827, 1.48452161551824 , 0.397948590196361 , -0.67469774622713 , 1.26293485867051 , -0.269981744168512, 1.32219594515715 , 0.720385669511617 , 0.496596472560881 , -0.524940914770159, -0.516141552384506, 0.480706637929533 , -2.57264254031674 , -2.04340192982397 , -0.74576713723 , 1.06639983211077 , 0.581275578645638 , 0.63824689427781 , 0.964235982460602 , 1.05045851871536 , 1.63204856580673 , -0.888614140790203, -1.153412741784 , 0.62309833329205 , -1.00957422593182 , -0.660538791674887, 0.811965090715669 , 0.228046561391395 , 1.6683655885699 , 1.00858477685058 | 0.7575486 |
| 95 | 20 | 0.5 | 0.0 | 0.5 | control , control , control , control , control , control , control , control , control , control , control , control , control , control , control , control , control , control , control , control , intervention , intervention , intervention , intervention , intervention , intervention , intervention , intervention , intervention , intervention , intervention , intervention , intervention , intervention , intervention , intervention , intervention , intervention , intervention , intervention , -0.535867966429342 , 0.0507795414691412 , -0.153195261223063 , -0.53983020925308 , 0.19925409558295 , -0.394649577094897 , -0.698143621431975 , -0.98231863242679 , 1.26017631164931 , 0.42525115242241 , 0.30783848613286 , 0.457300324784061 , 0.878521761599606 , -0.46598085461092 , 0.980881129403305 , -0.0236773723263711 , 0.230216272064321 , -0.500025653347783 , -0.708727812368665 , -0.0831195008993671 , 0.744372762639917 , 0.55211876623397 , 0.593788517147628 , -0.451811667454317 , 0.850555687805581 , 1.02645254572005 , 1.03628362108799 , 0.403497112553027 , -0.03305252146566 , -0.0353725944908254 , -0.000472651746902475, 0.680444237227788 , 0.24294161391137 , 0.287480660524323 , 0.47544197905215 , -0.13297616252348 , 0.974541486938817 , -0.844073788677598 , 0.960484223766461 , 0.460549529906716 | 0.0294078 |
| 95 | 20 | 0.5 | 0.0 | 1.0 | control , control , control , control , control , control , control , control , control , control , control , control , control , control , control , control , control , control , control , control , intervention , intervention , intervention , intervention , intervention , intervention , intervention , intervention , intervention , intervention , intervention , intervention , intervention , intervention , intervention , intervention , intervention , intervention , intervention , intervention , -0.48428486805319 , -0.764748618679033 , 0.26548328303652 , -1.63045675829658 , -0.174171212575528 , -0.169179208279912 , 2.05109278467226 , -2.70117482132108 , -0.962841975427196 , -0.441605071392221 , 0.469608479258428 , 0.801911648184287 , -0.452804961038095 , 0.141291759195849 , -0.144240454939453 , -0.765772887030795 , 0.737623310806662 , -1.33218683096131 , -1.08480260244028 , -0.624270031055718 , -0.911526510546939 , 1.15871635455628 , 1.19927752580914 , 1.63776760113157 , -0.0731779737917396, 2.08193014478099 , -0.388520742630112 , -0.143721146317804 , 0.372720032333204 , 0.414176054928395 , 2.96770293660871 , 0.906232511933765 , -0.942678051058203 , 2.59618881554094 , 0.417434339906916 , -0.14948717182852 , -0.265324051352096 , 1.97375389737611 , 0.232682924030696 , 1.60553113196705 | 0.0024688 |
| 95 | 20 | 0.5 | 0.1 | 0.5 | control , control , control , control , control , control , control , control , control , control , control , control , control , control , control , control , control , control , control , control , intervention , intervention , intervention , intervention , intervention , intervention , intervention , intervention , intervention , intervention , intervention , intervention , intervention , intervention , intervention , intervention , intervention , intervention , intervention , intervention , 0.0166841584399761 , -0.377934169673478 , -0.220742886779801 , 0.15911460084371 , 0.491463714618668 , 0.0197622203826565 , 0.565065439044041 , 0.670274880136157 , -0.0816179088760254, -0.0147534284726636, 0.0319913356877961 , 0.772514547519657 , 0.289036990284627 , -0.610149984543863 , 1.12208189663587 , -0.169286092659433 , 0.158732599685172 , 0.107580643384917 , 0.345826359561685 , 0.254441908762287 , 0.811034127610013 , 0.30947362998957 , 1.50582885765068 , 0.896517544154541 , 0.184001968038628 , 0.475741336570419 , 0.604108564249884 , 0.970345970771971 , -0.011081484969546 , 0.90106880494472 , 1.28128297542317 , 0.416917717387818 , 0.97799860143653 , 0.951773052418916 , 0.56900344171943 , 0.170500291892231 , 0.778274803182628 , 0.684971075521718 , 1.07303433383503 , 0.826576438139236 | 0.0001072 |
| 95 | 20 | 0.5 | 0.1 | 1.0 | control , control , control , control , control , control , control , control , control , control , control , control , control , control , control , control , control , control , control , control , intervention , intervention , intervention , intervention , intervention , intervention , intervention , intervention , intervention , intervention , intervention , intervention , intervention , intervention , intervention , intervention , intervention , intervention , intervention , intervention , -0.659062054555671 , -0.252154480966497 , -0.28864092135602 , 0.843014086558846 , 0.390872665954807 , 0.894959493646608 , 1.08605563079166 , 1.29358417150069 , -1.51296508517787 , 0.0475341819403564 , -0.067443313093914 , -1.60619667495815 , 1.243168598457 , -0.6816123467965 , 1.56412227187708 , -0.15154057311429 , 0.134408597222397 , -0.891347533506598 , 0.0157879364466728 , 0.295994712126276 , 0.383674491849011 , -0.713331537954046 , 1.72774501775882 , 1.07591832617711 , -0.127893749587617 , 0.587817038010146 , 0.257277489758649 , 1.17168621382542 , -0.0928407544541413, 2.06546014232202 , 0.792278770230138 , 0.851972402689563 , 0.249014765066292 , 0.017715724982542 , 1.44426278454748 , -0.87397928282919 , -0.201281393729574 , 1.43561915247235 , -0.0893329340291922, -0.099725923456325 | 0.1382046 |
| 95 | 50 | 0.0 | 0.0 | 0.5 | control , control , control , control , control , control , control , control , control , control , control , control , control , control , control , control , control , control , control , control , control , control , control , control , control , control , control , control , control , control , control , control , control , control , control , control , control , control , control , control , control , control , control , control , control , control , control , control , control , control , intervention , intervention , intervention , intervention , intervention , intervention , intervention , intervention , intervention , intervention , intervention , intervention , intervention , intervention , intervention , intervention , intervention , intervention , intervention , intervention , intervention , intervention , intervention , intervention , intervention , intervention , intervention , intervention , intervention , intervention , intervention , intervention , intervention , intervention , intervention , intervention , intervention , intervention , intervention , intervention , intervention , intervention , intervention , intervention , intervention , intervention , intervention , intervention , intervention , intervention , 0.149362301096828 , 0.772272874039457 , -0.133009347413252 , -0.54464660752686 , -0.45491757109123 , 0.201505307035725 , 0.187183098719744 , 0.945606866197343 , -0.978946760869349 , -0.587682702663176 , 1.03332168818335 , 0.584142768884781 , -0.43172148738805 , 0.107599504629047 , 0.235716730336134 , -0.119017391376594 , 0.77378445914782 , -0.826281748357719 , 1.57735428973464 , 0.483291910408195 , 0.0721998986844584 , 0.446591640358162 , -1.06333081105473 , 0.416154819589304 , 0.67612586638688 , -0.214868356379406 , 1.04207737322741 , 0.0633038149025295 , 0.141729845892703 , -0.730617345919011 , -0.607580798898333 , -0.999360899781052 , -0.521411005500654 , 0.897765167245287 , -0.555295884824118 , -0.507256654772942 , -0.177613529827975 , 0.937852838271919 , -0.150163637118323 , -0.206465666959195 , 0.738093820909093 , 0.178009413409401 , -0.863525027151888 , -0.26296489185338 , 0.0783585902211364 , -0.0504372250806821 , -0.367094533583598 , 0.460485955271231 , 0.901194128002836 , 1.04738970518274 , 0.538931095831416 , 0.154875052485285 , 0.270283325849644 , 0.19029954946764 , -0.00299949388532186, -0.674117129770945 , 0.663841155073771 , -0.146873460752256 , 0.388198938692085 , -0.0153561908392858 , 0.013503351815445 , 0.146436202737499 , 0.728911746134684 , 0.0134425969467539 , 0.465677200807201 , 0.881665793948842 , -0.210335820426035 , 1.34809251412844 , -0.146437414928991 , -0.391573118740297 , 0.603045129659686 , 1.57233025133068 , -0.0995736425281352 , -0.336981730230586 , -0.11269133771011 , -0.151160506451752 , -0.739662710565804 , -0.707893302770425 , 0.45473357833969 , -0.451117896267446 , -0.0567942711310182 , 0.195918347749481 , 0.363636197213486 , -0.615120084927791 , 0.349156942118928 , 0.505784368386492 , -0.270325147592205 , -0.707849078814746 , 0.433133074955568 , 0.234395834954325 , 1.50819768572129 , -0.363813617142339 , 0.0305828980699467 , -0.101187531706503 , 0.0473829354120629 , -0.159222956635823 , 0.302377532725588 , -0.131187408294619 , 0.690518591028695 , 0.113402869739058 | 0.6306281 |
| 95 | 50 | 0.0 | 0.0 | 1.0 | control , control , control , control , control , control , control , control , control , control , control , control , control , control , control , control , control , control , control , control , control , control , control , control , control , control , control , control , control , control , control , control , control , control , control , control , control , control , control , control , control , control , control , control , control , control , control , control , control , control , intervention , intervention , intervention , intervention , intervention , intervention , intervention , intervention , intervention , intervention , intervention , intervention , intervention , intervention , intervention , intervention , intervention , intervention , intervention , intervention , intervention , intervention , intervention , intervention , intervention , intervention , intervention , intervention , intervention , intervention , intervention , intervention , intervention , intervention , intervention , intervention , intervention , intervention , intervention , intervention , intervention , intervention , intervention , intervention , intervention , intervention , intervention , intervention , intervention , intervention , -0.662812679555685 , 1.00868938998173 , 0.984957492700433 , 0.100300399148929 , -0.129020293274056 , 1.18640364366989 , 0.443910234793928 , 1.05398717214756 , 0.416032555136324 , 0.290008173017021 , 0.351533676362202 , 0.994274406489499 , 1.84355557401117 , -0.243711888216092 , 0.209449821895262 , -0.534785809195333 , -1.04907389523988 , 0.212991622491046 , -1.4593784048194 , 0.127734420767888 , 0.376124479737691 , -0.478550393738469 , 0.322631613913433 , 2.32471188837041 , -0.59498343167287 , -0.536358743935078 , -1.34390576790396 , 0.118557144003098 , -0.0603432112419016 , 0.711197170567106 , -0.0385107064631974 , 0.44271911491166 , 0.260757262812535 , -0.52892038774467 , -0.525265653037174 , -0.146157281967349 , 0.814783415737937 , 0.199525332891035 , 0.624570823115832 , -0.0398479946624225 , -1.15558214072106 , 1.02935624245615 , -0.523066497112134 , -0.26790333652517 , -1.95306229740518 , -0.00471308802747432, 1.52583134278039 , -0.592808762209538 , 0.00710194227936012 , 0.151838135821695 , -0.291018417118126 , 1.42663073541964 , -0.577450998329788 , -0.0244050838975241 , 1.13084639959547 , 1.87679617250085 , 0.186710591292525 , -0.939660486185035 , -1.55216801653625 , 0.754671420950891 , 0.705462228360243 , -0.643275992314215 , -0.710698628653552 , 1.4282942831978 , 1.16726829053952 , -1.23515048865971 , -0.672195065789548 , 0.669350354403445 , -0.932566071154487 , 0.79877872395299 , 1.68619220780519 , 0.85545928822065 , -0.425355879182812 , -1.31237832658798 , 1.78194404145154 , 0.976983083353756 , 1.62787328047051 , 0.978625650524758 , 1.66505834777182 , 0.460729045566366 , -1.00528797034162 , 1.44440414806647 , 0.226581712218023 , -0.211534635713025 , 2.08039239793028 , -0.861538302564168 , 0.5717109271292 , 0.17440261395454 , 1.0195431718515 , -1.47510295898889 , -1.57916495551143 , 1.09896676119567 , 0.020600488501211 , -0.896571192354326 , -2.05964318709456 , 0.449593094646316 , -0.687106425919487 , -1.57691482458192 , -0.104121376844386 , -0.944531310042796 | 0.8956325 |
| 95 | 50 | 0.0 | 0.1 | 0.5 | control , control , control , control , control , control , control , control , control , control , control , control , control , control , control , control , control , control , control , control , control , control , control , control , control , control , control , control , control , control , control , control , control , control , control , control , control , control , control , control , control , control , control , control , control , control , control , control , control , control , intervention , intervention , intervention , intervention , intervention , intervention , intervention , intervention , intervention , intervention , intervention , intervention , intervention , intervention , intervention , intervention , intervention , intervention , intervention , intervention , intervention , intervention , intervention , intervention , intervention , intervention , intervention , intervention , intervention , intervention , intervention , intervention , intervention , intervention , intervention , intervention , intervention , intervention , intervention , intervention , intervention , intervention , intervention , intervention , intervention , intervention , intervention , intervention , intervention , intervention , -0.463518660226462 , 0.708400222128796 , -0.272344715103316 , -0.92001241758256 , 0.54915942392354 , -0.295382416328064 , -0.116755186065005 , 0.679828855036043 , 0.389122208183022 , 0.532621640465939 , -0.212006206483526 , 0.379822135967153 , -0.53052111655834 , -0.444940915887232 , 0.949156398257424 , -0.104937294682565 , 0.267600551636865 , 0.337884275314441 , 0.763123977049024 , 1.07846623442544 , 0.844355440737917 , 0.0389125603054104 , 0.402914238298123 , -0.0899136166030402 , 0.133268745429619 , 0.629732387126253 , 0.956300399667805 , 0.268379601381613 , 0.23653324613985 , 0.21680580016096 , -0.400030188977077 , -0.348683674220849 , -0.794235180797983 , 0.461933224144218 , 0.490166720533831 , 0.893228809978717 , 0.157048452439359 , 0.163599869883938 , 0.288955348228598 , -0.728436122356602 , 0.53734737072183 , 0.661742947228734 , 0.297101539395153 , -0.78540138280764 , 0.535286478819589 , -0.0458863614726219 , 0.011732677174223 , 0.594000726906285 , -0.407198905126406 , 0.366117980860027 , -0.144972121748602 , 0.484534181213286 , -0.77718881961359 , -0.0519397987719511 , -0.131090151875395 , 0.338754537791283 , 0.494635500977469 , 0.353635005553484 , 0.17680818659437 , 0.662576737557262 , -0.919624058374573 , -0.56987323763549 , -0.116954117372498 , 0.59257220391779 , -0.111446350484813 , 0.96428004912273 , 0.109912007082364 , -0.413639793792539 , 1.03935219371956 , -0.680522902794978 , 0.742993261482677 , 0.429793804653604 , 0.546379527138779 , 0.421440077702696 , 0.314516364000395 , 0.217607272578054 , 0.0171748144478523 , 0.136162648945211 , -0.258600928317594 , 0.190242496460209 , -0.0667313546717419 , 0.26425966714512 , 0.461485930957285 , -0.420795880600581 , 0.684598296528893 , 0.37853015202392 , -0.397887853084056 , -0.539917747520825 , 0.415501253183508 , -1.22616661395378 , -0.268497152725078 , 0.167144145298206 , -0.410849389676673 , 0.8233052929174 , 0.0983147795763471 , 0.172240621546261 , -0.302004263129386 , -0.00100199614122726, -0.535395610106767 , -0.0171411069624573 | 0.2703314 |
| 95 | 50 | 0.0 | 0.1 | 1.0 | control , control , control , control , control , control , control , control , control , control , control , control , control , control , control , control , control , control , control , control , control , control , control , control , control , control , control , control , control , control , control , control , control , control , control , control , control , control , control , control , control , control , control , control , control , control , control , control , control , control , intervention , intervention , intervention , intervention , intervention , intervention , intervention , intervention , intervention , intervention , intervention , intervention , intervention , intervention , intervention , intervention , intervention , intervention , intervention , intervention , intervention , intervention , intervention , intervention , intervention , intervention , intervention , intervention , intervention , intervention , intervention , intervention , intervention , intervention , intervention , intervention , intervention , intervention , intervention , intervention , intervention , intervention , intervention , intervention , intervention , intervention , intervention , intervention , intervention , intervention , 0.223011342403911 , 0.548118371984459 , -0.462218110124443 , -2.03584757765183 , -0.663631214655355 , -0.163784124712917 , -0.882040744497646 , 0.667588333310489 , -0.26645037227274 , 1.07689958252587 , -1.7909094072189 , -0.133201576307727 , 0.573238037956987 , 0.345842399790634 , -0.860106930432476 , 1.1204976751812 , -1.06256250678405 , 0.547945644035569 , -0.549484240396936 , 0.765964805642041 , 0.595536075499953 , 1.16593900569173 , 1.74777995979077 , 0.309700889725673 , -0.444038844206721 , -0.752271822471837 , -1.10740157355114 , 1.41499900595683 , 1.13502022065482 , -0.85787894902784 , 1.28320558112714 , -0.640631107977018 , 0.356545790889694 , 0.75244383740298 , -0.720852488870357 , -2.32881051938761 , 0.702472209354331 , -1.49224252108939 , 0.00127779532453154, 0.00209222705597778, -0.911765884539321 , 0.262269317811241 , 0.0553806012855873 , -0.0190419611547412, -1.33409528093818 , 0.42502993023363 , -0.474393955729677 , -1.12672774449431 , -0.738047549021532 , -0.267671321637745 , 1.38296971886392 , -0.223062738961639 , -0.811100097029701 , 2.31553535129705 , 0.34371124186266 , 0.515049704544999 , -1.408913745032 , 1.20428184394894 , -0.686722498622412 , 0.135465278364904 , -0.410607027773544 , 0.0134871987306431 , 1.06521601336415 , -1.54133001917942 , -1.96033584866868 , 0.968604002788244 , 0.384628455252942 , 0.489981120478085 , -1.17938811650779 , 0.640403861484597 , -0.159632720696746 , 1.32251224899916 , 1.38658454570645 , 0.0694222040455162 , -0.0942695932601826, -0.192785245417036 , 0.303176744419332 , 0.0909145048671325 , -0.560538119538959 , -0.291703837130608 , -0.115214235802527 , -0.76510984724456 , -0.372450053729368 , 1.08440048704301 , -0.100542187122484 , 0.0120406235519879 , -0.969835864822036 , 0.930834951984435 , 0.373775618262807 , 0.324715869061496 , -0.949739783975059 , -0.496007271190744 , -1.60002753439488 , 1.80975586526046 , -1.34561795688034 , -1.05024407161421 , 1.63398434290805 , -0.539318103484039 , -1.76254528763026 , -1.27413693949442 | 0.6826695 |
| 95 | 50 | 0.5 | 0.0 | 0.5 | control , control , control , control , control , control , control , control , control , control , control , control , control , control , control , control , control , control , control , control , control , control , control , control , control , control , control , control , control , control , control , control , control , control , control , control , control , control , control , control , control , control , control , control , control , control , control , control , control , control , intervention , intervention , intervention , intervention , intervention , intervention , intervention , intervention , intervention , intervention , intervention , intervention , intervention , intervention , intervention , intervention , intervention , intervention , intervention , intervention , intervention , intervention , intervention , intervention , intervention , intervention , intervention , intervention , intervention , intervention , intervention , intervention , intervention , intervention , intervention , intervention , intervention , intervention , intervention , intervention , intervention , intervention , intervention , intervention , intervention , intervention , intervention , intervention , intervention , intervention , 0.399603128004395 , 0.171747925573825 , 0.904073151347766 , 0.555966677780241 , -0.238454786178176 , -0.143536613595345 , -0.129821616029228 , 0.344311986713273 , -0.196077134431663 , -0.407393122629457 , -0.288163969461109 , 0.0384061288550041 , -0.604648019675802 , -0.802235334843902 , -0.23300628816702 , -0.266802547719824 , -1.01036171060456 , 0.0411079089998807 , -0.251561630840812 , -0.602614399546462 , -0.172107212576982 , 0.135522020890877 , 0.15725927927925 , 0.149651622497272 , 0.238308252265818 , -0.249918031470961 , 0.675355884463805 , -0.161387724429877 , 0.217525099437875 , 0.350238262966404 , 0.249595003537656 , 0.507791280052136 , -0.367874028746342 , 0.231057544783732 , -0.00633046863781078, 0.773577640443981 , 0.507218990542089 , 0.331267029193843 , -0.368248493526772 , -0.337611317943552 , -0.140163767631698 , 0.11282115232968 , -0.317376837779479 , -0.442685930868701 , 0.00244282055466916 , -0.051211225044647 , 0.747833170073704 , -0.968067224490538 , -1.17695601894697 , 0.713663197934989 , 1.41125392700467 , -0.18138122200228 , 1.27402731117474 , -0.159224545665164 , 0.368510578326011 , 0.329332435071512 , 0.787069113011761 , -0.427274441966459 , 0.487785885545588 , 0.0999098197479455 , 0.582694041129349 , 1.11762901846693 , 0.928670055627664 , -0.00992954092700649, 0.0977792940758259 , 1.49759108435201 , 0.355964089924603 , 0.49505084453835 , 0.74297597975202 , -0.34206865697686 , 0.62753812418459 , 0.276015441122248 , 1.77803893383898 , 0.680639541508361 , 0.0883541240420939 , 1.24499386449858 , 0.277186544623922 , 1.29999972496505 , -0.0439154252738063 , 0.773528779778574 , 1.30471328087131 , -0.142388356928369 , -0.0554039196965728 , 0.724466240411468 , 0.0745534844260015 , 0.371504745212144 , 0.0941225126614102 , 0.528112989237444 , 0.46125187829398 , 0.802559696679052 , 0.554622450700347 , 0.527679260507579 , 0.670650377830064 , -0.079710364083056 , 0.699823942518661 , 0.506025681708177 , 0.813370893033047 , 1.06676936383166 , 0.362589090190266 , -0.12436769483385 | 0.0000003 |
| 95 | 50 | 0.5 | 0.0 | 1.0 | control , control , control , control , control , control , control , control , control , control , control , control , control , control , control , control , control , control , control , control , control , control , control , control , control , control , control , control , control , control , control , control , control , control , control , control , control , control , control , control , control , control , control , control , control , control , control , control , control , control , intervention , intervention , intervention , intervention , intervention , intervention , intervention , intervention , intervention , intervention , intervention , intervention , intervention , intervention , intervention , intervention , intervention , intervention , intervention , intervention , intervention , intervention , intervention , intervention , intervention , intervention , intervention , intervention , intervention , intervention , intervention , intervention , intervention , intervention , intervention , intervention , intervention , intervention , intervention , intervention , intervention , intervention , intervention , intervention , intervention , intervention , intervention , intervention , intervention , intervention , -0.463190186148962 , -0.741215686679591 , -0.100585163574656 , 1.47209666700813 , -1.15397450321721 , -0.926381245097375 , 1.04570889387847 , -0.164548802978815 , -0.240964914156839 , -1.51253144064429 , 0.260017161181832 , -1.14355725458832 , 0.93539488524516 , 0.774163894659715 , -0.517753144731859 , 0.262703242448607 , 0.487929806883704 , 0.439406130359876 , 1.03731635943575 , -0.209758828591338 , -0.387051620466409 , 0.603566343544043 , 0.13801494273631 , -0.55686214585965 , 0.11625924990347 , -0.717354594623999 , 0.752151158667118 , -0.506240373483479 , 0.800680605748758 , -0.0849272570456759, -0.157061256865796 , -0.147626342441775 , 0.0470799414983089 , 1.47073041353094 , -1.11919012616571 , -0.261575549563989 , -0.653439697012884 , -0.391459065029562 , -0.728711672467294 , -0.663954207062058 , -0.65011628156425 , -0.55909269412142 , -0.6146897929359 , 1.19557545394918 , 0.0793157554984111 , 1.19696603302534 , -0.516152368408938 , 0.202861682174722 , 1.11845606223454 , -0.744350224241222 , 1.58397338236377 , -0.896183160491475 , -0.607946209166117 , 2.41598467983258 , 0.512448438203967 , 0.918068595794149 , 2.19406638999758 , 0.490074265723981 , 1.30410955057184 , 0.484430750335434 , -0.801681104090126 , -0.260444812606874 , 0.938763966041231 , 0.116008541073367 , -1.19964790335137 , -0.61417378698514 , 0.0795305606429567 , -0.164621765117672 , 0.842166207465225 , 0.174298348629455 , 0.436846033365364 , 0.909493574655806 , -0.785522810863116 , 2.2920522165569 , 2.22264527769673 , 1.75528540393187 , -0.111948054487131 , -0.0841620999268087, 0.782789874062061 , 1.04149528927839 , -0.0938776215192351, 0.730198119620974 , 0.542079790493402 , -0.402570343144665 , 0.406890333686988 , 0.0521258812473159 , 2.40956948794868 , 0.510443679098804 , 0.424916188074086 , -0.607419118266605 , 1.57236641744317 , 0.283958683667279 , 0.236005961911557 , -0.649547164761534 , 0.429392441018121 , 1.30788478939436 , 0.484597003646113 , 0.773869354278606 , 1.06721514088758 , -0.339493389123171 | 0.0014347 |
| 95 | 50 | 0.5 | 0.1 | 0.5 | control , control , control , control , control , control , control , control , control , control , control , control , control , control , control , control , control , control , control , control , control , control , control , control , control , control , control , control , control , control , control , control , control , control , control , control , control , control , control , control , control , control , control , control , control , control , control , control , control , control , intervention , intervention , intervention , intervention , intervention , intervention , intervention , intervention , intervention , intervention , intervention , intervention , intervention , intervention , intervention , intervention , intervention , intervention , intervention , intervention , intervention , intervention , intervention , intervention , intervention , intervention , intervention , intervention , intervention , intervention , intervention , intervention , intervention , intervention , intervention , intervention , intervention , intervention , intervention , intervention , intervention , intervention , intervention , intervention , intervention , intervention , intervention , intervention , intervention , intervention , -0.23386382669209 , 0.17435767363884 , 0.0459474386624119 , 0.0527040026082849 , 0.405812558556908 , -0.0295651714722673 , 0.0915813178713004 , 0.395338513626967 , 0.207958553809429 , 0.454058548421607 , -0.183997243775038 , 0.690261141166415 , -0.146512211526274 , 0.250382775159138 , -0.470422978076419 , 0.376487562993455 , -0.857842505079122 , 0.819639425922406 , 0.000608246495568426, 0.132721072270573 , 0.440185757912845 , -0.110629173934356 , 0.0190186101225443 , -0.321190387423436 , 0.140099720155829 , 1.17257205425061 , 0.621121916891089 , -0.34093472667162 , 0.55429445440398 , 0.265329601728114 , -0.00115081782247271, -0.737422838078803 , -0.0165147077633106 , 0.481442926803246 , 0.15041313898445 , 0.899780878529525 , 0.0417415166046343 , -0.223889728740414 , 0.357619751944372 , 0.219450798029531 , 0.43595052811723 , 0.666459240398893 , 0.836366828093793 , 0.581387830948302 , -0.477295018595791 , 0.202461560820453 , 0.854502988974134 , -0.770790681792205 , 0.38620427848834 , 0.421567186918387 , 1.37309020838236 , 0.53928326418373 , 0.277171403434086 , -0.224171809329626 , 0.667989522005923 , -1.17008044594186 , 0.15781208885755 , 0.462436675544898 , 0.70730534442867 , 0.0155750818469618 , 0.269985118460055 , 0.029489732956633 , 0.603012680095042 , 0.6173840846736 , 0.848351049400603 , 1.04263067911084 , 0.161188673401435 , 0.972007373652267 , 0.617471411793203 , 0.0134309378971472 , 0.359164712360113 , 0.266810946991638 , 0.359182632513295 , 0.235561479439616 , 0.832365149354534 , 0.456386332402336 , 0.879726240553806 , 0.676944805433471 , 0.423390907234746 , 0.993678070434953 , 0.442980142367626 , 1.91255370928201 , 0.760698377475517 , 1.11712472521078 , 0.25448737640143 , 0.591797867519446 , 0.743052141351881 , 0.253725579529282 , 0.316889668773475 , 0.340189973323928 , -0.21449307178672 , 0.801339191808163 , 0.204473162737784 , 0.609303059003113 , 0.802159463079629 , 0.353966402428141 , 0.914444001860035 , 1.05742361798507 , 0.972517080391406 , 0.563291036187014 | 0.0002360 |
| 95 | 50 | 0.5 | 0.1 | 1.0 | control , control , control , control , control , control , control , control , control , control , control , control , control , control , control , control , control , control , control , control , control , control , control , control , control , control , control , control , control , control , control , control , control , control , control , control , control , control , control , control , control , control , control , control , control , control , control , control , control , control , intervention , intervention , intervention , intervention , intervention , intervention , intervention , intervention , intervention , intervention , intervention , intervention , intervention , intervention , intervention , intervention , intervention , intervention , intervention , intervention , intervention , intervention , intervention , intervention , intervention , intervention , intervention , intervention , intervention , intervention , intervention , intervention , intervention , intervention , intervention , intervention , intervention , intervention , intervention , intervention , intervention , intervention , intervention , intervention , intervention , intervention , intervention , intervention , intervention , intervention , -0.883738596506778 , 0.100335077807357 , 1.82665592670336 , 0.118740494590987 , -1.74350651981173 , 0.112299362000779 , -0.152585370924256 , 0.913405811020904 , -0.125095649087724 , 0.60305786784454 , -0.182336057401696 , -1.28702753255339 , -1.40492460592141 , -1.97349053623955 , 0.954309089570313 , 0.873120855335 , 0.47791115203504 , 2.29492998908903 , -0.55332739574623 , 0.840626957095906 , 0.213982914327638 , -0.0916732368096167, 0.837116980458294 , -0.0170614340468192, 0.563974752942814 , -1.40598455744645 , -0.0382767636696957, 0.544500313424084 , -0.23768220276372 , 1.43447249977492 , 0.660672960387175 , 0.97190068156502 , -0.807788817990847 , -0.218052499211822 , -0.993425032995819 , -1.43138148762141 , 0.693288483118002 , -0.825624589479854 , 1.04806307071045 , -1.51757733616634 , 0.111977658393687 , 0.95710482951441 , 1.46077961063018 , 1.81917430005998 , -0.557514716034999 , 1.23143181164508 , 1.01595168235068 , -0.80665772065639 , 0.435510437294018 , -0.602073665200495 , -1.07403036391827 , -0.180039280973269 , 0.0630173436688373 , 0.020345981188726 , -1.30623640567204 , 0.495942285814636 , 0.407896096603699 , -0.878447211669646 , 0.687393540496172 , 0.456781431251874 , 2.09909783241115 , 0.477297746344534 , 0.0281089121212528 , -0.698855453217032 , 0.955052439687232 , 0.0123740945538729 , -0.10818730634525 , 0.0208076910810868 , 0.154421762495759 , -0.608506077642561 , -0.592998454935529 , -0.426348170165009 , 0.572618378060207 , 0.500145040126441 , 1.15543546957737 , 0.996554367786982 , 1.0177943264494 , -0.387899471742164 , 0.0472148171634414 , -0.5573951867043 , 1.08598671377232 , -0.0621334297743972, 1.77672931646974 , -0.522349467078505 , -0.223282838302265 , -0.126630928265231 , 0.740967638989344 , 0.881875505093163 , 0.446062294343283 , 0.230850343950502 , -0.925400042211996 , 0.51371882615966 , 1.32792155364989 , 0.352114831970661 , -1.12894870692022 , 0.868629853199058 , 0.742971703534711 , 0.130443890405959 , -0.051206637162894 , -0.517487472931978 | 0.6807303 |
| 96 | 20 | 0.0 | 0.0 | 0.5 | control , control , control , control , control , control , control , control , control , control , control , control , control , control , control , control , control , control , control , control , intervention , intervention , intervention , intervention , intervention , intervention , intervention , intervention , intervention , intervention , intervention , intervention , intervention , intervention , intervention , intervention , intervention , intervention , intervention , intervention , -0.751532872149315 , 0.112314276068611 , 0.371891751217236 , 0.606188491247034 , -0.321690974362475 , -0.241887318067406 , 0.200077600669794 , -0.250867937322443 , -0.364310280358177 , 0.157564222715476 , -1.28961186205262 , -0.135415872829388 , -0.538083367255624 , -0.610787654079189 , -0.0455326571867703, -0.543846997783283 , 0.286690719046307 , 0.307055422795545 , -0.273738730652985 , 0.566454848961511 , 0.036209508527893 , -0.681180793459868 , 1.13533758953407 , -0.0568301298415771, 0.231502030973665 , 0.535171369964773 , -0.115890515030122 , -0.37222153837801 , -0.121468561733947 , 0.42084879137814 , -0.896170159955017 , 0.427345851780048 , -0.327608844579997 , 0.47023706524532 , 0.544760716239265 , -0.693919905783208 , 0.215512729512571 , 0.120733424706921 , -0.463566320428822 , -0.172680207855497 | 0.3412709 |
| 96 | 20 | 0.0 | 0.0 | 1.0 | control , control , control , control , control , control , control , control , control , control , control , control , control , control , control , control , control , control , control , control , intervention , intervention , intervention , intervention , intervention , intervention , intervention , intervention , intervention , intervention , intervention , intervention , intervention , intervention , intervention , intervention , intervention , intervention , intervention , intervention , 2.17762251703095 , -0.813909122553624, -1.73967061044842 , 1.57514970559554 , 0.344862203315842 , -0.11803116531288 , 0.770016709215657 , 0.6073478788215 , -1.66094509190364 , 0.0408646204167471, -0.355980952099198, 0.467003266244993 , 1.38949804730189 , 1.68861437288072 , -0.444478889870745, 0.349549114059253 , -1.54707280806993 , -1.00251434611308 , 0.817870803129455 , 0.475265625807417 , 1.09164508455193 , 0.932418865234079 , -0.03915444862884 , -0.559305420444695, 1.52011657080604 , 0.439839040691728 , -1.14439175254228 , 0.054928955612302 , -0.063455307070111, 0.244784475841612 , 0.531082508827562 , 1.05096206570575 , -1.38961991511089 , -0.689784806667613, -0.982331552595529, 1.56848545129455 , 1.36783609787091 , 0.0561589319761302, 2.30123069975926 , -0.254953907390382 | 0.6563203 |
| 96 | 20 | 0.0 | 0.1 | 0.5 | control , control , control , control , control , control , control , control , control , control , control , control , control , control , control , control , control , control , control , control , intervention , intervention , intervention , intervention , intervention , intervention , intervention , intervention , intervention , intervention , intervention , intervention , intervention , intervention , intervention , intervention , intervention , intervention , intervention , intervention , -0.534067465283459, 0.850084545190184 , -0.116213144673647, -0.701164618811305, 0.151004834707323 , 0.131391659974314 , 0.0799915860153593, 0.96258107639137 , 0.488965855048547 , 0.359061783917002 , 0.386489658424369 , 0.259672342681032 , 0.0473345332844121, 0.0423225531311664, 1.10843676999321 , 0.185095385159004 , 0.145445622835964 , -0.764479156396707, -0.44547348043321 , -0.166509064841033, -0.26866785623964 , 0.867673970475051 , -0.194534584635241, -0.44461668520489 , -0.386245911680122, 0.875725741853171 , 0.35683328139949 , 0.728095276446541 , 0.770142128537529 , 0.383874656712494 , -0.268861657281255, 0.493803744211401 , -0.884724663507276, 0.306574126672432 , -0.540916174391967, 0.821613965456692 , -0.312702649290593, -0.223299675280172, -0.198596459269667, -0.241937490141062 | 0.8041251 |
| 96 | 20 | 0.0 | 0.1 | 1.0 | control , control , control , control , control , control , control , control , control , control , control , control , control , control , control , control , control , control , control , control , intervention , intervention , intervention , intervention , intervention , intervention , intervention , intervention , intervention , intervention , intervention , intervention , intervention , intervention , intervention , intervention , intervention , intervention , intervention , intervention , 0.626274641770197 , 1.1839984558495 , -0.620283155694574 , -1.01357679634576 , -0.559704574200401 , 0.388853511185678 , 0.897071919696091 , 2.89676626050828 , 1.00141497117252 , -0.0952202059111309, 1.88891947154969 , 1.11925004754344 , 1.14061697328694 , 0.963809942151636 , 0.312449439354111 , -0.116559571072593 , 1.93700745937646 , 2.00705058617612 , 0.883993355867413 , 0.0502063283156602 , 1.82001404739722 , 0.269614133632656 , -0.81548397807679 , 0.347543501892243 , -0.83627942466601 , -2.54606653065862 , 1.00017674726133 , -0.101332538769584 , -0.186053095860371 , 0.215729489956104 , 0.38665307178439 , -1.01774768914621 , -0.859004599501546 , -0.874951118702088 , -1.49947923100362 , 0.484992814783378 , 0.305939198714678 , 0.785506960775221 , -0.172412829951726 , 1.08060470808394 | 0.0099956 |
| 96 | 20 | 0.5 | 0.0 | 0.5 | control , control , control , control , control , control , control , control , control , control , control , control , control , control , control , control , control , control , control , control , intervention , intervention , intervention , intervention , intervention , intervention , intervention , intervention , intervention , intervention , intervention , intervention , intervention , intervention , intervention , intervention , intervention , intervention , intervention , intervention , 0.756632501655 , 0.426375827946047 , 0.176914613198514 , -0.0927055378266548, -0.105831240769571 , 0.0421564033127777 , -0.122722515178846 , -0.740782007865011 , -0.549507874600181 , 0.149171132057552 , -0.712198652961083 , 0.323555531062257 , 0.288985147714712 , 0.071071373717592 , -0.254818253505883 , 0.507264080099155 , 0.451160953016699 , -0.169863986841169 , -0.170378850203794 , -0.122704657805569 , 0.901335195326205 , 0.801431174941168 , 0.561762582520674 , 0.911346999945629 , 0.506332823003709 , -0.372787520312079 , 0.39186220793173 , 0.4599410914137 , 0.0949194871158093 , 0.573272859291685 , 0.291156537642467 , 1.12002333755789 , 0.811552144748487 , -0.835539298659632 , 0.480306488748825 , 0.576602290447053 , 1.25706777726652 , 0.533886334851616 , 0.185090312834805 , -0.14655157933548 | 0.0032798 |
| 96 | 20 | 0.5 | 0.0 | 1.0 | control , control , control , control , control , control , control , control , control , control , control , control , control , control , control , control , control , control , control , control , intervention , intervention , intervention , intervention , intervention , intervention , intervention , intervention , intervention , intervention , intervention , intervention , intervention , intervention , intervention , intervention , intervention , intervention , intervention , intervention , 0.361709788842364 , -0.522435063317115, -1.73963608640877 , -0.94770859023425 , -0.73017933592869 , 0.705722222040403 , -0.867280439747955, -2.20684782058934 , -1.02202062205503 , 0.442673192806653 , 1.564960339125 , -0.929592181103449, 1.4722930019705 , -2.09941986435523 , 0.944485119752798 , -0.268272929619772, -0.57204493255789 , 0.711544055788306 , -0.414754800301208, -0.12864381154668 , -0.158439604136773, 0.0115012872609264, -0.492042379622271, 0.787628933174301 , -0.839073697501359, 0.531067547977527 , 1.29084320500521 , -0.312884105599362, 1.23301520865688 , 0.872575355990768 , 1.30986307650452 , 1.42412516313593 , -0.219963201216671, 1.01697707671947 , 1.50815863596848 , 0.487804241806179 , 0.755004244672037 , -0.603037711828464, -1.26210863228006 , 0.642478230417977 | 0.0246967 |
| 96 | 20 | 0.5 | 0.1 | 0.5 | control , control , control , control , control , control , control , control , control , control , control , control , control , control , control , control , control , control , control , control , intervention , intervention , intervention , intervention , intervention , intervention , intervention , intervention , intervention , intervention , intervention , intervention , intervention , intervention , intervention , intervention , intervention , intervention , intervention , intervention , -0.058974399525787 , 0.129104643437153 , 0.600064782400513 , -0.0821105839122958, 0.375272048535799 , -0.243126382720238 , 0.533439729715853 , 0.604817531297979 , 0.309748300469051 , 0.692645091723881 , -0.705930658997383 , -0.120959856912941 , -0.416267227972699 , -0.299845399786735 , -0.0375233256282157, 0.400592413246101 , 0.166261409669935 , -0.0364497626675346, -0.566688470391491 , -0.122610831751848 , 1.34922806546156 , 1.40966145458719 , 1.23888221111395 , 0.291340676906592 , 0.6359285026713 , 0.34935074881021 , 0.388038711852941 , -0.104677212051514 , 0.251929120054291 , 0.112684848860082 , 1.5066994238708 , 0.529504110949354 , 1.16628679039831 , 0.156108956891758 , -0.0613352858721125, 0.577871890030975 , 0.367132316685927 , 0.643775093497222 , 0.0703173800192394 , 1.50639486669547 | 0.0006268 |
| 96 | 20 | 0.5 | 0.1 | 1.0 | control , control , control , control , control , control , control , control , control , control , control , control , control , control , control , control , control , control , control , control , intervention , intervention , intervention , intervention , intervention , intervention , intervention , intervention , intervention , intervention , intervention , intervention , intervention , intervention , intervention , intervention , intervention , intervention , intervention , intervention , 0.668700907015884 , -1.20811765753376 , -1.28744548919345 , 0.00839805394487703, -0.937159335160761 , -1.1767706657443 , -1.81758272967228 , -0.70449471021713 , 2.52553099897911 , 0.173540556066134 , -0.106769847555077 , 0.253019068369716 , -0.608676646963936 , -0.0994614034182009, -0.739709113199685 , -0.942690893723155 , -0.822808172884189 , 0.203286178885486 , -1.03236824149044 , 0.390459888372284 , -0.213827892583111 , 1.91527308852489 , 0.267052914929468 , 2.51780502693416 , 1.06982377033782 , 1.7100761768113 , -1.26896864990951 , 1.54206690597086 , -0.490294977998668 , 0.089415634456005 , 0.324703012702977 , 0.733970949310773 , 0.926389875251329 , 1.59748797005332 , -0.386822578162046 , 1.7880139669382 , 0.744583458171041 , -0.184195805724242 , 0.819921987658869 , 1.20692303533656 | 0.0008517 |
| 96 | 50 | 0.0 | 0.0 | 0.5 | control , control , control , control , control , control , control , control , control , control , control , control , control , control , control , control , control , control , control , control , control , control , control , control , control , control , control , control , control , control , control , control , control , control , control , control , control , control , control , control , control , control , control , control , control , control , control , control , control , control , intervention , intervention , intervention , intervention , intervention , intervention , intervention , intervention , intervention , intervention , intervention , intervention , intervention , intervention , intervention , intervention , intervention , intervention , intervention , intervention , intervention , intervention , intervention , intervention , intervention , intervention , intervention , intervention , intervention , intervention , intervention , intervention , intervention , intervention , intervention , intervention , intervention , intervention , intervention , intervention , intervention , intervention , intervention , intervention , intervention , intervention , intervention , intervention , intervention , intervention , -0.333736969760236 , -0.107375552205043 , -0.066003309968709 , 0.290295955059671 , -0.263819917226015 , -1.32270693289273 , 0.223629445496393 , -0.0663537933928844, 0.313978785342118 , -0.347585975485658 , -0.377183482150466 , 0.628467392536081 , 0.0825755337022907 , -0.131678261825134 , 0.0795404027662802 , -0.428484841919227 , 0.96102416186909 , 0.441312874407132 , 0.123172956304145 , 0.768600652463278 , -0.84864229192856 , 0.613772532294941 , 0.549869279509339 , -0.535374556515239 , -0.182834276808514 , 0.554128037057927 , -1.02691101691445 , -0.0940301111917773, -0.555932226142797 , 0.34894218736121 , -0.633321264566904 , 0.258006397678114 , -0.500641809843288 , -0.122118305583441 , -0.210493153944893 , -0.551465107209933 , -0.509438957654057 , 0.105597087309486 , 0.32995532405143 , 0.151411008057379 , -0.0394684347650665, -0.569857695382922 , -0.0200113740301147, 0.482316280695196 , -0.46562819744413 , 0.320407202366114 , -1.28882961902831 , 0.228100327430402 , -0.0725332513047411, -0.295618378555676 , 0.100588764089253 , 0.694786423891161 , 0.85768844400742 , 1.08777755458198 , -0.215508130629085 , -0.262879627718878 , 0.187983471741189 , 0.351565274642457 , 0.22665970420239 , -0.129795753796208 , -0.342853535451388 , 0.271460328420885 , -0.616798282081663 , -0.172733206051049 , 0.369000496667522 , 0.171523654396836 , 0.363667618769192 , 0.357798572693144 , -0.17930683995779 , 0.345888528876884 , 0.0908626267757917 , -0.220310957730207 , 0.617778630896432 , -0.376563216085949 , -0.510883757532337 , -0.61544645154448 , 1.03512823547598 , -0.0527717767167085, 0.408992228149026 , -0.26562079224546 , 0.0842898040267668 , -0.167857368960292 , -1.2697549482061 , 0.739502381178176 , 0.290901203819077 , 0.038776332468515 , 0.474177818908884 , 0.110197100420901 , 0.143429772492468 , 0.487904595535283 , -0.411830916274651 , 0.701446107176818 , -0.0383465082590047, 0.0370349588693613 , 0.225005569028951 , -0.443832164928806 , 0.869594653997839 , 0.73713326907928 , 0.567508241681496 , -0.730066264803669 | 0.0420013 |
| 96 | 50 | 0.0 | 0.0 | 1.0 | control , control , control , control , control , control , control , control , control , control , control , control , control , control , control , control , control , control , control , control , control , control , control , control , control , control , control , control , control , control , control , control , control , control , control , control , control , control , control , control , control , control , control , control , control , control , control , control , control , control , intervention , intervention , intervention , intervention , intervention , intervention , intervention , intervention , intervention , intervention , intervention , intervention , intervention , intervention , intervention , intervention , intervention , intervention , intervention , intervention , intervention , intervention , intervention , intervention , intervention , intervention , intervention , intervention , intervention , intervention , intervention , intervention , intervention , intervention , intervention , intervention , intervention , intervention , intervention , intervention , intervention , intervention , intervention , intervention , intervention , intervention , intervention , intervention , intervention , intervention , 0.238559874632636 , 0.415990811645524 , -1.84884763032708 , 0.79400344573359 , -1.50892465331247 , -0.166573088387187 , 0.118277142619877 , -0.182849328510804 , 0.987686214344787 , 0.873074654153362 , 0.326081528736316 , -0.906705724632973 , 0.482654970001269 , 0.081891340143192 , -0.75093113011271 , 0.693376256331888 , -0.0734619234062584 , -0.511373058806492 , 0.173833062397106 , 1.47901097509197 , -0.258296553960447 , 0.600558630008549 , 0.802612534441844 , -0.431484924320296 , -0.695997058925525 , -0.000496306951156638, -2.49541682643492 , 0.714481396799424 , -1.33390464529415 , 1.16009107273278 , -0.254089237164494 , -0.272869273912585 , -0.90850512275136 , -0.32610250939839 , -0.998284255124594 , 1.94550272576616 , -0.917936193343498 , 0.100076575496156 , -1.10659383866747 , -0.800555202141478 , 0.675100901998193 , -0.539938824323268 , 0.566042795963273 , 0.696880738529885 , -1.04491225969606 , -0.235550528047128 , 1.02475673848989 , 0.158254917323334 , -0.908932372042164 , 0.103118536064718 , 0.53915916449242 , -0.442628391322416 , -2.27758916207974 , 0.154090045455215 , -0.20803608395214 , 2.20292311246472 , 1.91767904819662 , -0.445220656231825 , 0.0991836573331003 , -1.23414782702012 , -0.0290565091253478 , -1.51978175452827 , -0.1560401277839 , -0.763689899690029 , 1.15810542481499 , -2.05680215015256 , 1.27231119375329 , 0.500416803393991 , 1.1425221636728 , 1.46222644263713 , 0.740337555185555 , -1.34590051251929 , 0.485983296072874 , -1.23655335555074 , 0.211459311306596 , 0.425027963276257 , 0.953789694582444 , -0.449589479542039 , 1.42916579013776 , -0.868289382487046 , 0.303963318791613 , 0.14459379759247 , -0.174972735677803 , -2.68092429181157 , 0.38752779287455 , 0.0567621999516983 , 0.282095724619098 , 0.860398512560841 , 1.38305859811726 , -0.95222263354734 , -0.385352268171112 , 0.202884766262113 , 1.09736360712192 , 0.165237671947211 , 0.741395814066708 , 0.36477031368724 , -0.0792525649888285 , -0.0274184357853994 , 0.16094169230732 , 1.23673249784652 | 0.3488108 |
| 96 | 50 | 0.0 | 0.1 | 0.5 | control , control , control , control , control , control , control , control , control , control , control , control , control , control , control , control , control , control , control , control , control , control , control , control , control , control , control , control , control , control , control , control , control , control , control , control , control , control , control , control , control , control , control , control , control , control , control , control , control , control , intervention , intervention , intervention , intervention , intervention , intervention , intervention , intervention , intervention , intervention , intervention , intervention , intervention , intervention , intervention , intervention , intervention , intervention , intervention , intervention , intervention , intervention , intervention , intervention , intervention , intervention , intervention , intervention , intervention , intervention , intervention , intervention , intervention , intervention , intervention , intervention , intervention , intervention , intervention , intervention , intervention , intervention , intervention , intervention , intervention , intervention , intervention , intervention , intervention , intervention , -0.258032799726323 , 0.459046070518527 , 0.96518357025167 , 0.0286424687894646 , 0.603501968481446 , 1.22992420199337 , 0.630436215827272 , -0.460829372035063 , 0.133461441735704 , 0.0528534932175185 , 0.482365639044823 , 0.0320589975526351 , 0.148033817167179 , 0.538455719630164 , -0.462726497945524 , 0.935611326191332 , 0.131147519388698 , -0.35927031116266 , 0.195073643964433 , 0.0690826382066979 , 0.153259911870827 , -1.13009407285637 , -0.545742475652374 , -0.988556521514879 , 1.16720734719506 , -0.470862666841316 , 0.222981332502931 , 0.602399163878527 , -0.360593672249087 , 0.272638043489798 , -0.466548560495006 , -0.122114306393452 , -0.517283605088455 , -0.426217423409317 , 0.0484856166223042 , -1.54519545509756 , 0.312051171668144 , 0.330491052570914 , 0.77062886152491 , 0.0501482149204542 , 0.527595060788737 , 0.0968256513024671 , -0.674560274811118 , 0.250424038290545 , -0.677288488835338 , 0.169263444404115 , -0.428572809363137 , 0.0630977089213562 , 0.707526114010637 , -0.745061759063967 , 0.662386302957493 , -0.354089929165828 , 0.199010375089703 , 0.0162937810995144 , -0.203765934335244 , 0.137029126429365 , 0.329405958652844 , -0.0708166741050427, -0.320476853647332 , 0.559833310263961 , -0.152608028306276 , 1.26230458433181 , -0.119581392417739 , 0.575374520371865 , -0.71580895935103 , -0.254730432442765 , 0.201551375121998 , -0.460180365973246 , -0.11399398577245 , -1.16837890420546 , 0.397978309526158 , 0.724446037018313 , -0.294727741884834 , -0.999753542875142 , 0.0257565772233788 , -0.273502228317771 , -1.03912129353617 , -0.0496928415659743, -0.628378398081087 , -0.0805906452306989, -0.241737200691051 , 0.149686263878175 , 0.402214703863581 , 0.609452378415153 , -0.0930911814744561, -0.582424407240772 , 0.510458479088099 , 1.21385762631044 , 0.340946577108685 , -0.0459076842240032, 0.56919236086124 , 0.379032445031812 , -0.156453400251415 , 0.0328993382704016 , 0.069918473648671 , -0.622245609073195 , -0.707924931615285 , 0.405880385966522 , 0.25166265456375 , -0.612715569987747 | 0.7089994 |
| 96 | 50 | 0.0 | 0.1 | 1.0 | control , control , control , control , control , control , control , control , control , control , control , control , control , control , control , control , control , control , control , control , control , control , control , control , control , control , control , control , control , control , control , control , control , control , control , control , control , control , control , control , control , control , control , control , control , control , control , control , control , control , intervention , intervention , intervention , intervention , intervention , intervention , intervention , intervention , intervention , intervention , intervention , intervention , intervention , intervention , intervention , intervention , intervention , intervention , intervention , intervention , intervention , intervention , intervention , intervention , intervention , intervention , intervention , intervention , intervention , intervention , intervention , intervention , intervention , intervention , intervention , intervention , intervention , intervention , intervention , intervention , intervention , intervention , intervention , intervention , intervention , intervention , intervention , intervention , intervention , intervention , -0.249057466769764 , -1.10259921627671 , -1.31488238887107 , 1.16396285741511 , -0.136884404938665 , -0.740445054308536 , 0.950348917777861 , -0.242070567630997 , 0.834445139066608 , -0.661061533212052 , -1.15969594849894 , -0.355937995386179 , 1.17703178661123 , -0.54609700584586 , -0.990041561749961 , -0.377296651274799 , 0.290669287862594 , 0.444982046784385 , -1.20460775324577 , -0.0210963242171022, -1.05172895515835 , 0.175329413103497 , -0.979132427246819 , -1.91217918184003 , 0.746220597275596 , -1.93230060871649 , 0.539643674389172 , 0.772848483037402 , 0.96391602733712 , 0.287476177286999 , 0.523906439105315 , 0.677161676015119 , -0.508103051561721 , 0.383042065998282 , 0.80075023604677 , -1.39575337885123 , -1.1998958908449 , -0.165381957624946 , -0.206086784341356 , -1.94472514198572 , -0.812952186877239 , 0.117770571803121 , 0.558255972338372 , -0.275076687233044 , 1.70919141069966 , 0.691528699274106 , -0.468519922752673 , -0.860078723218454 , 0.680914485841747 , 0.998629442707381 , -0.885990349034456 , -0.340361229041249 , 0.248159015044358 , -0.483377750499651 , -1.17530665939012 , 1.18711077089442 , -0.360850599950418 , 0.327154035832753 , 0.792419264555409 , 0.975635517056563 , 1.17301679743323 , 0.0283113370094178 , -0.230070153263675 , 0.536152229950413 , -1.19190079202971 , 0.477241762279496 , -0.769371880127591 , -1.06023196744572 , -0.713473231583889 , 0.0440812637414463 , 1.90286319099415 , -1.83239480558417 , -0.449291118687735 , -0.790761800512191 , 1.48570897248507 , -0.216698521889425 , 1.12214134652525 , 0.486307659703201 , 0.584314027700659 , -0.625227856710696 , -2.35846334035809 , 0.0679322463053508 , -0.570467551381165 , 0.572361155286289 , 0.0160608878901319 , -0.218852759778276 , 0.283410584851684 , 1.63652626540482 , -0.0256357571345874, -0.537378154447087 , 1.2614205163848 , 0.559564468140277 , -0.382506479065378 , -1.59277700680596 , 0.398240066199541 , 1.00723267881148 , 0.0797188846298682 , 1.27575233239257 , 0.354711909688756 , -0.173680586897377 | 0.3106572 |
| 96 | 50 | 0.5 | 0.0 | 0.5 | control , control , control , control , control , control , control , control , control , control , control , control , control , control , control , control , control , control , control , control , control , control , control , control , control , control , control , control , control , control , control , control , control , control , control , control , control , control , control , control , control , control , control , control , control , control , control , control , control , control , intervention , intervention , intervention , intervention , intervention , intervention , intervention , intervention , intervention , intervention , intervention , intervention , intervention , intervention , intervention , intervention , intervention , intervention , intervention , intervention , intervention , intervention , intervention , intervention , intervention , intervention , intervention , intervention , intervention , intervention , intervention , intervention , intervention , intervention , intervention , intervention , intervention , intervention , intervention , intervention , intervention , intervention , intervention , intervention , intervention , intervention , intervention , intervention , intervention , intervention , -0.0646693852115197 , 0.355585327340024 , -1.07370338446505 , 0.253963409176305 , 0.404867135254669 , -0.545809518884934 , 0.0435732396614944 , 0.17457608458172 , 0.337826851554213 , -0.0257451620473626 , -0.423789063613622 , 3.21765008287765e-05, 0.622960015789967 , -0.502916896811153 , 0.591797879307376 , 0.0989608024015241 , -0.412569762376886 , -1.07826860396046 , 0.154680227912807 , 0.25152327933872 , 1.08811619133956 , -0.0670625055533254 , -0.556975769881114 , 0.114136237779493 , 0.0519126102154755 , 0.591306251151948 , 0.145624998573048 , -0.345503252466284 , -0.541228127609184 , 0.201749211381442 , 0.133528370392778 , 0.651324386183397 , 0.201386774292839 , 0.019053260110826 , 0.899414622054424 , -0.52203889614151 , 0.567903640626428 , 0.728126668624995 , 0.539033824662693 , -0.119788098747092 , -0.403229342997804 , -0.299834769911539 , 0.45719941974138 , 0.207580811608616 , 0.519301828089466 , 0.12240312197208 , 0.203156044276362 , -0.028153543111734 , 0.281815518771427 , 0.16047974581656 , -0.00940559928630536, 0.362697300604929 , 1.11446006521601 , 0.853272083940894 , -0.658597280491721 , 1.29527789648192 , -0.769299819933095 , 0.808572525379618 , 0.459786961972135 , 1.17712074148761 , 0.89828306915357 , 0.430066275040774 , 0.782435743205644 , 0.151608048952053 , 1.21024962380593 , 0.334358995766156 , 0.449119307574918 , 0.32178867436833 , 0.358175611906614 , 0.635378900927534 , 0.841545046572357 , 0.0323386235505235 , 0.796680445769132 , 0.769141591809174 , 0.652259638944171 , 0.275120035959998 , 1.12370525919489 , 1.6431806984082 , 0.903312061136473 , -0.603953591734888 , 0.524387794673701 , 0.858461168517488 , 0.580560764388213 , 0.793822793928771 , 0.19524245111048 , 1.07271984430274 , 1.31254103371791 , 0.633508948208707 , -0.280417350022398 , 1.049020927345 , -0.0661522706075233 , 0.335467337259733 , 1.12907731960224 , -0.111065980514626 , 0.790503998167822 , 1.328897719824 , 0.656811441445028 , 0.0662978816632891 , -0.137076625638985 , 0.373499358695616 | 0.0000075 |
| 96 | 50 | 0.5 | 0.0 | 1.0 | control , control , control , control , control , control , control , control , control , control , control , control , control , control , control , control , control , control , control , control , control , control , control , control , control , control , control , control , control , control , control , control , control , control , control , control , control , control , control , control , control , control , control , control , control , control , control , control , control , control , intervention , intervention , intervention , intervention , intervention , intervention , intervention , intervention , intervention , intervention , intervention , intervention , intervention , intervention , intervention , intervention , intervention , intervention , intervention , intervention , intervention , intervention , intervention , intervention , intervention , intervention , intervention , intervention , intervention , intervention , intervention , intervention , intervention , intervention , intervention , intervention , intervention , intervention , intervention , intervention , intervention , intervention , intervention , intervention , intervention , intervention , intervention , intervention , intervention , intervention , 3.155136527968 , 0.68538982101763 , -1.67354873892961 , -1.37100360614396 , -1.05648085146576 , -1.38704329788309 , 0.776786772038354 , -1.27842345425297 , 0.905546149501577 , -0.867809985472379, -0.371833950266523, 0.0243096674554751, 1.75987472460609 , 0.364702368490477 , -1.33265173290466 , -0.802443059745573, -0.183495935061754, -1.4539378343313 , 0.242131798913418 , -2.09489033190276 , 1.31368873779257 , -0.580427507938749, 0.0431779000714973, 0.711769050010478 , 0.342820852624056 , 0.110101264000317 , -0.091366067482888, -0.853764355665633, -0.100081748388456, 0.539770547821222 , -0.247477800440755, 1.18102031114452 , -0.459071863140925, -0.736845012152498, 1.41383458189961 , 0.0412087551106345, -2.75353017864219 , -0.953022038384152, 1.61021727757318 , -0.581398835689192, -1.593740188793 , -0.294102397411427, -0.89637527205542 , 0.549490266491012 , 0.649608950534429 , 0.0761082109272658, 0.39861893674502 , -1.65364490386621 , 0.467251051005535 , 0.282343205288932 , 0.814639802112581 , 0.402217118839694 , 0.667149454768254 , -0.841160052166514, 1.79286282371294 , 1.59438535202764 , 2.43157479798988 , 0.184577596420751 , 0.221325646133765 , 0.274897446063208 , 0.923530057507625 , -0.905840873984166, 0.141806257404649 , 1.98360726730524 , 2.08401360543538 , -1.22853850208237 , 0.890999421327123 , 1.34264013772899 , 1.85247421275735 , -0.739981059513779, -0.555722610448845, 1.85468885208051 , 2.37706324211316 , -0.213954925995777, 0.68904605861881 , 1.39825475039434 , 0.78561009899001 , -0.23277300656166 , 0.0918642512168781, -0.584214603635448, 2.60767865159007 , 0.108877771422816 , -0.288199510683153, 1.11545584625869 , -0.705754498826325, -0.75708638707704 , 0.149696848255493 , 0.881787311006462 , 1.4820954095473 , -1.13786646467239 , -0.266692590188705, 1.25327081118129 , 0.698818889719544 , 0.255542355029628 , -0.209602288779704, 0.0532189865499644, 1.36453793641169 , 1.04171815095418 , -0.249244223171038, 1.01950986160348 | 0.0009393 |
| 96 | 50 | 0.5 | 0.1 | 0.5 | control , control , control , control , control , control , control , control , control , control , control , control , control , control , control , control , control , control , control , control , control , control , control , control , control , control , control , control , control , control , control , control , control , control , control , control , control , control , control , control , control , control , control , control , control , control , control , control , control , control , intervention , intervention , intervention , intervention , intervention , intervention , intervention , intervention , intervention , intervention , intervention , intervention , intervention , intervention , intervention , intervention , intervention , intervention , intervention , intervention , intervention , intervention , intervention , intervention , intervention , intervention , intervention , intervention , intervention , intervention , intervention , intervention , intervention , intervention , intervention , intervention , intervention , intervention , intervention , intervention , intervention , intervention , intervention , intervention , intervention , intervention , intervention , intervention , intervention , intervention , -0.228720329032015 , -0.532671949910369 , 0.367959870889159 , 0.677272368446739 , -0.264885752728494 , -0.209630582517423 , 0.14332596167107 , -0.80883966810892 , 0.906864037276629 , 1.13875594908618 , -1.02313634750093 , 0.70558455663901 , -0.160645249020823 , -0.231810419437935 , 0.123037245081603 , -0.268686688000082 , -0.414428555001915 , 0.570909463930547 , 0.846770214141473 , 0.220383074708174 , 0.459644064450745 , 0.117877235412407 , 0.150978857491887 , 0.334138234503134 , 0.725419200398552 , -0.781844066448906 , -0.062943879578715 , 0.568480391875049 , 0.109697554906393 , 0.43156144119908 , -0.221676794825635 , -0.251806735235226 , -0.0815313056970603, 1.04385762747108 , -0.0488027321038349, -0.763385826054124 , 0.0122293300156772 , 0.278141779254924 , 0.117514950755471 , 0.39483486084409 , -0.174967436021122 , -0.864814722444122 , 0.413763683524134 , 0.458478145094703 , -0.493870771897683 , -0.229520813508258 , 0.127518400500955 , -0.508783774556649 , 0.120108222768667 , 0.434205321944623 , -0.106052230299521 , 0.689006379538242 , -0.306006711546051 , 0.546986370793534 , 0.878438969055019 , 0.350378757394885 , 1.01039360022595 , 0.447390704313773 , 0.0636439070925757 , 0.756984810453407 , 0.908874736910283 , 0.993413513730964 , 0.595850580733584 , 1.16810142914292 , -0.0633416415902738, 1.54108978533997 , 0.129426755923976 , 1.5487723527833 , 0.337837374116837 , 0.619320439112372 , 1.0381722992162 , 0.851622286063142 , 1.33057157757502 , 0.138688746188891 , 0.653503252512066 , -0.0868372279548467, 0.353586996413469 , -0.0197576884184699, 1.74175096419097 , 0.0892559235543969 , 0.339584961451327 , 0.7319562931794 , 0.639926218990756 , -0.474330570259174 , 0.507143684705216 , 0.45852581539512 , 0.626259952496262 , 0.331008366838811 , 0.64275979375308 , -0.283953760700688 , -0.0933832621953022, 0.992930869591103 , 1.23725402936202 , 0.625288884462145 , 0.764911696716268 , 0.353466635376081 , 0.927637569632199 , 0.367655692511207 , 0.0981398195609799 , 0.805723699488139 | 0.0000044 |
| 96 | 50 | 0.5 | 0.1 | 1.0 | control , control , control , control , control , control , control , control , control , control , control , control , control , control , control , control , control , control , control , control , control , control , control , control , control , control , control , control , control , control , control , control , control , control , control , control , control , control , control , control , control , control , control , control , control , control , control , control , control , control , intervention , intervention , intervention , intervention , intervention , intervention , intervention , intervention , intervention , intervention , intervention , intervention , intervention , intervention , intervention , intervention , intervention , intervention , intervention , intervention , intervention , intervention , intervention , intervention , intervention , intervention , intervention , intervention , intervention , intervention , intervention , intervention , intervention , intervention , intervention , intervention , intervention , intervention , intervention , intervention , intervention , intervention , intervention , intervention , intervention , intervention , intervention , intervention , intervention , intervention , 3.21941571217816 , 1.01958665187967 , 1.02346256383607 , 2.12608891726394 , 0.134049707334785 , -0.0780909754160089, -0.290467327499296 , 1.95629025117765 , 1.20781447275475 , 0.28468307869477 , -2.13442527921362 , 0.107868966571983 , -0.14960709245971 , 1.16945767767587 , 0.499083703099326 , -0.534431315546439 , 1.47293427535222 , -1.16555369073303 , 0.441748346533171 , 0.528663380049097 , -0.021667651250131 , -1.31601363324673 , 1.85830132549635 , 1.10098891988517 , -0.571261053040602 , -0.515944379282562 , 0.235949602788126 , 0.153798860547718 , -0.171687911083943 , 0.487377892366495 , -1.70185881235418 , 0.282932742258547 , 0.230776422212518 , 1.54490239219085 , -0.521754259829813 , -0.31192177593702 , -1.55137499148604 , -0.0690881141176441, 0.394522350129744 , 0.00742080163815931, -0.692932571123079 , 0.108942536095677 , -0.0828193071370978, 2.68425924490681 , 0.421011110208186 , 0.590420851458016 , 1.09007772724411 , -2.28586814667042 , 0.850074241004966 , 0.516871386883793 , 0.594725374936151 , -0.200287714302736 , -1.35434205823061 , 0.229841703871855 , 0.427649768219882 , -0.246935627674548 , 0.827460393968141 , 0.5321462380128 , -0.718207841638645 , 3.19659920100958 , 1.29524137476288 , -0.573489806818534 , 3.18226700613902 , 1.13496386570634 , -0.372076912090977 , -1.20970585406092 , 0.623786888798739 , 0.854835580845882 , 0.972606557225876 , -0.0577037204932039, -0.0364685900667957, 1.90519483982175 , 0.456872326671415 , 1.33135827212989 , 1.84411855142954 , -0.839940890992231 , 2.55149040904872 , -0.116262106620227 , 0.953541367219818 , 0.475312314382879 , 0.945956575766078 , 0.332332631996204 , 0.579152726701334 , -0.441319413353849 , 1.54494901279418 , -1.22798765959393 , 0.728201213955348 , 1.06865605700688 , 2.61162935463822 , -0.0665503471289456, -0.0530386263068501, 1.18898284277602 , -0.15537583356837 , -0.563363524148096 , 1.98745874873881 , 0.518182540940404 , 1.01096370671229 , 0.06577215921457 , 0.326295520931714 , 1.0413352378799 | 0.1540449 |
| 97 | 20 | 0.0 | 0.0 | 0.5 | control , control , control , control , control , control , control , control , control , control , control , control , control , control , control , control , control , control , control , control , intervention , intervention , intervention , intervention , intervention , intervention , intervention , intervention , intervention , intervention , intervention , intervention , intervention , intervention , intervention , intervention , intervention , intervention , intervention , intervention , 0.226566235156265 , -0.686006435852647 , -0.339376512798476 , -0.441268115689128 , 0.156527641973356 , 0.26264527405327 , 0.258819370057195 , 0.948261376826235 , -0.190287919426319 , -0.751562587699326 , -0.23258062215246 , -0.16329948254326 , -0.250312462148141 , 0.413421089834973 , -0.37888323852025 , -0.12551987264492 , -0.661752893436162 , -0.543777330002668 , -0.372061575635417 , -0.232065840397729 , 0.489806172242394 , 0.230328433528081 , 0.38413568085053 , -0.384934857766996 , -0.355132851485065 , 0.0696813006007672 , -0.289483260306926 , 0.231812768588201 , -0.285845182657006 , -0.63074375541935 , -0.453112707305411 , 0.173154414857405 , 0.0992805507990254 , -0.40461832444265 , -1.38282463576594 , -0.0583171225141469, 0.299264709788868 , 0.0213274227413557 , -0.0301726083779772, -0.678364191369088 | 0.9574389 |
| 97 | 20 | 0.0 | 0.0 | 1.0 | control , control , control , control , control , control , control , control , control , control , control , control , control , control , control , control , control , control , control , control , intervention , intervention , intervention , intervention , intervention , intervention , intervention , intervention , intervention , intervention , intervention , intervention , intervention , intervention , intervention , intervention , intervention , intervention , intervention , intervention , 1.13482105443472 , -0.706804414869053 , -0.709806039643961 , 0.711244006831103 , -1.83124733702699 , -0.871756977716475 , 0.760116226920669 , -1.3404341043037 , -1.54546836723817 , -0.0276886439562314 , -0.241062418395679 , -2.64813128519139 , 1.30824069749505 , 1.25745541743313 , 0.689237096367362 , -0.810365462503914 , -0.936902802956572 , 0.303587102164298 , 0.327139855208674 , -0.49825715562719 , 1.07599354504942 , -2.47575664369472 , -0.172454446858338 , 1.26358032225461 , 0.12683384016164 , -0.689400535162723 , 1.41471681866804 , -0.179411871901737 , 0.538708000187589 , -1.2615588538891 , 0.101986106532816 , 1.37008549287276 , -0.764049031503255 , -0.918686699568483 , -0.00848576644244655, -0.519779180329839 , -1.12534883110754 , -0.877472114512939 , 1.03353453360859 , -0.0801103048487096 | 0.6015551 |
| 97 | 20 | 0.0 | 0.1 | 0.5 | control , control , control , control , control , control , control , control , control , control , control , control , control , control , control , control , control , control , control , control , intervention , intervention , intervention , intervention , intervention , intervention , intervention , intervention , intervention , intervention , intervention , intervention , intervention , intervention , intervention , intervention , intervention , intervention , intervention , intervention , -0.485701866562972 , -0.0291899226472226, 0.412810842671297 , -0.55208580467367 , 0.937225760101117 , 0.537486501465602 , 0.596705530701277 , 0.165051846727572 , 0.486222548580432 , 0.415150303513188 , -0.982163676364031 , -0.325206395222667 , 0.519316705529681 , 1.10230844537259 , 0.0326402708537984 , 0.765718413183088 , -0.16783944953043 , 0.400623945282381 , 0.187052703385485 , -0.331441096523476 , 0.058101829714681 , -0.464239919346928 , 0.6619053981067 , -0.602723377536874 , 0.242417773225243 , -0.431633179323579 , 0.533445693565257 , 0.144543529405045 , -0.0281933566999914, -0.360870763616746 , -0.851907775064008 , -0.704006888078998 , 0.0348312520657981 , -1.29619557558681 , -0.130762747436552 , 0.285439672952919 , -0.577602230306712 , -0.212946184589926 , 0.274783682970454 , -0.0323618654250494 | 0.0340905 |
| 97 | 20 | 0.0 | 0.1 | 1.0 | control , control , control , control , control , control , control , control , control , control , control , control , control , control , control , control , control , control , control , control , intervention , intervention , intervention , intervention , intervention , intervention , intervention , intervention , intervention , intervention , intervention , intervention , intervention , intervention , intervention , intervention , intervention , intervention , intervention , intervention , 0.152766141859561 , -0.00468905443116309, 0.785086830576441 , 1.61557722825513 , 1.21741559001119 , 0.686552624995896 , 0.624685255978816 , -0.981546709911589 , 0.652536679240785 , -0.568942221769262 , -0.399660027801656 , -0.460270834527689 , 0.15513632456289 , 0.425278010993287 , -0.329814533306948 , 1.65948008285346 , 1.21727447543247 , 0.689351302564512 , 0.820206783579631 , 0.440672869624706 , 0.507358478081449 , -0.0415309101981271 , 0.483886298290836 , 0.754817427792916 , -1.24590364102519 , 0.804204600682221 , 0.736111601690263 , 1.57206805215969 , 0.28717335585311 , -0.628084351556976 , -0.383038231858499 , 1.19959856614015 , 0.0538154123094321 , -0.15406283591578 , -1.13854638161393 , 0.880108835612501 , -0.29694856138591 , 1.25000967012527 , -0.997059941090142 , -0.0990474403456597 | 0.3251202 |
| 97 | 20 | 0.5 | 0.0 | 0.5 | control , control , control , control , control , control , control , control , control , control , control , control , control , control , control , control , control , control , control , control , intervention , intervention , intervention , intervention , intervention , intervention , intervention , intervention , intervention , intervention , intervention , intervention , intervention , intervention , intervention , intervention , intervention , intervention , intervention , intervention , 0.380754836722804 , 0.162583250957117 , 0.596924597886423 , 0.0900348807742619 , 0.0482080842641682 , 0.0783993064632146 , 0.461114212431674 , 0.721001775061733 , -0.00472051111295713, 0.0827441908782309 , -0.185415542821496 , -0.456809998578968 , 0.613996805158942 , 0.0255551316443065 , 0.450342462204139 , -0.038342816525927 , 0.878319315656381 , 0.0466721520344684 , -0.177664644207073 , 0.110378770749672 , 1.13007081020946 , -0.540419042471534 , -0.0545012582490949 , -0.115300623964949 , 0.73334353199691 , 0.288787681004428 , -1.01372541584985 , -0.800800387489796 , 0.631018221435152 , 0.557143070263639 , 1.44375905654314 , 0.253053585526586 , -0.481923289535301 , 0.574630055630053 , 0.327949363563243 , 1.29543005984756 , 0.957914694491939 , 0.60015032660165 , -0.0148005559418448 , 0.541622059813982 | 0.4762483 |
| 97 | 20 | 0.5 | 0.0 | 1.0 | control , control , control , control , control , control , control , control , control , control , control , control , control , control , control , control , control , control , control , control , intervention , intervention , intervention , intervention , intervention , intervention , intervention , intervention , intervention , intervention , intervention , intervention , intervention , intervention , intervention , intervention , intervention , intervention , intervention , intervention , 0.165150983196692 , 1.36425667292532 , 1.06554608176724 , -1.62029629554796 , 0.239725019435718 , 0.0304119988079474 , -0.128103129344995 , 1.19747909673942 , 0.0497991389756554 , 2.57780063182809 , -1.19301194078103 , -0.2859514620966 , 0.914565987317603 , 0.397260165693358 , 0.674166828420502 , 1.12290851002951 , 0.395914334188694 , 0.181418861058324 , 1.09237830253232 , 1.32469051200559 , 1.2521360187162 , 0.732896849853315 , -0.0590030921661712, -0.0844144941280495, 0.419302439010926 , -0.0409753582668663, -0.565669779924156 , 0.265262988650812 , 0.370862813711823 , -1.08625091570612 , 1.61920776274823 , 1.59002727956704 , 1.48510978018647 , -0.356169673187745 , -0.633550515009019 , -0.578799371538536 , -0.325161278820424 , 1.24472996828263 , 0.77366806662144 , 1.18712430468708 | 0.6767384 |
| 97 | 20 | 0.5 | 0.1 | 0.5 | control , control , control , control , control , control , control , control , control , control , control , control , control , control , control , control , control , control , control , control , intervention , intervention , intervention , intervention , intervention , intervention , intervention , intervention , intervention , intervention , intervention , intervention , intervention , intervention , intervention , intervention , intervention , intervention , intervention , intervention , 0.921377054696349 , -0.713682759121569 , 0.385945347487115 , -0.490453273034087 , 0.427470556172549 , 0.350419359103347 , 0.404176154535599 , 0.670993482227519 , 0.260863413385844 , 0.493116220073532 , -0.0510084634469385, -0.0267365795528739, 1.07114669474318 , 0.772879193679181 , 0.539465965503648 , -0.0469658646723293, 0.399304076676105 , 0.0718460523916109 , 0.2281154266323 , -0.843984028924378 , 0.979824671165035 , 1.31579266919061 , 0.268645331023535 , 0.923899390740419 , 1.26864717486866 , 0.566136595057154 , 0.0724266095074734 , 0.560138814774577 , 0.422965224100096 , 0.0577194022258739 , -0.288042954923505 , 0.02969544614003 , 1.63938601351209 , 1.88915744068404 , 0.145993892543605 , 0.715037868019089 , 0.77916541966329 , 0.528686442134287 , -0.52887862369542 , 0.610787406036287 | 0.0528061 |
| 97 | 20 | 0.5 | 0.1 | 1.0 | control , control , control , control , control , control , control , control , control , control , control , control , control , control , control , control , control , control , control , control , intervention , intervention , intervention , intervention , intervention , intervention , intervention , intervention , intervention , intervention , intervention , intervention , intervention , intervention , intervention , intervention , intervention , intervention , intervention , intervention , -0.103281083384962 , -0.273759569791204 , -0.49304740053274 , 0.175660836149913 , 1.02671945123146 , 1.77115218041353 , 0.4894060963323 , 0.610226254906339 , 0.125230216306974 , 0.52278265984483 , -1.5953206560643 , 1.80276742556783 , -0.109220428481076 , -0.0466418930655465, 1.078491755349 , 0.718424479283046 , -0.187658772434161 , 0.0215551518720604 , 0.307081805263508 , -3.03990053383001 , 1.06036594127719 , -0.993032122292357 , 0.845059868508947 , 0.135156529821201 , 1.04105187267762 , 3.10019728680792 , 0.707158696109978 , 1.21279724694957 , 0.935524381526674 , 0.219617159363296 , 0.628304199133471 , 1.03289939387709 , 0.19271427221172 , 0.603941942179977 , 0.329901164887044 , 0.758498572198263 , 1.2200563273918 , -0.09438659345354 , 1.11126591752057 , -0.370348369862205 | 0.0786863 |
| 97 | 50 | 0.0 | 0.0 | 0.5 | control , control , control , control , control , control , control , control , control , control , control , control , control , control , control , control , control , control , control , control , control , control , control , control , control , control , control , control , control , control , control , control , control , control , control , control , control , control , control , control , control , control , control , control , control , control , control , control , control , control , intervention , intervention , intervention , intervention , intervention , intervention , intervention , intervention , intervention , intervention , intervention , intervention , intervention , intervention , intervention , intervention , intervention , intervention , intervention , intervention , intervention , intervention , intervention , intervention , intervention , intervention , intervention , intervention , intervention , intervention , intervention , intervention , intervention , intervention , intervention , intervention , intervention , intervention , intervention , intervention , intervention , intervention , intervention , intervention , intervention , intervention , intervention , intervention , intervention , intervention , -0.211841775059666 , 0.723528702857732 , -0.344154188415127 , -0.176929201209037 , -0.411267860168689 , 0.877254931313758 , -0.139711564516029 , 0.496410014327334 , 1.1543881535291 , 0.474580911520222 , -0.646454241100166 , 0.237078044086476 , 0.0266915751794179 , 0.0535540250687847 , -0.0806611155924037 , 0.289638534186683 , 0.0738382518206835 , -0.645190842180337 , 0.466877105793704 , 0.263938865093613 , -0.308777163253304 , -0.182534991584488 , 0.521083531736303 , 0.330415862039536 , 0.057465214753123 , 0.347450329708302 , 0.496782150642875 , -0.201151779902078 , 0.300684265257619 , -0.612888811182433 , 0.134122736031374 , 0.405020382117257 , -0.276116650983848 , 0.0709711494804699 , 0.250333525521584 , 0.159205851981223 , 0.111234614146501 , 0.198612907937724 , 0.0317413081931334 , -0.350566077901202 , 0.196279500893341 , 0.196850182055951 , -0.205759687647376 , 0.467992809967738 , 0.138005991611509 , 0.448021462677464 , -0.247713003202457 , -0.283729571252538 , -0.89439151236511 , 0.195211261962822 , 0.348001321042321 , -0.176658727362117 , 0.520352064347981 , 0.662800969221784 , -0.285147680987594 , 0.140313452911911 , 0.479846742251314 , 0.222157703671925 , -0.00985568420489488, -0.498184958177998 , 0.843524250113306 , 0.116696805967717 , -0.534299945965331 , 0.509035077613228 , 0.0828950888391394 , 0.365169927507447 , -1.03246676691126 , 1.61366952980466 , -0.307656561960626 , 0.893667281875348 , 1.16645392581856 , -0.558182704980504 , -0.452098571824503 , -0.100297177733115 , 0.118955501301281 , 0.0955341778937678 , -0.838052204194278 , 0.183567084462481 , 0.115050891077677 , 0.457647718325563 , -0.380858833379333 , -0.292907020656794 , 0.345815854658671 , -0.694879349142996 , 0.764008502857461 , -0.294831041139687 , 0.0561435798382161 , -0.234058648553623 , 0.299001559869827 , -1.0333653265774 , -1.29455613994963 , -0.127233783487317 , -0.11656461335839 , 0.996289675246595 , -1.11925971833786 , -0.884493777126486 , 0.0842541054132869 , 0.169249604087532 , 0.63085751754869 , 0.446924836500476 | 0.6284355 |
| 97 | 50 | 0.0 | 0.0 | 1.0 | control , control , control , control , control , control , control , control , control , control , control , control , control , control , control , control , control , control , control , control , control , control , control , control , control , control , control , control , control , control , control , control , control , control , control , control , control , control , control , control , control , control , control , control , control , control , control , control , control , control , intervention , intervention , intervention , intervention , intervention , intervention , intervention , intervention , intervention , intervention , intervention , intervention , intervention , intervention , intervention , intervention , intervention , intervention , intervention , intervention , intervention , intervention , intervention , intervention , intervention , intervention , intervention , intervention , intervention , intervention , intervention , intervention , intervention , intervention , intervention , intervention , intervention , intervention , intervention , intervention , intervention , intervention , intervention , intervention , intervention , intervention , intervention , intervention , intervention , intervention , -0.363148839611467 , -0.190983950172596 , -0.334455283484344 , -0.90854135758761 , 0.716120082453301 , -1.36084862629053 , -0.80009584652731 , 1.31170981735543 , -1.694729762843 , -0.366064951502396 , 1.550407388242 , 0.0774554276260522 , -0.0247098739680809, 1.3248644298555 , -1.02253913805183 , -1.14440823049832 , -0.127477435777874 , -1.31739176017119 , 0.146165504131849 , 1.0662196421658 , 0.397204805388141 , -0.437482251955699 , 0.448299633899141 , -0.689992037067511 , -1.79316586351589 , 0.231174275852253 , -1.13352944008832 , 0.590960920166934 , -0.762508938461249 , 0.958654562312462 , -1.00632536683693 , 0.119709978843097 , 0.503991534778819 , -0.11776148614772 , -1.01817884449078 , -1.68004035558613 , 0.996178497519831 , -0.128044299453812 , -0.563744138912704 , -0.174863276350093 , -0.948484925915017 , -0.902087252781172 , -0.126508550759929 , 0.836838630572557 , -0.0277935028551794, 1.86499629479318 , 1.14018178183621 , -1.64204186496049 , -2.10709889316504 , 0.270495106942818 , 0.746250620017854 , 0.820615007325668 , -0.288593177220239 , 0.153802327879597 , -0.180971381327857 , -0.669588108018159 , 0.250572817339418 , 0.129025631920376 , -1.04163414066588 , 0.677760978165785 , 0.941560239022933 , 1.71795849868735 , 0.184396145632773 , -2.00858027830598 , 0.554607526133276 , 0.380967472334934 , -0.319793624186495 , 0.909289109594345 , 0.800990972343423 , -0.560029263865372 , 0.454876137673523 , -1.07641527717215 , -1.52951847146174 , 0.977786840198957 , -0.98370824341846 , 2.08142491169724 , -0.104226500461332 , 1.34944648471171 , -0.717963573180247 , -0.932557676299156 , 1.54307746930083 , 0.682920106221729 , -1.0829162752959 , -0.801994419529137 , 0.533510101300938 , 0.260335173619891 , 0.203180598165478 , 0.538856182226263 , -0.938438082108918 , 0.879678610133682 , -0.514793283091021 , -0.575242350990071 , -0.839119751884264 , 0.772271629474408 , -0.192450389899579 , 2.56950716651898 , -0.441089309799551 , 1.23846091635455 , -0.450557901630707 , -0.714252057095772 | 0.1010529 |
| 97 | 50 | 0.0 | 0.1 | 0.5 | control , control , control , control , control , control , control , control , control , control , control , control , control , control , control , control , control , control , control , control , control , control , control , control , control , control , control , control , control , control , control , control , control , control , control , control , control , control , control , control , control , control , control , control , control , control , control , control , control , control , intervention , intervention , intervention , intervention , intervention , intervention , intervention , intervention , intervention , intervention , intervention , intervention , intervention , intervention , intervention , intervention , intervention , intervention , intervention , intervention , intervention , intervention , intervention , intervention , intervention , intervention , intervention , intervention , intervention , intervention , intervention , intervention , intervention , intervention , intervention , intervention , intervention , intervention , intervention , intervention , intervention , intervention , intervention , intervention , intervention , intervention , intervention , intervention , intervention , intervention , -0.368941127204761 , 0.010185915977071 , 0.436479918211141 , -0.238771301576656 , -0.0499053655735381 , 0.0195452868200053 , -0.254449685742277 , -0.0331946563678415 , 0.0333173265018975 , -0.828274149511973 , 1.10975124668681 , -0.528539314198538 , 0.0695023738222785 , 0.138250079556823 , -0.316421152844648 , 0.887237513335119 , -0.268498172671111 , -0.443427477861822 , 0.152938245720609 , -0.50346596422277 , -0.896957845511104 , 0.0917212084023905 , -0.0574327447237298 , 0.00778401605322401 , -0.0706559187284964 , -0.159586647466126 , -0.0483641688999015 , -0.715252041185678 , 0.0669230065546256 , 0.123248411360831 , 0.180539916011031 , 0.972367837946044 , -0.0578771365090136 , 0.144836534926922 , -0.155347454942306 , -0.212923470691688 , 0.189714834765089 , 0.151874651667583 , -0.546047348901503 , 0.246701769863088 , 0.481853339513516 , 0.29518330622066 , 0.241363544730813 , -0.782076746412391 , 0.459338416550992 , 0.591505858808678 , 1.1546610617501 , -0.400224029302525 , -0.4108083203811 , -0.18253077875353 , 0.717578167623612 , -0.137531257911626 , 0.0299910940030077 , -0.00644116279470127, 0.532934548662778 , 0.624981848257634 , -0.0144252186200171 , 0.847549641261319 , 0.11065978063959 , -0.726279793803939 , -0.432448392393299 , 0.813219669226843 , -0.090826029976663 , -0.0942895322587444 , 0.0429176886236536 , -0.964453372810416 , 0.0719144653690559 , -0.67013977516633 , 0.21545941060182 , -0.0856356099261988 , -1.50937999471721 , 0.385618125407727 , -0.524793467127795 , 0.0809353936339899 , 0.101877121040891 , 0.574583839256942 , 0.224387316809043 , 0.189248901014741 , -1.00312126307261 , 0.0102301756918603 , -0.0368198539805292 , 0.0987605828759244 , -0.633895865677319 , 0.566451113555494 , -0.215663835058836 , -0.0229525293606282 , -0.0322440450794242 , 0.105650381692618 , -0.499672446813074 , 0.341291082358919 , -1.23346081041461 , -0.203060641258665 , 0.605683348851049 , -0.28950562423118 , 0.344211567226714 , -0.276141130255739 , -0.27160296808796 , 0.0815954170723679 , 0.127556142202307 , -0.236270670895382 | 0.6635818 |
| 97 | 50 | 0.0 | 0.1 | 1.0 | control , control , control , control , control , control , control , control , control , control , control , control , control , control , control , control , control , control , control , control , control , control , control , control , control , control , control , control , control , control , control , control , control , control , control , control , control , control , control , control , control , control , control , control , control , control , control , control , control , control , intervention , intervention , intervention , intervention , intervention , intervention , intervention , intervention , intervention , intervention , intervention , intervention , intervention , intervention , intervention , intervention , intervention , intervention , intervention , intervention , intervention , intervention , intervention , intervention , intervention , intervention , intervention , intervention , intervention , intervention , intervention , intervention , intervention , intervention , intervention , intervention , intervention , intervention , intervention , intervention , intervention , intervention , intervention , intervention , intervention , intervention , intervention , intervention , intervention , intervention , -1.63248739914961 , 0.324380994916485 , -0.808660055063214 , 1.81558848075529 , -1.04229225468793 , -1.05263871400409 , -0.853710615433859 , -0.872006192510117 , 1.52610064362448 , 0.0548517185674252 , 1.95175169564688 , 0.955773085173611 , 0.911886423409792 , 0.760382953585088 , 0.000793568789505233, -0.957139497698422 , 0.53734060927075 , 0.170345856896463 , 0.164512065558372 , -0.964772636468052 , 0.405042321210156 , -0.185229788552626 , 1.33591217851098 , -0.563265349861181 , 0.58637230583258 , -0.986509815727901 , 0.652518656974032 , 0.627450940519551 , 0.982882952175721 , 0.10016111083591 , 0.0766321249166094 , -0.230230700752883 , -0.796020117510893 , 0.799831913735958 , 1.4932206954665 , -0.659876231388735 , 1.48149300331354 , -0.363915610675655 , 0.797336332328923 , 1.08549902725405 , -0.242732195461834 , -1.98433504813614 , 0.465034940496769 , 2.74182365469061 , 0.745432089941233 , 1.75586129877889 , -0.872639548028769 , 0.243165303886533 , -0.374419306918447 , 0.445542852463127 , 0.49476625811176 , 0.100473697046697 , 1.05231119443502 , 0.975865915167845 , 0.311336379627043 , 2.0051683353995 , 1.42118392839235 , -0.798032364660489 , 0.120418236375472 , 0.444538342176341 , 0.723397772142799 , 0.780913132165059 , 0.0800913739355173 , -0.797474223313752 , -0.897893136017734 , 1.12978342205339 , 0.686643505318231 , 1.268722272311 , -1.0391858819976 , 0.235967829256658 , -1.17423779470521 , -0.373740371481942 , 0.418846306613734 , -0.439633772929588 , 0.116682907052013 , 1.78754712592499 , 0.747106871964431 , -1.88818260590099 , -0.36127151127303 , -1.3177191355268 , -0.62306442542993 , -2.04163434602346 , -2.88732842748051 , 1.26846446751911 , -0.342112309663251 , 1.152958372569 , 0.667628731228817 , -1.34827138204471 , 1.36499114333852 , 1.33903403838977 , -0.706445602573928 , 0.628013113415911 , -0.430048343095394 , 0.075515918668 , -1.94671664899352 , -0.713781244185716 , 0.166004198652856 , 0.52140067718633 , 0.469407754205811 , -0.375073659748327 | 0.4118359 |
| 97 | 50 | 0.5 | 0.0 | 0.5 | control , control , control , control , control , control , control , control , control , control , control , control , control , control , control , control , control , control , control , control , control , control , control , control , control , control , control , control , control , control , control , control , control , control , control , control , control , control , control , control , control , control , control , control , control , control , control , control , control , control , intervention , intervention , intervention , intervention , intervention , intervention , intervention , intervention , intervention , intervention , intervention , intervention , intervention , intervention , intervention , intervention , intervention , intervention , intervention , intervention , intervention , intervention , intervention , intervention , intervention , intervention , intervention , intervention , intervention , intervention , intervention , intervention , intervention , intervention , intervention , intervention , intervention , intervention , intervention , intervention , intervention , intervention , intervention , intervention , intervention , intervention , intervention , intervention , intervention , intervention , 0.420396953128113 , -0.852327478410086 , 0.855913776832747 , -0.28281047907421 , -0.211970675753026 , 0.568815741219128 , 0.561414064032509 , 0.00958112536304617, 0.132109515565073 , 0.472432791662554 , 0.405026698715139 , -0.0435696416489067, 0.970614570363404 , -0.159759126038044 , 0.714734445880602 , -0.0366007981899797, -0.565438777608974 , 0.309110043229189 , -0.465329171409346 , -0.186085838104131 , -0.0894730713987353, 0.072582007891628 , 0.111437246837358 , 0.091464895381508 , -0.612317005269726 , -0.186504137087065 , -0.21483800796869 , 0.0987720430191472 , -0.340648483531644 , -0.263485215840568 , 0.121662688721809 , -0.0240491824392158, 0.237013827205908 , 0.550743032863044 , 0.347095181925367 , 0.124076220031802 , -0.413752060779082 , -0.734771587543382 , -0.065769740580124 , -0.56468056311469 , -0.0553458277087357, 0.172796529727821 , -0.447291615084105 , -0.222544427384045 , -0.75860833519509 , -0.801447317481388 , 0.0134985071348858 , 0.241367747995542 , -0.610557357496264 , -1.0169753290767 , 1.04853354759003 , 0.832878382151476 , -0.228216795647355 , 0.424499993900965 , 1.1600523027942 , 1.10127889851219 , -0.0129195384385851, 0.437226659585588 , -0.255093117065914 , 0.266502807466602 , 0.722965831496487 , 1.14941194730148 , 0.622060749505638 , 0.258231751966125 , 1.01893382240945 , 0.355674627418903 , 1.05913842332327 , -0.147718838394214 , 0.132069380104848 , 0.345825774891144 , 0.47818475059219 , 0.59705431453332 , 0.99685801653254 , 0.397712031378063 , 0.712610377690948 , 0.135446036647618 , 0.363780047410147 , 0.524909821624061 , 0.0299108182952201 , 0.686807535846303 , 0.625598509643948 , -0.933729885717695 , 1.45402455168945 , -0.343402533466145 , 0.397355568121255 , 0.402200835502618 , 1.21927279172465 , 0.253808394021956 , 0.531206294159731 , 0.990800955621048 , 0.383107812782678 , 1.15158995553993 , 0.146954577471328 , 0.572988499306156 , 0.31775069658984 , 0.0572830067514262 , 0.514354545576666 , 0.517529491821846 , 0.400677628011949 , 0.107273421017037 | 0.0000001 |
| 97 | 50 | 0.5 | 0.0 | 1.0 | control , control , control , control , control , control , control , control , control , control , control , control , control , control , control , control , control , control , control , control , control , control , control , control , control , control , control , control , control , control , control , control , control , control , control , control , control , control , control , control , control , control , control , control , control , control , control , control , control , control , intervention , intervention , intervention , intervention , intervention , intervention , intervention , intervention , intervention , intervention , intervention , intervention , intervention , intervention , intervention , intervention , intervention , intervention , intervention , intervention , intervention , intervention , intervention , intervention , intervention , intervention , intervention , intervention , intervention , intervention , intervention , intervention , intervention , intervention , intervention , intervention , intervention , intervention , intervention , intervention , intervention , intervention , intervention , intervention , intervention , intervention , intervention , intervention , intervention , intervention , 0.410744650697103 , 0.135056578582537 , -3.04783181927867 , 0.964521263949174 , 0.812061528724534 , 0.817503481344018 , -0.848724497030999 , 2.73850009376681 , -0.685797093897633 , 1.5536482195945 , 0.944069629625423 , -1.7562767020773 , -2.22647578763969 , -1.39566224826609 , 0.486672557532882 , -0.173433748849706 , 1.21175945088796 , -0.84043011706505 , -0.511050651429612 , 0.36574633236725 , 1.36640325799069 , 0.292637992686361 , 2.66689719540599 , 2.16888448695976 , -0.272952526426825 , -0.0595943826947224, -0.315262240647406 , 0.805785401235182 , 0.20549968138134 , -0.640888141958762 , -2.25034699380914 , -1.30504385996512 , 0.410779966097608 , -1.34302150351323 , 0.310603930285615 , -0.137740391981336 , -1.68615152192369 , -0.0522607468054847, -1.29623825789374 , 1.07872430322358 , 0.336057468629038 , 1.26204446511066 , 0.585699618777985 , 1.39725039262915 , -1.2654726919314 , -0.707716457002268 , -0.604028898191796 , 0.127509019347589 , 0.569991561031524 , 0.0779550187422435 , 2.1965682824096 , 0.46038290446477 , 0.58848661663783 , -0.92175057792058 , 0.935421481953947 , 0.930326535681137 , -0.0515152072981662, -0.481889887160938 , 1.26696083125946 , 0.27656858250352 , 0.281783429579054 , 1.82667766253324 , 0.0824757021239991 , -0.457033989203111 , 1.08504872011643 , 2.07047257585613 , 1.43480629504377 , 1.76502703758174 , 0.251763843337464 , 0.562653452574284 , 0.454436865106555 , 0.828667716027264 , 1.99534876046188 , 0.634867264368361 , 0.491953616700496 , -0.259220908201433 , -1.15664390793302 , 2.11267508845562 , 0.302271270544701 , 1.00265517539678 , -0.56332313835564 , 0.610729062347187 , -1.66316321419793 , -0.551412425828613 , 0.891784618886107 , 0.701702732809643 , 0.208743269308721 , -1.30464489198363 , 0.357083282706224 , -0.790000700166876 , -0.438450263982248 , -1.01961564638837 , 1.35085478697821 , 0.517947071769365 , 0.890671841749013 , -0.224698693447484 , -1.31382683343747 , 1.03422521783133 , -0.457769271312559 , -1.09241150312015 | 0.1277305 |
| 97 | 50 | 0.5 | 0.1 | 0.5 | control , control , control , control , control , control , control , control , control , control , control , control , control , control , control , control , control , control , control , control , control , control , control , control , control , control , control , control , control , control , control , control , control , control , control , control , control , control , control , control , control , control , control , control , control , control , control , control , control , control , intervention , intervention , intervention , intervention , intervention , intervention , intervention , intervention , intervention , intervention , intervention , intervention , intervention , intervention , intervention , intervention , intervention , intervention , intervention , intervention , intervention , intervention , intervention , intervention , intervention , intervention , intervention , intervention , intervention , intervention , intervention , intervention , intervention , intervention , intervention , intervention , intervention , intervention , intervention , intervention , intervention , intervention , intervention , intervention , intervention , intervention , intervention , intervention , intervention , intervention , -0.389678127610733 , -0.0996572227959494 , -0.930443964021223 , 0.322098590596752 , -0.756099076186715 , -0.240439994706818 , 0.301834140650725 , 0.200756200987766 , -0.211089317686668 , 0.363125139744422 , 0.480043155090321 , 0.278487686786138 , 0.00974913951128942 , -0.579593227975918 , -0.466845681665842 , 0.146661530583789 , -0.302507497447327 , -0.0552061632076764 , -0.469465422329971 , 0.537859707831795 , 0.971114978060067 , -0.274525179268214 , -0.00966796490723078, 0.586451005879379 , -0.0964288855896437 , 0.385767811084062 , -0.10571845950888 , -0.0497577802518072 , 0.593305605705492 , 0.106819233112723 , -0.0819705365854073 , 0.371014051352099 , 0.78770300808364 , -0.471952540679334 , 0.361807820487489 , -0.331082904030583 , 0.366487519968867 , 0.778065300815506 , 0.0693603702243729 , -0.113563644955315 , -0.262933567617407 , 0.014703583149517 , 0.810428633514293 , 0.409962889065086 , -1.24320498736127 , -0.126668816063318 , -1.19950904907335 , 0.099930191842247 , -0.365642809099355 , 0.184165920038215 , 0.405940554221884 , 0.968887199807616 , 1.37186414142629 , 0.653215832069396 , 0.442355000305466 , -0.0914606869448531 , 0.824221999471065 , 0.24057567658231 , 1.47529295322949 , 0.552849631747961 , 1.22308588233256 , 0.0251189410063345 , 1.49507932460148 , 0.955803660011571 , 0.290114911262849 , 0.0229582607717776 , 1.11975613628793 , 0.445267444977075 , 0.572748101517184 , 0.260463173038723 , 0.643136731719459 , 0.954983354511824 , 0.453812346582557 , 0.337293710816706 , 1.84560009894768 , 1.16255341633075 , 1.15099246605757 , -0.117901697811123 , 0.311077358153909 , 0.60016230093073 , -0.0660467020550062 , 0.9507207714613 , 0.317574927695036 , 0.769379469132964 , 0.272381292956363 , 0.209385176305013 , 0.149064000322432 , -0.445096906361671 , -0.293991420073382 , 0.429725168697227 , 0.52212427565903 , 0.705817212409908 , 1.27061340933998 , 0.785499441375951 , 0.460036636914536 , -0.179067813534118 , 1.89136575169027 , 0.561528856111548 , 0.339414890779263 , 0.674577187303468 | 0.0000001 |
| 97 | 50 | 0.5 | 0.1 | 1.0 | control , control , control , control , control , control , control , control , control , control , control , control , control , control , control , control , control , control , control , control , control , control , control , control , control , control , control , control , control , control , control , control , control , control , control , control , control , control , control , control , control , control , control , control , control , control , control , control , control , control , intervention , intervention , intervention , intervention , intervention , intervention , intervention , intervention , intervention , intervention , intervention , intervention , intervention , intervention , intervention , intervention , intervention , intervention , intervention , intervention , intervention , intervention , intervention , intervention , intervention , intervention , intervention , intervention , intervention , intervention , intervention , intervention , intervention , intervention , intervention , intervention , intervention , intervention , intervention , intervention , intervention , intervention , intervention , intervention , intervention , intervention , intervention , intervention , intervention , intervention , 1.75361972021042 , 1.27174098723995 , 0.563233229051161 , -0.350776477305336 , 1.15863804930626 , -0.948256909190291 , 0.67550372565474 , 1.11956201068982 , -0.434958727840679 , 0.451891724040036 , 1.08245160420703 , 1.23852768688525 , 0.245427472705634 , 0.301624530780425 , 1.04695086560114 , -0.751223692961139 , -1.75069456644164 , 1.23749654017486 , -0.422991402014516 , -0.824722551900713 , -0.125738747890944 , -0.424389217260596 , 0.63455582727366 , 1.40103025205701 , 1.83607997089087 , 1.03566091274417 , 1.14697581020639 , 0.571212922503179 , 0.983766111075492 , -0.0492568211452404, -0.312219879422256 , 1.03721374949666 , 0.629079685967229 , -1.01772142995506 , 0.0558834435201046 , 0.46655589289159 , 0.474745048792705 , -0.0185944189112873, -0.224831363819172 , -0.959526978193611 , 0.232696261700408 , 1.13153685788419 , -0.965304511006642 , -0.157087038859374 , -0.551029243499479 , 0.373112275205969 , 1.19603910458275 , 0.596939833950965 , 0.119844050502473 , -1.14662516918487 , 2.61771004392349 , -0.436183707996893 , -0.211085141076359 , 0.564990929380816 , 0.48141468303582 , -0.59252292947149 , 1.50581616009816 , -0.794618090948084 , 1.35704759208337 , -1.5985231910519 , 1.6552752712363 , 1.17465299156117 , -0.223629813244669 , 1.24997927030597 , -0.0848402687813575, 2.14997528350021 , 1.14039395219866 , -0.873655306194946 , 0.87283889131513 , 0.593075038349379 , -1.41361150307263 , 0.841056446678246 , -0.316007354435099 , 0.940196275019349 , 1.25581450171982 , 0.514906525018974 , -0.421548264036568 , 0.635435968933788 , 0.175928664774885 , 0.353401616857683 , 2.27805901928303 , 0.728002257198049 , -2.22381658534301 , 1.63657220399089 , -0.658828769622969 , -0.225018849098884 , 0.13025847048342 , -1.07270377248773 , 0.931756431942497 , -0.673689034204857 , 1.15710111825799 , 0.963211891013184 , 1.74005123518864 , 1.01131564695914 , 1.22285061422555 , 1.35778327828806 , 2.0596506264721 , 1.10733061339332 , 0.465264687841085 , 0.142809686768537 | 0.2699131 |
| 98 | 20 | 0.0 | 0.0 | 0.5 | control , control , control , control , control , control , control , control , control , control , control , control , control , control , control , control , control , control , control , control , intervention , intervention , intervention , intervention , intervention , intervention , intervention , intervention , intervention , intervention , intervention , intervention , intervention , intervention , intervention , intervention , intervention , intervention , intervention , intervention , -0.282215641816437 , 0.0979614147355449 , -0.0587132019681446, -0.923302708169101 , 0.435013948803561 , -0.0191949138519839, 0.362131200841343 , -0.0715919562186697, 0.39743544010349 , 0.575573834843574 , 0.273557250350272 , 0.327374990450229 , -0.102204837465444 , -0.569138521519682 , -0.450889837023875 , 0.0586759389027714 , 0.773702197987055 , 0.0747872001077425 , -0.358596206587787 , -0.988933926397934 , 0.146478567949795 , 0.0331908436697703 , 0.829843321774348 , -0.274845807647102 , 0.0876053435339156 , 0.739726157098946 , -0.9014940259532 , -0.818713749386322 , -0.43713044385956 , 0.388229652572779 , 0.259885101660208 , 0.289420369596636 , 0.0482463988181706 , -0.261933849259982 , 0.624920270375987 , 0.429003852896235 , 0.200929572757885 , -0.0733720388155001, 0.18532280371869 , -0.32710929306758 | 0.5868310 |
| 98 | 20 | 0.0 | 0.0 | 1.0 | control , control , control , control , control , control , control , control , control , control , control , control , control , control , control , control , control , control , control , control , intervention , intervention , intervention , intervention , intervention , intervention , intervention , intervention , intervention , intervention , intervention , intervention , intervention , intervention , intervention , intervention , intervention , intervention , intervention , intervention , 0.147938654047468 , 0.161473277986376 , -0.452306862301565 , 0.6630069262202 , -0.0207994154376554 , 0.465248978313605 , 0.150098302234154 , 0.203070961080274 , 1.69361776383289 , 0.108652367406082 , 0.320358878701516 , 0.0282287106534042 , -1.77850518017226 , 0.067685971791663 , -0.20102585422885 , -2.04517519835328 , 0.446038167883843 , 0.744581547849391 , -0.708920352145779 , 1.65724252181458 , 0.260472796521065 , 0.439141921794545 , 0.434319100525709 , -1.0170074207117 , -0.0873876951107163 , 1.14951837420607 , 0.0965843855405956 , 0.415792068358164 , 0.41592922200007 , -0.838248153024793 , -0.00600114786072287, -0.601070551633291 , 0.413266529224848 , -0.282661316789951 , 0.0681789247905579 , -0.0177520866342099 , 1.76949802735464 , -0.102365200294432 , 1.78881049390189 , 0.0299785017631014 | 0.6053704 |
| 98 | 20 | 0.0 | 0.1 | 0.5 | control , control , control , control , control , control , control , control , control , control , control , control , control , control , control , control , control , control , control , control , intervention , intervention , intervention , intervention , intervention , intervention , intervention , intervention , intervention , intervention , intervention , intervention , intervention , intervention , intervention , intervention , intervention , intervention , intervention , intervention , -0.308504029350654 , 0.376114890475967 , -0.073686884022727 , 0.75013341125243 , -0.107048589987283 , 0.100970419335261 , -0.087959589814346 , -0.780188658200855 , 0.548083597797781 , 0.556157285141683 , 1.0796522441102 , 0.360479880299048 , -0.477876812328214 , -0.231136927959053 , -0.709165003215313 , 0.0363583610805298 , -0.272235209821967 , 0.516906053292562 , 0.629845576263214 , -0.0731174217999978, 1.03184466364545 , 0.951653093023812 , 0.419809895820616 , 0.0960013479158206 , -0.925259275395382 , -0.482713318212333 , 0.545590873746579 , -0.31539318525611 , -0.524695742005439 , 0.193399426824066 , 1.00488475915236 , 0.690212927458951 , 0.185280155635647 , -0.627550786486654 , -0.278237910567407 , 0.770549589601917 , -0.810781179256867 , -0.571316579102058 , 0.0292098556366447 , -0.215217319919854 | 0.8535160 |
| 98 | 20 | 0.0 | 0.1 | 1.0 | control , control , control , control , control , control , control , control , control , control , control , control , control , control , control , control , control , control , control , control , intervention , intervention , intervention , intervention , intervention , intervention , intervention , intervention , intervention , intervention , intervention , intervention , intervention , intervention , intervention , intervention , intervention , intervention , intervention , intervention , -0.772594202690202 , -0.198488830448198 , 1.42095783608891 , -0.821948039547133 , -0.821365749290198 , -0.0282539654031322, -0.0162206871862504, -0.0746661360662934, 0.426097419300998 , 1.24706467554874 , 1.28446503396555 , -0.351603854020169 , 0.68781714329069 , -0.379470694149624 , -0.612528817949115 , -0.994276516831177 , -0.363956573967934 , 0.264299672460393 , -0.586284757616513 , 0.525712799621101 , 1.4959873707357 , -0.725056667626031 , -0.608592371868409 , 0.149272702631056 , -0.204259794876544 , 0.125923074236281 , -0.0938963359012135, 0.396274864540499 , 0.892729684420749 , -1.0426590600243 , -1.35152431832615 , 0.0664653746777848 , 0.978440825341543 , -0.0105608551665009, -0.848151514742015 , 0.301553113221693 , 0.0474545146054572 , -0.708865275918706 , -0.910053250073787 , -2.02179945664309 | 0.4397927 |
| 98 | 20 | 0.5 | 0.0 | 0.5 | control , control , control , control , control , control , control , control , control , control , control , control , control , control , control , control , control , control , control , control , intervention , intervention , intervention , intervention , intervention , intervention , intervention , intervention , intervention , intervention , intervention , intervention , intervention , intervention , intervention , intervention , intervention , intervention , intervention , intervention , -0.332401804175759 , 0.250734537186653 , 0.478746003828671 , 0.408317049898132 , 0.505970804862744 , 0.740231185261828 , 0.998743300444741 , -0.6752494884102 , -0.0898817084203658, -0.0116948527173747, 0.272510219270618 , -0.157330637151633 , -0.182888498731065 , -0.599738842061606 , -0.107082309620091 , 0.188698251767178 , 0.357066933675918 , 0.243601949762069 , 0.622478011153959 , 0.540424687124178 , 0.750296650139056 , -0.455199864944406 , 0.707288459173564 , 0.268443172023867 , 0.612759618106668 , 1.54477625800674 , 0.883329178720802 , -0.337600378677513 , 1.89372654099424 , 0.900423975108646 , 0.428333201037318 , 0.622695622933165 , -0.200932847920494 , 1.42846110892684 , 0.232027892714234 , 0.231649560957657 , 0.333358787238807 , 1.17975933050938 , 1.02931426287667 , 1.39984330460087 | 0.0061170 |
| 98 | 20 | 0.5 | 0.0 | 1.0 | control , control , control , control , control , control , control , control , control , control , control , control , control , control , control , control , control , control , control , control , intervention , intervention , intervention , intervention , intervention , intervention , intervention , intervention , intervention , intervention , intervention , intervention , intervention , intervention , intervention , intervention , intervention , intervention , intervention , intervention , -0.653760527605995 , -0.324381440470243 , -0.0975142330116262, 0.28319195829694 , -1.06329198714278 , 0.165254880621949 , 0.304457139797297 , 1.57791784731529 , 0.747273943776996 , -1.15995521602595 , 0.0548113593040257 , 1.13843647204913 , 1.21329797424921 , -1.07195762402257 , -1.1087040261293 , 0.539881330449187 , 0.288167932227044 , 1.93633544696179 , -0.403445370970752 , 0.563161579236109 , 1.18650533894896 , 0.144849329824734 , -0.511737540200068 , 1.94029942849265 , -0.537218854391983 , -0.0483896675781168, 1.76095188994381 , 0.563452278059104 , 1.5951496236947 , 0.308718438854723 , 0.167637802970686 , -0.0514388406120012, 0.286092838391401 , 0.380425654940861 , -1.53746641508212 , -1.96040456608842 , 1.71488855139601 , -1.56914549268174 , 1.34962184649783 , 1.09172565035841 | 0.6105195 |
| 98 | 20 | 0.5 | 0.1 | 0.5 | control , control , control , control , control , control , control , control , control , control , control , control , control , control , control , control , control , control , control , control , intervention , intervention , intervention , intervention , intervention , intervention , intervention , intervention , intervention , intervention , intervention , intervention , intervention , intervention , intervention , intervention , intervention , intervention , intervention , intervention , 0.440813155068168 , 0.977378137357327 , 0.936579003765512 , 0.609567447417906 , 0.888461318438637 , -0.358723579764951 , -0.047531620067106 , -0.536832811319511 , 0.144628438183699 , 0.294903387802807 , 0.030105213691957 , 0.566467119502361 , 0.138693952449849 , -0.00710177891024814, 0.283908821525417 , 0.410125371653034 , 1.1325649416461 , 0.59907298116097 , 0.602568685650158 , -0.455913651338828 , -0.191833353979883 , 1.21689657657368 , 1.83407208472591 , 0.204238848498892 , 0.899704451842377 , 0.711958815371767 , 0.157298379857182 , -0.219310002289162 , 0.764874340217136 , -0.094577098556959 , 0.842793719407526 , 0.61723913159608 , 0.95843525849098 , 0.427309669785424 , 0.811206842376747 , 0.695302896318847 , 0.921454076178907 , 0.357731277908209 , 0.805045170944538 , 0.11248040415897 | 0.1037723 |
| 98 | 20 | 0.5 | 0.1 | 1.0 | control , control , control , control , control , control , control , control , control , control , control , control , control , control , control , control , control , control , control , control , intervention , intervention , intervention , intervention , intervention , intervention , intervention , intervention , intervention , intervention , intervention , intervention , intervention , intervention , intervention , intervention , intervention , intervention , intervention , intervention , 0.863152137098307 , 0.734870075164686 , -0.782114406258823 , -1.1919225620356 , -1.90486431388166 , -1.0377888999495 , 0.862390865598275 , -1.03171052197365 , -1.56588261534658 , 0.97473579372319 , -0.840548796293533 , -0.183925134295651 , -0.888896452661167 , -0.993087129976421 , -0.00564184555175362, 0.411152173589206 , 1.0022157188355 , -0.962189910667133 , 1.50071171774662 , -0.0921509974923243 , 0.348219155483082 , 0.0510776415041305 , 0.65080661765485 , 0.460771960924125 , 0.471862186478882 , 4.16241249216224 , 0.807774443127548 , -0.820049573877032 , 2.26723492290357 , 1.08554822604357 , 0.901692856757782 , -1.52374279765664 , 0.415310443699096 , 1.53740343210803 , -0.526168514047271 , -0.474253172070424 , -0.427786966005947 , 0.240250055521091 , 0.405168211643331 , 0.404993578373336 | 0.0312589 |
| 98 | 50 | 0.0 | 0.0 | 0.5 | control , control , control , control , control , control , control , control , control , control , control , control , control , control , control , control , control , control , control , control , control , control , control , control , control , control , control , control , control , control , control , control , control , control , control , control , control , control , control , control , control , control , control , control , control , control , control , control , control , control , intervention , intervention , intervention , intervention , intervention , intervention , intervention , intervention , intervention , intervention , intervention , intervention , intervention , intervention , intervention , intervention , intervention , intervention , intervention , intervention , intervention , intervention , intervention , intervention , intervention , intervention , intervention , intervention , intervention , intervention , intervention , intervention , intervention , intervention , intervention , intervention , intervention , intervention , intervention , intervention , intervention , intervention , intervention , intervention , intervention , intervention , intervention , intervention , intervention , intervention , 0.0454058318474025 , 0.445735404294019 , 0.818073409465755 , -0.533413615782849 , -0.96839145915196 , -0.573694940149026 , -1.40421038330984 , 0.112202475721389 , -0.403856923034867 , 0.269638067132018 , 0.836105319050964 , 0.483694436429459 , -0.14583364628404 , 0.263636797107261 , -0.150617257654616 , 0.340627974168271 , 0.219077144204999 , 0.0599490724036675 , 0.39989980950801 , 0.534948471064009 , -1.00666431002803 , -0.725256003775742 , -0.502412762983037 , -0.229674002277088 , 0.424573721314115 , -0.272644867342154 , -0.173866411208459 , -0.0462434230636847 , 0.0967027004556757 , -0.406401049956567 , 0.572882029557478 , 0.126947380700633 , -0.921434606217009 , -0.18806870375056 , -0.215451587556751 , 0.0857114197943498 , -0.154154235013159 , -0.0526395444346958 , 0.343169271233598 , 0.52259580164034 , -0.334166572952876 , 0.331772168303719 , -0.808034714232929 , 0.282007019833873 , 0.686100383639523 , 0.054444424536249 , 1.19103223749313 , -1.1417829577174 , 0.107179099319386 , -0.568165255361629 , -0.305492819236395 , -0.00437264705624163, -0.926193697756026 , -0.0378366643376113 , 0.647076974212191 , -0.148930700253565 , 0.0433109537705549 , -0.145074684643458 , -0.89871934112498 , -0.423639486508978 , -0.100051782728568 , -0.934996920054901 , -0.182468237807621 , -0.570129085225723 , 0.0316941202454122 , 0.252073379176806 , -0.359816840564869 , -0.97816464509786 , -0.696019923929034 , 0.174541667565389 , -0.0194270064041873 , 0.096369236926125 , -0.588570315556065 , 0.493309143391789 , -0.112104266449612 , 0.768456170304563 , -0.0496352315018274 , 0.815616799894154 , 0.179236412328017 , 0.00206771326805603 , -0.247713056360088 , -0.331093263093192 , 0.109016978639564 , -0.278609613317836 , -0.409098522903068 , 0.172090796996591 , -0.200917393906501 , -0.624569157028935 , -0.203657064591211 , -0.258525322910748 , 0.565191290915828 , 0.426251579579952 , 0.032988030994608 , 0.493412038368709 , 0.0769671660908219 , 0.344218790868711 , -0.429771331386276 , -0.0836090940834383 , 0.769591430088381 , -0.12391930730588 | 0.7021507 |
| 98 | 50 | 0.0 | 0.0 | 1.0 | control , control , control , control , control , control , control , control , control , control , control , control , control , control , control , control , control , control , control , control , control , control , control , control , control , control , control , control , control , control , control , control , control , control , control , control , control , control , control , control , control , control , control , control , control , control , control , control , control , control , intervention , intervention , intervention , intervention , intervention , intervention , intervention , intervention , intervention , intervention , intervention , intervention , intervention , intervention , intervention , intervention , intervention , intervention , intervention , intervention , intervention , intervention , intervention , intervention , intervention , intervention , intervention , intervention , intervention , intervention , intervention , intervention , intervention , intervention , intervention , intervention , intervention , intervention , intervention , intervention , intervention , intervention , intervention , intervention , intervention , intervention , intervention , intervention , intervention , intervention , 0.350840679662442 , -0.266116931031768 , -1.78750266980788 , -0.808346248709779 , 1.10578080608902 , -0.748560622170355 , 1.44559089063108 , 0.47832230284771 , 0.815099075675669 , -2.19952346187956 , 1.20379659449059 , -0.233329510163395 , -0.607093131836492 , -0.323113861055707 , -0.604776441534037 , -0.776714742545106 , 0.847335226347884 , 0.808168472450198 , -0.0176043261455982 , 0.566479506995346 , -1.1242252067182 , -0.545349433584888 , 0.481897017929591 , -0.782248988885516 , -1.59902424089237 , 0.215336328997639 , -1.09987234468774 , -0.198137025880127 , -0.272907830801279 , 0.879593651272893 , 1.62581710416953 , 0.450897439850191 , -1.2752760472485 , -1.52689423905735 , -0.702581490592534 , -0.308477959709936 , 0.629471642238357 , -1.28453105015956 , 0.0775687159886629 , 0.814184237112547 , 1.72873534394732 , -1.25737639070048 , -2.85379265218629 , -0.256590168913594 , 0.558852536030507 , -0.678749523308503 , -0.440063469078765 , 0.135376539192193 , -0.652313322629182 , 1.34625440253245 , 0.352514683992543 , -0.00449013330425089, -1.54375931909013 , -0.590815217690964 , -1.44738877258762 , 1.25032552898397 , -1.65953477973384 , -0.22830860091611 , 0.74029838134939 , -0.602721640860587 , -0.600172978535697 , 0.374780399637203 , -2.6304125754531 , 0.446042383353714 , 1.74244070187339 , -0.61090151590165 , -0.901725007216479 , -0.324253535840904 , 1.19790666144098 , 0.952705385012761 , 0.954067253430757 , 0.354065817105277 , 0.112883478239802 , -0.639077956933996 , -0.277016776387804 , -1.55006663283231 , -1.30824079776077 , -0.34969073105999 , -1.55963216822315 , -1.32768351051472 , -0.34526915544977 , 0.00788530460078944 , 0.674701598150943 , 1.8804790677877 , 0.955768373287153 , 0.992933877786221 , -1.18608384967132 , -0.382227073801097 , -0.0208686574596233 , -0.553774408421743 , -0.00593077231070114, 0.943258784869036 , 1.12108827575924 , 1.28662975381239 , -0.416604715505033 , -0.483205987161893 , -0.801207665399877 , 0.771698133863542 , -0.879878707248835 , 0.544016756997183 | 0.7581824 |
| 98 | 50 | 0.0 | 0.1 | 0.5 | control , control , control , control , control , control , control , control , control , control , control , control , control , control , control , control , control , control , control , control , control , control , control , control , control , control , control , control , control , control , control , control , control , control , control , control , control , control , control , control , control , control , control , control , control , control , control , control , control , control , intervention , intervention , intervention , intervention , intervention , intervention , intervention , intervention , intervention , intervention , intervention , intervention , intervention , intervention , intervention , intervention , intervention , intervention , intervention , intervention , intervention , intervention , intervention , intervention , intervention , intervention , intervention , intervention , intervention , intervention , intervention , intervention , intervention , intervention , intervention , intervention , intervention , intervention , intervention , intervention , intervention , intervention , intervention , intervention , intervention , intervention , intervention , intervention , intervention , intervention , 0.488377216082427 , 0.127920904386926 , 0.0826106893656731 , 0.767862464477326 , 0.389898523987158 , 0.296183606951853 , -0.354909724872477 , 0.463428233767765 , 0.287044336921412 , -0.431300988306979 , 0.0534622377960698 , 1.5995101949076 , 0.106601581450372 , 0.348710949074494 , 0.332663481740279 , -1.35137476893143 , -0.25242964538326 , -0.474452209441183 , -0.774693655888794 , 0.371337596597388 , 0.248474098873699 , -0.376524293373207 , 0.558846481723184 , -0.156411063994364 , 0.922174982569451 , 0.100661693673066 , -0.228224912630981 , 0.232313058608526 , -0.382508652380052 , 0.455763874313936 , -0.0336904308657687 , -0.156895871940171 , -0.0624336600892957 , 0.649592407440791 , 0.158417179480426 , 0.286538446980332 , 1.13936835440487 , -0.314523463795455 , 0.388426665978963 , 1.23590943491764 , 1.02893028667519 , 0.842825010942123 , 0.303199985004278 , 0.241108451521122 , 0.178368202939245 , 0.0413466829928709 , -0.412436817608233 , -0.0618984792911543 , -0.413993953126256 , -0.091349669225989 , -0.407721053104088 , 0.429777900113716 , -0.275523842127724 , -0.840008960396776 , -0.414992922728849 , -0.721601534180144 , 0.638335275540748 , -0.0848903174998786 , -0.363897247671418 , 0.0381837109083076 , -0.899700676386466 , -0.733954742018516 , -0.558851538889479 , -0.0808695023146734 , 0.560958536468038 , -0.175754481993071 , 0.0555411698900217 , -0.864254314134636 , -0.253874411650769 , 0.66810655106633 , 0.29787202885983 , -0.0187094068741439 , -0.501164203054327 , -0.136318670196293 , -0.367161443778782 , -0.853564959639739 , -0.879121409437997 , -0.183568609166498 , -0.175746255042905 , 0.0946097835580394 , -0.399920767103825 , -0.0693883238608569 , 0.273553895502466 , 0.348528983954351 , 0.753375877771985 , 0.101025882216759 , 0.259997040602753 , 0.647722325764706 , 0.304595955434084 , 0.825685950274459 , 0.771999642275804 , -0.470613367184528 , -0.00151105936477406, 0.358358730851969 , 0.00376230914818473 , 0.581603383565308 , -0.848945114933726 , 0.501565295547498 , -0.218704022250166 , 0.332131705192509 | 0.0295966 |
| 98 | 50 | 0.0 | 0.1 | 1.0 | control , control , control , control , control , control , control , control , control , control , control , control , control , control , control , control , control , control , control , control , control , control , control , control , control , control , control , control , control , control , control , control , control , control , control , control , control , control , control , control , control , control , control , control , control , control , control , control , control , control , intervention , intervention , intervention , intervention , intervention , intervention , intervention , intervention , intervention , intervention , intervention , intervention , intervention , intervention , intervention , intervention , intervention , intervention , intervention , intervention , intervention , intervention , intervention , intervention , intervention , intervention , intervention , intervention , intervention , intervention , intervention , intervention , intervention , intervention , intervention , intervention , intervention , intervention , intervention , intervention , intervention , intervention , intervention , intervention , intervention , intervention , intervention , intervention , intervention , intervention , -2.22183821208465 , -0.308308878799867 , 0.575110406550484 , -0.805559712913266 , -0.00452958356007414, -1.44240097758718 , -0.269581940485721 , 1.04246162526398 , 0.268318460151447 , 0.294547124928103 , 1.11982822448428 , 0.638094418608194 , -0.474895022052113 , -0.0148953962996669 , -1.99812085870009 , 0.00893724378883691 , 1.67864894932315 , 0.442420852887835 , 0.103771359696409 , -0.706465406814148 , 0.203398663710355 , 0.608869933339127 , 0.138070522390544 , -1.18681096999864 , 1.88463187069394 , 0.526283161148351 , -0.280758084950794 , -0.279149955040346 , 0.599509748705289 , 0.0959566699013079 , -0.120548585481382 , 0.988578469075887 , 0.75472407083955 , -0.166068957055704 , 1.83979040776678 , 0.197445720302735 , 0.119126196402953 , -0.0409451802434392 , -0.105621699483158 , -0.426725877413071 , -1.7549380039703 , -0.171361244167793 , 0.145212854454282 , -0.668308705460074 , 0.23355562062906 , 2.24122286611942 , -0.394085635709638 , 0.15873624221972 , 0.600695686797889 , -0.240543471838464 , -0.80937367042902 , -2.01037573964997 , -1.6183862816046 , 1.15865989614542 , -0.417356432781738 , -0.540083753342976 , -0.806359865432085 , -0.255558521077781 , 0.797085184908176 , -0.133696789163702 , 0.0265481087821363 , -0.875045404409729 , -1.66748713875747 , -0.25009078203447 , 0.388425876460281 , 0.668680144213515 , 1.08800048979337 , 0.0681720479473874 , 0.410980346307569 , 1.79145868950792 , 0.768615623725027 , 0.930203696913417 , -0.584833438627761 , -0.0627754878709586 , 0.151732844082577 , 0.64979194791816 , -1.71002373335045 , 0.768943332668718 , 0.0258992191624725 , 0.152919862287414 , -2.13977466189513 , 0.426344952271791 , 1.08042401313827 , -0.342046964187409 , 0.0346543000957961 , 0.401849135592647 , 0.646373516539881 , 0.444297269941074 , 0.92816841243433 , 1.03324745890951 , 1.17800667633074 , -1.4160925432241 , 0.0138649971714397 , -0.213638624176869 , -1.64508491753835 , 0.929196196011285 , -1.38401320644357 , -0.160662646186729 , -1.58716431303667 , 0.742305553447341 | 0.4966685 |
| 98 | 50 | 0.5 | 0.0 | 0.5 | control , control , control , control , control , control , control , control , control , control , control , control , control , control , control , control , control , control , control , control , control , control , control , control , control , control , control , control , control , control , control , control , control , control , control , control , control , control , control , control , control , control , control , control , control , control , control , control , control , control , intervention , intervention , intervention , intervention , intervention , intervention , intervention , intervention , intervention , intervention , intervention , intervention , intervention , intervention , intervention , intervention , intervention , intervention , intervention , intervention , intervention , intervention , intervention , intervention , intervention , intervention , intervention , intervention , intervention , intervention , intervention , intervention , intervention , intervention , intervention , intervention , intervention , intervention , intervention , intervention , intervention , intervention , intervention , intervention , intervention , intervention , intervention , intervention , intervention , intervention , -0.391453517188286 , -0.248191708511868 , -0.349359384351639 , 0.187585453899992 , 0.269562311709427 , -1.09498166946415 , 0.290406443815913 , -0.18831409158091 , 0.434719955893764 , -0.161471724007821 , -0.344399999033651 , 0.0794799928047283 , 0.167381239443734 , 0.104307749544478 , -0.162641490608085 , 0.710801004337146 , 0.276160596011542 , -0.0515940648251294 , -0.118766227612571 , 0.258714784293521 , 0.95858989673115 , -0.386707689413064 , -0.25834320288689 , 0.560418313706833 , 0.576051431424103 , 0.331480582075144 , 0.804432823757748 , 0.207528594130182 , -1.01080380854184 , 0.0695071681652451 , -0.315685509219843 , 0.35078966137813 , 0.200135971951984 , 0.303031171389195 , 0.0512997206303433 , 0.521187867132943 , -0.0139831961281181 , -0.272136615523868 , -0.0649865308589457 , -0.577373042180214 , 0.282521041275748 , -0.228684312324084 , 1.21985438758374 , -0.690350741720537 , 0.407326823517375 , 0.990765557276084 , -0.639989895552962 , -0.214920181292542 , 0.334607635801747 , 0.510841294354811 , 0.412169290420867 , 0.529081976106009 , 0.533432891574727 , 0.0686510191470733 , 0.916670087266003 , 0.606719326307828 , 0.729899157321671 , 1.25438280789891 , 0.60757166726387 , 0.887275826282387 , 0.679897657957223 , 1.32185353991738 , 0.772870933122781 , 0.140149257931607 , 1.47578121568513 , -0.00890215152349183, 0.432341737397366 , 0.358726090847746 , 0.0397083382162424 , 1.01732040007695 , 0.242361067755018 , 2.089690113489 , 0.164923971438909 , 0.569760726235563 , -0.477485506681919 , 0.0865011786286277 , 0.876169431206542 , 0.32311634577536 , 1.00247397767704 , 0.745808552557777 , 0.567428233143236 , 1.4578962084511 , 0.144174308888504 , 0.365505546016994 , 0.187101109268309 , 0.499475586406803 , 0.0214367176592291 , 0.167628398532956 , 0.823513786236855 , 0.212380514177964 , 0.800701644698883 , -0.00836837371281041, 0.810472553415607 , 0.760087286268467 , 0.841196324343093 , 0.137952348480639 , 0.859225440245015 , 1.31615756528199 , 1.3352569923796 , 0.718881265598271 | 0.0000003 |
| 98 | 50 | 0.5 | 0.0 | 1.0 | control , control , control , control , control , control , control , control , control , control , control , control , control , control , control , control , control , control , control , control , control , control , control , control , control , control , control , control , control , control , control , control , control , control , control , control , control , control , control , control , control , control , control , control , control , control , control , control , control , control , intervention , intervention , intervention , intervention , intervention , intervention , intervention , intervention , intervention , intervention , intervention , intervention , intervention , intervention , intervention , intervention , intervention , intervention , intervention , intervention , intervention , intervention , intervention , intervention , intervention , intervention , intervention , intervention , intervention , intervention , intervention , intervention , intervention , intervention , intervention , intervention , intervention , intervention , intervention , intervention , intervention , intervention , intervention , intervention , intervention , intervention , intervention , intervention , intervention , intervention , -0.901806038894143 , -1.51456050299724 , 0.2502296674626 , 0.703189512093234 , 1.55064180723615 , 0.230407027886205 , -0.761475735018087 , 0.204737442228225 , 1.76696938043354 , 1.50060856160745 , 0.111250376495542 , -0.0938567648429695, -0.241531390178576 , 1.28944265309047 , 0.204673323387954 , -0.725750257767731 , 0.226393776524706 , -1.35729088486461 , -0.276968270998981 , 0.543782665377373 , 0.489870725830087 , -0.608202538638931 , 0.601002663738309 , 1.10983297476513 , -0.641126208378456 , 1.19261220044776 , -1.910722663934 , 0.93936753981248 , -0.458058282203918 , -0.438102449834673 , 0.838830107939017 , -0.0154945238565513, 1.85520146561971 , 1.01956518496029 , 0.288000160195901 , -0.928182375176038 , -1.84322338619119 , 0.2736861529333 , -0.679647195088593 , -1.98931660760886 , 2.16468080661372 , -2.71301988013228 , -0.497158193107629 , 0.525911822002895 , -0.764878371289168 , -1.85393460918098 , -0.511647217456529 , -0.481642060488617 , 1.92469721057751 , -0.673234691018963 , 1.31798572030963 , -0.911411002895035 , 0.342188490334516 , -0.359550349945546 , -0.597534221238305 , 1.93834541654382 , 0.509241880086756 , 0.407045216252904 , -0.468159176914771 , 0.0926124908880627 , -1.46897794462718 , 0.0364201661824093 , 0.365250988746174 , 1.07041907499422 , -0.0276661528137651, 1.17913605993163 , 0.595111831427237 , 0.00596313091226813, 0.134062325676946 , 0.306055233995861 , 1.06815933604049 , 2.56775942787078 , 2.47659184686938 , 2.4223278982922 , 0.0777524343227349 , -1.22690084840591 , 0.443653914685644 , 1.81364840543818 , 1.29317964704317 , 0.922606807116315 , 0.904166110521099 , 0.432386775984823 , 0.218741860436184 , 1.82009325917993 , -0.227510956867829 , -0.961051023737985 , 0.981278570601545 , 0.709169279353415 , -1.3061187157993 , 0.109044320932428 , -0.684898919824714 , 0.436794317847822 , -0.739238353773835 , 1.63683961647622 , 0.536925662501437 , 1.81435243545402 , -0.227545042896776 , -0.135426255153727 , -0.647539810630363 , 0.428462812681477 | 0.0349969 |
| 98 | 50 | 0.5 | 0.1 | 0.5 | control , control , control , control , control , control , control , control , control , control , control , control , control , control , control , control , control , control , control , control , control , control , control , control , control , control , control , control , control , control , control , control , control , control , control , control , control , control , control , control , control , control , control , control , control , control , control , control , control , control , intervention , intervention , intervention , intervention , intervention , intervention , intervention , intervention , intervention , intervention , intervention , intervention , intervention , intervention , intervention , intervention , intervention , intervention , intervention , intervention , intervention , intervention , intervention , intervention , intervention , intervention , intervention , intervention , intervention , intervention , intervention , intervention , intervention , intervention , intervention , intervention , intervention , intervention , intervention , intervention , intervention , intervention , intervention , intervention , intervention , intervention , intervention , intervention , intervention , intervention , -0.318950917675248 , 0.768912515747363 , 0.249693139065791 , 0.230925518449774 , -0.362962399245143 , -0.1747690760486 , 0.666375969901686 , 0.754436640916257 , 0.0839471097430873 , 0.0934964767047105 , -0.428978975427052 , -0.419860142564854 , 0.873906641330635 , 0.251633775998221 , 0.241489538771965 , 0.447021073763859 , -0.206441675513548 , 0.1932752835293 , -0.222666962365388 , 0.628313156971597 , 0.0545099779925352 , -0.205324104222831 , 0.499654578620261 , 0.191231472690337 , 0.884488455583493 , -0.0677239670738254, 0.336188336809866 , -0.0632688979411483, 0.145204925094089 , 0.639970692193737 , 0.0844153161753081 , 0.788230015652478 , -0.613051342524645 , -0.61330528790874 , -0.0648118907910537, 0.619327070677202 , -0.226898496374698 , -0.187182915276904 , -0.575292267887174 , 0.880658518490184 , -0.0136831126350977, 0.0206352769976419 , 0.0298672159157259 , -0.385226571591637 , -0.162131510967664 , -0.161097418709791 , 0.751463400944742 , 0.676166510670041 , 0.19549088061642 , 0.0656545680968421 , 0.599876659041094 , 0.622055886339016 , 1.27751951844207 , 1.24223237631477 , -0.258357828419495 , 0.751451186959591 , 0.0266427760111016 , 0.00388950532766685, 0.692809707817524 , 1.2234530001872 , 0.0995660534034708 , 0.863307181907321 , 0.0877441172734978 , 1.17696823522031 , -0.233000186420691 , 0.939951162459314 , 0.798692727985726 , 0.740482930119748 , 0.452182137984768 , 0.58087241444116 , 0.079900238486432 , 0.567431702266529 , 1.05640345762949 , 1.00948460801866 , 0.343743493442104 , 0.411800021133087 , 0.516868896998995 , 0.08250065502592 , 0.521346368005393 , 0.910355755769861 , 0.965812416956852 , 1.22220065217522 , 0.304358620039471 , 1.21140435624219 , 0.0903849856011866 , 1.18933320892237 , 0.961509167672608 , 0.943094634774127 , 1.04430009818159 , 0.0601071395320214 , 1.76584381630903 , 0.0928244505467827 , 0.266469113172944 , -0.4443371360521 , 0.924493868497092 , 1.32582067188122 , 0.671274605935797 , 0.832092151372127 , 0.129426895535145 , 0.493169882109519 | 0.0000007 |
| 98 | 50 | 0.5 | 0.1 | 1.0 | control , control , control , control , control , control , control , control , control , control , control , control , control , control , control , control , control , control , control , control , control , control , control , control , control , control , control , control , control , control , control , control , control , control , control , control , control , control , control , control , control , control , control , control , control , control , control , control , control , control , intervention , intervention , intervention , intervention , intervention , intervention , intervention , intervention , intervention , intervention , intervention , intervention , intervention , intervention , intervention , intervention , intervention , intervention , intervention , intervention , intervention , intervention , intervention , intervention , intervention , intervention , intervention , intervention , intervention , intervention , intervention , intervention , intervention , intervention , intervention , intervention , intervention , intervention , intervention , intervention , intervention , intervention , intervention , intervention , intervention , intervention , intervention , intervention , intervention , intervention , 1.5701300057043 , -0.181070355508648 , 1.81290024325986 , 0.649484576086412 , -1.05590634412698 , 1.76594134481518 , 0.697557931007513 , 0.903528656722528 , 0.410379818899781 , -0.468464889853471 , 0.470465787189512 , -0.588775380264762 , 0.937678646434155 , 1.5405322149155 , -0.345831095285259 , 1.07690374243775 , 0.494807741249944 , 0.783340634761511 , -1.53583106634711 , 0.893698989763445 , -0.271992782039969 , 1.16759476101518 , -0.00153981822135579, 0.978847371279971 , 1.01859457622546 , 1.06942447198432 , -1.25506680941887 , -0.73188287963791 , 1.18739769338458 , 0.528520779086065 , -1.79470028774351 , -1.59358661230398 , -1.04106938824774 , -1.06765313863376 , 0.448386197956848 , 1.94868788179884 , -0.918551138835137 , 0.489404501340814 , -0.553760043474881 , 0.635535391998529 , 0.787171764569716 , -0.181903435215503 , 0.605873499441029 , -0.065656323910364 , 0.833748289340132 , -0.369428580191915 , 0.0449633380427995 , -0.651366394611322 , 1.09807770504315 , -0.387378012022499 , 0.262451173040665 , -0.74664736563185 , 1.91058134033382 , 0.784096426651143 , 0.950927192159374 , -0.592788753833297 , 0.717284954397353 , 0.440242987794614 , 0.820067330053484 , -0.768199977002386 , -1.35000069536578 , 1.53542161804281 , 0.370435422009454 , -1.94991694070673 , 1.13161478453799 , 1.37739549429065 , -1.74677246879984 , 0.752531117373027 , 1.57873609196733 , -0.17426673347596 , -0.485539071895478 , 0.727093596533943 , -1.0343426424777 , 0.106175556172837 , 2.69839475462114 , 1.33400930936193 , 0.369328750286967 , 0.934034910727864 , 1.80733296209504 , 0.0350565032054139 , 1.18817948427592 , -1.71297819560918 , 1.68899196689966 , 1.8281072543401 , 0.836127315595528 , 0.566340418415078 , 0.258644854749139 , -1.1592283734235 , 0.862787943817179 , 0.580983921885047 , 1.15204274761261 , 1.57296582959556 , 0.728427641700901 , 0.734780780297688 , 0.322358215615854 , 0.00138554653217765 , -0.79243966701839 , -2.85852599714927 , 1.08704475692285 , 0.422368383000167 | 0.4853211 |
| 99 | 20 | 0.0 | 0.0 | 0.5 | control , control , control , control , control , control , control , control , control , control , control , control , control , control , control , control , control , control , control , control , intervention , intervention , intervention , intervention , intervention , intervention , intervention , intervention , intervention , intervention , intervention , intervention , intervention , intervention , intervention , intervention , intervention , intervention , intervention , intervention , -0.544313379683701 , -0.128833517585156 , 0.998914379416254 , -0.0777822787072818, -0.21000679693615 , -0.2026365791751 , 0.465809000131007 , -0.151034664867307 , -0.0135187930186185, -0.353733468509721 , -0.828744181579656 , -0.163922531182746 , -0.0458601657012281, 1.0994127952783 , 0.358776563594234 , 0.430667608269782 , -0.370862518535797 , 0.375111511034035 , 0.0721411084252596 , 0.578026828975418 , 0.215392100165943 , -0.337931867616918 , 0.297500688212338 , 0.347786474600621 , 0.0423300336910589 , -0.291119723854297 , 0.655515621024351 , 0.232401756172048 , 0.901526071804096 , 0.48321546144151 , -0.398720371969458 , -0.277195670898929 , -1.12023787910095 , 0.299992680877057 , -0.811865544442505 , -0.0444907642215506, 0.326251908529811 , 0.545823830564422 , 0.437676792218564 , 0.850022763358151 | 0.7418573 |
| 99 | 20 | 0.0 | 0.0 | 1.0 | control , control , control , control , control , control , control , control , control , control , control , control , control , control , control , control , control , control , control , control , intervention , intervention , intervention , intervention , intervention , intervention , intervention , intervention , intervention , intervention , intervention , intervention , intervention , intervention , intervention , intervention , intervention , intervention , intervention , intervention , 0.195866726384604 , -0.806601475062288 , -0.978360525722829 , -1.17376173616546 , -0.922468990667384 , -0.92635686117899 , 0.235712635965204 , -1.08116803041792 , 0.0889456473780946 , 1.90501671522152 , -1.4981513799177 , 0.338190499011142 , 0.137288046443545 , 0.161389752202836 , 1.73962961138014 , -0.168484961306196 , 0.589360088254108 , -1.41113809007188 , -0.178554829620022 , -1.46544257900541 , 1.04740888217513 , 0.0529527658556264 , -0.363852092360427 , 0.00881786980968839, 0.370956396786937 , 0.283105465411033 , 0.685068680951299 , -0.297717673890582 , 0.853710895167087 , -0.594891771408299 , -1.39747958653918 , -2.37171026289429 , 0.321653840587348 , 0.573952227342515 , -0.21823872920238 , -2.03212573617939 , -1.72938141663277 , 0.655155200869715 , -0.608661991564924 , 1.44659415356027 | 0.7673945 |
| 99 | 20 | 0.0 | 0.1 | 0.5 | control , control , control , control , control , control , control , control , control , control , control , control , control , control , control , control , control , control , control , control , intervention , intervention , intervention , intervention , intervention , intervention , intervention , intervention , intervention , intervention , intervention , intervention , intervention , intervention , intervention , intervention , intervention , intervention , intervention , intervention , 0.474496163399555 , -1.10067986870252 , 0.117906867054073 , -0.216810028845761 , 0.0263167650451325 , 0.226839853491898 , -0.0334369650805263 , -0.436338576414669 , -0.0784144682898444 , -0.701293143266514 , 0.516486579744627 , 0.0987403314627582 , -1.19451541537805 , -0.619744315165105 , -0.51942829293104 , -0.834002929416527 , -0.915810034255717 , 0.0774212593753657 , 0.346597712301574 , 0.263884991517189 , -0.345736326004121 , -0.162340145264429 , -0.841004777522275 , -0.739641693363729 , -0.00483660673673378, 0.532094900416574 , -0.788847936291679 , 0.148504641184813 , 0.416633610838728 , -0.149551219022634 , 0.165289560112935 , 0.443662690565247 , -0.0676961812201419 , 0.06276210819272 , 0.459235949687145 , -0.788446529931603 , -0.287708022600729 , -1.41257148424234 , 0.431358985784659 , -0.2194009775956 | 0.6892369 |
| 99 | 20 | 0.0 | 0.1 | 1.0 | control , control , control , control , control , control , control , control , control , control , control , control , control , control , control , control , control , control , control , control , intervention , intervention , intervention , intervention , intervention , intervention , intervention , intervention , intervention , intervention , intervention , intervention , intervention , intervention , intervention , intervention , intervention , intervention , intervention , intervention , 0.23983709937798 , -0.551512082501249 , -1.1194218089902 , 0.551189665453555 , 0.219181063194382 , -0.87540591538191 , 1.16537816682595 , 0.123561079560456 , 0.302565763397564 , 1.11325916601161 , -0.684090036107666 , 1.20531467840143 , 1.36439862926776 , 0.132020624734944 , -0.111017753453263 , 0.36098500467116 , 1.15944613788292 , 1.05214425275168 , -0.156605448492742 , -1.34699133351911 , -0.146445237630394 , -0.16778595063655 , 1.01420834114436 , -0.368548574053102 , 1.05507195100643 , 2.06619216256853 , -3.17671358028513 , -0.252599084308009 , -1.3465737657355 , -1.36806700999914 , -0.372707348660172 , -1.65035381730936 , 0.879027719016954 , 0.269623668530038 , -0.0555509512504282, -1.42396277384532 , -0.644310420190057 , 2.43696513040823 , 0.203640880838377 , 0.422403654152211 | 0.3325943 |
| 99 | 20 | 0.5 | 0.0 | 0.5 | control , control , control , control , control , control , control , control , control , control , control , control , control , control , control , control , control , control , control , control , intervention , intervention , intervention , intervention , intervention , intervention , intervention , intervention , intervention , intervention , intervention , intervention , intervention , intervention , intervention , intervention , intervention , intervention , intervention , intervention , -0.462707933122386 , 0.95242168356227 , 0.259465567717476 , 0.37490751975603 , 0.0286286565057633 , -1.35699194475768 , -0.0149453606325218, 0.00796065254072622, 0.0789545117440881 , 0.261120596798591 , 0.780333720227852 , 0.597623934596635 , 0.175638495389965 , 0.781686923268662 , 0.716452280588504 , 0.00124781151330698, -0.0193903225301394, -0.0354406322218814, -0.55608508309523 , 0.15355462529491 , 0.4012784320084 , 1.03236604609791 , 0.318017481816559 , 0.320968384829009 , 0.959502931168234 , -0.396733956488603 , 0.652371636393372 , 0.291452313470754 , 1.26040280981024 , 0.977627756096186 , 0.258819681313705 , 0.810914392782225 , 1.36351117160889 , 1.26289736362844 , 0.905267650765032 , 0.417347383128332 , 0.0256508603942352 , 0.888356229461154 , 0.842102734935339 , 0.164409526440807 | 0.0029308 |
| 99 | 20 | 0.5 | 0.0 | 1.0 | control , control , control , control , control , control , control , control , control , control , control , control , control , control , control , control , control , control , control , control , intervention , intervention , intervention , intervention , intervention , intervention , intervention , intervention , intervention , intervention , intervention , intervention , intervention , intervention , intervention , intervention , intervention , intervention , intervention , intervention , 0.526127007179694 , 0.352153790504209 , -1.01639688458029 , 0.118254032718996 , 0.298669509623672 , -1.3382497501078 , -0.08063427646119 , -0.146658511622729, 0.262220311193518 , 0.807600948278655 , 0.183713720348276 , 0.172141209261614 , 0.195115350678112 , -0.286302003876283, -0.177974733158163, 1.09515065998266 , -1.89007942939559 , 0.077159196722324 , -2.06190090223364 , 0.416699706192011 , 1.35167473921182 , 0.389716486627316 , -2.07678493834143 , 1.40530380917341 , 1.29013049124156 , 0.853616651053743 , 3.08468339356902 , 0.903298009294199 , 1.10247340783161 , 0.408264280557097 , 1.31788971099365 , 0.776600002806237 , 0.102293587033858 , 2.80309859901572 , -0.497694409360356, 1.74766611598126 , 0.926136155426968 , 1.27203268708925 , -1.06213249629702 , -1.10423403165106 | 0.0128855 |
| 99 | 20 | 0.5 | 0.1 | 0.5 | control , control , control , control , control , control , control , control , control , control , control , control , control , control , control , control , control , control , control , control , intervention , intervention , intervention , intervention , intervention , intervention , intervention , intervention , intervention , intervention , intervention , intervention , intervention , intervention , intervention , intervention , intervention , intervention , intervention , intervention , -0.436088835792327 , 0.559305391096626 , -0.321750008473008 , 0.559378694766868 , -0.0885068753954475, 0.381591982006746 , 0.845480660945078 , -0.0984764464961634, -0.283643857598072 , -0.0610914897804298, -0.51651629142067 , 0.51445534383465 , 0.596415983607636 , -0.480758656705386 , 0.993187523482382 , -0.417020583066424 , 0.315265233076277 , 0.263416560699071 , 0.213294452485114 , -0.79316412758058 , 0.442228566461607 , -0.197734265835064 , 0.148466045607897 , 0.573258622035492 , -0.0940855157653592, 0.854406957476057 , 1.2479121457198 , 1.29237143510552 , 1.54075020529862 , 0.982197984935239 , 0.660977801229883 , 0.656921863861841 , 0.169801396541167 , 0.65672179032553 , 1.13002562969975 , 0.900560038683721 , 0.236192065250897 , 1.02211019266897 , 0.6247937649074 , 0.691653577976619 | 0.0004522 |
| 99 | 20 | 0.5 | 0.1 | 1.0 | control , control , control , control , control , control , control , control , control , control , control , control , control , control , control , control , control , control , control , control , intervention , intervention , intervention , intervention , intervention , intervention , intervention , intervention , intervention , intervention , intervention , intervention , intervention , intervention , intervention , intervention , intervention , intervention , intervention , intervention , 0.944451224475311 , 0.375918242824016 , -1.44247463087602 , 1.12841177705915 , 1.5787723101423 , 0.579242912711669 , -0.376713636993093, 0.105235138415631 , 0.695649529570577 , 0.466780006740133 , 0.545128144844149 , 0.948450517263015 , -1.69638528371331 , 1.17823917862876 , -0.604889832714717, -1.37470078500079 , 1.43863358335496 , 0.0121749353533129, -0.386053407714799, 0.072475219820096 , 1.9516023414805 , 1.15367735199487 , -0.132708411764625, 0.752057091166326 , 1.29057924242238 , 0.4934285914495 , 0.322782813672691 , 1.44919556474759 , 1.02967614784905 , 0.0696718753723659, -0.471958331850963, 0.593595686892253 , -0.448449778523395, -0.859728695874234, -0.243694556906118, 1.2887918138012 , 0.393118505118025 , -0.537179963070147, -0.584590474324019, 0.895074733778626 | 0.4525854 |
| 99 | 50 | 0.0 | 0.0 | 0.5 | control , control , control , control , control , control , control , control , control , control , control , control , control , control , control , control , control , control , control , control , control , control , control , control , control , control , control , control , control , control , control , control , control , control , control , control , control , control , control , control , control , control , control , control , control , control , control , control , control , control , intervention , intervention , intervention , intervention , intervention , intervention , intervention , intervention , intervention , intervention , intervention , intervention , intervention , intervention , intervention , intervention , intervention , intervention , intervention , intervention , intervention , intervention , intervention , intervention , intervention , intervention , intervention , intervention , intervention , intervention , intervention , intervention , intervention , intervention , intervention , intervention , intervention , intervention , intervention , intervention , intervention , intervention , intervention , intervention , intervention , intervention , intervention , intervention , intervention , intervention , 0.348156377896574 , 0.13788257448727 , 0.046734677067262 , -0.341770818686474 , -0.110148550588673 , 0.00184147027369518 , 0.653752588471349 , -0.00627078924278628, -0.453335548041119 , 0.203805689248107 , -0.18009567729144 , -0.362279236555051 , 0.139076135885278 , 0.436774230937979 , -0.734422208177752 , 1.20152718411563 , 0.351925682221476 , 0.36310774621748 , 0.212032662298093 , -0.322244728405017 , -0.323064069571364 , 0.68218473262381 , 0.381566831304381 , -0.594282620733709 , 0.527107786366807 , 0.617902344097466 , 0.962560600003013 , -0.0655219301660635 , 0.205904663161783 , 0.172748750371035 , 0.0619412742295519 , 0.462525439307957 , 0.130767625129982 , -0.192234738689742 , 0.672843915858223 , -0.521975854617857 , -0.207726899668568 , -0.103740799805408 , 0.629520235213343 , 0.00907015098071156 , -1.53912743936617 , 0.221927830763919 , -0.184942613580837 , -0.724376522124805 , 0.346243003824369 , -0.527069491725413 , -0.451439688985887 , -0.428915749396394 , -0.111108134279056 , -0.182537305090068 , 0.700215801781678 , -0.559399190255149 , -0.661044932164346 , 0.115365298973474 , -0.40083954707261 , 0.183215339421085 , 0.370715953944329 , 0.0794343205587418 , -0.396239091628018 , 0.00931813782154872 , -0.334975153037167 , -0.0347435827047622 , -0.0600302021541131 , 0.267851690289176 , 0.529735794649023 , 0.137158394211595 , -0.0476306789460754 , -0.198323715100736 , 0.0123454931209757 , -0.280919587834851 , 0.195742380558163 , -0.471212146634733 , 0.175111275960132 , -0.136377837956483 , -0.894534103744445 , -0.234829052471987 , 0.778304384461714 , 0.999579328420861 , 0.918769766583414 , 0.418031731275586 , -0.0503006979044791 , -0.179811570805987 , -0.369412429638496 , -0.196812969378224 , 0.261790415988131 , -0.280713074826939 , -0.197818730706112 , 0.33600685803379 , -0.203319903858242 , 0.587756406094609 , -0.18333553701306 , 0.574964064039707 , 0.554114957281389 , 0.208756369840853 , -0.131151350926602 , 0.501082819984729 , 0.125382035310035 , 0.230308150207096 , -0.116825942972203 , -0.591447897174472 | 0.9040616 |
| 99 | 50 | 0.0 | 0.0 | 1.0 | control , control , control , control , control , control , control , control , control , control , control , control , control , control , control , control , control , control , control , control , control , control , control , control , control , control , control , control , control , control , control , control , control , control , control , control , control , control , control , control , control , control , control , control , control , control , control , control , control , control , intervention , intervention , intervention , intervention , intervention , intervention , intervention , intervention , intervention , intervention , intervention , intervention , intervention , intervention , intervention , intervention , intervention , intervention , intervention , intervention , intervention , intervention , intervention , intervention , intervention , intervention , intervention , intervention , intervention , intervention , intervention , intervention , intervention , intervention , intervention , intervention , intervention , intervention , intervention , intervention , intervention , intervention , intervention , intervention , intervention , intervention , intervention , intervention , intervention , intervention , -0.361456040155429 , -0.674981435771212 , 2.09649891041466 , 0.872184324486126 , 0.248468326977446 , 0.67805568701286 , -0.565419076326987 , -0.791226222648318 , -0.22957555494253 , 1.71624608097967 , 1.09682571114977 , -1.6144187993133 , 1.73219772932258 , -0.108134259231297 , -0.876018669533468 , 0.363836329410926 , -1.44393192806316 , -0.591873001145976 , -0.7431395029108 , 0.169785821477573 , 0.345003307190456 , 0.747808997008903 , -0.326928838292952 , 0.513213216705059 , -0.975305440400922 , -1.78133394734162 , -2.49169937420761 , -1.32904210028405 , -0.691807651376471 , 0.461493577112926 , -0.627891620906234 , -1.09744845153737 , 0.369661322689992 , 1.01945087748987 , 0.0422826329050095 , -0.724513840141587 , 0.337331766404323 , -0.0867860065202486, 0.834342871040877 , 0.746836730210547 , 1.39540768139729 , -0.166991200486405 , -1.64205958590798 , -0.203164355066131 , 0.600213607959851 , -0.493344048877485 , -0.762014294265008 , -0.0716069468460107, -0.649612496870241 , 0.851252320161248 , 0.535968480637947 , -2.16958785163233 , -0.21585446827437 , 0.00537939954384774, -1.11530432858996 , -0.0981983189066911, -1.30998815789271 , 0.932191927492852 , -0.238007500156652 , 0.433917064836901 , -0.161481164796449 , 0.307593745094302 , 0.388363986669594 , -0.0404625773306752, -0.460897921982188 , 0.416450686347189 , 0.0825573849255526 , -0.929584522256969 , -0.584162147469194 , 0.0607250501042569 , 0.699813149703311 , -0.415188798841465 , -0.292587023298363 , 0.551966367644616 , 1.93677075439174 , -0.0979457612075088, 1.69802349570548 , 0.394345969946104 , -0.64225011077876 , 1.06017626462078 , -0.0810353334517815, 0.570766821550472 , -0.176078754859746 , 0.388930672024572 , -0.383241704631036 , -1.04522796578948 , 0.666584319706851 , 0.522586243332752 , 2.53354556357864 , -0.309300748275125 , 0.277403167882038 , 1.30275277134094 , -1.62010942094203 , -0.906028149027383 , 0.363462904194834 , 0.955735489232159 , 0.305299832172762 , -0.5719026281097 , 0.576727543659662 , 0.113550999497639 | 0.3224856 |
| 99 | 50 | 0.0 | 0.1 | 0.5 | control , control , control , control , control , control , control , control , control , control , control , control , control , control , control , control , control , control , control , control , control , control , control , control , control , control , control , control , control , control , control , control , control , control , control , control , control , control , control , control , control , control , control , control , control , control , control , control , control , control , intervention , intervention , intervention , intervention , intervention , intervention , intervention , intervention , intervention , intervention , intervention , intervention , intervention , intervention , intervention , intervention , intervention , intervention , intervention , intervention , intervention , intervention , intervention , intervention , intervention , intervention , intervention , intervention , intervention , intervention , intervention , intervention , intervention , intervention , intervention , intervention , intervention , intervention , intervention , intervention , intervention , intervention , intervention , intervention , intervention , intervention , intervention , intervention , intervention , intervention , 0.550223517971643 , 0.438925453848544 , -0.0227921329377363, 0.896051392089154 , 0.512922022160446 , -0.632280547055073 , -0.163144314646328 , 0.27062544388006 , 0.409862983567128 , 0.110041776630076 , 0.362785746694255 , -0.425425379603082 , -0.236438247980013 , 0.44957471725918 , 0.0304622625053177 , 0.65191835723196 , 0.224159827206767 , 0.416929030281156 , -0.0884584185690971, 0.489576464092236 , 0.735266284372446 , 0.0853898791975448 , -0.681245129461963 , 1.04223219304692 , 0.0683791099486205 , 0.327908190572977 , 0.550860691448925 , 0.228488778354643 , 0.292250836720836 , 0.518929335854544 , -0.447304710919261 , 0.695778040997483 , 0.383539880193498 , 0.61419877123971 , -0.163243873031425 , 0.528830592152065 , 0.604694625430581 , -0.45139293622907 , 0.662388197735918 , -0.0317355784182178, 0.229071455662387 , -0.634781829942377 , 0.282045094468177 , -0.594477217730254 , -1.01145062000411 , -0.5270214753657 , 0.265233325127755 , -0.368279832436551 , -0.92836840051836 , 0.186178261697956 , -0.808145840176794 , -0.0275172636097296, 0.353704996050065 , 0.37384415454784 , -0.627186947046174 , -0.375371348373129 , -1.19924617900788 , -0.598107386132538 , 0.287702429193786 , -0.73920803511504 , -0.805355655906073 , -0.134762724483739 , 0.332774999625123 , 0.49408819439283 , 0.217569990395582 , -0.543870255878887 , -0.150398559260648 , 0.766040828057735 , 0.765147873058255 , 0.00391530450900292, 0.855943141288471 , -0.173969467980681 , 0.44296673238354 , -0.482297431692378 , -0.87049324348611 , -0.101915125842537 , -0.428769646500178 , 0.0775784129714687 , -0.249697687134322 , 0.25981958453622 , -0.536204228648071 , 0.574599804316884 , 0.448877491388566 , -0.661977564019712 , 0.664362683431835 , 0.100284110911082 , 0.140170681559931 , 0.233402425037254 , 0.613059677834849 , 0.644619494997464 , -0.584251690591359 , -0.0601644097808902, 1.15307610703702 , -0.192221681363868 , -0.347721897885088 , -0.0981509335397652, -0.348531749178456 , -0.517190787853216 , 0.977540789054671 , 0.314506517676502 | 0.1619303 |
| 99 | 50 | 0.0 | 0.1 | 1.0 | control , control , control , control , control , control , control , control , control , control , control , control , control , control , control , control , control , control , control , control , control , control , control , control , control , control , control , control , control , control , control , control , control , control , control , control , control , control , control , control , control , control , control , control , control , control , control , control , control , control , intervention , intervention , intervention , intervention , intervention , intervention , intervention , intervention , intervention , intervention , intervention , intervention , intervention , intervention , intervention , intervention , intervention , intervention , intervention , intervention , intervention , intervention , intervention , intervention , intervention , intervention , intervention , intervention , intervention , intervention , intervention , intervention , intervention , intervention , intervention , intervention , intervention , intervention , intervention , intervention , intervention , intervention , intervention , intervention , intervention , intervention , intervention , intervention , intervention , intervention , -1.77322669268963 , 0.216145442013 , -0.741835716684234 , 0.733431252636022 , 0.167467335924903 , 1.51480922426765 , 0.823041109301227 , 0.480698213113239 , -1.02574247669766 , 0.869224054885025 , 0.0424503177291002 , -0.673052923891309 , 0.857290725177325 , -1.26239665587708 , -0.350720856201981 , 0.20271795863399 , -1.4368714112058 , 0.9181224208472 , 0.133475591648428 , -1.84627784765043 , -0.0205868263714609 , -0.574579057654606 , -0.869377629510297 , -1.54488569003855 , -0.537582970773165 , 0.396131680400236 , 1.97464156115464 , 0.793646707236163 , -0.00986447512353304 , 0.880752197949888 , 0.79458748366476 , -0.723696002592125 , 1.23829198165563 , 0.254961059307723 , 1.86839064446097 , -0.372458425597428 , -0.978954901991166 , -0.000311903508023251, -0.437465656824647 , -0.45396382794505 , -0.649462754065597 , 0.895605725578494 , -0.208093803631292 , -0.432106331555566 , 1.80584771506891 , 0.464552496282327 , -1.32073263013009 , -0.43314051615065 , 0.0284938494863177 , -0.265377216262164 , -0.992652970112078 , -1.76738219176043 , 0.96347918854084 , 0.72782575552688 , 0.148655800633695 , 0.972626604993745 , -0.502371148605103 , 0.658464619910959 , 0.0529583146683087 , 0.214139473617152 , 0.847181874823527 , 0.0453473636599105 , -0.199165184461243 , -1.14321372452308 , -1.00846636183371 , 0.37815205322271 , -0.561794831469967 , -0.731037955011784 , 0.0949344465134984 , 0.67100661987669 , 0.0575711501324754 , -0.910185924251176 , 0.0223616175603684 , -1.51704770256238 , 2.16018023889902 , 0.783310615211251 , 0.00694570661651844 , -1.42977956667985 , -0.570009410697624 , -0.636231591934092 , 1.05479838673592 , -0.676427599918002 , 0.249668417663158 , 2.06898721662726 , 1.07524537777537 , 0.501364381465259 , 1.32065842171489 , -2.04418084831613 , 0.342728888200591 , 1.26481125311189 , -2.17090657325767 , 0.628985696927897 , 0.59193757322621 , -0.864522931993122 , 1.17706780723083 , -0.112143447226158 , -1.51903994741206 , 0.84772623128409 , -1.55217765605135 , -2.08232936174616 | 0.8047598 |
| 99 | 50 | 0.5 | 0.0 | 0.5 | control , control , control , control , control , control , control , control , control , control , control , control , control , control , control , control , control , control , control , control , control , control , control , control , control , control , control , control , control , control , control , control , control , control , control , control , control , control , control , control , control , control , control , control , control , control , control , control , control , control , intervention , intervention , intervention , intervention , intervention , intervention , intervention , intervention , intervention , intervention , intervention , intervention , intervention , intervention , intervention , intervention , intervention , intervention , intervention , intervention , intervention , intervention , intervention , intervention , intervention , intervention , intervention , intervention , intervention , intervention , intervention , intervention , intervention , intervention , intervention , intervention , intervention , intervention , intervention , intervention , intervention , intervention , intervention , intervention , intervention , intervention , intervention , intervention , intervention , intervention , -0.705676471170569, 0.0570439076983628, -0.729631159748302, 0.0645818496364966, -0.513882638818612, 0.50298758420541 , -0.111198694413065, -0.144574497367601, 0.22050137514147 , -0.337142287173703, 0.144220774090765 , 0.66810878622076 , -0.357466055655235, -0.589617404793605, -0.261408706660195, 0.449394483325349 , 0.271958023185689 , -1.26900986133478 , -0.623739570661433, 0.634250621668048 , 0.223011274364123 , -0.32215883462111 , -0.637303509335198, -0.164554912838687, 0.0429302169808002, 0.649227027327562 , -0.63170159669765 , 0.507920641526691 , 0.829627680156406 , -0.209700374583935, 0.0743857861746581, -0.113481365034569, -0.447544151388843, 0.550802666898145 , -0.266273560324425, -0.16631668610269 , -0.527857099558665, -0.852286652394208, -0.107961153527904, 0.491328930221924 , -0.518737884421397, -0.259031616183361, 0.235170920580859 , 0.211821886459932 , -0.409136366152429, 0.422572706908466 , 0.168412450615028 , -0.810265615782038, 0.337349368654545 , 0.285000502304973 , 0.860894727011581 , 1.00151170792027 , 0.451592373777078 , 0.685710418869677 , 0.139287092738051 , 0.539264060735816 , 1.26348380627402 , 1.32977502821535 , 0.305010855352379 , -0.1847167285547 , 0.11181660783001 , 0.0619174728854865, 0.74779878436579 , 1.04606254683772 , 0.91174433218493 , 0.49257707794673 , 0.742114320003303 , 0.0841519587859237, 1.28148142078873 , 0.705357249049215 , 0.777033715587918 , -0.159220272896141, 0.773545467353022 , -0.324731919434965, 0.310667417117594 , 0.815223144331252 , 0.495956703857308 , 0.485419050085198 , 0.91097617082817 , 0.369731892249696 , 0.430348426901669 , 0.436182046083019 , 0.213267248257353 , 0.294344442796483 , 0.582951221655342 , -0.223829060330583, -0.419866932086534, -0.26233710438342 , -1.03045544291032 , -0.761117833149547, 0.524772582471876 , 1.56681066129343 , 1.07273275781938 , 1.10806572839746 , -0.250917682224549, 0.47102296523666 , -0.517697492057111, 0.308913953395992 , 0.677763144285929 , 0.521521515372979 | 0.0000024 |
| 99 | 50 | 0.5 | 0.0 | 1.0 | control , control , control , control , control , control , control , control , control , control , control , control , control , control , control , control , control , control , control , control , control , control , control , control , control , control , control , control , control , control , control , control , control , control , control , control , control , control , control , control , control , control , control , control , control , control , control , control , control , control , intervention , intervention , intervention , intervention , intervention , intervention , intervention , intervention , intervention , intervention , intervention , intervention , intervention , intervention , intervention , intervention , intervention , intervention , intervention , intervention , intervention , intervention , intervention , intervention , intervention , intervention , intervention , intervention , intervention , intervention , intervention , intervention , intervention , intervention , intervention , intervention , intervention , intervention , intervention , intervention , intervention , intervention , intervention , intervention , intervention , intervention , intervention , intervention , intervention , intervention , -1.87596497302617 , -1.76779152859409 , -2.21450748658993 , 0.434164406743561 , 0.286590249937948 , 0.24328526257735 , 0.205909186426141 , 0.663346650781095 , 0.572429392716938 , 0.111340293307008 , -0.249354453039932 , -1.47261511119732 , 0.164286901034275 , -0.359680163743279 , 1.62041009270985 , 0.0646576181085212 , 0.547598615793753 , -0.72845284900205 , -0.39634749853938 , -0.116778415971461 , 0.871543349805479 , 0.328908028375855 , 0.0290280900861477 , 0.55452094092936 , 0.186907014781073 , -0.570387687362205 , 0.361588338212156 , -0.822532634741261 , 0.317646464738549 , -2.07725833740926 , -0.417035408553902 , 0.227083030436701 , 0.538030169483519 , 0.329224166549015 , -0.154840322545366 , 2.11060177470921 , -0.385460373140796 , -0.233546148085943 , 0.626892593185134 , -1.035624202529 , 0.833115645619396 , -0.506744648524827 , -0.580134973248037 , -0.0928021422114479, 1.1221040408275 , 0.841410214614686 , -0.441272232394075 , 1.41900206220259 , 0.419757122204044 , 0.205133690221858 , -0.104058372982006 , -0.24137571703633 , 1.1956266462276 , 0.390908253197945 , 0.344218578520955 , 1.37213518386204 , 0.614719083505534 , 0.562685731161156 , 1.58574154011045 , 0.828841503541315 , -0.948183103491148 , -0.323237091855273 , -1.50567094646659 , 0.989993578412063 , 0.656052820327338 , 0.400956594425743 , 1.25034623569229 , 0.354479420096116 , 0.825400514445813 , 2.09146609713967 , 0.117972856953204 , 1.82319038183567 , 0.286380548776797 , 1.37523538599474 , 0.975431173327977 , -1.00986119890261 , 2.53023899445939 , 1.7803947120103 , 1.71326142575903 , 1.48886400038353 , 0.765827089964096 , -0.11342867546244 , 1.92453753271419 , 0.0895795726830944 , 0.0227129849093503 , 1.55357565356384 , -0.0836883168044051, 1.2050185495373 , 1.42747623903049 , 0.149238078623195 , -0.306316655549844 , 1.58023867243964 , 2.15332037911228 , -0.19633924045943 , 0.846028075866334 , 2.6694343056814 , 1.59445385154869 , 0.27944233811579 , 1.6160032653678 , 1.40282379563661 | 0.0000213 |
| 99 | 50 | 0.5 | 0.1 | 0.5 | control , control , control , control , control , control , control , control , control , control , control , control , control , control , control , control , control , control , control , control , control , control , control , control , control , control , control , control , control , control , control , control , control , control , control , control , control , control , control , control , control , control , control , control , control , control , control , control , control , control , intervention , intervention , intervention , intervention , intervention , intervention , intervention , intervention , intervention , intervention , intervention , intervention , intervention , intervention , intervention , intervention , intervention , intervention , intervention , intervention , intervention , intervention , intervention , intervention , intervention , intervention , intervention , intervention , intervention , intervention , intervention , intervention , intervention , intervention , intervention , intervention , intervention , intervention , intervention , intervention , intervention , intervention , intervention , intervention , intervention , intervention , intervention , intervention , intervention , intervention , 0.334925445783916 , 0.0233992122987604 , 0.120869284096414 , 1.17562079935799 , 0.0628823197534117 , 1.0858875690915 , -0.0124384424349442 , 0.483947455290433 , -0.903805862482738 , -0.0504968004244659 , -0.0620969202424461 , 0.414888623575687 , 0.753507578446527 , -0.0461217740959409 , 0.807495022502655 , 0.422624823863925 , 0.0213930851474301 , 0.0895604764713903 , 0.356265981185164 , -0.386630841021406 , -0.311461282113876 , -0.519778252818503 , 0.803602508059382 , -0.548729987236944 , 1.01595835062453 , -0.263415496091191 , 0.289597151521606 , 0.533408038260475 , -0.448084517309839 , -0.166042509035108 , 1.64227714377758 , -0.523905988411561 , 0.700276825938323 , 0.901284812374889 , 0.549852317394607 , -0.157797121078573 , 0.601309544151336 , 0.11636318798062 , -0.0711971792273697 , 0.0627271091686227 , -0.429318428907467 , 0.893210896106897 , -0.351007228687495 , -0.456437327487378 , 0.719856102153549 , 0.34819391176663 , -0.155687756341136 , 0.0111227573045692 , -1.14575883029337 , 0.35862208887045 , 1.66211363181777 , 0.727115808066955 , 1.13983871032778 , 0.34168508819683 , -0.00442561878684589, 0.180842841823963 , 0.877770305865294 , 0.313208439306934 , 0.742237221870348 , 0.314683565968909 , 0.574589961077723 , 0.537810961569681 , 0.288552678024567 , 0.703461262985249 , 0.201331009401466 , -0.161918056675524 , -0.683354516564319 , 0.218623821446538 , 0.817553768804899 , 0.77565291397871 , 0.494224853073933 , 0.763752288103485 , -0.318272272554736 , 0.980781438357291 , 0.640434280515484 , -0.19875340723782 , 0.565198761887819 , -0.0444482073381441 , 0.0787976038427602 , -0.353506255093413 , 0.12508704924669 , 0.633432877587231 , 0.779366295920294 , 0.709216994814243 , 0.597343972592886 , 0.421061337702322 , 0.304831815407423 , -0.015755842396354 , 0.39124426854139 , 0.59682302710527 , 0.645159504295783 , 1.67645108749166 , 0.567321973686391 , 1.06741256646033 , 0.556696068698059 , 0.34314811311016 , 0.171194364331308 , -0.410253654643029 , 0.0242059643341377 , -0.139644691052939 | 0.0180676 |
| 99 | 50 | 0.5 | 0.1 | 1.0 | control , control , control , control , control , control , control , control , control , control , control , control , control , control , control , control , control , control , control , control , control , control , control , control , control , control , control , control , control , control , control , control , control , control , control , control , control , control , control , control , control , control , control , control , control , control , control , control , control , control , intervention , intervention , intervention , intervention , intervention , intervention , intervention , intervention , intervention , intervention , intervention , intervention , intervention , intervention , intervention , intervention , intervention , intervention , intervention , intervention , intervention , intervention , intervention , intervention , intervention , intervention , intervention , intervention , intervention , intervention , intervention , intervention , intervention , intervention , intervention , intervention , intervention , intervention , intervention , intervention , intervention , intervention , intervention , intervention , intervention , intervention , intervention , intervention , intervention , intervention , -1.49815042660224 , -0.993332194003142 , 1.42021596875102 , 1.08435906025875 , -0.104145317479735 , 2.39191816902347 , -1.57379914648079 , -0.350283590045549 , -0.6696182817755 , 1.42655845781151 , -0.935775916658143 , 0.259371118719601 , 3.51269493359898 , -1.50533214986808 , 0.195183946485155 , -1.44669079372329 , 0.21473093524567 , -0.987250883902578 , 3.1147193768549 , -1.29696691817792 , 0.517927526342706 , 0.558662812985453 , 1.0802169003704 , -0.276905177357624 , -0.0110933679644288 , -0.585116985054887 , -0.6155581962903 , -0.293235590243936 , 0.0373799631235958 , -0.00279551299352597, 0.470311539151061 , 0.76128794559399 , -0.410454557672988 , -0.798356316798222 , 1.22905140584184 , -0.705328318329216 , -1.00045333026598 , -1.23380744239882 , -0.760302925336809 , 1.48852230462116 , 0.101089446155932 , 1.07709904701223 , -0.261231307840339 , 0.201004555790523 , 0.303705328740788 , -1.24783829157695 , -0.551340815282074 , 1.40168835098796 , 0.0315140175615302 , 0.230489056858907 , 1.97130803670225 , -0.12258547578302 , 0.211337264339737 , -0.979838325724473 , -0.351402805831262 , 2.65002959204635 , -0.2353713282406 , 0.244556609146689 , 1.56155617209792 , 0.79707209375065 , 3.21362043596644 , 1.9591642707915 , 0.146790215555092 , 1.73924997607423 , 0.234591592564102 , 0.585327003257791 , -0.59665054711608 , -0.243363591047861 , -0.159574309885288 , 0.902172915732697 , 0.243334226755743 , 0.820166879687577 , 0.325538012071746 , 0.387449770406569 , 1.7107996474162 , 2.50176449749479 , 1.20910440798431 , 0.851301648106355 , -0.116752029340091 , 0.340410552442038 , 4.06672571484627 , 1.33923390576979 , 1.42205774936164 , 0.416403585775163 , 0.388714844039468 , 1.01465572490747 , 0.403762139819916 , 0.0296374326941878 , 0.510849037444343 , -0.111931186941394 , 0.565511759300068 , 1.0280546869131 , 0.528179085911802 , 1.51397271988413 , 0.496720439049483 , -0.520895570196095 , 1.17123236999949 , 0.441157447321501 , 0.989622272713167 , 0.97814193058264 | 0.0012146 |
| 100 | 20 | 0.0 | 0.0 | 0.5 | control , control , control , control , control , control , control , control , control , control , control , control , control , control , control , control , control , control , control , control , intervention , intervention , intervention , intervention , intervention , intervention , intervention , intervention , intervention , intervention , intervention , intervention , intervention , intervention , intervention , intervention , intervention , intervention , intervention , intervention , -0.658190749643905 , -0.162334507977227 , 0.169927279229694 , -0.658489014051651 , -0.281752995422776 , -1.06973773068375 , -0.179457516234655 , -0.172542637563814 , 0.376176610340847 , 0.061895169554629 , -0.762518857410795 , 0.759824018607741 , -0.151846035589799 , -1.00351320761945 , 0.149428274175959 , 0.311809299516638 , 0.593883034552402 , -1.07915208148964 , 0.258022613911261 , 0.279765520284426 , -0.679852351019873 , -0.663667224341923 , -0.227558971424301 , -0.147708402916274 , 0.439249519540594 , -0.163397416286974 , 0.575497014571945 , 0.395874870471998 , 0.0729441062116285 , 0.61243275798561 , -0.110409750151221 , 0.0906388541430835 , -0.578320163859616 , -0.0928379061068419, -0.310521806716244 , -0.140917372764784 , -0.429397201969024 , -0.110389981880384 , 0.264525295352487 , -0.127817344121409 | 0.5329269 |
| 100 | 20 | 0.0 | 0.0 | 1.0 | control , control , control , control , control , control , control , control , control , control , control , control , control , control , control , control , control , control , control , control , intervention , intervention , intervention , intervention , intervention , intervention , intervention , intervention , intervention , intervention , intervention , intervention , intervention , intervention , intervention , intervention , intervention , intervention , intervention , intervention , -0.752081490069315 , -1.50005593012229 , 0.821871016818009 , -0.400905409716416 , -0.260449924242577 , 0.279606853670849 , -0.407216064173642 , 0.453452210753725 , -0.45728593224041 , 0.274716363112376 , 0.729073040791037 , 0.419897868669741 , -0.772173558652201 , 0.581431929269993 , 1.33295324441826 , -0.466613868940271 , -1.22751703643118 , 0.41927022756193 , -0.503361742716819 , 2.09756714968827 , 1.24727948579046 , -0.709723058979015 , -0.110950095408591 , -0.410013840674509 , 0.285633152259225 , 0.103344610987499 , -0.752871449265524 , -0.260031717030601 , 3.00540047417051 , -0.750052480479291 , -0.557114085130608 , 0.00714016355364936, 1.18342498534101 , 0.736457349601149 , -0.632226526379182 , 0.25803777636497 , -0.633199246017217 , 0.47261723120771 , -0.689509567582273 , -0.0757397042123144 | 0.8535242 |
| 100 | 20 | 0.0 | 0.1 | 0.5 | control , control , control , control , control , control , control , control , control , control , control , control , control , control , control , control , control , control , control , control , intervention , intervention , intervention , intervention , intervention , intervention , intervention , intervention , intervention , intervention , intervention , intervention , intervention , intervention , intervention , intervention , intervention , intervention , intervention , intervention , -0.351778376277567 , 0.261145238855577 , -0.103902372339121 , -0.600472133252311 , 0.619710109152701 , -0.0382312482141949, -0.66921887237499 , -0.117077229530727 , 1.14220686271976 , -1.32677990524515 , 0.0244268892330154 , -0.107343096008957 , 0.193786974474348 , 0.0975750151419339 , 0.0694500372116958 , 0.0286023643841627 , 0.36742492837322 , -0.0641007263144281, -0.195247535100799 , 0.172965908436664 , 0.568650552600716 , 0.135791811566033 , 1.16921938083716 , 0.65637811081018 , -0.226761759625919 , 0.623429963336221 , -0.0691485803859231, 0.271188795772641 , 0.197597349585365 , -0.34164947393231 , 0.52114314136756 , -0.642696949721943 , -0.0078123463815227, -0.431719926687365 , -0.206897847144842 , 0.0462111047819238 , 0.10676381461707 , 0.517835217619829 , 0.0639112080010229 , 0.641735911044081 | 0.1696233 |
| 100 | 20 | 0.0 | 0.1 | 1.0 | control , control , control , control , control , control , control , control , control , control , control , control , control , control , control , control , control , control , control , control , intervention , intervention , intervention , intervention , intervention , intervention , intervention , intervention , intervention , intervention , intervention , intervention , intervention , intervention , intervention , intervention , intervention , intervention , intervention , intervention , 0.11519844963878 , 0.405687259590567 , 0.653783633688646 , 2.41141611257102 , 1.05248608051479 , -0.474007948629217, -1.31217929629696 , 0.76010796844836 , 0.76649915687781 , 0.0638897835889601, 1.16311326881101 , 0.227351311690035 , -1.1049663558183 , -0.959420409686797, 1.83223760372318 , -0.606704447907004, -1.01950417275677 , 1.56733704675519 , 1.42121554520248 , -0.32019310460016 , -0.280654262426109, -1.0944857776652 , 0.338277459204961 , -1.65903933411244 , -0.423362919681467, 1.40972788847797 , -0.31571370979227 , -0.664705934692934, 1.09754738164738 , 1.77325557416696 , -1.06063446468135 , 0.266341465771862 , -0.153814646565207, -0.304494838494416, 1.73265522582127 , 1.48701439943839 , 0.419480415121916 , -1.28163389906201 , 1.4357635658698 , -1.35601025939859 | 0.4462905 |
| 100 | 20 | 0.5 | 0.0 | 0.5 | control , control , control , control , control , control , control , control , control , control , control , control , control , control , control , control , control , control , control , control , intervention , intervention , intervention , intervention , intervention , intervention , intervention , intervention , intervention , intervention , intervention , intervention , intervention , intervention , intervention , intervention , intervention , intervention , intervention , intervention , -0.291834935437978 , 0.78819061858984 , 0.35093769673997 , 0.609999396676486 , 0.423416753759358 , -0.84653427547995 , -0.405309953916637 , -0.0968331255724935, 0.156616586343037 , 0.294648328581567 , -0.570744738260754 , 0.217441118666949 , 0.0113879650414538 , 0.214004827855466 , 0.330177809962902 , -0.271385692545013 , 0.123185910189605 , 0.254717968489185 , -0.323521999113335 , 0.357036046706263 , 1.41063450414564 , 0.886646402799621 , 1.18751074248078 , 0.104194606724597 , 0.624582001842126 , 0.929329883449516 , 0.372883691259516 , 0.736798215431801 , 0.976472100991101 , 0.385944458704034 , -0.262595569452506 , 0.076012202162096 , 0.458708804092595 , 0.363278672876053 , -0.756209902948756 , 0.677979237898334 , 1.13161297444787 , 0.866585320388084 , 1.23253280202764 , 0.54743124027537 | 0.0011042 |
| 100 | 20 | 0.5 | 0.0 | 1.0 | control , control , control , control , control , control , control , control , control , control , control , control , control , control , control , control , control , control , control , control , intervention , intervention , intervention , intervention , intervention , intervention , intervention , intervention , intervention , intervention , intervention , intervention , intervention , intervention , intervention , intervention , intervention , intervention , intervention , intervention , 0.231204158624355 , 2.04370682877249 , 0.213404810658715 , -0.665133998909404 , 0.967457567116635 , -0.672942487256509 , 0.133341201886187 , 1.02008063440911 , -1.55478965221913 , -1.92817041581903 , -0.971260920760648 , 0.271794529439598 , 2.00224700244932 , 1.11942494337739 , 1.05805147913661 , 1.4097589495205 , -0.0602760108721233, 0.673035888710612 , -0.132801638403039 , -0.30661094293145 , -0.0283362264274446, 0.404257282957148 , 1.39059494361046 , 1.96895129975517 , 0.0645702962053294 , 0.797380948773326 , -0.802831548028308 , 1.98118878467863 , -0.348564359336347 , 1.48724786825243 , 0.0511312730668741 , 1.51300764015359 , 1.92667979393861 , -0.455088351970362 , 1.8366866957374 , 0.343628989577414 , 1.15412478446738 , -0.92719989351352 , 0.472137869152236 , 0.376246201149436 | 0.2008773 |
| 100 | 20 | 0.5 | 0.1 | 0.5 | control , control , control , control , control , control , control , control , control , control , control , control , control , control , control , control , control , control , control , control , intervention , intervention , intervention , intervention , intervention , intervention , intervention , intervention , intervention , intervention , intervention , intervention , intervention , intervention , intervention , intervention , intervention , intervention , intervention , intervention , 0.178208101403453 , -0.386320870366699 , -0.0875573659488295, -0.105237643495783 , 0.763625153757513 , 0.394819324854316 , 0.0232368412062361 , -0.0601888635709381, 0.39078890083036 , 0.267438600503928 , 0.371050254165865 , -0.190839114992522 , 0.22486571951844 , 0.269037023857205 , 0.226652583491292 , -0.747628367140622 , -0.170349660067091 , 0.966481165619748 , 0.292846265602545 , 0.116797054285727 , 1.03591995482359 , 1.06369681873716 , 1.40689712820094 , 0.665393647176737 , 0.0466326463324215 , -0.629616437292819 , 0.282603319206411 , 0.37694929060608 , 0.185940059724548 , 0.355838170863859 , 1.07849446429369 , 0.2467806022721 , 0.0946989461846463 , 1.16021025479635 , 0.600236736140011 , 0.712701729402163 , -0.465010083126451 , 0.825773442334444 , 0.0853312683264414 , -0.137683380331747 | 0.0432831 |
| 100 | 20 | 0.5 | 0.1 | 1.0 | control , control , control , control , control , control , control , control , control , control , control , control , control , control , control , control , control , control , control , control , intervention , intervention , intervention , intervention , intervention , intervention , intervention , intervention , intervention , intervention , intervention , intervention , intervention , intervention , intervention , intervention , intervention , intervention , intervention , intervention , -0.4431603876865 , 0.02921286475759 , -0.761376492852495, -0.363020192531733, 0.470068446886703 , -0.411525868820591, -1.85512802512228 , 0.733918231689027 , 1.25755532643051 , 1.51402657691879 , -1.33144967561181 , 0.845831383513686 , 2.03342358920929 , -0.266983826358825, 1.14953695647893 , -1.18700217676476 , -0.33354985236498 , -1.42248664073268 , -1.02818955361507 , 0.212378808265417 , 0.0882428528162508, 0.778319691687296 , 1.56021046133472 , 1.24334869392009 , 1.26171544427597 , 0.39024927796186 , -1.15514966678708 , 1.09968317138154 , 0.421025656005324 , 0.180462100677615 , -0.196463974155686, -0.590937509426118, 0.42779808591588 , -2.15488039517162 , 0.853552168433018 , -0.147918829622859, 0.812643877365595 , -0.195385427127608, 1.35845670314135 , -1.71743729095696 | 0.4118446 |
| 100 | 50 | 0.0 | 0.0 | 0.5 | control , control , control , control , control , control , control , control , control , control , control , control , control , control , control , control , control , control , control , control , control , control , control , control , control , control , control , control , control , control , control , control , control , control , control , control , control , control , control , control , control , control , control , control , control , control , control , control , control , control , intervention , intervention , intervention , intervention , intervention , intervention , intervention , intervention , intervention , intervention , intervention , intervention , intervention , intervention , intervention , intervention , intervention , intervention , intervention , intervention , intervention , intervention , intervention , intervention , intervention , intervention , intervention , intervention , intervention , intervention , intervention , intervention , intervention , intervention , intervention , intervention , intervention , intervention , intervention , intervention , intervention , intervention , intervention , intervention , intervention , intervention , intervention , intervention , intervention , intervention , -0.740683478381328 , 0.0629541881849318 , 0.804542534700581 , 0.295114372579917 , -0.192845029971548 , 0.12460602237935 , 0.513721567309466 , -0.0652982515384409 , -0.253774375424347 , -0.520757937722382 , -0.387319101026047 , -0.576586751409284 , 0.304874744498306 , -0.216670024584524 , -0.501986712943209 , -0.128344363021447 , 0.820214269828548 , 0.0589080700101754 , 0.119425655201214 , 0.849081938196953 , -0.1366007664272 , -0.0050730531532809 , 0.398676052447898 , -0.61915482660849 , -0.980234157781943 , 0.110167090941447 , -0.66164479074285 , -0.354403271949387 , 0.467038628508777 , -0.658456593889703 , -0.626229827465423 , -0.930970558822266 , -0.156679856169703 , -0.41813612545839 , 0.31355273458223 , -0.70137813529419 , -0.0266595188912808 , -0.0538235457978247 , -0.00971925161110752, 0.647912750468992 , -0.691527571426632 , 0.323528704266154 , 0.038729923802707 , 0.773922694805352 , -0.652634489833061 , -0.765403570623235 , 0.234550972322439 , 0.449915181546364 , -0.221734257245396 , 1.24409002003838 , 0.0343650812264021 , -0.824791289939551 , 0.26955224914499 , -0.356226513546281 , 0.347769815221157 , -0.545608319303039 , 0.288256990487847 , 0.452987684072248 , -0.468202781388428 , 1.13337709309959 , -0.178123246761925 , 0.23085524376224 , -0.534834414965994 , -0.011103217779854 , 0.678536110850224 , 0.749816410963952 , -0.711357723283592 , -0.0739460341905409 , -0.604128307742987 , 0.0473059977382882 , -0.325991562405308 , -0.207712024050601 , -0.712440085413912 , 0.437272548989537 , -0.0438076748261075 , -0.043554424245277 , -0.0358729220183051 , 0.612342729780686 , 0.143572153110861 , -0.127166872331748 , 0.357879007435709 , 0.0479926270765196 , -0.217922706820694 , 0.757947685271364 , -0.107857710860549 , -0.353964122337771 , -0.441441225645793 , 0.198254374277578 , 0.143141783507626 , 0.363378787437497 , -0.188529117269022 , 0.251711787856868 , -0.109048144048648 , -0.609374115195893 , 0.0857387320094005 , -0.451663341869429 , -0.456792393363926 , -0.122518221551828 , 0.481593137466072 , 0.326940529718858 | 0.5493824 |
| 100 | 50 | 0.0 | 0.0 | 1.0 | control , control , control , control , control , control , control , control , control , control , control , control , control , control , control , control , control , control , control , control , control , control , control , control , control , control , control , control , control , control , control , control , control , control , control , control , control , control , control , control , control , control , control , control , control , control , control , control , control , control , intervention , intervention , intervention , intervention , intervention , intervention , intervention , intervention , intervention , intervention , intervention , intervention , intervention , intervention , intervention , intervention , intervention , intervention , intervention , intervention , intervention , intervention , intervention , intervention , intervention , intervention , intervention , intervention , intervention , intervention , intervention , intervention , intervention , intervention , intervention , intervention , intervention , intervention , intervention , intervention , intervention , intervention , intervention , intervention , intervention , intervention , intervention , intervention , intervention , intervention , -0.653223769388584 , -0.103697740598511 , 1.73136288136529 , -0.197295576977711 , -3.31551514688385 , -0.976628774235343 , -1.07063272666002 , -0.15400296420694 , -0.373233909044758 , -0.224426372578683 , 0.0567679294476801 , 1.21122657507314 , 0.293235930446052 , -1.18463126497398 , 0.0621731098243812 , 0.0682345980385626 , 0.601090978286424 , -1.59767771274139 , 0.231191520705622 , -0.124198771216489 , 1.00491182029385 , 0.46355415428079 , -0.482330983342829 , -3.29793220063812 , 0.061129957992482 , 1.11298850386187 , -0.900064736965653 , -0.751290591493274 , -1.67270943284209 , 1.10084176530352 , 0.469424039616628 , 0.265198934573543 , -0.224530669372877 , -1.08400029048697 , -0.496466390254303 , 0.748944994372084 , 0.542541342431067 , 1.57109941941343 , -0.971148521711207 , -0.112710477157952 , 0.0663666356700499 , -0.340007121887115 , 0.928665513945666 , 1.00960247792903 , -0.129316858094538 , -1.32901582528243 , -0.357185660265424 , -0.376498293586494 , -0.127009426207419 , -1.72816584020334 , -0.546607553627852 , -0.500589930171028 , 1.14964386248506 , -1.00741631608205 , -0.371840288743862 , -2.095562157463 , -1.37839661166376 , -0.946054918246371 , 1.70163549281323 , -0.193959989270562 , -0.455624275718836 , 0.459270551443606 , -0.917506739006407 , -1.73980802742419 , -0.622062038701453 , 0.40611915330163 , -0.170736116743776 , 0.853743409920703 , -0.402557200114203 , -2.59804808935404 , 2.06933788611876 , 0.39317492228138 , 1.1884237102599 , -0.539193142252685 , 0.423255014396969 , 0.599720765877432 , -0.936563017021223 , 0.142952557769036 , 0.897549573999776 , 0.076886593268679 , 0.882044012250821 , -0.0183734897756292 , 1.91539168178681 , -0.797842208856066 , 1.54007819140395 , -0.394323984799654 , 0.453941587750014 , 0.940622631620026 , 0.0392135433854741 , -0.57365681415596 , -0.00407377792239997, 0.787671384456731 , 0.0538805750967629 , 0.634165604103207 , 0.062807983150518 , 0.304475736215303 , 1.16541124414353 , 0.0956945686000322 , 0.356069072408519 , -1.31073143519735 | 0.2442019 |
| 100 | 50 | 0.0 | 0.1 | 0.5 | control , control , control , control , control , control , control , control , control , control , control , control , control , control , control , control , control , control , control , control , control , control , control , control , control , control , control , control , control , control , control , control , control , control , control , control , control , control , control , control , control , control , control , control , control , control , control , control , control , control , intervention , intervention , intervention , intervention , intervention , intervention , intervention , intervention , intervention , intervention , intervention , intervention , intervention , intervention , intervention , intervention , intervention , intervention , intervention , intervention , intervention , intervention , intervention , intervention , intervention , intervention , intervention , intervention , intervention , intervention , intervention , intervention , intervention , intervention , intervention , intervention , intervention , intervention , intervention , intervention , intervention , intervention , intervention , intervention , intervention , intervention , intervention , intervention , intervention , intervention , 0.115306831941428 , -1.2272722697116 , 0.124046773954267 , -0.139599707880526 , 0.50495069736986 , -0.635654205321876 , 0.961552615859866 , 0.305005272351237 , 0.110433573940733 , -0.207187401777372 , -0.229735670110684 , -0.653451292990555 , 0.547495878609165 , 0.131234084130901 , 0.00963730193966132 , 0.709859239256684 , -0.180196610551751 , -0.179634247824326 , 0.0514578392635108 , 0.567669084508813 , -0.533151029422234 , 0.185635295514604 , -0.46405741390627 , 0.553919341559807 , 0.79986169865814 , 0.222940019667635 , 0.64271593416823 , -0.884647165455996 , -0.0982083568710514 , -0.00259972555161193, -0.936500461840216 , -0.150440155754729 , 0.217103875086685 , 0.430820763280635 , 0.548560666739979 , 1.17187034393536 , 0.542571445773231 , 0.419097389732879 , -0.19937215343114 , 0.110312685115658 , -0.126203927773951 , 0.00730168318919693 , 0.427107121795137 , 0.833852703923286 , -0.539919009841519 , 0.689231330112245 , 0.316353361619108 , -0.119897823034314 , -0.285277227395902 , -0.0116978892841219 , -0.287818144115099 , -0.487606949078437 , -0.206518900436414 , 0.122392833009417 , 0.326340393201213 , -0.432335607061783 , 0.0756150350949775 , -0.192828544111529 , 0.240184565071406 , -0.456944481935903 , -0.775426446479133 , 0.275506754335712 , 0.222802280566858 , 0.252304443464629 , 0.150621538021335 , 0.270036183772645 , 0.343809157108047 , -0.698362523787283 , 0.59609617427492 , -0.620954455765144 , -0.110894763652535 , -0.199050396781754 , 0.120478512499582 , -1.03245347204402 , -0.320230451053341 , 0.210670776643178 , -0.302869067818238 , -0.112876066453939 , 0.326401586782441 , -0.316007760473549 , -0.142311531157145 , 0.633067203341315 , 0.127214545962577 , -0.671424368205204 , -0.912089532257172 , 1.57524854462498 , 0.547239891084148 , 0.748299394486941 , -0.463978156875537 , 0.305461366347285 , 0.0980144481878034 , -0.471351248417779 , -0.114193420551972 , -0.926372215324901 , 0.0446045385549476 , 0.618509078964938 , -0.150560970355842 , 0.197314591881801 , -0.118856509464564 , 1.04035091609291 | 0.2808976 |
| 100 | 50 | 0.0 | 0.1 | 1.0 | control , control , control , control , control , control , control , control , control , control , control , control , control , control , control , control , control , control , control , control , control , control , control , control , control , control , control , control , control , control , control , control , control , control , control , control , control , control , control , control , control , control , control , control , control , control , control , control , control , control , intervention , intervention , intervention , intervention , intervention , intervention , intervention , intervention , intervention , intervention , intervention , intervention , intervention , intervention , intervention , intervention , intervention , intervention , intervention , intervention , intervention , intervention , intervention , intervention , intervention , intervention , intervention , intervention , intervention , intervention , intervention , intervention , intervention , intervention , intervention , intervention , intervention , intervention , intervention , intervention , intervention , intervention , intervention , intervention , intervention , intervention , intervention , intervention , intervention , intervention , -0.747641200033949 , 0.424407210047147 , -0.543677937037968 , -0.477024018264877 , 0.916665061463585 , 0.871714484015775 , -1.0600629379234 , -0.682733231285271 , 1.20256146360106 , -1.03678374233838 , -1.30482028957482 , -0.768225980769552 , 0.634135316578297 , 1.80765817964109 , 0.566567042860887 , 0.890464714404268 , 2.2153584155692 , 0.644196092116554 , -0.126504850553636 , -0.320238133743958 , -0.0402762529976702, 1.31631513465185 , -1.0749196527201 , 0.928278991728427 , 0.748896939914742 , 1.23810299553749 , 0.913033810256521 , -0.842840451337058 , -0.0824446963323184, 0.107801389983772 , 1.053412383811 , 1.03299348204629 , 0.251381275068105 , 0.667092854490623 , -0.0892548806180106, 0.278980081731029 , -1.8943045030163 , -1.14903659924408 , 0.531270549505165 , 0.418980067946508 , 0.910690627550009 , 3.32095587529661 , 0.507028041670489 , 0.277503664670804 , 0.625300914430309 , -0.308863779502117 , 0.27943555260411 , -0.737207108151177 , 1.19853205777104 , 0.911844449452142 , 0.859512924383359 , -0.916547771676004 , 0.427357828034583 , 0.448730549773236 , 1.18983985726226 , 1.21681898179834 , 0.638710974418706 , 0.716231073655743 , 0.56460912557435 , -0.145192597136083 , -1.13173321104477 , -0.519270758571139 , 0.0810488121099533 , 0.0870625885613307 , 0.514629824606529 , -1.52221267408542 , 1.45126721554759 , -2.24672495931113 , -0.155044211040448 , -1.72196208771753 , -1.11267555668634 , -0.559336634178376 , -0.0782819045288282, -1.00745647004056 , 0.373265641795655 , -0.401386546985539 , -0.747407950254112 , 0.556752355897853 , 0.778893681778865 , 0.514227724444179 , 0.65135630394966 , -1.26284288890727 , 0.33210087568696 , 1.34804475033493 , -0.0049516241790633, 1.68657594468758 , 1.11319323439006 , -0.413613813171136 , -0.752491950604457 , -0.957436232604806 , -0.0175180901095832, -0.886939042512656 , 0.471672638363245 , 2.20408055580125 , 1.34882638589769 , 0.511862543975551 , 0.322982019442121 , -0.114663487594137 , 0.0411702223257698 , -0.507353255174061 | 0.2460967 |
| 100 | 50 | 0.5 | 0.0 | 0.5 | control , control , control , control , control , control , control , control , control , control , control , control , control , control , control , control , control , control , control , control , control , control , control , control , control , control , control , control , control , control , control , control , control , control , control , control , control , control , control , control , control , control , control , control , control , control , control , control , control , control , intervention , intervention , intervention , intervention , intervention , intervention , intervention , intervention , intervention , intervention , intervention , intervention , intervention , intervention , intervention , intervention , intervention , intervention , intervention , intervention , intervention , intervention , intervention , intervention , intervention , intervention , intervention , intervention , intervention , intervention , intervention , intervention , intervention , intervention , intervention , intervention , intervention , intervention , intervention , intervention , intervention , intervention , intervention , intervention , intervention , intervention , intervention , intervention , intervention , intervention , 0.656215593946932 , -0.610115316301087 , -0.201375233468668 , -0.687844444154655 , -1.1430012557956 , 1.10274241123803 , 0.875308677620456 , -0.00648793905011236, 0.232081767835251 , -0.277665254844829 , 0.25188783464465 , 0.973349420356596 , 0.95035449110192 , 0.152733081093977 , 0.388480236499159 , -0.645947000615111 , -0.672444909939082 , 0.670730991767801 , 0.0351122994823555 , -0.249572226672289 , -0.115321033705023 , -0.409912670945247 , -0.339251250795853 , 1.22931400334611 , 0.816017740313198 , -0.202299624292266 , 0.195503582412238 , -0.575759970924506 , 0.444483442644808 , 0.577827753042891 , 0.508979998978836 , 0.401005905325172 , -0.274580544113537 , 0.88113728843168 , 0.824394030918344 , -0.369564701968017 , -0.421050863950335 , -0.217708910788253 , 0.0388661966813755 , -0.00719310229553702, -0.578275756785158 , 0.248706677705843 , 1.09496278207512 , -0.31593303669175 , -0.192404076503253 , -0.197984360643865 , -0.073259395420817 , 0.834315725687122 , 0.016832742812396 , -0.215239983522807 , 0.290329249422614 , 0.60308483793132 , 0.284541922565083 , 0.477644386890343 , 0.150205150447584 , 0.414381721492833 , 0.954124813640884 , 0.429124718041683 , 0.185053249676495 , 0.613773331140744 , 0.423973462202578 , 1.77861186133514 , 0.273186346725207 , 0.57881021888825 , 1.01384369828417 , 0.807921365018154 , 0.500238832149047 , -0.0880024672856851 , 0.16062256123814 , 0.547845502172844 , 0.778864067066107 , 1.21290579317478 , 0.807808143088876 , 0.619532423957756 , -0.084056466255565 , 0.734720444656479 , 0.654224696928542 , 0.717023516891797 , 0.278514373606865 , 0.365291116104786 , 0.201134082316646 , 1.31275587032867 , 0.381379157656178 , 1.0679391703616 , 0.687559377297445 , -0.166860197062128 , 1.15999619957702 , 0.996940124011709 , 0.324196152722103 , -0.118139173421098 , 0.866172695371656 , 0.376673826685903 , 0.309816901121538 , 0.197985101445436 , 1.57325658461479 , 0.426838926076581 , 0.890481881820994 , 0.811794159357106 , -0.685097782657727 , 0.458742513416659 | 0.0000377 |
| 100 | 50 | 0.5 | 0.0 | 1.0 | control , control , control , control , control , control , control , control , control , control , control , control , control , control , control , control , control , control , control , control , control , control , control , control , control , control , control , control , control , control , control , control , control , control , control , control , control , control , control , control , control , control , control , control , control , control , control , control , control , control , intervention , intervention , intervention , intervention , intervention , intervention , intervention , intervention , intervention , intervention , intervention , intervention , intervention , intervention , intervention , intervention , intervention , intervention , intervention , intervention , intervention , intervention , intervention , intervention , intervention , intervention , intervention , intervention , intervention , intervention , intervention , intervention , intervention , intervention , intervention , intervention , intervention , intervention , intervention , intervention , intervention , intervention , intervention , intervention , intervention , intervention , intervention , intervention , intervention , intervention , -0.555510602535169 , -1.33105094949193 , 1.82178856651133 , 0.643148805639437 , -1.06862223742981 , 0.792659118824521 , 0.543823215422631 , 0.346534616320223 , -0.680131415091187 , 1.75268181434855 , -0.531611526123865 , -0.211193096851325 , -0.647402604647754 , 0.158078038856274 , 0.697533146019003 , 1.17590123135011 , 0.840698242257794 , -2.00283834748713 , 0.608067579989434 , 0.420749741019181 , -1.8980530738924 , -1.52361173709927 , -0.041987990893523 , -0.85521049620656 , 0.959481233889852 , -0.737079127444964 , -0.599521664488279 , -1.08996794777185 , 0.833812029435056 , -0.296468779202481 , -0.144553006624146 , -0.95372193095906 , -1.37176631471166 , -0.0323512205160312, 0.856648368706425 , 1.08360642380847 , 0.22714863279111 , 1.4410266160608 , -1.69135245231891 , 0.470338607171235 , -1.08835925272534 , 0.695628037762996 , 1.98337983617168 , 0.136119184391103 , -0.604889355546118 , 0.549246357200084 , -0.186351015805586 , 1.27897374343529 , 1.78551565625451 , -0.438734743666407 , -0.0737742513049265, -1.35758978452106 , 0.716911533521472 , 1.07976136976603 , 0.695408448081318 , 0.900100007048244 , 1.08650760747503 , 1.34579996089742 , 0.326865600946161 , 0.129894210416745 , 1.44382861235135 , 0.390902140464804 , 1.31256049896835 , 1.83735162289984 , 2.01397177155147 , 0.682004609516178 , 1.00655417685708 , 2.51111342392355 , 0.490000411087675 , 2.10994775875569 , 1.0643853999809 , -1.1565544793518 , -0.276572475762066 , -1.19238269606856 , 0.762300756131863 , -0.114895872584952 , -0.308026282614489 , -0.675374817666455 , 1.07347476489597 , 1.68264592872403 , 0.352507742503003 , 2.19479294576351 , -0.779625116476548 , -0.494863463351295 , -0.66561274641648 , 1.41907582961283 , -0.711769735142262 , -1.22937830197907 , 1.53532591953297 , 0.373571166248852 , 1.63614466611202 , 0.699635783388231 , -0.0770093358831598, -0.277426743527141 , 1.93384276712781 , -1.0337061334981 , 2.06893835808127 , 0.946201366461091 , 1.3335288697694 , -0.541910664622979 | 0.0111688 |
| 100 | 50 | 0.5 | 0.1 | 0.5 | control , control , control , control , control , control , control , control , control , control , control , control , control , control , control , control , control , control , control , control , control , control , control , control , control , control , control , control , control , control , control , control , control , control , control , control , control , control , control , control , control , control , control , control , control , control , control , control , control , control , intervention , intervention , intervention , intervention , intervention , intervention , intervention , intervention , intervention , intervention , intervention , intervention , intervention , intervention , intervention , intervention , intervention , intervention , intervention , intervention , intervention , intervention , intervention , intervention , intervention , intervention , intervention , intervention , intervention , intervention , intervention , intervention , intervention , intervention , intervention , intervention , intervention , intervention , intervention , intervention , intervention , intervention , intervention , intervention , intervention , intervention , intervention , intervention , intervention , intervention , 0.168831087095174 , 0.233297269458283 , -0.0545399717196978 , -0.716428182471222 , 0.333831638988902 , -0.290711346817798 , -0.0204472126858479 , -0.782263273041462 , -0.954856770097669 , -0.307960780680807 , 0.226609618920542 , 0.00597082168167212 , 0.775107771611896 , 0.662526661428869 , 0.0836041406847139 , 0.0715079673775366 , -0.263841782662755 , -0.465925499880119 , -0.038707721215426 , -0.199671585835883 , -0.36954210238599 , 0.23277668958796 , -0.621601460692228 , -0.510117138644945 , 0.492604040040308 , 1.17587425808962 , 0.302649052243385 , 0.0864075522567486 , -0.0430001438955336 , -0.301895970279947 , 0.367629743298029 , 0.582924411132154 , -0.383587293565784 , 0.282532187055665 , 0.34264560642908 , 0.170522295754304 , -0.301326118633832 , -0.00172246239149976, -0.683381308534645 , 0.53538726343097 , -0.31421010008294 , 0.289736514696174 , -0.546742850467247 , -0.26953971153696 , -0.0937986331734087 , 0.459316418517256 , 0.514988384475678 , -0.0713246542978229 , -0.906459819235256 , 0.664696842841723 , 0.56954968990357 , 0.832089091618014 , -0.0460445789183472 , 0.132380069579174 , 0.0359724090591115 , 0.511616391521929 , 0.523840734624192 , 0.704706192517556 , 0.811179190696047 , 1.38910952919589 , 0.386474026919507 , 0.53720816489391 , 1.16092936978408 , -0.685729347206173 , 0.147271725397287 , 0.160192280171772 , -0.169312571886741 , 2.18825631016007 , -0.0948387506659704 , 0.3642648857714 , 0.386361986603028 , 0.617761347233201 , 0.654906822532802 , 0.230592517135514 , 0.537094303563171 , 0.578387543188314 , 1.20205505918208 , 0.427135611655921 , -0.571967070272926 , 0.140703791306291 , 0.429150836225668 , 1.03124212259131 , 0.728968542388656 , 0.782746438344645 , 0.79013760134845 , -0.342324194118968 , 0.52620717873038 , 0.638343760589294 , 1.11782946367861 , 0.585363698191742 , 0.72762507067678 , 0.612496862322745 , 1.08693953041903 , -1.04721931726134 , -0.149700944151211 , 1.61913021825778 , 0.00333161063476334 , -0.320970934989649 , 0.641118501681074 , 0.541280256655773 | 0.0000124 |
| 100 | 50 | 0.5 | 0.1 | 1.0 | control , control , control , control , control , control , control , control , control , control , control , control , control , control , control , control , control , control , control , control , control , control , control , control , control , control , control , control , control , control , control , control , control , control , control , control , control , control , control , control , control , control , control , control , control , control , control , control , control , control , intervention , intervention , intervention , intervention , intervention , intervention , intervention , intervention , intervention , intervention , intervention , intervention , intervention , intervention , intervention , intervention , intervention , intervention , intervention , intervention , intervention , intervention , intervention , intervention , intervention , intervention , intervention , intervention , intervention , intervention , intervention , intervention , intervention , intervention , intervention , intervention , intervention , intervention , intervention , intervention , intervention , intervention , intervention , intervention , intervention , intervention , intervention , intervention , intervention , intervention , -0.183629089458211 , -0.974535726708844 , 1.1393618632774 , 1.2088415070807 , -0.92173829894464 , -0.579918293367275 , 0.355555356388498 , -0.162518919569688 , 1.10103232784933 , -0.930524297181818 , 1.16021239794163 , 0.00494621148624848, -0.236702255424453 , -0.429364904851238 , -0.914202537006528 , 0.768462125658331 , 0.690404188399223 , -0.277953140080288 , -0.631536258278757 , -0.997612777886495 , -0.248589819762369 , -0.586705145172701 , 1.63456372304569 , -0.902533280523761 , 0.272666840063244 , -0.484194613274236 , -1.46858998642398 , -1.559469389361 , -0.563555703415423 , -0.634308470475926 , 1.78133084436887 , 0.422764737053389 , -1.00476723481545 , 0.752514790867426 , -1.02413087786927 , 1.52817046114024 , -0.312854634917028 , -0.328043641690053 , -0.277193336841362 , 0.359648889391299 , 0.744095415335919 , -0.291477977027842 , 0.781149244943364 , -0.760123362859975 , -1.25474623131357 , 2.53434764565128 , -0.263377451633139 , -0.0406855450902227, 2.54990793796444 , 0.375501207542631 , 1.14803207063377 , 1.2017247506952 , 0.58142681813826 , 1.56624951130739 , -0.165143175632532 , -1.66999623815347 , -0.479547598136218 , -0.831961043294485 , 0.805092689768004 , 1.95952150064885 , -0.772085163489274 , 1.35722129404746 , 1.90894974771328 , 0.59138767646003 , 2.54016352681767 , -0.395068939528551 , 0.382309204913332 , 1.05689191760352 , -0.194264384979293 , -0.561862344533486 , 0.0445268453257691 , 1.01733424436317 , -0.231624673305983 , 0.471370184456405 , -0.0694929597515583, 1.77576340121072 , 0.893173198414318 , 0.811751320303688 , -1.03506195401825 , 0.363713060712091 , -0.993961019870321 , -0.792583618373404 , 0.196560694531303 , 2.584693290182 , 1.21634037144741 , 0.484031447542227 , 0.486609462190025 , -0.659942373367977 , 1.17735824001331 , 0.780671939828144 , 0.792437421650094 , 1.29929177417807 , -0.946475284132195 , 0.720989778216074 , 1.14885414206106 , -0.390069707997081 , -0.198154738770912 , 1.34890855584549 , 2.33967078046393 , 2.01684904321676 | 0.0112863 |
Let’s plot our results and see what the distribution of p-values looks like across all of these different parameter combinations:
ggplot(simulation_results, aes(x = p)) +
geom_histogram(bins = 30) +
facet_wrap(~ n_per_condition, labeller = label_both) +
theme_minimal()
ggplot(simulation_results, aes(x = p)) +
geom_histogram(bins = 30) +
facet_wrap(~ mean_intervention, labeller = label_both) +
theme_minimal()
ggplot(simulation_results, aes(x = p)) +
geom_histogram(bins = 30) +
facet_wrap(~ mean_control, labeller = label_both) +
theme_minimal()
ggplot(simulation_results, aes(x = p)) +
geom_histogram(bins = 30) +
facet_wrap(~ sd, labeller = label_both) +
theme_minimal()
8.10 Parallel mapping with {furrr}
With the map() family of functions we have discussed in this chapter, simulations are run in sequence. For example, if we are running 100 iterations, this means that iteration 1 is run first; then iteration 2 is run; then iteration 3; etc.
When you’re doing hundreds of thousands, millions, (or billions!) of iterations, running simulations in sequence can take a long time. In such cases, we ideally would run many of the simulations in parallel to speed things up (e.g., running the first 5 iterations at once; then the next 5; etc.). This is called parallelisation, and it can dramatically speed up simulations.
The package for running parallelised simulations is called {furrr}. {furrr} has versions of the map() functions that mirror those in {purrr}:
future_map()is the parallelised version ofmap()future_map_dfr()is the parallelised version ofmap_dfr()future_pmap()is the parallelised version ofpmap()
Here is the same approach from above, but using future_pmap(). Since we’re parallelising, we’ll be ambitious and increase n_iterations to 10000.
# dependencies
library(furrr)
# set up parallelization for future/furrr
plan(multisession)
n_iterations <- 1000 # lowered for testing; 2000+ would be more appropriate
# specify the parameters
experiment_parameters <- expand_grid(
iteration = 1:n_iterations,
n_per_condition = c(20, 50),
mean_intervention = c(0, .5),
mean_control = c(0, .1),
sd = c(.5, 1)
)
simulation_parallel <- experiment_parameters %>%
mutate(generated_data = future_pmap(.l = list(n_per_condition, mean_control, mean_intervention, sd),
.f = generate_data,
# this gives us a progress bar so we can see how the simulation is progressing
.progress = TRUE,
.options = furrr_options(seed = TRUE))) %>%
mutate(results = future_map(.x = generated_data,
.f = analyse_data,
.progress = TRUE,
.options = furrr_options(seed = TRUE))) %>%
unnest(results)Once again, let’s plot these results:
ggplot(simulation_parallel, aes(x = p)) +
geom_histogram(bins = 30) +
facet_wrap(~ n_per_condition, labeller = label_both) +
theme_minimal()
ggplot(simulation_parallel, aes(x = p)) +
geom_histogram(bins = 30) +
facet_wrap(~ mean_intervention, labeller = label_both) +
theme_minimal()
ggplot(simulation_parallel, aes(x = p)) +
geom_histogram(bins = 30) +
facet_wrap(~ mean_control, labeller = label_both) +
theme_minimal()
ggplot(simulation_parallel, aes(x = p)) +
geom_histogram(bins = 30) +
facet_wrap(~ sd, labeller = label_both) +
theme_minimal()
As you might be able to tell already, plotting lots of results like this is hard to read, particularly as the number of parameters manipulated increases. That is why our next chapter will deal with the final step of Monte Carlo simulation: summarising over the results.
8.11 Summary
You now have learned one of the core things that makes a simulation a simulation: doing the process of generating data and analysing it many times. Specifically, we covered how:
map()/map2()/pmap()can be used to repeat processes over different parameters created fromexpand_grid()unnest()flattens results for summarizing and plottingmap_dbl()andmap_dfr()help you get outputs in the shape you wantfuture_*()variants can make big simulations faster
As a take-home message, remember: pmap() will be our go-to function for the remainder of this book when it comes to simulation workflows.
Ready to practice? Download and complete the exercises for this chapter.
8.12 TODO
- more explicit content on nested dataframes, visualisation of it, viewing individual datasets in the viewer, etc.
- explain unnest() more.